Повышение производительности и эффективности технологии процесса проектирования и расчета опорных частей МНГС с использованием программного комплекса Ansys
Содержание
Глава 1. Классификация морских
нефтегазовых сооружений и анализ действительных условий работы МНГС
.1 Анализ отечественной и зарубежной
нормативной документации по безопасности эксплуатации морских нефтегазовых
сооружений (МНГС)
.2 Классификация морских
нефтегазовых сооружений
.3 Анализ действительных условий
работы морских нефтегазовых сооружений
Глава 2. Формы трещин и причины их
образования на морских нефтегазовых сооружениях
.1 Формы трещин морских нефтегазовых
сооружений
.2 Причины трещинообразования
.3 Систематизация воздействий на
МНГС, приводящих к образованию усталостных трещин
Глава 3. Определение напряженного
состояния, вызванного стационарными и переменными температурными полями
воздействующими на МНГС
Глава 4. Оценка экономической эффективности
инвестиционного проекта. Повышение производительности и эффективности
технологии процесса проектирования и расчета опорных частей МНГС с
использованием программного комплекса ANSYS
4.1 Обоснование необходимости
усовершенствования процесса проектирования
4.2 Цель инвестиционного проекта
.3 Сущность модернизации и
обоснование технико-экономической целесообразности
.4 Методология расчета эффективности
инвестиционного проекта. Основные положения методических рекомендаций по оценке
эффективности инвестиционных проектов
.5 Расчет эффективности
инвестиционного проекта
Список использованных источников
Глава 1. Классификация морских нефтегазовых
сооружений и анализ действительных условий работы МНГС
.1 Анализ отечественной и зарубежной нормативной
документации по безопасности эксплуатации морских нефтегазовых сооружений
(МНГС)
Морские нефтегазовые сооружения относятся к
числу опасных производственных объектов. Эти сооружения эксплуатируются в
неблагоприятных условиях окружающей среды. Высокий уровень коррозионной
активности морской воды, значительные уровни температурных и вибрационных
воздействий и нагрузок (гидродинамических, ветровых, ледовых и др.) на
конструктивные элементы МНГС - все это создает предпосылки для возникновения и
развития различных аварийных ситуаций. Проблемы, связанные с обеспечением
безопасности МНГС, в различных нормативных документах, характеризуются
определением «риск». В большинстве случаев под «риском» понимается вредное
воздействие на персонал МНГС того или иного фактора при возникновении аварийной
ситуации. Однако вопросам предотвращения наступления риска путем своевременного
выявления опасного предельного состояния конструктивного элемента МНГС,
адекватной оценки усталостных характеристик стали с учетом всех видов воздействий-
всем этим вопросам, как это будет показано ниже, не уделяется достаточного
внимания.
В этом параграфе анализируются материалы научных
исследований в области изучения причин возникновения аварий и их последствия
[1-6], государственные нормативные документы по обеспечению безопасности МНГС
[7,8]и внутрикорпоративные нормы и правила безопасности отечественных и
зарубежных компаний, занимающихся освоением морских месторождений [9,10]. Среди
научных работ [1-6] особый интерес представляют работа А.М. Семенова [6] и
работа С.П. Земцова [4]. В исследованиях этих авторов анализируются крупнейшие
катастрофы на морских нефтегазовых месторождениях и причины приведшие к этому,
предлагаются математические методы и модели оценки рисков, изложены
рекомендации и предложения по обеспечению безопасности и снижению рисков на
МНГС. Общими же задачами для этих работ [4,6] является рассмотрение риска как
вредного воздействия на человеческий персонал в случае возникновения аварийных
ситуаций. Предложения же по предотвращению возникновения аварийных ситуаций
исключительно технической направленности, как, например, выявление усталостных
трещин, в проанализированных работах [1-6] отсутствуют.
Отечественная нормативная база имеет в своей
основе малый опыт работ по освоению морских месторождений. Одним из
основополагающих нормативных документов является [7]. В пункте 4.8 [7] этих
правил содержится положение о необходимости проведения экспертизы МНГС,
находящихся в эксплуатации более 20 лет. В пункте 4.8.2 [7] содержатся сведения
о минимально допустимой потере толщины металла конструктивными элементами МНГС
(не более 15% для опор и 10% пролетных строений). Также в пункте 4.9 [7]
говорится о разрушении защитного антикоррозионного покрытия, но не даны
предельные состояния этих повреждений и их классификация. В дальнейшем,
базируясь на основе правил [7] разработан нормативный документ [8]. В этом
документе в пункте 3.11 [8] предусмотрено обследование опорной части
ледостойких платформ в целях определения воздействий льда на нее. Однако, этого
недостаточно для полноценного анализа усталостных поврежедний МНГС.
В отраслевом стандарте [9], разработанным для
МНГС на нефтегазовых месторождениях Черного и Азовского морей, приведен порядок
проведения оценки технического состояния морской платформы, периодичность
проведения обследования, перечислены основные дефекты, влияющие на надежность
эксплуатации МНГС. Однако не даны рекомендации по «предельным состояниям»
дефектов, что ставит вопрос о том, какие дефекты являются допустимыми, а какие
могут привести к аварийной ситуации. В последние годы в РФ реализовывались
проекты «Сахалин-1,2». Анализ материалов проекта [10] показал, что риск
оценивался как наступление события, которое может оказать опасное воздействие
на персонал, работающий на платформе.
Рассмотрим зарубежную нормативную базу. В
документе [1], разработанном сообществом ASME,
изложены основные принципы проведения измерения и контроля различных
металлоконструкций, однако этот документ носит общий характер, что не позволяет
эффективно использовать его при нормировании параметров безопасности МНГС. В
стандарте ASME [2]
приводятся общие методики для обоснования и оценки вероятности наступления
риска и ориентированы в основном на электротехнические сооружения. Этим
обществом разработаны стандарты неразрушающего контроля, приведенные, например
в[3], которые можно расценивать как метод снижения рисков за счет
своевременного обнаружения дефектов в металлоконструкциях. Следует также
отметить хороший уровень проработки стандартов ASME
в области проектирования морских газопроводов [4,5], в которых дается оценка
некоторых рисков (контроль внешней и внутренней коррозии, контроль напряжений и
др). К недостаткам стандартов ASME
следует отнести, в ряде случаев, их общую направленность и отсутствие анализа
усталостных повреждений МНГС.
Сообществом BSI разработана группа стандартов,
относящихся к освоению морских нефтегазовых месторождений [6-11]. В стандартах BSI
содержатся основные методы и принципы проектирования морских платформ и
трубопроводов, проектирование систем катодной защиты и т.д. Также разработаны
стандарты для различных методов дефектоскопии, что позволяет снизить риск
возникновения аварийной ситуации за счет своевременного выявления дефектов.
Большой интерес представляет стандарт BSI [11], а также разработанный
ЦNORMстандарт [12]. Оба этих нормативных документа разработаны на основе
документа [13]. Документы [11-13] практически идентичны в своих подходах к
оценке риска МНГС и имеют незначительные отличия. Эти стандарты описывают
некоторые основные методы по идентификации и оценке риска на стадиях
проектирования, строительства и эксплуатации морских нефтегазовых сооружений. В
этих стандартах учитывается риск достижения предельных состояний за счет
превышения сейсмических, волновых, ветровых и др. видов нагрузок, характерных
для морских нефтегазовых сооружений. Описано коррозионное воздействие и его
влияние на усталостные повреждения металлоконструкций МНГС при наличии и
отсутствии систем электрохимзащиты. Это реализовано при помощи кривых S-N,
которые представляют собой зависимости числа циклов нагрузок от численной
величины максимально допустимого напряжения для различных условий (например,
скорости свободной коррозии элементов МНГС и скорости их коррозии при наличии
катодной защиты, наличии концетраторов напряжений и др.) и элементов.
В норвежском стандарте стандарт DNV
[14] содержится раздел оценки технического состояния существующих платформ,
положения которого во многом совпадают с положениями [11-13]. Особый интерес
вызывает документ [15], в котором авторы пытаются во многом обобщить положения
документов [11-14]. В этом документе рассматриваются различные по типу
соединения (трубные, листовые и т.д.), для каждого из которых построены кривых S-N
для условий свободной коррозии и действий систем катодной защиты.
Проведенный анализ документов [1-10] показал:
. Существующие отечественные нормы в
основном рассматривают риск с точки зрения оценки опасности для человеческого
персонала в случае возникновения аварийной ситуации;
. При оценке усталости металлоконструкций
МНГС учтены не все факторы, влияющие на этот процесс. Рассмотрена усталость за
счет совместного действия коррозии и нагрузок, однако, влияние температурных и
вибрационных воздействий не учитывается.
Можно сказать, что в настоящее время для морских
нефтегазовых сооружений не разработано научно-обоснованной методики оценки и
развития усталостных трещин, учитывающей все влияющие на это явление факторы.
.2 Классификация морских нефтегазовых сооружений
Морские нефтегазовые сооружения это такие
сооружения, которые осуществляют процессы добычи, транспортировки, хранения и
обработки нефти и газа с месторождений, расположенных на акваториях морей и
связанных с ними водоёмов. Кроме сооружений, расположенных непосредственно в
морской акватории, к условно морским относятся нефтегазовые сооружения на
прибрежных территориях, объединённые технологическими процессами в общий
нефтегазовый комплекс.
Порт - место на берегу моря или реки, устроенное
для стоянки кораблей и судов, имеющее комплекс специальных сооружений для их
обслуживания: причалы, вокзалы, краны, склады, терминалы, вспомогательный
транспорт и т.д. В порту может быть несколько причалов, оборудованных для
причаливания судов, посадки и высадки пассажиров, погрузки и выгрузки грузов,
заправки топливом и др. работ. Кроме того, порты используют для строительства
нефтегазовых сооружений, проведения их испытаний по правилам морского регистра.
Крупные отечественные порты Новороссийск, Мурманск, Находка, Санкт - Петербург.
Подводный трубопровод - трубопровод, укладываемый
ниже поверхности воды при пересечении рек, водохранилищ, озёр, морских
акваторий. Морской подводный трубопровод предназначен для транспортировки нефти
и газа от платформ к сооружениям ,на которых осуществляется сбор и длительное
хранение или накопление перекачиваемого продукта.
Подводные МНГС - это сооружения, базирующиеся
под поверхностью моря и в автономном режиме осуществляющие технологические
операции и процессы.
Морские стационарные платформы (МСП)
предназначены для размещения на них комплекса оборудования, необходимого при
бурении разведочных и эксплуатационных скважин, а также для первичной обработки
добываемого продукта. Они подразделяются на МСП для незамерзающих морей
(размещаются в акваториях незамерзающих морей, либо лёд имеет очень малую
толщину и не опасен для конструкций); МСП для замерзающих морей (размещаются в
акваториях замерзающих морей и способны выдерживать значительные ледовые
нагрузки).
Острова, ограждающие сооружения -
вспомогательные гидротехнические сооружения стационарного типа, ограждающие
часть акватории и или разделяющие её на отдельные участки.
Эстакады, выносные причалы - сооружения,
предназначенные для швартовки нефтеналивных танкеров.
Плавучие платформы и суда сооружения,
позволяющие вести все работы на нефтегазовых месторождениях без опирания на
дно.
Платформы на плаву при транспортировке -
сооружения стационарного типа, но при транспортировке переходящие в плавучий
режим.
Плавучие платформы в постоянном режиме -
сооружения, находящиеся в плавучем состоянии непосредственно на всех этапах
своей работы.
Самоподъёмные плавучие платформы - сооружения,
способные самостоятельно изменять свое вертикальное положение в пространстве.
Суда с буровым оборудованием - сооружения,
способные производить буровые работы и или осуществлять добычу ресурсов,
находящихся под дном моря, например, нефти ,газа ,серы или соли.
.3 Анализ действительных условий работы морских
нефтегазовых сооружений
В настоящем параграфе будут проанализированы
нагрузки, действующие на МНГС. О воздействиях на морские нефтегазовые
сооружения будет более подробно сказано во второй главе этой работы. Следует
отметить принципиальную разницу между понятиями нагрузки и воздействия. Под
нагрузкой воспринимают определенную силу, действие которой распределено на
какой-либо площади исследуемого элемента МНГС (например, ледовая, ветровая и
др.). Под воздействием понимается некоторое обобщенное действие, оказываемое на
МНГС (коррозионное, вибрационное, температурное). В этом параграфе
сосредоточимся на исследовании нагрузок, действующих на МНГС. Нагрузки
подразделяются на постоянные и временные.
Постоянные нагрузки действуют на сооружения в
течение всего времени их эксплуатации. К этим нагрузкам относятся: вес
сооружения с постоянным балластом, включая здания и устройства различного
назначения; вес и активное боковое давление грунта засыпки (например, в
искусственных островах с обделкой берегов и т. п.); гидростатическое давление.
Временные длительные нагрузки складываются из
веса складируемых грузов и временных технологических устройств; нагрузки от
различного рода грузоподъемных и транспортных машин, технологического
оборудования; активное давление грунта от временных нагрузок; гидростатическое
напорное давление при временных изменениях уровня по какой-либо причине;
давления жидких и сыпучих сред на конструкции.
Кратковременные нагрузки включают волновое
давление, нагрузки от льда, течений, снега, ветров, ошвартованных судов,
вертолетов, некоторые нагрузки, возникающие в процессе буровых работ.
Особые нагрузки в первую очередь обусловливаются
катастрофическими явлениями в природе, аварийными ситуациями и включают:
нагрузки при сейсмических явлениях и волнах цунами; нагрузки при
катастрофических штормах, ветрах, массовом торошении льда, деформациях
оснований с коренным изменением структуры грунтов (размывы, просадки, сдвиги,
выпады) и др.
Морские нефтегазовые сооружения рассчитываются
на основные и особые сочетания нагрузок и воздействий.
Рассмотрим наиболее распространенные виды
нагрузок.
а) Ветровая нагрузка
Ветровую нагрузку следует рассматривать как одну
из генеральных сил, действующих на МНГС. Величина ее непостоянна и изменяется в
зависимости от скорости ветра, его направления и распределения по площади МНГС.
Ветровая нагрузка создаёт два основных вида воздействия на МНГС: горизонтальное
и наклоняющее.Рассмотрим горизонтальное воздействие.
Рис. 1.1. Горизонтальная ветровая нагрузка
При проектировании в расчетах на
устойчивость вводят обобщенное значение реальной ветровой нагрузки 
, которая представляет собой сумму
эпюр ветровой нагрузки, распределенная по площади 
, и называющейся «силой» ветрового
воздействия.
Рис. 1.2. Значения коэффициента 
в зависимости от формы сооружения
Горизонтальная составляющая силы 
для МНГС определяется как:

- коэффициент лобового
сопротивления;
- скорость ветра;
- расчетная плотность воздуха,
определяемая по формуле:

- атмосферное давление в месте
нахождения объекта;
- температура воздуха; 
- площадь парусности объекта, т.е.
площадь той части объекта, которая подвергается воздействию ветра. Под
подразумевается проекция всех
поверхностей объекта на вертикальную плоскость. Суммарное силовое воздействие
на МНГС определяется как сумма силовых воздействий ветра на отдельные части,
определенных с учётом их формы. Учёт формы обтекаемого ветром объекта или
отдельного элемента МНГС осуществляется назначением соответствующего
коэффициента лобового сопротивления 
, который определяется опытным путём
и находится в диапазоне от 
. Некоторые значения 
приведены на рис. 1.2. Например, для
буровой вышки из трубчатых конструкций 
; для цилиндрической опорной колонны
.
Рис. 1.3. Ветровой наклоняющий
момент
Рис. 1.4.
Гидростатическая нагрузка
Рассмотрим второй вид ветровой нагрузки -
наклон, характеристикой которого является ветровой наклоняющий момент
определяемый следующим образом:

,
где: 
- плечо приложения равнодействующей
нагрузки 
относительно линии поверхности
воды. Определение данных о скоростях ветра, принимаемых при определении 
.
Под расчетной скоростью ветра
понимается средней величины скорость 
на высоте 10 м над поверхностью
моря за 10 мин. времени действия ветра. Эпюра распространения скорости ветра по
высоте рассчитывается по формуле:

,
где 
- скорость ветра на высоте 
В реальных условиях воздействие
ветра осуществляется с разных сторон, в направлении
. Объект МНГС будет испытывать
переменное (в зависимости от направления ветра ) силовое воздействие 
. При этом даже при постоянной
скорости ветра
будет изменяться величина 
в зависимости от направления
вектора скорости. При расчетах ветрового воздействия на МНГС необходимо
учитывать динамическую составляющую ветровой нагрузки при пульсации скорости, а
также подъёмную силу при продувке ветром горизонтальных и слегка наклонённых
поверхностей. Эти расчёты выполняются после определения положения поверхностей
и их размеров.
б) Гидростатическая нагрузка
Гидростатическое давление возникает
в результате действия воды на погруженный в нее конструктивный элемент МНГС и
действует по нормали к рассматриваемой площадке в любой точке объёма жидкости.
Величина давления Р в любой точке не зависит от угла наклона площадки, в
которой эта точка находится (рис. 1.4).
Давление на точку С (центр тяжести
площадки) вычисляется по формуле:

,

-удельный вес жидкости; 
- расстояние от поверхности воды до
точки С.
Давление на всю площадку будет
вычисляться по формуле:

,
Где 
- давление на точку С, являющуюся
центром тяжести площадки, 
-площадь поверхности площадки.
в) Гидродинамическая нагрузка
Гидродинамической называется такая
нагрузка, которая возникает в результате силового воздействия движущейся воды
на любое помещённое в нее тело и характеризуется условной сосредоточенной силой
Р. Сила гидродинамического давления потока имеет две составляющие: силу
лобового сопротивления 
(горизонтально направленная) и
подъёмную составляющую 
(вертикальная составляющая).
Значения силы 
зависят от формы тела обтекания,
шероховатости его поверхности, величины скорости, вязкости жидкости и некоторых
других значений. Для объектов МНГС встречаются прямоугольные, цилиндрические,
решетчатые формы обтекаемых поверхностей. Существенное влияние на величину и
форму эпюр давления воды оказывает и положение тела относительно поверхности
воды: тело плавает, тело в воде, продольная ось вертикальна, горизонтальна или
наклонена под углом к поверхности воды. В общем виде силы гидродинамического
давления потока определяются по формулам: горизонтальная составляющая («лобовое
сопротивление»).

или

- коэффициент лобового
сопротивления поверхности, подвергающейся давлению потока, движущегося со
скоростью 
;
-ускорение свободного падения;
- плотность жидкости. Вертикальная
составляющая (подъёмная сила)

или

- коэффициент подъемной силы;
- объемный вес воды. Эта сила
появляется если тело находится на дне или вблизи дна. Коэффициент 
, а
находится в пределах 0,3-0,5 от
значений 
. Эти коэффициенты определяются на
моделях или опытным путём с использованием данных, полученных при испытаниях
аналогичных проектируемому объекту. При определении сил гидродинамического
воздействия на МНГС морских течений следует учитывать следующие виды течений:
приливно-отливные, стоковые, ветровые, градиентные.
г) Ледовые нагрузки
Ледовой нагрузкой называется такая
нагрузка, которая возникает от действия переменного или статического ледового
поля. Различают нагрузки от айсбергов, ледяных полей, торосов, стамух. Ледовая
нагрузка имеет две основных составляющих: вертикальную и горизонтальную. Под
вертикальной понимается нагрузка от льда, образовавшегося на плоскостях
(горизонтальных, наклонных и вертикальных) плавающего или стоящего на грунте
объекта, но с выступающими над поверхностью воды частями сооружениями
Вертикальная нагрузка определяется весом льда, приходящегося на 1 
площади, подверженной обледенению.
Опыт показывает, что наибольшей величины ледовая нагрузка достигает при
расположении поверхностей на высотах менее 10 м, а на высотах более 30м ледовая
нагрузка не учитывается. Горизонтальное давление льда величина является
величиной сложно определимой и зависит от множества факторов: прочности льда,
его толщины и динамичности; температуры льда, оказывающей наибольшее влияние на
прочность льда; размеров сооружения, формы фронтальной поверхности (рис. 1.5.),
на которую надвигается лёд.
Рис. 1.5. Вертикальная и наклонная
фронтальная поверхность.
Волновые нагрузки
Волновые нагрузки обычно являются
определяющими для гидросооружений на открытых незащищенных и незамерзающих
акваториях. Волны обладают огромной разрушительной силой. Волны- это
порождённые ветром чередующиеся валы воды (холмы) и впадины на свободной
поверхности моря.
Волны делятся на бегущие и стоячие
волны.
Бегущие - перемещаются в направлении
ветра, обусловившего их появления;
Под стоячими понимаются воны,
характеризуемые возникновением и исчезновением валов и впадин в одном и том же
месте, т.е. без поступательного движения. Форма и размеры волн зависят от длины
разгона волны, характеристик водоёма(глубина и пр.).В морской практике
различают четыре зоны водоёма по глубине воды.
Рис. 1.6. Схемы деления моря по
зонам глубины воды
Основными параметрами,
характеризующими волны: л- длина волны, h- высота
волны.
При изучении волновых процессов
целесообразно выделить четыре морских зоны. Первая зона - глубоководная,
влияние дна на волновой процесс отсутствует H
0,5л; Вторая зона - мелководная,
влияющая на волновой процесс,H
0,5л˃
- глубина,на которой начинается
разрушение волн; Третья зона - прибойная, в пределах которой начинается и
завершается разрушение волн, - H˂
; Чётвёртая зона - приурезная , в
которой полностью разрушенные волны набегают (накатывают) на берег или откос
сооружения.
Равнодействующая волнового давления 
на единицу длины (волны)
цилиндрической опоры определяется по формуле:

где: D-диаметр
цилиндра; R - сила
волнового давления на единицу длины (высоты) плоской стенки. Значения
и 
приведены в таблице 1.1.
Таблица 1.1. Зависимость отношения
высоты волны к ее длине и коэффициентов 
|
|
|
|
|
0,1
|
0,77
|
0,5
|
|
0,7
|
0,8
|
0,38
|
|
0,5
|
0,83
|
0,3
|
|
0,4
|
0,87
|
0,25
|
|
0,3
|
0,91
|
0,2
|
Выводы:
. Существующие отечественные нормы в
основном рассматривают риск с точки зрения оценки опасности для человеческого
персонала в случае возникновения аварийной ситуации.
. Недостаточно внимания уделяется
вопросам предотвращения аварийных ситуаций путем своевременной оценки ресурса
МНГС.
. При оценке усталости металлоконструкций
МНГС учтены не все факторы, влияющие на этот процесс. Рассмотрена усталость за
счет совместного действия коррозии и волновой нагрузки, однако, влияние
температурных и вибрационных воздействий, а также других нагрузок не
учитывается.
Глава 2. Формы трещин и причины их образования
на морских нефтегазовых сооружениях
.1 Формы трещин морских нефтегазовых сооружений
Применение в конструкциях МНГС большого
сортамента сталей, в том числе повышенного сопротивления динамическим и
статическим нагрузкам и воздействиям, приводит к необходимости введения при их
проектировании усталостного критерия. При применении подобных сталей, имеющих
увеличенный предел текучести, их характеристики имеют некоторые отличия от
металла сварных швов. В свою очередь это приводит к тому, что при увеличении
уровня напряженности создаются дополнительные условия для возникновения
усталостных трещин. Усталостные трещины, образующиеся на различных участках
МНГС, представляют собой достаточно серьезную опасность и могут при
определенных условиях привести к разрушению МНГС. Ситуация особо усугубляется
при недостаточной вязкости материала или в условиях низких температур, которые
могут привести к хрупкому разрушению. Кроме того, усталостные трещины могут
нарушить герметичность конструкции МНГС. Устранение образующих трещин сопряженно
с внеплановыми простоями, что сказывается на экономической рентабельности
сооружений. Важность учета требований обеспечения усталостной долговечности
признана всеми ведущими организациями в мире, занимающимися освоением морских
нефтегазовых месторождений. Определимся с понятиями усталость и усталостная
трещина. Усталость металла - процесс постепенного накопления повреждений в
материале под действием переменных напряжений, вызванных различными нагрузками
и воздействиями (температурными, коррозионными, вибрационными и др.),
приводящими к изменению свойств и образованию трещин. Трещина, постепенно
развиваясь и ослабляя сечение, вызывает внезапное разрушение конструктивных
элементов МНГС. Процесс трещинообразования (см. параграф 2.2) следует рассматривать
с учетом влияние различных дефектов в конструктивных элементах МНГС и
приводящих к возникновению и развитию трещин. Процесс образования трещин
целесообразно разбить на три этапа, для которых причины и условия образования
трещин абсолютно различны:
.Образование трещин либо дефектов, приводящих к
их возникновению на стадии производства конструктивных элементов МНГС. Этот
этап будем рассматривать отдельно, т.к. причины образования трещин на данном
этапе в корне отличаются от причин трещинообразования на этапах строительства и
эксплуатации. Кроме того, трещины или дефекты, способствующие их образованию,
будучи введенными в эксплуатацию, получают дальнейшее развитие в условиях
циклически меняющихся нагрузок и воздействий и перерождаются в усталостные
трещины.
. Строительство МНГС.
. Эксплуатация МНГС.
Выделим основные виды трещин: продольные,
поперечные, радиальные, трещины от остаточных напряжений, раздельные,
разветвленные.
Продольные трещины основного
металла, возникающие на этапе изготовления
Этот тип трещин наиболее часто
наблюдается на наружной и внутренней поверхностях стальной трубы и
располагающиеся в продольном направлении или по спирали. Трубная заготовка
проходит до получения готовой трубы через ряд различных прокатных станов в
различных их комбинациях и определенной последовательности (прошивной, стан
поперечно-винтовой прокатки, автоматический стан продольной прокатки, обкатной
стан, редукционный стан, калибровочный стан), что значительно повышает
вероятность образования различных дефектов. В зависимости от вида и величины
встречающихся дефектов стальные трубы с дефектами могут быть отбракованы уже на
отдельных этапах изготовления. Однако нередко дефектная трубная заготовка может
пройти все этапы процесса изготовления и введена в эксплуатацию на конструкциях
МНГС.
Рис. 2.1. Разрыв трубы после
прохождения поперечно-винтового стана
Рис. 2.2. Образование трещин
после прохождения прошивного стана
Рис. 2.3. Продольная трещина образовавшаяся
после прохождения обкатного стана
Рис. 2.4. Продольные трещины, образовавшиеся
после прохождения редукционного стана
На стадии изготовления при
поперечно-винтовой прокатке к образованию продольных трещин (рис.2.1-2.4)
приводят следующие дефекты:
) Дефекты сталеплавильного и
прокатного производства [сотовые (подкорковые) пузыри, грубые неметаллические
включения, негомогенность структуры и свойств, риски, образующиеся при прокатке,
закаты и др.], связанные с несоблюдением технологии плавки, разливки и
прокатки.
) Слишком высокий или слишком
низкий нагрев в методических печах, печах с шагающими балками или вращающимся
подом, неравномерное распределение температуры по сечению заготовки.
) Слишком большой зазор между
валками - прокатываемая заготовка «растягивается» в зазоре между валками, из-за
чего стенка трубной заготовки может разорваться.
) Неправильная установка
оправки.
) Слишком большая скорость
вращения валков. При дальнейшей обработке трубной заготовки на оправке
имеющиеся микродефекты (например, с микротрещинами, раковинами) могут
значительно увеличиться в размерах. К этому приводит неправильный выбор
калибра, низкая температура трубной заготовки, неравномерное распределение
температуры по сечению трубной заготовки и др.
При последующей обработке на
обкатном стане могут получить развитие дефекты, образовавшиеся на наружной
поверхности стальной трубы при прокатке на прошивном или автоматическом стане
(например, раковины на внешней поверхности, закаты, царапины, риски и т. д.),
могут стать зародышами трещин и разрывов при прокатке на обкатном стане.
Причинами этого является неправильная настройка обкатного стана, некорректное
расстояние между направляющими линейками в обкатном стане, слишком сильное
подстуживание стальных труб. При дальнейшей обработке на редукционном
трубопрокатном стане может происходить дальнейшая деформация стальных труб. К
этому приводит: слишком высокая температура стальной трубы, пережог металла,
значительная разнотолщинность отдельных участков трубы, некорректное
регулирование скорости вращения валков (слишком большое натяжение и вследствие
этого большие растягивающие напряжения).
Поперечные трещины (рис.
2.5-2.8) представляют собой нарушения сплошности металла, начинающиеся от
поверхности трубы и проходящие перпендикулярно или наклонно к ее оси в глубь
металла. Поперечные трещины могут распространяться на всю толщину стенки. Такие
несплошности в металле по различным причинам могут встречаться как в отдельных
местах, так и по всей трубе.
Причинами возникновения таких
трещин на этапе изготовления являются использование трубных заготовок с
пережогом, дефекты сталеплавильного производства, повышенное содержание вредных
примесей, таких как мышьяк и олово, слишком высокое содержание в стали алюминия
и азота, чрезмерно высокая температура нагрева заготовки в методических печах.
Помимо этого вызывающими их причинами могут быть недостаточная деформируемость
исходных трубных заготовок, наличие шлифованных участков; участков с различной
твердостью; неправильная термическая обработка; поверхностное
обезуглероживание; локальное науглероживание; слишком большое уменьшение
поперечного сечения при холодной деформации; неправильный выбор режима
волочения.
Рис.2.5. Поперечные трещины, вызванные
обезуглероживанием стали
Рис.2.6. Поперечные трещины, вызванные
искаженной симметрией поперечного сечения
Рис.2.7. Поперечные трещины, вызванные неверным
режимом прокатки
Рис. 2.8. Поперечные, вызванные отслоениями
стали
Рис. 2.9. Трещины, вызванные остаточными
напряжениями
Рис. 2.10. Трещины, вызванные остаточными
напряжениями
Трещины от остаточных
напряжений (рис. 2.9 и рис. 2.10) обычно располагаются на внешней поверхности
трубы, на ограниченных участках или по всей ее длине, в продольном или
поперечном направлении. Эти трещины возникают в результате резкого охлаждения
температуры конца прокатки труб из сталей с высоким содержанием углерода, а
также из легированных сталей.
В процессе строительства МНГС образуются трещины
в сварных швах, которые могут получить свое развитие в период последующей
эксплуатации. Схемы этих трещин приведены в таблице 2.1. Все виды трещин также
следует подразделить на: образующиеся в основном металле и в сварных
соединений. Следует отметить, что трещина, образующаяся в металле сварного шва,
при определенных условиях, может перейти в основной металл конструктивного
элемента МНГС и наоборот.
Таблица 2.1. Трещины в сварных соединениях
|
Наименование
дефекта
|
Изображение
трещины
|
Ориентация
трещины
|
Участки
распространения трещины
|
|
Продольная
трещина
|
|
Ориентированная
параллельно оси сварного шва.
|
в
металле сварного шва; на границе сплавления; в зоне термического влияния; в
основном металле.
|
|
Поперечная
трещина
|
|
Ориентированная
поперек оси сварного шва
|
в
металле сварного шва; на границе сплавления; в зоне термического влияния; в
основном металле.
|
|
Радиальные
трещины (звездоподобные)
|
|
Радиально
расходящиеся из одной точки.
|
в
металле сварного шва; в зоне термического влияния; в основном металле.
|
|
Трещина
в кратере сварного шва
|
|
продольной;
поперечной; звездообразной (радиальной)
|
в
металле сварного шва; в зоне термического влияния; в основном металле.
|
|
Раздельные
трещины
|
|
|
группа
трещин, которые могут располагаться произвольно в металле сварного шва; в
зоне термического влияния; в основном металле.
|
|
Разветвленные
трещины
|
|
|
группа
трещин, возникших из одной трещины, которые могут располагаться произвольно в
металле сварного шва; в зоне термического влияния; в основном металле.
|
Как уже отмечалось ранее, трещина, образующаяся
в металле сварного шва, при определенных условиях, может перейти в основной
металл конструктивного элемента МНГС и наоборот. Рассмотрим основные виды
распространения усталостных трещин:
Рост усталостной трещины от вершины сварного шва
в основной металл (рис. 2.11). Анализ статистики эксплуатации МНГС показал, что
наиболее часто происходит усталостное растрескивание от вершины сварного шва в
основной металл. Усталостные трещины начинается из небольших дефектов на
вершине шва и постепенно развиваются с увеличением напряжения в зависимости от
формы надреза.
Рост усталостной трещины от корня сварного шва
через угловой сварной шов (рис. 2.12). Усталостное растрескивание от корня
угловых сварных швов с ростом трещины через шов может привести к существенным
последствиям. При проектировании по возможности использование угловых швов на
участках чрезвычайно ответственных с точки зрения эксплуатации стараются
избегать.
Рост усталостной трещины от корня шва в сечение
под сварным швом (рис. 2.13). Как показали экспериментальные исследования,
проведенные компанией DNV, рост усталостной трещины от корня сварного шва в
сечение под сварным швом может происходить в течении всего времени эксплуатации
МНГС. Экспериментально подтверждено, что количество циклов до полного
разрушения образца сопоставимы с усталостным растрескивании от вершины шва.
Рост усталостной трещины из-за неровности
поверхности или надреза в основном металле (рис. 2.14). Усталостное
растрескивание в основном металле происходит в результате значительного
циклического напряжения, возникающего в результате нагрузок и воздействий,
описанных в первой главе. При этом усталостные трещины начинаются от даже
незначительных дефектов поверхности.
Рис. 2.11. Рост усталостной трещины от вершины сварного
шва в основной металл
Рис. 2.12. Рост усталостной трещины от корня
сварного шва через угловой сварной шов
Рис. 2.13. Рост усталостной трещины от корня
сварного шва в сечение под сварным швом
Рис. 2.14. Рост усталостной трещины из-за
неровности поверхности или надреза в основном металле
.2 Причины трещинообразования
МНГС находятся под действием циклически
меняющихся нагрузок и воздействий, что вызывает циклические изменения
напряжений и создает условия для образования усталостных трещин. Даже если
номинальные напряжения в сечениях конструктивных элементов МНГС намного ниже
предела упругости, локальные напряжения из-за наличия концентраций напряжений
на включениях или механических повреждениях могут быть выше предела текучести.
В настоящее время разработано несколько теорий
образований усталостных трещин, которые могут быть применимы к описанию роста
усталостных трещин МНГС. Одна из них, это модель Вуда, изображенная на рис.
2.15. В течение той части цикла, когда нагрузка возрастает (например, при
сильной волновой нагрузке), на наиболее удачно расположенной плоскости
происходит сдвиг.
На падающей части цикла сдвиг в обратном
направлении происходит на параллельной плоскости скольжения, поскольку сдвиг по
первой плоскости затруднен механическим упрочнением и окислением только что
образованной свободной поверхности. В этом первом цикле сдвига может произойти
выдавливание либо вдавливание поверхности металла. При последовательных циклах
в условиях непрерывно продолжающегося пластического течения вдавливание может
перерасти в трещину (рис. 2.15). Если в процессе циклического нагружения
напряжения являются растягивающими, то эффект усиливается, поскольку
возникающие при возрастании нагрузки пластические деформации во время разгрузки
могут явиться причиной остаточных сжимающих напряжений.
Пример образования трещины в циклическом
процессе нагружения представлен на рис. 2.16.
Рис. 2.15. Модель зарождения усталостной трещины
Вуда
Рис. 2.16.
Зарождение усталостной трещины по Сиджву: a - вдавливание и выдавливание; б -
трещина, образовавшаяся за счет сдвига
Несколько другое представление о развитии
усталостных трещин дает дислокационная модель, которая разделяет процесс
разрушения сталей на два основных этапа - зарождения трещины и её
распространения.
Развитие трещин при ударно-циклическом
нагружении связано с образованием у препятствий дислокационных скоплений и их
последующем "сминанием". Процессы, происходящие при вязком или
хрупком разрушении, согласно представлениям с дислокационной природой
пластического течения, протекают в следующей последовательности:
) перемещение дислокаций по наиболее
благоприятно ориентированным плоскостям скольжения;
) торможение и накопление
("выстраивание") дислокаций перед препятствием (крупными частицами
второй фазы, границами зерен, сидячими дислокациями и др.);
) сминание "выстроенных" дислокаций и
образование зародышевой трещины - поры ("полостной дислокации" по
Котреллу);
) рост трещин до критических размеров и
разрушение.
Вокруг трещины в процессе её зарождения и
развития возникает переменное поле напряжений, которое может инициировать
работу рядом расположенных источников дислокаций, что приводит к частичной
релаксации напряжений, "гашению" скорости роста трещины и
пластическому течению в других, ранее не затронутых участках. Усталостная
микротрещина при определенных условиях перерастает в хрупкую [87]. Развитие трещин может происходить
с помощью межзеренного разрушения, чашечного, транскристаллитного скола и т.д. [104], т.е. структура сталей оказывает
влияние на кинетику роста трещин.
Стали имеют неоднородную структуру, что
определяет характер разрушения конструктивных элементов МНГС на дислокационном
и микроскопическом уровне. В сталях, используемых на МНГС, пластическая
деформация по микроскопически малым объёмам протекает неоднородно [104]. Движения дислокаций в кристаллах
определяется способностью их к преодолению барьеров различной природы [85]: геометрических барьеров
(некогерентных частиц выделений, пластинок выделившейся фазы, микроскопических
включений и пор и т.д.);
Точечных препятствий, область взаимодействия
которых с дислокацией соответствует межатомному расстоянию; "полевых"
барьеров (пиков, холмов и хребтов в рельефе внутренних напряжений вдоль
поверхности, по которой движется дислокация). Внешняя нагрузка, за счет
гетерогенности строения реальных тел на уровне надатомных размеров,
распределяется неравномерно по связям и возникают местные перенапряжения. В
связи с понижением энергии активации межатомных связей в этих местах наиболее
интенсивно идут процессы термофлуктуационного разрыва напряженных связей и
формируются очаги разрушения, которые при дальнейшем развитии приводят к
распаду тела [17]. Неметаллические включения (НВ), микроскопические поры,
межфазные и межзеренные границы, двойники являются концентраторами напряжений и
увеличивают неоднородность напряженно-деформированного состояния в
микроскопически малых объёмах металла [85]. В металлах и сплавах промышленной
поставки разрушение происходит по интеркристаллитному механизму из-за
преимущественного скопления на границах зерен дефектов и примесей [85,91].
Значительное влияние в развитии хрупкого разрушения оказывают НВ [91], которые
являются очагом зарождения трещин, причём слабым местом является промежуток
между включением и матрицей основного металла. Величина напряжений возле
включений и разрушение по межфазной границе определяется пластичностью матрицы,
местом расположения, формой и величиной включений. Наибольшую опасность
представляют плёночные и облачные НВ (корунд, хромиты, сульфиды), расположенные
по границам кристаллитов [22]. В работе [22] показано, что такое же влияние,
как НВ, в зарождении трещин оказывают карбидные частицы, а неравномерное их
распределение резко снижает стойкость стали. Не менее важным показателем качества
металла является физическая плотность, включающая не только наличие НВ, а также
дефектов кристаллического происхождения (пустот, микропористости и т.п.)
Усталостная трещина, однажды образовавшись, будет постоянно расти за счет
обратного сдвига. Несколько этапов роста усталостной трещины показаны на рис
17. В поле растягивающих напряжений острая трещина вызывает образование больших
концентраций напряжений при ее вершине, где очень легко может произойти сдвиг.
В материале перед трещиной (этапы 1 и 2 на рис. 2.17) по одной из подходящих
плоскостей скольжения в направлении наибольшего касательного напряжения может
произойти сдвиг.
Рис. 2.17. Одна из возможных моделей роста
усталостной трещины
Рис. 2.18. Бороздки усталости на поверхности
Благодаря этому сдвигу трещина расширяется,
одновременно увеличиваясь по длине. Теперь может произойти сдвиг в другой
плоскости (этап 3). Механическое упрочнение и увеличивающееся напряжение окончательно
ослабляют другие параллельные плоскости сдвига, что делает вершину трещины
тупой (этап 4). На возрастающей части цикла трещина продвигается на величину
Дa.
Пластическая деформация возникает как правило в
небольшом объеме, расположенном в области упругих деформаций. При разгрузке
область упругих деформаций будет сжиматься, а ставшая слишком большой область
пластических деформаций не будет более соответствовать своему окружению. Для
того чтобы это соответствие не было нарушено, во время разгрузки участка цикла
нагружения на область пластических деформаций со стороны упругой области
действуют сжимающие напряжения. Эти сжимающие напряжения вновь будут превышать
предел текучести, по крайней мере, в вершине трещины. Следовательно, здесь
имеет место обратная пластическая деформация, которая приведет к сближению
краев трещины и восстановлению остроты ее вершины (этап 5).Циклическое
расширение и сжатие трещины (этапы 1-5 и 6-7) приводят к образованию типичного
рисунка, причем каждый новый цикл добавляет новую бороздку. Эти бороздки на
поверхности разрушения видны в электронный микроскоп- их называют бороздками
усталости (рис. 2.18-2.22).
Рис. 2.19. Бороздки усталости
Рис. 2.20. Слабо развитые бороздки в
высокопрочной малоуглеродистой стали
Рис. 2.21. Поверхность усталостной трещины,
проходящая через кристаллические зерна в высокопрочной малоуглеродистой стали
Рис. 2.22. Большая, разрушенная сколом частица
на поверхности усталостной трещины
Процесс трещинообразования невозможно
рассматривать без учета влияния различных дефектов, описание которых будет дано
ниже. Подобные дефекты, сами являясь концетраторами напряжений, могут быть
очагом зарождения усталостной трещины либо существенно увеличивать скорость ее
роста. Для адекватного учета изменений прочностных характеристик металла,
вызванных дефектами, вводят коэффициент запаса прочности, ограничивающие
расчетные напряжения по отношению к номинальному пределу текучести. Если дефект
материала имеет определенную ориентацию и размеры, а локально напряженное
состояние в котором он находится имеет высокий уровень, то такой дефект может
вызвать быстро развивающуюся трещину. Действительные условия работы МНГС
приводят к тому, что даже незначительный дефект может достаточно быстро
развиваться и перерастать в усталостную трещину. Зависимость инициирования
трещины от дефекта регулируется функцией от размера дефекта и напряженным
состоянием около него. Эта связь может быть изменена такими факторами, как
вязкость материала, температура и скорость деформации, но в любом случае
разрушающее напряжение зависит от прежде всего от размера дефекта. Инициация
трещины от дефекта может возникнуть при номинальных напряжениях, значительно
меньших предела текучести металла и может быть пластическим со значительной
пластической деформацией в вершине трещины или хрупкой с малой пластической деформацией.
Важным фактором, определяющим тип разрушения (хрупкое или пластичное) является
температура, о чем будет сказано ниже. Хрупкое инициирование имеет более низкий
уровень вязкости, чем пластическое, т.е. при росте дефекта возникают более
низкие разрушающие напряжения. Механизм инициации трещины от дефекта
заключается в циклически изменяющихся уровнях напряжения, возникающих в объеме
материала МНГС.
Рассмотрим дефекты, возникающие на стадии
изготовления.
Вмятины (отпечатки)
подразделяются на два вида:
Наружные (рис. 2.23) -
локальные углубления на наружной поверхности трубы. Образуются в результате
дефектов на поверхности валков стана поперечно-винтовой прокатки труб или на
поверхности калибра стана продольной прокатки труб на оправке; прилипших частиц
металла, углубления (места выработки) на поверхности валков на заключительных
этапах прокатки. Внутренние (рис. 2.24) - локальные углубления на внутренней
поверхности трубы. Дефекты типа наружных вмятин могут также образоваться при
передаче труб от рольганга к лоткам или на холодильник. Внутренние -
представляют собой налипшие частицы металла, закат стружки и другие дефекты на
поверхности оправки.
Риски или царапины (рис. 2.25),
образующиеся при прокатке, на наружной или внутренней поверхности трубы, и вытянутые
как правило, в продольном направлении. Возникают в результате наличия задиров в
направляющих калибровочного, редукционного или редукционно-растяжного
трубопрокатных станов; слишком низкой температурой трубной заготовки при
прокатке труб «в оправке».
Канавки (рис. 2.26) на наружной
или внутренней поверхности представляют собой углубления в виде спирали с
небольшим наклоном, которые могут наблюдаться на поверхности трубы (обкатной
стан). Причинами возникновения являются налипание металла на поверхности
направляющих, излишне высокая температура нагрева заготовки, большая
шероховатость направляющих линеек.
Язвины от окалины- неглубокие,
локально ограниченные углубления на наружной поверхности трубы, которые чаще
всего заполнены окалиной. Причинами возникновения являются сильно окисленные
ролики проходной печи, часть окалины которой переходит на наружную поверхность
и закатывается при прокатке на калибровочных, редукционных и других прокатных
станах.
Закат (рис. 2.27) -смещения или
завороты металла в виде отслоений, проходящие по поверхности трубы, как
правило, вдоль ее длины. Причинами возникновения являются: дефекты
сталеплавильного производства: сотовые подкорковые пузыри; неметаллические
включения; плохое состояние поверхности исходной заготовки; сильно развитые
«швы прокатки» (лампасы) на трубных заготовках, которые приводят при дальнейшей
прокатке к закатам.
Раковины (рис. 2.28) -
напластование материала в форме небольших или крупных образований, которые при
последующей горячей деформации отделяются в виде напусков. Из-за скручивания
материала при поперечно-винтовой прокатке раковины располагаются по спирали на
поверхности трубы. Могут наблюдаться на наружной и внутренней поверхностях
трубы. Возникают из-за различных дефектов сталеплавильного производства; плохой
поверхности исходных заготовок; негомогенность по сечению исходных заготовок
Межкристаллитная коррозия (рис.
2.29)- селективная распространяющаяся по границам зерен коррозия сталей. В
агрессивных, коррозионных средах активизируется разъедание обедненных хромом
зон вдоль границ зерен (за счет преимущественного выделения карбидов в этих
объемах), в то время как необедненные хромом объемы остаются пассивными.
Процесс коррозии проходит вдоль границ зерен, что приводит к образованию
глубоких трещин и межзеренному разрушению.
Рис. 2.23. Наружные вмятины
Рис. 2.24. Вмятины на внутренней поверхности
Рис. 2.25. Риски на внутренней поверхности
Рис. 2.26. Канавки
или царапины
Рис.2.27. Закат
Рис. 2.28. Раковины
Рис. 2.29. Межкристалитная коррозия
Очагами преждевременного разрушения сварных
соединений конструктивных элементов МНГС являются имеющиеся в них дефекты,
число которых остается высоким. По данным МВТУ им. Н.Э. Баумана, в настоящее
время 25% сварных соединений на опасных производственных объектах
эксплуатируемых в РФ, содержат дефекты, превышающие требования допустимых норм.
Вместе с тем, остаточно часто происходят случаи усталостного разрушения,
очагами которых становились небольшие дефекты, соответствующие требованиям. Это
можно объяснить тем, что недостаточно корректно оцениваются все факторы,
играющие роль в снижении сопротивлению усталостному разрушению. Понижение
циклической долговечности сварных соединений с дефектами ранее связывали с
уменьшением площади поперечного сечения шва. В качестве подтверждения
приводились данные о сопротивлении усталости пористых соединений и сварных
стыков с непроварами. Так, например, наличие пористости до 0,5% снижало предел
выносливости на 52 МПа, при 2% предел выносливости сокращался до 130Мпа, а в
случае пористости до 8% предел выносливости сокращался до 110Мпа. Дальнейшее
развитие по установлению допустимости дефектов сварных соединений связано с
установлением коэффициентов концентрации напряжений, зависящих от формы
сварного соединения и параметров исследуемого дефекта.
В свою очередь, это говорит о том, что в случае
превосходящих значений концентрации напряжений (ККН), зависящих от формы над
ККН, зависящих от характеристик дефекта, несущая способность МНГС будет
напрямую зависеть от формы сварного соединения. В обратном случае,
сопротивление усталостному разрушению будет зависеть от характеристик дефекта и
должна оцениваться по экспериментальным данным. При этом все дефекты следует
разделять на две группы: плоские и объемные. Такое разделение обусловлено
различием методов теоретического и экспериментального решения задач
распределения напряжений в зонах технологических отклонений. К плоским
относятся дефекты, выходящие на поверхность сварного соединения или имеющие
большую протяженность. К объемным причислены все дискретные дефекты, а именно
единичные поры, отдельные короткие цепочки, местные несплавления. Более
подробно описание дефектов сварных соединений МНГС приведено в таблице 2.2.
Таблица 2.2. Дефекты сварных соединений морских
нефтегазовых сооружений
|
Поры
- газовая полость, представляющая собой несплошность произвольной формы,
образованная газами, задержанными в расплавленном металле. Различают
следующие виды пор:
|
|
Наименование
поры
|
Изображение
дефекта
|
|
Единичная
пора (сферическая или удлинённая) - газовая полость, которая нарушает
сплошность поверхности сварного шва.
|
|
|
Скопление
пор - группа газовых полостей (три или более), расположенных кучно, с
расстоянием между ними менее трех максимальных размеров большей из полостей.
|
|
|
Цепочка
пор - ряд газовых пор, расположенных в линию, обычно параллельно оси сварного
шва, с расстоянием между ними менее трех максимальных размеров большей из
пор.
|
|
|
Свищ
- трубчатая полость в металле сварного шва, вызванная выделением газа. Обычно
свищи группируются в скопления и распределяются елочкой.
|

|
|
Усадочная
раковина - полость, образующаяся вследствие усадки во время затвердевания.
|
|
|
Кратер
- усадочная раковина в конце валика сварного шва, не заваренная до или во
время выполнения последующих проходов.
|
Форма
аналогичная предыдущей схеме
|
|
Твёрдые
включения - твердые инородные вещества металлического или неметаллического
происхождения в металле сварного шва.
|
|
Шлаковое
включение (единичное компактное) - шлак, попавший в металл сварного шва.
|
|
|
Линейные
шлаковые включения (цепочки)
|
|
|
Разобщенные
шлаковые включения (скопления)
|
|
|
Флюсовое
включение (единичное компактное), попавшее в металл сварного шва. Флюсовые
включения также разделяются на цепочки и скопления.
|
Форма
аналогична единичным, линейным и разобщенным шлаковым включениям
|
|
Оксидное
включение, попавшее в металл сварного шва во время затвердевания
|
-//-
|
|
Металлическое
включение - частица инородного металла, попавшая в металл сварного шва.
|
-//-
|
|
Несплавление
и непровар в сварном шве - отсутствие соединения между металлом сварного шва
и основным металлом (по разделке кромок).
|
|
Несплавление
или непровар
|
|
|
Нарушения
формы шва - отклонение формы наружных поверхностей сварного шва или геометрии
соединения от установленного значения.
|
|
Наименование
нарушения формы [нормы браковки]
|
Изображение
дефекта
|
|
Подрез
- углубление продольное на наружной поверхности валика сварного шва,
образовавшееся при сварке.
|
|
|
|
Превышение выпуклости стыкового шва
- избыток (недостаток) наплавленного металла на лицевой стороне стыкового шва
сверх установленного значения. 
|
|
|
|
Превышение
выпуклости (вогнутости) углового шва - избыток (недостаток) наплавленного
металла на лицевой стороне углового шва (на всей длине или на участке) сверх
установленного значения.
|
|
|
Наплав
- избыток наплавленного металла сварного шва, натекший на поверхность
основного металла, но не сплавленный с ним. Является очагом динамичного
возникновения трещин.
|
|
|
Линейное
смещение - смещение между двумя свариваемыми элементами, при котором их
поверхности располагаются параллельно, но не на требуемом уровне.
|
|
|
Угловое
смещение - смешение между двумя свариваемыми элементами, при котором их
поверхности располагаются под углом, отличающимся от требуемого.
|

|
|
Натек
- металл сварного шва, осевший вследствие действия силы тяжести и не имеющий
сплавления с соединяемой поверхностью.
|
|
|
натек
при горизонтальном положении сварки;
|
|
|
натек
в нижнем или потолочном положении сварки;
|
|
|
натек
в угловом сварном шве;
|
|
|
Неполностью
заполненная разделка - продольная непрерывная или прерывистая канавка на
поверхности сварного шва из-за недостаточности присадочного металла при
сварке.
|
|
|
Чрезмерная
асимметрия углового шва - чрезмерное превышение размеров одного катета над
другим.
|
|
|
Неравномерная
ширина шва - отклонение ширины от установленного значения вдоль сварного шва.
|
|
|
Неровная
поверхность - грубая неравномерность формы поверхности усиления шва по длине.
|
 
|
|
Возобновление
- местная неровность поверхности в месте возобновления сварки.
|

|
.3 Систематизация воздействий на МНГС,
приводящих к образованию усталостных трещин
Как уже говорилось ранее, существует
принципиальная разница между понятиями «нагрузка» и «воздействия». Если же
вопросам влияния нагрузок, вызывающих переменные напряжения, и соответственно
развитие усталостных трещин уделялось некоторое внимание, то вопросам «влияния
воздействий», которые также создают различные переменные напряжения, по мнению
авторов, разработаны не в полном объеме. В настоящее время применительно к
морским нефтегазовым сооружениям отсутствует методика, которая позволяла бы
предметно описать как природу этих воздействий, так и дать
численно-аналитические зависимости влияния этих воздействий на параметры
возникновения и развития усталостных трещин. Немногочисленные исследования
отечественных и зарубежных авторов, изучавших эти вопросы, рассеяны по
различным областям науки, а решения, предложенные ими, не могут быть легко
адаптированы применительно к МНГС. Поэтому авторами ставится задача систематизировать
воздействия, влияющие на развитие усталостных трещин морских нефтегазовых
сооружений, и разработать математический аппарат, позволяющий определить
конкретные числовые значения переменных напряжений, вызываемыми этими
воздействиями, и дать заключение о степени их влияния на исследуемый процесс
усталостного трещинообразования. Статистические данные об условиях эксплуатации
морских нефтегазовых сооружений позволяют выделить три вида основных
воздействий, влияющих на развитие усталостных трещин - коррозионное,
вибрационное и температурное.
В данном проекте рассмотрим более подробно
влияние переменных температурных полей.
К настоящему моменту нагрузки и воздействия от
коррозии и вибраций достаточно хорошо изучены, получены уравнения, позволяющие
численно оценить их величины и характер воздействия на МНГС. Однако за
пределами этих исследований находится изучение влияния переменных температурных
полей на надежность и безопасность эксплуатации морских нефтегазовых
сооружений. Поэтому авторами ставится задача оценить степень влияния переменных
температурных полей на развитие одного из самых опасных дефектов
МНГС-усталостной трещины. Рассмотрим вопрос воздействия температурных полей
более подробно. По мнению авторов, целесообразно выделить три класса зон
температурного воздействия: 1) подводную; 2) атмосферную; 3) переменного
смачивания; 4) ледового воздействия. Подводная зона характеризуется
неоднородным температурным полем, обусловленными различными течениями,
температуры в этой зоне колеблются от 00С и выше. Атмосферная зона
характеризуется колебанием температур от -650С до +5… +100С
на Северных месторождениях и от +100С до +600С на
месторождениях стран Персидского залива. Зона ледового воздействия в нашем
случае рассматривается как глубина промерзания. Наиболее неблагоприятная с
точки зрения кинетики воздействия температурных полей является зона
периодического смачивания, т.к. она находится в зоне действия атмосферного
температурного поля и температурного поля набегающих волновых потоков,
характеризующихся высокой частотой. Помимо этого надо учитывать ежесуточное
изменение температуры (температурные циклы день-ночь-день) и сезонное изменение
температуры. Чередование нагрева с последующим охлаждением создает по телу
конструктивных элементов МНГС значительные температурные напряжения. Опасными
являются напряжения растяжения, в результате которых на поверхности
конструктивных элементов МНГС возникают трещины термоусталости. Сам этот
процесс можно представить следующим образом. В полуцикле нагрева по всему объему
конструктивного элемента МНГС действуют постоянные сжимающие напряжения и
переменное во времени температурное поле. В результате этого к моменту
окончания нагрева может реализоваться пластическая деформация сжатия,
распределение которой по длине конструктивного элемента МНГС описывается
экспоненциальной кривой. В полуцикле охлаждения по аналогичным причинам могут
возникать пластические деформации растяжения, распределение которых может быть
различным. При несовпадении полей деформаций в течение полного цикла
компенсации макродеформации разного знака не произойдет. Их разность в сечении
образца будет иметь определенную величину. Накопление этих деформаций под
действием переменного температурного поля может инициировать рост усталостных
трещин до их критической величины, приводящей к разрушению конструкции.
Ситуация значительно усугубляется при рассмотрении морских нефтегазопроводов,
т.к. в этой ситуации помимо уже перечисленных случаев возникает третье
температурное поле со стороны перекачиваемого продукта. Как правило, это поле
значительно отличается от температуры окружающей среды и имеет некоторую свою
величину, что обусловлено увеличением вязкости нефти и невозможностью ее
транспортировки по трубопроводам ниже определенных температур или образованием
газоконденсатных пробок при перекачке газа. Кроме того, температура нефти,
выходящей из скважины, может доходить до 100оС. Поэтому решение
задачи о влиянии переменного температурного поля на надежность, безопасность и
долговечность МНГС является актуальным и своевременным. Решение этой задачи
предлагается на основе классической теории термоупругости и сводится к
следующим этапам. Первым шагом является определение температурных полей,
действующих в сечениях конструктивных элементов МНГС. Второй шаг заключается в
определении зависимости между температурным полем и напряжением от его
действия.
Температурные поля, напряжения и деформации в
конструктивных элементах МНГС взаимосвязаны. Как известно из классической
теории термоупругости в твердом теле перенос тепла осуществляется одной только
теплопроводностью, имеющей молекулярно-атомный характер. Теплопередача на
поверхности тела может происходить тремя способами: теплопроводностью,
конвекцией и излучением. Конвективный перенос тепла осуществляется движением
среды, омывающей поверхность тела. Рассматривая условия эксплуатации МНГС к
конвективному переносу следует отнести как передачу тепла со стороны окружающей
среды, так и со стороны потока перекачиваемого продукта (нефти или газа).
Конвективный теплообмен возникает в условиях совместного протекания процессов
конвективного переноса тепла и переноса тепла теплопроводностью.
Различают следующие виды теплообмена: при
свободной конвекции, возникающей при естественном перемещении частиц жидкости
вследствие неравномерной ее плотности, обусловленной неравномерным нагревом,
что характерно для подводных течений;
При вынужденной конвекции в результате движения
жидкости от различного рода воздействий (перекачка потока нефти или газа по
подводному трубопроводу, волновое воздействие, атмосферные потоки и т.д.).
Теплообмен при вынужденной конвекции происходит значительно более интенсивно,
чем при свободной. Для конвективного теплообмена важно состояние так
называемого пограничного слоя, т. е. области потока, прилегающей к поверхности
обтекаемого тела, в пределах которой скорость потока резко изменяется от
скорости свободного потока до скорости на поверхности тела. В тонком
пограничном слое вблизи поверхности следует учитывать эффекты вязкости и
теплопроводности жидкости. Течение жидкости в пограничном слое может быть
ламинарное, когда ее частицы перемещаются слоями, и турбулентное, при котором
эти частицы совершают пульсационные движения, приводящие к интенсивному
перемешиванию слоев жидкости. Турбулентное течение возникает в результате
потери устойчивости ламинарного течения. Условие перехода ламинарного течения в
турбулентное определяется некоторым критическим числом Рейнольдса, которое
является критерием подобия течения вязкой жидкости. Теплообмен при ламинарном
течении осуществляется в основном теплопроводностью, а при турбулентном течении
- главным образом за счет переноса тепла пульсационными макроскопическими
движениями жидкости.
Коэффициент теплоотдачи при турбулентном течении
может быть во много раз больше, чем при ламинарном и изменяется в очень широких
пределах. Для его определения используются критерии Нуссельта и Прандтля.
При течении с большой скоростью вследствие
перехода кинетической энергии потока в тепловую существенно повышается
температура в пограничном слое. В таком случае вместо температуры свободного
потока следует рассматривать так называемую адиабатическую температуру стенки,
под которой понимается температура на поверхности, когда отсутствует
теплопередача в тело. Эта температура определяется по формуле:

,
где 
и 
- соответственно температура и
скорость свободного потока нефти или газа; 
- коэффициент восстановления,
показывающий, какая часть кинетической энергии свободного потока переходит в
его теплосодержание на поверхности; 
удельная массовая теплоемкость нефти
или газа при в зависимости от давления. Коэффициент восстановления в
зависимости от состояния пограничного слоя определяется критерием Прандтля.
Как уже отмечалось ранее,
механизм развития усталостных трещин от температурных воздействий во многом
повторяет действия механизмов трещинообразования от коррозионных и вибрационных
воздействий. При многократном повторении циклов изменения температуры создаются
переменные напряжения, которые и являются источником развития усталостных
трещин. Многократные цикличиские изменения температуры приводят к накоплению
остаточной пластической макродеформации, распределенной некоторым образом по
длине конструктивного элемента МНГС. В процессе термоциклинирования в любом
случае все объемы материала циклически деформируются, но накопление локальной
пластической деформации имеет место в том случае, если поля пластических
деформаций в полуциклах растяжения и сжатия отличаются. При треугольном цикле
поля деформаций близки по форме и по величине, поэтому остаточная пластическая
деформация за цикл мала. В случае трапецеидального цикла за время выдержки
образца при максимальной температуре происходит выравнивание температурного
поля по его длине. В момент охлаждения поле деформаций резко изменяет форму, вследствие
чего от цикла к циклу накапливается значительная пластическая деформация.
Однако, независимо от причин, вызывающих явление формоизменения, при оценке
долговечности необходимо учитывать влияние процессов направленного
пластического деформирования в локальных зонах. Поэтому для большинства
металлов и сплавов очень важным является знание напряжений и деформаций при
любом цикле теплового нагружения. В случае линейного упрочнения материала,
сжимающие и растягивающие напряжения после первого цикла соответственно могут
быть определены так:
где л - коэффициент упрочнения,
-тепловая деформация
Напряжения при нагреве и при
охлаждении при N циклов

Из этих формул видно, что
повторяемость диаграмм деформирования наступает после сравнительно небольшого
числа теплосмен.
Величина, характеризующая,
насколько пластическая деформация сжатия отличается от пластической деформации
растяжения при N циклах равна
В случае нелинейного упрочнения
материала разность между пластической деформацией при нагреве и охлаждении от
цикла к циклу уменьшается, скорость уменьшения зависит от способности материала
к упрочнению.
Изменение физико-механических
свойств материалов в результате температурного воздействия нарушает их
способность к пластическому деформированию. Тепловые напряжения могут вызвать
появление трещин и разрушение конструкций из различных сталей, в том числе и
материала с повышенной хрупкостью. Поэтому знание зависимости трещиностойкости
материала от температуры, величины и характера действия тепловых напряжений
необходимо для всестороннего анализа прочности конструкции, в частности их
трещиностойкости, которая определяется на основании данных из температурных
задач теории трещин.
Выводы
. Рассмотрены основные
виды и формы трещин на морских нефтегазовых сооружениях.
2. Показаны механизмы
роста усталостных трещин.
. Систематизированы и
обоснованы воздействия, вызывающие рост усталостных трещин, которые ранее не
учитывались.
. Разработаны
предпосылки позволяющие провести численно-аналитическое моделирования влияния
нагрузок и воздействий на скорость роста усталостных трещин.
трещина морской нефтегазовый
напряженный
Глава 3. Определение напряженного состояния,
вызванного стационарными и переменными температурными полями, воздействующими
на МНГС
Как было сказано выше, в течении всего срока
эксплуатации МНГС подвергаются воздействию различных температурных полей,
вызывающих изменения напряженного состояния МНГС, что является задача
актуальной и своевременной задачей. Следует отметить принципиальную разницу
между стационарными и переменными температурными полями: стационарное
температурное поле применимо к морским нефтегазопроводам и характеризуется
тепловым полем перекачиваемого по морским нефтегазопроводам продукта,
практически не изменяется во времени, вызывая длительные постоянные напряжения,
обусловленные разницей между температурными полями внутренней и наружной стенок
трубы; переменное температурное поле применимо к тем конструктивным элементам
МНГС, по которым не производится перекачка нефти и газа, например опорный блок
МСП, и температурное поле которых определяется лишь исходя из условий
окружающей среды. Переменное температурное поле характеризуется своими частыми
изменениями, и вызываемыми им переменными напряжениями.
Первым шагом, который необходимо сделать для
определения величины переменных температурных напряжений, является определение
температурного поля конструктивного элемента МНГС (как элемента опорного блока
МСП, так и морского трубопровода). Рассмотрим задачу определения
осесимметричного температурного поля конструктивного элемента МНГС, имеющего
цилиндрическую форму и некоторую длину l
. Между поверхностью этого элемента и окружающей средой происходит теплообмен.
Предполагаем, что температура среды в некоторый момент времени равна Тср
= const.
Рис. 3.1. Цилиндр
Эта задача описывается дифференциальным
уравнением:

,
при начальном условии 
и граничных условиях:

где 
- коэффициенты теплоотдачи на
внутренней и наружной поверхностях 
и 
соответственно; 
и 
- коэффициенты теплоотдачи на
поверхностях 
- коэффициенты соответственно
теплопроводности и температуропроводности материала конструктивного элемента
МНГС.
Исходя из соображений, приведенных в
[], решение уравнения (3.1) при начальном условии (3.2) и граничных условиях
(3.3) выбираем в виде

Подставляя выражение (3.4) в
уравнение (3.1) и в условия (3.2) и (3.3), получаем:



Уравнения (3.5) - (3.7)
удовлетворяются, если 
является решением уравнения

,
при начальном условии

,
при граничных условиях

а 
- решением уравнения

при начальном условии
и граничных условиях


.
Из формул (3.8) - (3.11) видно, что
функция 
является решением задачи о
нестационарной теплопроводности длинного цилиндра
а функция 
- решением задачи о нестационарной
теплопроводности неограниченной пластины
Подставляя выражения для функций 
в решение (3.10.4) и выполняя
необходимые преобразования, получаем температурное поле цилиндра конечной длины
при нестационарном конвективном теплообмене между его поверхностями и
окружающей средой:

,
где 
,

- корни уравнений (3.9.11) и
(3.7.20); значения 
, 
определяются соответственно
выражениями (3.7.24), (3.7.25) и (3.9.24).
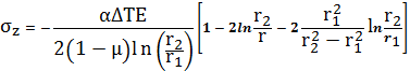
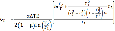
Совершенно очевидно, что такое
решение является чрезвычайно сложным. Совершенно очевидно, что изменения
температуры полых цилиндрических элементов зависит от условий окружающей среды
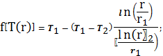
и изменяется по логарифмическому закону. Исходя из соображений, приведенных в
[], и упрощая полученные выражения, перейдем к следующей форме определения
температурного поля конструктивных элементов МСП:

- функция распределения температуры
по сечению конструктивных элементов МНГС; 
и 
- температура на внутренней и
наружной поверхности цилиндра соответственно, 
рассматриваемая координата,
расположенная внутри сечения исследуемого конструктивного элемента МНГС, 
и 
- внутренний и наружный диаметры.
Рассмотрим опорный блок. Как уже
говорилось ранее, разделим его на условные зоны: надводная, переменного
смачивания, подводная. Рассмотрим надводную зону. На первый взгляд казалось бы,
что температурное поле в этой зоне определяется температурой атмосферы. Однако,
как показали проведенные на МСП замеры, температура конструктивных элементов
МНГС сильно зависит от солнечной радиации, и их фактическая температура в
вершине цикла (т.е. максимальная температура) в самый жаркий период года
составляет порядка 60 градусов. Отметим, что фактическое состоянии МСП имеет
многочисленные сквозные повреждения, что позволяет выполнить замеры, как с
наружной, так и с внутренней поверхности конструктивных элементов МСП.
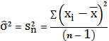
Результаты этих замеров приведены в таблице 1. Произведем обработку результатов
измерения по методике, изложенно в []. Рассчитаем среднее значение по формуле:
Где х - результаты измерений; n -
количество измерений.
Определим дисперсию
И вычислим среднеквадратическую
ошибку среднего по формуле:
Определим требуемый уровень
доверительной вероятности Р. Как правило в промышленности Р принимается равным
в диапазоне от 95% до 99%. Определим по таблице 0 коэффициент Стьюдента t (P, n-1) и модуль
доверительного интервала по формуле:
Определим конечный результат по
формуле:
Таблица 3.1. Величины t для
различных значений доверительного уровня P
|
n-1
|
P=68,3%
|
P=95%
|
P=99%
|
P=99,73%
|
|
(1) 2 3 4 5 6 7 8 9 10 15 20 30 50 100 200
|
(1.8)
1.32 1.20 1.15 1.11 1.09 1.08 1.07 1.06 1.05 1.03 1.03 1.02 1.01 1.00 1.00
|
(12.7)
4.70 3.18 2.78 2.57 2.45 2.37 2.31 2.26 2.23 2.13 2.09 2.04 2.01 1.98 1.97
|
(64)
9.9 5.8 4.6 4.0 3.7 3.5 3.4 3.2 3.2 3.0 2.8 2.8 2.7 2.6 2.6
|
(235)
19.2 9.2 6.6 5.5 4.9 4.5 4.3 4.1 4.0 3.6 3.4 3.3 3.2 3.1 3.0
|
|
Предел
|
1.00
|
1.96
|
2.58
|
3.0
|
Рис. 3.2 Измерения проводились при помощи
биметаллического термометра лабораторного термометра с зондом фирмы testo.
Таблица 3.2. Данные замеров максимального
температурного поля поверхностных слоев МСП
|
Май
|
Июнь
|
Июль
|
Август
|
Сентябрь
|
|
Внешняя
поверхность
|
35
|
45
|
55
|
60
|
28
|
|
Внутренняя
поверхность
|
34
|
45
|
54
|
60
|
26,5
|
Приведенные данные говорят о том,
что разница температурного поля между внутренней и наружной поверхностью
конструктивных элементов МСП практически отсутствует. Это объясняется тем, что
фактически отсутствуют резкие перепады температур, само температурное поле
медленно изменяется во времени, постепенно равномерно распространяясь по всем
сечениям конструктивных элементов МСП, что говорит о том что 
.
Проанализируем архивные данные
температурного режима эксплуатации МСП и трубопровод в атмосферной зоне и
построим график (рис. 3.3). Из графика следует, что максимальная температура
атмосферы достигла значения 31,5 градуса Цельсия, а минимальное зафиксированное
-13,5 градуса Цельсия.
Рис. 3.3. Изменение атмосферного
температурного режима в районе Субботинского месторождения Черного моря.
Рассмотрим температурный режим
подводной части МСП и трубопровода, после чего сведем эти данные в таблицу.
Наиболее сильные колебания температур отмечаются на глубинах до 50 метров, ниже
этой отметки изменения температуры практически не происходит. По данным
приведенным в [], начиная с зоны глубиною от 50метров температура практически
не меняется и находится в пределах +8 градусов Цельсия. И до глубины 1500метров
температура находится приблизительно в пределах +9 градусов Цельсия. Это
говорит о том, что с увеличением глубины влияние переменных температурных
напряжений на развитие усталостных разрушений падает. Результаты их расчета
будут приведены ниже. Анализируя данные, можно сказать, что температурный режим
моря на глубине до 30 метров определяется в первую очередь фактором температуры
атмосферного воздуха. Постепенно с увеличением глубины до 50 метров влияние этого
фактора падает и температура приближается к постоянной отметке +9 градусов
Цельсия.
Таблица 3.3. Данные об изменении
температуры морской воды в районе Субботинского месторождения Черного моря
|
Горизонт
м
|
Январь
|
Февраль
|
Март
|
Апрель
|
Май
|
Июнь
|
Июль
|
Август
|
Сентябрь
|
Октябрь
|
Ноябрь
|
Декабрь
|
|
0
|
7,7
|
7,2
|
6,8
|
9,2
|
14,1
|
19,8
|
22,8
|
23,8
|
20,8
|
18,7
|
11,7
|
9,5
|
|
10
|
7,7
|
7,1
|
6,8
|
9,0
|
12,8
|
18,5
|
21,8
|
23,6
|
20,7
|
18,6
|
11,8
|
9,6
|
|
20
|
7,7
|
7,0
|
6,7
|
8,4
|
10,2
|
11,9
|
12,2
|
13,6
|
19,2
|
17,9
|
11,6
|
9,6
|
|
30
|
7,7
|
7,0
|
6,6
|
7,7
|
7,9
|
7,8
|
8,5
|
9,0
|
9,1
|
12,0
|
10,4
|
9,2
|
|
50
|
7,6
|
7,4
|
7,3
|
7,6
|
7,4
|
7,3
|
7,4
|
7,6
|
7,2
|
8,0
|
7,6
|
7,8
|
|
100
|
8,3
|
8,4
|
8,4
|
8,4
|
8,3
|
8,3
|
8,4
|
8,3
|
8,3
|
8,2
|
8,3
|
8,3
|
|
200
|
8,7
|
8,7
|
8,7
|
8,7
|
8,7
|
8,7
|
8,7
|
8,7
|
8,7
|
8,7
|
8,7
|
8,7
|
|
500
|
8,9
|
8,9
|
8,9
|
8,9
|
8,9
|
8,9
|
8,9
|
8,9
|
8,9
|
8,9
|
8,9
|
8,9
|
|
1000
|
9,0
|
9,0
|
9,0
|
9,0
|
9,0
|
8,9
|
8,9
|
8,9
|
9,0
|
8,9
|
8,9
|
9,0
|
|
1500
|
9,0
|
9,0
|
9,1
|
9,0
|
9,0
|
9,0
|
9,0
|
9,0
|
9,0
|
9,0
|
9,0
|
9,0
|
Перейдем к решению задачи определения переменных
напряжений, вызванных изменением температуры. Определим напряженное состояние
полого конструктивного элемента МСП, имеющего цилиндрическую форму.
Рассмотрим длинный полый цилиндр,
поперечное сечение которого представляет круговое кольцо с радиусами наружной и
внутренней окружностей соответственно
и 
. В таком цилиндре при описанных
выше температурных условиях эксплуатации возникает температурное поле Т (
, t), сопровождаемое напряжением и
деформацией. Температурное поле определяется исходя из уравнений, описанных
выше. Вводя относительный радиус 
, дважды интегрируя уравнение

и применяя уравнение

,
находим

;
постоянные интегрирования С1
и С2 определяются из условий 
.
После определения постоянных
интегрирования и подстановки их значений в выражения получаем
Где бТ - коэффициент
линейного расширения металла трубы; Е - модуль упругости материала трубы;
- расчетный
перепад температур, принимаемый положительным при нагревании; с-относительный
радиус, определяемый из отношения координаты r к внешнему
диаметру; м-коэффициент Пуассона.
Так как торцевые поверхности
конструктивных элементов МСП жестко закреплены от осевого перемещения (сварные
соединения), то как это показано в [], напряжениями уr и уи можно
пренебречь, а напряжения уz при
увеличении температуры будут являться растягивающими, и сжимающими с ее
понижением. Исходя из вышеприведенного определим переменное напряженное
состояние по формуле:
Где 
- величина переменного напряжения
цикла; 
-напряженное состояние, вызванное
максимальной температурой цикла; 
- напряженное состояние, вызванное
минимальной температурой цикла. Перейдем к практическим расчетам. Приведем
некоторые характеристики сталей, используемых в конструктивных элементах МНГС
(таблица 4).
Таблица 3.4. Характеристика сталей
конструктивных элементов МНГС*
|
Материал
|
Температура
|
Kкоэффициента
теплового расширения б,10−6 1/0С
|
Коэффициент
Пуассона, м
|
|
-40
|
-30
|
-20
|
-10
|
0
|
10
|
20
|
30
|
40
|
50
|
|
|
|
Модуль
упругости Е, ГПа (104 Н/мм2)
|
|
|
|
Вст3сп5,
Ст10, Ст20
|
20,6
|
20,5
|
20,4
|
20,3
|
20,2
|
20,1
|
20
|
19,9
|
19,8
|
19,7
|
11,5
|
0,28
|
|
09Г2С,
17Г1С
|
21,6
|
21,5
|
21,4
|
21,3
|
21,2
|
21,1
|
21
|
20,9
|
20,8
|
20,7
|
11,5
|
0,30
|
*-по данным ПНАЭ Г-7-002-86
Определим изменения напряженного состояния
конструктивных элементов МСП, выполненных из различных марок стали и
отличающихся диаметром и толщиной стенки, находящихся под влиянием переменного
температурного поля, при изменении температуры на ДТ=5, 10, 15, 20, 25 и 30
градусов. Результаты сведем в таблицу 3.5.
Таблица 3.5. Величина переменного напряжения Дуz
возникающего в конструктивном элементе МСП от воздействия переменного
температурного поля в надводной и подводной зоне в течении одного цикла, Н/мм2
|
Величина
изменения температурного поля за цикл, ДТ0 (С)
|
Диапазон
эксплуатационных температур конструктивных элементов МСП, Т0 (С)
|
|
-400
|
-300
|
-200
|
-100
|
00
|
100
|
200
|
300
|
400
|
50
|
|
Конструктивный
элемент: ш1220х12 Материал: Вст3сп5
|
5
|
11,85
|
11,79
|
11,73
|
11,67
|
11,62
|
11,56
|
11,50
|
11,44
|
11,39
|
11,33
|
|
10
|
23,69
|
23,58
|
23,46
|
23,35
|
23,23
|
23,12
|
23,00
|
22,89
|
22,77
|
22,66
|
|
15
|
35,54
|
35,19
|
35,02
|
34,85
|
34,67
|
34,50
|
34,33
|
34,16
|
33,98
|
|
20
|
47,38
|
47,15
|
46,92
|
46,69
|
46,46
|
46,23
|
46,00
|
45,77
|
45,54
|
45,31
|
|
25
|
59,23
|
58,94
|
58,65
|
58,36
|
58,08
|
57,79
|
57,50
|
57,21
|
56,93
|
56,64
|
|
30
|
71,07
|
70,73
|
70,38
|
70,04
|
69,69
|
69,35
|
69,00
|
68,66
|
68,31
|
67,97
|
|
Конструктивный
элемент: ш720х16 Материал: Вст3сп5
|
5
|
11,85
|
11,79
|
11,73
|
11,67
|
11,62
|
11,56
|
11,50
|
11,44
|
11,39
|
11,33
|
|
10
|
23,69
|
23,58
|
23,46
|
23,35
|
23,23
|
23,12
|
23,00
|
22,89
|
22,77
|
22,66
|
|
15
|
35,54
|
35,36
|
35,19
|
35,02
|
34,85
|
34,67
|
34,50
|
34,33
|
34,16
|
33,98
|
|
20
|
47,38
|
47,15
|
46,92
|
46,69
|
46,46
|
46,23
|
46,00
|
45,77
|
45,54
|
45,31
|
|
25
|
59,23
|
58,94
|
58,65
|
58,36
|
58,08
|
57,79
|
57,50
|
57,21
|
56,93
|
56,64
|
|
30
|
71,07
|
70,73
|
70,38
|
70,04
|
69,69
|
69,35
|
69,00
|
68,66
|
68,31
|
67,97
|
|
Конструктивный
элемент: ш530х12 Материал: 17Г1С
|
5
|
12,41
|
12,36
|
12,30
|
12,24
|
12,18
|
12,13
|
12,07
|
12,01
|
11,95
|
11,90
|
|
10
|
24,83
|
24,71
|
24,60
|
24,48
|
24,37
|
24,25
|
24,14
|
24,02
|
23,91
|
23,79
|
|
15
|
37,24
|
37,07
|
36,90
|
36,72
|
36,55
|
36,38
|
36,21
|
36,03
|
35,86
|
35,69
|
|
20
|
49,65
|
49,42
|
49,19
|
48,96
|
48,73
|
48,50
|
48,27
|
48,04
|
47,81
|
47,58
|
|
25
|
62,07
|
61,78
|
61,49
|
61,20
|
60,92
|
60,63
|
60,34
|
60,06
|
59,77
|
59,48
|
|
30
|
74,48
|
74,14
|
73,79
|
73,45
|
73,10
|
72,76
|
72,41
|
72,07
|
71,72
|
71,38
|
|
Конструктивный
элемент: ш426х12 Материал: 17Г1С
|
5
|
12,42
|
12,37
|
12,31
|
12,25
|
12,19
|
12,14
|
12,08
|
12,02
|
11,96
|
11,90
|
|
10
|
24,85
|
24,73
|
24,62
|
24,50
|
24,39
|
24,27
|
24,16
|
24,04
|
23,92
|
23,81
|
|
15
|
37,27
|
37,10
|
36,92
|
36,75
|
36,58
|
36,41
|
36,23
|
36,06
|
35,89
|
35,71
|
|
20
|
49,69
|
49,46
|
49,23
|
49,00
|
48,77
|
48,54
|
48,31
|
48,08
|
47,85
|
47,62
|
|
25
|
62,11
|
61,83
|
61,54
|
61,25
|
60,96
|
60,68
|
60,39
|
60,10
|
59,81
|
59,52
|
|
30
|
74,54
|
74,19
|
73,85
|
73,50
|
73,16
|
72,81
|
72,47
|
72,12
|
71,77
|
71,43
|
Рассмотрим подводный трубопровод. Температурный
режим работы такого трубопровода определяется в первую очередь температурой
перекачиваемого продукта, а во вторую условиями окружающей среды (подводной и
надводной) и параметрами теплоотвода в нее. Рассмотрим напряжения, возникающие
в различных сечениях трубопровода и оценим величину их изменения по методике.
При возникновении температурного перепада между внутренней и наружной стенками
нефтегазопровода возникают радиальные напряжения - уr,
продольные -уz
и кольцевые уи. Напряженное состояние определяется следующим
образом:
Определим напряжения, возникающие в нефтепроводе
выполненном из стали 09Г2С, перекачивающим нефть, и имеющим температуру на
внутренней стенке трубы Т1 и на наружной стенке трубы Т2.
Разница между температурами внутренней и наружной стенками нефтепровода
определяется как ДТ= Т1 -Т2. В зависимости от того, какая
температура будет больше на внутренней или наружной стенке нефтепровода, будут
менять свой знак и направление возникающие напряжения. При положительном
перепаде температур ДТ опасными являются точки на внутренней поверхности трубы.
Расчеты производятся при модуле упругости Е=21,2*104 Н/мм2.
Ставится задача оценить распределение температурных напряжений в зависимости от
положения сечения нефтепровода. Результаты сведем в таблицу 3.6.
Несколько более сложным является вопрос
определения кольцевых напряжений. Рассчитаем по методике
Где
-
коэффициент линейного расширения металла трубы; Е - модуль упругости материала
трубы;
- расчетный
перепад температур, принимаемый положительным при нагревании; м-коэффициент
Пуассона,
где
принимается равным минимальному
значению временного сопротивления
вр по
государственным стандартам и техническим условиям на трубы; m -
коэффициент условий работы трубопровода, принимаемый равным 0,9; K1
коэффициенты безопасности по материалу, принимаемый равным 1,55;Kн -
коэффициент надежности, принимаемый равным 1.
Отсюда следует, что для стали 09Г2С
Таблица 3.6. Температурные напряжения,
возникающие при перепаде температур внутренней и наружной стенок трубы, Н/мм2
|
Положение
сечения нефтепро-вода, R
|
Разница
температур между внутренней и наружной стенками нефтегазопровода, ДТ, 0С
|
|
0,1
|
0,2
|
0,3
|
0,4
|
0,5
|
0,6
|
0,7
|
0,8
|
0,9
|
1
|
1,1
|
1,3
|
1,5
|
1,7
|
1,9
|
2
|
2,5
|
3
|
|
Продольные
напряжения уz, Н/мм2
|
|
505
|
-0,18
|
-0,35
|
-0,53
|
-0,71
|
-0,89
|
-1,06
|
-1,24
|
-1,42
|
-1,59
|
-1,77
|
-1,95
|
-2,30
|
-2,66
|
-3,01
|
-3,36
|
-3,54
|
-4,43
|
-5,31
|
|
506
|
-0,16
|
-0,33
|
-0,49
|
-0,65
|
-0,82
|
-0,98
|
-1,14
|
-1,30
|
-1,47
|
-1,63
|
-1,79
|
-2,12
|
-2,45
|
-2,77
|
-3,10
|
-3,26
|
-4,08
|
-4,89
|
|
507
|
-0,15
|
-0,30
|
-0,45
|
-0,60
|
-0,75
|
-0,89
|
-1,04
|
-1,19
|
-1,34
|
-1,49
|
-1,64
|
-1,94
|
-2,24
|
-2,53
|
-2,83
|
-2,98
|
-3,73
|
-4,47
|
|
508
|
-0,13
|
-0,27
|
-0,40
|
-0,54
|
-0,67
|
-0,80
|
-0,94
|
-1,07
|
-1,21
|
-1,34
|
-1,47
|
-1,74
|
-2,01
|
-2,28
|
-2,55
|
-3,35
|
-4,02
|
|
509
|
-0,12
|
-0,24
|
-0,36
|
-0,48
|
-0,60
|
-0,72
|
-0,84
|
-0,96
|
-1,08
|
-1,20
|
-1,32
|
-1,56
|
-1,80
|
-2,04
|
-2,28
|
-2,40
|
-3,00
|
-3,60
|
|
510
|
-0,11
|
-0,21
|
-0,32
|
-0,42
|
-0,53
|
-0,64
|
-0,74
|
-0,85
|
-0,95
|
-1,06
|
-1,17
|
-1,38
|
-1,59
|
-1,80
|
-2,01
|
-2,12
|
-2,65
|
-3,18
|
|
511
|
-0,09
|
-0,18
|
-0,28
|
-0,37
|
-0,46
|
-0,55
|
-0,64
|
-0,74
|
-0,83
|
-0,92
|
-1,01
|
-1,20
|
-1,38
|
-1,56
|
-1,75
|
-1,84
|
-2,30
|
-2,76
|
|
512
|
-0,08
|
-0,16
|
-0,23
|
-0,31
|
-0,39
|
-0,47
|
-0,55
|
-0,62
|
-0,70
|
-0,78
|
-0,86
|
-1,01
|
-1,17
|
-1,33
|
-1,48
|
-1,56
|
-1,95
|
-2,34
|
|
513
|
-0,06
|
-0,13
|
-0,19
|
-0,26
|
-0,32
|
-0,38
|
-0,45
|
-0,51
|
-0,58
|
-0,64
|
-0,70
|
-0,83
|
-0,96
|
-1,09
|
-1,22
|
-1,28
|
-1,60
|
-1,92
|
|
514
|
-0,05
|
-0,10
|
-0,15
|
-0,20
|
-0,25
|
-0,30
|
-0,35
|
-0,40
|
-0,45
|
-0,50
|
-0,55
|
-0,65
|
-0,75
|
-0,85
|
-0,95
|
-1,00
|
-1,25
|
-1,50
|
|
515
|
-0,04
|
-0,07
|
-0,11
|
-0,14
|
-0,18
|
-0,22
|
-0,25
|
-0,29
|
-0,32
|
-0,36
|
-0,40
|
-0,47
|
-0,54
|
-0,61
|
-0,68
|
-0,72
|
-0,90
|
-1,08
|
|
516
|
-0,02
|
-0,04
|
-0,07
|
-0,09
|
-0,11
|
-0,13
|
-0,15
|
-0,18
|
-0,20
|
-0,22
|
-0,24
|
-0,29
|
-0,33
|
-0,37
|
-0,42
|
-0,44
|
-0,55
|
-0,66
|
|
517
|
-0,01
|
-0,02
|
-0,02
|
-0,03
|
-0,04
|
-0,05
|
-0,06
|
-0,06
|
-0,07
|
-0,08
|
-0,09
|
-0,10
|
-0,12
|
-0,14
|
-0,15
|
-0,16
|
-0,20
|
-0,24
|
|
518
|
0,01
|
0,01
|
0,02
|
0,02
|
0,03
|
0,04
|
0,04
|
0,05
|
0,05
|
0,06
|
0,07
|
0,08
|
0,09
|
0,10
|
0,11
|
0,12
|
0,15
|
0,18
|
|
519
|
0,02
|
0,04
|
0,06
|
0,08
|
0,10
|
0,12
|
0,14
|
0,16
|
0,18
|
0,20
|
0,22
|
0,26
|
0,30
|
0,34
|
0,38
|
0,40
|
0,50
|
0,60
|
|
520
|
0,03
|
0,07
|
0,10
|
0,14
|
0,17
|
0,20
|
0,24
|
0,27
|
0,31
|
0,34
|
0,37
|
0,44
|
0,51
|
0,58
|
0,65
|
0,68
|
0,85
|
1,02
|
|
521
|
0,05
|
0,10
|
0,14
|
0,19
|
0,24
|
0,29
|
0,34
|
0,38
|
0,43
|
0,48
|
0,53
|
0,62
|
0,72
|
0,82
|
0,91
|
0,96
|
1,20
|
1,44
|
|
522
|
0,06
|
0,12
|
0,19
|
0,25
|
0,31
|
0,37
|
0,43
|
0,50
|
0,56
|
0,62
|
0,68
|
0,81
|
0,93
|
1,05
|
1,18
|
1,24
|
1,55
|
1,86
|
|
523
|
0,08
|
0,15
|
0,23
|
0,30
|
0,38
|
0,45
|
0,53
|
0,60
|
0,68
|
0,75
|
0,83
|
0,98
|
1,13
|
1,28
|
1,43
|
1,50
|
1,88
|
2,25
|
|
524
|
0,09
|
0,18
|
0,27
|
0,36
|
0,45
|
0,53
|
0,62
|
0,71
|
0,80
|
0,89
|
0,98
|
1,16
|
1,34
|
1,51
|
1,69
|
1,78
|
2,23
|
2,67
|
|
525
|
0,10
|
0,21
|
0,31
|
0,41
|
0,52
|
0,62
|
0,72
|
0,82
|
0,93
|
1,03
|
1,13
|
1,34
|
1,55
|
1,75
|
1,96
|
2,06
|
2,58
|
3,09
|
|
526
|
0,12
|
0,23
|
0,35
|
0,47
|
0,59
|
0,70
|
0,82
|
0,94
|
1,05
|
1,17
|
1,29
|
1,52
|
1,76
|
1,99
|
2,22
|
2,34
|
2,93
|
3,51
|
|
527
|
0,13
|
0,26
|
0,39
|
0,52
|
0,65
|
0,91
|
1,04
|
1,17
|
1,30
|
1,43
|
1,69
|
1,95
|
2,21
|
2,47
|
2,60
|
3,25
|
3,90
|
|
528
|
0,14
|
0,29
|
0,43
|
0,58
|
0,72
|
0,86
|
1,01
|
1,15
|
1,30
|
1,44
|
1,58
|
1,87
|
2,16
|
2,45
|
2,74
|
2,88
|
3,60
|
4,32
|
|
529
|
0,16
|
0,32
|
0,47
|
0,63
|
0,79
|
0,95
|
1,11
|
1,26
|
1,42
|
1,58
|
1,74
|
2,05
|
2,37
|
2,69
|
3,00
|
3,16
|
3,95
|
4,74
|
|
530
|
0,17
|
0,34
|
0,51
|
0,68
|
0,86
|
1,03
|
1,20
|
1,37
|
1,54
|
1,71
|
1,88
|
2,22
|
2,57
|
2,91
|
3,25
|
3,42
|
4,28
|
5,13
|
|
Кольцевые
напряжения уи, Н/мм2
|
|
505
|
7,04
|
14,07
|
21,11
|
28,15
|
35,19
|
42,22
|
49,26
|
56,30
|
63,33
|
70,37
|
77,41
|
91,48
|
105,56
|
119,63
|
133,70
|
140,74
|
175,93
|
211,11
|
|
506
|
7,04
|
14,07
|
21,11
|
28,14
|
35,18
|
42,22
|
49,25
|
56,29
|
63,32
|
70,36
|
77,40
|
91,47
|
105,54
|
119,61
|
133,68
|
140,72
|
175,90
|
211,08
|
|
507
|
7,04
|
14,07
|
21,11
|
28,14
|
35,18
|
42,22
|
49,25
|
56,29
|
63,32
|
70,36
|
77,40
|
91,47
|
105,54
|
119,61
|
133,68
|
140,72
|
175,90
|
211,08
|
|
508
|
7,04
|
14,07
|
21,11
|
28,14
|
35,18
|
42,22
|
49,25
|
56,29
|
63,32
|
70,36
|
77,40
|
91,47
|
105,54
|
119,61
|
133,68
|
140,72
|
175,90
|
211,08
|
|
509
|
7,04
|
14,07
|
21,11
|
28,14
|
35,18
|
42,22
|
49,25
|
56,29
|
63,32
|
70,36
|
77,40
|
91,47
|
105,54
|
119,61
|
133,68
|
140,72
|
175,90
|
211,08
|
|
510
|
7,04
|
14,07
|
21,11
|
28,14
|
35,18
|
42,21
|
49,25
|
56,28
|
63,32
|
70,35
|
77,39
|
91,46
|
105,53
|
119,60
|
133,67
|
140,70
|
175,88
|
211,05
|
|
511
|
7,04
|
14,07
|
21,11
|
28,14
|
35,18
|
42,21
|
49,25
|
56,28
|
63,32
|
70,35
|
77,39
|
91,46
|
105,53
|
119,60
|
133,67
|
140,70
|
175,88
|
211,05
|
|
512
|
7,04
|
14,07
|
21,11
|
28,14
|
35,18
|
42,21
|
49,25
|
56,28
|
63,32
|
70,35
|
77,39
|
91,46
|
105,53
|
119,60
|
133,67
|
140,70
|
175,88
|
211,05
|
|
513
|
7,04
|
14,07
|
21,11
|
28,14
|
35,18
|
42,21
|
49,25
|
56,28
|
63,32
|
70,35
|
77,39
|
91,46
|
105,53
|
119,60
|
133,67
|
140,70
|
175,88
|
211,05
|
|
514
|
7,04
|
14,07
|
21,11
|
28,14
|
35,18
|
42,21
|
49,25
|
56,28
|
63,32
|
70,35
|
77,39
|
91,46
|
105,53
|
119,60
|
133,67
|
140,70
|
175,88
|
211,05
|
|
515
|
7,04
|
14,07
|
21,11
|
28,14
|
35,18
|
42,21
|
49,25
|
56,28
|
63,32
|
70,35
|
77,39
|
91,46
|
105,53
|
119,60
|
133,67
|
140,70
|
175,88
|
211,05
|
|
516
|
7,04
|
14,07
|
21,11
|
28,14
|
35,18
|
42,21
|
49,25
|
56,28
|
63,32
|
70,35
|
77,39
|
91,46
|
105,53
|
119,60
|
133,67
|
140,70
|
175,88
|
211,05
|
|
517
|
7,04
|
14,07
|
21,11
|
28,14
|
35,18
|
42,21
|
49,25
|
56,28
|
63,32
|
70,35
|
77,39
|
91,46
|
105,53
|
119,60
|
133,67
|
140,70
|
175,88
|
211,05
|
|
518
|
7,04
|
14,07
|
21,11
|
28,14
|
35,18
|
42,21
|
49,25
|
56,28
|
63,32
|
70,35
|
77,39
|
91,46
|
105,53
|
119,60
|
133,67
|
140,70
|
175,88
|
211,05
|
|
519
|
7,04
|
14,07
|
21,11
|
28,14
|
35,18
|
42,21
|
49,25
|
56,28
|
63,32
|
70,35
|
77,39
|
91,46
|
105,53
|
133,67
|
140,70
|
175,88
|
211,05
|
|
520
|
7,04
|
14,07
|
21,11
|
28,14
|
35,18
|
42,21
|
49,25
|
56,28
|
63,32
|
70,35
|
77,39
|
91,46
|
105,53
|
119,60
|
133,67
|
140,70
|
175,88
|
211,05
|
|
521
|
7,04
|
14,07
|
21,11
|
28,14
|
35,18
|
42,21
|
49,25
|
56,28
|
63,32
|
70,35
|
77,39
|
91,46
|
105,53
|
119,60
|
133,67
|
140,70
|
175,88
|
211,05
|
|
522
|
7,04
|
14,07
|
21,11
|
28,14
|
35,18
|
42,21
|
49,25
|
56,28
|
63,32
|
70,35
|
77,39
|
91,46
|
105,53
|
119,60
|
133,67
|
140,70
|
175,88
|
211,05
|
|
523
|
7,04
|
14,07
|
21,11
|
28,14
|
35,18
|
42,21
|
49,25
|
56,28
|
63,32
|
70,35
|
77,39
|
91,46
|
105,53
|
119,60
|
133,67
|
140,70
|
175,88
|
211,05
|
|
524
|
7,04
|
14,07
|
21,11
|
28,14
|
35,18
|
42,21
|
49,25
|
56,28
|
63,32
|
70,35
|
77,39
|
91,46
|
105,53
|
119,60
|
133,67
|
140,70
|
175,88
|
211,05
|
|
525
|
7,04
|
14,07
|
21,11
|
28,14
|
35,18
|
42,21
|
49,25
|
56,28
|
63,32
|
70,35
|
77,39
|
91,46
|
105,53
|
119,60
|
133,67
|
140,70
|
175,88
|
211,05
|
|
526
|
7,04
|
14,07
|
21,11
|
28,14
|
35,18
|
42,22
|
49,25
|
56,29
|
63,32
|
70,36
|
77,40
|
91,47
|
105,54
|
119,61
|
133,68
|
140,72
|
175,90
|
211,08
|
|
527
|
7,04
|
14,07
|
21,11
|
28,14
|
35,18
|
42,22
|
49,25
|
56,29
|
63,32
|
70,36
|
77,40
|
91,47
|
105,54
|
119,61
|
133,68
|
140,72
|
175,90
|
211,08
|
|
528
|
7,04
|
14,07
|
21,11
|
28,14
|
35,18
|
42,22
|
49,25
|
56,29
|
63,32
|
70,36
|
77,40
|
91,47
|
105,54
|
119,61
|
133,68
|
140,72
|
175,90
|
211,08
|
|
529
|
7,04
|
14,07
|
21,11
|
28,14
|
35,18
|
42,22
|
49,25
|
56,29
|
63,32
|
70,36
|
77,40
|
91,47
|
105,54
|
119,61
|
133,68
|
140,72
|
175,90
|
211,08
|
|
530
|
7,04
|
14,07
|
21,11
|
28,15
|
35,19
|
42,22
|
49,26
|
56,30
|
63,33
|
70,37
|
77,41
|
91,48
|
105,56
|
119,63
|
133,70
|
140,74
|
175,93
|
211,11
|
|
Радиальные
напряжения уR, Н/мм2
|
|
505
|
0,17
|
0,35
|
0,52
|
0,70
|
0,87
|
1,04
|
1,22
|
1,39
|
1,57
|
1,74
|
1,91
|
2,26
|
2,61
|
2,96
|
3,31
|
3,48
|
4,35
|
5,22
|
|
506
|
0,17
|
0,33
|
0,50
|
0,66
|
0,83
|
1,00
|
1,16
|
1,33
|
1,49
|
1,66
|
1,83
|
2,16
|
2,49
|
2,82
|
3,15
|
3,32
|
4,15
|
4,98
|
|
507
|
0,16
|
0,32
|
0,48
|
0,64
|
0,80
|
0,95
|
1,11
|
1,27
|
1,43
|
1,59
|
1,75
|
2,07
|
2,39
|
2,70
|
3,02
|
3,18
|
3,98
|
4,77
|
|
508
|
0,15
|
0,30
|
0,45
|
0,60
|
0,76
|
0,91
|
1,06
|
1,21
|
1,36
|
1,51
|
1,66
|
1,96
|
2,27
|
2,57
|
2,87
|
3,02
|
3,78
|
4,53
|
|
509
|
0,14
|
0,29
|
0,43
|
0,57
|
0,72
|
0,86
|
1,00
|
1,14
|
1,29
|
1,43
|
1,57
|
1,86
|
2,15
|
2,43
|
2,72
|
2,86
|
3,58
|
4,29
|
|
510
|
0,14
|
0,27
|
0,41
|
0,54
|
0,68
|
0,82
|
0,95
|
1,09
|
1,22
|
1,36
|
1,50
|
1,77
|
2,04
|
2,31
|
2,58
|
2,72
|
3,40
|
4,08
|
|
511
|
0,13
|
0,26
|
0,38
|
0,51
|
0,64
|
0,77
|
0,90
|
1,02
|
1,15
|
1,28
|
1,41
|
1,66
|
1,92
|
2,18
|
2,43
|
2,56
|
3,20
|
3,84
|
|
512
|
0,12
|
0,24
|
0,48
|
0,61
|
0,73
|
0,85
|
0,97
|
1,09
|
1,21
|
1,33
|
1,57
|
1,82
|
2,06
|
2,30
|
2,42
|
3,03
|
3,63
|
|
513
|
0,11
|
0,23
|
0,34
|
0,46
|
0,57
|
0,68
|
0,80
|
0,91
|
1,03
|
1,14
|
1,25
|
1,48
|
1,71
|
1,94
|
2,17
|
2,28
|
2,85
|
3,42
|
|
514
|
0,11
|
0,21
|
0,32
|
0,43
|
0,54
|
0,64
|
0,75
|
0,86
|
0,96
|
1,07
|
1,18
|
1,39
|
1,61
|
1,82
|
2,03
|
2,14
|
2,68
|
3,21
|
|
515
|
0,10
|
0,20
|
0,30
|
0,40
|
0,50
|
0,59
|
0,69
|
0,79
|
0,89
|
0,99
|
1,09
|
1,29
|
1,49
|
1,68
|
1,88
|
1,98
|
2,48
|
2,97
|
|
516
|
0,09
|
0,18
|
0,28
|
0,37
|
0,46
|
0,55
|
0,64
|
0,74
|
0,83
|
0,92
|
1,01
|
1,20
|
1,38
|
1,56
|
1,75
|
1,84
|
2,30
|
2,76
|
|
517
|
0,09
|
0,17
|
0,26
|
0,34
|
0,43
|
0,51
|
0,60
|
0,68
|
0,77
|
0,85
|
0,94
|
1,11
|
1,28
|
1,45
|
1,62
|
1,70
|
2,13
|
2,55
|
|
518
|
0,08
|
0,16
|
0,23
|
0,31
|
0,39
|
0,47
|
0,55
|
0,62
|
0,70
|
0,78
|
0,86
|
1,01
|
1,17
|
1,33
|
1,48
|
1,56
|
1,95
|
2,34
|
|
519
|
0,07
|
0,14
|
0,21
|
0,28
|
0,36
|
0,43
|
0,50
|
0,57
|
0,64
|
0,71
|
0,78
|
0,92
|
1,07
|
1,21
|
1,35
|
1,42
|
1,78
|
2,13
|
|
520
|
0,07
|
0,13
|
0,20
|
0,26
|
0,33
|
0,39
|
0,46
|
0,52
|
0,59
|
0,65
|
0,72
|
0,85
|
0,98
|
1,11
|
1,24
|
1,30
|
1,63
|
1,95
|
|
521
|
0,06
|
0,12
|
0,17
|
0,23
|
0,29
|
0,35
|
0,41
|
0,46
|
0,52
|
0,58
|
0,64
|
0,75
|
0,87
|
0,99
|
1,10
|
1,16
|
1,45
|
1,74
|
|
522
|
0,05
|
0,10
|
0,15
|
0,20
|
0,26
|
0,31
|
0,36
|
0,41
|
0,46
|
0,51
|
0,56
|
0,66
|
0,77
|
0,87
|
0,97
|
1,02
|
1,28
|
1,53
|
|
523
|
0,05
|
0,09
|
0,14
|
0,18
|
0,23
|
0,27
|
0,32
|
0,36
|
0,41
|
0,45
|
0,50
|
0,59
|
0,68
|
0,77
|
0,86
|
0,90
|
1,13
|
1,35
|
|
524
|
0,04
|
0,08
|
0,11
|
0,15
|
0,19
|
0,23
|
0,27
|
0,30
|
0,34
|
0,38
|
0,42
|
0,49
|
0,57
|
0,65
|
0,72
|
0,76
|
0,95
|
1,14
|
|
525
|
0,03
|
0,06
|
0,10
|
0,13
|
0,16
|
0,19
|
0,22
|
0,26
|
0,29
|
0,32
|
0,35
|
0,42
|
0,48
|
0,54
|
0,61
|
0,64
|
0,80
|
0,96
|
|
526
|
0,03
|
0,05
|
0,08
|
0,10
|
0,13
|
0,15
|
0,18
|
0,20
|
0,23
|
0,25
|
0,28
|
0,33
|
0,38
|
0,43
|
0,48
|
0,50
|
0,63
|
0,75
|
|
527
|
0,02
|
0,04
|
0,06
|
0,08
|
0,10
|
0,11
|
0,13
|
0,15
|
0,17
|
0,19
|
0,21
|
0,25
|
0,29
|
0,32
|
0,36
|
0,38
|
0,48
|
0,57
|
|
528
|
0,01
|
0,02
|
0,04
|
0,05
|
0,06
|
0,07
|
0,08
|
0,10
|
0,11
|
0,12
|
0,13
|
0,16
|
0,18
|
0,20
|
0,23
|
0,24
|
0,30
|
0,36
|
|
529
|
0,01
|
0,01
|
0,02
|
0,02
|
0,03
|
0,04
|
0,04
|
0,05
|
0,05
|
0,06
|
0,07
|
0,08
|
0,09
|
0,10
|
0,11
|
0,12
|
0,15
|
0,18
|
Вывод:
. Величина возникающих переменных
температурных напряжений опорного блока МСП зависит от: характеристик
материала, от температуры окружающей среды, величины изменения температурного
поля за цикл. В меньшей степени зависит от диаметра и толщины стенки
коснтруктивного элемента МСП
. С понижением эксплуатационной
температуры МСП увеличивается значение переменных напряжений, что объясняется
увеличением модули упругости также зависящего от эксплуатационной температуры.
. Максимальные продольные переменные
напряжения, развивающиеся в МСП под воздействием переменного температурного
поля в течении одного цикла, достигают порядка 70 Н/мм2, в среднем
же они колеблются в пределах 11-35 Н/мм2
. Для нефтегазопроводов, при
возникновении разницы температур между внутренней и наружной стенками,
действуют кольцевые, продольные и радиальные напряжения, наибольшие значения из
которых принимают кольцевые напряжения.
Глава 4. Оценка экономической эффективности
инвестиционного проекта. Повышение производительности и эффективности
технологии процесса проектирования и расчета опорных частей МНГС с
использованием программного комплекса ANSYS
.1 Обоснование необходимости усовершенствования
процесса проектирования
Морские нефтегазовые сооружения относятся к
числу опасных производственных объектов. Эти сооружения эксплуатируются в
неблагоприятных условиях окружающей среды. Высокий уровень коррозионной активности
морской воды, значительные уровни температурных и вибрационных воздействий и
нагрузок (гидродинамических, ветровых, ледовых и др.) на конструктивные
элементы МНГС - все это создает предпосылки для возникновения и развития
различных аварийных ситуаций. Однако вопросам предотвращения наступления риска
путем своевременного выявления опасного предельного состояния конструктивного
элемента МНГС, адекватной оценки усталостных характеристик стали с учетом всех
видов воздействий - всем этим вопросам, не уделяется достаточного внимания. В
отраслевом стандарте, разработанном для МНГС, приведен порядок проведения
оценки технического состояния морской платформы, периодичность проведения
обследования, перечислены основные дефекты, влияющие на надежность эксплуатации
МНГС. Однако не даны рекомендации по «предельным состояниям» дефектов, что
ставит вопрос о том, какие дефекты являются допустимыми, а какие могут привести
к аварийной ситуации.
В настоящее время научно-технический прогресс
рассматривается как основа экономической политики, на основе которой следует
обеспечивать повышение производственных характеристик, как производительность
труда, качество и количество выпускаемой продукции. Технология процесса
проектирования и технология производства играет решающую роль в выполнении
поставленных задач. Именно прогресс технологии определяет прогресс всего
производства в повышении качества и количества продукции, снижения ее
себестоимости, повышения эффективности капиталовложений, производительности
общественно-полезного труда.
Высокая эффективность общественного производства
достигается лишь при комплексном подходе к созданию новой технологии и техники.
Тогда рабочие и вспомогательные процессы, оборудование, системы управления
находятся в оптимальном соответствии с технологическим уровнем и обеспечивают
максимальную реализацию технологического потенциала.
В связи с устареванием методов и технологии
проектирования в нефтегазовой промышленности и появлением более совершенных и
производительных систем автоматизированного проектирования, на предприятиях и в
проектных институтах необходимо и выгодно производить автоматизацию
производства и модернизацию вычислительных комплексов.
.2 Цель инвестиционного проекта
Существует ряд недостатков в «старых» способах
проектирования, которые являются причиной необходимости в модернизации:
Высокая трудоемкость двухмерного черчения и
проектирования (предполагается повышение трудоемкости после модернизации на 70
- 80%)
Высокие затраты времени и сил на поэтапный
расчет нагрузок и напряжений в отдельных элементах конструкции и оформление
отчетов, как следствие приводят к увеличению времени создания проекта.
Сложность создания разрезов и сечений при
двухмерном черчении.
Отсутствие анализа частичных разрушений, в
процессе эксплуатации, связанных с усталостными, вибрационными и коррозионными
напряжениями.
.3 Сущность модернизации и обоснование
технико-экономической целесообразности
С целью повышения производительности процесса
проектирования и устранения ряда недостатков существующего метода
проектирования и расчетов опорных элементов морских нефтегазовых сооружений,
проведем модернизацию процесса, путем замены ряда существующих программ, на
программный комплекс «ANSYS».
Будет проводится постепенная замена старых программных комплексов и старых
методов проектирования и разработки на новые, будет проведена модернизация
рабочих мест и обучение сотрудников. Предполагается, что затраты на изменение
технологии процесса проектирования будут невелики по сравнению с НДД, по
окончанию срока окупаемости, за счет увеличения производительности процесса и
повышения качества выпускаемых проектов, за счет снижения времени на
согласование различных вопросов и решений между разработчиками.
Процесс модернизации будем проводить в несколько
этапов:
Повышение производительности вычислительной
техники на рабочих местах и базах данных.
Внедрение новых программных продуктов,
соответствующих современным требованиям заказчиков, требованиям качества и
сложности к создаваемым проектам.
Повышение квалификации работников проектного
бюро (будет проводиться параллельно с проектированием по старой технологии) с
постепенным переходом на новую технологию. Создание баз данных.
Полный переход на технологию трехмерного
проектирования. - универсальная программная система конечно-элементного (МКЭ)
анализа, существующая и развивающаяся на протяжении последних 30 лет, является
довольно популярной у специалистов в области компьютерного инжиниринга (CAE,
Computer - Aided Engineering) и КЭ решения линейных и нелинейных, стационарных
и нестационарных пространственных задач механики деформируемого твёрдого тела и
механики конструкций (включая нестационарные геометрически и физически
нелинейные задачи контактного взаимодействия элементов конструкций), задач
механики жидкости и газа, теплопередачи и теплообмена, электродинамики,
акустики, а также механики связанных полей. Моделирование и анализ в некоторых
областях промышленности позволяет избежать дорогостоящих и длительных циклов
разработки типа «проектирование - изготовление - испытания». Система работает
на основе геометрического ядра Parasolid.
Программная система КЭ анализа ANSYS
разрабатывается американской компанией ANSYS Inc.. Компания также выпустила
другие системы КЭ моделирования, в том числе DesignSpace, AI Solutions
(NASTRAN, ICEM CFD); предназначенные для использования в более специфических отраслях
производства.
В качестве стратегического партнёра фирма
сотрудничает со многими компаниями, помогая им провести необходимые изменения.
Предлагаемые фирмой ANSYS Inc. средства численного моделирования и анализа
совместимы с некоторыми другими пакетами, работают на различных ОС. Программная
система ANSYS сопрягается с известными CAD-системами Unigraphics, CATIA,
Pro/ENGINEER, SolidEdge, SolidWorks, Autodesk Inventor и некоторыми другими.
.4 Методология расчета эффективности
инвестиционного проекта. Основные положения методических рекомендаций по оценке
эффективности инвестиционных проектов
Инвестиционный проект - это комплекс
взаимосвязанных мероприятий направленных на достижение в течение ограниченного
периода времени поставленных целей при установленном бюджете.
Эти проекты разрабатываются для решения, каких
либо крупномасштабных задач такие как:
Расширение организации
Модернизации технологических
процессов
Модернизация используемого
оборудования, и других задач обусловленных стратегическими планами организации
Инвестиционный проект осуществляется в несколько
стадий. Прежде всего, различают разработку и реализацию проекта:
Разработка проекта - это создание модели, образа
действий по достижению цели проекта, осуществление расчетов, обоснование проектных
решений.
Реализация проекта - есть его практическое
осуществление, превращение проектного образа в конкретную экономическую
действительность, достижение заложенных в проекте целей.
Эффективность инвестиционного проекта
характеризуется различными показателями, отражающими отношение затрат и
результатов применительно к интересам его участников:
Показатели финансовой эффективности - учитывают
финансовые последствия реализации проекта;
Показатели бюджетной эффективности - отражают
финансовые последствия для бюджетов;
Показатели экономической эффективности -
учитывают затраты и результаты, выходящие за пределы прямых финансовых
интересов участников инвестиционного проекта и допускающие стоимостное
измерение.
Экономическая эффективность определяется на уровне
региона, отрасли, предприятия. Целью расчета является оценка реализуемости и
эффективности проекта в процессе разработки, обоснование целесообразности
участия в реализации инвестиционного проекта.
Оценка предстоящих затрат и результатов
производится в пределах расчетного периода, продолжительность которого
принимают с учетом:
Продолжительности создания,
эксплуатации и времени ликвидации объекта;
Средневзвешенного нормативного срока
жизни основного технологического оборудования;
Достижения заданных характеристик
прибыли;
Требований инвестора.
При всем разнообразии инвестиционных проектов
при их реализации обязательно существует временной разрыв (лаг) между началом
инвестирования и временем, когда ИП начинает приносить доход.
Цикл развития инвестиционного проекта включает
три фазы:
Прединвестиционная фаза:
Разрабатывается проект
технико-экономического обоснования, проводятся маркетинговые исследования;
Выбирают поставщиков;
Ведут переговоры с потенциальными инвесторами
(составляют бизнес-план, затраты этой фазы, в случае перехода к следующей,
капитализируются с последующим отнесением их на себестоимость продукции через
механизм амортизационных отчислений).
Инвестиционная фаза:
Начало осуществления проекта. Характеризуется
большими невозвратными затратами необратимого характера (строительство,
приобретение и монтаж оборудования и программных комплексов)
Эксплуатационная фаза:
Начало производства продукции;
Появление потоков денежной наличности.
В первые два периода и в начале третьего поток
наличности - величина отрицательная, а по мере завершения капитального
строительства и увеличения реализации продукции поток денежной наличности
становится положительным.
При разработке инвестиционного проекта
обязательно оценивают экологические и социальные последствия от его реализации.
Оценка предстоящих затрат и результатов от реализации проекта производится в
пределах расчетного периода, продолжительность которого принимается с учетом:
Продолжительности создания, эксплуатации и
времени ликвидации объекта.
Средневзвешенного нормативного срока службы
основного технологического оборудования.
Достижения заданных характеристик прибыли.
Требования инвестора.
.5 Расчет эффективности инвестиционного проекта.
Таблица 4.1 Исходные данные для расчета:
|
Показатели
|
1год
|
2год
|
3год
|
4год
|
5год
|
|
Капитальные
затраты, тыс. руб.
|
6.200
|
0
|
0
|
0
|
0
|
|
Прирост
продукции по сравнению с базовым выпуском, у.е.п.
|
-
|
3
|
4
|
4
|
5
|
|
Цена
за 1 шт., с НДС, тыс. руб.
|
-
|
3.400
|
3.500
|
3.200
|
4.000
|
|
Себестоимость
производства единицы продукции, без учета страховых взносов, тыс. руб.
|
-
|
2.000
|
2.000
|
1.700
|
2.100
|
|
В
том числе ФОТ ( ≈ 6%), тыс. руб.
|
-
|
900
|
900
|
900
|
900
|
|
АО
в год (10%), тыс. руб.
|
-
|
600
|
600
|
600
|
600
|
|
Норма
дисконта Е
|
0,1
|
0,1
|
0,1
|
0,1
|
0,1
|
|
НДС
|
18%
|
18%
|
18%
|
18%
|
18%
|
|
Налог
на прибыль
|
20%
|
20%
|
20%
|
20%
|
20%
|
|
Страховые
взносы
|
30%
|
30%
|
30%
|
30%
|
30%
|
1. Выручка от реализации.
тыс. руб.
тыс. руб.
тыс. руб.
тыс. руб.
2. Расчет чистой выручки без учёта НДС.
;
тыс. руб.;
тыс. руб.;
тыс. руб.;
тыс. руб.
3. Расчет производственной себестоимости
продукции.
тыс. руб.;
;
тыс. руб.;
тыс. руб.;
тыс. руб.;
тыс. руб.
4. Расчет полной себестоимости.
;
Так как коммерческие расходы равны
нулю, то полная себестоимость равна производственной себестоимости.
;
тыс. руб.;
тыс. руб.;
тыс. руб.;
тыс. руб.
5. Расчет дополнительных затрат (без учета
налогов).
(тыс. руб.)
тыс. руб.;
тыс. руб.;
тыс.руб.;
тыс.руб.;
тыс. руб.
6. Прибыль от реализации.
тыс. руб.;
тыс. руб.;
тыс. руб.;
тыс. руб.
7. Налог на прибыль.
тыс. руб.;
тыс. руб.;
тыс. руб.;
тыс. руб.
8. Чистая прибыль.
тыс. руб.;
тыс. руб.;
тыс. руб.;
тыс. руб.
9. Чистый доход.
тыс. руб.;
тыс. руб.;
тыс. руб.;
тыс. руб.
10. Коэффициент дисконтирования.
11.
Чистый дисконтированный доход.
тыс. руб.;
тыс. руб.;
тыс. руб.;
тыс. руб.;
тыс. руб.
12. Накопленный дисконтированный доход.
тыс. руб.;
тыс. руб.;
тыс. руб.;
тыс. руб.;
тыс. руб.
13. Коэффициент выгоды к затратам.
;
тыс. руб.;
тыс. руб.;
.
14. Индекс доходности.
;
15. Срок окупаемости.
Срок окупаемости находится путём построения
графика изменения накопленного дисконтированного дохода за время, на которое
рассчитывается проект.
Вывод
Из диаграммы видно, что данный инвестиционный
проект начинает окупаться на 5 году жизненного цикла. Коэффициент
"выгоды/затраты" больше единицы значит проект выгоден для
использования. Индекс доходности больше единицы, следовательно, проект приносит
доход и является целесообразным.