|
Тип трактора
|
Параметра трактора
|
|
цкрн
|
цкрнпр
|
лсц
|
f
|
дн
|
дпр
|
к
|
|
С/х. колесный 4К4а
|
0,40
|
0,60
|
1,00
|
0,10
|
0,16
|
0,50
|
0,31
|
1.Тяговый расчет
.Определяем эксплуатационный вес и
массу трактора
где конструкционная масса тк
трактора равна
где кк = 1,15 - для
колесных тракторов.
.Определяем силу сопротивления
качению трактора
Pf = f G3 = 0,1 ∙44.25 =
4.425 кН.
.Определяем номинальную касательную
силу тяги
Ркн = Рр + Pf = 17.7 + 4.425 =
22.125 кН.
.Определяем предельные по сцеплению
силу тяги на крюке и касательную силу тяги
Pкрпр=цкрсц лсц G3=0.6∙1∙41.25=26.55 кН;
Pкпр= Pкрпр+ Pf=26,55+4,425=30,97 кН
5.Определяем статическую нагрузку на
оси трактора
Y1ст =(1 - лст) G3= 0,35∙44,25 = 15,48 кН;
Y2ст = лст G3= 0,65 ∙ 44,25 = 28,76 кН.
.Определяем динамическую нагрузку на
оси трактора при Ркр = Ркрн
Y1н
=Y1ст - 
=15,48 - 
12,7кН;
Y2н
=Y2ст- 
=28,76 + 
31,5кН.
где принимаем hкр = 0,4 м; L
= 2,57 м (трактор-прототип МТЗ- 102).
. Для подбора пневмошин
определяем расчетные на них нагрузки (статическую нагрузку для шин переднего
моста и динамическую для шин заднего моста)
Q1=1.3
= 1,3
=10кН;
Q2=1.3
= 1,3
=20,4кН;
и выбираем давление
воздуха в пневмошинах.
р1 = 160кПа,
р2 = 110 кПа
8.По расчетным значениям
вертикальной нагрузки на шины и принятым давлениям в них по соответствующим
таблицам, приведенными в ГОСТ 7463-89 "Шины пневматические для тракторов и
сельскохозяйственных машин подбираем шины, и определяем технические данные этих
шин.
2. Технические данные
пневмошин
|
№
|
Ось трактора
|
Обозначение шины по ГОСТ
|
Свободный диаметр D,
м
|
Ширина профиля b,
м
|
|
1
|
Передняя
|
11,2-20
|
0.98
|
0,284
|
|
2
|
Задняя
|
16,9R38
|
1.68
|
0,429
|
.Определяем динамические радиусы
пневмошин по приближенной эмпирической формуле
гд1 = 0,5 D1 - (0,14...0,18)) = 0,5∙0.98 - 0,16 ∙ 0,284 = 0,44 м;
гд2 = 0,5 D2 -(0,14...0,18)b2 = 0,5∙1,68 -0,16∙0,429
= 0,77м.
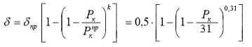
.Производим для ряда значений Рк
подсчет коэффициентов буксования по формуле
. По данным табл. 3 строим кривую
буксования проектируемого трактора).
. Зависимость буксования
от тяговой силы Pкр
|
№
|
Рк, кН
|
Ркр, кН
|
д
|
|
1
|
4,5
|
0
|
0,023
|
|
2
|
6,5
|
2
|
0,035
|
|
3
|
13
|
8,5
|
0,077
|
|
4
|
19,5
|
15
|
0,132
|
|
5
|
26
|
21,5
|
0,215
|
|
6
|
31
|
26,5
|
0,5
|
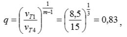
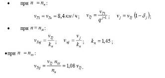
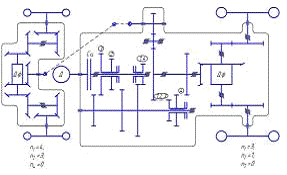
12.Для заданного числа передач n = 4, используя в качестве прототипа
трансмиссию трактора МТЗ-102, строим кинематическую схему и по ней определяем
соответствующие числа полюсов зацепления зубчатых колес:
· в приводе к
переднему мосту: п1 = 4; п2 = 3; п3 = 0;
· в приводе к заднему
мосту: п1 =3; п2 =1; п3 =0.
13.Определяем механические КПД к
передним и задним колесам приводов:
Ƞм
=Ƞг Ƞтр=
,
где принимаем:
Ƞг=1.0; Ƞ1=0,99; Ƞ2=0,98; Ƞ3=0,99
Результаты расчета частных механических
КПД:
Ƞм1=0,904 Ƞм2=0,951
Определяем значение механического
КПД всей трансмиссии
Ƞм=а1
Ƞм1 + а2 Ƞм2 = 0,938,
где:
а1= 
= 
=0.287 а1= 
= 
=0.711
Рис. 2. Кинематическая схема
трансмиссии колесного трактора 4К4а(рабочий диапазон)
. Определяем потребную номинальную
мощность двигателя
где по заданию vT 1 - 8,4 км / ч =2,36 м / с.
. По расчетному значению мощности
выбираем серийный двигатель - 4-х тактный Д-260Т
. Параметры выбранного
серийного тракторного дизеля
|
Марка двигателя
|
Nн,
кВт
|
Mн,
Н-м
|
щн, рад/с
|
Km
|
Kn
|
ge,
г/(кВт-ч)
|
|
Д-260Т
|
61
|
263
|
230,4
|
1,12
|
1,47
|
245
|
16.Определяем следующие параметры
внешней скоростной характеристики двигателя:
· частоты
вращения вала двигателя:


крутящие моменты двигателя:
где крутящий момент М0
соответствует режиму работы двигателя при частоте п0
· эффективные
мощности двигателя:
· часовые
расходы топлива:
· удельные расходы
топлива: 
г/(кВт
ч)
5. Параметры внешней
скоростной характеристики дизеля Д-260Т
|
№
|
Режим работы двигателя
|
п, мин-1
|
Ne,
кВт
|
Mд,
Нм
|
ge,
г/(кВт-ч)
|
GT,
кг/ч
|
|
1
|
п м
|
1497
|
46
|
294
|
260
|
11.96
|
|
2
|
|
1900
|
55.4
|
279
|
242
|
13.45
|
|
3
|
nn пн
|
2201
|
61
|
264
|
245
|
14.95
|
|
4
|
nxx
|
2488
|
0
|
0
|
|
3,73
|
. Определяем параметры потенциальной
тяговой характеристики трактора для ряда значений Ркр по формулам:

. Расчетные параметры
ПТХ трактора

= 4,4 кН Nн = 61кВт Nм
= 3,78 кВт Nк = 57.22 кВт
|
№
|
Ркр кН
|
Vт
км/ч
|
д
|
v,
км/ч
|
Nf,
кВт
|
Ns,
кВт
|
Nкр,
кВт
|
Ƞт
|
|
1
|
13
|
0,023
|
12,7
|
55,8
|
1,31
|
0,11
|
0,001
|
|
2
|
2
|
8,94
|
0,035
|
8,62
|
37,96
|
2
|
17,26
|
0,28
|
|
3
|
8,5
|
4,43
|
0,077
|
4,09
|
18,01
|
4,4
|
34,81
|
0,57
|
|
4
|
15
|
2,94
|
0,132
|
2,56
|
11,26
|
7,55
|
31,41
|
0,51
|
|
5 6
|
21,5 26,5
|
2,2 1,85
|
0,215 0,5
|
1,73 0,92
|
7,63 4,07
|
12,3 28,61
|
37,29 24,54
|
0,61 0,4
|
19.Строим по данным табл. 6
потенциальную тяговую по которой определяем следующие параметры:
максимальные значения тягового КПД и
крюковой мощности
(при Ркр = 21,5 кВт): ȠТ = 0,61; NKp = 38,52 кВт;
диапазон рабочих значений сил тяги,
удовлетворяющих условию
ȠТр
> 0,95 
ȠТм
= 0,95 
0,61 = 0,58, равен
ДРкр = А
В =... кН (числовые
значения А и В определяется по ПТХ).
.Определяем передаточное
число трансмиссии на 1-ой передаче:
· к
заднему мосту

· к
переднему мосту
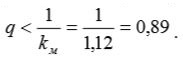
21. Определяем знаменатель
геометрического ряда передаточных чисел трансмиссии
где принимаем vT4 - 15 км / ч, т.к. при этом расчетное значение знаменателя
геометрического ряда удовлетворяет требуемому условию
. Подсчитываем передаточные числа
для всех передач по формуле
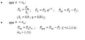
7. Значения сил тяги на
различных передачах
|
№
|
Передаточные числа
|
Силы тяги при п =пн
|
Силы тяги при п =пм
|
|
и1
|
u2
|
PK,
кН
|
Pкр
кН
|
PK,
кН
|
|
1
|
64.4
|
72.2
|
24.5
|
20.1
|
27.4
|
23
|
|
2
|
53.4
|
59.9
|
20.3
|
15.9
|
22.7
|
18.3
|
|
3
|
44.3
|
49.7
|
16.8
|
12.4
|
18.8
|
14.4
|
|
4
|
36.8
|
41.2
|
14
|
9,6
|
15.6
|
11.2
|
. Определяем силовые параметры (Рк
и Ркр) тяговой характеристики для 2-х основных режимов работы
двигателя п =пн и п =пм
. Определяем скоростные параметры (vT и v) тяговой характеристики для 3-х
основных режимов работы двигателя n - пн; n - пм и n - nм
8. Значения скоростных
параметров тяговой характеристики
|
Параметры
|
№ передачи,
j
|
|
1
|
2
|
3
|
4
|
|
При n - nн
|
|
vT, км/ч
|
8,4
|
10,1
|
12.2
|
15,0
|
|
v, км/ч
|
6.8
|
8,6
|
10.9
|
13,8
|
|
При n - nм
|
|
vT, км/ч
|
5,8
|
6,7
|
8,4
|
10.3
|
|
v, км/ч
|
4.6
|
6
|
7.5
|
9,5
|
|
При n - nxx
|
|
vTx, км/ч
|
9
|
10.9
|
13,1
|
16,2
|
.Определяем мощностные и
топливно-экономические параметры тяговой характеристики для 3-х основных
режимов работы двигателя по одним и тем же формулам
где необходимые значения Ne и GT определяются по
внешней скоростной характеристике двигателя. Результаты расчетов приведены в
таблицу.
9. Расчетные значения
мощностных и топливно-экономических параметров
|
Параметры
|
№ передачи, j
|
|
1
|
2
|
3
|
4
|
|
При n = nн
|
|
Ne,
кВт
|
61
|
61
|
61
|
61
|
|
Nkp, кВт
|
37,8
|
38,1
|
37,2
|
36,4
|
|
ȠТ
|
0,61
|
0,62
|
0,6
|
0,59
|
|
GT,
кг/ч
|
14.95
|
14.95
|
14.95
|
14.95
|
|
gкр,
г/(кВт Ч)396392402410
|
|
|
|
|
|
При n - nм
|
|
Ne,
кВт
|
46
|
46
|
46
|
46
|
|
Nkp, кВт
|
30
|
29,2
|
28,8
|
29,1
|
|
ȠТ
|
0,65
|
0,63
|
0,62
|
0,63
|
|
GT,
кг/ч
|
11.96
|
11.96
|
11.96
|
11.96
|
|
gкр,
г/(кВт Ч)399409415411
|
|
|
|
|
|
При n - nxx
|
|
GT,
кг/ч
|
3,36
|
3,36
|
3,36
|
3,36
|