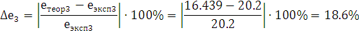
Обоснование необходимости и перспективы использования частотного метода телеметрии забойных параметров
Введение
В процессе бурения и при
эксплуатации скважин требуется проводить исследования, заключающиеся в
измерении и контроле так называемых глубинных параметров, которые характеризуют
состояние самой скважины или происходящие в ней технологические процессы.
При бурении необходимо
контролировать направление скважины в пространстве, обороты долота, осевое
давление, вращающий момент на долоте, состояние забойного инструмента и
бурового двигателя, выявлять геологические свойства проходимых пород.
При эксплуатации нефтяных скважин
требуется определять пластовое и забойное давления, динамический уровень,
температуру, удельный вес скважинной жидкости и ряд других глубинных
параметров, а также контролировать состояние глубиннонасосного оборудования.
До настоящего времени режим бурения
контролируют в основном по показаниям приборов, измеряющих наземные параметры:
вес инструмента на крюке, давление в насосной линии, ток бурового двигателя и
другие, что не всегда отражает истинное значение забойных параметров бурения,
особенно при увеличении глубины бурения и при искривлении скважин.
Применяющиеся способы
непосредственного измерения глубинных параметров связаны с периодическим
спуском в скважину специальной измерительной аппаратуры. При этом, как правило,
приходится приостанавливать технологический процесс и поднимать рабочий
инструмент из скважины, что приводит к существенным затратам времени и средств.
Периодичность глубинных измерений не позволяет непрерывно контролировать
технологический режим.
Растущие темпы разработок нефтяных,
газовых, угольных и рудных месторождений связаны с бурением сверхглубоких и
наклонно-направленных скважин, а также скважин, проводимых в осложненных
условиях. В этих случаях необходимо иметь непрерывный и автоматический контроль
глубинных параметров на протяжении всего технологического цикла бурения и
эксплуатации скважины. При больших глубинах скважины спуск обычной
измерительной аппаратуры на кабеле иногда вообще невозможен. Исключительно
важное значение приобретает автоконтроль глубинных параметров в связи с
проблемой бурения скважин на мантию земной коры глубиной 15-18 км[1]. Эта
проблема, имеющая большое научное и народнохозяйственное значение, требует
совершенствования всей техники бурения. Автоконтроль глубинных технологических
параметров и геофизические исследования в процессе бурения - одно из основных
технических условий проходки таких скважин.
Если в первый период развития
техника бурения и эксплуатации скважин совершенствовалась за счет применения
более мощных установок и механизации трудоемких работ, то в последнее время
первостепенное значение приобретает совершенствование управления процессами.
Без автоконтроля глубинных
параметров невозможна автоматизация процессов бурения и эксплуатации
скважин[5]. В настоящее время разработаны и выпускаются промышленностью
регуляторы подачи долота при бурении нескольких типов. Однако, как показал
опыт, регуляторы не могут обеспечить в полной мере автоматизацию режима
бурения, так как они реагируют на наземные параметры, лишь косвенно отображающие
действительный режим бурения на забое. Реализация в регуляторах сигналов,
определяющих забойные параметры бурения, значительно повысит качество и
расширит область применения автоматических регуляторов для бурения.
Автоматический контроль глубинных
параметров в скважинах связан с разработкой специальных устройств, которые
содержат глубинный прибор, встроенный в рабочий инструмент на забое скважины.
Прибор замеряет глубинные параметры, преобразует их в измерительный сигнал и
передает его на поверхность земли по линии связи между забоем и Поверхностью.
На поверхности сигнал воспринимается вторичным прибором, формируется для
визуального наблюдения или регистрации, или подается в автоматическую
установку, или ретранслируется по наземным линиям связи на диспетчерский пункт.
При разработке таких устройств
контроля очень трудно создать специальную глубинную измерительную аппаратуру и
линию связи между забоем и поверхностью, которые должны обеспечивать
телеизмерение глубинных параметров необходимой, часто высокой, точностью и быть
надежными в течение продолжительного времени работы. Глубинная аппаратура и
канал связи при бурении и эксплуатации скважин находятся в специфических, очень
тяжелых условиях. Создание линии связи - первостепенная задача, так как от типа
линии связи и ее параметров зависят выбор схемы телеизмерительного устройства и
конструкция глубинного и наземного приборов.
Если для погружных электроустановок
в скважинах уже имеется готовая линия связи и задача заключается в разработке
телеизмерительных устройств, то.при турбинном и роторном способах бурения, а
также при фонтанном, компрессорном, глубиннонасосном и других способах
эксплуатации линия связи еще не отработана.
В последние годы ведутся
исследования беспроводной линии связи с передачей электрического сигнала по
колонне труб и окружающей ее породе. В результате теоретического анализа и
экспериментального исследования этой линии связи (гальванической) получены
данные, позволяющие перейти к решению отдельных инженерных задач по разработке
забойных датчиков и телеизмерительных систем.
1. Аналитическая
часть
.1 Сущность
процесса бурения скважин
бурение скважина забой
Различают понятия
"бурение" и "сооружение скважины". Под бурением понимают
комплекс следующих операций, в результате которых выполнения которых создается
буровая скважина[7].
- Разрушение горной породы
на забое.
- Удаление
разрушенной породы (шлама) с забоя на поверхность.
- Закрепление стенок
скважины в неустойчивых (обрушающих) породах.
Породу можно разрушать механическим,
электрическим, термическим (тепловым), взрывным, химическим и другими
способами.
Бурят обычно механическим способом
различными породоразрушающими инструментами. При этом под воздействием
статических и динамических нагрузок породоразрушающий инструмент сминает,
раздавливает, режет, скалывает, дробит, истирает, уплотняет породы. Разрушение
породы может происходить по всему забою или по кольцу с образованием
ненарушенного столбика породы (керна).
Существуют следующие способы
удаления частиц разрушенной породы:
·
гидравлический, при котором продукты разрушения выносятся потоком
промывочной жидкости (вода, глинистый раствор, специальные промывочные жидкости
на основе нефти, полимеров и др.);
·
пневматический, при котором продукты разрушения выносятся потоком
сжатого воздуха или газов;
·
механический, осуществляется буровым или специальным инструментом
(буровой стакан, ложковый или спиральный бур, шнек, желонка), что определяется
способом бурения;
·
комбинированный использует два или три перечисленных выше способов
одновременно или последовательно.
Стенки скважины в неустойчивых
породах в процессе углубки наиболее часто закрепляют вяжущими промывочными
жидкостями (глинистые, полимерные и пр.), а также цементом и цементосодержащими
материалами, синтетическими смолами, замораживанием и др. Для крепления скважин
на более длительное время в основном применяют стальные обсадные трубы, но
могут использоваться трубы из нержавеющей стали, чугуна, асбоцемента, пластмасс
и других материалов.
Под сооружением скважины понимают
комплекс работ по ее подготовке, бурению и поддержанию в устойчивом состоянии,
проведению в ней необходимых исследований, ликвидации или сдаче ее в
эксплуатацию.
Сооружение скважины, кроме бурения
предусматривает выполнение следующих видов работ: монтаж буровой установки;
испытание и исследования в скважине - каротаж; замер искривления и уровня
жидкости, отбор проб воды, определение дебита с помощью откачек и т.п.;
тампонирование скважины с целью разобщения и изоляции водоносных и поглощающих
пластов; установка фильтра и водоподъемника в гидрогеологической скважине;
предупреждение и ликвидация аварий скважины (ликвидационное тампонирование);
разборка буровой установки и работы по рекультивации почвы. Перечисленные виды
работ выполняются буровыми, монтажными, каротажными, гидрогеологическими и
другими бригадами.
.2 Классификация способов
бурения
Бурение скважин может осуществляться
способами, принципиально отличающимися по своей физической природе разрушения
горных пород: механическими, физическими и химическими.
В основном применяют механическое
бурение, которое, в зависимости от способа воздействия на разрушаемую породу,
подразделяется на вращательное, ударное и ударно вращательное (Рисунок 1).
Рисунок 1- Классификация
механических способов бурения скважин
Наиболее распространено вращательное
бурение, при котором породоразрушающий инструмент получает вращение от
специального механизма - шпинделя вращателя или ротора - через колонну
бурильных труб или от забойного двигателя (гидравлического или электрического).
В связи с этим различают бурение шпиндельное, роторное, забойными двигателями -
турбобурами и электробурами.
При бурении указанными способами
породы любой твердости можно разрушать по всей площади забоя или по кольцу с
образованием в центре скважины ненарушенного столбика породы - керна. Первый
способ, называемый бескерновым, широко применяется при бурении эксплуатационных
и технических скважин. Второй способ называется колонковым и применяется при
поисках и разведке месторождений полезных ископаемых.
В зависимости от способа подъема
керна из забоя скважины на поверхность различают колонковое бурение со съемными
керноприемниками и гидротранспортом керна. В первом случае керн поднимается в
керноприемнике на стальном тонком канате внутри гладкостовольной колонны
бурильных труб, а во втором транспортируется во внутренней трубе двойной
колонны труб потоком промывочной жидкости. Вращательное бурение ведется с
промывкой или продувкой.
При бурении неглубоких скважин в
мягких породах применяют вращательное шнековое и медленно вращательное бурение
буровыми ложками и спиральными бурами без промывки.
Ударное бурение используют при
разведке рассыпных месторождений, бурении гидрогеологических и различного
назначения технических скважин большого диаметра в породах любой твердости (в
крепких породах оно мало производительно). Сущность этого способа заключается в
том, что тяжелый ударный снаряд с долотом периодически сбрасывается на канате с
небольшой высоты на забой, дробя и скалывая при этом породу. После каждого
удара снаряд поворачивается на некоторый угол за счет раскручивания каната.
Удаление разрушенной породы проводится желонками. Ударный способ, применяющийся
при проходке нефтяных и газовых скважин в некоторых странах, включая США, уже
давно не применяется на нефтяных промыслах России.
При ударно-вращательном бурении по
вращающемуся под постоянной осевой нагрузкой породоразрушающему инструменту
любого типа наносятся частые удары. Крепкие породы при этом разрушаются более
эффективно. Для бурения ударно-вращательным способом применяют специальные
забойные механизмы: гидроударники, пневмоударники, магнитострикторы и забойные
вибраторы.
Вибрационный способ применяют при
бурении неглубоких скважин в мягких породах.
Из физических способов разрушения
пород при бурении практически применяются термический, термомеханический,
элетротермический и гидравлический.
Другие способы разрушения пород не
вышли из стадии экспериментов.
1.3 Буровая скважина и
ее элементы
Буровой скважиной называется
цилиндрическая горная выработка в земной коре, характеризуемая относительно
малым диаметром по сравнению с ее глубиной.
Основные элементы буровой скважины
(Рисунок 2).
Рисунок 2 - Основные элементы
буровой скважины
Устье скважины 1 - место пересечения
буровой скважиной земной поверхности, дна акватории или элементов горной
выработки при бурении в подземных условиях[17].
Забой скважины 8 - дно буровой
скважины углубляющееся в процессе бурения; он может быть кольцевой 6 с керном 7
или сплошной 8.
Стенки скважины 9 - боковая
поверхность буровой скважины.
Ствол скважины 2,5 - пространство,
ограниченное стенками скважины. В неустойчивых породах стенки скважины
закрепляются обсадными колоннами, при этом ствол скважины сужается.
Ось скважины 4 - геометрическое
место точек центра забоя, перемещающегося при углубке скважины, т.е.
воображаемая линия, соединяющая центры поперечных сечений буровой скважины.
Глубина скважины
-
расстояние между устьем и забоем скважины по ее оси.
Диаметр скважины -
условный диаметр равный номинальному диаметру породоразрушающего инструмента.
Фактический диаметр скважины, как правило больше номинального
породоразрушающего инструмента за счет разработки скважины.
Существует также понятие
"конструкция скважины". Под конструкцией скважины подразумевают ее
характеристику, определяющую изменение диаметра (
,
,
)
c глубиной, а также диаметры (
,
)
и длины (
,
)
обсадных колонн 3.
Различают ствол
скважины, не закрепленный трубами, 5 и ствол скважины, закрепленный трубами, 2.
Последующий диаметр
скважины уменьшается после каждого закрепления.
Каждая обсадная колонна
выступает над устьем скважины, но может опускаться и впотай. При необходимости
пространство между стенками скважины и обсадными трубами заполняется цементным
раствором[16].
1.4 Классификация
буровых скважин
Все скважины, бурящиеся с целью
региональных исследований, поисков, разведки и разработки месторождений
подразделяются на следующие категории и группы.
Геологоразведочные скважины делят на
опорные, параметрические, структурно- картировочные, поисковые и разведочные.
Опорные скважины бурят для изучения
геологического строения и гидрогеологических условий крупных геоструктурных элементов
(регионов) для выбора наиболее перспективных направлений геологоразведочных
работ.
Параметрические скважины бурят для
измерения параметров геофизических свойств и температуры пород в условиях их
естественного залегания, изучения и выявления перспективных районов для
детальных геологопоисковых работ.
Структурно-картировочные скважины
бурят для выявления и изучения геологических структур, элементов залегания
пластов пород, для контроля и уточнения данных геологической и геофизической
съемок.
Поисковые скважины бурят для
открытия новых месторождений полезных ископаемых.
Разведочные скважины бурят для
оконтуривания и определения запасов полезного ископаемого, установления
горнотехнических условий и выбора метода его эксплуатации.
Эксплуатационные скважины бурят для
добычи нефти и газа, подземных вод, рассолов, содержащих соли брома, йода и
других компонентов; для подземной газификации углей, выплавки серы и озокерита,
выщелачивания железа, марганца, фосфоритов, меди и солей урана, возгонки ртути,
подземного сжигания серы, скважинной гидродобычи углей и фосфатов;
использования тепла земных недр. В соответствии с добываемым полезным
ископаемым эксплуатационные скважины подразделяют на нефтяные, газовые,
гидрогеологические, геотехнологические, гидротермальные.
Технические скважины бурят для
решения различных инженерных задач.
1.5 Турбобур и
электробур
Турбобур - забойный гидравлический
двигатель для бурения глубоких скважин преимущественно на нефть и газ.
Многоступенчатый турбобур - машина открытого типа, вал его вращается в
радиальных и осевых резинометаллических подшипниках, смазкой и охлаждающей
жидкостью для которых является циркулирующая промывочная жидкость - глинистый
раствор. Для получения максимальных значений кпд лопатки турбины профилируют
так, чтобы безударный режим их обтекания совпадал с максимумом мощности
турбины. Выполняют турбины цельнолитыми, общее число ступеней турбины достигает
120, рабочие диаметры турбобура для бурения глубоких и сверхглубоких скважин -
164, 172, 195, 215, 240, 280 мм, частота вращения вала турбины от 150 до
800-1000 об/мин. Рабочий момент на валу турбобура зависит от его диаметра и
составляет от 1 до 5-6 кнм (1 нм = 0,1 кгсм). С 1950 для увеличения вращающего
момента на валу применяют многосекционные турбобуры, в которых последовательно
соединяются 2-3 секции турбин турбобура с общим числом ступеней 300-450. Это
позволило наряду с увеличением вращающего момента снизить частоту вращения вала
турбины до 300-400 об/мин (для более эффективной работы шарошечных долот). В таких
турбобурах шаровая осевая опора вынесена в специальный шпиндель, присоединяемый
к нижней секции турбобура. В шпинделе имеются также радиальные опоры и сальник,
позволяющий использовать гидромониторные долота.
С 1970 для дальнейшего снижения
частоты вращения вала турбины в турбобуре применяют ступени гидродинамического
торможения, позволившие бурить при 150 - 250 об/мин. С начала 70-х гг.
внедряются турбобуры с независимой подвеской секции и с демпфирующими
устройствами, которые обладают увеличенным сроком межремонтной работы и
улучшают условия работы шарошечных долот за счёт снижения вибрации бурильной
колонны. Для работы с гидромониторными долотами, без дополнительного нагружения
буровых насосов, начато применение турбобуров с разделённым потоком на нижней
секции, который отличается тем, что перепад давлений, срабатываемый в его
нижней секции, равен перепаду давлений в штуцерах гидромониторного долота. При
этом нижняя секция турбобура работает на части потока, подаваемого в скважину.
В разведочном бурении для отбора
керна в полом валу трубобора размещается съёмная грунтоноска. Для бурения в
условиях борьбы с кривизной ствола скважины используют трубобор с вращающимся
корпусом.
В 1899 в России был запатентован
электробур на канате. В 30-х гг. в США прошёл промышленные испытания электробур
с якорем для восприятия реактивного момента, опускавшийся в скважину на
кабеле-канате. В 1936 впервые в СССР Квитнером и Н.В. Александровым разработана
конструкция электробура с редуктором, а в 1938 А.П. Островским и Н.В. Александровым
создан электробур, долото которого приводится во вращение погружным
электродвигателем. В 1940 в Баку электробуром пробурена первая скважина.
В 1951-52 в Башкирии при бурении
нефтяной скважины по предложению А.А. Минина, А.А. Погарского и К.А. Чефранова
впервые применили электробур знакопеременного вращения для гашения реактивного
момента, опускаемый на гибком электрокабеле-канате. В конце 60-х гг. в СССР
значительно усовершенствована конструкция электробура (повышена надёжность,
улучшен токопровод).
Электробур - забойная буровая машина
с погружным электродвигателем, предназначенная для бурения глубоких скважин,
преимущественно на нефть и газ. Идея электробура для ударного бурения
принадлежит русскому инженеру В.И. Дедову (1899). В 1938-40 в СССР А.П.
Островским и Н.В. Александровым создан и применен первый в мире электробур для
вращательного бурения, спускаемый в скважину на бурильных трубах.
Электробур состоит из
маслонаполненного электродвигателя и шпинделя. Мощность трёхфазного
электродвигателя зависит от диаметра электробура и составляет 75-240 квт. Для
увеличения вращающего момента электробура применяют редукторные вставки,
монтируемые между двигателем и шпинделем и снижающие частоту вращения до 350,
220, 150, 70 об/мин. Частота вращения безредукторного электробура 455-685
об/мин. Длина электробура 12-16 м, наружный диаметр 164-290 мм[14].
При бурении электробур,
присоединённый к низу бурильной колонны, передаёт вращение буровому долоту.
Электроэнергия подводится к электробуру по кабелю, смонтированному отрезками в
бурильных трубах. При свинчивании труб отрезки кабеля сращиваются специальными
контактными соединениями. К кабелю электроэнергия подводится через
токоприёмник, скользящие контакты которого позволяют проворачивать колонну
бурильных труб. Для непрерывного контроля пространственного положения ствола
скважины и технологических параметров бурения при проходке наклонно
направленных и разветвлённо-горизонтальных скважин используется специальная
погружная аппаратура (в т. ч. телеметрическая). При бурении электробурная
очистка забоя осуществляется буровым раствором, воздухом или газом.
В России с помощью электробура
проходится свыше 300 тыс. м скважин (свыше 2% общего объёма бурения).
Использование электробура, благодаря наличию линии связи с забоем, особенно
ценно для исследования режимов бурения.
1.6 Классификация и
анализ систем контроля геолого-геофизичеких и технологических параметров при
бурении скважин
Разработкой систем контроля
геолого-геофизичеких и технологических параметров при бурении скважин
занимается ряд ведущих научно исследовательских организаций Миннефтепрома,
Мингео, Минестерсва приборостроения.
Практическое применение аппаратуры
для контроля за процессом разведочного бурения типа ГИВ, ПКМ, ИРБ, ГП-18, МКН и
др. показывает ее высокую эффективность. Так, с использованием средств контроля
скорость бурения в различных районах в среднем увеличивается на 10-30%. В
разные годы создано множество систем для контроля и регистрации забойных
параметров, но большинство из них не нашли широкого применения в практике
бурения скважин из-за низкой надежности и невысокой точности. Однако некоторые
устройства используются в настоящее время.
Степень сложности существующих
систем определяется прежде всего задачами, стоящими перед комплексом геолого-геофизических
и технологических измерений в процессе бурения, которые можно разделить на две
категории: технологические и геолого-геофизические, К технологическим задачам
относят следующие[9]:
- прогнозирование
режимов бурения скважин, места заложения и профиля скважин на основе учета
геолого-геофизических факторов, сохранения коллекторских свойств продуктивных
пластов и повышения эффективности механического бурения;
- прогнозирование
показателей «буримости» горных пород впереди массива, лежащего под долотом;
- оценка
деформационно-прочностных характеристик горных пород; определение расстояния (в
любой заданный момент времени) от долота до первой литологической границы или
до границы со скачкообразно изменяющимися физическими свойствами.
Основные показатели буримости пород
определяются прежде всего физико-механическими характеристиками (модуль Юнга,
коэффициент Пуассона, модуль сдвига, объемный модуль упругости), которые
функционально связаны со скоростями распространения продольных и поперечных
упругих волн.
Для количественной оценки модулей
упругости необходимы:
сведения о плотности среды, которые
могут быть получены на основе анализа шлама или акустическими методами;
контроль технологических параметров
забойных условий бурения при помощи соответствующего канала связи забоя с
дневной поверхностью или включения в компоновку низа бурильной колонны забойных
измерительных систем с автономной регистрацией;
оперативное регулирование процесса
бурения на основе получаемой информации и возможность бурения на равновесии
системы «скважина- пласт».
Реализация вышеуказанных требований
позволяет подойти к решению задачи по предотвращению аварийных ситуаций,
прогнозированию метода подхода бурового инструмента к участкам геологического
разреза которые могут вызвать те или иные осложнения в процессе бурения
(прогнозирование зон АВПД, гигантских трещин, промывов, зон аномального
поглощения бурового раствора и др.).
К геолого-геофизическим задачам в
процессе бурения относятся следующие:
оперативное уточнение и
корректировка структурных построений нефтегазоносных залежей;
литологическое расчленение разреза
пройденных отложений и выделение продуктивных пластов, оперативная оценка
характера их насыщения и коллекторских свойств до образования зоны глубокого
проникновения фильтрата в пласт, зоны вокруг скважины с градиентом горного
давления, а также оценка физико-механических свойств;
изучение скоростей распространения и
затухания упругих волн для оперативного построения геоакустической модели среды
с целью уточнения и корректировки структурных построений по данным сейсмической
разведки, оптимизации процесса разрушения горных пород. (Изучение скоростей
распространения упругих волн в процессе бурения позволит усовершенствовать
методику оценки качества контакта на границе «цементный камень-горная порода»
при проведении акустической цементометрии обсаженных скважин. Естественно, что
эффективность решения геологогеофизических задач в процессе бурения будет
возрастать при комплексировании акустических измерений с оперативным анализом шлама);
определение траектории ствола
скважины в процессе бурения и конечных координат забоя. (Непрерывные сведения о
текущих координатах забоя имеют основополагающее значение для оперативного
управления траекторией ствола скважины, а также для правильной оценки
эффективных мощностей вскрываемых продуктивных пластов).
Области применения такой информации
чрезвычайно широки. Это кустовое бурение на суше, бурение с суши под море,
бурение на шельфе и др.
Перечень задач, решаемых во время
проводки нефтяных и газовых скважин с помощью геофизических и технологических
измерений, приведен на рисунке 3.
Рисунок 3 - Перечень задач при
применении геолого-геофизических и технологических измерений для целей проводки
скважин
Одной из основных задач является
автоматическое управление забойными параметрами в процессе бурения. Наиболее
полно системы контроля геолого-геофизических и технологических параметров при
бурении скважин описаны В.И. Миракяном и В.Н. Рукавициным.
В указанной работе дается
функциональная схема построения автоматизированной системы контроля этих
параметров.
Каждая система контроля параметров
бурения состоит из следующих основных частей:
скважинной аппаратуры, содержащей
датчики, преобразователи, источник питания, а также передающие устройства в
случае использования беспроводного канала связи «забой-устье»;
- наземного комплекса приборов,
содержащего датчики технологических и геолого-геофизических параметров бурения,
устройства преобразования информационных сигналов, регистратор, устройство для
перемещения носителя записи функции глубины скважины или времени, блок питания;
- комплекса устройств для
оперативной обработки получаемой информации (микроЭВМ, устройства сопряжения,
средств визуального отображения информации и др.).
Для решения поставленных задач в
нашей стране были разработаны- и внедрены в промышленное производство на стадии
серийных или опытных
образцов названные ниже системы
контроля геолого-геофизических параметров бурения.
Лаборатория сбора и обработки технологической
и геологической информации в процессе турбинного бурения «Геотест-1» позволяет
в аналоговой и цифровой форме регистрировать 22 технологических параметра
бурения и проводить анализ шлама с целью определения литологического состава
пород, оценки их коллекторских свойств и битумосодержания. Лаборатория
предназначена для работы с газокаротажной станцией АГКС-4АЦ или АГКС-5 и
комплексами наземных датчиков технологического контроля бурения.
Станция геолого-технологического
контроля при роторном бурении скважин «Старт» состоит из двух аппаратурных
комплексов, смонтированных в двух прицепах типа КУНГ, и предназначена для
работы в комплекте с цифровой газокаротажной станцией АГКС-4АЦ. Аппаратура для
технологического контроля предназначена для работы с серийными технологическими
датчиками. Комплекс снабжен шламоотборником, монтируемым на вибросите скважины,
с автоматическим разделением шлама на фракции, его отмывкой и привязкой к
соответствующему интервалу глубин. Комплекс аппаратуры обеспечивает дегазацию шлама
и исследование по нему ряда параметров: пористости, проницаемости, плотности и
др.
Комплекс контроля параметров
процесса бурения СКУБ (Ивано- Франковское СКТБ) и станция
геолого-технологического контроля СГТ (СКБ «Геофизприбор»,
«ВНИИнефтепромгеофизика») образуют информационно-измерительную систему для
проведения геохимических и геолого-технологических исследований.
Станция контроля параметров процесса
бурения АСПБ, разработанная в тресте «Тюменнефтегеофизика» на основе
газокаротажной станции АГКС-4АЦ, используется для контроля турбинного бурения.
Информационно-измерительный комплекс
«Прогноз» предназначен для исследования разведочных нефтяных и газовых скважин.
Разработанная во ВНИИЯГГ
акустическая информационно-измерительная система типа АПВ-ЗМ предназначена для
контроля акустических параметров горных пород в реальном времени, оперативного
регулирования процесса бурения, является основной составной частью системы
«Долото».
Многоканальный спектральный
анализатор акустических сигналов в процессе бурения предназначен для контроля
их кинематических и динамических параметров при роторном и турбинном бурении
(ВНИИЯГГ, ЮжВНИИгеофизика).
Автономные
информационно-измерительные системы (АИИС) необходимы для геофизических
исследований скважин, а также для измерения и регистрации технологических
параметров бурения.
Указанные выше
информационно-измерительные комплексы и системы служат основой при разработке
новой технологии проводки нефтяных и газовых скважин на базе получаемой
геолого-геофизической и технологической информации.
.7 Основные сведения о
передаче сигналов между забоем скважины и ее поверхностью
Системы телеизмерения и
автоматические устройства, связанные с ними могут быть правильно разработаны на
основе теории информации, являющейся важным разделом кибернетики. Теория
информации дает возможность определить эффективность передачи информации по
данной линии связи, т.е. выбрать параметры сигналов, наиболее полно
использующие пропускные свойства линии связи и обеспечивающие достаточную
помехоустойчивость системы передачи информации.
Нас интересует в основном
преобразование измеряемого параметра в соответствующие сигналы и передача его
по линии связи, т.е. передача и обработка информации. Параметр сигнала,
отображающий измеряемую величину, становится носителем информации. Характер
сигнала, его свойства должны обеспечивать удобную и надежную передачу сигналов
по линии связи.
Под линией связи будем понимать
такое специальное устройство или естественный физический посредник, по которому
возможна передача информации от передатчика к ее приемнику. В случае передачи
информации только об одном каком-либо контролируемом параметре возникает
определенный канал по линии связи. При одновременной или последовательной
передаче информации о нескольких контролируемых параметрах вводится понятие
многоканальной связи по данной (одной) линии связи. Здесь понятия линии связи и
каналов связи различны и вполне определенны.
Рассматриваемые в дальнейшем
телеизмерительные системы глубинных параметров в скважинах могут быть
представлены на рисунке 4 в общем виде,
Рисунок 4 -
телеизмерительные системы глубинных параметров в скважинах
От источника сообщения 1, например
какого-либо работающего механизма, параметр, подлежащий контролю, подается к
передатчику 2, в котором сообщение измеряется и преобразуется в сигнал С1,
пригодный для передачи по данной линии связи 3. Обычно в линии связи имеются
помехи (источник помех 6), физические свойства которых однородны со свойствами
сигналов. Поэтому сигнал С2 в конце линии всегда практически в
какой-то степени становится искаженным. В приемнике сигналов 4 сигнал вновь
преобразуется и в виде информации о сообщении подается его получателю 5.
Управляющий сигнал через звено 7 подается (к контролируемому объекту (для
коррекции его работы). При этом большое внимание должно быть уделено
помехоустойчивости системы связи (системы преобразования, передачи и обработки
информации).
Сообщение может передаваться
непрерывно или отдельно следующими сигналами (дискретное сообщение). В
последнем случае значения контролируемого параметра, представляющего собой
непрерывную функцию, передаются через определенные интервалы времени или в
моменты изменения параметра на заданную величину.
Объем информации, передаваемой по
данному каналу связи, зависит от ряда условий. Чем выше частота сигналов, чем
больше. время, отводимое на передачу сигнала, и чем выше отношение мощности
сигнала к мощности помех, тем больший объем информации может быть передан в
единицу времени.
Кроме объема передаваемой
информации, системы передачи информации характеризуются еще рядом признаков.
Основы теории информации достаточно полно излагаются в специальной литературе.
Условия, в которых надо осуществить
скважинный канал связи, значительно отличаются от условий создания каналов
связи обычных наземных устройств автоматики и телемеханики[6].
Для телеизмерения глубинных
параметров в скважинах могут быть использованы каналы связи различных видов.
Возможна передача информации с забоя электрическими сигналами по силовым
кабелям погружных электродвигателей (электробура, электронасоса); по колонне
труб и окружающей их земной породе; по специальной проводной линии связи в
скважине; гидравлическими сигналами по промывочной жидкости; акустическими сигналами
но металлу труб или по жидкости; электромагнитным полем и др.
Наибольшее внимание удел нотой
разработке телеизмерительных систем для скважин с использованием шорных четырех
из перечисленных каналов связи. Канал связи можно представить в виде
четырехполюсника. Реальный пассивный четырехполюсник имеет коэффициент передачи
меньше единицы, т.е. мощность сигнала на его выходе U2 меньше мощности входного сигнала U1. Обычно затухание сигналов в канале связи имеет линейный
характер, т.е.
где в - коэффициент затухания;
- длинна линии связи
После определения значения в
нетрудно установить необходимую величину U1 так, чтобы сигнал U2 в месте приема превышал
уровень помех Un. Для передачи и приема информации без использования
при этом специальных способов сложного кодирования необходимо значительное
превышение сигнала над уровнем помех.
С точки зрения достаточно
достоверной передачи информации ошибка не должна превышать заранее допускаемую
величину д (обычно в среднеквадратичном значении). Для передачи непрерывного
сообщения 'в виде функции f(t) согласно теоремы В.А. Котельникова нет необходимости
передавать все множество последовательных ее значений, а достаточно передать
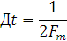
значения, отсчитываемые через промежутки времени
где Fm - высшая частота
спектра функции f(t), так как непрерывная функция обычно может быть представлена в
виде ряда Фурье с ограниченным частотным спектром. При этом на интервале
времени Т должно быть сделано m отсчетов непрерывно меняющегося контролируемого параметра через
интервалы времени
Дt,
так называемое квантование функции
по времени или при квантовании по параметру U должно быть сделано т' отсчетов
через участки изменения уровней параметра ДU. Шаг квантования по
параметру ДU не должен превышать удвоенного значения ошибки Uд, допускаемого при
контроле изменения параметра за время, соответствующее ДU. Для обеспечения
заданной точности измерений количество отсчетов т должно быть примерно равным
величине
.
Возможность дискретной передачи
непрерывной функции обусловливается тем, что всякий реальный физический процесс
в той или иной степени инерционен (изменение температуры объекта, изменение
оборотов турбобура или осевой нагрузки на долото в процессе бурения и т.п.).
Вследствие этого все соседние точки на графике непрерывной функции,
отображающем реальный процесс, взаимно коррелированны.
Информация имеет количественную
оценку, позволяющую сравнивать различные виды сообщений. Каждая непрерывная
функция (измеряемый параметр) может принимать п значений. Если принимать
вероятности этих значений одинаковыми, т.е. равными 1/п, то, очевидно, будем
иметь тем больше информации, чем больше число п. Следовательно, количество
информации о первичном сообщении, создаваемом контролируемым объектом, логично
принять пропорциональным величине п. В теории информации количество
информации I принимается пропорциональным log п, для лучшего
сопоставления возможностей аппаратуры, обрабатывающей информацию. Так,
например, если один аппаратурный канал переработки информаций допускает п
возможных сочетаний различных состояний, то два аналогичных устройства,
очевидно, позволят иметь п2 таких комбинаций состояний. Вместе
взятые оба устройства позволяют перерабатывать вдвое большую информацию, т.е.
где k - коэффициент пропорциональности,
определяется системой единиц, применяемой при расчетах; основание логарифма
определяет единицы измерения количества информации.
При выборе двоичных единиц (бит) для
оценки количества информации основание логарифма выбирается равным двум, что
представляет определенные удобства, так как многие элементы, применяемые в
аппаратуре обработки информации, имеют обычно два устойчивых состояния.
Количество информации, содержащееся в непрерывном сигнале в интервале времени T, определяемое в двоичных единицах,
равно
а средняя скорость передачи
сообщения равна.
В приведенных формулах основание
логарифма подразумевается равное двум.
Каждый канал связи характеризуется
определенной шириной полосы пропускания частот FK, при которой может
быть еще получено необходимое отношение
. Для канала пропускная способность равна
где рс и рп -
мощности сигнала и помехи соответственно.
Практически должны соблюдаться
необходимые условия СК>С и FK>Fm, при которых ошибка в передаче информации не будет превышать
допустимую.
Из приведенных формул видно, что при
снижении частотного диапазона канала связи для сохранения количества информации
должно быть увеличено время передачи при той же ошибке д; в случае небольшой
величины Fк<Fm будет падать
пропускная способность канала связи Ск, что равносильно увеличению
ошибки в передаче информации. Обычно затухание сигналов в канале имеет
частотно-зависимый характер с увеличением в по мере роста частоты сигналов. В
связи с этим уменьшение FK можно скомпенсировать ростом
. Для увеличения дальности связи выгодно снижать Fm, теряя при этом
или во времени передачи информации, или в ее количестве.
Сигналы в виде отдельных (единичных)
импульсов, следующие через интервалы времени (периоды) Т, используемые для
передачи информации по каналу связи, имеют ряд свойств, которые необходимо
учитывать при выборе того или иного вида сигналов и при исследовании
распространения их в канале связи в скважине. Каждый импульс характеризуется
длительностью tu и полосой частот Дf в основной части частотного спектра данного импульса, где
сосредоточена подавляющая часть энергии импульса. Частотный спектр импульса
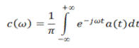
непрерывен, а его спектральная плотность определяется интегралом Фурье
.
Предполагая, что канал в скважине
имеет частотно-зависимую характеристику, наиболее правильно оценивать
регистрируемые сигналы со спектральных позиций. Например, при очень коротком
импульсе произвольной формы и длительностью ф → 0 значение
, т.е. равна постоянной величине, определяемой только площадью
импульса. Практически это условие справедливо при
т.е. при ф
Но если учитывать большую простоту
оценки импульсов по их амплитудным значениям, то в некоторых случаях, особенно
когда импульсы имеют крутой фронт или характеризуются компактной полосой
частот, такая оценка допустима.
Импульсные сигналы в зависимости от
их формы и длительности tи будут иметь различные
паюсы частот, заключенные в части импульса, сосредоточивающей основную энергию,
определяемую ниже приводимым интегралом Фурье Для различной формы коротких
по времени импульсов произведение их длительности tи за полосу частот, заключенную в части импульса, ограничиваемой
точкой по оси частот, когда аргумент первый раз становятся равным нулю, есть
величина определенная и близкая к единице, т.е. Дf Дtи
1.
Основная часть энергии импульса, сосредоточенная в соответствующем промежутке
времени Дt, определяется как
где коэффициент
пропорционален полной энергии импульса;
з < 1 -относительная доля полной
энергии импульса, заключенная в промежутке времени Дt < t и.
Уравнение сравнительно легко
решается при помощи планиметра. В соответствии с этим записи импульсных
сигналов, в частности при экспериментальном исследовании гидравлического канала
связи в скважине, обрабатывались исходя из приведенных соображений.
В части исследования формы
импульсов, с помощью которых предполагается передача информации по каналу связи
в скважине, целесообразно ориентироваться на импульсы с минимальной величиной
произведения Дf Дt. Это дает возможность подучить импульсы с компактной полосой Дf при меньшей затрате энергии на их
создание, что обеспечивает лучшую помехоустойчивость связи при
использовании узкополосного канала связи.
Наименьшее значение Дf Дt имеет колоколообразнын
импульс (0,22), косинусоидальный (0,43) и треугольный (0,46). Прямоугольный и
экспоненциальный импульсы имеют сравнительно большее значение Дf Дt (0,73 и 1,13
соответственно).
При телеизмерении, например,
оборотов вала турбобура в скважине с передачей информации по
гидравлическому каналу связи, телеизмерительная система может быть
осуществлена по функциональной схеме, приведенной на рисунке 5.
На забое скважины установлен
преобразователь первичного сообщения в сигнал. При контроле числа
оборотов это устройство должно преобразовать число оборотов турбобура в
гидравлические импульсы давления. При этом текущее значение числа оборотов
может быть отображено любым параметром импульсов (длительностью, частотой, амплитудой,
фазой и т.п.). В процессе выбора этого параметра необходимо учитывать удобство
преобразования в него контролируемой величины и обеспечение неискаженной
передачи такого сигнала по каналу связи.
- приемник сигналов
(преобразователь); 2 - усилитель сигналов; 3-полосовой фильтр;
-осциллограф; 5 - указатель оборотов
(частотомер); 6 - гндротаходатчик; 7 -турбобур
Рисунок 5. Блок-схема
гидротурботахометра
На рисунке 6 и рисунке 7 приведены
виды сигналов, образуемых импульсами прямоугольной формы. Здесь передаваемое
сообщение (в данном случае число оборотов) может быть отображено
соответствующей модуляцией импульсов, т.е. изменением какого-нибудь их
параметра: амплитуды U=f(n), длительности tИ=f(n), частоты следования импульсов Щи= f(n).
В последнем случае интервалы между
импульсами также соответствуют значениям измеряемой величины, если tИ имеет постоянную величину[15].
Вместо импульсов прямоугольной формы
можно использовать импульсы другой формы, например косинусоидальной (a=Amcosщt), или посылать
импульсы, составленные из целого числа п синусоид (a=Am sinщt).
Если длительности непрерывно
следующих друг за другом импульсов сравнимы с периодами следования T, то такие сигналы называют
периодическими. При tИ<<T сигналы относят к непериодическим.
Периодическое колебание любой формы
и характера может быть составлено из бесконечного ряда синусоидальных
колебаний. Частотный спектр непериодических сигналов состоит из бесконечной
суммы колебаний любой частоты. Частотный спектр сигналов имеет важное значение,
так как, например, гидравлический канал в скважине представляет собой
своеобразный фильтр нижних частот. При этом нежелательно иметь сигнал с большим
количеством и уровнем высокочастотных составляющих.
На рисунке 8 приведены периодические
импульсы трех видов: прямоугольной формы, косинусоидальной и импульсы,
составленные из синусоидальных посылок. Здесь же приведены графики их частотных
спектров, имеющих линейчатый характер.
Рисунок 8 - Непериодические импульсы
и их частотные характеристики
Прямоугольный и косинусоидальный
импульсы характеризуются постоянной составляющей A0, которая тем
больше, чем больше приближается к. Для посылок синусоидальных колебаний
характерно, что с увеличением длительности каждой посылки составляющая первой
гармоники растет при убывании остальных. Так, например, щ=Щ при амплитуда
основной частоты АЩ = Am
и при
=T колебания переходят в одночастотные.
На рисунке 9 приведены частотные
спектры для того же вида колебаний, но непериодических сигналов, которые
характеризуются сплошным спектром
Для правильной передачи и
воспроизведения таких импульсов необходима система, пропускающая широкую полосу
частот. Нас больше интересуют косинусоидальный импульс и синусоидальные
посылки, Косинусоидальные импульсы непериодических сигналов также
характеризуются постоянной составляющей A0. Чем больше длительность
сигналов
тем большая часть энергии импульсов сосредоточивается в области
низких частот. Для непериодических импульсов, составленных из синусоид
длительностью
характерен
сплошной спектр с рядом максимумов на частотах
, где k = 1, 2, 3,.....n при 0<
<
Рисунок 9 - Непериодические
(единичные) импульсы и их частотные характеристики
Если сильно увеличить длительность
импульсов, то их сплошной частотный спектр практически переходит в линейчатый с
преобладанием основного колебания на частоте Щ.
При переходе от единичных импульсов
к их периодичной последовательности, когда длительность импульсов
становится сравнимой с периодом их следования Т, что описывается
уже рядом Фурье, импульсы более правильной формы имеют наибольшее значение
первой гармоники щ1 (основная частота
следования импульсов щ1=
), воспринимаемой приемным прибором, который, как правило,
включает в себя соответствующий фильтр[18].
1.8 Скважинные
автономные информационно-измерительные системы контроля геофизических и
технологических параметров при бурении скважин
Важными задачами повышения
эффективности буровых работ являются исследование и оптимизация технологического
процесса бурения при наличии достоверной забойной информации о
физико-механических свойствах проходимых горных пород и режимных параметрах.
Анализ зарубежного и отечественного опыта бурения показывает, что за счет
качественного контроля и управления режимом проводки скважин при оптимальном
сочетании технологических параметров можно повысить показатели бурения в
среднем на 25-30%. При этом очевидно, что на показатели бурения, в частности
механическую скорость, оказывает влияние не только определенное сочетание
режимных параметров, но и физико-механические свойства горных пород.
Так, наличие достоверной информации
о физико-механических свойствах горных пород предопределяет выбор долота того
или иного типа, двигателей для его привода, параметров режима бурения.
Таким образом, как для исследования,
так и для оптимизации бурения необходимо в процессе проводки ствола скважины
получать информацию технологического и геофизического характера.
Решение перечисленных задач
посредством приборов, контролирующих только наземные параметры бурового
процесса, в ряде случаев затруднительно, в частности при бурении наклонно
направленных, сверхглубоких и горизонтальных скважин.
Исследования показывают, что
технологические параметры, измеренные наземными приборами, отличаются от
действительных забойных значений соответствующих параметров на 40 ÷ 70%, в частности при
бурении глубоких и наклонно направленных скважин[19].
В связи с этим в настоящее время
повсеместно интенсифицирована разработка технических средств для автоматического
контроля забойных технологических и геофизических параметров в процессе бурения
скважин. Одним из путей решения этой проблемы является создание автономных
информационно-измерительных систем с регистрацией измеряемых данных в
скважинном приборе. Целесообразность их разработки бесспорна, т.к. названные
АИИС способны обеспечить следующие возможности:
- одновременного
измерения и регистрации не менее 8-10 забойных параметров;
- проведения
геофизических исследований в осложненных и наклонно направленных скважинах без
дополнительных затрат времени на спуско-подъемные операции бурильного
инструмента;
- определения
истинного удельного сопротивления проходимых горных пород, не искаженных
проникновением фильтрата бурового раствора;
- исследования динамики
бурового процесса с целью получения исходных данных, необходимых для разработки
телеметрических систем.
Впервые в нашей стране работы по
созданию АИИС для измерения и регистрации забойных параметров в процессе
бурения скважины были начаты в Азербайджанском филиале ВНИИгеофизики под
руководством И.К. Саркисова и в Волго-Уральском филиале - под руководством А.А.
Молчанова.
На основании результатов проведенных
испытаний были разработаны и введены в промышленное использование АИИС для
геофизических исследований бурящихся скважин, гидродинамических исследований
скважин в процессе опробования и испытания, а также автономные при боры для
проведения исследований в эксплуатационных нефтяных, газовых и нагнетательных
скважинах.
АИИС состоят из автономного прибора встраиваемого
в бурильную колонну непосредственно над турбобуром, и наземного комплекса
приборов, размещаемого на буровой и включающего глубиномер и преобразователь
для перезаписи зарегистрированных данных.
В процессе бурения в автономном
приборе регистрируется измеряемая забойная информация в функции реального
времени, а в наземном комплексе приборов - углубление бурильного инструмента в
функции того же времени. После окончания рейса долота и извлечения автономного
прибора на поверхность с помощью преобразователя наземного комплекса
осуществляется обработка данных автономного прибора и глубиномера с целью
получения диаграммы параметра в функции глубины скважины.
Методика исследования скважин с
использованием АИИС включает следующие операции:
- подготовку
АИИС к работе (установку шагов квантования по времени и глубине, заправку
носителей записи и источника питания автономного прибора);
- компоновку
автономного прибора с колонной бурильных труб;
- размещение
наземного комплекса приборов на буровой;
- спуск
автономного прибора в компоновке с бурильным инструментом на забой скважины;
- включение
автономного прибора и наземного комплекса приборов при циркуляции бурового
раствора;
- измерение
и регистрацию забойных параметров и глубины скважины;
- выключение
аппаратуры автономного прибора и формирование меток глубины при отключении
буровых насосов (наращивание бурильного инструмента, остановка бурения для
проведения ремонтных работ или при окончании рейса долота);
- подъем
и подготовку автономного прибора к следующему рейсу долота, извлечение
носителей записи.
Следующим техническим процессом
является совместная обработка двух носителей записи (параметра и глубины) с
целью построения диаграммы параметра в функции глубины скважины.
Этот процесс состоит из следующих
операций:
- заправки
носителей записи (параметра и глубины) в лентопротяжные механизмы
преобразователя;
- согласования
носителей по реперным меткам начала регистрации;
- собственно
процесса обработки и перезаписи.
Совместная обработка носителей
записи производится во время подготовки АИИС к очередному рейсу долота или в
процессе спуска бурильного инструмента.
По причине тяжелых условий работы
забойной части АИИС (высоких давлений, вибрационных нагрузок и температуры) при
разработке основное внимание уделено повышению ее вибротермобаростойкости.
В нашей стране разработана,
изготовлена и передана для опытной эксплуатации АИИС для геофизических
исследований скважин в процессе бурения. Эта система состоит из скважинного
автономного прибора каротажного АПК-1 с механическим регистратором, двумя
зондами (зонды АО = 0,5 м и 1 м) и наземного комплекса приборов, включающего
преобразователь ФОО8, датчики глубины, веса и циркуляции бурового раствора.
Автономная система обеспечивает измерение и запись в функции глубины скважины
двух кривых кажущегося удельного сопротивления и диаграммы механического
каротажа (во время бурения единичного интервала).
Конструктивно автономный прибор
АПК-1 состоит из следующих узлов:
- трубы-зонда;
- собственно
скважинного прибора, содержащего герметичный контейнер, датчик включения,
аппаратурное шасси с электронной схемой, регистратором и блоком питания;
- электроввода
для электрического соединения зондов с электронной схемой скважинного прибора.
Труба-зонд длиной 3 800 мм выполнена
из стандартной утяжеленной бурильной трубы с наружным диаметром 203 мм при
диаметре проходного сечения 100 мм. На наружной поверхности трубы с помощью
стеклопластикового изоляционного покрытия установлены четыре кольцевых
электрода, которые образуют два зонда электрического каротажа.
В электронной схеме скважинного
прибора применен компенсационный принцип измерения по переменному току. Пределы
измерения кажущегося удельного сопротивления (КС) 0,5 ÷ 40 Ом и 1 ÷ 200 Ом. Регистрация
параметров производится последовательно в широтно-импульсной форме
методом перфорации информационных отверстий на перфоленте из термостойких
пленок.
На перфоленте шириной 17,5 мм
выделены пять дорожек, каждая из которых имеет свое функциональное назначение.
Первая дорожка перфоленты
предназначена для регистрации начала циркуляции бурового раствора или момента
выключения буровых насосов что необходимо для последующей синхронизации
диаграмм автономного прибора АПК-1 с диаграммой углубления, бурильного
инструмента, на которой также регистрируется начало или остановка циркуляции
буровою раствора.
На второй дорожке регистрируется
признак цикла, который характеризуется меткой, перфорируемой против начала
условно первого зонда. На третьей дорожке регистрируется метка масштаба записи,
который выбирается из двух пределов измерения (0,5 ÷ 40 Ом или 1 ÷ 200 Ом).
Синхроотверстия четвертой дорожки предназначены для осуществления линейной
зависимости между скоростью перемещения носителя записи и набором
компенсирующего напряжения.
На пятой дорожке осуществляется
последовательная регистрация измеряемых параметров, величина которых
определяется по расстоянию между соседними метками.
Преобразователь каротажных данных
ФОО8 предназначен для работы в трех режимах:
- записи
диаграммы углубления бурильного инструмента на стандартной перфоленте при
работе наземного комплекса в качестве регистратора глубин;
- перезаписи
диаграммы автономного прибора и диаграммы регистратора глубин в диаграмму
параметров в функции глубины скважины, записываемую в аналоговой и цифровой
форме;
- перезаписи
диаграммы углубления бурильного инструмента в диаграмму механического каротажа.
Опытно-промышленная эксплуатация
двухканальной АИИС проводилась на месторождениях Азербайджана и Казахстана (ПО
«Мангышлак- нефть»).
Результаты промышленной эксплуатации
подтвердили эффективность каротажа скважин в процессе бурения автономными
системами и выполнения работ в осложненных и наклонно направленных скважинах с
целью сокращения времени проведения геофизических работ.
Большое значение имеет использование
автономных систем для регистрации забойных технологических параметров бурения,
в частности осевой нагрузки и частоты вращения долота. Очевидно, наличие
достаточно объективной информации о величине этих параметров в совокупности с
данными геофизических исследований позволило бы определить их оптимальное
сочетание и использовать при составлении программы бурения следующих интервалов
или других скважин данного месторождения.
Результаты промышленной эксплуатации
двухканальной АИИС и обработка полученных при этом данных показали
необходимость расширения комплекса измеряемых геофизических параметров, а также
дополнения его информацией технологического характера.
На основании теоретических расчетов,
проведенных во ВНИИгеофизики, и рекомендаций специалистов-технологов ВНИИБТ
указанными организациями совместно с Гомельским политехническим институтом была
разработана многоканальная автономная информационно-измерительная система
АИИС-1М, предназначенная для измерения и регистрации в процессе бурения скважин
следующих забойных параметров:
- кажущегося
удельного сопротивления (КС) горных пород зондами АО, 2МО, 2; АО, 5МО, 2; АО,
9МО, 2; Al, 9МО, 2;
- самопроизвольной
поляризации (ПС);
- зенитного
угла;
- частоты
вращения вала турбобура;
- крутящего
момента на валу турбобура;
- осевой
нагрузки на долото.
В связи с увеличением числа
регистрируемых параметров, а также целесообразностью их одновременной
(параллельной) регистрации в автономном приборе АПКМ-1 применен магнитный
способ записи измеряемых данных.
В приборе АПКМ применена хорошо
зарекомендовавшая себя схема, основанная на компенсационном принципе измерения.
Аппаратура АПКМ-1 рассчитана на
параллельную работу всех измерительных каналов и одновременную запись
информации. Запись информации производится на магнитную ленту шириной 12,7 мм
двенадцатиканальной магнитной головкой. АПКМ-1 регистрируются следующие
параметры бурения:
- осевая
нагрузка,
- крутящий
момент,
- частота
вращения,
- кажущееся
электрическое сопротивление,
- самопроизвольная
поляризация,
- зенитный
угол,
Для исследования технологического
процесса бурения, режимов работы забойных двигателей и породоразрушающего
инструмента Гомельским политехническим институтом совместно с ВНИИБТ был
разработан автономный прибор АЗГПС-1.
По своему конструктивному составу
АЗПК-1 аналогичен автономному прибору АПКМ-1, однако в некоторых узлах
используется ряд новых технических решений, разработанных на основе анализа
результатов испытаний предыдущей системы.
- Автономный
прибор АЗПК-1, встраиваемый в бурильную колонну непосредственно над забойным
двигателем, предназначен для одновременного измерения и регистрации на
магнитном носителе частоты вращения вала турбобура и крутящего момента на нем
(реактивного), а также осевой нагрузки на долото рисунок 10.
Рисунок 10 - Фрагмент диаграммы с
записью частоты вращения вала турбобура
Прибор АЗПК-1 состоит из корпуса,
герметичного контейнера и аппаратурного блока, расположенного в тонкостенном
шасси. Корпус выполнен на основе стандартной утяжеленной бурильной трубы с
наружным диаметром 195 мм.
Автономный прибор АЗПК-1 был
опробован на стендовой буровой совместно с турбобуром 1А7Ш. На основании
данных, зарегистрированных автономным прибором АЗПК-1 (рис. 2), построена
характеристика турбобура 1А7Ш при расходе бурового раствора 0,021 и 0,032 м/с
(рисунок 11)
Рисунок 11. Характеристика турбобура
1А7Ш, полученная на основании данных, зарегистрированных автономным прибором
АЗПК-1
Техническая характеристика
автономного прибора АЗПК-1
Число регистрируемых параметров - 3
Условия эксплуатации:
давление,
мПа...........................................................................
до 80;
температура, ˚С.........................................................................
до +100.
Габаритные размеры:
длинна,
мм..................................................................... 3 300;
диаметр,
мм.................................................................... 195;
масса,
кг.........................................................................
500;
Диапазон
измерения............................................... 1;
Частота
вращения................................................... 1÷20;
Осевая нагрузка,
кН................................................ 5÷500;
Крутящий момент,
кН............................................. 0,25÷5;
Основная приведенная погрешность
измерения и регистрации ∓5%.
Опыт разработки систем контроля
геолого-геофизических и технологических параметров бурения показывает, что
наибольшие трудности как функционального, технологического, так и
конструкторского плана возникают при построении скважинной части
разрабатываемой системы.
Наземная же часть ее функционального
построения определяется прежде всего функциональными возможностями глубинного комплекта
и методами передачи сигнала с забоя на устье скважины.
1.9 Наземные
автоматизированные системы контроля геологогеофизических и технологических
параметров бурения
Функциональную схему наземных систем
контроля процесса бурения и решаемые ею задачи рассмотрим на примере
информационно-измерительного комплекса типа «Прогноз» [68].
Основные задачи комплекса:
) изучение геологического разреза
скважин при одновременном сокращении объема бурения с отбором керна, в том
числе надежное литологическое расчленение разреза скважины с выделением
коллекторов и оценкой характера их насыщения;
) прогнозирование
нефтегазосодержащих пластов до их вскрытия скважиной; выделение перспективных
интервалов для детальных геофизических исследований и опробования;
)контроль технического состояния и
процесса бурения скважины; выделение интервалов поглощения и притока в
скважине;
) прогнозирование зон аномально
высоких пластовых давлений;
) получение и обработка информации,
необходимой для решения оперативных задач, связанных с оптимизацией процесса
бурения скважины
) регистрация информации,
необходимой для решения ряда стратиграфических задач (построение усредненного
литолого-стратиграфического разреза скважины, расчет технико-экономических
показателей бурения, составление геолого-технологических нарядов для бурения
следующих скважин на разведываемой площади, сводная интерпретация
промыслово-геофизической информации, подсчет запасов нефти и газа).
Блок-схема
информационно-измерительного комплекса «Прогноз» приведена на рисунок 12.
Рисунок 12. Блок-схема
автоматизированной системы наземного контроля геолого-геофизических и
технологических параметров бурения скважины
Датчики, размещенные на устье
скважины, выдают информацию о ее углублении, частоте вращения и крутящем
моменте на роторе, весе на крюке, плотности, температуре и расходе бурового
раствора на входе и выходе скважины.
Одновременно из бурового раствора
отбираются газовая смесь, которая поступает на газовый анализ, и шлам,
поступающий для исследования на нефтегазонасыщенность, пористость и др.
С помощью глубинных датчиков по
беспроводному каналу связи или при использовании автономных систем
регистрируются технологические (частота вращения вала турбобура, осевая
нагрузка на долото, зенитный и азимутальный углы, положение отклонителя) и
геофизические (удельное сопротивление горных пород, их естественная
радиоактивность, амплитуда и частота вибраций бурильного инструмента)
параметры.
В наземной аппаратуре
информационно-измерительного комплекса «Прогноз» данные наземных и скважинных
измерений в процессе бурения через блок согласования и предварительной
обработки путем преобразования в цифровую форму вводятся в специализированное
вычислительное устройство (СВУ), где по заданным алгоритмам производится их
обработка с целью использования для решения перечисленных выше задач.
Для достижения необходимой полноты
информации в СВУ вводятся также геологические, геофизические, технологические и
другие данные, полученные различными путями и методами.
Результаты обработки поступают в
цифровом виде на магнитный регистратор ЦР и в аналоговом виде записываются
регистраторами АР в масштабе реального времени и глубины. Одновременно
технологические параметры фиксируются на индикаторном табло пульта бурильщика. Таким
образом, подобные системы обеспечивают контроль геологогеофизических и
технологических параметров бурения по наземным источникам информации, что
позволяет эффективно вести процесс бурения и повысить его технико-экономические
показатели.
1.10 Системы телеконтроля
в процессе бурения
Очевидно, что отсутствие непрерывной
информации с забоя скважины приводит к увеличению сроков строительства
скважины, повышению стоимости проходки, снижению безопасности проведения работ.
Эти факторы и сложившиеся в последнее время условия бурения, повысившие
ответственность в принятии решений при производстве буровых работ, обусловили
поиск путей, средств, методов разработки и создания эффективных
информационно-измерительных систем (ИИС) для промыслово-геофизических исследований.
Не подлежит сомнению, что любые
косвенные измерения отличаются большой погрешностью, а иногда и значительной
сложностью, поэтому наземные системы, не предназначенные для прямых измерений
забойных параметров, не могут обеспечить крайне важной и достоверной
информацией.
При рассмотрении забойных систем
можно сделать вывод о том, что они развиваются по трем направлениям:
) непрерывная передача информации по
одному из каналов;
) автономная регистрация на забое;
) совокупность первого и второго
способов.
Эти направления разрабатывались
многими учеными и инженерами, среди которых следует отметить прежде всего: В.А.
Соколова, М.А. Абрамова, М.М. Бальзаминова, разработавших в 1930-е гг. методику
и технику газового каротажа; Левицкого П.И., предложившего и применившего в
1935 г. механический каротаж для исследования разреза бурящейся скважины; П.К.
Саркисова, С.Я. Литвинова, О.П. Шишкина, Б.А. Грачева, разработавших теорию
передачи информации по гальваническому каналу связи и внедривших ее в практику;
Л.Ф. Куликовского, В.М. Ушмаева, В.П. Варламова, Ю.В. Грачева, предложивших
различные способы оптимизации бурения; А.А. Молчанова, И.Г. Жувагина, Л.И.
Померанца и др., предложивших и реализовавших ряд оригинальных технических
решений, направленных на проведение каротажа скважин в процессе бурения.
Анализ показывает, что конец 1950-х
и начало 1960-х гг. характеризовались большим подъемом в области исследования и
создания забойных телеметрических систем.
Так, комплексная аппаратура БЭТА-1 с
электромагнитным каналом связи, предназначенная для измерений в процессе
бурения, в 1964 г. была апробирована на скважинах Башкирии. Система телеметрии
позволяла контролировать одновременно три забойных параметра: осевую нагрузку
на долото, частоту его вращения и КС горных пород.
Для проведения электрического
каротажа (ПС и КС) в процессе турбинного бурения на основе принятых ранее
принципиальных решений аппаратуры БЭТА-1 в 1969 гг. разработана аппаратура
КУБ-1.
К настоящему времени существуют
более 20 различных телеметрических систем с применением гальванического канала
связи забоя с устьем скважины.
Значительный интерес среди них
представляют инклинометрические системы ЗИС-1 и ЗИТ-1, а также
многопараметровая система «Забой», которые с 1987 г. проходили пробную
эксплуатацию в районах Западной Сибири.
Система «Забой», помимо угловых
параметров, обеспечивает в процессе бурения измерение дополнительно 7
параметров: осевой нагрузки на долото (0 ÷ 500 кН, с точностью 5%) частоты вращения вала турбобура (с
точностью 5%), электрического сопротивления горных пород (0,1 ÷ 6 400 Ом, с точностью
5%), глубины скважины (0 ÷ 5 000 м, с точностью 0,1%), механической скорости, амплитуды
колебаний и частоты вращения бурильной колонны в диапазоне 0 ÷ 120 об/мин.
С середины 1960-х гг. появляется
большое количество забойных телеметрических систем с использованием проводных
каналов связи. Теоретическое обоснование возможности передачи информации по
токоподводу погруженных электродвигателей при электробурении дано Ю.В. Грачевым
в конце 1950-х гг. На этой основе после создания инклинометрической системы со
стандартным инклинометром ИШ-2 и аппаратуры АОСУ разработчики АзИНХ предложили
импульсные инклинометры ИИ2, ИИЗ и ИИ2Ф. Позже совместными усилиями
разработчиков НИЛИ «Нефтехимавтомат» и АзИНХ были созданы САКГП-63 и САКГП-64М,
обеспечивающие измерение не только зенитного и азимутного углов, но и угла,
определяющего положение отклонителя, а также нагрузки на долото и температуры
на забое.
В КуйбышевНИИНП разработано забойное
телеметрическое устройство ГИУ-ОН для измерения осевой нагрузки на долото и
температуры на забое скважины.
В начале 1970-х гг. в Харьковском
СПКТБ были начаты работы по созданию телеметрических систем для замера
технологических и геометрических параметров. Здесь были исследованы, разработаны
и внедрены системы СТЭ-164, СТЭД-164, СТЭГТ-190УХЛ5 для использования при
электробурении, а также СТТД-164УЗ, СГТ-1И, необходимые при турбинном бурении.
Все рассмотренные системы,
основанные на проводном канале связи, обеспечивают оптимальные подходы к выбору
режимов бурения, увеличение механической скорости, сокращение затрат времени на
подготовительно-вспомогательные работы и геофизические исследования.
Однако малый объем электробурения в
нашей стране (1,5-2%) и трудности организации проводного канала связи при
турбинном и роторном бурении обусловили поиск новых способов передачи
информации о забойных параметрах.
Таким способом оказалось
использование модулированных колебаний давления столба бурового раствора
(гироканал) и создание модулированных излучений искусственного источника
возмущений упругих колебаний типа гидроакустического преобразователя «Сирена»
(акустический канал)
Наибольшие успехи в разработке и
внедрении указанных каналов связи и телеметрических систем, созданных на их
основе, достигнуты разработчика ми ВНИИБТ, АзИНХ, МИНГ им. И.М. Губкина. Были
разработаны индикатор - турботахометр ГТТ-1000, низкочастотные
гидротурботахометры ТДН-4, ТДН-5, ТДН-6, ГТН-2, ГТН-3 и телеизмерительная
система ГГН-ЗМ.
В настоящее время системы с
использованием гидравлического канала связи совершенствуются.
Наряду с рассмотренными
телеметрическими системами применялся способ получения забойной информации
путем анализа частотного спектра колебаний верхней части бурильной колонны.
В конце 1960-х гг. была показана возможность
определения указанным способом степени износа трехшарошечных долот и других
забойных бойных параметров.
Специалистами Тюменского
индустриального института, ВНИИБТ, ВНИИЯГГ, СПКБ «Нефтегазпромавтоматика» были
достигнуты наибольшие,успехи в этом направлении.
Однако при решении ряда
технологических задач наряду с очевидной перспективностью использования
наземных сейсмоакустических преобразователей выявлены и недостатки,
обусловленные прежде всего сложностью обработки получаемой информации на базе
многоканальных преобразователей «аналог-код» и вычислительного комплекса ЕС, а
также ограничениями, присущими такому способу получения забойной информации.
Другим наиболее проработанным в
нашей стране направлением является создание АИИС для регистрации технологических
параметров непосредственно на забое бурящейся скважины. В этом направлений
накоплен большой опыт создания систем различного вида и назначения на базе
элементов электронной памяти.
Другим наиболее проработанным в
нашей стране направлением является создание АИИС для регистрации
технологических параметров непосредственно на забое бурящейся скважины. В этом
направлений накоплен большой опыт создания систем различного вида и назначения
на базе элементов электронной памяти.
В 1970-х гг. в Азербайджанском и
Волго-Уральском филиалах ВНИИгеофизики были начаты работы по созданию АИИС,
выбраны оптимальные способы регистрации результатов скважинных измерений,
методы расчета структурных схем АИИС, разроботана двухканальная аппаратура
АСП-1, ПАК-4, АМБК-1, АГАТ-10 [68].
За рубежом ведущими компаниями
(Totco Division, Baker Oil Tools Group, Schlumberger и др.) в течение последних
десятилетий предпринимаются значительные усилия, направленные на автоматизацию
и оптимизацию буровых работ.
Еще в начале 1930-х гг. в США
возникла идея передачи информации с забоя скважины непосредственно в процессе
ее бурения.
С целью оптимизации буровых работ в
США, Франции и Канаде в дальнейшем были созданы наземные комплексы
информационно-измерительных систем CDR (Continuous Drilling Rate Logger).
Эксплуатация разработанных
комплексов показала их несовершенство, т.к. обработка труднодешифрируемой
забойной информации даже посредством современной микропроцессорной техники
часто приводила к принятию ошибочных решений.
Высокие темпы развития забойных
телеметрических систем в 1970-х гг. были обусловлены увеличением объемов
бурения вообще и наклонно направленного в частности, а также возросшим объемом
бурения морских скважин, при проводке которых необходимы частые замеры кривизны
[68]. Установлено, что непроизводительное время при производстве инклинометрии
скважин может составлять десятки часов и оценивается в расчете на одну морскую
буровую установку в 650 тыс. долл. в Мексиканском заливе и 1,4 млн. долл. в
Северном море. Применение систем MWD {measurements while drilling) позволяет
экономить до 400 млн долл. на каждой скважине, поэтому несколько ведущих фирм
начали их разработку. К 1976 г. в разработке участвовали 20, а в 1978 г. - 40
фирм. И уже в 1987 г. системы MWD применялись при бурении 1 500 скважин, причем
более 70% затрат приходилось на инклинометрические исследования, проводимые в
процессе бурения.
Системы MWD с электромагнитной
системой передачи сигнала впервые были запатентованы в США в 1943 г., но
широкого применения не нашли из-за наличия таких недостатков, как большое
затухание сигнала, высокие уровни помех, сложности забойной аппаратуры. Однако
позже интерес к ним возрос.
Так, фирма Teledrill с 1983 г.
приступила к серийному выпуску системы с ЭМ-каналом связи, предназначенной для
геофизических и технологических измерений. В нашей стране такой канал, как уже
отмечалось, интенсивно разрабатывался в начале 1960-х гг. О.П. Шишкиным и др.
Позднее указанный способ передачи информации совершенствовался.
Первые попытки применения систем с
проводным каналом связи были предприняты в 1923 г. в США.
Первоначально связь с забоем
осуществлялась по изолированной штанге, встроенной в каждую бурильную трубу и
снабженной специальным соединительным устройством. Позднее был применен
каротажный кабель приваренный к стенкам трубы, а также появилась идея
использования сбрасываемого на забой кабеля.
Интенсивное развитие это направление
получило лишь в 1970-е гг Фирма Shell Development в 1972 г. провела испытания
макета инклинометр ческой системы с кабельным каналом связи. В 1974 г. в
системе Elexpipe в качестве канала связи был применен электрокабель.
Аналогичные попытки предпринимались французской фирмой Elexodrill Разработкой
систем с проводными каналами связи с 1974 г. начала заниматься фирма Exxon. Разработчиками
этой фирмы была создана аналогичная описанной аппаратура со сбрасываемым в
скважину кабелем.
Разработанные фирмами Scientific
Drilling и Sperry Sun системы MWD с проводным каналом, предназначенные для
контроля за траекторией ствола скважины и частотой вращения долота, появились в
1977 г.
В 1979 г. фирма General Electric
разработала систему Electrodrill, в которой применен комбинированный канал,
состоящий из встроенного и спускаемого токопроводов. Система обеспечивает как
геофизические так и технологические измерения.
Наибольшую практическую значимость
приобрели системы с проводным каналом, разработанные Французским институтом
нефти (ФЙН) и фирмой Elf Aquitaine (Teleco). В 1981 г. ими была создана система
Televigile Azintag, применяемая совместно с отклоняющей системой Telepilot,
управляемой по командам с поверхности. Позже этими разработчиками была
представлена система Simphor, предназначенная для проведения
промыслово-геофизических исследований в горизонтальных стволах скважин.
Конкурентоспособной системе Simphor оказалась система Tool Pusher,
разработанная в 1983 г. фирмой Gearhart.
Здесь приведен перечень основных
систем с проводным каналом, нашедших наибольшее практическое применение.
Однако, как показывает опыт, системы
с гидравлическим каналом связи наиболее удобны и надежны при передаче забойной
телеметрической информации. Именно эти системы преобладают как среди
разрабатываемых, так и среди действующих систем MWD.
Идея использования гидравлического
канала связи появилась в США в 1929 г., а в начале 1960-х гг. фирмой Mobil Oil
были проведены исследования канала и началось конструирование систем.
Затем фирмой Teleco Oil fiele
Servieces разработана инклинометрическая система Teleco. Методика исследования
скважины с применением этой системы заключается в следующем. Для съема данных
при роторном способе бурения бурильщик останавливает работу на 1,5 мин,
поддерживая циркуляцию бурового раствора, а затем возобновляет ее. Во время
остановки осуществляется опрос датчиков, информация с которых в цифровом виде
воспроизводится на специальном табло через 2,5 мин после остановки. При
турбинном способе бурения данные фиксируются в автоматическом режиме каждые 2,5
мин. Значения импульсов, достигающих поверхности, составляют 0,4 ÷ 0,7 МПа.
Канадской фирмой Vec-Tel Petroleum в
1979 г. была поставлена потребителям новая система импульсного действия, работы
над которой велись с 1973 г. Известны системы MWD фирмы Data-Drill, английской
фирмы Christensen Diamant и др.
Созданные к началу 1980-х гт.
системы с гидравлическим каналом преимущественно предназначались для контроля
за траекторией ствола скважины.
Проблемой увеличения скорости
передачи информации по гидравлическому каналу связи с конца 1970-х тт. были
заняты фирмы Schlumberger, Societe National Elf Aquitaine, Raymond Precision
Inc, а позже - Norton Christensen. Решение этой проблемы позволило реализовать
передачу информации не только о параметрах искривления скважины, но и о
некоторых технологических параметрах бурения.
Так, специалистами фирмы
Schlumberger в 1981 г. разработана система Analysts, способная контролировать
удельное сопротивление горных пород, естественную гамма-активность, нагрузку на
долото, крутящий момент, температуру, а также параметры искривления скважины и
положение отклонителя.
В 1985 г. фирмой Norton Christensen
разработана комплексная система, аналогичная системе Analysts, но отличающаяся
тем, что забойная ее часть формируется из отдельных унифицированных модулей (в
зависимости от решаемой задачи).
С 1973 г. ведущими фирмами США и
Франции активно изучается акустический канал связи.
Таким образом, опыт, накопленный при
разработке и эксплуатации забойных параметров ИИС, показал, что их применение
позволяет получить истинную и наиболее оперативную информацию о забойных
технологических параметрах, траектории стволов скважин, характеристике пластов.
Препятствием для их развития является малая пропускная способность беспроводных
каналов связи.
2. Исследовательская
часть
.1 Исследование
гидравлического канала связи
На сегодняшний день в мировой
практике наиболее широкое применение получили телеметрические системы контроля
забойных параметров процесса бурения, в которых информация с забоя на
поверхность передается гидравлическим сигналом по столбу бурового раствора.
Информация может передавать по
гидравлическому каналу акустическими колебаниями или при помощи сигналов, создаваемых
гидравлическими ударами.
В нижней части гидравлического
канала в бурильных трубах установлен акустический излучатель. Акустический
излучатель может быть выполнен в виде колеблющейся мембраны или поршня,
гидравлической сирены и т.п. В результате в гидравлическом канале образуется
плоская акустическая волна. В плоской волне чередуются участки повышенного и
пониженного давлений относительно среднего внешнего давления среды. Это
добавочное давление представляет акустическое давление в жидкости.
При распространении акустической
волны частички жидкости совершают колебания около положения равновесия с
некоторой скорости х.
Для плоской звуковой волны
где
- акустическое давление;
-
плотность среды; C - скорость распространения звука в ней.
Скорость распространения
акустических колебаний в реальной (сжимаемой) жидкости
, где k - модуль объемной упругости
жидкости.
Для воды акустическое сопротивление
=1.5·105 в несколько тысяч раз больше, чем для
воздуха. Следовательно, при одинаковых акустических давлениях скорость
колебаний частиц в воде значительно меньше, чем в воздухе.
Затухание интенсивности колебаний в
воде также меньше, чем в воздухе, так как кинематическая вязкость, определяющая
в основном поглощение колебаний, гораздо меньше для воды. При распространении
колебаний в жидкости вдоль жидких металлических стенок, например в трубах,
поглощение возрастает в результате лучшей теплопроводимости металла. В сложных
жидкостях типа глиняного раствора поглощение энергии колебаний может отличаться
от поглощения в жидкой воде.
На поверхности акустические
колебания принимаются соответствующим пьезометрическим приемником давления. При
одинаковой силе звука I в воде и в воздухе для воды звуковые давления p будут значительно больше, а значения
скоростей
намного
меньше.
При количественной оценке энергии
акустической волны вводится коэффициент поглощения в, который показывает
степень убывания начальной амплитуды волны A0 по мере ее распространения вдоль линии связи. В результате
исследования установлено, что амплитуда убывает по экспоненциальному закону
Для передачи информации по
гидравлическому каналу в трубах на большие расстояния (5-10 км) акустическими
колебаниями требуются излучатели очень большой мощности. Создать такие
излучатели и передать колебания большой мощности в гидравлическом канале в
скважине очень трудно. В случае импульсной передачи средняя мощность излучения
может быть небольшой при значительной мощности сигнала
Для построения модели гидроканала
воспользуемся дифференциальными уравнениями движения капельной сжимаемой
жидкости в трубе, которые впервые были составлены и решены Н.Е. Жуковским, а
затем развиты в классической работе И.А. Чарного.
Запишем линеаризованную систему
уравнений для изменений массовой скорости и давления:
где:
P - давление в гидравлической линии;
-
плотность бурового раствора;
w - средняя скорость в сечении;
с - скорость звука в капельной
упругой жидкости, текущей в трубе с упругими стенками;
a - коэффициент затухания, зависящий от кинематического
коэффициента вязкости и внутреннего диаметра трубы. Для круглой трубы диаметром
d имеет
место равенство
a =
, где
- кинематический коэффициент вязкости.
Применение данных уравнений
справедливо при условии движения жидкости со скоростью много меньше скорости
звука, когда можно не учитывать изменение скоростных напоров.
Скорость потока бурового раствора в
канале при расходе порядка 100 л/с для бурильных труб составляет примерно 11
м/с, а скорость звука в жидкости примерно равна 1500 м/с т.е. скорость потока
составляет 0,7% скорости звука.
Запишем систему в виде:
где Q = wS - объемный расход
жидкости;
S- внутреннее сечение гидравлического канала (трубопровода).
Преобразуем систему по Лапласу для
приращений давления ДР и расхода Д
:
где
- переменная в преобразовании Лапласа.
Таким образом, система уравнений в
частных производных приведена к системе обыкновенных дифференциальных
уравнений.
Решая систему, получим:
Общий интеграл решения уравнения
имеет вид:
A и B - произвольные константы, определяемые из граничных условий.
Подставляя в первое уравнение системы, получим выражение для приращения расхода
:
Учитывая и обозначая
где
- волновое сопротивление длинной линии, получим в итоге систему
уравнений, определяющих с точностью до произвольных констант, преобразованные
функции давления и расхода:
Для определения констант A и B из граничных условий составим
упрощенную эквивалентную схему гидравлической линии
Рассмотрим два граничных условия
(рисунок 13) - на устье (х = 0) и забое (x = L):
Рисунок 13 - Эквивалентная схема
гидравлической линии
Граничные условия в начале линии (х
= 0).
Из приведенной на рисунке 13
эквивалентной схемы следует[12], что
где
- изменение расхода бурового раствора в начале линии;
-
изменение расхода в компенсаторе;
-
изменение производительности буровых насосов.
Конструкция компенсатора,
предназначенного для уменьшения колебаний давления, вызванных неравномерностью
подачи буровых насосов, показана на рисунок 14
Рисунок 14. Компенсатор буровых
насосов
Обозначим через V0 и Р0 соответственно средние значения объема и
абсолютного давления газа в компенсаторе, а через у - увеличение объема
бурового раствора (или уменьшение объема газа) в компенсаторе. Предполагая, что
воздух сжимается изотермически, получим
где
- давление в манифольде в точке замера.
Умножим и разделим правую часть
уравнения на (
+y), тогда
Так как в нормально работающем
компенсаторе у мало по сравнению с Vo, то
Следовательно,
Прирост объема жидкости в
компенсаторе в единицу времени равен
Преобразуя выражение по Лапласу,
получим[11]:
Если считать производительность
буровых насосов постоянной, то
, и
выражение принимает вид:
конструктивный параметр
компенсатора, - получим выражение, описывающее изменение расхода бурового
раствора в начале гидравлической линии:
Учитывая потери энергии в
компенсаторе на перемещение мембраны и движение бурового раствора в
компенсаторе, получим:
где через Тк обозначим
постоянную времени, а через WK - передаточную функцию компенсатора.
Граничные условия в конце линии (x = L).
Граничные условия в конце линии
определяем, исходя из эквивалентной гидравлической схемы рисунок 13, составляя
уравнение баланса давлений. При этом будем везде считать поток турбулентным,
при котором перепад давления пропорционален квадрату расхода, т.е.
, и для приращений
где все обозначения приведены на
рисунке 13.
Подставляя граничные условия
передаточной функции компенсатора и уравнение баланса давлений в систему
функций давления и расхода, получим:
На основании уравнений с учетом
обозначений, минуя для упрощения промежуточные выкладки, получим окончательные
выражения для отношений давления (
) и расхода (
) в
точках замера к сигналу передатчика гидравлических импульсов (
)[8]:
Исследование выражений наиболее
просто и наглядно выполнить, используя известные частотные методы, поскольку их
достаточно успешно можно проводить с использованием средств вычислительной
техники. Нахождение же оригинала для таких сравнительно сложных функций, какими
являются выражения, представляет собой чрезвычайно трудоемкую задачу, не говоря
уже о том, что получающиеся решения в виде бесконечных рядов могут быть
проанализированы для весьма ограниченного числа предельных случаев, лишенных
наглядности, а подчас и физической сущности процесса. Большим преимуществом
частотных методов является возможность непосредственного анализа переходных
процессов, используя аппарат обратного преобразования Фурье, в том числе
аппарат быстрого преобразования Фурье (БПФ), так как всегда имеется в виду
применение средств вычислительной техники.
Для перехода от преобразования
Лапласа к преобразованию Фурье заменим
на jщ. Тогда выражения для v и
будут
иметь вид с учетом
Учитывая передаточную функцию,
получим выражение для частотной характеристики компенсатора:
Как следует из выражений, частотные
характеристики гидравлической линии связи зависят от многих параметров (длины
линии, коэффициента затухания, плотности бурового раствора, давления в
компенсаторе и т.д.). Поэтому для анализа ЧХ была принята следующая методика:
- Производилось т.н.
«центрирование» эксплуатационных и конструктивных параметров линии связи, т.е.
определялись центральные значения всех варьируемых параметров;
- Анализировались ЧХ
при изменении одного из параметров, сохраняя остальные параметры постоянными и
равными их центральным значениям.
На рисунке 15 приведены
амплитудно-частотные характеристики для различных значений коэффициента
затухания a. Из графиков видно, что коэффициент затухания a в большей мере влияет на форму
частотной характеристики для изменения расхода. Из-за наличия компенсатора
бурового насоса сигнал по давлению снижается до уровня 10% от своего
первоначального значения уже на частотах от 0.8 до 1.6 Гц в зависимости от
коэффициента затухания, в то время, как сигнал по расходу остается
информативным на более высоких частотах. Но необходимо отметить, что при величине
коэффициента затухания a < 0,3 1/с возможно выделение сигнала на датчике давления при
рабочей частоте 0,5 Гц. Всплески частотных характеристик вызываются
резонансными явлениями. Значения резонансных частот непосредственно связаны с
длиной линии.
На рисунке 16 приведены
амплитудно-частотные характеристики для различных длин гидравлической линии.
Очевидно, что чем длиннее линия, тем сильнее затухает сигнал, переданный с
забоя; особенно это заметно для сигнала по расходу. Так, по сравнению с длиной
линии 1000 м на 6000 м уровень сигнала падает в три раза. При длине линии 6000
м и наличии компенсатора сигнал по давлению перестает быть информативным,
начиная уже с 0.8 Гц, в то время как сигнал по расходу может быть успешно
использован для декодирования забойной информации при всех длинах - от 1000 до
6000 м.
Рисунок 15 - АЧХ линии при различных
коэффициентах передачи
Рисунок 16 - АЧХ гидравлической
линии при различных длинах
На рисунке 17 приведены АЧХ для
различных режимов работы компенсаторов буровых насосов. Из графиков видно, что
в области частот до 2 Гц величина давления воздуха в компенсаторе (при
постоянном объеме камеры) оказывает существенное влияние на выделение сигнала,
как по давлению, так и по расходу. При росте давления (снижения значения
коэффициента компенсатора) сигнал по расходу снижается, а по давлению
возрастает. При увеличении давления воздуха в компенсаторе в десять раз до
значения (перекачка компенсатора) можно добиться того, что уровень сигнала по
давлению на рабочих частотах станет сопоставимым с уровнем сигнала по расходу,
а при дальнейшем увеличении давления превысит его, но при этом компенсатор
перестанет выполнять свою непосредственную функцию[21].
Рис. 17 АЧХ линии при различных
значениях давления в компенсаторе
На рисунке 18 приведены АЧХ
гидравлической линии при различных значениях диаметра бурильных труб[13]. Из
графика видно, что диаметр бурильных труб влияет главным образом на частотные
характеристики сигнала по расходу. Это объясняется тем, что с одной стороны, от
внутреннего диаметра труб зависит площадь сечения S, а с другой стороны, внутренний
диаметр влияет на коэффициент затухания а, который в большей мере влияет на
сигнал по расходу. Так, при изменении наружного диаметра трубы от 114 мм до 168
мм при сохранении неизменной кинематической вязкости раствора коэффициент
затухания снижается почти в 2,5 раза.
Рис. 18 АЧХ гидравлической линии для
различных диаметров бурильных труб
На рисунке 19 приведены
амплитудно-частотные характеристики для различных значений плотности бурового
раствора. Из графиков видно, что при неизменном коэффициенте затухания
частотные характеристики линии мало зависят от этого параметра.
Рисунке 19 АЧХ Гидравлической линии
при изменении плотности бурового раствора
Приведенные выше частотные
характеристики показывают, что в идеальном случае гидравлический канал связи
позволяет принимать забойную информацию в сравнительно широкой полосе частот
даже независимо от режимов работы компенсаторов буровых насосов, используя
наземные датчики давления и расхода. Причем следует обратить внимание на то,
что спад АЧХ давления с ростом частоты обусловлен, в основном, не наличием
затухания, а физическими свойствами гидравлического канала как линии с
распределенными параметрами. Поэтому моделирование гидравлического канала
полубесконечной линией, по меньшей мере, некорректно, а в ряде случаев может
вообще привести к неверным результатам[20].
Тем не менее, представляет
бесспорный интерес анализ частотных характеристик гидравлической линии для
наихудших условий работы, соответствующих самому неблагоприятному сочетанию
параметров, при которых должны обеспечиваться надежная передача и прием
забойной информации. АЧХ для таких условий приведены на рис. 20.
Рисунок 20 АЧХ гидравлической линии
при неблагоприятном для передачи сигнала сочетании параметров линии и различных
значениях гидравлического сопротивления
Из построенных характеристик видно,
что при наиболее неблагоприятных условиях работы телеметрической системы
передачу информации с забоя необходимо осуществлять на частотах не превышающих
0.5 Гц, но даже в этом случае выделение сигнала на фоне помех является
достаточно сложной задачей, требующей применения специальных конструктивных и
программных решений.
3. Техническая часть
.1 Колебательные системы
для построения забойных датчиков
бурение скважина забой
Частотные элементы исторически были
первыми в системах передачи информации. В начале XX в. вплоть до 1970-х гг.
широкое распространение нашли системы телемеханики с частотным разделением
элементов сигнала, основанные на LC-элементах и механических колебательных
системах типа камертонов, дисков, гантелей, консолей с одним закреплённым
концом и др. В конце 1950-х гг. появились колебательные системы
аэрогидродинамического действия (струйные элементы). Традиционно частотные
системы телемеханики строились с использованием тонального (300÷3000 Гц) и
надтотанального (свыше 3000 Гц) диапазонов частот. Подгональный (ниже 300 Гц) и
инфранизкий (от долей Гц до 20 Гц) диапазоны практически не использовались,
т.к. LС-элементы имеют низкую добротность в указанных диапазонах и,
следовательно, использование их неэффективно. Упомянутые же механические и
струйные элементы отличаются высокими техническими характеристиками именно в
инфранизком и подтональном диапазоне частот. Вместе с тем, известно, что
затухание полезного сигнала в беспроводных каналах связи забоя с устьем
скважины имеет наименьшее значение в указанных диапазонах частот. Этим
объясняется интерес к указанным частотным элементам.
.2 Обоснование необходимости и
перспективы использования частотного метода телеметрии забойных параметров
В забойных
информационно-измерительных системах наряду с методом интенсивности при
телеметрии забойных измеряемой параметров в некоторых системах используется
частотный метод (ЧМ).
Частотные системы телеизмерения (ТИ)
позволяют осуществлять передачу по занятым линиям связи без применения
дополнительной аппаратуры частотного уплотнения, при этом несущая частота
устройства ТИ размещается в свободной части частотного диапазона линии.
Известно, что преобразователи с
частотными выходом являются весьма перспективными в измерительной технике.
Достоинство их состоит в повышенной точности, быстродействии, относительной
простоте и надёжности. Это объясняется тем, что частота может быть измерена с
высокой точностью простыми методами счета импульсов или периодов на точно
установленное время и легко кодируется. Однако использование частотного метода
требует применения высокостабильных частотных элементов.
Системы с ЧМ-модуляцией, в которых
величина девиации частоты несущего колебания f0 пропорциональна измеряемой величине F(t), получили широкое применение в
технике. Модуляция частоты может осуществляться любым известным способом.
Частота колебаний изменяется от f0 (несущая частота,
соответствующая нулевому значения измеряемого параметра) до fв - верхняя частота либо до fн - нижняя частота. Частоты fв и fн соответсвуют наибольшему
значению измеряемого параметра F(t)max:
где
- некоторый постоянный коэффициент.
Несущая частота f0 выбирает обычно в верхней части тонального диапазона или в
надтональном диапазоне. С целью экономии частотного спектра канала необходимо
стремиться уменьшить относительную девиацию частоты:
Следует отметить, что чем меньше
относительная девиация частоты, тем выше требования к стабильности несущей
частоты генераторов.
Пусть нестабильность частоты
генератора
. Тогда
относительная нестабильность
Приведенная погрешность, вызванная
нестабильностью генератора, будет
Например, относительная девиация
частоты при максимальном значении измеряемого параметра равна 0,5; в этом случае
для получения при передаче погрешности 1% необходимо иметь стабильность частоты
генератора 0,5%. Если относительная девиация 0,05, то для получения той же
погрешности требуется иметь стабильность 0,05%, что практически получить очень
трудно в частотных LC- и RC- элементах или невозможно.
Таким образом, необходимо применять
высокостабильные и высокодобротные колебательные системы.
Значительный интерес представляет
использование в забойных измерительных преобразователях механических
колебательных систем и, в частности, системы «баланс-спираль». Чтобы судить о
точностных характеристиках системы «баланс-спираль» достаточно сказать, что
температурная стабильность её на порядок выше электрических частотных
элементов, а компенсационные балансы имеют стабильность 12·106
1/град. Добротность системы «баланс-спираль» достигает 5·102 единиц.
Известно, что сбалансированная
колебательная система «баланс-спираль» обладает высокой виброустойчивостью.
Кроме того, для создания конструкций балансовых осцилляторов в датчиках
времени, устойчивых по отношению к механическим внешним воздействиям,
используются специальные типы балансовых осцилляторов, лишённые, как правило,
жёстких опор с трением и с повышенной частотой собственных колебаний. Первая из
указанных особенностей повышает ударную прочность осцилляторов, вторая повышает
их виброустойчивосгь за счёт увеличения живой силы баланса
Для дальнейшего повышения
выброустойчивости балансового осциллятора переходят на более высокочастотные
осцилляторы с плоской пружиной в качестве упругого элемента (начиная с
осциллятора с периодом примерно Т= 0,01 с и ниже). При колебании
баланса, выполненного в виде перекладины с закреплёнными на её концах грузами,
плоская пружина изгибается. Баланс имеет ось с достаточно прочными цапфами;
один конец пружины закреплён подвижно, чтобы обеспечить возможность её
свободного изгиба. Балансовые регуляторы такого типа выдерживают осевые ударные
перегрузки до нескольких тысяч g, а также значительные
вибрационные и центробежные перегрузки.
Часовые механизмы, основанные на
колебательной системе «баланс-спираль», давно применяются в датчиках давления -
манометрах МГП и МГТ для вращения диаграммного барабана. Несмотря на тяжёлые
условия работы на забое скважины (T = 170°С, Р = 500÷600 кг/см2), часовые механизмы зарекомендовали себя
очень хорошо. Они безотказны, прочны и долговечны.
Как правило, используется система
«баланс-спираль» с собственной частотой колебаний от 2 до 30 Гц. В специальных
каналах связи, к каким относится канал связи забоя с устьем скважины, одним из
возможных, а часто и единственно возможным, оказывается подтональный (20÷300 Гц) или инфранизкочастотный
(0÷20 Гц) диапазоны частот.
Так, исследования многих авторов беспроводного электрического, гидравлического
и акустического каналов связи забоя с устьем скважины показали, что затухание
сигналов в инфранизком диапазоне частот имеет наименьшую величину. В этих
условиях важным оказывается отыскание новых методов селекции и
совершенствование существующих измерительных систем. До настоящего времени наибольшее
распространение получили электрические системы.
Однако во многих случаях
электрические частотные элементы не могут удовлетворить требованиям,
предъявляемым к селективным системам современных устройств контроля, передачи и
приёма информации или, удовлетворяя этим требованиям, конструктивно оказываются
чрезвычайно громоздкими. Резонансные элементы (LC-контуры), входящие в
электрические колебательные системы, имеют недостаточно высокую добротность и
стабильность, что является основным препятствием, мешающим повышению
показателей электрических фильтров. Это обстоятельство исключает возможность
использования LC-контуров в подтональном и инфранизком диапазоне частот, т.к. в
результате относительно невысокой крутизны скатов резонансной кривой возникают
трудности в разделении частотных сигналов. Так, во избежание ложных
срабатываний частотных реле с последовательным LC-контуром интервал между
соседними частотами необходимо было бы выбирать в несколько раз больше полосы
пропускания. При этом данный частотный диапазон будет использоваться
неэффективно. Исследования, проведённые в СПКБ «Нефтегазпромавтоматика» (бывший
ГФ «ВНИИКАНефтегаз») показали, что добротность электрических фильтров,
основанных на альсиферовых сердечниках, не превышает четырех единиц на частоте
60 Гц, фильтров, основанных на альсиферовых сердечниках 12 единиц. Очевидно,
что в инфранизком диапазоне частот (0÷20 Гц) такие селективные элементы использоваться не могут, т.к.
количество рабочих частот в данном диапазоне незначительно. Указанные причины
обусловили поиски высокодобротных и высокостабильных резонансных элементов.
Такими элементами являются электромеханические (пьезоэлектрические и
магнитострикционные) и механические резонаторы. Аналогичные тенденции
наблюдаются и в отечественной и в зарубежной технике связи, управления и
контроля. Возросший интерес к электромеханическим колебательным системам
объясняется тем, что, электрические частотные элементы исчерпали себя в области
низкочастотной техники с точки зрении стабильности частоты настройки элементов.
Действительно, наиболее стабильные электрические элементы имеют стабильность
порядка 10-4 1/град (например, конденсаторы КСО «Г» имеют ТКЕ =
50·10-6 1/град), температурная компенсация для дальнейшего повышения
температурной стабильности частоты практически не даёт результата в
широком диапазоне рабочих температур, в котором эксплуатируются современные
устройства телеуправления, контроля и передачи данных (-50...+200°С).
В электромеханических элементах
стабильность частоты колебаний определяется значениями температурных
коэффициентов линейного расширения и температурных коэффициентов модуля
упругости материалов, применяемых для изготовления этих систем. Значения этих
коэффициентов для ряда материалов сведены в таблице 1.
Таблица 1 - Значения температурного
коэффициента линейного расширения и температурных коэффициентов модуля
упругости
|
Наименование материалов
|
|
С в с\1˚С
|
Наименование материалов
|
|
С в с\1˚С
|
|
Медь
|
16,5
|
0,71
|
Нейзильбер
|
15,8
|
0,68
|
|
Цинк
|
29
|
1,25
|
Латунь
|
18,5
|
0,8
|
|
Ртуть
|
154,5
|
6,67
|
Свинец
|
29,8
|
1,29
|
|
Инвар высокого качества
|
0,8
|
0,04
|
Сухая ель
|
3,5
|
0,15
|
|
Инвар обычный
|
1,6
|
0,07
|
Углеродистая сталь
|
11,5
|
0,50
|
|
Сталь с 50% никеля
|
5,8
|
0,25
|
Беррилиевая бронза
|
12,8
|
0,52
|
Из данных видно (таблице 1), что
даже без применения методов температурной компенсации возможно построение
электромеханических колебательных систем, температурная стабильность частоты
которых на порядок превышает температурную стабильность частоты электрических систем.
Необходимо отметить, что в механических колебательных системах широко
применяются методы температурной компенсации в связи со значительными
постоянством температурных коэффициентов линейного расширения и упругости
материалов для широкого диапазона температур.
Необходимо учесть, что массовость
производства и совершенство технологии позволили резко снизить стоимость
механических и электромеханических колебательных систем по сравнению с
электрическими.
Наконец, в ряде случаев
преимуществом механической колебательной системы по сравнению с электрической
является, как отмечалось выше, высокая добротность. Так, добротность балансовых
колебательных систем достигает 5·102; камертонных 1,5·105;
маятниковых 2·104; кварцевых резонаторов 2·106. Для
сравнения укажем, что добротность электрических колебательных контуров для
тонального диапазона частот достигает 1·102.
К недостаткам электромеханических
колебательных систем следует отнести наличие ряда источников нестабильности
частоты, связанных с режимами колебаний системы от амплитуды колебаний;
позиционной ошибки - зависимости частоты колебаний системы от её положения в
пространстве; воздействия внешних магнитных полей и изменения давления
окружающей среды. Однако принятие специальных конструктивных мер позволяет
снизить влияние этих источников погрешностей до приемлемых значений. Кроме
того, использование этих «отрицательных» качеств механических колебательных
систем позволяет построить датчики высокой точности для контроля различных
параметров.
Достоинство вышеупомянутых
преобразователей состоит в их повышенной точности, быстродействии,
относительной простоте и надёжности. Кроме того, интерес к ним объясняется тем,
что частота может быть измерена с высокой точностью сравнительно простыми
методами счёта импульсов или периодов на точно установленное время и легко
кодируется. Как указывалось выше, на основе точных измерительных
преобразователей напряжения постоянного тока в частоту могут быть созданы
точные цифровые приборы и значительно повышена точность информационно-измерительных
систем. Достигнутая точность преобразователей при линейности характеристики
преобразования 0,002% составляет 0,03%; температурная погрешность 0,01
на 1°С в диапазоне температур 10÷50°С.
3.3 Механические
колебательные системы с распределенными параметрами
Традиционный камертон представляет
собой металлический стержень прямоугольного сечения, согнутый в виде буквы U; размеры сечения ветвей камертона
обычно малы по сравнению с их длиной[2]. Ветви камертона (рисунок 21) совершают
противофазные колебания. На концах ветвей камертона в точках
возникают пучности, а в точках
- узлы колебаний; в точке
,
находящейся на месте изгиба между двумя узлами, возникает пучность.
Камертон - это колебательная система
с распределенными параметрами. В частном случае его можно рассматривать как
консольно-закрепленный стержень (язычок) (рисунок 21а).
Рисунок 21. Камертонный осциллятор:
а - внешний вид простейшего камертона; б, в, схемы к расчету собственной
частоты.
В этом случае колебания стержня
описываются (пренебрегая инерцией вращения стержня при изгибе) волновым
уравнением:
где
и
-
соответственно модуль упругости и плотность материала камертона;
и
-
площадь поперечного сечения камертона и момент инерции сечения относительно оси
AA
(рисунок 21 б);
и
- постоянные, характеризующие внутреннее и внешнее трение;
- соответственно смещение некоторой точки, ее абсцисса и время.
Решение этого уравнение дает формулу
для определения основной частоты камертона
Поскольку анализ колебательной
системы с распределенными параметрами связан со значительными вычислительными
трудностями, особенно если учитывать нелинейное трение, различные внешние
воздействия и рассматривать камертоны сложной формы, то целесообразно заменить
такую систему некоторой эквивалентной колебательной системой с сосредоточенными
параметрами. Однако нужно отметить, что такая замена допустима лишь при анализе
определенных параметров в ограниченной области частот.
Дифференциальное уравнение
эквивалентной системы имеет следующий вид:
где
где
-
масса ветви камертона;
-
эквивалентная упругость;
где
- эквивалентный коэффициент затухания.
Консольно-закрепленный невесомый
упругий стержень, колеблющийся в вязкой среде, с массой на свободном конце,
является упрощенной физической моделью ветви рассматриваемого камертона.
Собственная частота колебаний такой
системы определяется формулой (2).
Учитывая закругления камертона с
радиусом R (рисунок 21 б) и длиной прямого участка
, получим более точную формулу для определения собственной частоты
камертона
В таблице 2 приведены значения
корректирующего фактора
для
целого ряда значений
Таблица 2 - Значения корректирующего
фактора
|
л
|
е
|
л
|
Е
|
л
|
е
|
л
|
е
|
|
2
|
0,1457
|
8
|
0,0482
|
18
|
0,0210
|
30
|
0,0100
|
|
3
|
0,1099
|
9
|
0,0435
|
20
|
0,0183
|
32
|
0,0092
|
|
4
|
0,0888
|
10
|
0,0896
|
22
|
0,0163
|
34
|
0,0082
|
|
5
|
0,0747
|
12
|
0,0330
|
24
|
0,0144
|
36
|
0,0077
|
|
6
|
0,0637
|
14
|
0,0280
|
26
|
0,0130
|
38
|
0,0068
|
|
7
|
0,0541
|
16
|
0,0242
|
28
|
0,0115
|
38
|
0,0060
|
Часто используются не свободные, а
нагруженные камертоны, на концах ветвей которых расположены какие-либо грузы
(постоянные магниты, детали магнитопровода и т.п.).
Резонансная частота такого камертона
без учета изгиба ветвей определяется по формуле
где
и
-
соответственно модуль упругости и плотность материала камертона,
и
-
масса камертона и масса дополнительного груза,
- расстояние от конца ветвей камертона до центра тяжести груза,
- момент инерции массы груза относительно оси, проходящей через
центр его тяжести в перпендикулярной плоскости деформации ветвей камертона.
На практике можно считать Jr = 0, тогда
В нагруженных камертонах позиционная
ошибка, вызванная действием возмущающей силы, приложенной к центру тяжести
груза, может иметь большую величину. Она подобна возвращающей силе маятника:
где т = 1 / 4тк + тг-
приведённая масса камертона; g - ускорение силы тяжести;
- угол отклонения ветви камертона;
- угол поворота камертона.
Так как
имеет малые отклонения, можно считать, что возмущающая сила будет
равна
Тогда собственную частоту колебаний
можно записать в виде
где
определяется по формуле (1).
Воздействие температуры на частоту
колебаний камертона можно оценить по формуле
где
- коэффициент термического расширения материала камертона;
- термоэластичный коэффициент материала; t - температура
окружающей среды.
Одним из наиболее распространённых
осцилляторов является струна. Собственная частота колебаний её определяется
формулой
(3)
где
- длина струны; G - напряжение в струне, G = F / S; п- номер гармоники (обычно равный
1); S - сечение струны; г -
плотность материала струны; Е - модуль упругости материала струны; F- сила.
Удлинение струны при растяжении
равно
где E - модуль упругости струны.
При постоянных
и г частота колебаний в струне в соответствии с формулой (3)
зависит только от напряжения в струне.
Основным фактором, вызывающим
изменение частоты колебаний струны, является изменение её рабочей длины. Это
изменение может произойти в результате нагрева струны или основания,
вытягивания струны измеряемым усилием. Температурная погрешность струны по
частоте может быть определена зависимостью вида
где
,
-
температурные коэффициенты удлинения основания струны;
- максимальное рабочее удлинение струны, вызванное измеряемым
усилием;
- приращение температуры.
Величина погрешности для
вольфрамовых струн составляет
на 10°,
для остальных -
[4]
Применяется несколько способов снижения влияния температуры на частоту
колебаний струны. Один из них заключается в том, что струнный осциллятор
термостатируется. Второй - в том, что основание датчика собирается из двух
деталей, выполненных из разных материалов. При этом длины деталей
и
и
материалы подбираются таким образом, чтобы линейное расширение основания было
равно линейному расширению струны:
По заданным коэффициентам линейного
расширения
и
можно определить необходимые длины деталей, составляющих
основание.
Применяется также способ
термокомпенсации путём крепления струны к стойке из биметалла.
На точность работы преобразователей,
основанных на струнных осцилляторах, большое влияние оказывает вид закрепления
концов струны. Существует множество способов заделки концов струн.
Обзор устройств контроля забойных
параметров и рассмотрение вопроса развития электромеханических колебательных
систем позволяют сделать следующие выводы: во-первых, существующие устройства
контроля технологических и геометрических забойных параметров работают
ненадёжно и при этом имеют большую погрешность, во-вторых, в существующей
литературе отсутствуют данные об использовании инфранизкочастотных механических
преобразователей для контроля забойных параметров в процессе бурения скважин. В
связи с этим авторы считают необходимым на основе проведённых исследований
показать возможности инфранизкочастотных механических преобразователей и
подчеркнуть актуальность работ по созданию на их основе устройств для измерения
параметров бурения непосредственно на забое скважины.
.4 Камертонные преобразователи
Вибратор преобразователя
представляет собой камертон, нагруженный подвижным грузом. Проанализировав
работу преобразователя рисунок 23 получим значения «l» и «
» в функции угла поворота и[3]:
(для
)
(для
)
В результате имеем аналитическую
зависимость частоты камертонного преобразователя от угла поворота и при
воздействии температуры и с учётом позиционной ошибки:
В выражении (4) угол
отклонения ветви нагруженного камертона от вертикали под действием груза
представлен в виде
где и - измеряемый угол поворота,
рад; тг - масса груза, кг; тк - масса камертона, м; l - длина отвеса, м; g - ускорение свободного падения, м/
, Е, г - модуль упругости и плотность материала камертона.
Формулы выведены при условии, что
элементы преобразователя выполнены из одного материала и имеют одинаковый
коэффициент линейного расширения б.
Были построены и всесторонне
исследованы макеты описанных преобразователей. Описанные преобразователи имеют
основную погрешность не более 0.5%, а виброустойчивость соответствует
виброустойчивости механический конструкции. методами демпфирования можно
снизить вибрацию до минимума.
3.5 Устройство для
измерения температуры в скважине
На основе вышеисследованных
механических колебательных систем типа "баланс-спираль", камертон и
др. предложено новое устройство для измерения температуры в скважине.
Изобретение относится к бурению
скважин и предназначено для их геофизического исследования, а именно для
измерения температуры бурового раствора в процессе бурения. Цель изобретения -
повышение надежности работы.
Известно устройство для измерения
температуры в скважинах (а.с. СССР №1298365, 2010), содержащее источник
энергии, преобразователь температуры, выполненный в виде расположенного в
корпусе струйного генератора, состоящего из струйного элемента, включающего
сопло питания, приемное и выходное сопла, размещенные в углублении панели и
связанные между собой коммутационными каналами. Недостатком этого устройства
является трудность реализации источника питания, и увеличенное время съема
информации в связи с использованием инфранизкого диапазона частот.
Также известно устройство (а.с. СССР
№2381361, 1987), которое содержит корпус, струйный генератор с системой сопел,
поверхность, панель, коммутационные каналы, приемную емкость, источник энергии,
управляемый дроссель, сильфон и управляющий шток гидроусилителя, связанного с
каналом связи. Источник энергии выполнен в виде баллона со сжатым газом.
Недостатком этого устройства является трудность реализации источника питания, и
увеличенное время съема информации в связи с использованием инфранизкого
диапазона частот.
Прототипом является устройство (а.с.
СССР №279520, 1971), которое содержит механическую колебательную систему с
укрепленным на ней постоянным магнитом, преобразователь механических колебаний
в электрические и заполненный ртутью термобаллон. Механическая колебательная
система выполнена в виде полого баланса, закрепленного на трубке, связанной с
термобаллоном, причем полости баланса, трубки и термобаллона сообщаются между собой.
Измерение колебаний производится следующим образом. В систему привода и объема
подается короткий импульс тока. Магнитное поле, созданное в катушке этим
импульсом, взаимодействует с полем постоянного магнита, и баланс начинает
колебаться. Съем колебаний производится той же катушкой. Недостатком этого
устройства является низкая частота механической колебательной системы, которая
снижает объем информации получаемой с устройства измерения температуры, то есть
не в полной мере используется пропускная способность проводного канала связи.
Техническая задача заключается в
создании надежного устройства и точного устройства для контроля температуры в
скважине непосредственно в процессе бурения.
Техническим результатом является
повышение надежности и упрощение конструкции. Надежность достигается тем, что
механическая колебательная система выполнена в виде биметаллической
цилиндрической спирали, которая обеспечивает поперечные колебания. Упрощение
устройства достигается тем, что сокращается число элементов конструкции
датчика.
Устройство для измерения температуры
в скважине, включающее механическую колебательную систему с укрепленными на ней
постоянными магнитами и преобразователь механических колебаний в электрические,
при том, что механическая колебательная система выполнена в виде цилиндрической
биметаллической спирали, один конец которой жестко закреплен, а второй
свободен, и преобразователь механических колебаний в электрические выполнен в
виде системы взаимодействующих электромагнитных полей постоянных магнитов,
жестко закрепленных на цилиндрической биметаллической спирали, и катушек
привода и съема колебаний, обеспечивающих поперечные колебания цилиндрической
биметаллической спирали.
Устройство работает следующим
образом.
В систему привода подается короткий
импульс тока. Магнитное поле, созданное в катушке привода этим импульсом,
взаимодействует с полем постоянного магнита, и биметаллическая цилиндрическая
спираль начинает колебаться. Изменение температуры промывочной жидкости
вызывает изменение частоты колебаний цилиндрической биметаллической спирали.
Съем колебания производится катушкой съема.
Установлено, что существует
зависимость между частотой вынужденных колебаний цилиндрической биметаллической
спирали и температурой в скважине. Изменение частоты тока передается по линии
связи на устье скважины и регистрируется приборами. Данная информация служит
для осуществления управления процессом проводки скважины.
Для расчета резонансной частоты
устройства мы можем использовать формулу для нагруженного камертона
где f0 - частота колебаний, Гц;
тг - масса груза, кг; тк
- масса камертона, м;
E - модуль упругости материала биметаллической цилиндрической
спирали;
г - плотность материала
биметаллической цилиндрической спирали;
-
расстояние до центра тяжести груза;
e - толщина биметаллической цилиндрической спирали;
L - длина биметаллической цилиндрической спирали вместе с
удлинением при изменении температуры.
Длину биметаллической цилиндрической
спирали вместе с удлинением, учитывая изменение температуры, можно найти по
формуле:
,
где
- длина биметаллической пружины при комнатной температуре;
.
где
- изменение температуры;
-
коэффициент термического расширения материала;
-
толщина биметаллической спирали.
Сравним экспериментальную
зависимость, полученную в ходе опыта, с теоретической зависимостью частоты от
температуры для биметаллической спирали.
Примем комнатную температуру 27°С.
Рассчитаем частоту колебаний биметаллической спирали при соответственных
температурах:
) t = 27°С.

.
) t = 115°С
.
) t = 150°С
.
Рассчитаем относительную
погрешность:
Средняя относительная погрешность
измерений составила 13.7%, что является допустимым при измерении температуры в
скважине.
Заключение
Автоматический контроль глубинных
параметров в скважинах является основным звеном в комплексной автоматизации
процессов бурения и добычи нефти или газа.
В результате выполненных работ по
созданию устройств автоматического контроля в скважинах получены лишь первые успехи
и созданы отдельные приборы, которые далеко еще не могут удовлетворить
Потребности промышленности в таких средствах автоматики. В настоящее время
применяются различные способы бурения скважин и их эксплуатации, что
обусловливает большое разнообразие задач автоматического контроля за глубинными
процессами. Для их решения необходимо продолжать широкие исследовательские и
опытно-конструкторские работы.
Необходимо создание и дальнейшее
совершенствование устройств автоконтроля для скважин глубиной до 6-7 тыс. м.
При бурении таких скважин электробурами или с применением шланго-кабеля, в
котором помимо силовых жил закладывается несколько контрольных проводов,
представляется возможность иметь необходимый комплекс автоконтроля как за
режимом бурения и за направлением скважин в пространстве, так и за свойствами
проходимых пород.
Наряду с совершенствованием
описанных в книге устройств, главным образом по пути повышения их надежности и
точности измерения, предстоит разработать устройства для автоматического
каротажа скважин в процессе бурения. При роторном и турбинном бурении,
используя гидравлическую линию связи или передачу электрических сигналов по
колонне труб и окружающей толще породы, можно контролировать лишь отдельные
технологические параметры бурения. При этом необходимы дальнейшие работы по
совершенствованию и повышению эксплуатационной надежности созданных приборов.
Для контроля этих видов бурения
основным направлением работ все же остаются поиски и разработка надежного в
работе канала связи, допускающего передачу необходимого объема информации о
комплексах глубинных параметров бурения.
Список использованных
источников
1.
Ошкордин О.П. Методы системного анализа в технологии разведочного бурения
[Текст]/ О.П. Ошкордин, С.Г. Фролов, 1995.
2. Есауленко В.Н.
Аэродинамические измерительные преобразователи для телеметрии забойных
параметров при бурении скважин [Текст]/ В.Н. Есауленко, 2010.
3.
Есауленко В.Н. Контроль и автоматическое регулирование забойных параметров в
процессе бурения глубоких скважин на нефть и газ [Текст]/ В.Н. Есауленко, 2011.
.
Есауленко В.Н. Частотные датчики в бурении [Текст]/ В.Н. Есауленко, 2012
.
Бесекерский В.А. Теория систем автоматического регулирования [Текст]/ В.А.
Бесекерский, Е.П. Попов, 1966.
6. Конторович М.И.
Операционное исчисление и процессы в электрических цепях [Текст]/ М.И.
Конторович, 1964.
7.
Калинин А.Г. Справочник инженера-технолога по бурению глубоких скважин [Текст]/
А.Г. Калинин, А.Г. Мессер, 2005.
.
Розенберг Г.Д., О гидравлическом канале связи в бурении [Текст]/ Д.Г.
Розенберг, И.Н. Буяновский, 1992.
.
Грачев Ю.В. Автоматический контроль в скважинах при бурении и эксплуатации
[Текст]/ Ю.В. Грачев, В.П. Варламов; Государственное научно-техническое
издательство нефтяной и горно-топливной литературы, 1963.
10. Молчанов А.А..
Геофизические исследования горизонтальных скважин [Текст]/ А.А. Молчанов, Е.Е.
Лукьянов, В.А. Рапин, 2001.
. Воздвиженский Б.Н.,
Разведочное бурение [Текст]/ Б.Н. Воздвиженский, О.Н. Голубенцев, А.А.
Новожилов, 1979.
. Вадецкий О.Ю. Бурение
нефтяных и газовых скважин. Учебник для начального профессионального
образования [Текст]/ О.Ю. Вадецкий, 2008.
. Басарыгин Ю.М.
Технологические основы освоения и глушения нефтяных и газовых скважин [Текст]/
Ю.М. Басарыгин, Ю.М. Проселков, 2001.
. Абубакиров В.Ф.
Буровое оборудование ч. 1 [Текст]/ В.Ф. Абубакиров, В.А. Архангельский, Ю.Г.
Буримов, 2000.
. Абубакиров В.Ф.
Буровое оборудование ч. 2 [Текст]/ В.Ф. Абубакиров, В.А. Архангельский, Ю.Г.
Буримов, 2003.
. Калинин А.Г.
Технология бурения разведочных скважин на нефть и газ [Текст]/ А.Г. Калинин,
А.З. Левицкий, 1998.
. Булатов А.И. Техника и
технология бурения нефтяных и газовых скважин [Текст]/ А.И. Булатов, С.А.
Шаманов, 2003.
. Басарыгин Ю.М
Технология бурения нефтяных и газовых скважин [Текст]/ Ю.М. Басарыгин, А.И.
Булатов, 2001.
. Башкатов А.Д.
Прогрессивные технологии сооружения скважин [Текст]/ А.Д. Башкатов, 2003.
. Гилязов Р.М. Бурение
нефтяных скважин с боковыми стволами [Текст]/ Р.М. Гилязов, 2002.
. Чарный И.А.
Неустановившееся движение реальной жидкости в трубах [Текст]/ И.А. Чарный,
1975.