Изучение гидравлических поршневых насосных установок для эксплуатации скважин. Расчет фонтанной эксплуатации скважин
Министерство
образования и науки Российской Федерации
Федеральное
государственное бюджетное образовательное учреждение
высшего
профессионального образования
"Национальный
минерально-сырьевой университет "Горный"
Кафедра
разработки и эксплуатации нефтяных и газовых месторождений
Курсовой
проект
Изучение
гидравлических поршневых насосных установок для эксплуатации скважин. Расчет
фонтанной эксплуатации скважин
Автор:
студент гр. НД-12-1
Нгуен В.Т
Проверил
Руководитель ассистент
Лягов И.А.
Санкт Петербург
г.
Оглавление
Введение
1.
Гидравлические поршневые насосные установки для эксплуатации скважин
1.1 Схема и принципы действия
гидравлической поршневой насосной установки
1.2 Cпуск и
подъем погружного агрегата гидравлической поршневой насосной установки
2. Расчет
оборудования при фонтанной эксплуатации скважин
2.1 Расчет НКТ при фонтанно-компрессорной
эксплуатации скважин
2.2 Расчет
глубины спуска остеклованных НКТ при фонтанной эксплуатации скважин
2.2.1
Насосно-компрессорные трубы с защитными покрытиями
.2.2 Расчет
глубины спуска остеклованных НКТ при фонтанной эксплуатации скважин
2.3 Расчет распределения давления в
скважине (от забоя по ЭК)
2.4 Расчет
распределения давления в скважине (от устья по НКТ)
2.5 Найти
диаметр штуцера
2.6 Условия фонтанирования скважин.
Минимальное забойное давление фонтанирования
Заключение
Список
литературы
Введение
В настоящее время в связи с сокращением ресурсов поверхностных вод,
использование подземных вод для различных целей значительно увеличивается,
поэтому создание высоконапорной и высокопроизводительной техники для откачки
жидкости из скважин имеет большое народнохозяйственное значение. Необходимость
в такой технике для водоотлива шахт требует горнодобывающая промышленность.
Большую потребность имеет также оснащение погружными насосами водопонижающих
скважин, пробуренных в целях осушения месторождений подземных ископаемых и
заболоченных территорий.
У нас в стране и за рубежом используется много различных технических
средств для искусственного подъема жидкости, разработанных для различных
условий эксплуатации, отличающихся конструктивно и по принципу действия.
Их анализ показывает, что одним из наиболее интересных и перспективных
подъемников жидкости является погружные гидропоршневые насосные агрегаты, в
одном корпусе помещают насос и гидродвигатель.
Гидропоршневые насосы в отличие от штанговых, успешно откачивают жидкость
с большим содержанием механических примесей. Это становится возможным благодаря
гидрозащите плунжера насоса, к рабочей поверхности которого подводится под
высоким давлением чистая жидкость из гидродвигателя, не допускающая попадания в
зазор твердых частиц.
Некоторые системы допускают применение манжетных уплотнений штоков и
поршней, которые имеют ряд преимуществ перед щелевыми уплотнителями.
Гидропоршневые насосы отличаются друг от друга по типу силового
гидроцилиндра и насосной части, по типу распределительного механизма двигателя
по распределению нагрузки при ходе поршней вверх и вниз, по способу поставки в
скважину и по отводу отработавшей жидкости из скважины и т.д.
Однако при откачке из скважин сильно зашламленных жидкостей известными
гидропоршневыми насосными агрегатами установлено, что наличие двух клапанов в
гидродвигателе насоса, которые между собой связаны не жестко, затрудняют их взаимодействие
так как при заклинивании одного из клапанов двигатель останавливается и
приходится такой насосный агрегат вытаскивать на поверхность для разборки и
очистки клапанной группы гидродвигателя
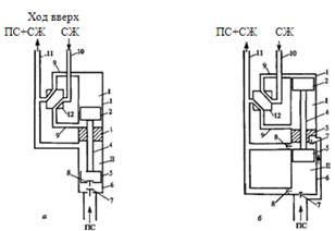
1. Гидравлические поршневые насосные установки для эксплуатации скважин
Гидравлические поршневые насосные установки (ГПНУ) предназначены для
эксплуатации высокодебитных глубоких скважин, продукция которых не содержит
механических примесей. Погружной агрегат ГПНУ состоит из трех основных
элементов: поршневого гидравлического двигателя, плунжерного (поршневого)
насоса, соединенных между собой жестким штоком, и золотникового управляющего
устройства, привод которого осуществляется от соединительного жесткого штока
(золотниковое устройство гидравлического типа).
.1 Схема и
принципы действия гидравлической поршневой насосной установки
Оборудование ГПНУ состоит из наземной и погружной частей. Наземная часть
включает силовой и подпорный насосы, емкость и оборудование для подготовки
силовой жидкости, систему трубопроводов и кранов, а также
контрольно-измерительные приборы. Погружной агрегат является сложной
гидравлической машиной с очень высокой точностью изготовления пар трения:
"поршень- цилиндр" гидродвигателя; "поршень (плунжер) -
цилиндр" насоса и гидравлического золотникового устройства. На (рис.1)
приведены схемы погружных агрегатов: с плунжерным насосом одинарного действия
(схема а) и с поршневым насосом двойного действия (схема б).
Погружной агрегат, как правило, сбрасываемого типа, т.е. спуск его в
скважину, посадка в посадочный конус фиксация агрегата в колонне НКТ) и подъем
из скважины осуществляются силовой жидкостью (СЖ), хотя известны конструкции
погружного агрегата, спускаемые в скважину на колонне НКТ.
Характеристики насоса
В настоящее время выпускаются установки:
УГН25-150-25
УГН40-250-20
УГН100-2000-18
УГН160-380-155
Рисунок. 1. Принципиальные схемы погружного агрегата Г11НУ
а - с плунжерным насосом одинарного действия; б - с поршневым насосом
двойного действия; I - гидродвигатель; II - плунжерный (поршневой) насос; 1 -
цилиндр гидродвигателя; 2 - поршень гидродвигателя; 3 -
уплотнитель-разделитель; 4 - соединительный жесткий шток; 5 - плунжер (поршень)
насоса; б - цилиндр насоса; 7 - всасывающий клапан; 8 - нагнетательный клапан;
9 - перепускной канал; 10 - канал подвода силовой гидрожидкости (СЖ); 11 -
канал отвода продукции скважины (ПС) и силовой жидкости; 12 - золотниковое
устройство
Эксплуатация скважин ГПНУ осуществляется по двух- или трехканальной
схемам. При двухканальной схеме в скважину спускаются концентрично две колонны
НКТ: по внутренней колонне малого диаметра подается силовая жидкость к
погружному гидродвигателю; кольцевой зазор между колоннами НКТ служит для подъема
продукции скважины (ПС) и отработанной силовой жидкости. Двухканальная схема
может быть реализована и при одной колонне НКТ, но при этом колонна НКТ
пакеруется в скважине: по НКТ подается силовая жидкость, а по затрубному
пространству поднимается смесь продукции скважины и силовой отработанной
жидкости. В качестве силовой жидкости в этом случае используется сама продукция
скважины, что, естественно, требует ее определенной подготовки на устье,
усложняя наземную часть оборудования.
Более предпочтительной является трехканальная схема, при которой силовая
жидкость не смешивается с продукцией скважины, но она требует спуска в скважину
трех колонн НКТ: по внутренней колонне к гидродвигателю подается силовая
жидкость; отработанная силовая жидкость поднимается на устье по кольцевому
зазору между первой (внутренней) колонной НКТ и второй. Продукция скважины
поднимается по кольцевому зазору между второй и третьей (наружной) колоннами
НКТ. Такая схема может быть реализована и при спуске двух колонн НКТ, но наружная
колонна должна быть запакерована в скважине; подъем продукции скважины в этом
случае осуществляется по затрубному пространству.
Более предпочтительной является трехканальная схема, при которой силовая
жидкость не смешивается с продукцией скважины, но она требует спуска в скважину
трех колонн НКТ: по внутренней колонне к гидродвигателю подается силовая
жидкость; отработанная силовая жидкость поднимается на устье по кольцевому
зазору между первой (внутренней) колонной НКТ и второй. Продукция скважины поднимается
по кольцевому зазору между второй и третьей (наружной) колоннами НКТ. Такая
схема может быть реализована и при спуске двух колонн НКТ, но наружная колонна
должна быть запакерована в скважине; подъем продукции скважины в этом случае
осуществляется по затрубному пространству
Принцип действия погружного агрегата с плунжерным насосом од инарного
действия (рис.1а) следующий. Рассмотрим ход вверх. При подаче силовой жидкости
в канал подвода 10 золотниковое устройство 12 по перепускному клапану 9
подводит силовую жидкость под поршень 2 гидродвигателя I, вследствие чего
поршень гидродвигателя движется вверх, вьпесняя отработанную силовую жидкость
из цилиндра 1 через перепускной канал 9 и золотниковое устройство 12 в канал
для отвода ПС и СЖ 11, в котором они смешиваются и поднимаются на устье.
Плунжер насоса 5, жестко соединенный с поршнем 2 гидродвигателя, также движется
вверх; при этом нагнетательный клапан 8 закрыт, а всасывающий клапан 7 открыт.
Продукция скважины вытесняется из цилиндра 6 над плунжером в канал для отвода
ПС и СЖ 11; одновременно ПС поступает в цилиндр насоса под плунжером 5. Когда
поршень гидродвигателя приходит в верхнюю мертвую точку, золотниковое
устройство переключает подачу силовой жидкости в цилиндр гидродвигателя над
поршнем (позиция золотникового устройства 12 на рис. 1 б). Поршень 2 и плунжер
5 начинают движение вниз. Отработанная силовая жидкость из-под поршня
гидродвигателя через перепускной канал 9 и золотниковое устройство 12
вытесняется в канал отвода 11. Всасывающий клапан 7 насоса закрывается,
открывается нагнетательный клапан 8, и продукция скважины перетекает через
плунжер в цилиндр 6 над плунжером 5 и далее - в канал отвода 11.
Принцип действия погружного агрегата с поршневым насосом двойного
действия (рис. 1б) следующий. При ходе вниз силовая жидкость из канала подвода
10 через золотниковое устройство 12 и пропускной канал 9 подается в цилиндр 1
гидродвигателя над поршнем 2, заставляя его двигаться вниз.
Отработанная силовая жидкость из-под поршня 2 через перепускной канал 9 и
золотниковое устройство 12 вытесняется в канал отвода 11. Движение вниз
совершает и поршень 5 насоса. При этом нижний всасывающий клапан 7 закрыт, а
верхний всасывающий клапан 7 открыт; нижнии нагнетательный клапан 8 открыт, а
верхний нагнетательный клапан 8 закрыт. Из объема цилиндра 6 под поршнем
продукция скважины нагнетается в канал отвода продукции 11, смешиваясь в нем с
отработанной силовой жидкостью. Объем цилиндра 6 над поршнем 5 при движении его
вниз через верхний всасывающий клапан 7 заполняется продукцией скважины.
При ходе вверх открывается нижний всасывающий клапан 7 и закрывается
верхний всасывающий клапан 7; при этом нижний нагнетательный клапан 8 закрыт, а
верхний нагнетательный клапан 8 открыт. Идет заполнение скважинной продукцией
объема цилиндра 6 под поршнем 5 и вытеснение скважинной продукции из объема
цилиндра 6 над поршнем 5.
Выше описаны только принципиальные схемы погружных агрегатов с насосами
одинарного и двойного действия. В погружном агрегате с насосом одинарного
действия дифференциального типа роль золотникового устройства выполняет
специальный управляющий клапан с каналами, размещенными в поршне
гидродвигателя.
ГПНУ в сравнении с другими типами бесштанговых установок обладают
следующими преимуществами:
возможность регулирования в достаточно широком диапазоне основных
характеристик
— простота управления;
— упрощение подземного ремонта, т.к. спуск и подъем погружного агрегата
осуществляются собственным силовым насосом;
— возможность эффективной эксплуатации наклонно-направленных скважин.
В то же время этим установкам присущи и существенные недостатки:
— сложность и громоздкость наземного оборудования;
— высокая металлоемкость;
— для двухканальных схем необходима специальная подготовка силовой
жидкости, в качестве которой используется часть продукции скважин;
— невозможность откачки продукции с механическими примесями
1. Погружной агрегат, спускаемый в скважину на колонне НКТ.
2. Погружной агрегат сбрасываемого типа, спуск и подъем которого
осуществляется силовой жидкостью.
Использование погружных агрегатов сбрасываемого типа является
предпочтительным, т.к. отпадает необходимость проведения спуска и подъема
погружного агрегата бригадой подземного ремонта скважин с использованием
штатной техники. Это обстоятельство является серьезным преимуществом (и,
пожалуй, одним из наиболее весомых) ГПНУ.
Наиболее распространенной схемой использования ГПНУ при эксплуатации
скважин является двухканальная, при которой силовая жидкость доставляется к
погружному гидродвигателю по одному каналу (по колонне НКТ), а отработанная
силовая жидкость, смешиваясь с продукцией скважины, поднимается на поверхность
по другому каналу. Для погружных агрегатов, спускаемых в скважину на колонне
НКТ, двухканальная схема реализуется в двух вариантах (рис. 2):
В скважину спускают две колонны НКТ: наружную 3 (большего диаметра) и
внутреннюю 5, к нижней части которой крепится погружной агрегат 4. В нижней
части наружной колонны 3 закреплен посадочный конус 2, в который садится
погружной агрегат 4 при спуске. Уплотнение погружного агрегата в посадочном
конусе осуществляется уплотнительным элементом 1, размещенном на хвостовике
погружного агрегата. Подача силовой жидкости осуществляется по внутренней
колонне НКТ 5, а подъем продукции скважины и отработанной силовой жидкости
осуществляется по кольцевому зазору между колоннами НКТ 5 и 3 (рис. 2. а).
Предварительно в скважину на расчетную глубину спускают и закрепляют в
обсадной колонне 6 шлипсовый пакер 7 с посадочным конусом 2. Погружной агрегат
4 спускают на колонне НКТ 5, который садится в посадочный конус 2 и уплотняется
уплотнительным элементом 1. Силовая жидкость подается к погружному гидродвигателю
по колонне НКТ 5, а продукция скважины вместе с отработанной силовой жидкостью
поднимается на поверхность по кольцу между обсадной колонной 6 и НКТ 5 (рис. 2.
б).
Очевидно, что каждой из этих схем присущи как преимущества, так и
недостатки, но обе они требуют проведения подземного ремонта
Рис. 2. Принципиальная схема спуска погружного агрегата ГПНУ на колонне
НКТ
а - использованы две колонны НКТ; б-использована одна колонна НКТ; 1 -
уплотнительный элемент погружного агрегата; 2 - посадочный конус; 3 - наружнаа
колонна НКТ; 4 - погружной агрегат; 5 - внутренняя колонна НКТ; 6 - обсадная
колонна; 7 - шлипсовый пакер
Погружные агрегаты сбрасываемого типа работают также, в основном, по
двухканальной схеме со спуском в скважину двух колонн НКТ (рис. 3): наружной
большего диаметра 1 и внутренней 2.
В нижней части погружной колонны 1 имеется посадочный конус 7. Нижний
конец внутренней НКТ имеет уплотнительный элемент 8, который при спуске ее
садится в посадочный конус 7. Над уплотнительным элементом внутренней НКТ
размещен обратный клапан 6, выше которого установлен посадочный конус 3 с
отверстиями 4, в который садится погружной агрегат и уплотняется уплотнительным
элементом 5 агрегата, одновременно перекрывающим отверстия 4.
Перед сбрасыванием погружного агрегата колонны НКТ заполняются, как
правило, нефтью. Обратный клапан 6 удерживает столб нефти в НКТ. После этого
внутрь колонны 2 сбрасывается погружной агрегат, включается наземный силовой
насос, и силовая жидкость, поступающая внутрь колонны 2, продавливает погружной
агрегат до посадки и фиксации в посадочном конусе 3.
Рис. 3. Принципиальная схема компоноаки нижней части колонн НКТ при
использовании погружного агрегата сбрасываемого типа:
- наружная колонна НКТ; 2 - внутренняя колонна НКТ; 3 - посадочный конус
на внутренней НКТ; 4 - отверстие; 5 - уплотнительный элемент агрегата; б -
обратный клапан; 7 - посадочный конус на наружной НКТ; 8 - уплотнительный
элемент внутренней колонны НКТ
Давление на силовом насосе повышается, и погружной агрегат начинает
работать.
При необходимости подъема погружного агрегата силовая жидкость от
наземного силового насоса подается в кольцевой зазор между колоннами НКТ 1 и 2.
Через отверстия 4 в посадочном конусе 3 силовая жидкость воздействует снизу на
погружной агрегат (обратный клапан 6 при этом закрывается), выдавливает его из
посадочного конуса 3 и поднимает до устья скважины.
Таким образом, необходимость в бригаде подземного ремонта отпадает.
Очевидно, что при работе по описанной схеме, необходимо иметь
дополнительное оборудование для фиксации и удержания погружного агрегата на
устье скважины, а также специальное устройство для переключения подачи силовой
жидкости из колонны НКТ в кольцевой зазор и наоборот.
Многообразие и сложность как наземного, так и погружного оборудования,
необходимость качественной подготовки силовой жидкости (сепарация от свободного
газа, удаление из нее воды и очистка от механических примесей) не способствуют
широкому промышленному использованию ГПНУ для эксплуатации скважин в России,
большинство основных месторождений нефти которой находится в зоне суровых
климатических условий.
Расчет основных технологических параметров добывающей системы при
эксплуатации ее ГПНУ принципиально ничем не отличается от такового при ее
эксплуатации плунжерными насосами (установками скважинных штанговых насосов).
Известны и другие способы насосной эксплуатации скважин, например,
установками вибрационных, винтовых или диафрагменных насосов, которые кратко
будут рассмотрены ниже и которые подробно изучаются в курсе оборудования для
добычи нефти.
С технологической точки зрения расчеты основных параметров добывающей
системы при эксплуатации скважин перечисленными установками не отличаются от
уже рассмотренных ранее.
Характеристики насоса
В настоящее время выпускаются установки:
УГН25-150-25
УГН40-250-20
УГН100-2000-18
УГН160-380-155
2. Расчет фонтанной эксплуатации скважин
Исходные данные
|
1
|
Дебит по жидкости при ст. Условиях, м3/сут
|
55
|
|
2
|
Давление в выкидной линии ,МПа
|
1,5
|
|
3
|
Пластовая температура, К
|
322
|
|
4
|
Обводненность продукции, доли ед.
|
0,35
|
|
5
|
Глубина скважины, м
|
1683
|
|
6
|
Угол отклонения ствола от вертикали, град.
|
16
|
|
7
|
Внутренний диаметр НКТ, м
|
0,0503
|
|
8
|
Внутренний диаметр обсадной колонны, м
|
0,133
|
|
9
|
Плотность нефти при ст.условиях, кг/м3
|
880
|
|
10
|
Вязкость нефти при ст.условиях, мПа*с
|
12,1
|
|
11
|
Давление насыщения нефти газом, МПа
|
8,0
|
|
12
|
Пластовое давление, МПа
|
16,4
|
|
13
|
Газовый фактор, нм3/м3
|
|
14
|
Плотность газа при норм.условиях, кг/м3
|
1,37
|
|
15
|
Доля азота в составе газа, доли ед.
|
0,17
|
|
16
|
Доля метана в составе газа, доли ед.
|
0,3
|
|
17
|
Коэффициент продуктивности, м3/(сут*МПа)
|
54
|
|
18
|
Концентрация солей в воде, г/л
|
200
|
|
19
|
Плотность воды, кг/м3
|
1170
|
|
20
|
Коэффициент сверхсжимаемости газа
|
0,84
|
2.1 Расчет НКТ
при фонтанно-компрессорной эксплуатации скважин
Задача 1
Исходя из условий прочности НКТ на разрыв в опасном сечении, на
страгивающие нагрузки в резьбовом соединении и на внутреннее давление,
определить глубину спуска ступеней колонны гладких насосно-компрессорных труб с
треугольной резьбой из стали групп прочности "Д", "К" общей
длиной 1600 м для фонтанирующей скважины глубиной 1683 м, имеющей обсадную
колонну диаметром 140 х 7 мм. При расчете пренебрегаем потерей веса колонны труб
в жидкости, так так уровень жидкости в межтрубном пространстве во время работы
может быть оттеснен до башмака колонны труб.
Решение
Расчет насосно-компрессорных труб при фонтанно-компрессорной эксплуатации
скважин следует проводить на страгивающую нагрузку в резьбовом соединении, на
предельную нагрузку в опасном сечении и на внутреннее давление.
Таблица 2.1.
Трубы гладкие с треугольной резьбой
|
Условный диаметр трубы
|
Наружный диаметр D, мм
|
Толщина стенки δ, мм
|
Наружный диаметр муфты Dм, мм
|
Масса 1 п.м, кг
|
Высота резьбы, h, мм
|
Длина резьбы до основной плоскости L, мм
|
|
33
|
33,4
|
3,5
|
42,2
|
2,65
|
1,412
|
16,3
|
|
42
|
42,2
|
3,5
|
52,2
|
3,37
|
"
|
19,3
|
|
48
|
48,3
|
4,0
|
55,9
|
4,46
|
"
|
22,3
|
|
60
|
60,3
|
5,0
|
73,0
|
6,96
|
"
|
29,3
|
|
73
|
73,0
|
5,5; 7,0
|
88,9
|
9,5; 11,7
|
"
|
40,3
|
|
89
|
6,5
|
108,0
|
13,65
|
"
|
47,3
|
|
102
|
101,6
|
6,5
|
120,6
|
15,76
|
1,81
|
49,3
|
|
114
|
114,3
|
7,0
|
132,1
|
19,1
|
"
|
52,3
|
Примем за 1-ю секцию гладкие НКТ 60,3 х 5 из стали групп прочности
"Д" (σт = 380 МПа).
Страгивающую нагрузку определим по формуле Ф.И. Яковлева:
, (1)
где b = δ - h1 - толщина тела трубы под резьбой в основной плоскости; h1 -
высота профиля резьбы;
Dср = d + b - средний диаметр тела трубы под резьбой; d - внутренний
диаметр трубы;
η = b / (δ + b) - поправка Шумилова; α
- угол наклона несущей
поверхности резьбы к оси трубы;
φ - угол трения в резьбе (φ
= 7°-9°);
L - длина резьбы с полным профилем; σт - предел текучести материала трубы.
мм; D=d +2.
=50,3+2.5=60,3 мм
мм;
L=29,3 мм;
Предельная нагрузка
Где
- диаметр резьбы в основной плоскости по впадине витков для
гладких НКТ или диаметр наружной основного тела НКТ с высаженными наружу
концами и НКБ.
Выбрав страгивающую нагрузку за расчетную как наименьшую, определим
допустимую глубину спуска секции НКТ по формуле:
где
- расчетная нагрузка; q - масса 1 погонного метра трубы с
учетом муфт и высаженной части; n - коэффициент запаса (n = 1,2 - 1,3); g =
9,81 м/с2 - ускорение свободного падения.
Потому,что
>1600 ,мы берем только одну секцию длины 1600 М
Минимальный зазор с обсадной колонной составит S = 140 - 2·7 -
= 126 - 73 = 53 мм.
Расчет на внутреннее давление производится на допустимое давление, исходя
из прочности и геометрических параметров трубы по формуле Барлоу:
(2)
где δ - толщина основного тела трубы; [σт] = σт/η - допустимое значение предела
текучести (по ГОСТ-633-80, η = 1,25; по другим источникам η
= 1,3 - 1,5);
Dн -
наружный диаметр основного тела трубы.
для нижней трубы НКТ 60,3 х 5 мм
Определяем фактическое внутреннее давление трубы, по формуле
где Lтр1 - длины секций НКТ;
- плотность жидкости; g = 9,81 м/с2.
Условием надежной работы НКТ является
При плотности добываемой жидкости
Следовательно, выбранная нами ступенчатая колонна НКТ проходит как по условию
прочности, так и по внутреннему давлению для заданных условий скважины.
поршневой
насосный скважина погружной
2.2 Расчет
глубины спуска остеклованных НКТ при фонтанной эксплуатации скважин
.2.1
Насосно-компрессорные трубы с защитными покрытиями
Защитные покрытия наносятся на поверхность НКТ с целью предотвращения
отложений в них парафина, солей и гипса, а также защиты от коррозии внутренней
поверхности труб. Кроме того, наблюдается снижение гидравлических сопротивлений
протоку на 20-25% [24].
Внутреннюю поверхность НКТ покрывают стеклом, эмалями, эпоксидными
смолами или лаками. Покрытие стеклом обладает высокой теплостойкостью и
достаточно прочно при небольших деформациях труб.
Основным недостатком остеклованных труб является разрушение стекла при деформации
труб.
Причиной этого являются различные модули упругости стали (0,21 106 МПа) и
стекла (0,057-106 МПа). Вследствие этого при растяжении металла труб тонкому
слою стекла, передаются большие усилия, нарушающие его целостность. Это
сказывается при больших глубинах подвески труб и при их транспортировке.
.2.2 Расчет
глубины спуска остеклованных НКТ при фонтанной эксплуатации скважин
Задача 2
Рассчитать максимальную глубину спуска гладких остеклованных НКТ 60,3 x 5
мм "Д" при фонтанно-компрессорной эксплуатации скважин, если предел
прочности стекла составляет 50 МПа. (предел прочтности стекла от 30 до 100
Мпа).
Решение
Допустимую нагрузку на остеклованные трубы определим по формуле
(3)
где Р -
допустимая нагрузка на трубы, определенная по условию сохранения прочности
стекла;
- предел прочности стекла;
n - запас прочности (n = 1,3-1,5);
Fст -
площадь поперечного сечения слоя стекла;
Fтр -
площадь поперечного сечения трубы;
Ест, Етр - модули упругости стекла и труб соответственно.
Полагая, что по технологии изготовления средняя толщина слоя стекла
составляет 1 мм.
Тогда

Для сравнения страгивающая нагрузка для НКТ 60,3 х 5 "Д"
составит
Где
мм; D=d +2.
=50,3+2.5=60,3 мм
м;
L=29,3 мм;
Допустимая глубина спуска по страгивающей нагрузке
Таким образом, покрытие из стекла уменьшает допустимую глубину спуска НКТ
60 мм на 599 м или приблизительно на 21,2%.
.3 Расчет
распределения давления в скважине (от забоя по ЭК)
а) Расчет распределения давления в скважине (от забоя по ЭК)
· Расчет распределения давления в эксплуатационной колонне (ЭК) жидкости
без газа. Находим глубину (НГ), на которой начнет выделяться газ

(
)
Где
НГ -
Глубина на которой начнет выделяться газ (м)- Дебит скважины (м3/с)
Рпл -
Пластовое давление (Па)
Рзаб - Забойное давление (Па)
Рнас -
Давление насыщения (Па)эк - Внутренний диаметр ЭК (М)ж - Скорость подъема жидкости в ЭК (м/с)
Ρж - Плотность жидкости (кг/м3)
ρн - Плотность нефти (кг/м3)
ρв - Плотность воды (кг/м3)в - Обводненность продукции (д.е.)- Число Рейнольдса
Μн - Вязкость нефти (Па*с)- Ускорение свободного падения =9,81
(м2/с)
Λ - Коэффициент гидравлического трения
потока
Εэк - Абсолютная шероховатость внутренней
поверхности ЭК
Α - Угол отклонения скважины от
вертикали (град)к - Глубина кровли пласта (м)
Б) Расчет распределения давления газированной жидкости по методике
Поэтмана-Карпентера.
Для расчета необходимо задаться диаметром (d
)
Определяем давление, для которого будем находить глубину
Где
Определяем температуру в каждом сечении
Где
Dl -
Шаг изменения глубины для расчета давления (м)- Глубина, начиная с которой начнет
выделяться газ (м)- Количество интервалов (выбирается в зависимости от длины
участка, где движется газожидкостная смесь) (м)
Ωп - Температурный градиент потока (К/м)- Дебит скважины (м3/с)- Внутренний диаметр (М)
Тj -
Температура в интервале Hj (К)
Тпл -
Температура пласта (К)к - Глубина кровли пласта (м)- Интервал, на котором рассчитывается
давление (м)
Где
Рjнас -
Давление насыщения при Тj (Па)
Рнас -
Давление насыщения (Па)
Тпл -
Температура пласта (К)
Тj -
Температура в интервале Hj (К)
Г - Газовый фактор (м3/м3)- Молярная доля азота в составе газа
(д.е.)- Молярная доля метана в составе газа
(д.е.)
Рj -
Давление в интервале Нj (Па)
R(P)(T)(T)
Коэффициенты для расчета объема выделившегося газа
Ρн - Плотность нефти (кг/м3)
Ρг - Плотность газа (кг/м3)ГВ
- Удельный объем выделившегося газа (м3/м3)
Где
Vсм -
Удельный объем смеси (м3/м3)ГВ - Удельный объем выделившегося газа (м3/м3)н
- Объемный коэффициент нефти
Тj -
Температура в интервале Hj (К)
Рj -
Давление в интервале Нj (Па)- Коэффициент сжимаемости газа
Т0 -
Температура при НУ = 273 (К)
Р0 -
Давление при НУ = 101300 (Па)в - Обводненность продукции (д.е.)
Мсм -
Удельная масса смеси (кг/м3)
Ρн - Плотность нефти (кг/м3)
ρв - Плотность воды (кг/м3)
ρг - Плотность газа (кг/м3)
Г - Газовый фактор (м3/м3)
Ρсм - Плотность газожидкостной смеси
(кг/м3)

Где
Qi Дебит скважины (м3/с)в Обводненность продукции (д.е.)
Мсм Удельная масса смеси (кг/м3)Внутренний диаметр (М)Число
РейнольдсаКорреляционный коэффициент/dH Дифференциал
ρсм Плотность газожидкостной смеси
(кг/м3)Ускорение свободного падения =9,81 (м2/с)Интервал
(м)Шаг изменения глубины для расчета давления (м)Порядковый номер итерации
Рj Давление в интервале Нj (Па)
Результаты расчета, приведенные в таблицу:
Таблица 1
2.4 Расчет распределения
давления в скважине (от устья по НКТ)
Расчет распределения давления газированной жидкости по методике
Поэтмана-Карпентера.
Расчет аналогичен по расчету ЭК
Расчет распределения давления в насосно-компрессорных трубах (НКТ)
жидкости без газа.
=

(
)
Находим забойное давление
=1,5.
Результаты расчета, приведенные в таблицу
Таблица 2
Из графика видно что скважина может фонтанировать без НКТ, но чтобы
продлить время фотанирования пускаем НКТ, мы делаем пересчет распределения
давления в НКТ вновь с забоя с Рзаб=8,55 Мпа, на глубине 1683 м.
Результат расчет распределения давления от забоя
Из диаграммы найдем
2.5 Найти
диаметр штуцера
Диаметр отверстия устьевого штуцера для фонтанных скважин с большим
газовым фактором, определяется по эмпирической формуле Г. Н. Газиева:
(5)
где
φ - опытный коэффициент, зависящий от
величины газового фактора φ = 0,9;
Qг - дебит газа
;
ρг - плотность газа,
, кг/м3
Рбур - буферное давление (Из диаграммы исследует Рбур=1,12 МПа);
Рлин - давление в выкидной линии,
Рлин = 1,5 МПа.
2.6 Условия
фонтанирования скважин. Минимальное забойное давление фонтанирования
Условия фонтанирования определяются соотношением между эффективным
газовым фактором смеси, поступающей из пласта, и удельным расходом газа,
необходимым для работы газожидкостного подъемника.
За эффективный газовый фактор Гэф принимают средний объем свободного газа
на участке НКТ, где движется газожидкостная смесь, приходящийся на единицу
массы жидкости.
Удельный расход газа Rопт определяют при оптимальном режиме работы
подъемника.
Для фонтанирования скважины необходимо, чтобы эффективный газовый фактор
был больше или, по крайней мере, равен удельному расходу газа при работе
подъемника на оптимальном режиме
(6)
Неравенство (1) позволяет определить наиболее благоприятные, необходимые
условия фонтанирования скважины, которые на практике могут оказаться недостаточными.
Задача 3
Определить минимальное забойное давление фонтанирования для следующих
условий: глубина скважины 1683 м; внутренний диаметр НКТ 50,3 мм;
противодавление на устье 1,5 МПа; давление насыщения 8 МПа; газовый фактор 44 м3/
м3(=50 м3/т) плотность дегазированной нефти
= 880 кг/м3;
обводненность продукции nв = 35%; плотность пластовой воды ρв = 1170 кг/м3; азот в
попутном газе отсутствует.
Решение
Т=322 К
Находим плотность газонасыщенной нефти при давлении насыщения по формуле
Определяем плотность газонасыщенной нефти при Т=293 К по формуле
кг/м3
1. Определим коэффициент растворимости по формуле
2. Трудно ожидать, что минимальное забойное давление для заданных
условий будет меньше давления насыщения, поэтому при расчетах используем
неравенство
Определим эффективный газовый фактор
3. Оценим среднюю плотность нефти по соотношению
4. Далее рассчитаем среднюю плотность жидкости на длине
газожидкостного подъемника, используя массовую обводненность продукции по
формуле
5. Находим максимальную длину газожидкостного подъемника
6. Далее рассчитаем плотность жидкости вблизи забоя рассчитывается
по следующей формуле
7. Минимальное забойной давление фонтанирования найдем по формуле
Итак, в данных условиях скважины, оборудованные НКТ с внутренним
диаметром 50,03 мм и обводненные на 35%, прекратят фонтанирование при снижении
забойного давления до 16 Мпа и менее.
Заключение
Разработанная конструкция погружного бесштангового насоса с
гидравлическим двигателем позволяет производить откачки с глубины 990 м с малым
диаметром скважины, вода может содержать механические примеси, что не повлияет
на работу насоса.
Для более надежной работы механизма, гидравлический двигатель имеет один
клапан, используются торцевые уплотнения, что значительно упрощает конструкцию
и простоту выполнения работы гидропривода, открытия и закрытия клапана. В тоже
время обеспечивает высокую производительность погружного насоса в воде с
высоким содержание твердой фазы.
Произведен расчет рабочих параметров погружного гидронасоса, который
подтверждает работоспособность усовершенствованной конструкции. Приведены
технология применения и правила эксплуатации разработанной конструкции.
В последнее время увеличиваются темпы роста добычи питьевой и технической
воды для нужд населения и промышленности. Наметилась тенденция к росту глубин
скважин и уменьшению их диаметра. Поэтому, такая усовершенствованная
конструкция будет востребована, так как она проста в эксплуатации и ремонтном
обслуживании.
Список
литературы
1. Мищенко
И.Т. Технология и техника добычи нефти. Теоретические основы подъема жидкости
из скважин, часть 1 (Учебное пособие). - М.: МИНХ и ГП им И.М. Губкина, 1977
. Мищенко
И.Т. Скиажинная добыча нефти: Учебное пособие для вузов. М: М71 ФГУП Изд-во
"Нефтьигаз" РГУ нефти и газа им. М. Губкина, 2003 - 816 с.
3. Сборник
задач по технологи и технике нефтедобычи. Учебное пособие. Мищенко И.Т.,
Сахаров В.А., Грон В.Г., Богомольный Г.И. - М: Недра, 1984. - 272 с.
4. Чичеров
Л.Г., Молчанов Г.В., Ивановский Н.Ф. и др. Расчет и конструирование
нефтепромыслового оборудования. М.: Недра, 1987. 422
5. Щуров
В.И., Технология и техника добычи нефти. М.: Недра, 1983.