Технологии и санитарно-гигиенические условия производства творожных масс

  • Вид работы:
    Курсовая работа (т)
  • Предмет:
    Другое
  • Язык:
    Русский
    ,
    Формат файла:
    MS Word
    39,7 Кб
  • Опубликовано:
    2015-05-26
Вы можете узнать стоимость помощи в написании студенческой работы.
Помощь в написании работы, которую точно примут!

Технологии и санитарно-гигиенические условия производства творожных масс

Содержание

Нормативные ссылки

Введение

. Литературный обзор

.1 Химический состав и пищевая ценность сырья для творожных изделий

.1.1 Факторы, формирующие качество творога

.1.2 Ассортимент и производство творога

.1.3 Показатели качества и безопасности творога

.2 Ассортимент и классификация творожных изделий

.3 Особенности производства разных видов творожных изделий

.3.1 Крема творожные

.3.2 Пудинг молочный

.3.3 Паста ацидофильная "Столичная"

.4 Глазированный сырок

.4.1 Технологический процесс производства глазированных сырков

.4.2 Показатели качества глазированных сырков

.5 Санитарно-гигиенические требования производства и технические требования

.5.1 Санитарно-гигиенические требования к предприятиям по производству молочной продукции

.5.2 Технические требования к производству творожных масс и глазированных сырков

.5.3 Требования к сырью

.5.4 Упаковка, маркировка

.5.5 Транспортирование и хранение

. Практическая часть

.1 Правила приемки, методы контроля, отбор проб

.2 Методика проведения экспертизы

.3 Сравнительный анализ

.4 Результаты исследования

Заключение

Список использованной литературы

Нормативные ссылки

ГОСТ 5867-90 Молоко и молочные продукты. Методы определения жира

ГОСТ 25102-90 Молоко и молочные продукты. Методы определения содержания спор мезофильных анаэробных бактерий

ГОСТ 3623-73 Молоко и молочные продукты. Методы определения пастеризации

ГОСТ Р 52738-2007 Молоко и продукты переработки молока. Термины и определения

ГОСТ Р 52096-2003 Творог. Технические условия

ГОСТ 3624-92 Молоко и молочные продукты. Титриметрические методы определения кислотности

ГОСТ 3625-84 Молоко и молочные продукты. Методы определения плотности

ГОСТ 23452-79 Молоко и молочные продукты. Методы определения остаточных количеств хлорорганических пестицидов

ГОСТ Р 52790-2007 Сырки творожные глазированные

ГОСТ 3624-92 Молоко и молочные продукты. Титриметрические методы определения кислотности.

ГОСТ 3626-73 Молоко и молочные продукты. Методы определения влаги и сухого вещества.

ГОСТ 3627-81 Молочные продукты. Методы определения хлористого натрия.

ГОСТ 3629-47 Молочные продукты. Метод определения спирта (алкоголя).

ГОСТ 5867-90 Молоко и молочные продукты. Методы определения жира.

ГОСТ 8218-89 Молоко. Метод определения чистоты.

ГОСТ Р 51258-99 (ДИН 10326-86) Молоко и молочные продукты. Метод определения сахарозы и глюкозы.

ГОСТ Р 51259-99 (ДИН 10344-82) Молоко и молочные продукты. Метод определения лактозы и галактозы.

ГОСТ Р 51600-2010 Молоко и молочные продукты. Микробиологические методы определения наличия антибиотиков.

ГОСТ Р 51939-2002 Молоко. Метод определения лактулозы.

ГОСТ Р 52054-2003 Молоко коровье сырое. Технические условия.

ГОСТ Р 52090-2003 Молоко питьевое и напиток молочный. Технические условия.

Введение

Творог - белковый молочнокислый продукт, вырабатываемый сквашиванием пастеризованного молока чистыми культурами молочнокислого стрептококка и удалением сыворотки. Для лучшего образования сгустка используют сычужный фермент или хлористый кальций. Высококачественный творог должен иметь слоистую нерассыпчатую консистенцию. Творог это концентрированный продукт. В нем значительное содержание хорошо сбалансированного белка (14 - 16%). Творожные белки перевариваются лучше, чем мясные, рыбные и даже молочные, 300 творога почти полностью удовлетворяет суточную потребность человека в белке. Творог может содержать до 20% жира, но выпускаются и диетические обезжиренные сорта. Мягкий обезжиренный творог "Домик в деревне" и "Останкинский" нулевой жирности очень хороши, их отличает богатое содержание белка (17 г белка на 100 г) и невысокая энергетическая ценность. Мягкий творог в отличие от других видов проходит гомогенизацию, имеет нежную, однородную, пастообразную консистенцию.

Творог богат метионином - незаменимой аминокислотой, которая обладает липотропным действием. Она предупреждает ожирение печени, которое может возникнуть в результате воздействия сильных токсинов или некоторых лекарственных препаратов. Например, чтобы предотвратить возможное токсическое действие стероидов на печень, больные в обязательном порядке получают не менее 300 г творога в сутки.

При производстве творога из молока выделяется лишь казеин, а альбумины и глобулины, которые усваиваются намного лучше казеина, т.к. имеют тонкую дисперсную структуру, остаются в сыворотке. Для· извлечения этих белков сыворотка тщательно перерабатывается, многие высококачественные виды спортивного питания содержат именно сывороточный молочный белок.

Как свидетельствует римский писатель и ученый Марк Теренций Варрон, творог готовили еще в Древнем Риме. Заквашивали молоко сгустком, который извлекали из желудка телят, козлят или ягнят, питавшихся только материнским молоком. А римский писатель, агроном и философ Луций Колумелла (I век нашей эры) писал, что творог наряду с сыром был "желанным блюдом на столе бедных и богатых". Творог ели соленым и несоленым, а порой смешивали с молоком, вином или медом.

Творог (18 и 9% жирности и нежирный) - важный источник легко перевариваемого белка - казеина (14-18%), кальция, фосфора, витаминов группы В. Жирный творог лучше употреблять в натуральном виде, нежирный - для сырников, пудингов и т. д. Творог оказывает липотропное действие и широко применяется при болезнях печени, сердечнососудистой системы, ожирении, диабете, после ожогов и переломов костей, многих других заболеваниях. Из смеси пахты и обезжиренного молока вырабатывают столовый творог (2 % жира). Нежную консистенцию имеет мягкий диетический творог - нежирный, с 5 или 11 % жира, а также сладкий. Вырабатывают диетический пресный нежирный творог, имеющий в 2-3 раза меньшую кислотность, чем другие виды творога.

Выпускают более 50 наименований творожных изделий (сырки, массы, кремы и др.) из творога с добавлением сливочного масла, сахара (11-30%), натрия хлорида (1,2 - 2,5%), изюма и т. д. Эти изделия содержат 7 - 9% белка, бывают сладкими и солеными, повышенной жирности (20 - 30%), жирные (13 - 17%), полужирные (5 - ­9%), нежирные, диабетические с ксилитом. Из альбуминного творога, получаемого из сыворотки, вырабатывают сладкие или соленые альбуминные сырки (8,5 или 20% жира). У многих творожных изделий повышена энергоценность - 1,3 - 1,7 МДж (300 - 400 ккал) в 100 г. В связи с растертостью творожные изделия удобны для ряда диет лечебного питания, но с учетом содержания жира, сахара или соли. По консистенции и химическому составу к соленым творожным изделиям близки сырная масса "Кавказ", получаемая из молочной сыворотки (2 %. жира), и домашний творог (сыр) -20% жира и нежирный. Эти продукты содержат 12-18% полноценных белков, 1-2% натрия хлорида (поваренной соли), имеют относительно невысокую кислотность, удобны для приготовления различных блюд, исключая бессолевые диеты.

Целью и задачей этой курсовой работы является изучение технологии производства творожных масс, санитарно-гигиенических условий их производства, а так же изучение методик и проведение ветеринарно-санитарной экспертизы данного продукта.

1. Литературный обзор

.1 Химический состав и пищевая ценность сырья для творожных изделий

Кисломолочные продукты - это продукты, вырабатываемые сквашиванием

молока или сливок чистыми культурами молочнокислых бактерий с добавлением или без добавления дрожжей или уксуснокислых бактерий. Некоторые кисломолочные продукты получают в результате только молочнокислого брожения; при этом образуется достаточно плотный, однородный сгусток с выраженным кисломолочным вкусом. Другие же продукты получают в результате смешенного брожения - молочнокислого и спиртового.

Кисломолочные продукты имеют большое значение в питании человека благодаря лечебным и диетическим свойствам, приятному вкусу, легкой усвояемости.

Таблица 1 "Пищевая и энергетическая ценность творога"

Творог

Содержание основных пищевых веществ в 100 г продукта, г

Энергетическая ценность, ккал


вода

белки

углеводы

Органические кислоты в расчете на молочную

зола





лактоза

сахароза




18 %-ной жирности

65,0

14,0

2,8

-

1,00

1,0

232

9 %-ной жирности

73,0

16,0

2,0

-

1,00

1,0

159

нежирный

80,0

18,0

1,8

-

1,22

1,2

88

Крестьянский

75,0

17,0

1,8

-

1,00

1,1

124


Творог представляет собой традиционный белковый кисломолочный продукт, обладающий высокими пищевыми и лечебно-диетическими свойствами. Его вырабатывают путем сквашивания пастеризованного цельного или обезжиренного молока и удаления из полученного сгустка части сыворотки. Творог из непастеризованного молока можно использовать только для выработки изделий, подвергающихся обязательной термической обработке (вареники, сырники), а также для производства плавленых сыров. В состав творога входит 14 - 17% белков, до 18% жира, 2,4 - 2,8% молочного сахара. Он богат кальцием, фосфором, железом, магнием - веществами, необходимыми для роста и правильного развития молодого организма. Творог и изделия из него очень питательны, так как содержат много белков и жира. Белки творога частично связаны с солями фосфора и кальция. Это способствует лучшему их перевариванию в желудке и кишечнике. Поэтому творог хорошо усваивается организмом.

Таблица 2 "Аминокислотный состав творога"

Показатель

18%-ной жирности

9%-ной жирности

нежирный

"Крестьянский"

Мягкий диетический






11%-ной жирности

4%-ной

нежирный

Незаменимые аминокислоты, мг на 100г продукта: Всего:

5825

6846

7680

6921

6827

6921

7680

В том числе:








Валин

838

980

990

968

900

968

990

изолейцин

690

828

1000

835

815

835

1000

Лейцин

1282

1538

1850

1551

1640

1551

1850

Лизин

1008

1210

1450

1220

1210

1220

1450

метионин

384

461

480

465

461

465

480

Треонин

649

191

800

762

700

762

800

Триптоф

212

724

180

198

206

198

180

Фенилал Анин

762

914

930

922

895

922

930


Метионин и холин, содержащиеся в составных частях творога, предупреждают атеросклероз. Особенно нужен творог детям, беременным женщинам, и кормящим матерям, так как находящиеся в нем соли кальция и фосфора расходуются на образование костной ткани, крови и т. д. Творог рекомендуется больным туберкулезом и страдающим малокровием. Он полезен при заболеваниях сердца и почек, сопровождающихся отеками, так как кальций способствует выведению жидкости из организма. Обезжиренный, творог рекомендуется при ожирении, болезнях печени, атеросклерозе, гипертонической, болезни, инфаркте миокарда. При подагре и других заболеваниях, когда белки мяса и рыбы противопоказаны, их заменяют белком творога.

Особенно полезен ацидофильно-дрожжевой творог, который обогащается дрожжами и чистой культурой ацидофильной палочки. Такой творог полезно давать ослабленным детям, при желудочно-кишечных заболеваниях, малокровии и туберкулезе. Употребление творога и творожных изделий способствует правильному обмену веществ в организме, поддержанию на определенном уровне осмотического давления. Минеральные вещества его участвуют в костеобразовании, питании нервной системы и образовании гемоглобина крови. Творог содержит разнообразные витамины, их количество для различных видов творога представлено в таблице 3.

Таблица 3 "Содержание витаминов в твороге (в мг на 100 продукта)"

Творог

В-каротин

В 1

В 2

РР

С

18%-ной жирности

0,06

0,05

0,30

0,30

0,5

9%-ной жирности

0,03

0,04

0,27

0,40

0,5

Нежирный

Следы

0,04

0,25

0,45

0,5

"Крестьянский"

0,02

0,04

0,26

0,42

0,5

Мягкий диетический





0,5

11%-ной жирности

0,03

0,04

0,27

0,40

0,5

4%-ной жирности

0,02

0,04

0,26

0,42

0,5

нежирный

следы

0,04

0,25

0,45

0,5


1.1.1 Факторы, формирующие качество творога

Сырье, используемое для производства творога.

Сырье для производства творога должно соответствовать следующим нормам:

● молоко коровье не ниже второго сорта по ГОСТ Р 52054;

● молоко цельное сухое высшего сорта по ГОСТ 4495;

● молоко сухое обезжиренное по ГОСТ 10970;

● сливки сухие по ГОСТ 1349;

● масло сливочное несоленое;

● концентрат бактериальной сухой мезофильных молочнокислых стрептококков;

● концентрат бактериальной сухой КМТС - сух.;

● закваски МСТ, МСТ - "Каунасская", ТС, МТТ;

● фермент сычужный;

● пепсин пищевой говяжий;

● пепсин пищевой свиной;

● препараты ферментные по ОСТ 10288 - 2001;

● кальций хлористый кристаллический фармакопейный;

● кальций хлористый двуводный;

● вода питьевая по СанПиН 2.1.4.1074 (для рекомбинированного или восстановленного молока).

Сырье применяемое для изготовления продукта, по показателям безопасности должно соответствовать требованиям СанПиН 2.3.2.1078, СанПиН 2.1.4.1074.

Допускается использование импортного сырья, по показателям качества и безопасности ступающего требованиям, указанным в 5.7.1, 5.7.2, и

разрешенного к применению органами и учреждениями Госсанэпидслужбы России и не изменяющего природу продукта.

.1.2 Ассортимент и производство творога

В зависимости от исходного сырья творог различают на жирный, полужирный и нежирный.

Творог жирный (18-% жирности), полужирный (9%) вырабатывают из пастеризованного молока, кислотностью не выше 20 Т. Вкус и запах творога - чистые, нежные, кисломолочные, без посторонних привкусов и запахов. Цвет белый, слегка желтоватый, равномерный по всей массе.

Мягкий диетический творог вырабатывают из обезжиренного молока. После удаления сыворотки к творогу добавляют сливки, иногда плодово-ягодные сиропы. Такой творог должен содержать не менее 11 % жира, не более 73 % влаги, кислотность - не выше 210 Т. Вкус чистый, кисломолочный.

Творог крестьянский получают также из обезжиренного молока. Содержание жира в продукте - не менее 5 %, влаги - не более 74,5 %, кислотность - не более 200 Т. Вкус и запах кисломолочные, допускается слабовыраженный кормовой привкус. Этот творог предназначается для непосредственного употребления в пищу.

Домашний сыр, или зернистый творог со сливками, по содержанию белков, жира и влаги близок к полужирному творогу, но в отличии от него имеет зернистую структуру. Домашний сыр должен содержать не менее 20 % жира (на сухое вещество), не более 80 % влаги и 1 % соли. Кислотность его - не выше 150 Т. Срок реализации - 36 ч. Продукт характеризуется чистым кисломолочным вкусом с хорошо выраженным привкусом и ароматом пастеризованных сливок. Консистенция его нежная, мягкая, с отчетливо различаемыми творожными зернами. Цвет - от белого до слегка желтоватого.

По качеству творог делится на высший и первый сорта. Вкус и запах творога - чистые, нежные, кисломолочные, без посторонних привкусов и запахов.

В первом сорте допускается слабовыраженный привкус кормов, деревянной тары и наличие слабой горечи. Консистенция - нежная, допускается неоднородность, в первом сорте возможна рыхлая, мажущаяся, а для обезжиренного творога - с незначительным выделением сыворотки, рассыпчатая. Цвет белый, слегка желтоватый с кремовым оттенком, равномерный по всей массе.

Для жирного творога в первом сорте допускается некоторая неравномерность цвета. Для диетического творога органолептические показатели должны соответствовать требованиям, предъявляемым к творогу высшего сорта, допускается привкус высокой пастеризации.

Творог - продукт не стойкий. Даже при низкой температуре хранения (2 - 4°С) качество его быстро ухудшается. При температуре 0 °С он может храниться до 7 дней.

Исходя из методов коагуляции белков и образования сгустка производство творога подразделяют на два способа: кислотный и кислотно-сычужный.

При кислотном способе сгусток в молоке образуется в результате молочнокислого брожения. Этим способом вырабатывают, как правило, нежирный творог. Жирный и полужирный творог получают кислотно-сычужным способом.

Производство творога кислотно-сычужным способом отличается лишь тем, что после внесения закваски при кислотности молока 32-35 °Т вносят сычужный фермент и хлористый кальций с целью ускорения образования сгустка и отделения им сыворотки.

Таким образом, при кислотно-сычужном способе получения творога сгусток образуется не только в результате молочнокислого брожения, но и при помощи сычужного фермента и хлористого кальция.

Основные технологические операции при производстве основных видов творога - это приемка, очистка, нормализация молока; пастеризация молока при температуре 78 ± 2 °С с выдержкой 16-20 с; охлаждение до температуры сквашивания 30-38 °С; заквашивание чистыми культурами мезофильных молочнокислых стрептококков; добавление в молоко хлористого кальция (при кислотно-сычужным способе) и молокосвертывающих ферментов (сычужный порошок или пепсин); сквашивание молока в течение 6-10 ч с момента внесения закваски; обработка сгустка; самопрессование и прессование сгустка; охлаждение и фасование творога.

В последние годы широкое распространение нашел раздельный способ производства творога. Сущность его заключается в том, что из нежирного молока кислотно-сычужным способом коагуляции белков получают нежирный творог на творогоизготовителях или творожных сепараторах. К нежирному творогу добавляют необходимое количество 50-65%-ных пастеризованных сливок до требуемой жирности творога (18 или 9%).

При производстве творога на поточно-механизированных линиях, где сыворотка от сгустка отделяется в специальных центробежных обезвоживателях, готовый продукт имеет мягкую, рассыпчатую консистенцию. Таким способом вырабатывают полужирный, нежирный и "Крестьянский" творог.

.1.3 Показатели качества и безопасности творога

Творог имеет чистые кисломолочные вкус и запах. Консистенция его нежная и однородная: для жирного допускается несколько рыхлая и мажущаяся, для нежирного - рассыпчатая, с незначительным выделением сыворотки, для мягкого диетического - пастообразная. Цвет творога белый, для жирного - с кремовым оттенком, равномерным по всей массе; для творога с плодово-ягодными наполнителями цвет обусловлен введенными наполнителями.

Содержание токсичных элементов, микотоксинов, антибиотиков, пестицидов и радионуклидов в продукте не должно превышать допустимых уровней, установленных СанПиН 2.3.2.1078.

Микробиологические показатели продукта должны соответствовать требованиям СанПиН 2.3.2.1078.

Количество молочнокислых микроорганизмов КОЕ в 1 г продукта в течение срока годности - не > 106.

Фосфатаза в продукте не допускается.

1.2 Ассортимент и классификация творожных изделий

Творожные изделия в зависимости от химического состава, применяемых пищевых наполнителей и вкусовых добавок насчитывают более 300 наименований. В ассортимент творожных изделий входят сладкие и соленые сырки, творожная масса, глазированные сырки, творожные торты, паста, кремы.

Творожные изделия вырабатывают в соответствии с ГОСТ 49102-83 по общей схеме: приемка и подготовка сырья, составление смеси по рецептуре, перемешивание, охлаждение, фасование и упаковывание, хранение готового продукта.

Из 47 основных разновидностей творожных изделий, выпускаемых у нас в стране, около 30 приходится на сырки и массы творожные.

Творожные сырки и изделия фасуют массой 50, 100, 250 и 500 г в пергамент, подпергамент, каптированную фольгу. Для крупной фасовки используют широкогорлые фляги, бидоны. Срок реализации творожных изделий - не более 36 ч с момента выработки.

Молочно-белковые пасты относятся к кисломолочным продуктам, вырабатываемым сквашиванием обезжиренного молока с последующим добавлением к белковой основе сливок, вкусовых и ароматических веществ.

При проведении экспертного контроля кисломолочных продуктов кроме органолептических методов контроля по внешнему виду, консистенции, вкусу, запаху, цвету, инструментальными методами определяют массовую долю жира, влаги (для творога), сухих веществ, титруемую кислотность, аминный азот, наличие пищевых добавок. Безопасность кисломолочных продуктов устанавливают по содержанию токсичных элементов, микотоксинов, антибиотиков, гормональных препаратов, пестицидов, радионуклидов. Контроль микробиологических показателей осуществляют по допустимым нормам БГКП (колиформы) патогенных микроорганизмов, в том числе сальмонелл.

В зависимости от способа производства, творог бывает кислотно-сычужный из пастеризованного молока, кислотным, который получают из пастеризованного цельного или обезжиренного молока с повышенной кислотностью, ацидофильно-дрожжевым из пастеризованного молока. При получении кислотно-сычужного творога, молоко заквашивают чистыми культурами молочных бактерий с добавлением сычужного фермента.

Ацидофильно-дрожжевой творог вырабатывают только жирным, он имеет слегка мажущуюся консистенцию и дрожжевой вкус.

В зависимости от содержания жира (в %) творог подразделяется на:

обезжиренный - 1,8;

нежирный - 2,0, 3,0, 3,8;

классический - 4,0, 5,0, 7,0, 9,0, 12,0, 15,0, 18,0;

жирный - 19,0, 20,0, 23,0.

Мягкий диетический творог получают из обезжиренного молока с добавлением сливок. Жира в нем не менее 11%. Творог крестьянский получают также из обезжиренного молока с добавлением сливок.

Творог детский вырабатывается из натурального молока методом ультрафильтрации; предназначен для детей с 6-месячного возраста. Хранится не более суток.

Качество творога должно соответствовать требованиям стандарта. Творог должен быть мягким; цвет - белым, слегка желтоватым с кремовым оттенком. В продажу не допускается творог слизистый, плесневелый, загрязненный с тягучей консистенцией.

Сырки и массы творожные получают из творога с добавлением сахара, соли, сливок, сливочного масла, изюма, цукатов, орехов, кофе, ванилина и других вкусовых и ароматических веществ.

Сырки и массы творожные могут быть повышенной жирности (20-40%), жирные (13-17%), полужирные (8,5%) и нежирные.

Кремы - отличаются содержанием вкусовых и ароматических веществ, более нежной консистенцией, содержат от 5 до 25% жира.

К кисломолочным продуктам относятся торты творожные, пасты белковые, творожные полуфабрикаты и др.

.3 Особенности производства разных видов творожных изделий

.3.1 Крема творожные

Подготовка сырья, гомогенизация творога, внесение наполнителей и смешение компонентов.

К однородной творожной массе добавляют сахар-песок и при постоянном перемешивании сливки и эссенцию в соответствии с рецептурой. Для равномерного распределения эссенции в творожной массе ее предварительно разводят в 0,5 л сыворотки и после этого добавляют в месильную машину к другим компонентам.

Основные технологические операции:

В заквасочной установке производят: приготовление закваски, пастеризацию сливок с выдержкой.

В творожной ванне производят: нормализацию молока по жиру, пастеризацию с выдержкой, охлаждение, внесение фермента и закваски, сквашивание, тепловую обработку сгустка и отделение сыворотки.

В установке прессования и охлаждения творога производят: прессование творожного сгустка до получения творога нужного процента влажности.

В установке куттеризации творожной смеси производят при тщательном перемешивании: добавление сливок или сметаны, сахара, фруктово-ягодных наполнителей (или соли и сухой зелени), эссенции, стабилизатора, регулируют кислотность, гомогенизацию, термическую обработку.

Производят упаковку и направляют на хранение.

Кремы творожные "Снегурочка" и "Десертный" вырабатывают из творога с добавлением сливок, сахара и пищевых эссенций. При производстве кремов творожных используют миндальную, ананасовую, ромовую, апельсиновую, лимонную пищевые эссенции. Технологический процесс производства творожных кремов состоит из следующих операций: приемка и подготовка сырья, гомогенизация творога на коллоидной мельнице, внесение наполнителей и смешение компонентов, упаковка, охлаждение и хранение готового продукта.

К отобранной по качеству и однородной творожной массе добавляют сахар-песок и при постоянном перемешивании сливки и эссенцию в соответствии с рецептурой. Для равномерного распределения эссенции в творожной массе ее предварительно разводят в 0,5 л сыворотки и после этого добавляют в месильную машину к другим компонентам. Затем кремы упаковывают, охлаждают до температуры не выше 8 С. Срок хранения кремов творожных не более 36 ч с момента окончания технологического процесса.

.3.2 Пудинг молочный

Его вырабатывают из пастеризованной гомогенизированной смеси молока нормализованного или обезжиренного, сухого цельного или обезжиренного молока, сахара-песка, стабилизаторов с добавлением вкусовых и ароматических веществ. В зависимости от исходного сырья и вводимых в смесь вкусовых и ароматических веществ вырабатывают пудинг молочный 3%-ной жирности с ванилином, или с какао, или крем-брюле, или с кофе, пудинг молочный 1%-ной жирности крем-брюле или с кофе.

Сырье:

·    Кремы творожные "Десертный", "Снегурочка"

·        Творог 18%-ной жирности 626,5 -

·        Творог нежирный с массовой долей сухих веществ не менее 20% - 891,8

·        Сливки 50%-ной жирности 292,9 -

·        Сахар-песок 105,1 128,1

·        Пищевая эссенция 0,5 0,1

·        Итого 1025,0 1020

·        Выход 1000 1000

Технология производства молочного пудинга включает следующие процессы: приемка и подготовка сырья, приготовление смеси, пастеризация, фильтрация, гомогенизация, охлаждение смеси и внесение ароматических веществ, упаковка и маркировка, охлаждение и желирование, хранение и транспортирование.

.3.3 Паста ацидофильная "Столичная"

Пасту вырабатывают на механизированной линии для производства мягкого диетического творога из обезжиренного молока, сквашенного чистыми культурами ацидофильной палочки, с добавлением к полученной белковой основе сливок, сахара и плодово-ягодных сиропов.

Сырье:

·    Творог мягкий диетический плодово-ягодный 4%-ной жирности

·        9%-ной жирности

·        11%-ной жирности

·        нежирный

·        обезжиренный творог 21%-ной жирности 788.2 694,6 657,2 863,1

·        сливки 55%-ной жирности 74,9 168,5 205,9 -

·        сироп плодово-ягодный 166,0 166,0 166,0 166,0

В зависимости от массовой доли жира пасту ацидофильную "Столичная" выпускают 8- и 4%-ной жирности и нежирную.

Технологический процесс производства ацидофильной пасты "Столичная" состоит из следующих операций: приемка и подготовка сырья, сепарирование, пастеризация, охлаждение, заквашивание и сквашивание обезжиренного молока, сепарирование сгустка, охлаждение белковой основы, смешивание белковой основы со сливками и с наполнителями, упаковка, охлаждение и хранение готового продукта.

Отобранное по качеству молоко сепарируют для получения сливок 55%-ной жирности. Полученные сливки пастеризуют при температуре 90 + 2 °С и охлаждают до 40°С. Сливки можно хранить до смешивания с белковой основной не более 5 ч. Кислотность плазмы не должна превышать 24°Т.

Обезжиренное молоко пастеризуют при температуре 85 ± 2°С с выдержкой при этой температуре в течение 5-10 мин и при температуре 90 ± 2°С с выдержкой в течение 2-3 мин, после чего молоко охлаждают до температуры заквашивания (40-42°С). В обезжиренное молоко температурой 40-42°С вносят закваску (5% к массе молока), приготовленную на обезжиренном молоке с применением чистых культур ацидофильной палочки.

Заквашенное молоко перемешивают в течение 15-20 мин, затем оставляют в покое на 4-6 ч до получения плотного сгустка. Допускается внесение 1-2% закваски и сквашивание при этом молока в течение 6- 8 ч. Окончание сквашивания молока определяют по титруемой кислотности (сыворотки 60-70°Т, сгустка 90-95°Т). По достижении указанной кислотности сгусток в течение 15-20 мин перемешивают мешалкой до получения однородной жидкой массы. Затем насосом с регулируемой производительностью сгусток направляют через сетчатый фильтр в сепаратор для отделения сыворотки. В целях подачи на сепаратор однородного сгустка в процессе сепарирования его постоянно перемешивают.

Продукт охлаждают до температуры не выше 8°С. Срок хранения пасты ацидофильной "Столичная" составляет не более 36 ч с момента окончания технологического процесса.

.4 Глазированный сырок

Сырки бывают:

сладкие (13-26% сахара);

повышенной жирности (20-26%);

жирные (15-17%);

полужирные (4,5-7%);

нежирные;

глазированные, покрытые шоколадной глазурью;

диабетические (сахар заменен на ксилит).

Сырки творожные получают из творога с добавлением соли, сахара, вкусовых и ароматических веществ, а глазированные сырки вырабатывают из творога, масла коровьего, сахара, вкусовых и ароматических добавок путем приготовления сырковой массы с последующим охлаждением, формованием и ее глазированием.

Глазированный сырок представляет собой сладкую творожную массу, которая покрыта сверху шоколадной глазурью. Подобная продукция молочной промышленности является аналогом шоколадных конфет с одной разницей - она намного их полезней и вкусней.

Для нормализации сырков по жиру используют масло коровье сливочное несолёное, сливки из коровьего молока. Для глазирования сырков применяют полуфабрикат шоколадная глазурь или другие виды шоколадной глазури.

.4.1 Технологический процесс производства глазированных сырков

Глазированные сырки вырабатывают двумя способами: без предварительного замораживания и с предварительным замораживанием. Первым способом вырабатывают на поточных линиях, вторым - на оборудовании, применяемом для изготовления мороженого эскимо.

Для выработки сырков используют свежевыработанный творог 18% и 9% - жирности, в котором массовая доля влаги выше, чем должна быть в соответствии с рецептурами. Учитывая это, творог, предназначенный для глазированных сырков, подпрессовывают до м.д. влаги 54-55% в твороге 18% жирности или 64-66% в твороге 9% - жирности.

Для доведения массовой доли влаги творога до требуемой его закладывают в мешки из лавсана миткаля или бязи массой от 10 до 15 кг и прессуют. Творог допрессовывают при помощи рычажно-винтовых, рычажных, пневматических и др. прессов при температуре не выше 6°С,

Массовая доля влаги в сыворотке от подпрессовки творога условно 94,2%. Окончательно массовую долю влаги в твороге уточняют аналитическим способом.

Отпрессованный творог смешивают с компонента в соответствии с рецептурой и готовят сырковую смесь так же, как и для обычных сырков. Подготовленную сырковую массу охлаждают до (4-6)°С, формуют и покрывают глазурью, которую поставляют кондитерские фабрики в готовом виде. Процесс формования и глазирования сырков проводят на поточных линиях формования, охлаждения и завертки глазированных сырков или на автомате формующем и автомате для завертывания.

Сырки глазируются при температуре, которая зависит от состава глазури. Если она изготовлена на какао-масле, то температура глазирования 29-300С, на кондитерском жире - 39-40°С.

Подготовленную охлаждённую сырковую массу загружают в бункер формующего аппарата, откуда она выходит в виде четырёх сформованных потоков, расположенных на транспортерной ленте, которые автоматически разрезаются на части массой 40 г. Полученные сырки подаются транспортёром в аппарат для глазирования, где они покрываются сверху шоколадной глазурью. Излишняя глазурь удаляется струёй теплого воздуха, который подаётся вентилятором через воздушное сопло глазирующего аппарата. Нижняя часть сырков покрывается глазурью с помощью вращающихся валиков глазирующего аппарата. Масса глазури на сырке составляет 10 г. После глазировки сырки направляются в воздушный охладитель с температурой воздуха около 0°С, где в потоке глазурь застывает на сырках. После охладителя сырки поступают на заверточный автомат и готовые сырки укладываются в ящики. Хранят сырки при t 2-4°С 36 час.

.4.2 Показатели качества глазированных сырков

Номенклатура потребительских свойств и показателей качества - это совокупность свойств и показателей, обуславливающих удовлетворение реальных или предполагаемых потребностей.

Показатели качества пищевых продуктов можно условно объединить в следующие группы:

Показатели назначения;

Сохраняемости (надежности в потреблении);

Эстетические;

Эргономические;

Экологические;

Безопасности в потреблении.

Рассмотрим каждую группу показателей подробнее на примере сырков глазированных.

) Показатели назначения

Сырки глазированные удовлетворяют физиологическую потребность человека - потребность в питании. Для всех продуктов питания определяющими свойствами функционального назначения являются пищевая и энергетическая ценность.

Пищевая ценность продуктов питания определяется содержанием в них основных веществ: белков, жиров, углеводов и биологически активных веществ (витаминов, незаменимых аминокислот, полиненасыщенных жирных кислот, минеральных элементов и др.).

Энергетическая ценность - это количество энергии (ккал, кДж) высвобождаемой в организме человека из пищевых веществ пищи для обеспечения его физиологических функций.

Содержание основных пищевых веществ в сырках глазированных и их пищевая ценность представлены в таблице 4.

Таблица 4 - Содержание основных пищевых веществ в сырках глазированных

Компоненты

Количество

Вода, г

30

Белки, г

8,5

Жиры, г

37,8

Углеводы, г: Лактоза Сахароза

 1,5 30,5

Органические кислоты, г

0,5

Зола, г

1,2

Минеральные вещества, мг: Na K

 43 181

Минеральные вещества, мг: Ca Mg P Fe

 137 35 213 1,3

Витамины, мг: A в-каротин B1 B2 PP C

 0,1 0,06 0,03 0,31 0,35 0,5

Энергетическая ценность: ккал кДж

 406 1699


Для определения сбалансированности сырков глазированных по основным пищевым веществам рассчитаем интегральный скор, который представлен в таблице 5.

Таблица 5 - Расчет интегрального скора сырков глазированных

Наименование пищевых веществ продуктов

Суточная потребность на 3000 ккал, г, мг

Содержание пищевых веществ в 100 г продукта, г, мг

Степень удовлетворения формуле сбалансированного питания

Белки

90

8,5

0,094

Жиры

90

37,8

0,42

Углеводы

450

32

0,071

Витамины:




А

2,0

0,1

0,05

В 1

1,75

0,03

0,017

В 2

2,25

0,31

0,014

РР

20

0,35

0,018

С

60

0,5

0,08

Минеральные вещества:




К

3750

181

0,05

Са

900

137

0,15

Р

1250

213

0,17

Fe

15

1,3

0,087

Калорийность

3000

406

0,14


Таким образом, один сырок глазированный удовлетворяет потребность человека по калорийности только на 14 %.

) Сохраняемость

Основным показателем сохраняемости продуктов питания является срок годности. Сроки годности и условия хранения сырков глазированных представлены в таблице 6.

Таблица 6 - Сроки годности и условия хранения сырков глазированных

Условия хранения

Срок годности

t=4±2°С

Не более 10 суток

t не более -180С

90 суток


Срок годности сырков глазированных может изменяться в зависимости от особенностей технологического процесса производства, применяемого сырья и упаковочных материалов.

) Эстетические показатели качества

Большинству потребителей присуще стремление к красоте, гармонии, однако представления о них у разных людей, проживающих в различных регионах земного шара неодинаково. Неодинаковы эти представления и у людей одной страны, местности, даже одной семьи. Эстетические потребности очень индивидуальны, что представляет сложность обеспечения эстетических свойств товаров.

Показателями эстетических свойств продуктов питания могут служить внешний вид, целостность, дизайн, мода, стиль, информационная выразительность, совершенство производственного исполнения.

Внешний вид - это комплексный показатель, включающий форму, цвет, состояние поверхности и другие показатели.

Сырки глазированные по форме напоминают чуть приплюснутый с одной стороны цилиндр диаметром 3-5 см и длиной 12-15 см, а цвет должен быть характерен для шоколада.

) Эргономические показатели качества

Для продуктов питания важнейшими эргономическими свойствами являются органолептические свойства, основу которых составляет психолого-физиологическое восприятие человеком отдельных свойств товаров с помощью чувств. Они зависят от физиологического и психологического состояния конкретного человека. Однако как гласит пословица: "На вкус и цвет товарища нет", т.е. одни и те же пищевые продукты у разных людей вызывают неодинаковое восприятие.

Органолептические показатели сырков глазированных указаны в рецептурах, утвержденных в установленном порядке.

) Экологические показатели качества

Они выражают способность товаров не оказывать вредного воздействия на окружающую среду при их производстве, транспортировании, хранении или потреблении.

В нынешних условиях резко возросла степень значимости экологических свойств товаров. Несмотря на это, в действующих нормативных документах редко устанавливаются показатели экологических свойств товаров, хотя многие потребительские товары обладают этими свойствами.

Для многих пищевых продуктов экологические свойства могут быть выражены через возможность утилизации отходов, упаковки или товаров, опасных для пищевых целей. Сырки глазированные упаковывают в алюминиевую фольгу, которая долгое время не разлагается под действием естественных окислительных процессов.

) Показатели безопасности в потреблении

Применительно к качеству потребительских товаров безопасность может быть определена как отсутствие недопустимого риска для жизни и здоровья потребителей при потреблении товаров. Так по микробиологическим показателям сырки глазированные должны соответствовать требованиям СанПиН 11-63, указанным в таблице 7.

Таблица 7 - Требования СанПиН 11-63 по микробиологическим показателям сырков глазированных

Наименование показателя

Масса продукта, г, в которых не допускается

Бактерии группы кишечных палочек (БГКП)

0,001

Патогенные, в т.ч. сальмонеллы

25

S. aureus

Од


Содержание токсичных элементов, микотоксинов и пестицидов в сырках глазированных не должно превышать допустимые уровни, установленные СанПиН 11-63, которые представлены в таблице 8.

Таблица 8 - Содержание токсичных элементов, микотоксинов и пестицидов в сырках глазированных

Показатели

Допустимые уровни, мг/кг, не более

Примечания

Токсические элементы:



Свинец

0,3


Мышьяк

0,2


Кадмий

0,1


Ртуть

0,02


Микотоксины:



Афлотоксин М 1

0,0005

Контроль по сырью

Пестициды:



Гексахлорциклогексан (б, в, г-изомеры)

1,25

То же в пересчете на жир

ДДТ и его метаболиты

1,0

То же

2,4 Д-кислота

Не допускается


Антибиотики Левомицетин Тетрациклиновая группа Стрептомицин Пеницилин

 Не допускается Не допускается Не допускается Не допускается

 <0,01 ед/г <0,01 ед/г <0,5 ед/г <0,01 ед/г


Содержание радионуклидов в сырках глазированных не должно превышать республиканских допустимых уровней, утвержденных Министерством здравоохранения РК.

.5 Санитарно-гигиенические требования производства и технические требования

.5.1 Санитарно-гигиенические требования к предприятиям по производству молочной продукции

Проектно-конструктивные решения могут предусматривать много- или одноэтажные производственные здания. Для предприятий молочной промышленности, блокированных с производствами других отраслей промышленности, предпочтительнее строительство одноэтажных производственных корпусов.

Расположение производственных цехов должно обеспечивать поточность технологических процессов; технологические коммуникации (молокопроводы) наиболее короткие и прямые потоки сырья и готовой продукции, которые не должны пересекаться.

У входа в здания предприятийдолжны быть предусмотрены скребки, решетки или металлические сетки для очистки обуви от грязи, а внутри зданий при входе в производственные цеха - дезинфицирующие коврики размером на 2 шага персонала (140х 140 см).

Приемка молока в зависимости от профиля предприятий, их мощности и расположения должна производиться в закрытом помещении или на разгрузочной платформе с навесом, полностью закрывающим люки автомолцистерн. Помещения для приемки молока или платформы должны быть оборудованы канализационными трапами, смывными кранами. Платформы или помещения для приемки должны быть оборудованы кронштейнами и шлангами для перекачивания молока. Шланги для откачивания молока из фляг или через люк цистерны должны заканчиваться наконечником из нержавеющей стали длиной 80-100 см. Для откачивания молока из цистерн следует использовать шланги с накидной гайкой, подключаемые к выходным патрубкам цистерн.

Цехи по производству детских молочных продуктов на молочных предприятиях должны быть размещены в изолированных от основного производства помещениях.

Приготовление растворов пищевых компонентов из муки, сахара, белковых добавок и др. должно производиться в отдельном (ых) помещениях.

Стены основных производственных цехов, а также заквасочного отделения и лаборатории должны быть облицованы глазурованной плиткой (или другими материалами, разрешенными Министерством здравоохранения) на высоту, не ниже 2,4 м, а выше, до низа несущих конструкций - покрашены водоэмульсионными красками и другими покрытиями, разрешенными для этой цели Министерством здравоохранения; стены в камерах хранения готовой продукции, термо- и хладостатных, а также в кабинетах начальников цехов, мастеров и др. допускается окрашивать эмульсионными и другими разрешенными Министерством здравоохранения красками; в складах хранения сырья и материалов следует предусматривать известковую побелку стен.

Потолки основных и вспомогательных цехов должны быть покрашены водоэмульсионными красками или побелены.

Покраска или побелка стен и потолков всех производственных и подсобных помещений должна производиться по мере загрязнения, но не реже двух раз в год, красками светлых тонов. Одновременно с побелкой следует проводить дезинфекцию поверхностей ограждающих конструкций.

При появлении плесени потолки и углы производственных помещений

следует немедленно очищать и окрашивать красками с добавлением разрешенных фунгицидных препаратов.

Полы в производственных помещениях должны иметь покрытие из нескользких, кислото- и щелочеустойчивых, водонепроницаемых материалов (разрешенных к применению Министерством здравоохранения), ровную поверхность без выбоин с уклоном в сторону крытых лотков и трапов.

Для заполнения проемов в наружных стенах производственных помещений с мокрым и влажным режимами применение стеклоблоков запрещается.

Все внутрицеховые трубы - водопроводные (питьевого и технического водопровода), канализационные, паровые, газовые должны быть окрашены в условные отличительные цвета.

В производственных помещениях должны быть установлены педальные бачки с крышками для мусора, а также емкости из разрешенных Минздравом полимерных материалов для сбора санитарного брака. Бачки и емкости для брака следует ежедневно очищать, промывать моющими средствами и дезинфицировать растворами дезинфицирующих средств, разрешенных Министерством здравоохранения, в соответствии с рекомендациями по их применению.

1.5.2 Технические требования к производству творожных масс и глазированных сырков

Продукт изготовляют в соответствии с требованиями настоящего стандарта и документов (технические документы изготовителя, стандарты организации), по которым изготовлен продукт конкретного наименования, утвержденных в установленном порядке с соблюдением требований, установленных нормативными правовыми актами Республики Казахстан.

Продукт по органолептическим характеристикам должен соответствовать требованиям, указанным в таблице 9.

Таблица 9

Наименование показателя

Характеристика

Внешний вид

Форма продукта различная (цилиндрическая, прямоугольная, овальная, шарообразная или другие фигурные формы), ненарушенная. Поверхность продукта должна быть равномерно покрыта глазурью. На основании продукта допускается просвечивание творожной массы от оттисков сетки для глазури и транспортной ленты. Поверхность глазури - гладкая, блестящая или матовая, не липнущая к упаковочному материалу. Для замороженного продукта после размораживания допускается наличие на поверхности глазури капелек влаги

Вкус и запах

Для творожной массы - чистый, кисломолочный, сладкий, с выраженным вкусом и запахом используемых пищевых продуктов и/или пищевых добавок. Для глазури - со вкусом и запахом применяемых пищевых продуктов, без постороннего вкуса и запаха

Консистенция

Глазурь твердая или слегка пластичная, однородная, некрошащаяся

Цвет

Для творожной массы - белый, белый с кремовым оттенком или обусловленный цветом внесенных пищевых продуктов и /или пищевых добавок; для глазури - в зависимости от вида используемой глазури


По физико-химическим показателям продукт должен соответствовать нормам, указанным в таблице 10.

Таблица 10

Наименование показателя

Норма

Массовая доля жира, %

От 5,0 до 26,0 включ.

Массовая доля влаги, %

От 55,0 до 33,0 включ.

Кислотность, °Т

От 160 до 220 включ.

Массовая доля сахарозы, %

От 22,0 до 30,0 включ.

Массовая доля витамина С, (мг) %

От 10,0 до 20,0 включ.

Массовая доля глазури, %

От 16,0 до 20,0 включ.

Фосфатаза

Отсутствие

Температура продукта при выпуске с предприятия, °С: Охлажденного Замороженного

 4±2 Не выше -18°С


1.5.3 Требования к сырью

При изготовлении продукта используемые сырье, пищевые продукты и пищевые добавки должны соответствовать требованиям.

Для изготовления продукта применяют следующее основное сырье, пищевые продукты и пищевые добавки по документам, в соответствии с которыми они изготовлены, согласованным и утвержденным в установленном порядке.

Основное сырье:

творог по ГОСТ Р 52096, свежевыработанный, подпрессованный в соответствии с требованиями и сроком хранения не более 24 ч с момента окончания технологического процесса;

Таблица 11

Массовая доля жира в твороге, %

Кислотность творога, °Т, не более

Массовая доля влаги подпрессованного творога, %

Не менее 18,0

200

От 54,0 до 63,0 включ.

Не менее 9,0

210

От 64,0 до 70,0 включ.

Не менее 5,0

210

От 65,0 до 70,0 включ.

Обезжиренный

220

Не более 70,0


- масло коровье сладкосливочное несоленое, любительское сладкосливочное несоленое, крестьянское сладкосливочное несоленое высшего сорта по ГОСТ Р 52969;

масло из коровьего молока сладкосливочное по ГОСТ Р 52253;

сливки питьевые пастеризованные по ГОСТ Р 52091;

сливки пластические;

сахар-песок по ГОСТ 21;

сахар белый по ГОСТ Р 53396;

молоко и сливки сгущенные с сахаром по ГОСТ Р 53436.

Пищевые продукты и добавки:

ванилин по ГОСТ 16599;

заменители ванилина (арованилон, этилванилин, ванилаль);

какао-порошок по ГОСТ 108;

корица по ГОСТ 29049;

виноград сушеный (изюм) по ГОСТ 6882;

курага, чернослив, инжир по ГОСТ 28501;

цукаты;

орехи (ядро) миндаля сладкого по ГОСТ 16830 и ГОСТ 16831;

орехи грецкие (ядро) по ГОСТ 16832 и ГОСТ 16833;

орехи фундука (ядро) по ГОСТ Р 54046 и ГОСТ Р 54031;

орехи лещины по ГОСТ Р 54046;

арахис по ГОСТ 17111;

стружка кокосовая;

шоколад по ГОСТ Р 52821;

халва по ГОСТ 6502;

кунжут по ГОСТ 12095;

семена подсолнечника;

мак по ГОСТ Р 52533;

печенье по ГОСТ 24901;

вафли по ГОСТ 14031;

пряники по ГОСТ 15810;

мед натуральный по ГОСТ 19792;

варенье по ГОСТ Р 53118;

джемы по ГОСТ Р 52817;

повидло по ГОСТ Р 51934;

мармелад по ГОСТ 6442;

жир кондитерский по ГОСТ 28414 (для приготовления глазури);

сироп крем-брюле;

карамель;

кофе натуральный жареный молотый по ГОСТ Р 52088;

цикорий по ГОСТ 13031;

кукуруза воздушная, рис воздушный;

молоко цельное сгущенное с сахаром по ГОСТ 2903;

консервы молокосодержащие сгущенные "Сгущенка с сахаром вареная" (только при производстве сырков с пищевыми продуктами или пищевыми добавками внутри творожной массы);

консервы молокосодержащие сгущенные "Сгущенка с сахаром" (только при производстве сырков с пищевыми продуктами или пищевыми добавками внутри творожной массы);

йогурт по ГОСТ Р 51331;

глазурь шоколадная;

полуфабрикат шоколадная глазурь;

полуфабрикат жировая глазурь;

масло-какао;

ароматизаторы пищевые по ГОСТ Р 52177;

красители пищевые;

порошок йогуртный;

крошка шоколадная, крошка цветная кондитерская, посыпки кондитерские декоративные;

крошка вафельная;

добавки фруктово-ягодные;

добавки пищевые вкусоароматические;

витамины или смеси (премиксы) витаминные.

.5.4 Упаковка, маркировка

Маркировку потребительской тары осуществляют в соответствии с нормативным правовым актом Республики Казахстан.

Маркировку групповой упаковки и транспортной тары осуществляют в соответствии с нормативным правовым актом Республики Казахстан.

Транспортная маркировка - по ГОСТ 14192 с нанесением манипуляционных знаков "Беречь от солнечных лучей" и "Ограничение температуры" и ГОСТ Р 51474.

Информационные данные указывают на русском языке и дополнительно при необходимости на государственных языках субъектов Республики Казахстан, родных языках народов Республики Казахстан, а также иностранных языках.

Упаковочные материалы, потребительская и транспортная тара, используемые для упаковывания продукта, должны соответствовать требованиям документов, в соответствии с которыми они изготовлены, быть допущены к применению в установленном порядке и должны обеспечивать сохранность качества и безопасности продукта при его перевозках, хранении и реализации.

Продукт упаковывают в потребительскую тару с последующей укладкой в транспортную тару.

Формирование групповой упаковки проводят в соответствии с ГОСТ 25776.

Транспортные пакеты формируют по ГОСТ 23285 и ГОСТ 26663.

Укладку транспортного пакета осуществляют так, чтобы была видна маркировка не менее одной единицы групповой упаковки и/или транспортной тары с каждой боковой стороны транспортного пакета. Укладку транспортного пакета осуществляют способами, обеспечивающими сохранность нижних рядов групповой упаковки и/или транспортной тары без их деформации.

Продукт, отправляемый в районы Крайнего Севера и приравненные к ним местности, упаковывают по ГОСТ 15846.

Пределы допускаемых отрицательных отклонений массы нетто продукта в одной упаковочной единице от номинальной - по ГОСТ 8.579.

.5.5 Транспортирование и хранение

Продукт транспортируют специализированными транспортными средствами в соответствии с правилами перевозок скоропортящихся грузов, действующими на транспорте конкретного вида.

Допускается перевозка продукта обычным автотранспортом в черте города (района) на расстояние не более 50 км от расположения предприятия-изготовителя.

Транспортирование и хранение продукта, отправляемого в районы Крайнего Севера и приравненные к ним местности, - по ГОСТ 15846.

Условия хранения и срок годности с момента окончания технологического процесса устанавливает изготовитель в соответствии с нормами и согласовывает в установленном порядке.

2. Практическая часть

.1 Правила приемки, методы контроля, отбор проб

Правила приемки - по ГОСТ 26809.

Для проверки соответствия продукта требованиям документа, в соответствии с которым изготовлен продукт конкретного наименования, проводят приемо-сдаточные в соответствии с ГОСТ 26809 и периодические испытания.

Приемо-сдаточные испытания проводят на соответствие требованиям документа на продукт конкретного наименования методом выборочного контроля для каждой партии продукта по качеству упаковки, правильности нанесения маркировки, массы нетто продукта, органолептическим и физико-химическим показателям.

Периодические испытания проводят по показателям безопасности (содержанию токсичных элементов, микотоксинов, антибиотиков, пестицидов, радионуклидов; микробиологическим показателям) в соответствии с программой производственного контроля, утвержденной в установленном порядке.

Отбор и подготовка проб к анализу - по ГОСТ 26809.

Для составления объединенной пробы от продукта в потребительской таре, включенного в выборку, весь отобранный продукт освобождают от потребительской тары. Затем продукт при помощи шпателя или пинцета освобождают от глазури, мучных кондитерских изделий, переносят в посуду, оставляют при комнатной температуре до полного оттаивания (для замороженного продукта), отделяют пищевые продукты, добавки, находящиеся внутри творожной массы, кусочки пищевых продуктов (орехов, цукатов, изюма и других), тщательно перемешивают, составляя объединенную пробу. Масса объединенной пробы продукта в потребительской таре равна массе продукции, включенной в выборку, за исключением массы глазури, мучных кондитерских изделий, пищевых продуктов, добавок, находящихся внутри творожной массы, кусочков пищевых продуктов (орехов, цукатов, изюма и других). Из объединенной пробы продукта выделяют пробу, предназначенную для анализа, массой около 100 г.

Определение внешнего вида и консистенции, вкуса и запаха, цвета проводят органолептически и характеризуют в соответствии с требованиями настоящего стандарта и/или документа на продукт конкретного наименования.

Массовые доли жира, влаги, сахарозы и кислотность в продукте определяют после удаления глазури, мучных кондитерских изделий, пищевых продуктов, добавок внутри творожной массы, кусочков пищевых продуктов (орехов, цукатов, изюма, кураги, мармелада и т.п.).

Определение массовой доли жира - по ГОСТ 5867.

Определение массовой доли влаги - по ГОСТ 3626.

Определение кислотности - по ГОСТ 3624.

Определение сахарозы - по ГОСТ 3628.

Определение массы нетто и температуры продукта при выпуске с предприятия - по ГОСТ 3622.

Определение фосфатазы - по ГОСТ 3623.

Определение токсичных элементов:

свинца - по ГОСТ 26932, ГОСТ 30178, ГОСТ 30538, ГОСТ Р 51301;

мышьяка - по ГОСТ 30538, ГОСТ Р 51766, ГОСТ Р 51962;

кадмия - по ГОСТ 26933, ГОСТ 30178, ГОСТ 30538, ГОСТ Р 51301;

ртути - по ГОСТ 26927.

Определение пестицидов - по ГОСТ 23452.

Определение антибиотиков - по ГОСТ Р 51600, ГОСТ Р 53774.

Определение радионуклидов.

Определение микробиологических показателей:

бактерий группы кишечных палочек - по ГОСТ Р 53430;

staphylococcus aureus - по ГОСТ 30347;

патогенных микроорганизмов, в том числе сальмонелл - по ГОСТ Р 52814;

дрожжей, плесеней - по ГОСТ 10444.12.

Правила проведения микробиологических исследований - по ГОСТ Р 53430.

Определение массовой доли витаминов - по ГОСТ 30627.1, ГОСТ 30627.2, ГОСТ 30627.3, ГОСТ 30627.4, ГОСТ 30627.5, ГОСТ 30627.6.

Определение массовой доли глазури

Средства измерений и вспомогательное оборудование

Весы по ГОСТ Р 53228-2008 с пределом допускаемой абсолютной погрешности однократного взвешивания не более ±0,01 г.

Нож.

Отбор проб:

От каждой партии продукта отбирают 10 сырков.

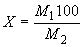
Выполнение измерений:

Для определения массовой доли глазури каждый отобранный сырок взвешивают.

При помощи ножа или вручную отделяют глазурь от каждого сырка и взвешивают на лабораторных весах. Результат взвешивания записывают с точностью до десятичного знака в граммах.

Обработка результатов измерений

Массовую долю глазури Х, % вычисляют по формуле

,

где М1- масса глазури, г; М2- масса сырка, г.

2.2 Методика проведения экспертизы

Качество пищи - это совокупность свойств и характеристик, которые обуславливают способность удовлетворять физиологические потребности человека и обеспечивают безопасность пищи для его жизни и здоровья.

Состав и свойства пищи, характеризующие ее качество и безопасность для человека, определяются по органолептическим, физико-химическим, микробиологическим, паразитологическим и радиологическим показателям, содержанию потенциально-опасных химических соединений и биологических объектов, а также по показателям пищевой ценности.

Показатели качества продукции подразделяются на:

Физико-химические показатели;

Органолептические показатели;

Микробиологические показатели.

Физико-химические показатели характеризуют продукцию по составу. К ним относятся: содержание жира, белка, минеральных солей, витаминов, влаги и др.

Основным физико-химическим показателем для сырков глазированных является содержание жира. Для определения массовой доли жира используют экстракционный метод по ГОСТ 5867-90.

Сущность метода заключается в обработке соляной кислотой, добавлении спирта и последующей экстракции жира из кислотно-спиртовой смесидиэтиловым и петролейным эфирами, выпаривании растворителей и взвешивании остатка (принцип Шмидта-Бондзински-Рацлава).

Отобранную пробу измельчают, помещают в фарфоровую ступку и тщательно перемешивают. Колбу высушивают, затем охлаждают в эксикаторе и взвешивают. Готовят растворитель из смеси петролейного и диэтилового эфиров. 2 грамма пробы помещают в бюксу, взвешивают и помещают в экстракционную колбу. В колбу наливают соляную кислоту и выдерживают в кипящей водяной бане при постоянном встряхивании до тех пор, пока сырок полностью не растворится, затем выдерживают 20 минут в кипящей водяной бане и охлаждают до температуры 20±2°С в холодной водопроводной воде. В колбу добавляют 10 см³ этилового спирта и осторожно тщательно перемешивают. Колбу оставляют в покое пока верхний слой жидкости не будет чистым и четко отделенным от нижнего. Вынимают пробку, ополаскивают ее 5-10 см³ смешанного растворителя. После этого верхний слой осторожно переносят путем декантации или при помощи сифонной трубки в плоскодонную колбу. Проводят вторую экстракцию, повторяя описанные выше операции и добавляя по 15 см³ диэтилового и петролейного эфиров. Третью экстракцию выполняют также, как и вторую только без ополаскивания колбы, Выпаривают максимальное количество растворителей, повышают температуру водяной бани. Далее колбу нагревают, поместив ее на 1 час в сушильный шкаф, охлаждают в эксикаторе и взвешивают. Последующие взвешивания колбы проводят после высушивания в течение 30-60 минут до тех пор, пока разница в массе между взвешиваниями не будет более 0,001 г. Для проверки полноты растворения экстрагированной фракции в колбу добавляют 20±5 см³ петролейного эфира, при этом колбу постоянно нагревают до полного растворения жира. Одновременно с определением массовой доли жира проводят контрольный опыт с 10 см³ дистилированной воды.

) Органолептические показатели определяют потребительскую приемлемость продукции. К ним относятся: вкус, аромат, цвет, консистенция, внешний вид, запах и др.

При оценке товара органолептическим методом определение качества начинают с показателей, определяемых зрением (внешний вид, форма, цвет) и осязанием пальцами (консистенция, эластичность, степень измельчения). После этого определяют запах, и, наконец, свойства, оцениваемые на вкус при раскусывании и разжевывании (сочность, терпкость, вкусность, крошливость). Цвет сырков глазированных определяют по эталону при дневном рассеянном свете или при искусственном свете идентичного спектрального состава.

Визуально определяют наличие на поверхности продукта плесени, характер рисунка поверхности или разреза, наличие посторонних включений, признаков брожения и т.п.

Важными показателями качества пищевых веществ являются запах и аромат. Для лучшего восприятия запаха создают условия, способствующие испарению пахучих веществ. Интенсивность запаха увеличивается при повышении температуры окружающего воздуха. Лучшему восприятию запаха способствует высокая относительная влажность воздуха.

При оценке запаха необходимо строго соблюдать оптимальную для данного продукта температуру. В безукоризненно чистом помещении впечатлительность органов обоняния возрастает примерно на 25%. Также степень восприятия запаха зависит от состояния организма эксперта.

Осязательными ощущениями определяют консистенцию, температуру, особенности физической структуры продукта, степень его измельчения и др. Слово "консистенция" применяется в значении суммы свойств продукта, воспринимаемых глазами, осязательными анализаторами пальцев рук, кожей и чувствительными мускулами рта.

При оценке консистенции учитывают нежность, жесткость, твердость, сочность, упругость, липкость, рассыпчатость, зернистость, крошливость, мягкость, однородность и присутствие твердых частиц. Консистенцию проверяют прикосновением к продукту рукой, легким прощупыванием продукта указательным и большим пальцем, а также нажатием, надавливанием, прокалыванием, резанием, размазыванием.

Консистенция пищевых продуктов тесно связана с их физическими свойствами: температурой, вязкостью, упругостью, плотностью, размером части, шероховатостью, липкостью.

Сырки глазированные должны быть покрыты шоколадной глазурью равномерно по всей массе. На нижней стороне сырков допускается просвечивание творожной массы от оттисков сетки.

Глазурь на сырках должна иметь: вкус и аромат, характерные для шоколада или других компонентов, входящих в состав глазури, без посторонних привкусов и запахов; консистенцию твердую, однородную, некрошливую, без ощутимых частиц сахара и какао-порошка; цвет - характерный для шоколада или других компонентов, однородный по всем поверхности сырка. Глазурь не должна прилипать к упаковочному материалу.

Органолептические свойства сырков глазированных не должны ухудшаться при их хранении, транспортировки и в процесс реализации.

Экспертная дегустация товаров проводится дегустационными комиссиями. Для устранения субъективности при органолептической оценке качества ряда продуктов введена бальная оценка. Работники, проводящие органолептическую оценку, должны иметь специальную подготовку и обладать высокой сенсорной чувствительностью.

) Микробиологические показатели

Основным микробиологическим показателем качества сырков глазированных является наличие бактерий группы кишечной палочки. Метод основан на способности бактерий группы кишечной палочки сбраживать в среде Кесслер лактозу, вследствие чего образуется кислота и газ.

В пробирку с расплавленной и охлажденной до 45-50 °С плотной средой Кесслер вносят стерильной или прокипяченной пипеткой 1мм разведенного продукта. Затем, путем встряхивания пробирки, хорошо перемешивают среду с внесенным посевным материалом, дают ей застыть, после чего пробирку помещают в термостат или водяную баню с температурой 37-40 °С на 18-24 часа. В случае наличия небольшого количества бактерий группы кишечной палочки в плотной среде Кесслер появляются трещины, при большом количестве этих бактерий в среде образуются пузырьки газа и разрывается.

Кроме того, микробиологическая лаборатория осуществляет контроль сырья продукции, полуфабрикатов по микробиологическим показателям:

А) Сырье (1 раз в декаду):

редуктазную пробу;

наличие ингибирующих веществ ГОСТ 23454-79;

количество соматических клеток ГОСТ 23453-90;

Б) Готовая продукция и полуфабрикаты:

наличие дрожжей и плесневых грибов;

наличие мезофильных аэробных и факультативно-анаэробных микроорганизмов;

общее количество бактерий;

определение молочнокислых микроорганизмов ГОСТ 10444.11-89.

Результаты микробиологического исследования качества готовой продукции из-за длительности анализов не могут быть использованы для задержки выпуска продукции, но по ним оценивают санитарно-гигиеническое состояние предприятия, судят о правильности течения микробиологических процессов в технологии производства, деятельности полезных микроорганизмов и микробиологических причинах появления пороков продукции.

.3 Сравнительный анализ

Для сравнительного анализа были приобретены 5 глазированных сырков разных заводов-производителей:

·    Сырки глазированные "Дольче", ФудМастер Компания, АО Казахстан, Алматы

·    Сырок творожный глазированный 23% жирности и начинкой сгущенка вареная, Зарина Импэкс, ТОО Казахстан, Алматы

·        Сырок в шоколадной глазури "Добряна", Век Импэкс, ТОО Казахстан, Алматы

·    Масса творожная "Винни пух", Группа Альянс, ТОО Казахстан, Астана

·        Сырки глазированные "СЫРКАЕШКА", Гигант-Павлодар, ТОО Казахстан, Павлодар

Были проведены органолептические, физико-химические и микробиологические исследования.

Творог проверяют на кислотность, а в необходимых случаях исследуют на содержание жира, влаги и примеси соды. При исследовании творога на кислотность в фарфоровую ступку или химический стакан вместимостью 150-200 мл вносят 5 г продукта. Тщательно перемешивают и растирают его пестиком. Затем прибавляют небольшими порциями 50 мл дистиллированной воды (35-40°С), 3 капли 1%-ного спиртового раствора фенолфталеина и титруют 0,1 н раствором едкого натра (калия) до появления, не исчезающего в течение 1-2 минут слабо-розового окрашивания.

Кислотность (в градусах Тернера) равна количеству миллилитров 0,1 н раствора едкого натра (калия), пошедшего на нейтрализацию 5 г продукта, умноженному на 20.

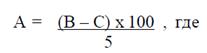
Для определения влаги в твороге, фарфоровую чашку со стеклянной палочкой и 20-25 г песка, предварительно хорошо промытого и прокаленного, помещают на 1 час в сушильный шкаф с температурой 102-105 °С. Не охлаждая, ставят чашку с песком и стеклянной палочкой на треножник 3, находящийся на весах, взвешивают с точностью до 0,01 г и отвешивают в чашку 5 г продукта. После взвешивания продукт тщательно и осторожно (во избежание потерь) перемешивают с песком стеклянной палочкой. Затем чашку помещают в сушильный шкаф с температурой 160-165 °С. Через 20 минут чашку с продуктом вынимают, немедленно, не охлаждая, ставят на треножник, находящийся на левой чашка весов, и быстро взвешивают.

Содержание влаги в продукте (А) в процентах вычисляют по формуле:

В - вес чашки с треножником, песком, стеклянной палочкой и навеской до высушивания, г;

С - вес чашки с треножником, песком, стеклянной палочкой и навеской после высушивания, г;

- масса навески продукта, г.

Расхождение между параллельными определениями должно быть не более 0,2 %.

Для обнаружения стафилококкового токсина в твороге и сметане вначале определяют их кислотность по Тернеру. Затем в стеклянную баночку емкостью 20-25 мл помещают 5 г сметаны или творога, добавляют 10 мл физиологического раствора и тщательно растирают стеклянной палочкой.

Если кислотность пробы будет в пределах 100 °Т, то для нейтрализации кислоты добавляют 0,3 мл нормального раствора едкого натра. При кислотности выше 100 °Т добавляют 0,5 мл нормального раствора едкого натра. Затем взвесь творога или сметаны центрифугируют в течение 10 минут при 2000 об/мин. Надосадочную жидкость отсасывают, наливают в бактериологические пробирки по 2 мл от каждой исследуемой пробы и добавляют по 1 капле разведенных эритроцитов кролика. Дальнейшее исследование, за исключением центрифугирования (которое не проводят), и учет результатов реакции проводят так же, как и при исследовании молока.

.4 Результаты исследования

Сырок, производитель

Содержание молочного жира, (Обещанное/фактическое)

Консерванты

Микробиология

Анализ начинки



Сорбиновая кислота, мг/кг

Бензойная кислота, мг/кг

Дрожжи, КОЕ/г

Плесени, КОЕ/г

БГКП в 0,01 гр продукта


Нормы

Не допускается

Может достигать 40

Не более 100

Не более 50

Не допускается


Сырки глазированные "Дольче" ФудМастер

100/38

39,09

2,18

70

Менее 10

-

Начинка анализу не подлежит

Сырок творожный глазированный 23% жирности

100/81

44,56

8,47

44 тыс.

60

-

Выявлены краситель "кармуазин" и консервант сорбиновая кислота

Сырок в шоколадной глазури "Добряна", Век Импэкс

50/35,5

Менее 0,6

9,38

120

100

-

Выявлены синтетические красители "татразин", "сахарный колер III"

Сырки глазированные "СЫРКАЕШКА", Гигант-Павлодар

50/49

123,98

15,99

12

18

-

Выявлены синтетические красители "татразин", "сахарный колер III"

Масса творожная "Винни пух", Группа Альянс

50/41

Не обнаружено

8,83

40 тыс.

20 тыс

-

Выявлены синтетические красители "татразин", "сахарный колер III", "шоколадный коричневый НТ"


Таким образом требованиям соответствует только один образец: Сырки глазированные "СЫРКАЕШКА", Гигант-Павлодар, ТОО Казахстан, Павлодар

Заключение

В последние годы рынок глазированных сырков бурно развивается. В настоящее время на рынке определился явный лидер по объемам, тем не менее, между остальными компаниями наблюдается достаточно острая конкуренция.

Сырки глазированные содержат все основные пищевые вещества, хорошо сбалансированы и легкоусвояемые, поэтому основными потребителями сырков глазированных являются люди, ведущие активный образ жизни, и дети.

В настоящее время ассортимент сырков глазированных очень разнообразен: от классических ванильных до сырков с разного рода наполнителями.

Основными потребительскими свойствами сырков глазированных являются: пищевая и энергетическая ценность, срок годности и хранения, внешний вид, экологические и микробиологические свойства.

По результатам исследования и сравнительной оценки 5 видов глазированных сырков разных производителей нормам соответствует только один образец:

Сырки глазированные "СЫРКАЕШКА", Гигант-Павлодар, ТОО | Казахстан, Павлодар.

В остальных образцах обнаружены различные отклонения, поэтому главной рекомендацией становится дальнейшая работа по улучшению качества продукции на предприятиях.

Список использованной литературы

. ГОСТ Р 51917-2002 Продукты молочные и молокосодержащие. Термины и определения.

. ГОСТ Р 51074-97 Продукты пищевые. Информация для потребителя. Общие требования.

. ГОСТ Р 52790-2007 Сырки творожные глазированные. Общие технические условия.

. Сан ПиН 2.3.2.1078-03 "Гигиенические требования безопасности и пищевой ценности пищевых продуктов. Санитарно-эпидемиологические правила и нормативы"

. Буянова И.В. Технология цельномолочных продуктов и мороженого. - Кемерово, 2002. - 112 с.

. Горбатова К.К. Физико-химические и биохимические основы производства молочных продуктов. - Спб: ГИОРД, 2007. - 364 с.

. Макарова А.А. Творожные изделия в домашних условиях. - М.: Рипол-Классик, 2009. - 242 с.

. Степанова Л.И. Справочник технолога молочного производства. Технология и рецептуры. - Спб: ГИОРД, 2003. - 384 с.

. Шапкин А.В. Экономические и финансовые риски. - М.: Колос, 2006. - 388 с.

Похожие работы на - Технологии и санитарно-гигиенические условия производства творожных масс

 

Не нашли материал для своей работы?
Поможем написать уникальную работу
Без плагиата!
Без нейросетей!