Технические измерения и приборы
МИНИСТЕРСТВО ОБРАЗОВАНИЯ И НАУКИ
РОССИЙСКОЙ ФЕДЕРАЦИИ
ФЕДЕРАЛЬНОЕ ГОСУДАРСТВЕННОЕ БЮДЖЕТНОЕ
ОБРАЗОВАТЕЛЬНОЕ УЧРЕЖДЕНИЕ
ВЫСШЕГО ПРОФЕССИОНАЛЬНОГО ОБРАЗОВАНИЯ
"Государственный нефтегазовый
университет"
ИНСТИТУТ ГЕОЛОГИИ И НЕФТЕГАЗОДОБЫЧИ
Кафедра автоматизации и
вычислительной техники
Контрольная работа
по дисциплине
"Технические измерения и
приборы"
г.
Содержание
1. Задание по общепромышленным приборам
1.1 Преобразователи температуры с унифицированным выходным сигналом
(серии "Метран ”)
1.2 Приборы для измерения расхода по перепаду давления в сужающем
устройстве (теория сужающих устройств, расчет градуировочной характеристики,
особенность расчета при малых числах Рейнольдса)
1.3 Государственная система промышленных приборов и средств автоматизации
(принцип построения, характеристика ветвей)
2. Задание по специальным приборам
2.1 Глубинные компенсационные и дифференциальные манометры
2.2 Измерение уровня жидкости в барабане котла
2.3 Измерения плотности и вязкости
Список использованной литературы
1.
Задание по общепромышленным приборам
1.1
Преобразователи температуры с унифицированным выходным сигналом (серии
"Метран ”)
Термопреобразователи Метран могут применяться во
взрывоопасных зонах, в которых возможно образование взрывоопасных смесей газов,
паров, горючих жидкостей с воздухом категорий IIА, IIВ и IIС, групп Т1-Т6 по
ГОСТ Р 51330.11-99.
Предназначены для измерения температуры нейтральных и
агрессивных сред, по отношению к которым материал защитной арматуры является
коррозионностойким.
Чувствительный элемент первичного преобразователя и
встроенный в головку датчика измерительный преобразователь преобразуют
измеряемую температуру в унифицированный выходной сигнал постоянного тока, что
дает возможность построения АСУТП без применения дополнительных нормирующих
преобразователей.
Возможность широкого выбора и индивидуального заказа
термопреобразователей с различными сочетаниями конструктивных элементов.
Возможность конфигурирования и настройки технических
параметров с использованием программы ProgIMaster.
Вид взрывозащиты:
искробезопасная электрическая цепь "ia"
взрывонепроницаемая оболочка "d"
Межповерочный интервал:
года - для НСХ: N, 100П, Pt100;
год - для НСХ: K
Метран - микропроцессорные термопреобразователи с
унифицированным выходным сигналом 4-20 или 20-4 мА предназначены для измерения
температуры различных сред в газовой, нефтяной, угольной, энергетической,
металлургической, химической, нефтехимиической, машиностроительной,
металлообрабатывающей, приборостроительной, пищевой, деревообрабатывающей и
других отраслях промышленности, а также в сфере ЖКХ и энергосбережения.
Отличительные особенности:
гальваническая развязка входа от выхода
самодиагностика технического состояния
повышенная защита от индустриальных помех
повышенная вибростойкость
возможность выносного монтажа измерительного преобразователя
на DIN рейке.
Устройство и конструктивные особенности
Новизна микропроцессорных термопреобразователей (ТП) с
унифицированным выходным сигналом (УВС) Метран-2700 заключается в том, что
теперь можно заказать первичный преобразователь (ПП) температуры любого
конструктивного исполнения серии Метран-2000 в комплектес микропоцессорным
измерительным преобразователем (ИП) Метран-270М. Структура строки заказа
позволяет выбрать еобходимую защитную арматуру, соединительную головку, НСХ
чувствительного элемента, кабельный ввод и т.д. из предложенного модельного
ряда, а не ограничиваться выбором исполнений из ряда стандартных сборок
термопреобразователей.
Первичный преобразователь в Метран-2700 помещен в защитную
арматуру, измерительный преобразователь Метран-270М встроен в соединительную
головку или расположен на рейке DIN (рис.1).
прибор измерение промышленный автоматизация
Рисунок 1
Соединительная головка имеет внутренний и внешний винты
заземления.
В ИП Метран-270М реализована гальваническая развязка входа от
выхода.
Типы применяемых первичных преобразователей:
преобразователи термоэлектрические: ТХА (НСХ: К), ТНН (НСХ:
N);
термометры сопротивления платиновые: ТСП (НСХ: 100П, Pt100).
Чувствительный элемент преобразователей термоэлектрических
изготовлен из термопарного кабеля в виде кабельной вставки. В случае
использования преобразователей термоэлектрических в качестве первичных
преобразователей в Метран-270М выполняется автоматическая компенсация изменения
термо-ЭДС при изменении температуры холодного спая.
Чувствительный элемент термометра сопротивления
изготавливается по 4-проводной схеме.
Конструктивные исполнения чувствительных элементов первичных
преобразователей:
с монтажной платой стандарта DIN (только для ПП с НСХ К, N,
соединительной головкой с кодом А1 или С1);
без монтажной платы стандарта DIN. Монтаж ИП осуществляется:
в соединительной головке;
на рейке DIN с помощью монтажного зажима.
Для термопреобразователей Метран-2700 с выносным монтажом ИП
с зажимом для крепления на рейке DIN в соединительной головке устанавливается
клемная колодка.
Функциональные возможности
Настройка и управление термопреобразователем Метран-2700
осуществляются с помощью ПК посредством конфигуратора "Метран-6700" и
программы "Prog-Master".
Конфигуратор обеспечивает соединение Метран-2700 с ПК по
интерфейсу стандарта USB или RS232.
Программа "Prog-Master" предназначена для
конфигурирования и настройки термопреобразователей Метран-2700.
Возможности конфигурирования:
типа ПП;
перенастройки диапазона измерений температуры с минимальным
поддиапазоном измерений:
-С - для Метран-2700 с НСХ ПП: 100П, Pt100;
-С - для Метран-2700 с НСХ ПП: K, N;
уровня аварийного сигнала (высокий-низкий);
вида выходного сигнала (4-20, 20-4 мА);
времени демпфирования (от 0 до 32 с);
установка электронного фильтра для отфильтровывания помех
сети переменного тока с частотой 50 Гц.
Самодиагностика:
первичного преобразователя (обнаружение обрыва или короткого
замыкания);
режима работы ИП Метран-270М. При обнаружении неисправностей
во время самодиагностики ИП Метран-270М выходной аналоговый сигнал переводится
в состояние, соответствующее выбранному уровню сигнала тревоги:
низкий уровень: 3,20 мА < IН не более 3,75 мА;
высокий уровень: 21 мА < IВ не более 23 мА.
При выходе температуры ПП за пределы диапазона измерений
Метран-2700 переходит в режим насыщения:
низкий уровень: (IН + 0,05) мА < IНН не более 3,9 мА;
высокий уровень: 20,50 мА < IВН не более (IВ - 0,05) мА.
Предприятие-изготовитель производит настройку измерительного
преобразователя под индивидуальную статическую характеристику чувствительного
элемента первичного преобразователя по 2-8 температурным точкам.
Основные технические, эксплуатационные характеристики и
параметры
Диапазоны унифицированных выходных сигналов, номинальные
статические характеристики (НСХ) первичного преобразователя, тип ПП, диапазоны
преобразуемых температур и пределы допускаемой основной приведенной погрешности
указаны в табл.1.
Таблица 1
|
Тип ПП
|
НСХ
|
Выходной
сигнал, мА
|
Диапазоны
преобразуемых температур,°С
|
Пределы
допускаемой основной приведенной погрешности
|
|
|
|
|
±, %
|
не менее, ±°С
|
|
ТХА
|
К
|
4-20, 20-4
|
-40…1000
|
0,25; 0,50
|
1,0
|
|
ТНН
|
N
|
|
-40…1100 -
40…1200
|
0,25; 0,50
|
1,0
|
|
ТСП
|
Pt100
|
|
-50…200 -
50…500
|
0,15; 0,25
|
0,4
|
|
ТСП
|
100П
|
|
-50…200 -
50…500
|
0,15; 0,25
|
0,4
|
1.2 Приборы
для измерения расхода по перепаду давления в сужающем устройстве (теория
сужающих устройств, расчет градуировочной характеристики, особенность расчета
при малых числах Рейнольдса)
Перепад давления на сужающем устройстве - разность между
значениями статического давления среды до и после сужающего устройства с учетом
разности высоты положения отверстий для отбора давления до и после сужающего
устройства.
Если отверстия для отбора давления расположены на разных
высотах, то учитывают и статическое давление, обусловленное разностью высот
расположения отверстий.
Разницу между статическими давлениями среды на входе и выходе
сужающего устройства определяют с помощью средств измерений перепада давления
(дифференциальных манометров - дифманометров) любого типа путем подсоединения
их через соединительные трубки к отверстиям для отбора давления. Допускается
подключение к одному сужающему устройству двух или более дифманометров.
ППД оснащают присоединительными (разъединительными),
продувочными и уравнительными кранами (вентилями). Эти устройства (полностью
или часть из них) могут быть конструктивно выполнены в одном блоке.
Разъединительные краны предназначены для отделения
СИ от ИТ. Разъединительные краны рекомендуется помещать на соединительных
трубках непосредственно у места их соединения с ИТ. При установке уравнительных
(конденсационных) сосудов разъединительные краны (вентили) допускается
монтировать непосредственно за ними. Площадь проходного сечения крана должна
быть не менее 64% площади сечения соединительной трубки. В рабочем режиме
разъединительные краны должны быть полностью открыты. Рекомендуется отдавать
предпочтение установке шаровых кранов.
Соединительные трубки (линии). ППД располагают как
можно ближе к СУ. Рекомендуется, чтобы длина соединительных трубок не превышала
16 м. При необходимости применения больших длин целесообразно использовать
электрическую или пневматическую передачу.
Во избежание искажения перепада давления, возникающего из-за
разности температуры трубок, две соединительные трубки должны быть расположены
рядом.
Если существует опасность нагрева или охлаждения заполненных
жидкостью соединительных трубок при их вертикальном или наклонном расположении,
то их совместно теплоизолируют.
При применении соединительных трубок, составленных из
отдельных секций, диаметр условного прохода этих секций должен быть одинаковым.
Внутренний диаметр соединительных трубок должен быть более 6
мм.
Если существует опасность конденсации среды, находящейся в
соединительных трубках, или образования в ней пузырьков газа, то внутренний
диаметр соединительных трубок должен быть не менее 10 мм.
Рекомендуемые значения внутреннего диаметра соединительных
трубок приведены в таблице ниже.
Таблица 2
Внутренний диаметр соединительных трубок
Соединительные трубки устанавливают с уклоном к горизонтали
более чем 1: 12. Такой уклон обеспечивает движение конденсата и твердых частиц
вниз до обогревающих отстойников или цилиндров, а пузырьков газа вверх - до
газосборных камер.
Допускается делать уклоны ступенчатыми при условии, что
отстойные камеры находятся во всех нижних точках, а газосборные камеры - во
всех верхних точках.
Разность длины соединительных трубок ППД должна быть как
можно меньшей.
При подключении к СУ двух или более ППД допускается
подключение соединительных трубок одного ППД к соединительным трубкам другого.
При этом расстояние от СУ до мест подключения соединительных трубок подключаемого
ППД должно быть одинаковым, насколько это возможно.
Абсолютное или избыточное давление измеряют перед сужающим
устройством манометром любого типа через отдельное отверстие, размещенное в
сечении измерительного трубопровода в месте установки отверстия для отбора
перепада давления. Допускается присоединение манометра к плюсовой
соединительной трубке дифманометра.
Измерение температуры. Для расчета физических
свойств среды необходима информация о ее температуре до СУ в сечении ИТ,
предназначенном для отбора статического давления. Для исключения влияния ПТ или
его защитной гильзы (при ее наличии) на распределение скоростей потока в этом
сечении его размещают до или после СУ на некотором расстоянии от СУ.
Во всех случаях необходимо стремиться к тому, чтобы ПТ или
его защитная гильза (при ее наличии) как можно меньше загромождали проходное
сечение ИТ.
ПТ или его защитную гильзу (при ее наличии) погружают в ИТ на
глубину от 0,3D до 0,7D.
В случае измерения расхода пара или среды, температура
которой более 120 ºС, рекомендуется ПТ или
его защитную гильзу (при ее наличии) погружать в ИТ на глубину от 0,5D до 0,7D.
Наилучшим расположением ПТ или его защитной гильзы (при ее
наличии) при их установке является радиальное, схема которого приведена на
рис.2.
Допускается их наклонное расположение, как приведено на
рис.2б и 2г, или установка за СУ в колене, как приведено на рис.2в. Указанное
направление потока на рисунках ниже - рекомендуемое.
Рисунок 2 - Схема установки чувствительного преобразователя
термометра
При измерении температуры среды до СУ следует
руководствоваться следующими положениями:
установка ПТ или его защитной гильзы (при ее наличии) на
расстоянии не менее 20D от СУ не влияет на показания расходомера;
при установке ПТ или его защитной гильзы (при ее наличии) от
СУ на расстоянии 10D
ПТ или его защитную гильзу (при ее наличии) не допускается
устанавливать на расстоянии менее 10D от СУ;
для труб Вентури расстояние от точки размещения ПТ или его
защитной гильзы (при ее наличии) до сечения, в котором осуществляется отбор
давления до СУ, должно быть не менее 4D;
б) если диаметр Dt удовлетворяет условию Dt
установка ПТ или его защитной гильзы (при ее наличии) на
расстоянии не менее 5D от СУ не влияет на показания расходомера;
при установке ПТ или его защитной гильзы (при ее наличии) от
СУ на расстоянии 3D≤lt≤5D к неопределенности коэффициента истечения
следует арифметически добавить величину, равную 0,5%;
ПТ или его защитную гильзу (при ее наличии) не допускается
устанавливать на расстоянии менее 3D от СУ;
в) расстояние между СУ и ПТ не должно превышать 30D;
г) между СУ и ПТ или его защитной гильзы (при ее наличии)
должны отсутствовать местные сопротивления.
При измерении температуры потока после СУ следует выполнять
требования:
а) ПТ или его защитную гильзу (при ее наличии) не
допускается устанавливать от СУ на расстоянии более 15D;
б) если диаметр Dt не превышает 0,13D, то ПТ или его
защитную гильзу (при ее наличии) устанавливают на расстоянии не менее 5D от СУ
(кроме трубы Вентури);
в) если диаметр Dt не превышает 0,13D для трубы
Вентури ПТ или его защитную гильзу (при ее наличии) размещают в сечении ИТ,
расположенном на расстоянии не менее 2D от диффузора;
г) если диаметр Dt более 0,13D, но не превышает
0,26D, то ПТ или его защитную гильзу (при ее наличии) устанавливают на
расстоянии от СУ, удовлетворяющем двум условиям: lt≥ 5D и lt≥ (8,55β0,55) D;
д) если диаметр Dt более 0,26D, то ПТ или его
защитную гильзу (при ее наличии) устанавливают в расширитель;
е) допускается установка ПТ или его защитной гильзы
(при ее наличии) в колене в соответствии с рис.2в;
ж) между СУ и ПТ или его защитной гильзой (при ее
наличии) должны отсутствовать местные сопротивления (исключение составляют
варианты, представленные на рис.2в, 2г).
Достоинствами расходомеров переменного перепада давления (на
базе стандартных СУ) являются:
возможность измерения очень больших расходов газа (до 360000
м³/ч);
проверка беспроливным методом;
отсутствие необходимости высокой степени очистки газа.
К недостаткам следует отнести:
необходимость во внешнем питании;
узкий диапазон измерения, не более 1: 3 (при появлении
многопредельных
"интеллектуальных" датчиков диапазон возможно
расширить до 1: 10);
большие потери давления; большие длины прямых участков; малый
межповерочный интервал.
Принцип действия расходомеров этой группы основан на
зависимости перепада давления, создаваемого неподвижным устройством,
устанавливаемым в трубопроводе, от расхода вещества.
При измерении расхода методом переменного перепада давления в
трубопроводе, по которому протекает среда, устанавливают сужающее устройство
(СУ), создающее местное сужение потока. Из-за перехода части потенциальной
энергии потока в кинетическую средняя скорость потока в суженном сечении
повышается. В результате статическое давление в этом сечении становится меньше
статического давления перед СУ. Разность этих давлений тем больше, чем больше
расход протекающей среды, и, следовательно, она может служить мерой расхода.
Перепад давления на СУ (рис.3) равен
где 
- давление на
входе в сужающее устройство;

- давление на
выходе из него.
Рисунок 3
Расчет линейной градуировочной характеристики вида 
и ее
метрологических параметров.
Расчет градуировочной характеристики заключается в расчете
коэффициентов 
и 
и при отсутствии средств вычислительной техники производится
вручную. Для этого результаты градуировки вносятся в таблицу 3.
Таблица 3
|
№ п/п
|
xi
|
уi
|
xi2
|
yi2
|
xiyi
|
xi+yi
|
(xi+yi)
2
|
|
n= l · m
|
|
|
|
|
|
|
|
В таблице 3 m - число параллельных измерений в контрольной
точке; l - число контрольных точек на градуировочной характеристике; n -
суммарное число измерений, произведенных при градуировке. Проверка правильности
вычислений в таблице 3 производится по формуле
Расчет коэффициентов 
и 
ведется по формулам
Расчет остаточной величины среднего квадратического отклонения 
выходного сигнала 
от расчетной градуировочной характеристики проводится по формуле
Средние квадратические отклонения коэффициентов 
и 
рассчитываются по формулам
Расчет доверительных интервалов 
для коэффициентов 
и 
проводится по формулам
где 
- значение квантиля t-распределения при доверительной вероятности
р = 0,95 и числе степеней свободы f = n - 2.
Число значимых цифр после запятой для коэффициентов 
и 
определяется интервальными значениями 
.
Число Рейнольдса вычисляется по формуле
При малых числах Рейнольдса (большие значения λ) взаимное влияние местных сопротивлений
проявляется слабее, длина влияния местного сопротивления имеет меньшую величину
и приближенно может быть оценена по формуле
где - длина влияния местного сопротивления.
1.3 Государственная
система промышленных приборов и средств автоматизации (принцип построения,
характеристика ветвей)
Государственная система промышленных приборов и средств
автоматизации представляет собой совокупность приборов, устройств и систем для
получения, передачи, переработки, хранения и использования информации,
построенную на основе стандартизации и унификации структур, связей,
конструктивных форм и условий применения.
Основное назначение ГСП - обеспечение рационального с
экономической и технической точек зрения выпуска комплекса современных приборов
и средств автоматизации.
Общие принципы построения ГСП
Государственная система промышленных приборов и средств
автоматизации основана на стандартных внутренних и внешних связях, рациональной
структуре и конструктивных формах в модульно-блочном построении ее
функциональных устройств и предусматривает их агрегатирование в комплексах
измерительной, вычислительной, аналитической и других видов техники для
построения систем информации, контроля, регулирования и управления.
Реализация типовых функций АСУ ТП осуществляется в ГСП
аппаратными средствами.
Средства 1-го уровня представляют собой локальные АСР,
включающие в себя датчики и исполнительные устройства. Средства 2-го и 3-го
уровней выполняют функции программного управления, стабилизации режимов работы
технологического объекта управления (ТОУ) и вывода на режим, включая ручное
управление и программно-логическое. Задачи исследования ТОУ и оптимизации
процесса управления решаются средствами 4-го уровня. С помощью этих же средств
выполняются и функции представления информации и сервисные функции.
Исследования и оценка задач автоматизации в различных
отраслях промышленности показывают [2,3], что в настоящее время только в группе
датчиков имеется потенциальный спрос на приборы для измерения более 2000
физических величин. Такое положение, с учетом известных методов измерений,
диапазонов значений измеряемых величин и условий эксплуатации, может привести к
необходимости изготовления нескольких десятков тысяч модификаций датчиков.
Следовательно, одна из главнейших задач, решаемых комплексами ГСП, состоит в
создании ограниченной номенклатуры унифицированных устройств, способных
максимально удовлетворять потребности различных отраслей промышленности.
Сокращение номенклатуры средств автоматизации достигается
объединением их в отдельные функциональные группы путем сведения функций этих
устройств к ограниченному числу типовых функций.
Оптимизация состава каждой группы обеспечивается разработкой
параметрических рядов изделий. В основу ряда заложены более узкая специализация
выполняемых функций (типизация инструментальных методик измерения или метода
преобразования информации), ограничения по видам и параметрам сигналов, несущих
информацию о контролируемой величине или команде управления, ограничения по
техническим параметрам изделий, пределам измерений, классам точности,
параметрам питания и т.д. и, наконец, унификация конструктивного исполнения
изделий. Существенное сокращение числа функциональных различных устройств
достигается обеспечением их совместимости в автоматизированных системах
управления. Концепция совместимости, включающая в себя требования
информационного, энергетического, конструктивного, метрологического,
эксплуатационного сопряжений между изделиями ГСП, основана на последовательной
унификации и стандартизации свойств и характеристик изделий.
Применительно к информационным связям термин
"унификация" означает введение ограничений, налагаемых на сигналы,
несущие сведения о контролируемой величине или команде. Унифицируются виды
носителей нормированной информации (электрические сигналы, коды и согласование
входов и выходов; вещественные, с механическим носителем на перфокартах,
перфолентах, бланках для записи и печати, с магнитными носителями).
Определяется также способ представления информации в изделиях ГСП: аналоговый и
дискретный.
Конструктивная совместимость изделий предусматривает, прежде
всего, унификацию присоединительных размеров отдельных деталей и модулей,
введение типовых узлов, создание единой элементной базы, разработку общих
принципов конструирования приборов. При конструировании устройств ГСП принят
блочно-модульный принцип построения изделий. Применение этого принципа делает
приборы более универсальными, позволяет использовать при их создании
рациональный минимум конструктивных элементов (сокращается количество
наименований деталей). Вместе с тем возможность простой и легкой замены
отдельных узлов позволяет модернизировать эти приборы в процессе эксплуатации,
повышает их ремонтопригодность и расширяет круг решаемых ими задач (путем
различных сочетаний функциональных звеньев и введением специализированных
деталей). Блочно-модульное построение приборов позволяет широко применять при
их изготовлении современную технологию и максимально использовать кооперацию и
специализацию предприятий.
Стандартизируются также общие технические требования к
изделиям ГСП и условиям их работы в автоматизированных системах управления.
Ввиду многообразия производств и технологических процессов важное место
отводится разделению приборов и устройств по группам условий эксплуатации.
По защищенности от воздействия окружающей среды изделия ГСП
подразделяются на следующие исполнения: обыкновенное, пылезащищенное,
взрывозащищенное, герметическое, водозащищенное, защищенное от агрессивной среды.
В зависимости от предполагаемых механических воздействий
предусматривается обыкновенное и виброустойчивое исполнение. Нормируются
метрологические характеристики изделий (виды погрешностей, методы нормирования
погрешностей отдельных устройств, погрешностей совокупности звеньев и систем,
классы точности и методы аттестации).
Этим достигается метрологическая совместимость. Основные
требования к изделиям ГСП, обеспечивающие их совместимость в автоматизированных
системах управления, закреплены в государственных и отраслевых стандартах (см.
ГОСТ 26.207.83).
Функциональные группы ГСП
По функциональным признакам средства ГСП можно разделить на
ряд групп в соответствии с их назначением в автоматизированных системах.
Это разделение позволяет уменьшить номенклатуру и упростить
выбор средств ГСП. На рис.4 представлена в общем виде функциональная схема
средств ГСП, отражающая весь процесс получения, переработки информации и
воздействия на объект управления.
Рисунок 4 - Функциональная схема средств ГСП
Группа 1 представляет устройства получения нормированной
информации о состоянии технологического процесса (датчики) и включает в себя
первичные измерительные преобразователи; вторичные нормирующие преобразователи.
В группу 2 входят средства преобразования и передачи
информации, имеющие:
преобразователи (шифраторы) информации, обеспечивающие
высокую помехоустойчивость при передаче сигналов на большие расстояния;
каналы связи;
преобразователи (дешифраторы) информации.
Группа З содержит средства преобразования, хранения
информации и выработки команд управления, т.е. является наиболее сложной по
выполняемым функциям и включает в себя:
анализаторы и распределители сигналов;
вторичные показывающие и регистрирующие приборы;
статические и динамические преобразователи;
регуляторы;
устройства памяти;
устройства вспомогательной информации (задатчики и т.д.);
агрегатированные комплексы средств централизованного контроля
и регулирования;
управляющие вычислитёльные машины.
Данную группу называют еще центральной частью ГСП. В
зависимости от уровня и объема, решаемых ими в АСУТП задач, устройства
центральной части можно подразделить на:
средства местных (локальных) систем контроля и регулирования;
унифицированные системы и агрегатированные комплексы для
централизованного контроля и регулирования;
средства вычислительной техники для автоматизации управления
производством.
К группе 4 относятся средства преобразования и передачи
команд управления, включающие в себя, как и группа 2:
преобразователи (шифраторы) команд управления;
каналы связи;
преобразователи (дешифраторы) команд управления.
Группа 5 содержит средства воздействия на технологический
процесс:
усилители мощности сигналов управления;
исполнительные механизмы (электродвигатели с редуктором, пневмо
- и гидропоршни и т.п.);
регулирующие органы (краны, задвижки, шибера и т.п.).
К группе 6 относятся нормированные источники, энергии
(питания) и специальные преобразователи одного вида энергии в другой для связи
между ветвями ГСП.
Устройства и средства групп 1 и 5 выполняют более простые
функции, чем средства группы 3, но они непосредственно взаимодействуют с
управляемым объектом, поэтому более специфичны и менее поддаются унификации и
стандартизации. Особенно это относится к первичным измерительным преобразователям
и регулирующим органам.
Унифицированные типовые конструкции ГСП предусматривают
конструктивное сопряжение устройств автоматики на основе единых
присоединительных и основных размеров, единой элементной базы, типовых
конструктивов и унификации методов конструирования.
2. Задание по
специальным приборам
2.1 Глубинные
компенсационные и дифференциальные манометры
Так как условия, при которых проводятся измерения параметров
в скважинах, существенно отличаются от условий работы измерительных приборов
общепромышленного назначения, приборы для глубинных измерений следует
рассматривать как отдельную группу средств измерительной техники.
Наиболее существенными являются следующие особенности работы
глубинных приборов.
. Измерения проводятся на значительном удалении от места
наблюдения за показаниями приборов: глубина спуска прибора в скважину достигает
7000 м.
. Прибор (снаряд) эксплуатируется в измеряемой, среде и
подвергается действию окружающего давления, температуры и коррозионных
жидкостей. В связи с увеличением глубин бурения, а также с необходимостью
контроля различных процессов по интенсификации добычи нефти и газа, давление
окружающей среды может достигать 1000-1500 кг×с/см2, а температура до
300-400° С.
. Прибор спускается на проволоке или кабеле в затрубное
пространство или в трубы диаметром 37-63 мм.
. При спуске прибора в скважину через трубы на него действует
выталкивающая сила тем большая, чем выше скорость встречного потока жидкости
или газа и меньше проходное сечение между внутренней стенкой трубы и корпусом
прибора. В отдельных случаях спуск глубинного прибора в действующие скважины
представляет сложную техническую задачу.
. Во время спуска и подъема прибор подвергается ударам, а во
время работы, например, в скважине, оборудованной установками погружных
электронасосов, и действию вибрационных нагрузок.
. Время пребывания прибора в месте измерения в зависимости от
вида проводимых исследований и способа эксплуатации скважин составляет от
нескольких часов до нескольких месяцев.
. Среда, в которой находится прибор, как правило,
представляет собою многофазную жидкость, содержащую нефть, газ, воду и
механические включения (песок, шлам и т.д.) с различными физико-химическими
свойствами (плотность, вязкость, наличие солей и т.д.).
В соответствии с указанными выше особыми условиями работы к
конструкции глубинных приборов предъявляется ряд требований. Вследствие
воздействия на них встречного потока жидкости или газа и необходимости спуска в
геометрически ограниченное пространство наружный диаметр корпуса приборов в
основном не должен превышать 32-36 мм, а при спуске через 37-мм трубы или в
затрубное пространство - 20-25 мм. Длина его также ограничена: обычно не
превышает 2000 мм, так как увеличение ее сверх этого предела значительно
осложняет операции, связанные с подготовкой прибора к спуску в фонтанные
скважины.
Кроме того, должна быть обеспечена полная герметичность
внутренней полости прибора от внешнего давления. Особые требования
предъявляются также к устройствам, расположенным в глубинном приборе и
эксплуатируемым в условиях повышенной температуры, ударов и вибраций.
По способу получения измерительной информации глубинные
приборы делятся на:
а) автономные, результаты измерения которых можно получить
только после извлечения их из скважины;
б) дистанционные, обеспечивающие передачу сигнала
измерительной информации по кабелю.
Класс точности приборов обозначается числом, совпадающим со
значением допускаемой погрешности.
Например: Манометр имеет класс точности 0,5 это значит, что
его допускаемая погрешность равна 0,5% от предела измерения. Т.е. если манометр
имеет предел измерения 30 МПа, то погрешность прибора не должна превышать ± 0,15 МПа.
Для регистрации изменения давления и температуры в процессе
исследования скважин глубинные манометры и термометры снабжаются специальными
часовыми приводами. Краткая техническая характеристика часовых приводов,
применяемых в автономных приборах, приведены в табл.4.
Таблица 4
|
Показатель
|
МПЧ-0,125
|
МПЧ-0,25
|
МПЧ-0,5
|
МПЧ-1
|
МПЧ-2
|
|
Продолжительность
хода от одной заводки, ч
|
2
|
4
|
8
|
16
|
32
|
|
Продолжительность
одного оборота вала, ч (мин)
|
0,125 (7,5)
|
0,25 (15)
|
0,5 (30)
|
1 (60)
|
2 (120)
|
|
Момент на валу,
Н×см
|
2,0
|
2,0
|
2,0
|
2,5
|
2,5
|
|
Диапазон
рабочей темпера-туры, °С
|
От - 10 до +
160°С
|
|
Габариты, мм
|
Æ22 232
|
Часовые приводы состоят из пружинного двигателя, редуктора и
регулятора хода (рис.5).
Двигатель имеет заводные спиральные пружины 2, создающие
крутящий момент на выходном валу 1. Этот момент расходуется на перемещение
диаграммного бланка и на поддержание колебаний регулятора хода с целью
обеспечения равномерности вращения выходного вала. Момент от двигателя к
регулятору хода передается через понижающий редуктор с храповиком 3. Для
преобразования вращательного движения выходного вала редуктора в колебания
баланса 5 служат анкерная вилка 7 и колесо хода 4. Период колебаний баланса
(время одного колебания) регулируется спиральной пружиной-волоском 6. Частота
вращения выходного вала часового привода зависит от передаточного отношения
редуктора и периода колебаний баланса, а точность хода (постоянство скорости) -
от стабильности периода колебаний. Механизм часовых приводов помещен в корпус 8
(металлическую трубу с отверстиями для осмотра и проверки взаимодействия
деталей), на который надевается защитный кожух 9, предохраняющий механизм от
загрязнения.
Рисунок 5 - Часовой привод
Разработаны также механизмы часовых приводов с
продолжительностью хода от одной заводки 64, 128 и 256 ч. Их краткое
обозначение обозначение соответственно: МПЧ4; МПЧ8 и МПЧ16. Длина часовых
приводов составляет 830 мм при диаметре корпуса 22 мм.
Выпускаемые промышленностью автономные (самопишущие)
скважинные манометры и дифманометры, широко используемые для исследования
добывающих и нагнетательных скважин, а также для испытаний с помощью трубных
испытателей, по принципу действия подразделяются на:
а) геликсные;
б) пружинно-поршневые;
в) компенсационные и дифференциальные манометры
(дифманометры).
Приведем примеры компенсационных манометров и дифманометров.
Автономные компенсационные манометры типа
"Байкал-1" предназначены для измерения и регистрации небольших (до
2,5 МПа) давлений в скважинах.
Действие манометра основано на уравновешивании измеряемого давления
натяжением винтовой цилиндрической пружины. В отличие от пружинно-поршневых
манометров прямого действия (МПМ-4) трение в записывающем устройстве этого
прибора не влияет на его погрешность и чувствительность, так как деформация
чувствительного элемента служит только для замыкания электрической цепи питания
электродвигателя, который перемещает пишущее перо на ход, пропорциональный
измеренному давлению.
Конструктивно манометр "Байкал-1" (рис.6) состоит
из преобразователя давления I, регистрирующего устройства II и блока питания
III.
В качестве чувствительного элемента использованы сильфоны 16
и 18 разного диаметра, имеющие общее дно 17, которое жестко соединено штоком 15
с винтовой цилиндрической пружиной 13. Второй конец пружины навинчен на якорь
12, выполненный в виде гайки, поступательно перемещающейся по ходовому винту
11, вращаемому с помощью электродвигателя постоянного тока 6. Вал
электродвигателя одним концом соединен через понижающий редуктор с
промежуточным винтом 9 и далее с основным винтом 11, а вторым концом также
через понижающий редуктор - с винтом 5 регистрирующего устройства.
Рисунок 6 - Компенсационный манометр "Байкал-1"
Измеряемое давление через разделитель 19 воздействует на
кольцевую площадь сильфона большего диаметра 18, в результате чего он
деформируется и перемещает шток 16 с закрепленным на нем плечом пружинного
контакта 14. При этом подвижной контакт замыкает электрическую цепь питания
электродвигателя, вал которого приводит во вращение ходовые винты
преобразователя давления и регистрирующего устройства. При вращении винта 11
гайка 12 деформирует пружину 13 до тех пор, пока ее натяжение не станет равным
усилию, действу-ющему на сильфон 18. При равенстве усилий подвижной контакт
вернется в нейтральное положение и разомкнет цепь питания электродвигателя.
Частота вращения вала электродвигателя, а следовательно, и деформация пружины
будут пропорциональны измеренному давлению.
Одновременно пишущее перо 4 переместится по ходовому винту 5
на расстояние, также пропорциональное частоте вращения вала, а следовательно,
измеренному давлению. Таким образом, на бланке, вставленном в барабан 3
часового привода 2, будет прочерчена линия, длина которой характеризует
измеренное давление. С понижением давления подвижной контакт отклонится в
другую сторону и вновь замкнет цепь электродвигателя, вал которого начнет
вращаться в обратную сторону до тех пор, пока усилие, действующее на сильфон,
не уравновесится натяжением пружины. В этот момент подвижной контакт снова переместится
в нейтральное положение и разомкнет цепь питания электродвигателя.
Для предотвращения прибора от поломки при повышении давления
служат микровыключатели 7, которые прерывают цепь питания электродвигателя в
крайних положениях ползуна 8, перемещающегося по промежуточному винту 9.
Электрическое питание двигателя осуществляется с помощью элементов 1,
установленных в блоке питания I, а реверс двигателя - с помощью электронного
переключателя 10, смонтированного в блоке электродвигателя.
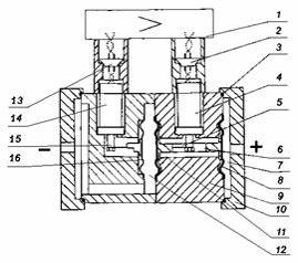
Компенсационный скважинный дифманометр "Онега-1"
предназначен для измерения и регистрации давления при исследовании скважин
методами гидропрослушивания и восстановления давления.
Конструктивно прибор отличается от манометра
"Байкал-1" наличием узла клапана, служащего для предотвращения
поломки сильфонов при заполнении его сжатым газом. Преобразователь давления
(рис.7) через иглу 4 предварительно заполняется сжатым газом под давлением,
примерно равным забойному давлению в скважине. Под действием этого давления
сильфон 5 с клапаном 6 закрывает входное отверстие 7, отсекая жидкость,
заполняющую камеры 8 и 9. Давление сжатого газа через сильфоны 3 передается
находящейся в замкнутом объеме несжимаемой жидкости, что предохраняет эти
сильфоны от разрушения. Ходовой винт 2 уплотнен сальником 1.
Рисунок 7 - Преобразователь давления дифманометра
"Онега-1"
При спуске прибора в скважину клапан 6 открывается, когда
забойное давление станет несколько большим давления сжатого газа. После
открытия клапана прибор начинает регистрировать изменение забойного давления
(разность между давлениями в скважине и давлением сжатого газа). При подъеме
прибора клапан 6 закрывается и сжатый газ остается в полости преобразователя.
В таблице 5 приведена характеристика манометров
"Байкал-1" и "Онега-1". Пределы измерения давления
дифманометром "Онега-1" определяются только жесткостью винтовой
цилиндрической пружины. Они не зависят от давления сжатого газа. Поэтому с его
помощью можно проводить гидропрослушивание скважин, когда максимальные
приращения забойного давления составляют порядка 0,5-2 % от начального
значения.
Таблица 5
Характеристика манометров "Байкал-1" и
"Онега-1"
|
Показатель
|
"Байкал-1"
|
<0нега-1"
|
|
Верхний предел
измерения давления, МПа
|
0,4; 1,0; 1,6;
2,5
|
0,4; 1,0; 1,6;
2,5
|
|
Максимальное
статическое давление, МПа
|
2,5
|
25
|
|
Погрешность, %
от верхнего предела измерения
|
0,6; 1,0
|
1,0
|
|
Порог
чувствительности, МПа
|
0,001-0,002
|
0,001-0,002
|
100
|
100
|
|
Длина записи
давления, мм
|
125
|
125
|
|
Габариты, мм:
длина
|
1900
|
2300
|
|
диаметр
|
36
|
36
|
|
Масса, кг
|
8,0
|
10,0
|
|
Примечaние.
Погрешность приборов по прямому ходу (при монотонном изменении давления) не
превышает 0,25 %.
|
Продолжительность работы компенсационных приборов не зависит
практически от времени их пребывания в скважине, так как в период, когда
давление не изменяется, питание электродвигателя автоматически отключается.
2.2 Измерение
уровня жидкости в барабане котла
"Узким местом" в вопросах технологического контроля
и полной автоматизации пусковых режимов энергетических барабанных котлов (а так
же подогревателях высокого и низкого давления паровых турбин) остается
измерение и поддержание норме уровня котловой воды в барабане котла. Это
осложнение обусловлено изменением плотности воды в процессе ее нагревания до
рабочих параметров.
В настоящее время технологический контроль осуществляется
путем оснащения барабанов смотровыми колонками прямого действия и
датчиками-перепадомерами с электрической схемой дистанционной передачи
показаний на электронные приборы (регистратор уровня, регуляторы уровня
(основной и резервный) и не менее двух показывающих приборов, задействованных в
схеме технологической защиты котлоагрегата), расположенных на тепловых щитах
управления. Уровень в барабане энергетического котла высокого давления в
подавляющем большинстве случаев измеряется гидростатическим методом (измерение
перепада давления в конденсационном сосуде):
= ∆ p,
где S - показания прибора, мм; ∆p -
перепад давления в преобразователе;
∆ p= ρ· (Н - h),
где ρ - плотность воды; h -
высота столба питательной воды в барабане котла; Н - высота столба
питательной воды в конденсационном сосуде.
Плотность воды при изменении ее термодинамического состояния
по границе линии насыщения определяется уравнением формуляции, ее изменение
представлено в таблицах М.П. Вукаловича "Теплофизических свойств воды и
водяного пара).
С высокой степенью точности уровень питательной воды в
барабане будет определяться по формуле
= р (Н - h) ·ά,
где ά - коэффициент
относительной плотности воды, ά = ρ*/ρ;
ρ - плотность воды при
нормальных условиях;
ρ* - то же в переходном
состоянии.
Принципиальная схема измерения уровня представлена на рис.8.
Рисунок 8 - Принципиальная схема измерения уровня: 1 -
уравнительный сосуд, соединенный с паровым пространством барабана; 2 -
импульсная трубка; 3 - импульсная трубка, соединенная с водяным
пространством барабана; 4 - преобразователь давления
Для уменьшения погрешностей измерения, вызванных охлаждением
питательной воды в уравнительном сосуде 1, применяются
теплоизолированные обогреваемые конденсационные сосуды, показанные на рис. 9.
Рисунок 9 - Теплоизолируемые обогреваемые конденсационные
сосуды
В настоящее время специалисты цеха ТАИ проводят лабораторную
калибровку характеристик датчиков-преобразователей перепада давления на рабочие
параметры питательной воды (для котла ТП-230-2 плотность питательной воды
составляет 671кг/м3)
В переходных режимах в течении всего времени растопки
(расхолодки) котла гидростатический метод измерения уровня не работает
вследствие большой погрешности измерительного комплекта (более 30%).
Предлагаемая система измерения уровня воды в барабане энергетического котла
гидростатическим методом предусматривает создание измерительной схемы с
применением многопараметрического преобразователя давления, оснащенного
следующими электронными устройствами:
сенсором перепада давления;
сенсором абсолютного давления в одной из камер;
электронным блоком измерения электрических импульсов на
выходе сенсоров, их преобразование в цифровой сигнал и дальнейшую коррекцию
сигнала перепада давления в конденсационном сосуде в зависимости от плотности
питательной воды по значению избыточного давления в барабане котла (по линии
насыщения), с формированием стандартного токового сигнала 4 - 20 мА или
дискретного на выходе.
За основу многопараметрического преобразователя был принят
надежный и проверенный отечественный дифференциальный преобразователь давления
типа САПФИР-22МР-ДД, серийно выпускаемый Рязанским приборостроительным заводом
ОАО "ТЕПЛОПРИБОР" (рис.10).
Дополнительный контур измерения избыточного давление р
состоит из мембраны 16, соединенной тягой 15 с
тензопреобразователем, который через герметичный ввод 13 связан с
электронным преобразователем 1.
В контуре измерения перепада давления ∆р (см.
рис.8) разность давлений в плюсовой 7 и минусовой 8 камерах
вызывает прогиб мембраны 9, который через тягу 10 и центральный
шток передается на тензопреобразователь 11. Деформация тензопреобразователя
11 приводит к изменению его сопротивления, при этом меняется значение
напряжения U∆р, которое передается в электронный
преобразователь 12. Таким образом, выходной сигнал от
тензопреобразователя 11 поступает на вход электронного преобразователя 12.
Рисунок 10 - Принципиальная схема многопараметрического
преобразователеля давления: 1 - электронный преобразователь; 2 -
гермоввод; 3 - прокладки; 4 - тензопреобразователь измерения
перепада давления; 5 - тяга; 6 - центральный шток; 7 -
плюсовая камера; 8 - мембраны; 9 - основание; 10 - фланцы;
11 - замкнутая полость, заполненная кремнийорганической жидкостью; 12
- минусовая камера; 13 - гермоввод; 14 - тензопреобразователь; 15
- тяга; 16 - мембрана
В контуре измерения избыточного давления р изменение
давления в минусовой камере 8 вызывает прогиб мембраны 13,
который посредством тяги 14 передается на второй тензопреобразователь 15.
Деформация последнего приводит к изменению его сопротивления, при этом меняется
значение напряжения Uр, которое передается в электронный преобразователь
12.
Электронный блок 1 состоит из блока индикатора и двух
плат: клемной и платы микропроцессора. На клемной плате установлена клемная
колодка для присоединения жил кабелей питания и нагрузки. На плате
микропроцессора расположен микроконтроллер, который оцифровывает сигнал от
измерительного блока, ступенчато в пределах класса точности датчика
корректирует его, отображает на жидкокристаллическом индикаторе (ЖКИ) и
преобразует из цифрового формата в стандартный выходной токовый сигнал.
На верхней поверхности корпуса электронного блока под
откидной крышкой расположены четыре колодца, в каждый из которых может быть
введен манипулятор ручного управления для контроля и программирования
преобразователя.
На подсвечиваемом ЖКИ можно отобразить параметры
технологических измерений:
уровня;
дифференциального и абсолютного давления;
значения выходного токового сигнала;
температуры собственно электронного блока.
Воздействием магнитного манипулятора вводятся (задаются) или
корректируются данные верхних пределов диапазонов измерений, перепада давлений,
абсолютного давления, время демпфирования, метрологическая информации о данном
датчике. Так же предусматривается корректировка значений уровня и выходного сигнала,
включение функции самотестирования преобразователя.
Комбинированный преобразователь САПФИР-22МР является
многопредельным и может перенастраиваться на любой тип барабанов котла (с
различным избыточным давлением и расстояниями между отверстиями для импульсных
отборов на сосуд постоянного уровня), также он может использоваться для
измерения уровня в пароводяных теплообменниках (подогревателях высокого и
низкого давления турбогенераторов).
2.3 Измерения
плотности и вязкости
Плотность - скалярная <#"794827.files/image040.gif">
к его объёму 
, когда объём стягивается к этой точке. Средняя плотность
неоднородного вещества есть отношение 
. Для однородного тела средняя плотность является просто
плотностью тела.
Данное определение относится к, так называемой, поверхностной
плотности, но существуют и другие виды плотности.
Виды плотности и единицы измерения
Плотность измеряется в 
в системе СИ <#"794827.files/image044.gif">
в системе СГС
<#"794827.files/image045.gif">
Рисунок 11 - Пикнометр
Ареометр - прибор для измерения плотности жидкостей, принцип
работы которого основан на Законе Архимеда. Считается, что ареометр изобрела
Гипатия.
Обычно представляет собой стеклянную трубку, нижняя часть которой
при калибровке заполняется дробью или ртутью для достижения необходимой массы.
В верхней, узкой части находится шкала, которая проградуирована в значениях
плотности раствора или концентрации растворенного вещества. Плотность раствора
равняется отношению массы ареометра к объему, на который он погружается в
жидкость. Соответственно, различают ареометры постоянного объёма и ареометры
постоянной массы.
Для измерения плотности жидкости ареометром постоянной массы сухой
и чистый ареометр помещают в сосуд с этой жидкостью так, чтобы он свободно
плавал в нем. Значения плотности считывают по шкале ареометра, по нижнему краю
мениска.
Для измерения ареометром постоянного объёма изменяют его массу,
достигая его погружения до определённой метки. Плотность определяется по массе
груза (например, гирек) и объёму вытесненной жидкости.
Рисунок 12 - Ареометр. 1 - корпус; 2 - балласт; 3 - связующее
вещество; 4 - тарелка для гирь; 5 - кольцевая метка
Для измерения плотности почвы используют Бур Качинского.
Набор Качинского состоит из киянки, болванки особой формы (Предназначена
для правки бюксов), оправки для забивания бурика, мастерка и ножа для вырезания
образца и специальных бюксов.
Бюксы специально разработаны таким образом, чтобы в них с
минимальным зазором входил Бурик Качинского. При отборе образцов песчаных и
других рыхлосвязанных почв бурик Качинского закрывается крышкой от бюкса
Качинского, таким образом, исключается высыпание почвы.
Бурик забивается в почву при помощи киянки через специальную
оправку. Оправка устроена так, чтобы не допустить уплотнения почвы внутри
бурика. При забивании бурика глубже нормы оправка упирается в почву вокруг
бурика. Затем бурик вместе с почвенным образцом вырезается из почвы и
обрезается, будучи накрыт крышкой от бюкса Качинского. После этого содержимое
бурика переносится в бюкс Качинского.
В автоматизированных системах для измерения вязкости используется
вибрационный плотномер - прибор, предназначенный для преобразования значения
плотности контролируемой среды в аналоговый или цифровой электрический сигнал
для передачи его в системы телеметрии или автоматики и/или отображения значения
плотности на цифровом табло.
Вибрационный плотномер содержит колебательную систему, обычно в
виде камертона, возбуждаемую на резонансной частоте с помощью
пьезоэлектрических преобразователей. Резонансная частота колебательной системы
зависит от плотности окружающей камертон среды. Используются для измерения
плотности жидкости и газов под давлением.
Известны вибрационные плотномеры проточные, предназначенные для
контроля плотности движущейся в трубопроводе среды, и погружные, для контроля
плотности среды в резервуарах.
Проточные вибрационные плотномеры используют для измерений на
потоке нефти в промысловых условиях. Датчик такого плотномера представляет
собой тонкостенный цилинр, внутри которого расположена электронная
автоколебательная система, сообщающая цилиндру незатухающие колебания. Колебания
цилиндра передаются окружающей жидкости, причем частота колебаний тем меньше,
чем больше плотность среды. Зависимость плотности от частоты колебаний цилиндра
в жидкости имеет то же математическое выражение, что и для газа
Преимущества вибрационных плотномеров: отсутствие движущихся
частей, нейтральность к электрическим свойствам среды, высокая точность и
стабильность измерений (+0,3-1,0 кг/м3), работоспособность при высоких и низких
температурах (от минус 70 до 200°C), больших статических давлениях (до 20 МПа),
малые масса и габариты, компактность (диаметр 25 мм), низкое энергопотребление
(0,5-2,5 Вт).
Вязкость (внутреннее трение) - одно из явлений переноса, свойство
текучих тел (жидкостей и газов) оказывать сопротивление перемещению одной их
части относительно другой. В результате происходит рассеяние в виде тепла
работы, затрачиваемой на это перемещение.
Приборы для измерения вязкости называются вискозиметрами. В
вискозиметрах используются два разных принципа:
скорость вытекания жидкости из малого отверстия или из капилляра;
скорость падения шарика в вязкой жидкости.
Первый принцип основан на формуле Пуазейля, дающей зависимость
между объемом жидкости, вытекающей из трубки радиусом R и длиной I:
где 
и 
- давление на торцах трубки; R - радиус трубки; I - длина; t -
время вытекания.
Второй принцип измерения вязкости основан на измерении скорости
падения шара в вязкой среде (формула Стокса):
где 
- скорость падения шара в жидкости; ρ - плотность материала шара; ρ' - плотность жидкости; r - радиус шара.
Одним из широко используемых приборов для измерения вязкости
является вискозиметр Энглера, в котором измеряется время вытекания 200 г.
жидкости по сравнению со временем вытекания 200 г воды через то же отверстие.
Вязкость измеряют в градусах Энглера, что соответствует отношению времени
вытекания жидкости ко времени вытекания воды при тех же условиях. Соотношение
между Пуазами и градусами Энглера дается формулой:
где р - плотность жидкости в г/см3.
Вязкость, обозначенная в формуле и определенная через силу
сопротивления движению - динамическая вязкость.
Ударная вязкость, определяемая, как работа для излома твердого
тела, отнесенная к единице поперечного сечения излома, рассчитывается по
формуле:
Обратная вязкости величина называется текучестью:
Вискозиметр - прибор для определения динамической или
кинематической вязкости вещества. В системе единиц СГС и в СИ динамическая
вязкость измеряется соответственно в пуазах (П) и паскаль-секундах (Па·с),
кинематическая - соответственно в стоксах (Ст) и квадратных метрах на секунду
(м²/с).
Вискозиметры бывают: капиллярными, ротационными, с падающим
шариком и других типов. Капиллярные вискозиметры. Принцип действия основан на
подсчёте времени протекания заданного объёма жидкости через узкое отверстие или
трубку, при заданной разнице давлений. Чаще всего жидкость из резервуара
вытекает под действием собственного веса, в таком случае вязкость
пропорциональна разнице давлений между жидкостью, вытекающей из капилляра и
жидкостью на том же уровне, вытекающей из очень толстой трубки. Если течение
жидкости в приборе осуществляется только под действием тяжести (например, в
вискозиметре Уббелоде), то при работе капиллярного вискозиметра определяется
кинематическая (не динамическая) вязкость. С помощью капиллярного вискозиметра
измеряются вязкости от 10 мкПа∙с (газы) до 10 кПа∙с. Используют
вискозиметры по ASTM D 445 (ГОСТ 33).
Ротационные вискозиметры
Два тела вращения, одинаковых или разных, совмещаются по осям так,
что одно из них прикасается изнутри к другому (примером может послужить сфера,
вписанная в конус). Пространство между телами заполняют исследуемым веществом,
и к одному из тел подаётся крутящий момент, тело начинает вращаться с угловой
скоростью, зависящей от вязкости вещества (у вискозиметров, как правило,
стабилизируется скорость вращения и измеряется крутящий момент). Диапазон
работы стандартных вискозиметров простирается от 1 мПа·с до сотен тысяч Па·с.
Такой широкий диапазон измерений достижим за счёт изменения скорости вращения
шпинделя от 0,01 оборота в минуту до 100, а также за счёт использования
шпинделей разных размеров при разных диапазонах вязкости.
Рисунок 13 - Капиллярный вискозиметр.1 - измерит. резервуар; 2 -
капилляр; 3 - приёмный сосуд; M1 и М2 - метки, служащие для измерения времени
истечения жидкости из измерит. резервуара.
Вискозиметр с движущимся шариком
Вискозиметр основан на законе Стокса. Вязкость определяется по
времени прохождения шариком некоего расстояния, чаще всего под воздействием его
собственного веса. Наиболее известен вискозиметр Гепплера.
Вискозиметр с вибрирующим зондом
Основан на изменении резонансной частоты колебаний в жидкости
различной вязкости. Так как частота будет зависеть и от плотности измеряемой
жидкости, некоторые модели позволяют определять эту плотность независимо от
вязкости, тогда как другие используют заданное известное значение плотности.
Вискозиметр пузырькового типа
Основан на определении параметров движения пузырька газа, свободно
всплывающего в вязкой среде.
Вискозиметры Брукфильда подразделяются на три основных типа:
аналоговые (с круговой шкалой), цифровые и программируемые. Основное различие
между ними заключается в способе отображения результатов. У аналоговых
вискозиметров результат считывается по указателю на круговой шкале, а у
цифровых выводится на двухстрочный жидкокристаллический дисплей. Кроме того,
цифровые вискозиметры оборудованы аналоговым выходом 0-10 мВ, к которому можно
подключить различные внешние устройства, такие как дисплей, контроллер или
самописец.
Внутреннее устройство аналоговых и цифровых вискозиметров
практически одинаково и также одинакова методика использования. Оба типа
представлены одинаковым рядом моделей, могут работать с одинаковыми
аксессуарами и в целом взаимозаменяемы (одинаковые модели).
Аналоговые вискозиметры самые дешевые. Они идеально подходят для
применений, где надо быстро измерить вязкость, но нет необходимости в
постоянной записи или в измерении реологических характеристик. Хотя вискозиметр
может работать непрерывно, снимать показания можно только дискретно, когда
указатель проходит под смотровым стеклом или когда указатель зафиксирован и
вискозиметр остановлен.
Длительные измерения требуют постоянного внимания оператора, кроме
того, быстро протекающие процессы легче зафиксировать при постоянном
мониторинге. В таких ситуациях лучше использовать цифровые вискозиметры,
которые непрерывно измеряют и показывают вязкость. Такие приборы можно оставить
без наблюдения, а возможность настроить частоту записи показаний (модель
DV-II+) позволяет зарегистрировать самые быстрые реологические процессы.
Некоторые пользователи предпочитаю цифровые вискозиметры, поскольку с ними
отпадает необходимость интерполяции данных, чего иногда невозможно избежать при
работе с аналоговым оборудованием. Точность измерения для обоих типов
одинакова.
Цифровые вискозиметры (за исключением модели DV-E) можно также использовать
с геометрией конус/плита.
Стандартные модели вискозиметров имеют множество модификаций,
например модели с промежуточным крутящим моментом пружины. Чтобы подобрать
модель, оптимальную для Ваших задач, лучше всего получить консультацию у
местного представителя Брукфильда.
Некоторые модели разработаны специально для специфических
применений и не совместимы с традиционными вискозиметрами. Так модель KU-1
позволяет измерять вязкость в единицах Кребса и предназначена для лакокрасочной
индустрии. Модель САР-1000 позволяет работать с очень высокими скоростями
сдвига (10000, 12000 с-1) при исследовании смол, полимеров и красок.
Весьма существенным преимуществом реометра DV-III+ является
возможность двусторонней связи с персональным компьютером. Это позволяет легко
программировать и управлять сложными процедурами измерения. Также можно
сохранять все результаты и, при необходимости, преобразовывать их в формат
Excel или другого табличного процессора. Можно получить результаты в виде
графиков, что особенно полезно при интерпретации кривой течения. Графики
испытания разных образцов можно сравнивать, накладывая друг на друга.
Реометр R/S отличается от других моделей тем, что контролируемым
параметром является не скорость вращения шпинделя, а напряжение сдвига. Среди
других преимуществ этого подхода можно выделить широкий диапазон измеряемой
вязкости, возможность измерения предела текучести и возможность работы с
высоковязкими гелями. Как DV-III+, так и R/S позволяют получить детальную
информацию о поведении материалов и могут работать независимо или под
управлением персонального компьютера.
Реометр САР-2000 с системой конус/плита обеспечивает широкий
диапазон скоростей сдвига. Он специально сконструирован для использования в
тяжелых заводских условиях и может работать независимо или под управлением
персонального компьютера.
Реометр PVS обеспечивает измерение под давлением и обычно
используется для исследования буровых растворов и флюидов для разрыва пласта в
нефтегазовой индустрии.
Относительно новый реометр YR-1 является недорогим решением для
измерения предела текучести в целях контроля качества.
Список
использованной литературы
1. Васильевский
В.И. "Исследование нефтяных пластов и скважин" Издание 2, 1979 г.,
291 c.
2. Кремлевский
П.П. Расходомеры и счетчики количества веществ: Справочник: Кн.2/Под общ. ред.
Е.А. Шорникова. - 5-е изд., перераб. и доп. - СПб.: Политехника, 2004. - 412 с
. Овчинникова
В.А. Методические указания по контрольным работам по дисциплине "Измерение
неэлектрических величин" (очное отделение); "Технологические
измерения и приборы" (заочное отделение) для студентов специальности
210200 "Автоматизация технологических процессов и производств”. Тюмень:
Ротапринт ТюмГНГУ, 2013. - 28 с
. Сборник
Н.Т. "Прогрессивные технологии в добыче нефти" 2000 г.184 c.