Термическая обработка долбяка хвостового прямозубого

  • Вид работы:
    Курсовая работа (т)
  • Предмет:
    Другое
  • Язык:
    Русский
    ,
    Формат файла:
    MS Word
    1,32 Мб
  • Опубликовано:
    2014-07-31
Вы можете узнать стоимость помощи в написании студенческой работы.
Помощь в написании работы, которую точно примут!

Термическая обработка долбяка хвостового прямозубого

1. Анализ работы детали хвостового прямозубого долбяка

Зуборезные долбяки применяют для нарезания зубчатых колес с наружными и внутренними зубьями, с прямыми, винтовыми и с наружными шевронными зубьями.

Зубодолбление преимущественно применяют для колес с внутренним зацеплением, блочных колес, колес с закрытыми зубчатыми венцами и колес с небольшим количеством зубьев.

Долбяки имеют вид зубчатого колеса с изменяющимся по длине зубом, смещением исходного контура (высотной коррекцией), контур торца зубчатого венца является режущей кромкой. Долбяки работают по принципу обката. Изменение высотной коррекции по длине зуба обеспечивает образование задних углов на лезвиях зубьев.

Долбяки образуют зубья колеса методом огибания; профиль их зубьев соответствует для нарезаемого колеса, для обработки колес с эвольвентными зубьями он тоже имеет эвольвентную форму.

Размеры долбяков для нарезания прямозубых и косозубых колес и технические условия для их изготовления регламентированы ГОСТ 19265-73.

Заданная деталь выполнен из быстрорежущей стали и служит для нарезания зубчатых колес с прямыми зубьями.

. Выбор материала

Таблица 1

Марка стали

Предел прочности, Н/мм

Красностойкость 620 С

Обработка резанием, К

Шлифуемость

Прокаливаемость, мм

Коррозийная стойкость

Р18

2600-3000

62-64HRC

0,3

Повышенная

1-3

4

Р12

2600-3500

61-64HRC

0,4

Удовл.

1-3

4

Р9

2600-3200

Более 64HRC

0,6

Пониженная

1-3

4

Р6М3

3200-3600

61-64HRC

0,6

Пониженная

2-4

4

Р6М5

3200-3600

63-65HRC

0,6

Пониженная

2-4

4

3. Требования, предъявляемые к материалу для изготовления детали

Инструментальная сталь должна обладать высокой твердостью, износостойкостью, обеспечивающей сохранение режущей кромки инструмента, достаточной прочностью и вязкостью.

Условия работы инструмента зависят от режимов резания и свойств нагреваемого материала. Чем больше скорость резания, сечение снимаемой стружки, а также прочность и вязкость обрабатываемого материала, тем выше температура нагрева режущей кромки инструмента.

Режущие кромки инструмента могут нагреваться до 500 - 900 ºС. В этих случаях основным свойством инструментальных материалов является теплостойкость, (то есть способность сохранять высокую твердость и режущую способность при продолжительном нагреве). От теплостойкости материала зависит производительность резания.

Этот комплекс свойств обеспечивается выбором стали и оптимальным режимом термической обработки. При этом важное значение имеет прокаливаемость стали.

Для обработки сталей и чугунов применяют инструменты из быстрорежущей стали. Быстрорежущие стали получили свое название за свои свойства. Вследствие высокой теплостойкости (550-600°С) инструменты могут работать со скоростями резания, в 3-4 раза большими, чем инструменты из углеродистых и легированных сталей.

Быстрорежущие стали содержат 0,7-1,5 % С, до 18% W, являющегося основным легирующим элементом в стали. Они обладают высокой прочностью, ударной вязкостью и трещиностойкостью, высокой теплостойкостью.

Высокая теплостойкость объясняется следующими особенностями. Для сохранения твердости при нагреве быстрорежущую сталь легируют такими элементами, карбиды которых образуются и коагулируют при более высоких температурах, чем карбиды в углеродистых сталях. Такими легирующими элементами являются вольфрам (основной такой легирующий элемент), хром, ванадий кобальт и др. Они образуют сложные карбиды, связывающие почти весь углерод в стали.

Кроме того, добавление ванадия повышает износостойкость инструмента, но ухудшает шлифуемость. Кобальт повышает теплостойкость до 650°С и вторичную твердость до НRС 67-70.

Высокую твердость и теплостойкость быстрорежущие стали приобретают после термической обработки.

Для обработки неупрочненных сталей и чугуна, а также цветных металлов и сплавов применяют низколегированные быстрорежущие стали с суммарным содержанием вольфрама и молибдена, не превышающим 5-6%, наиболее высокими свойствами в этой группе сталей обладают стали Р2М5 и 11М5Ф.

Для обработки сталей, имеющих твердость более 280-300НВ (т.е. сталей, прошедших улучшение и имеющих после проведения термообработки, закалки и отпуска повышенную твердость) применяют инструменты из быстрорежущей стали такие как Р18, Р12, Р9, Р9Ф5 (вольфрамовые) и Р6М5, Р6М3 (вольфрамомолибденовые), сохраняющие твердость не ниже 58НRС до 620оС. Это стали нормальной производительности, при одинаковой теплостойкости отличающиеся главным образом механическими и технологическими свойствами.

К сталям повышенной производительности относят стали Р12Ф3, Р12Ф3М8 (ванадиевые); Р18Ф2К5, Р6М5К5, Р9М5К5 (кобальтовые), В11М7К23, В4М2К23 (с интерметаллидным упрочнением).

Основные требования, предъявляемые к материалу для изготовления детали «Долбяк хвостовой прямозубый» - это высокая горячая твердость (твердость в горячем состоянии) и красностойкость (насколько эта твердость сохранится во времени). (Гуляев, стр. 360)

Красностойкость - это способность сохранять высокую твердость, прочность и износостойкость при температуре до 600 °С. Твердость - это свойство материала оказывать сопротивление пластической деформации при местных контактных воздействиях в поверхностном слое.

Для изготовления можно применить, кроме заданной марки Р18, сталь Р6М5.

Химический состав данных марок стали приведен в таблице 2.

По теплостойкости (красностойкости) эти стали примерно одинаковы, различаются лишь технологическими свойствами.

Рассмотрим сталь Р6М5. Ее применяют как заменитель быстрорежущей стали Р18 в связи с дефицитом вольфрама и его дороговизной.


Таблица 2. Химический состав сталей Р18, Р6М5

Марка стали

С

Cr

W

V

Mo

Si

Mn

Ni

Со

S

Р







Не более

Р18

0,73-0,83

3,80-4,40

17,0-18,5

1,0-1,4

Не более 1,0

0,5

0,5

0,4

0,5

0,03

0,03

Р6М5

0,8-0,88

3,8-4,4

5,5-6,5

1,7-2,1

5,3-5,5

0,5

0,4

0,4

-

0,025

0,035


Таблица 3 Температура закалки, состав γ-твердого раствора и красностойкость быстрорежущих сталей Р18, Р9 и Р6М5.

Сталь

Температура закалки, оС

Состав твердого раствора, % (атомн.)

Остаточн. аустенит

Красностойкость оС



W

Mo

V

Cr



Р18

1280

3

-

1

4

30

620

Р6М5

1220

1

2

1

4


620


Рассмотрим сталь Р6М5. Ее применяют как заменитель быстрорежущей стали Р18 в связи с дефицитом вольфрама и его дороговизной.

Сталь Р6М5 относится к быстрорежущим сталям нормальной производительности по ГОСТ 19265-73, предназначена для изготовления универсального инструмента для обработки сталей (σВ до 800 - 1000 МПа), чугунов (твердостью до 255 - 280 НВ) и цветных металлов и сплавов, обладающих хорошей обрабатываемостью (медных, алюминиевых, цинковых).

Данная сталь относится к карбидному (ледебуритному) классу.

Для снижения твердости, улучшения обработки резанием и подготовки структуры стали к закалке после ковки быстрорежущую сталь Р6М5 подвергают отжигу при 800 - 830 ºС. Фазовый состав в отожженном состоянии представляет собой легированный феррит (78% по массе) и карбиды типа М6С, М23С6, МС, М3С (22% по массе).

Для придания стали теплостойкости инструмент подвергают закалке и многократному отпуску. Температура закалки стали Р6М5 1210 - 1230 ºС. Высокие температуры закалки необходимы для более полного растворения вторичных карбидов и получения при нагреве аустенита, высоколегированного хромом, вольфрамом, молибденом и ванадием. Это обеспечивает повышение прокаливаемости, а также получение после закалки мартенсита. Для быстрорежущих сталей характерно сохранение мелкого зерна. Во избежание образования трещин при нагреве до температуры закалки применяют подогрев.

Высоколегированный аустенит, полученный при нагреве под закалку, обладает большой устойчивостью, поэтому охлаждающей средой при закалке является масло или горячие среды.

Структура стали Р6М5 после закалки представляет собой высоколегированный мартенсит, нерастворенные избыточные карбиды и остаточный аустенит (28-34%). Остаточный аустенит понижает механические свойства стали, ухудшает её шлифуемость и стабильность размеров инструмента. Поэтому его присутствие в готовом инструменте нежелательно.

Но в связи с тем, что в химическом составе стали присутствует молибден, то данная сталь при проведении термообработки склонна к обезуглероживанию, что крайне нежелательно и экономически невыгодно, т. к. необходимо увеличивать припуска под механическую обработку.

Таким образом, для фасонных и сложных инструментов, к которым относится инструмент «Долбяк хвостовой пямозубый» необходимо применять быстрорежущую сталь Р18.

Таблица 4. Механические свойства стали Р18 в состоянии поставки (после отжига) при 200С

s0,05, МПа

s0,2, МПа

sв, МПа

d, %

y, %

sсж.0,2, МПа

sсж, МПа

ε, %

τк, МПа

Υ, %

КСU, Дж/см2

210

510

840

8

10

520

2600

50

560

50

19


Таблица 5. Механические свойства стали Р18 после термической обработки

s0,05, МПа

sв, МПа

sсж.0,2, МПа

sсж, МПа

τк, МПа

sизг, МПа

КСU, Дж/см2

2480

2150

3060

3820

1880

3000

30


Таблица 5 Механические свойства стали Р18 в состоянии поставки (после отжига) при повышенных температурах

Испытания, оС

s0,2, МПа

sв, МПа

d, %

y, %

τк, МПа

sсж, МПа

КСU, Дж/см2

НВ

200

450

830

13

22

520

1050

-

227

400

420

700

15

22

450

850

-

210

600

300

31

55

300

620

-

140

800

110

200

60

70

100

100

-

30

1000

90

100

42

55

50

50

100

24

1100

-

-

-

-

-

-

130

-

1200

30

30

12

25

40

40

45

4


Таблица 6 Механические свойства стали Р18 в термообработанном состоянии при повышенных температурах

Тиспытания

sизг., МПа

НV

НRC

200

3570

815

64

400

3730

755

62

500

3290

712

60

550

3060

661

58

600

2430

615

56

650

2180

504


Технологические свойства стали Р18:

Температура ковки: начала 1200, конца 900. Охлаждение в колодцах при 750-800 оС.

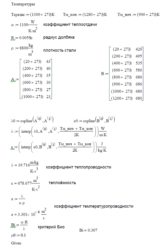
. Расчет режима термообработки

Расчет физических параметров долбяка

Для расчета времени и параметров термообработки необходимо получить данные, которые не были в условии задания: масса и площадь поверхности.

Расчет массы долбяка

Для определения массы используем формулу:

M = ρ·V.

Плотность материала известна, найдем объем детали. Для этого необходимо разделить деталь на простые геометрические тела и отбросить зубья, посчитав их объем (как объем прямых треугольных призм) в конце расчета и прибавить к основному объему долбяка.

Рис. 1. Упрощенная схема долбяка при расчетах.

Рис. 2. Упрощенная схема зуба долбяка при расчетах.

Таким образом, свели расчет объема сложной фигуры к расчету объемов цилиндра, усеченного конуса и треугольной прямой призмы:

Vдолб. = Vцил. + Vус. кон. +9·V призм

Vцил = πr2h

Vцил = 3,14·62·66 = 207,24·36 = 7460,64 мм3

Vус. кон. = (πH·(r2 + Rr + R2))/3

ус. кон. = (3,14·15·(92 + 11·9 + 112))/3 = (47,1·(81+99+121))/3 =

,1·301/3 = 4725,7 мм3

призм. = Sосн. ·h = 0,5·Hтреуг.·Lосн. треуг.·h

Vпризм. = 0,5·6,5·5·15 = 243,75 мм3

Vдолб. = 7460,64 + 4725,7 +9·243,75 = 12186,34+ 2193,75 =

= 14380,09мм3 = 14380,09·10-9 м3

M = ρ·V, при ρ = 8800 кг/м3

M = 8800·14380,09·10-9= 126 544 792·10-9 ≈ 0,126545 кг

Расчет площади поверхности долбяка

Для расчета площади поверхности долбяка, рассчитаем полные площади поверхностей основания без зубьев (см. рис. 1), и полную площадь поверхности зубьев долбяка. Необходимо учесть в расчетах сопряжения тел, т.е. вычесть те площади граней тел, которые наложены друг на друга:

Sдолб. = (Sцил. + Sус. кон. +9·S призм) - 2·(Sцилиндр-ус. конус + 9·Sус. конус- призма)

Sцил. = 2πRH + 2πR2

Sцил. = 2·3,14·6·66 + 2·3,14·662 = 2486,88+ 27355,68 = 29842,56 мм2

Sус. кон = πR2 + πr2 + π·(R + r)·h

Sус. кон = 3,14·112 + 3,14·92 + 3,14·(11 + 9)15 = 379,94 + 254,34 + 942 =

= 1576,28 мм2

Sпризм = Sбок. + 2Sосн. =Pосн·h + 2·0,5·Hтреуг.·Lосн. треуг

Sпризм=Pосн·h+ 2·0,5·Hтреуг.Lосн. треуг=18,56·15+6,5·5 =278,4+32,5=310,9мм2

Sцилиндр-ус. кон = πr2ц

Sцилиндр-ус. кон = 3,14·62 = 113,04 мм2

Sус. конус-призма =Hп.·Lосн. треуг

ус. конус-призма =15·5 = 75 мм2

Sдолб. = (29842,56 + 1576,28 + 9·310,9) -2·(113,04 + 9·75)=

= (31418,84 + 2798,1) - 1576,08 = 32640,86 мм2

Sдолб. = 32640,86·10-6 м2

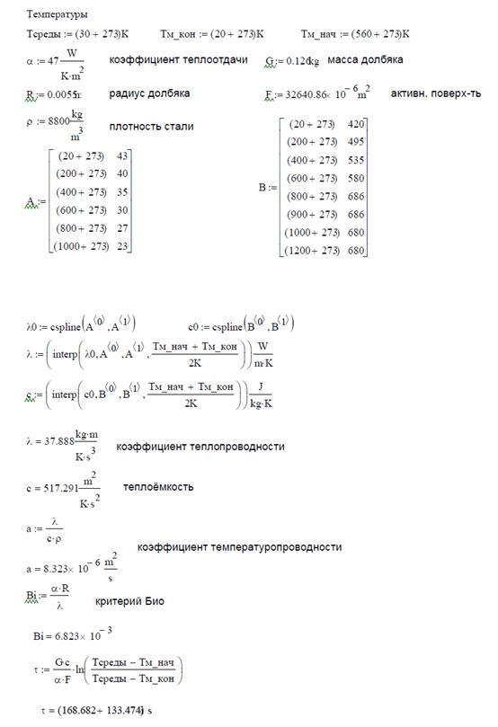
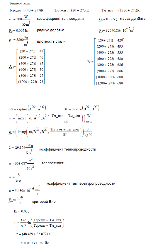
4.2 Нагрев для закалки


4.3 Нагрев для закалки


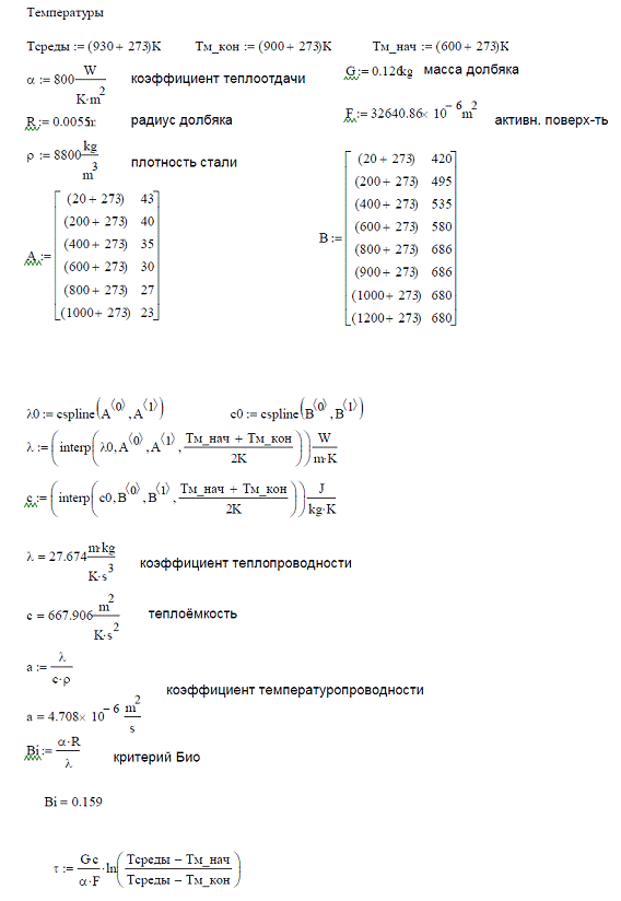
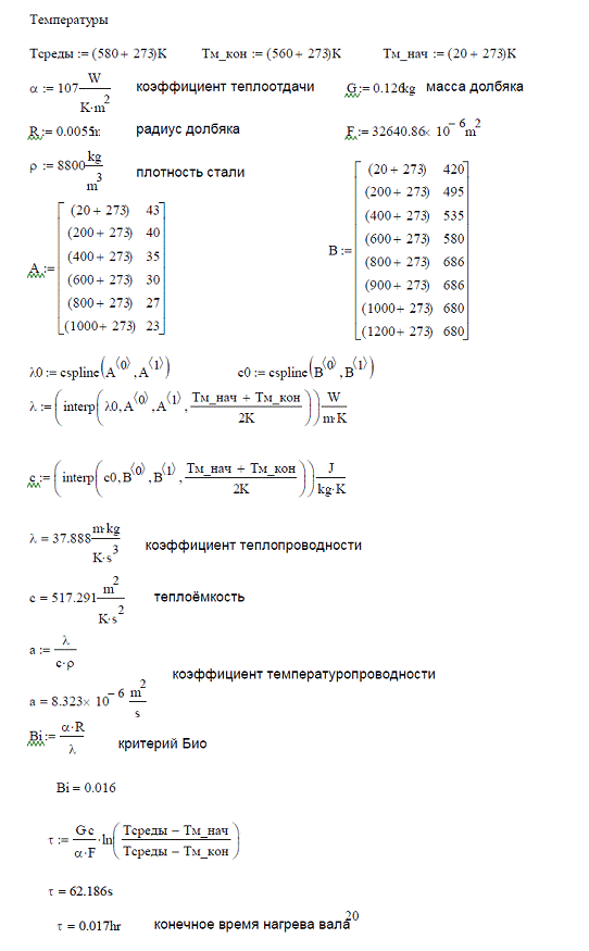
4.4 Охлаждение для закалки

4.5 Нагрев  для отпуска

4.6 Охлаждение для отпуска

Заключение

Проведя данную работу, я установила, что сталь марки Р18 является оптимально подходящей для изготовления долбяка. Проведя исследования данной детали, я определила, что долбяк нуждается в конструктивной прочности, малой чувствительности к концентраторам напряжений, при увеличении работы пластической деформации при движении трещин и обладать достаточно высокой твёрдостью.

Для выполнения необходимых данных условий я назначил режим термической обработки для детали.

зуборезный долбяк термообработка быстрорежущий

Библиографический список

1. Под редакцией Л.Ф.Усовой “Технология металлов и материаловедение”, Москва, “Металлургия “, 1987 г.

. Марочник сталей и сплавов под редакцией В.Г. Сорокина, Москва, “Машиностроение”, 1989г.

. Фиргер И.В. «Термическая обработка сплавов», справочник, Ленинград, “Машиностроение”, 1982г.

. С.Н. Полевой, В.Д. Евдокимов «Обработка инструментальных сталей» Справочник, Киев, «Техника», 1988г.

. А.П. Гуляев “Металловедение”, Москва, “Металлургия”, 1977г.

. Ю.М. Лахтин “Металловедение и термическая обработка металлов, “Металлургия”, 1964г.

Похожие работы на - Термическая обработка долбяка хвостового прямозубого

 

Не нашли материал для своей работы?
Поможем написать уникальную работу
Без плагиата!
Без нейросетей!