Талевий блок типу УТБА-5-170
Зміст
Вступ
.
Технічна частина
.1
Призначення, конструктивні особливості і принцип роботи талевих блоків типу
УТБА-5-170
.2
Умови роботи талевих блоків типу УТБ-5-170 і причини виходу з ладу вузлів і
деталей
.3
Порядок здавання обладнання в ремонт
.
Розрахункова частина
.1
Перевірочні розрахунки деталей талевого блока на міцність
.2
Розрахунок зусиль розпресування і запресування деталей
.
Технологічна частина
.1
Порядок розбирання талевих блоків типу УТБА-5-170
.2
Дефектування деталей і складання дефектовочної відомості
.3
Технологія ремонту деталей згідно з дефектовочною відомістю
.4
Збирання і опробування талевих блоків типу УТБА-5-170 після ремонту
.5
Технічне обслуговування і поточний ремонт талевих блоків типу УТБА-5-170
.6
Карта мащення талевих блоків типу УТБА-5-170
.
Охорона праці
.1
Заходи безпеки при розбиранні, ремонту та збиранні обладнання
Перелік
використаної літератури
Вступ
Нафта і газ широкого вжитку набули тільки в ХХ
столітті. Їх використання мало значний вплив на науково-технічний прогрес
минулого століття. Практично немає такої галузі економіки, в якій не
використовувалась нафта, газ та продукти їх переробки. Вони є головними
сучасними енергоносіями. Щорічний світовий видобуток, який ведеться майже у 80
країнах, досяг гігантських масштабів і становить понад 3 млрд.т нафти та
близько 2 трил.м3 газу.
Високий рівень щорічного видобутку нафти і газу
в світі може призвести до швидкого вичерпання їх запасів із надр Землі. Такі
побоювання не безпідставні: запаси нафти і газу нашої планети, звичайно,
обмежені. Тому перед людством стоїть задача раціонального та економічного їх
використання.
Правда, на сьогоднішній день знайдені не всі
запаси нафти і газу в Україні. Є ще великі території, переважно акваторії
морів, де можуть бути відкриті нові родовища. Недостатньо розвідані також
великі глибини земних надр. Це дає змогу з оптимізмом дивитися на подальший
розвиток нафтової промисловості.
Україна є однією із найстаріших
нафтогазовидобувних держав світу. Промислова розробка нафтових родовищ на території
Прикарпаття почалась понад 120 років тому.
Нафтова галузь об’єднує біля 240 підприємств,
установ і організацій із загальною чисельністю працюючих понад 210 тис.
чоловік.
На протязі останніх 5 років завдяки зусиллям
нафтовидобувних та бурових підприємств вдалося зупинити падіння видобутку нафти
і газу з родовищ України і стабілізувати його на рівні 18,0-18,2 млрд.м3 газу і
4,0-4,2 млн.т нафти з конденсатом.
На сьогодні однією з важливих проблем подальшого
розвитку нафтогазового комплексу є залучення вітчизняних та зарубіжних
інвестицій в освоєння потенційних ресурсів вуглеводів нафтогазоносних регіонів
України і в першу чергу Азовсько-Чорноморського шельфу.
Вагоме місце в нафтогазовому комплексі займає
нафтопереробна підгалузь. Нині в Україні функціонує 6 нафтопереробних заводів
загальною потужністю по первинній переробці 51,1 млн.т нафти на рік. Ці заводи
виробляють понад 50 видів нафтопродуктів і спроможні повністю задовольнити
потреби країни в паливно-мастильних матеріалах.
1. Технічна частина
.1 Призначення, конструктивні особливості і
принцип роботи талевих блоків типу УТБА-5-170
Талевий блок складається із двох подовжених щок,
до яких легким швом з обох сторін приварені накладки. Щоки і накладки
виготовлені із сталі, що характеризується високими механічними якостями.
Верхній частині щоки з’єднуються траверсою, їх нижня частина видалена і має
форму провушин, якими щоки входять в кармани кронштейнів корпуса гака і
з’єднуються з ними за допомогою швидкозйомних осей. В середній частині в щоках виконана
розточка для осі, на якій на підшипниках кочення посаджені шківи.
В нижній частині з правої і лівої сторони щоки
з’єднані стяжками, на яких закріплений захисний кожух, що захищає талевий канат
від випадання із канавок шківів. В середній частині у кожуха знаходиться отвір
для стоку води. З боків блоки захищені легкзйомними захисними кожухами, що
мають в верхній частині прорізи для каната. Ось кріпиться за допомогою двох
гайок, для запобігання їх відкручування вони стопоряться стопорною планкою.
Таблиця 1.1- Технічна характеристика талевого
блоку УТБ-5-170
|
Параметри
|
Значення
|
|
Вантажопідйомність,
кН
|
1700
|
|
Число
канатних шківів
|
5
|
|
Діаметр
шківа по дну канавки, мм
|
28
|
|
Діаметр
осі шківів, мм
|
170
|
|
Підшипник
шківа
|
2×42234
|
|
Габарити,
мм - ширина по осі - ширина - висота
|
1090
1410 2300
|
|
Маса,
т
|
4,4
|
1.2 Умови роботи талевих блоків типу УТБ-5-170 і
причини виходу з ладу вузлів і деталей
За характером дії навантаження, що діють на
агрегати талевої системи поділяють на статичні та динамічні.
Несистематичні та випадкові навантаження діють
рідко і навантаження на гак в таких випадках передається повільно, а динамічне
навантаження не перевищує 5-15 % від статичного. Для запобігання руйнування
частин підйомного механізму навіть від одноразової дії максимальних навантажень
проводяться розрахунки на міцність і дію цих сил як розглядають статичних.
Отримані при цьому напруження порівнюють з границею текучості, і визначають
коефіцієнт запасу міцності.
Систематичні навантаження на гак розглядають як
динамічні, що викликають циклічно діючі коливання. За цими навантаженнями з
урахуванням частоти їх дії розраховують деталі підйомного механізму на
довговічність.
Зі збільшенням швидкості підйому і жорсткості
системи пружні динамічні навантаження зростають, оскільки прискорення збільшують
не лише за рахунок зміни швидкості руху, але і за рахунок зменшення періодів
коливань при менших податливостях деталей, що служать пружними зв’язками.
При гальмуванні під час спуску колони
коливальних процесів в талевих системах майже не спостерігають, оскільки процес
гальмування намагаються вести плавно.
Умови роботи бурового обладнання багато в чому
відрізняються від умов роботи інших машин. Як правило, бурове обладнання працює
майже на відкритому повітрі, і на нього діють усі шкідливі чинники
навколишнього середовища. Крім того обладнання працює в умовах корозійного
середовища глинистого розчину, солоної води, нафти тощо, що попадають в нього в
процесі роботи. Ці та інші причини викликають інтенсивний знос деталей бурового
обладнання. Крім нормального зносу, в умовах експлуатації бурового обладнання
бувають випадки аварійного зносу і поломки окремих деталей.
На знос канатів дуже сильно впливає форма
канавки шківа, величина тиску між канатом і поверхнею канавки. Знос дротів не
може бути основною причиною руйнування каната. У той же час з практики
експлуатації талевих систем відомо, що найбільшому руйнуванню канат піддається
на барабані лебідки, де умови тертя найжорсткіші.
Таким чином, небезпеку являє не стирання дротів
при терті між собою і на шківах, а мікротертя (фректтінг) в місці контакту.
Добре змазані канати з гарно промасленим сердечником, витримують в 1,5-2 рази
більше перегинів, ніж незмазані. Бурові талеві канати не потребують додаткової
змазки оскільки внаслідок недовгочасної їх служби змазки, що закладають в канат
при його виготовленні, достатньо.
Деталі кронблоків і талевих блоків, що
піддаються дії основних вказаних навантажень (осі, рами, шківи, бокові щоки,
підвіски гака, пальці), розраховують на статичну міцність за найбільш можливим
діючим навантаженням при найбільшій вантажопідйомності.
При статичному навантаженні зусилля, що діють на
всі шківи, однакові; під час руху талевого блоку зусилля на кожному шківі
будуть різні, а як наслідок, сили що діють на повздовжні балки і осі кронблока,
талевого блока і ноги вишки, також будуть різні.
Підшипники кочення шківів вибирають за
конструктивними розмірами і визначають їх теоретичну довговічність за
еквівалентними навантаженнями.
.3 Порядок здавання обладнання в ремонт
На проведення ремонтних робіт та приймання машин
в ремонт існують технічні умови, де викладено основні вимоги, яким вони повинні
відповідати. Відповідно до цих вимог при здаванні машини чи агрегату в ремонт
необхідно представити таку документацію :
− акт періодичного технічного огляду;
− акт приймання машини з попереднього
ремонту;
− заводський технічний паспорт (формуляр)
з необхідними відмітками
про попередні ремонти, наробіток тощо;
− накладні на вузли, які замінені в
процесі експлуатації машини;
− акт про розслідування аварії (при умові,
що машина вийшла з ладу
внаслідок аварії).
Здає обладнання в ремонт представник технічної
служби підприємства (відділу головного механіка, служби ППР тощо). Приймає
працівник служби технічного контролю ремонтного підприємства чи цеху, який
проводить його зовнішній огляд. Зовнішнім оглядом визначають комплектність
обладнання (допускається відсутність до 10% кріпильних деталей. Не допускається
заміна придатних вузлів та деталей на непридатні), механічні пошкодження,
технічний стан вузлів.
Приймання в ремонт обладнання оформляють актом,
який містить дані про наробіток після попереднього ремонту, стан базових
деталей, дефекти аварійного характеру.
2. Розрахункова частина
.1 Перевірочні розрахунки швидкозношуваних
деталей обладнання талевої системи
Визначення натягу в струнах талевої системи
Рисунок 2.1 - Кінематична схема талевої системи
Натяг ходової вітки талевого канату:
(2.1)
де
-
ККД талевої системи:
(2.2)
де β - коефіцієнт
опору шківа; β = 1,03;
n - кількість віток талевої системи; n = 10.
Qmax - максимальна вантажопідйомність талевого
блоку, кН; Для талевого блоку УТБА-5-170 Qmax = 1700 кН;
- вага талевого
блоку, кН;
= 44 кН.
Зусилля в струнах талевої системи:


(2.3)
Натяг нерухомої вітки талевого
канату
(2.4)
Перевірочний розрахунок деталей талевого блоку
на міцність
Визначаємо зусилля під шківами

=
ΣМв=0;
Звідки

= =
Перевірка:
Визначаємо опорні реакції правої
осі.
;
звідки
;
звідки
Перевірка:
Визначаємо згинаючі моменти.
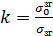
Отже, більш навантаженою є ліва
вісь. Визначаємо напруження згину, що виникають у матеріалі осі, визначивши
осьовий момент опору перерізу за формулою:
(2.5)
Визначаємо коефіцієнт запасу
міцності на згин.
(2.7)
де
- границя міцності матеріалу при
від нульовому циклі навантажень, МПа:
(2.8)
де
-
границя міцності матеріалу, МПа. Для сталі 40ХН
=1000МПа.
Перевірочний розрахунок підшипників канатних
шківів
З п’яти пар підшипників талевого блоку
УКТА-5-170 найбільш навантаженими є підшипники лівого шківа лівої осі (рисунок
2.2). В якості опори канатних шківів у даного талевого блоку застосовано по два
роликові однорядні радіальні підшипники 42234 з такими характеристиками:
внутрішній діаметр d=170мм;
зовнішній діаметр D=310мм;
ширина В=52мм;
діаметр роликів
=32мм;
довжина ролика l=32мм;
вантажопідйомність С=628кН,
=630кН;
кількість роликів z=20.
Максимальні контактні напруження, що виникають у
підшипнику за при
:
(2.9)
Для сталі ШХ15 границя міцності за контактними
напруженнями
=3500МПа. Тоді
коефіцієнт запасу міцності:
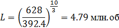
Номінальна довговічність підшипника.
(2.10)
де р - показник степеня. Для роликових
підшипників
Довговічність підшипника:
(2.11)
де
-
частота обертання шківа:
(2.12)
де
-
частота обертання барабана лебідки. Розглядувана талева система експлуатується
в комплекті бурової установки Уралмаш 4000ДГУ. На першій швидкості
- діаметр барабану
лебідки з урахуванням одного ряду канату, м.
Взявши за основу лебідку типу ЛБУ - 1100,
=778мм;
- діаметр шківа
талевого блоку по дну канавки, м;
=900
мм.
об/хв
год
Роботи при максимальному навантаженні
Перевірочний розрахунок опори траверси
В якості опори траверси у даного талевого блоку
застосовано кульковий упорний підшипник 8268Л з такими характеристиками:
внутрішній діаметр d=340мм;
зовнішній діаметр D=460мм;
висота Н=96мм;
діаметр кульки
=44,4мм;
кількість кульок z=25.
Максимальні контактні напруження, що виникають у
підшипнику:
Тоді коефіцієнт запасу міцності:
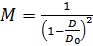
.2 Розрахунок зусиль для розпресування і
запресування деталей
Визначимо зусилля для розпресування і
запресування зовнішнього кільця підшипника 97744 (зовнішній діаметр 300мм,
ширина 100мм). Отвір маточини під підшипник 300Р7 (
)мм. Граничні відхилення зовнішнього кільця підшипника (клас точності 6) еі =
-20 мкм, es = 0.
Будуємо схему розміщення полів допусків
Рисунок 2.5 - Схема розміщення полів допусків
Зусилля запресування (розпресування):
(2.13)
де
-
максимальний натяг в з’єднанні, мм:
(2.14)
- коефіцієнт тертя
запресування (розпресування);
=0.13;
=0,1;
Е - модуль пружності матеріалу деталей, Па; для
стальних деталей Е=2,1*
Па;
М - геометричний коефіцієнт:
(2.15)
де
-
середній діаметр кільця, м;
=287 мм.
Тоді:
3. Технологічна частина
.1 Порядок розбирання талевих блоків типу
УТБА-5-170
При розбиранні талевого блока УТБА-5-170
спочатку розшплінтовують та відкручують гайки кріплення захисних кожухів,
витягують пальці і знімають захисні кожухи. Потім з торців осей траверси
викручують про три болти, знімають стопорні планки і випресовують осі зі щік.
Від талевого блоку від’єднують траверсу. Розбирають стопорний пристрій стакана
траверси; в нижній частині скоби відкручують болти і виймають із стакана змінну
втулку. Випресовують валики, що з’єднують скобу зі стаканом, знімають скобу, з
траверси виймають стакан з упорним підшипником.
Відкручують болти, що з’єднують раму з щоками в
верхній частині, і від’єднують секції разом із щоками від рами. Відкручують
гайки осей канатних шківів, вибивають і виймають осі зі щік. З корпусів секцій
виймають канатні шківи.
Після розбирання деталі промивають, дефектують,
результати дефектування заносять до дефектовочних відомостей.
.2 Дефектування деталей і складання
дефектовочної відомості
Зношення та дефекти в залежності від їх
характеру визначають такими способами:
візуальний огляд - для виявлення видимих неозброєним
оком дефектів;
простукуванням;
на дотик;
вимірюванням;
застосуванням спеціальних пристосувань;
дефектоскопією;
гідравлічним або пневматичним випробуванням.
При дефектуванні деталі маркують за такими
ознаками:
− зеленою фарбою -придатні деталі;
− жовтою фарбою -деталі, придатні до
експлуатації тільки при спряженні з новою або відремонтованою деталлю;
− білою фарбою -деталі, які можна
відремонтувати на даному підприємстві;
− синьою фарбою -деталі, що необхідно
ремонтувати на спеціалізованому підприємстві;
− червоною фарбою -деталі, що непридатні
до експлуатації та ремонту.
Виявлення скритих дефектів в середині та на
поверхні матеріалу, які є притаманними для більшості нафтопромислового
обладнання, без його руйнування проводять з допомогою дефектоскопії. На
підприємствах нафтогазового комплексу найбільше застосування отримали такі види
дефектоскопії:
ультразвукова дефектоскопія;
магнітна дефектоскопія;
капілярна дефектоскопія.
Окрім цього застосовують такі способи як
рентгенівська дефектоскопія та різні способи руйнівного контролю.
Суть ультразвукової дефектоскопії полягає в
здатності ультразвукових коливань проникати в глибину матеріалу деталі яка
контролюється і вибиватися від дефектів, які є порушенням суцільності
матеріалу. Ультразвуковими коливаннями називаються пружні механічні коливання з
частотою більше 20 кГц.
Для випромінювання і прийому ультразвукових
коливань використовують п’єзоелектричні перетворювачі - пластики, які
виготовлені з монокристалів кварцу, сульфату літію та інших матеріалів.
Ультразвукові коливання поширюються у вигляді
вузьких направлених пучків. Направленість ультразвукових коливань і здатність
їх відбиватися від межі розподілу двох середовищ використовуються для виявлення
в матеріальних тріщинах, розшарувань, пор, газових і шлакових включень і зміни
товщини деталі.
Існують різні методи ультразвукової
дефектоскопії: тіньовий, резонансний та імпульсний ехо-метод.
З деталей обладнання талевої системи
дефектоскопію проходять такі деталі: осі кронблоку та талевого блоку, пальці,
ствол гака, вісь бокових рогів.
Перелічені деталі підлягають перевірці
ультразвуковим або капілярним методом. Різьба під перевідник у ствола
перевіряється ультразвуком. Вона контролюється за допомогою призматичної
шукальної головки з кутом призми 500 на частоті 2,5 МГц прямим променем.
Корпус гака в процесі експлуатації псується по
кишеням. Кишені контролюються ультразвуковим методом з допомогою призматичної
шукальної голівки з кутом призми 40° на частоті 1,8 МГц прямим променем.
Переміщують шукач зигзагоподібно по ділянці кишені, яка прилягає до корпусу;
товщина кишені у цьому місці 25 мм.
Канатні шківи вибраковують при наявності тріщин
або відколів будь-якого розміру та розміщення.
Осі вибраковують при наявності тріщин або
відколів будь-якого розміру та розміщення, а також викривленню (згині) понад
0,3 мм.
Пластинчатий гак вибраковують при наявності
тріщин.
Після проведення дефектування деталей на кожен
агрегат талевої системи, що поступив в ремонт, складається дефектовочна
відомість, в яку заносяться дані про дефектні деталі, приводяться виявлені
дефекти та робиться висновок про доцільність ремонту. На основі дефектовочної
відомості уточнюють потребу в запасних частинах і матеріалах, об’єм робіт,
необхідний для ремонту обладнання і відновлення зношених деталей.
.3 Технологія ремонту деталей згідно з
дефектовочною відомістю
Заміна роликопідшипників канатних блоків
визивається недопустимим люфтом чи поломкою. Підшипники в яких радіальний зазор
більше 0,5 мм, підлягають заміні. Перед встановленням нових підшипників
необхідно перевірити розмір отвору в маточині блока, який в спряженні з
фактичним розміром зовнішнього діаметра верхнього кільця підшипника повинен
гарантувати зборку з натягом 0,035 мм. Перед установкою підшипника блок
попередньо нагрівають до 100 - 160°С, що полегшує монтаж і зменшує знос
посадочного отвору блока.
Жолоби канатних шківів ремонтують способом
ремонтних розмірів або наплавленням з подальшою механічною обробкою.
Зношені поверхні осей відновлюються металізацією
або наплавленням з подальшою термічною обробкою - нормалізацією та механічною
обробкою.
Щоки талевого блока замінюють при наявності
тріщин. Ремонтують гільзуванням посадочних поверхонь осі шківів та пальців
гака.
Проводять заміну або відновлення канатних
шківів. Замінюють при відколах і тріщинах будь-якого характеру і розташування,
а також при зносі профілю канавки шківа більше 5 мм. Профіль канавки
відновлюють переведенням на ремонтний розмір, посадочні отвори маточин
відновлюють гільзуванням з наступною обробкою до номінального розміру.
При кожному капітальному ремонті вісь талевого
блока перевіряють магнітним або ультразвуковим дефектоскопом. Заміна осей
проводиться при прогині більше 0,3 мм і тріщинах будь-якого характеру і
розміщення. Ремонтують осі металізацією з наступною обробкою до номінального
розміру.
Кожухи ремонтують рихтуванням і заварюванням
тріщин.
Після ремонту деталей перед збиранням талевого
блоку необхідно очистити від бруду кожен мастильний канал в осі, промиваючи
його гасом або продуваючи стиснутим повітрям.
.4 Збирання і опробування талевих блоків типу
УТБА-5-170 після ремонту
Збирання талевого блока проводиться у
послідовності, зворотній до розбирання.
Обкатування необхідне для припрацювання
відремонтованих деталей, в результаті якої збільшуються опорні поверхні в
місцях спряження за рахунок деформації і зносу мікронерівностей, що залишилися
після механічної обробки. Процес обкатки полягає в тому, що зібраний вузол,
агрегат або машину приводять в дію спочатку з невеликою, а потім з наростаючим
навантаженням при звичайному змащенні, примушуючи тертьові поверхні деталей
взаємно припрацьовуватись. Обкатування і випробування здійснюють на спеціальних
стендах.
Особливу роль при обкатуванні займає змащення.
Іноді при обкатці застосовують мастило з зменшеною в’язкістю в порівнянні з
мастилом рекомендованим для експлуатації. Це викликано тим, що зазори в
спряженнях відремонтованих деталей мають малу величину. Із-за великої
шорсткості тертьових деталей спряжень сильно нагріваються, тому для
інтенсивного відводу тепла необхідне рясне мащення.
Розрізняють холодне і гаряче обкатування.
Холодне обкатування проводиться для перевірки правильності балансування шківів
талевого блока і підгонки підшипників. Гаряче обкатування проводять з
наростаючим навантаженням.
Після обкатки замінюють мастило з попереднім
промиванням каналів гарячим гасом.
Основні вимоги до відремонтованих талевих
блоків:
− всі деталі повинні бути виготовлені або
відремонтовані у відповідності до діючих креслень та технічних умов;
− зварні шви не повинні мати тріщин та
раковин або газових бульбашок;
− опорні поверхні щок повинні бути
паралельними;
− канатні шківи повинні обертатися від
зусилля однієї руки, при цьому сусідні шківи повинні бути нерухомі;
− биття канавок шківів не повинно
перевищувати 0,5мм в радіальному і 1мм в торцевому;
− всі різьбові з’єднання повинні мати
надійне запобігання від самовідгвинчування;
− маслопровідні канали осей повинні бути
промиті і заповненні свіжим мастилом;
− талевий блок повинен бути пофарбований
стійкою фарбою.
.5 Технічне обслуговування і поточний ремонт
талевих блоків типу УТБА-5-170
Правильне і своєчасне технічне обслуговування
кронблока| забезпечує| тривалу і безвідмовну його роботу. Технічний огляд
повинен проводиться перед початком кожної зміни. Перелік основних перевірок
технічного стану приведено в таблиці 2.1.
|
Що
перевіряють
|
Технічні
вимоги
|
|
Надійність
кріплення запобіжної планки болтами і наявність дроту, що запобігає
відкручуванню|запобігає|. Перевірка стану пружинних маслянок. Зовнішній огляд
|
|
|
Легкість
обертання кожного шківа окремо
|
Шків
повинен обертатися від руки вільно без зачіпання і шуму в підшипниках|, при
цьому сусідні шківи повинні бути нерухомі
|
|
Наявність
мастила|змащування| в підшипниках шківів|гака|
|
Необхідно
регулярно змащувати підшипники відповідно карти мащення і стежити за тим, щоб
мастильні|мастильні| канали не були забиті брудом|
|
|
Що
перевіряють
|
Технічні
вимоги
|
|
Температура
підшипників талевого| блоку
|
Не
вище 70°С
|
|
Знос
профіля жолоба шківів
|
Зсув|зміщення|
осі симетрії жолоба від середньої площини|плоскості| шківа не більше 2мм.
Радіальне биття не більше 0,5мм. При виявленні| нерівномірності| зносу жолоба
потрібно повернути|обернути| талевий| блок на 180°С. Максимально допустимий|
знос жолоба шківа 6мм
|
|
Установка
кожухів
|
|
Надійність
кріплення всіх різьбових з’єднань
|
Всі
болти і гайки повинні бути надійно затягнуті, зашплінтовані
|
До основних робіт поточного ремонту талевих
блоків відносяться:
− перевірка і підтягування всіх болтових
з’єднань. Перевірка кріплення і стану пружинних маслянок;
− перевірка легкості обертання шківів;
− зачищення напливів на поверхні контакту
серги з штропом гака (при наявності);
− перевірка шаблоном профілю канавки
шківів і заміна їх при зносі більше 5 мм;
− заміна зношених підшипників;
− мащення підшипників в суворій
відповідності до карти мащення;
− перевірка стану і ремонт захисних
кожухів.
До основних робіт поточного ремонту бурових
гаків відносяться:
− перевірка і підтягування всіх болтових
з’єднань. Перевірка кріплення і стану пружинних маслянок;
− перевірка кріплення бокових скоб і
зачистка напливів на поверхні контакту зі штропами;
− зачистка напливів на подушці гака в
місці контакту зі штропом вертлюга;
− перевірка роботи і ремонт стопора і
защіпки гака;
− заміна пружини ствола при поломці чи
осадці її до граничного значення;
− мащення гака в суворій відповідності до
карти мащення.
.6 Карта мащення талевих блоків типу УТБА-5-170
В талевих блоках типу УТБ-5-225 мащення
відбувається через пресмасленки, які вкручені в торцеву поверхню осі талевого
блока, за допомогою ручного шприца по 200 грам на кожний шків. Талевий блок
змащується в місці з'єднання з гаком по 20 грам. Для мащення використовують
універсальне середньоплавке мастило марок УС-1, УС-2, УС-3.
4. Охорона праці
.1 Заходи безпеки при розбиранні, ремонті та
збиранні обладнання
Велике значення для організації безпечного
проведення ремонтно-механічних робіт має правильна організація робочих місць
працівників. Робочі місця повинні бути забезпечені площею, достатньою для
розміщення основного та допоміжного обладнання й інструментів, а також для
зберігання оброблюваної продукції, пристосувань та інструментів, які
застосовуються при ремонті. Стелажі для розміщення матеріалів та деталей повинні
бути розраховані на максимально можливе навантаження, яке виникає у процесі
роботи, та мати надписи про допустимі навантаження.
Робочі місця, на яких здійснюється обробка чи
ремонт важких деталей або вузлів масою більше 16 кг, повинні обладнуватися
вантажопідйомним обладнанням - талями чи кранами.
Робочі місця слюсарів-ремонтників, токарів,
робочих на молотах та пресах повинні обгороджуватися сіткою, яка не допускає
розлітання металу, обрубків чи окалини.
Металообробні верстати (токарні, фрезерні тощо)
повинні бути справними і відповідати вимогам діючих правил безпеки. Передачі
верстатів, які розміщені поза корпусом і несуть загрозу травмування, повинні
мати огородження.
Верстати, призначені для обробки важких деталей,
повинні бути обладнані вантажопідйомними пристосуваннями.
Кнопки електричних пускових пристроїв повинні
бути захищені від попадання в них металічного пилу та масла, їх конструкція
повинна виключати можливість випадкового пуску верстата.
При роботі на металообробних верстатах повинні
вживатися заходи, що виключають травмування працівників стружкою. При точінні,
фрезеруванні, струганні та свердлінні крихких матеріалів утворюється стружка
сколювання, яка, розлітаючись від місця різання, може травмувати очі, обличчя
та руки. Основним засобом для захисту від стружки сколювання є екрани, щитки,
окуляри. При обробці в’язких матеріалів (при токарних та свердлильних роботах)
може утворюватися стружка зливання, яка має гострі кромки, а при швидкому
різанні - нагріта до температури 600-700ºС
і являє серйозну загрозу працюючим.
Для попередження утворення стружки зливання
застосовують різці та свердла спеціальної геометрії або спеціальні стружкоколи.
Застосування цих інструментів у поєднанні з автоматичним прибиранням стружки
підвищує безпечність проведення робіт.
При роботі на металообробних верстатах
забороняється:
працювати в рукавицях або рукавичках, а також із
забинтованими пальцями;
гальмувати верстат, нажимаючи рукояткою на
патрон, деталь чи привідний шків, а також передавати через верстат деталі чи
інструменти;
стояти навпроти патрона чи шліфувального круга,
що обертається;
встановлювати чи міняти інструменти на ходу;
охолоджувати ручний інструмент матеріалами,
намоченими водою та інше;
При роботі на вертикально- та
радіально-свердлильних верстатах деталі повинні встановлюватися в спеціальні
пристосування - тиски, призми тощо, закріплені на столі верстата. Стружка з
отворів видаляється лише після зупинки верстата, відводу інструмента
спеціальними пристроями.
При роботі на свердлильних верстах забороняється:
установка і зняття деталей під час роботи
верстата;
використання для роботи інструмента зі зношеними
конусами, боковими кромками та хвостовиками.
Для роботи слід приймати тільки абразивні круги,
які мають відмітку про випробування. Перед установкою на верстат круги повинні
бути перевірені на відсутність тріщин та випробувані.
Загальне методичне та технічне керівництво
ремонтними роботами здійснюється головним механіком. До виконання ремонтних
робіт допускаються тільки досвідчені слюсарі.
Як правило, в умовах ремонтних цехів розбирання
і збирання обладнання здійснюється на стендах, що забезпечує зручність та
безпечність робіт.
Особливу обережність слід виявляти при зніманні
деталей обладнання. Підшипники, втулки, гнізда клапанів знімаються із застосуванням
спеціальних зйомників чи пресів. Здійснювати збирання та розбирання деталей за
допомогою кувалд та молотків забороняється.
Слюсарний, ріжучий та інший інструмент повинні
відповідати діючим вимогам та технічним умовам.
Інструменти із загостреними кінцями для
насаджування ручок (напилки, викрутки) повинні мати ручки відповідного розміру,
але не менше 150мм. Застосувати інструменти без ручок забороняється. Зубила,
керна, молотки повинні бути без тріщин, наклепу. При роботі з цими
інструментами робітники повинні використовувати окуляри.
Після закінчення ремонту перед перевіркою
агрегату слюсар-збиральник зобов’язаний перевірити надійність кріплення
деталей.
Зварювальні роботи повинні проводитись або в
спеціальних приміщеннях, або на відкритому повітрі. До виконання зварювальних
робіт допускаються зварювальники, які здали екзамени з Правил атестації
зварювальників.
Зварювальний агрегат повинен бути захищений
запобіжниками та автоматичними вимикачами. Безпека робіт досягається
заземленням корпусів джерел зварювального струму, зварювальних столів та
застосуванням спеціальних затискачів. Зварювальники при виконанні робіт повинні
застосовувати щитки або маски, які закривають все обличчя. Виконання
зварювальних робіт повинне проводитися в спеціальному одязі та рукавицях.
Під час газовогневих робіт необхідно
дотримуватися заходів безпеки при транспортуванні балонів із стиснутими
газами.Такі роботи повинні проводитись на відстані 5м від кисневих балонів та
балонів з горючими газами. Забороняється сумісне зберігання балонів з горючими
газами та кисневих балонів.
Місця вантажно-розвантажувальних робіт необхідно
утримувати в чистоті та порядку. Виконуються роботи під керівництвом
досвідченої особи, відповідальної за дотримання правил завантажування,
розвантажування та переміщення вантажів особами, які навчені безпечному
виконанню робіт і мають посвідчення про право їх виконання.
При проведенні вантажно-розвантажувальних робіт
забороняється піднімати вантажі, маса яких більше максимально допустимої,
одночасно піднімати вантажі та людей, піднімати вантажі, примерзлі до ґрунту
або завалені іншими вантажами.
Перелік використаної літератури
1
Авербух Б.А. Ремонт и монтаж бурового и нефтегазопромыслового
оборудования
- М.: Недра, 1976.
Кузнецов
В.С. Обслуживание и ремонт бурового оборудования - М.: Недра, 1973.
Куцын
П.В. Охрана труда в нефтяной и газовой промышленности -М.: Недра, 1987.
Малов
А.Н. и др. Общетехнический справочник -М.: Машиностроение, 1982.
5
Палашкин Е.А. Справочник механика по глубокому бурению - М.: Недра, 1981.
Раабен
А.А. Ремонт и монтаж нефтепромыслового оборудования - М.: Недра, 1989.
Тихонов
Н.В. и др. Ремонт геологоразведочного оборудования - М.: Недра, 1973.
талевий блок ремонт розпресування
Элияшевский
И.В. и др. Типовые задачи и расчеты в бурении -М.: Недра, 1972.