Водоносные коллекторы и водоупоры горных пород
Оглавление
Введение
Глава
1. Природные ёмкости подземных вод
.1 Типы
природных емкостей подземных вод
.2 Водоносность
кристаллических пород
.3 Водоносность
трещиноватых пород
Глава
2. Водно-физические свойства горных пород
.1 Геометрия
и свойства порово-трещинного пространства
.2 Влагоемкость
горных пород
.3 Виды
воды и взаимодействия в системе «горная порода - подземные воды»
Глава
3. Закономерности распространения подземных вод в горных породах
.1 Гидрогеологическая
стратификация
.2 Закономерности
локализации подземных вод в горных породах
.3 Систематика
подземных водоносных систем
Глава
4. Гидрогеологическая стратификация Прикаспийской впадины в пределах
Астраханской области
.1 Основные
гидрогеологические подразделения
.2 Водоносные
горизонты и комплексы осадочного чехла
Заключение
Список
литературы
Введение
Природный коллектор - пласт горных пород с высокой
пористостью и проницаемостью, содержащий определенное количество запасов
подземных вод, нефти или газа. Основными классификационными признаками коллектора
являются условия фильтрации и аккумуляции в них подземных вод и пластовых
флюидов. По этим условиям коллекторы делятся на простые (поровые и чисто
трещинные) и сложные (трещинно-поровые и порово-трещинные).
Чисто трещинные, трещинно-поровые и порово-трещинные
коллекторы часто объединяют понятием «трещинные коллекторы», подразумевая, что
фильтрация в таких коллекторах при отсутствии в них трещиноватости была бы
затруднена или невозможна.
Каждый из перечисленных типов коллекторы связан с
определенными типами горных пород и характеризуется своими особенностями
стационарной, нестационарной и двухфазной фильтрации, а также приуроченностью
пластового флюида к тому или иному типу пустотного пространства. Коллекторы
классифицируются по проницаемости независимо от типа фильтрующих пустот.
По рентабельности промышленной эксплуатации коллекторы делят
на эффективные коллекторы и неэффективные.
Коллектор эффективный - коллектор, обладающий такими
емкостными и фильтрационными свойствами, которые обеспечивают рентабельность
промышленной эксплуатации месторождения в конкретных геолого-технических
условиях.
По мере освоения любого гидрогеологического или
нефтегазоносного бассейна минимальные значения промышленно-рентабельных дебитов
и запасов уменьшаются. Если не принимать во внимание величину промышленных
запасов в коллекторе, то можно пользоваться термином коллектор эффективный,
условно ограничивая его каким-либо единым для любых бассейнов значением
проницаемости (например, 0,001 мД) или дебита (например, 3 м3/сут жидкости
при депрессии па пласт 10 МПа).
Доля коллектора эффективного в составе коллекторов колеблется
в очень широких пределах (от долей процента до десятков процентов в зависимости
oт состава коллекторов и степени их уплотнения).
На примере обновления легенды к гидрогеологической карте
масштаба 1:200000 Нижневолжской серии приводятся определения и принципы
гидрогеологической стратификации, а также дается краткое описание основных
водоносных комплексов, слагающих осадочный чехол Прикаспийской впадины.
Глава 1. Природные ёмкости подземных вод
Проведение границ между геологическими телами, заполненными
водой, во многом зависит от четкого представления об их систематике и
соподчиненности друг с другом. Выделение природных емкостей подземных вод и их
пространственное картирование - одна из первоочередных задач гидрогеологии.
Природная емкость подземных вод имеет различные наименования.
Многие ее называют «водонапорная система» (Л.М. Овчинников, В.II. Корценштейн и
др.), иногда «геогидродинамическая система» (Б. А. Тхостов, Л. А. Карцев и др.)
или «водообменная система» (П. Ф. Швецов и др.). Имея целевое назначение, эти
термины характеризуют лишь динамику и не затрагивают подземных вод в целом.
Собирательный термин (для водоносного пласта, бассейна подземных вод и т.д.)
должен быть более емким. В иностранной литературе (США, Чехия. Германия)
используется термин «тело подземных вод» (Jetel, 1973; Richter, Lillich, 1975).
Но подземные воды не образуют самостоятельного тела, они заполняют
геологическое тело или правильнее, содержатся в нем.
Самым подходящим наименованием был бы термин «водоносная
система». Однако он слишком широкий и общий. Предпочтение следует отдать
термину «резервуар подземных вод (гидрогеологический резервуар)». Это -
подземная водоносная система. Понятие о природных резервуарах успешно
используется в нефтегазовой геологии. В последние годы оно проникает и в
гидрогеологию [Пиннекер, 1977]. Слово «резервуар» с дополнением «подземных вод»
пли определением «гидрогеологический» достаточно полно отражает собирательное
понятие емкостной среды подземной гидросферы.
Гидрогеологический резервуар, т. е. подземная водоносная
система, - это не только коллектор или хранилище подземных вод. Когда резервуар
обладает сложным строением, в нем сочетаются коллекторы и водоупоры (точнее,
изоляторы). В зависимости от положения в пространстве, резервуар подземных вод
по гидравлическому механизму может быть и накопителем, и проводником. Отсюда
следует, что это понятие характеризует как статику, так и динамику подземных вод.
Таким образом, подземная водоносная система есть обособленное
и содержащее воду геологическое тело, характеризующееся общностью
пространственного распределения, перемещения и формирования подземных вод.
.1 Типы природных емкостей подземных вод
Разграничение природных емкостей подземных вод учитывает
этажное строение верхней части земной коры. В пределах платформенных и
складчатых регионов различаются два этажа:
) фундамент - нижний этаж, сложенный главным образом
кристаллическими (магматическими и метаморфическими) породами, часто смятыми в
складки и интенсивно дислоцированными;
) чехол - верхний этаж, представленный преимущественно
осадочными породами, которые имеют спокойное залегание и слабо дислоцированы.
Внеэтажное положение занимают молодые вулканогенные
образования, дайковые фации и зоны разломов. Сверху залегает покров рыхлых
четвертичных отложений (на фундаменте, чехле, вулканогенных образованиях и т.
д.).
Фундамент, будучи выведен на поверхность, имеет раскрытую
гидрогеологическую структуру, а чехол в области погружения фундамента
отличается хорошей гидрогеологической закрытостью. В фундаменте сосредоточены
трещинные и жильно-трещинные воды. На больших глубинах он обводнен локально.
Для чехла характерны поровые и разнообразные пластовые воды.
В зависимости от соотношения структурно-гидрогеологических
этажей и господствующего типа подземных вод Я. И. Толстихин, Г. Н. Каменский и
И. К. Зайцев устанавливают два основных типа природных резервуаров, заполненных
водой:
) артезианские бассейны - погружения, выполненные
преимущественно слоистыми осадочными породами и состоящие из чехла и
подстилающего его фундамента;
) гидрогеологические массивы - выступы фундамента, обычно
лишенные чехла; в них господствующее значение имеют трещиноватые
кристаллические породы.
В платформенных регионах типично преобладание крупных
артезианских бассейнов и подчиненных им гидрогеологических массивов. Складчатым
регионам свойственно широкое развитие гидрогеологических массивов и
ограниченное - артезианских бассейнов.
Некоторые гидрогеологи избегают термина «гидрогеологический
массив», называя последний бассейном трещинных вод. Однако бассейн и массив
отличаются по форме геологического тела, распределению, питанию, стоку и
разгрузке подземных вод. Различны и содержащиеся в них водные ресурсы, а в
конечном итоге - закономерности и история формирования подземных вод. Поэтому
нет оснований отказываться от одного из этих фундаментальных подразделений.
Артезианские бассейны отвечают отрицательным тектоническим
формам - мульдам, впадинам, синклиналям с прилегающими склонами. Они содержат
водоносные пласты. Для верхних горизонтов характерны грунтовые порово-пластовые
воды; в зонах разломов, интрузивных телах и неглубоком фундаменте встречаются
напорные жильно-трещинные воды, но превалируют напорные пластовые воды. По
ведущим водно-коллекторским свойствам пород артезианский бассейн образует
резервуар разнообразных пластовых вод.
Гидрогеологические массивы относятся к положительным
тектоническим формам. Это поднятия складчатых сооружений, в них слоистость
существенно утратила гидрогеологическое значение. Водопроницаемость пород
определяется трещиноватостью и разрывными нарушениями. Преимущественно развиты
грунтовые трещинные и напорные жильно-трещинные воды, хотя в покровах
встречаются порово-пластовые воды. Следовательно, по характеру распределения
подземных вод гидрогеологический массив представляет резервуар трещинных и
жильно-трещинных вод.
И в бассейнах, и в массивах подземные воды движутся от
области питания к области стока и дренируют резервуар или выходят на
поверхность в области разгрузки.
Для артезианских бассейнов в целом характерна
центростремительная направленность подземного стока. Правда, на ранних стадиях
развития при отжатии поровых вод из уплотняющихся осадочных толщ проявляется
противоположное движение подземных вод. Обычно из областей питания напор
передается на громадные расстояния и значительную глубину. Артезианские
бассейны- аккумуляторы подземных вод. Дренаж, за исключением самых верхних
горизонтов, затруднен.
Подземный сток гидрогеологических массивов ориентирован от
центра к периферии и происходит практически на всей площади. Глубина,
проникновения подземных вод, измеряемая мощностью интенсивно трещиноватых
пород, сравнительно небольшая. Исключением служат разрывные нарушения.
Вследствие сильной расчлененности рельефа гидрогеологические массивы глубоко
дренированы. Область разгрузки располагается в основании массива.
Артезианские бассейны и гидрогеологические массивы
встречаются в одиночку или в виде сложных систем. При сложном сочетании они
объединяются в группы:
1) артезианская область - обширное погружение осадочных пород
чехла, объединяющее группу связанных между собой артезианских бассейнов;
) гидрогеологическая складчатая область - сочетание
гидрогеологических массивов (выступов кристаллического фундамента) и
разделяющих их межгорных артезианских бассейнов.
Артезианская область представляет собой систему бассейнов
пластовых вод, а гидрогеологическая складчатая область - систему массивов и
бассейнов подземных вод, а иногда - систему массивов трещинных вод.
Строгие критерии разделения бассейнов и массивов на порядки
отсутствуют. Нет единодушия и в проведении границ между бассейнами и массивами,
соседними бассейнами или массивами, а также артезианскими и гидрогеологическими
складчатыми областями.
Проведение границ между природными емкостями подземных вод во
многом зависит от четкого представления об их объеме и соподчиненности. Кроме
основных типов резервуаров, существуют и другие подразделения - более мелкие и
более крупные. Поэтому рассмотрим детальную систематику гидрогеологических
резервуаров, что позволит получить наиболее полное представление о подземных
водоносных системах.
.2 Водоносность кристаллических пород
Водоносность кристаллических пород отличается значительной
пестротой, вызываемой характером и степенью их трещиноватости. Коллекторы
магматических и метаморфических пород приурочены:
во-первых, к верхней выветрелой оболочке таких пород - зоне
интенсивной трещиноватости или кавернозности, сформированной экзогенными
процессами (выветриванием, выщелачиванием и т. д.) и характеризующейся водами
трещинного типа;
во-вторых, к системе различных пустот - зоне тектонических
нарушений (разломов), интрузивных контактов и сопровождающей их трещиноватости,
которая прослеживается от поверхности на глубину и содержит воды жильного типа
(И. К. Зайцев ее называет зоной локальной трещиноватости пород).
Вследствие неравномерной трещиноватости кристаллических пород
названные емкости обводненных пород в плане обычно распространены ограниченно.
Зачастую между ними отсутствует гидравлическая связь. На этом основании
некоторые гидрогеологи считают более целесообразным выделение водоносных
участков вместо обводненных зон. Наоборот, другие исследователи по аналогии с
осадочными отложениями предлагают называть обе обводненные зоны водоносными
горизонтами, что для зоны интенсивной экзогенной трещиноватости во многих
случаях не лишено оснований, но к зоне разлома или контакта чаще всего
неприемлемо. В практике гидрогеологических исследований по отношению к
рассматриваемым коллекторам водоносных кристаллических пород наиболее привился
термин обводненная, пли водоносная зона.
Обводненная зона - это в разной степени трещиноватые
магматические или метаморфические породы, содержащие воду. Форма ее также
различна, а простирание меняется от горизонтального до вертикального.
Водоупорами служат обычно не подверженные трещиноватости плотные и массивные
разновидности этих же пород.
Подземные воды зоны интенсивной экзогенной трещиноватости
имеют площадное распространение. Они в той или иной мере сообщаются между собой
и, как правило, характеризуются отсутствием напорных свойств. Обводненная
мощность сильно колеблется - от нескольких метров до нескольких десятков
метров, иногда более 100 м.
Наоборот, подземные воды зоны тектонических нарушений и
контактов отличаются локальным, а в плане обычно линейным распространением,
образуя так называемую обводненную «жилу». Ширина таких «жил» может достигать
0,5-1 км. Зоны разломов и контактов неглубокого (до 100- 200 м) заложения
содержат пресные воды, при глубоком заложении ими выводятся минеральные воды -
термальные, углекислые, соленые и т. д. И те и другие обладают высоким напором;
вскрывающие их скважины фонтанируют.
Обводненные зоны разломов, помимо кристаллических пород,
встречаются и в осадочных сцементированных толщах. Например, они широко развиты
в осадочном чехле Сибирской платформы.
Закономерности локализации подземных вод в осадочных
отложениях зависят преимущественно от их литолого-фациальных особенностей. В
кристаллических породах литология отступает на второй план, и основное значение
приобретает трещиноватость пород. Влияют, конечно, и другие факторы, в
частности положение водоносных пород-коллекторов в пространстве. Деление на
накопители и проводники весьма условно, поскольку один и тот же водоносный
горизонт или обводненная зона может быть то накопителем (при его мульдообразной
форме), то проводником (на участках наклонного залегания в области питания).
.3 Водоносность трещиноватых пород
Трещинными коллекторами называют трещиноватые скальные
породы, как изверженные, так и осадочные (песчаники, кварциты, туфы и т.п.)
аккумулирующие и фильтрующие подземные воды. Воды в них перемещаются по системе
сопряженных трещин - узких щелей различных размеров, образовавшихся в горных
породах под воздействием тектонических, климатических и геоморфологических
факторов. В одних случаях имеется едва заметная система плоскостей без видимого
перемещения по ним, в других хорошо выражены перемещения. Трещинные воды сравнительно
слабо воздействуют на стенки каналов. Но в процессе развития геологических
структур изменяются и условия движения подземных вод; трещины часто заполняются
кристаллами различных солей, рудными минералами или глинистым материалом.
Анализируя характер выполнения трещин, а также характер контактов между
боковыми породами, можно судить о составе природных растворов в прошлые времена
(палеогидрогеология).
Подземные воды, распределяясь по трещинам горных пород,
образуют водоносные горизонты и зоны, форма которых определяется типом
трещиноватости. Отчетливо выделяются воды, приуроченные к тектоническим
трещинам, к трещинам коры выветривания и литогенетическим.
В условиях развития тектонической трещиноватости, особенно
при наличии сложных деформаций с разрывами, расположение водообильных зон
подчиняется тектоническим закономерностям, и ориентировка их зависит от типа
геологических структур. Обычно в подобных районах имеется сложная сеть трещин,
изучение которой требует большого внимания.
В складчатых районах водообильные зоны вытянуты по осям
перегибов антиклиналей, но наибольшее значение имеют крупные молодые
диагональные трещины и разрывы.
В условиях надвиговых структур плоскости надвигов,
ориентированные перпендикулярно давлению, часто бывают закрытыми и обычно
играют роль барражей, преграждая доступ воде. Водообильная же зона
располагается вблизи этих плоскостей, по более крутым поперечным и диагональным
трещинам. В Копет-Даге П. И. Калугиным отмечены крупные диагональные разрывы;
здесь хорошо выражена Копет-Дагская термальная зона, приуроченная к сбросовым
деформациям вдоль подошвы Копет-Дага. С этой зоной связан ряд восходящих
источников.
Литогенетические трещины, развивающиеся в пределах всей толщи
пород, благоприятствуют образованию потоков и бассейнов грунтовых вод (рис.1).
Наиболее мощные грунтовые потоки формируются в областях развития четвертичных
лав. Трещиноватые лавы, часто подстилаемые брекчиями и галечниками, обычно
выполняют неровности древнего рельефа. В результате этого в погребенных
долинах, на контакте водоупорных коренных пород и лав создаются грунтовые потоки,
которые появляются на дневной поверхности в местах глубокой эрозии в виде
мощных источников.
Литогенетические трещины обусловливают также водоносность
артезианских бассейнов платформенных областей. А. С. Новикова (1951), изучая
трещиноватость осадочных пород восточной части Русской платформы, пришла к
выводу о том, что широко развитые здесь трещины образовались в процессах
диагенеза и уплотнения пород, причем частота трещин зависит главным образом от
мощности пород. В горизонтальных слоях выделяются три группы трещин:
) трещины, перпендикулярные слоистости, наиболее характерные
для известняков и доломитов;
Рис. 1. Подземные воды в лавовых потоках
- молодые лавовые излияния; 2 - более древние трещиноватые
лавы; 3 - лавовые брекчии и аллювиальные галечники, погребенные под лавовым
покровом; 4 - коренные водоупорные породы; 5 - уровень воды; 6 - направление
движения воды в подлавовых потоках грунтовых вод; 7 - места поглощения
поверхностных водотоков; 8 - крупные источники по краям лавовых потоков
) трещины, располагающие под углом к слоистости, обычно
наблюдаемые в песчаниках;
) трещины сложного рисунка, характерные для глин, опок и
мергелей.
В дислоцированных слоях наблюдаются, кроме того, трещины, не
связанные с отдельными пластами. Они пересекают слои различного состава и
твердости и преломляются на границах раздела между слоями. Обычно они выполнены
кварцем, баритом и т. п. Во многих трещинах на поверхности стенок наблюдаются
штрихи, борозды и зеркала скольжения. Расстояния между трещинами не имеют
видимой связи ни с мощностью, ни с составом пород. Эти трещины, имеющие
подчиненное значение, А. С. Новикова называет «трещинами локального
распространения» и считает их дополнительными к трещинам, образовавшимся в процессе
диагенеза и уплотнения пород.
Трещины выветривания возникают под влиянием температурного
режима поверхностных слоев земли. Они очень прихотливы, имеют самые
разнообразные размеры и часто бывают заполнены глинистым материалом.
Разновидностью трещин выветривания являются трещины скола, образующиеся в
процессе формирования речных долин и обычно параллельные простиранию косогоров;
эти трещины способствуют развитию оползней и обвалов.
Температурные условия - нагревание и охлаждение горных пород
- передаются с поверхности в глубину и в стороны по трещинам. Особенно
интенсивное разрушение пород вызывается чередованием замерзания и оттаивания в
них воды. Воздействие температурных факторов на горные породы распространяется
вглубь по определенным законам (зоны суточных, годовых, многолетних и вековых
колебаний), из которых следует, что зона наибольшей трещиноватости, а,
следовательно, и обводненности, должна распространяться до глубины 2-3 м;
далее, до глубины 20-30 м располагается зона меньшей трещиноватости; глубже
количество трещин и обводненность пород уменьшаются еще более. В условиях
Казахстана и Забайкалья, отличающихся крайней резкостью климата и огромными
амплитудами колебаний температуры, выветривание должно распространяться на
большие глубины.
По мнению Н. И. Толстихина, большая глубина коры выветривания
подтверждается характером распределения окисленных руд, которые встречаются во
многих месторождениях Забайкалья на глубине до 100 м, а в некоторых случаях,
особенно в карбонатных породах, и на глубине свыше 200 м. Более сильному
разрушению подвергаются склоны гор, обращенные к югу, вследствие чего кора
выветривания развивается на горных массивах асимметрично.
Развитие глинистого делювиального шлейфа прекращает доступ в
трещины атмосферных осадков и сокращает площадь области питания. В то же время
в результате глинизации трещин подошвы массива происходит естественный подпор,
накопление воды, повышение уровня воды в трещинах.
Обнажение свежих участков трещиноватых пород, особенно в
случае глубокого разрыва, вызывает дренаж трещинных вод и общее понижение
уровня. Размывание массивов скальных пород поверхностными водами сопровождается
уничтожением коры выветривания, представляющей с точки зрения водоносности
особый интерес. Нивелирование рельефа при трансгрессии моря приводит к смыву
коры выветривания и уничтожению верхней, наиболее трещиноватой и водообильной
зоны.
В Забайкалье, в зависимости от рельефа, намечается следующая
схема водоносности трещиноватых пород (рис 1.2).
I. Зона интенсивной трещиноватости на водоразделе (зона
аэрации); циркуляция вод интенсивная, инфильтрация значительная. Большинство
трещин временно водоносны.. Зона постоянно циркулирующих вод» с ослабленной
трещиноватостью пород в центральной части массива и повышенной вблизи склонов,
особенно на южной стороне.. Зона вод замедленной циркуляции с пониженной
трещиноватостью пород.
Рис. 1.2 Схема водоносности трещиноватых пород в условиях
Забайкалья (по Н. И. Толстихину)- зона аэрации; II - зона постоянно циркулирующих
вод; III - зона вод замедленной циркуляции; 1 - делювий; 2-коренные породы с
интенсивной трещиноватостью; 3 - коренные породы с ослабленной трещиноватостью;
4 - источник.
Условия питания подземных вод, развитых в трещиноватых
породах, зависят в основном от рельефа, характера покровных образований и
количества выпадающих осадков. Наибольшее количество открытых трещин приурочено
к более крутым склонам, где под влиянием силы тяжести продукты физического и
химического выветривания перемещаются вниз. Здесь при большом уклоне зеркала
грунтовых вод происходит лучшее вымывание обломочного материала. На холмистых
обнаженных водоразделах по трещинам легко может происходить инфильтрация.
Наибольшее значение инфильтрация приобретает на более пологой нижней части
склонов, перекрытых с поверхности грубообломочным материалом.
Глава 2. Водно-физические свойства горных пород и
почв
2.1 Геометрия и свойства порово-трещинного пространства
Горные породы и почвы содержат различные виды воды. Ее
свойства и способы передвижения определяются сочетанием гравитационных и
молекулярных сил, действующих между частицами воды и породы. Условия залегания
подземной воды, ее запасы и качество в значительной степени определяются
водно-физическими свойствами горных пород.
Одними из главных свойств породы, определяющими ее отношение
к воде, являются пористость и скважность. Под пористостью понимают наличие в
породах малых пустот - капиллярных пор, под скважностью - наличие в породах
более крупных, некапиллярных промежутков - скважин различного происхождения и
формы. Иногда совокупность всех пустот объединяют в понятие общей пористости.
Особенности порово-трещинного пространства. Выделяют
следующие виды скважности: 1) пористость осадочных не сцементированных (пески,
галечники, суглинки, глины) и слабо сцементированных (песчаники, опоки) пород;
2) структурную пористость осадочных пород, связанную с наличием слоистости,
структурных трещин и т.п.; 3) относительно равномерную трещиноватость
выветривания и лито-генетическую; 4) трещиноватость тектоническую (крупные
трещины) и кавернозность (полости разной формы в известняках).
По размерам пор или трещин скважность подразделяется на не
капиллярную (более 0,5 мм), капиллярную (от 0,5 до 0,0001 мм), субкапиллярную
(менее 0,0001 мм). В первой и второй содержится свободная вода, в третьей -
только физически связанная вода. Выделяют четыре типа порово-трещинного
пространства и соответственно геологической среды: а) пористую, б) с двойной
пористостью, в) трещиноватую, г) с двойной трещиноватостью. Первый тип,
несмотря на наличие пор разных размеров и формы, статистически характеризуется
как достаточно однородная для движения воды среда. Второй тип отличается тем,
что наряду с пористостью имеются трещины, которыми толща слабо сцементированных
пористых пород разбивается на многочисленные блоки разных размеров. В этом
случае среда считается гетерогенной. Третий тип похож на первый и
характеризуется наличием незакономерно расположенных небольших трещин, которые
образуют достаточно однородную для движения воды среду. Четвертый тип похож на
второй, но отличается тем, что в массиве имеются системы крупных трещин или
каналов, разбивающие среду на разной крупности трещиноватые блоки. Тем самым
создается гетерогенно-блоковая структура трещинного пространства.
Показатели порово-трещинного пространства. К ним относят
пористость n, трещиноватость nт, удельную поверхность пустотного
пространства S, коэффициент извилистости χ. Пористость характеризует
долю порового пространства Vп в общем объеме V горной породы:
=Vп/V (2.1)
а трещиноватость - относительный объем трещин. Кроме того,
используется понятие приведенной пористости, представляющее собой отношение Vп
объему скелета Vc породы. В этом случае коэффициент приведенной
пористости ε равен
ε=n/(1-n) (2.2)
Средние значения пористости для некоторых пород следующие (в
%): пески 35-45, глины 45-60, песчаники, опоки, карбонатные породы 5-3,
кристаллические метаморфические и изверженные породы- 1-2 и менее.
Трещиноватость всегда меньше пористости, часто она составляет менее 1 % и редко
превышает 5 %.
Выделяют общую n, открытую n0 и активную nа
пористость (трещиноватость). Общая пористость характеризует весь объем
порово-трещинного пространства и не позволяет судить о пропускной и емкостной
способностях породы, так как некоторые поры и трещины могут быть
несообщающимися (тупиковыми) и содержать физически связанную воду, что
уменьшает объем порово-трещинного пространства, через которое движется
свободная вода. Пропускная способность породы зависит от размеров пор и трещин.
Открытая пористость (трещиноватость) характеризует долю сообщающихся между
собой пор и трещин, а активная - дополнительно учитывает ту часть
порово-трещинного пространства, которая занята физически связанной водой и
практически не принимает участия в механическом движении воды. Активная и
открытая пористости в песках практически равны общей пористости, а в суглинках
и глинах они существенно меньше нее и часто не превышают первых процентов.
Удельная поверхность порово-трещинного пространства (общая
поверхность пор и трещин в 1 см3 породы) весьма значительна,
особенно для глин, и может достигать 10 м2 и более. Поэтому вода,
двигаясь в такой среде, расходует дополнительную энергию на трение о стенки пор
и трещин, и тем больше, чем меньше их размеры. Относительный характер геометрии
порово-трещинного пространства оценивается коэффициентом извилистости χ (коэффициент Клинкенберга, который ввел его при исследовании
массопереноса в подземных водах). Он всегда меньше единицы, для рыхлых песков
равен 0,5-0,7, а для сцементированных песков - 0,25-0,5.
.2 Влагоемкость горных пород
Пористость почв и пород определяет важные водные свойства:
водопроницаемость, водоотдачу и водоудерживающую способность. Последнее
свойство характеризуется влагоемкостью, т. е. тем количеством воды, которое
удерживается в почвах и горных породах при определенных условиях. Она
выражается (в %) отношением веса или объема воды, содержащейся в породах,
соответственно или к весу сухой породы, или к ее объему. В зависимости от
степени насыщенности почв и пород водой и тех сил (капиллярных, адсорбционных),
которые удерживают в них воду, влагоемкость подразделяется на несколько
категорий. Наиболее часто употребляются следующие понятия:
полная влагоемкость (ПВ), или водовместимость (по Н. А.
Качинскому), характеризуется наибольшим количеством влаги, которое может
вмещать порода при полном заполнении всех пор;
капиллярная влагоемкость (KB) - наибольшее количество
капиллярно-подпертой влаги, которое может содержаться в породе. Это величина
переменная, зависящая от высоты слоя, для которого она определяется, над
уровнем свободной воды;
наименьшая влагоемкость (НВ), или полевая влагоемкость,
характеризуется количеством влаги, которое почва или грунт способны удержать в
подвешенном состоянии силами капиллярного и адсорбционного действия;
соответствует (по Качинскому) капиллярной подвешенной влаге.
Горные породы подразделяются на сильновлагоемкие,
слабовлагоемкие и невлагоемкие. К сильновлагоемким породам относятся торф,
глина, суглинки; к слабовлагоемким породам - мергели, мел, рыхлые песчаники,
глинистые мелкие пески, лёссы; к невлагоемким - крупнообломочные породы:
галька, гравий, песок и массивные изверженные и осадочные породы.
Содержание воды в почвах и породах в весовых или объемных
единицах на какой-либо момент времени называется естественной влажностью.
Обычно естественную влажность выражают отношением (в %) веса воды к весу
минеральной части породы:
(2.3)
где Р1 и Р2 - соответственно вес
образца породы до и после высушивания.
Влажность почв часто выражают в миллиметрах слоя воды А,
содержащейся в почве:
(2.4)
где g - удельный вес почвы; Н - мощность почвенного
слоя в сантиметрах. Объем воды слоем 1 мм на площади 1 гектар составит 10 м3.
Водоотдача - способность породы, насыщенной водой, отдавать
путем свободного стенания то или иное количество воды. Характеризуется
коэффициентом водоотдачи, т. е. отношением объема стекающей из насыщенной
породы воды к объему всей породы, и выражается либо в долях от единицы, либо в
процентах.
Водопроницаемость - способность породы пропускать через себя
воду. Водопроницаемость и водоотдача зависят от пористости, от размера и формы
пор породы. Чем больше диаметр пор, тем лучшей водопроницаемостью и большей
водоотдачей обладают породы.
Водопроницаемость почв, помимо их природных свойств, зависит
также от степени их окультуренности. На водопроницаемость почв оказывает
влияние наличие в них защемленного воздуха. Изолированные скопления последнего
в порах почвы сокращают живое сечение пор, через которое может просачиваться
вода. Водопроницаемость почв не остается постоянной: сухая почва обладает
большей водопроницаемостью, при насыщении почвы водой происходит набухание
почвенных коллоидов, что приводит к сужению почвенных пор, разрушению
структурных отдельностей и как следствие к уменьшению водопроницаемости.
По степени водопроницаемости породы подразделяются на две
основные группы: водопроницаемые и водонепроницаемые, или водоупорные. К
водопроницаемым относятся грубозернистые или грубообломочные породы (галечник,
гравий, песок) и массивные трещиноватые породы (мрамор, гранит, известняк).
Водоупорными называются такие породы, которые практически
через себя воду не пропускают или пропускают очень медленно. Это плотные
массивные монолитные породы (мрамор, гранит, базальт) или осадочные
мелкозернистые породы (глины, глинистые сланцы). Их водопроницаемость в
естественных условиях настолько мала, что ею можно пренебречь, а коэффициент
водоотдачи близок к нулю. Большая группа пород относится к полупроницаемым
породам (глинистые пески, лёсс, торф, песчаники, пористые известняки, мергели и
др.).
При изучении водных свойств зернистых пород и почв необходимо
иметь представление о размере зерен. С этой целью производят механический, или
так называемый гранулометрический, анализ пород. Сущность этого анализа
заключается в разделении образца породы на порции (фракции определенных
диаметров зерен) и в перечислении фракций в процентные отношения к весу всего
образца. По данным механического анализа в неоднородной породе, состоящей из
частиц различного диаметра, выделяют действующую (эффективную) величину зерен.
Считается, что просачивание воды через фракции данного диаметра соответствует
просачиванию воды в природной смеси данной пробы.
Рис. 2.1 Типовой график сжимаемости порового пространства
песчаной (1) и глинистой (2) породы под влиянием приложенного к ней давления ε = f(р)
Упругость горных пород. Размеры пор зависят от укладки минеральных
зерен, а размеры трещин - от их раскрытости. Под влиянием внешней нагрузки и с
ростом глубины залегания пород скважность (пустотность) пород снижается главным
образом за счет более плотной укладки минеральных зерен и уменьшения раскрытие
трещин, т. е. сокращения объема пустотности, и в меньшей степени под влиянием
упругого сжатия, вязко-пластических и других деформаций скелета породы. Пески,
галечники, аргиллиты, песчаники и карбонатные породы обычно рассматриваются как
упругодеформируемое (или линейно деформируемое) тело, способное после снятия
нагрузки восстанавливать первоначальную структуру порово-трещинного
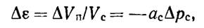
пространства. Глины и суглинки при небольших изменениях давления ΔРс на породу ведут себя как условно упругодеформируемое тело, а
при значительных - в них проявляются пластические и другие деформации. Характер
изменения пустотного пространства под влиянием эффективных давлений рс
на скелет породы оценивается экспериментальной кривой зависимости ε=f(рс), которая называется компрессионной кривой. На рис.
2.1. показаны типовые кривые для упругодеформируемой и условно
упругодеформируемой сред. Уклон кривых характеризует величину коэффициента
сжимаемости ас. Часто пользуются показателем удельного сжатия
(расширения) скелета породы βс. Минеральный скелет
породы сжимается очень слабо, и для базальтов, кварцитов, аргиллитов,
песчаников и известняков величина βс имеет порядок (0,8-5)10-11
Па-1, что на порядок меньше, чем для воды.
Закон Гука для линейно деформируемой породы можно записать в
виде
(2.5)
где учтено, что е связано с п зависимостью; Vп=Vn - объем
порового пространства в деформируемом объеме V; Vn=V(1-n) - объем минерального
скелета породы в заданном объеме V (принимается неизменным).
.3 Виды воды и взаимодействия в системе «горная порода -
подземные воды»
Для задач динамики подземных вод зоны активного водообмена
интерес, представляют свободная и физически связанная вода. В качестве критерия
для оценки количества связанной воды в поровом пространстве используются
максимальная молекулярная (для песков) и наименьшая полевая (для суглинков и
глин) влагоемкости. Для песков изменяется от первых до 12 %, а для глин
составляет 20-25 % и более, что существенно уменьшает живое сечение пор, так
как связанную воду считают неподвижной.
Молекулярные взаимодействия. Вода в порово-трещинном
пространстве находится под влиянием молекулярных взаимодействий, возникающих
между минеральным скелетом и поровым раствором (диссоциированными молекулами
воды, ионами, коллоидными частицами, органическими комплексами и т. п.).
Влияние этих взаимодействий существенно снижается с удалением от поверхности
минерального скелета. Оно максимально в тонкодисперсных (глинистых) породах и
мало - в песках с крупными порами. Взаимодействие проявляется в определенной
ориентировке дипольных молекул воды и других заряженных частиц раствора около
отрицательно заряженных минеральных частиц. Образуются слои или зоны с разными
структурой и интенсивностью молекулярной связи (рис. 2.2). Наиболее прочные связи
существуют во внутреннем слое и межпакетном пространстве глинистых минералов.

Рис. 2.2 Схема молекулярных взаимодействий в поровом
пространстве:
а - сечение условной поры со слоями структурированных частиц
порового раствора; в - график изменения энергии связи частиц раствора с
поверхностью минерального скелета; 4 - кривая потенциальной энергии молекулы
воды при ее взаимодействии с соседними частицами. 1 - отрицательно заряженная минеральная
частица; 2 - молекула воды; 3 - катион; 4 - условные границы слоев. Стрелками
дано направление потоков частиц между слоями.
В следующем, адсорбционном слое (слой Гельмгольца) ближайшие
к твердой поверхности частицы раствора прочно связаны с ней, а другие, более
удаленные, строго ориентированы. Энергия связей здесь тоже очень высока. В
третьем (диффузном) слое толщиной 1-10 нм молекулы и ионы менее ориентированы
(менее структурированы). Энергия их связи с минеральной частицей невелика. В
четвертом слое имеется зона свободной воды, где молекулярные взаимодействия
практически равны нулю. С ростом температуры и давления толщина диффузного слоя
убывает, особенно резкие изменения наблюдаются при 60-80°С. На толщину этого
слоя влияет состав обменных катионов. Структурированность воды влияет на
характер ее движения под действием внешних сил.
Молекулы любого вещества совершают тепловые трансляционные
колебательные движения около временного положения равновесия, переходя скачками
из одного положения равновесия в другое. Положению равновесия отвечает минимум
энергии частицы. Основные положения теории трансляционного движения молекул
вещества были сформулированы Я. И. Френкелем в 1925 г. В качестве структурной
теории водных растворов они получили развитие применительно к проблеме
формирования химического состава подземных вод в работах, а применительно к
исследованию физических основ фильтрации воды в горных породах - в работе.
Частица раствора, совершая трансляционное движение и соударяясь с соседними,
накапливает некоторый запас энергии, который называется энергией активации Еа.
Из одного положения равновесия в другое она переместится, если ее энергия
активации E`а окажется больше, чем потенциальный барьер Ei под которым понимают
максимум энергии между двумя соседними минимумами, соответствующими положениям
временного равновесия данной частицы. На рис. 2.2, в на кривой потенциальной
энергии молекулы А глубокий (левый) минимум отвечает взаимодействию молекулы
воды А с ионом С (ион-дипольное взаимодействие) и временному положению
равновесия, а правый (менее глубокий)-взаимодействию двух молекул воды А и В
(диполь-дипольное взаимодействие) и следующему положению равновесия.
Возможны два случая перемещения частицы жидкости, когда Еа
>Ei или (Eа + Ев) >Еi (где Eв - энергия внешних сил). В первом случае
трансляционный скачок равновероятен во все стороны, а во втором - направлен по
действию внешней силы, так как в этом направлении уменьшается Еi.
Молекулы воды и растворенного вещества перемещаются внутри
поры из слоя в слой, хотя толщина самих структурированных слоев, обусловленная
минеральным составом скелета, характером раствора и термодинамическими
условиями, сохраняется. Принимая, что в общем балансе сил, действующих на
связанную воду, доля сил гравитации и гидростатического давления невелика,
принято считать физически связанную воду практически неподвижной и условно
относить ее к минеральному скелету. Однако нельзя забывать, что количество
связанной воды в породе и возможность ее перехода в свободную зависят от температуры,
механического давления на породу, минерализации и состава поровой воды.
Капиллярные взаимодействия. В зоне аэрации в условиях
неполного водонасыщения воздух представляет собой самостоятельную непрерывную
фазу, поэтому в поровом пространстве на контакте воды и воздуха проявляется
действие капиллярных сил. Такое взаимодействие наблюдается по простиранию
водоносного горизонта на линии уровня грунтовых вод и в вертикальной плоскости,
когда в зоне аэрации движется нисходящий поток инфильтрующейся воды (из каналов
или шурфов при специальных опытных наливах). На линии, разделяющей области
полного и неполного водонасыщения, проявляются капиллярные взаимодействия и
формируется зона, которую называют капиллярной. На разделяющей линии
гидростатическое давление равно атмосферному и обычно принимается за нулевое; в
капиллярной зоне давление отрицательное.
При медленных изменениях гидростатического давления в зоне
полного насыщения (например, при колебаниях уровня грунтовых вод) капиллярная
зона успевает перемещаться вслед за движением границы нулевого давления; при
быстрых изменениях этого не наблюдается и происходит нарушение контакта.
Математически учесть это явление сложно, и в теории фильтрации обычно по линии
уровня грунтовых вод капиллярными взаимодействиями пренебрегают, сохраняя
предпосылку о медленном перемещении этого уровня. Детально эти взаимодействия
учитываются в теории влагопереноса. В нижней части капиллярной зоны капиллярная
вода обладает свойствами свободной: передает гидростатическое давление и движется
в соответствии с общим уклоном грунтовых вод.
Глава 3. Закономерности распространения подземных вод в
горных породах
Гидрогеологическая стратификация осадочных пород исходит из
наличия выдержанных по площади водосодержащих коллекторов пластового,
порово-пластового, трещинно-пластового пли более сложных типов, чередующихся в
разрезе с водоупорными толщами. Строго обоснованная система деления этих толщ
на водоносные породы пока отсутствует.
С конца прошлого века за основное подразделение водоносных
пород традиционно принято считать водоносный горизонт (англ. и франц.- aquifer,
нем.- Grundwasserleiter), именуемый иногда водоносным пластом или водоносным
слоем. Определение этого понятия до сих пор различными исследователями дается
далеко не одинаково.
В соответствии с имеющимися определениями (М. Е. Альтовского,
А. М. Овчинникова, А. С. Рябченкова, Р. де Уиста и др.), под водоносным
горизонтом следует понимать относительно выдержанную и единую в гидравлическом
отношении толщу (пласт, слой и т. д.) водопроницаемых горных пород, поры,
трещины или пустоты которых заполнены подземной водой.
Водоносный горизонт чаще всего сложен однородными или
близкими по литолого-фациальному составу и фильтрационным свойствам
отложениями. Вовсе не обязательна его приуроченность к определенной единице
стратиграфической шкалы. Он может быть образован одним или несколькими слоями
водонасыщенных пород; в первом случае он будет однослойным, во втором -
сложным: дву- или многослойным.
Слагающие водоносный горизонт водонасыщенные породы должны
иметь единую гидравлическую поверхность свободную или пьезометрическую. От
выше- и нижележащих водоносных горизонтов он изолируется водоупорами, что не
исключает гидравлической связи отдельных водоносных горизонтов между собой.
По характеру залегания и гидрогеодинамическим особенностям
принято различать следующие основные разновидности:
) водоносные горизонты грунтовых вод - первая от поверхности
постоянно обводненная толща пород, содержащая воды со свободным уровнем и
залегающая на подстилающем ее водоупоре или на породах с иным типом и степенью
водопроницаемости.
) водоносные горизонты межпластовых вод - водоносные
отложения, заключенные между водоупорами; они могут быть безнапорными
(грунтовыми) или напорными (артезианскими).
Водоносные породы, залегающие в различных частях разреза,
следует относить к разным водоносным горизонтам. Однако в отношении того, надо
ли разделять на два водоносных горизонта, например, обводненный аллювий и
подстилающую его водоносную зону интенсивно трещиноватых «коренных» пород,
мнения расходятся. А. С. Рябченков и И. К. Зайцев рекомендуют это делать, а Г.
Я. Богданов и В. М. Кононов - объединяют в один водоносный горизонт, если они
образуют единое гидравлическое целое. Точно так же расходятся точки зрения
исследователей на максимальную мощность водоносного горизонта.
Более крупной единицей гидрогеологического разреза следует
считать водоносный комплекс. Он представляет собой толщу водонасыщенных пород,
и которой из-за быстрой смены в плане пли по вертикали состава и свойств пород
или вследствие сложных геолого-структурных особенностей, а нередко в силу
слабой изученности невозможно выделить самостоятельные водоносные горизонты.
Водоносный комплекс, по Г. Я. Богданову и В. М. Кононову
(1975), это выдержанная толща одно- или разновозрастных и разнородных пород,
ограниченная теми или иными водоупорами, затрудняющими или исключающими
гидравлическую связь со смежными водоносными комплексами, и обеспечивающими
данному водоносному комплексу гидрогеодинамические и гидрогеохимические
особенности. Водоносным комплексом объединяется несколько в различной степени
выдержанных водоносных горизонтов, при этом в водоносном комплексе напоры
подземных вод значительно изменяются по разрезу, что предопределяется степенью
гидравлической связи отдельных его горизонтов.
Относительно объема водоносного комплекса также существуют
различные мнения. Считается, что его мощность не должна превышать мощности
стратиграфической подсвиты или свиты (Пиннекер, 1966), иногда она повышается до
серии и даже системы (Богданов, Кононов, 1975). Важно, чтобы водоносные
комплексы различались по литолого-фациальным и связанным с ними
гидрогеологическим особенностям.
Самое крупное подразделение гидрогеологической стратификации
осадочных и осадочно-вулканогенных отложений называют по-разному - водоносная
серия, гидрогеологический этаж, водоносный ярус и т. д.
Из предложенных наименований для самого крупного
подразделения гидрогеологической стратификации, пожалуй, наиболее удачен термин
Н. А. Маринова (1961) водоносная, или гидрогеологическая, формация. В нее
объединяются водосодержащие литологически, генетически и в фильтрационном
отношении однородные, хотя и разновозрастные породы, которым свойственны
определенные закономерности накопления, распространения и формирования
подземных вод. Водоносные формации часто разделяются регионально выдержанными
водоупорами или стратиграфическими перерывами; они включают несколько сходных
водоносных комплексов. Каждая такая формация отличается от другой
палеогидро-геологическим развитием, присущими только ей общими чертами
гидро-геодинамики и гидрогеохимии.
Основными в разрезе чехла древних и эпигерцинских платформ
могут считаться следующие типы водоносных формаций:
) песчано-глинистых рыхлых пород с порово-пластовыми водами;
) осадочно-вулканогенных покровов или толщ с
трещинно-пластовыми и пластово-трещинными водами;
) песчано-глинистых сцементированных пород с
трещинно-пластовыми водами;
) карбонатных образований с трещинно-пластовыми или карстово-пластовыми
водами;
) соленосных толщ, содержащих межсолевые водоносные горизонты
пластового типа.
Иногда в разрезе чередуются несколько водоносных формаций
сходного типа, разделенных регионально выдержанными водоупорами. В частности,
такая картина свойственна разрезу крупнейшего в мире Западно-Сибирского
артезианского бассейна.
.2 Закономерности локализации подземных вод в горных породах
Подземные воды заключены в пористых или трещиноватых
проницаемых породах (рис. 3.1), которые пропускают воду при наличии перепада
давления. Их называют водоносными в отличие от водоупорных пород. Последние не
пропускают или очень слабо пропускают воду, разделяя или подстилая породы с
заключенными в них подземными водами.
Рис. 3.1 Основные типы пористости горных пород (Мейыцер,
1935].
- рыхлая, с хорошо отсортированными зернами и высокой
пористостью; 2 - рыхлая, с плохо отсортированными зернами и малой
пористостью:.3 - хорошо сортированная, состоящая из пористых галек и имеющая
высокую пористость; 4 - со сниженной вследствие образования цемента
пористостью; 5 - кавернозная, пористость которой увеличилась результате
выщелачивания; 6 - с пористостью, обусловленной развитием трещин.
Согласно изображенной на рис. 3.2. гидрогеологической классификации
горных пород, водоносные породы в зависимости от водопроницаемости представляют
гидрогеологический коллектор, а водоупорные - гидрогеологический изолятор. В
земных недрах закономерности локализации подземных вод предопределяются прежде
всего такими водно-коллекторскими свойствами пород, как пористость и
водопроницаемость.
Объем всех пустот в породе правильно называть скважностью пли
пустотностью, но его чаще именуют пористостью (см. рис. 3.1.). Для движения
воды важное значение имеют размеры пустот и их со-общаемость друг с другом, а
не только общая величина пористости. Скажем, глины, пористость которых
достигает 50-60%, практически не пропускают подземные воды, а песчаные или
трещиноватые породы уже при пористости 10% - хорошие проводники. Дело в том,
что для глин характерны субкапиллярные поры (диаметр менее 0,0002 мм), в
которых вода не может передвигаться и которые большей частью изолированы друг
от друга.
Породы, относящиеся к коллекторам, характеризуются
капиллярными (0,0002-0,1 мм) и сверхкапиллярными (более 0,1 мм) просветами
поровых каналов. Подземные воды передвигаются главным образом по
сверхкапиллярным порам, однако гидростатическое давление способно передаваться
и через капиллярные поры, в которых движение воды происходит под влиянием сил
поверхностного натяжения. В крупных, как правило, лишенных капиллярной влаги
пустотах подземные воды передвигаются под влиянием сил гравитации и разности
напоров.
Рис. 3.2 Гидрогеологическая классификация горных пород
(Stepnovic, 1902)
Поры горных пород могут быть сообщающимися (открытыми) и
изолированными (закрытыми). Полный объем открытых и закрытых пор независимо от
их величины, формы и взаимного расположения - общая (абсолютная) пористость.
Она выражается отношением объема всех пор к объему всей породы. Для
гидрогеологических целей важна не общая, а так называемая динамическая
(эффективная) пористость - отнесенный к общему объему породы объем открытых
пор, через которые происходит перемещение жидкости при обычных в природе
градиентах напора. Динамическую пористость чаще всего и имеют в виду, когда
говорят о пустотности (скважности) горных пород.
Динамическую пористость не следует путать с открытой
пористостью, характеризующей все открытые поры. Движение жидкости происходит не
по всему объему открытых пор, поскольку часть порового пространства, например
на стыках частиц, занята всегда капиллярной, рыхло- или прочносвязанными
разновидностями воды. Открытая пористость по величине всегда больше
динамической.
Проницаемость - свойство горных пород пропускать через себя
жидкости и газы при наличии градиента давления. Гидрогеологов интересует,
прежде всего, водопроницаемость, от которой зависят фильтрационные свойства
пород-коллекторов. Количественно проницаемость оценивается коэффициентом
проницаемости, а водопроницаемость - коэффициентом фильтрации.
Единица проницаемости - 1 Д (дарси) - численно отвечает
проницаемости образца породы длиной 1 см с площадью поперечного сечения 1 см2,
через который при падении давления на 1 атм протекает 1см3/с
жидкости с вязкостью 0,001 Па∙с. Коэффициент проницаемости, имеющий
размерность м/сут, м/с и т. д., представляет скорость фильтрации при напорном
градиенте, равном 1.
Как видно из табл. 3.1, для пресных подземных вод при
температуре 20°С проницаемость в 1 Д ориентировочно соответствует коэффициенту
фильтрации 0,85-0,9 м/сут.
Горные породы могут быть весьма проницаемыми (коэффициент
проницаемости от 10 до нескольких сотен тысяч миллидарси), полупроницаемыми
(10-0,1 мД) и практически непроницаемыми (менее 0,1 мД). Более подробное
деление приводится в табл. 3.1.
К проницаемым породам относятся галечники, отсортированные
пески и песчаники, кавернозные карбонатные и трещиноватые кристаллические
породы. Поровое пространство, занимающее обычно 10-40%, равномерно распределено
по объему породы и принадлежит преимущественно сверхкапиллярньтм или
крупнокапиллярным порам. Поры других размеров имеют подчиненное значение, на
физически связанную воду приходится очень небольшая часть объема пор.
Полупроницаемы неотсортированные породы (песчано-глинистые
осадки, песчаники с глинистым цементом, меловидные известняки и т. д.) с
неравномерной пористостью (поры большей частью мелко- и субкапил-лярные.)
Практически непроницаемыми считаются породы с субкапиллярными
или закрытыми порами (глины, аргиллиты, невыветрелые сланцы, плотные
кристаллические породы). Однако совершенно непроницаемые породы в природе
отсутствуют. При значительных перепадах давлений водопроницаемыми могут быть
даже толщи глин мощностью несколько десятков метров. Более того, известны
случаи, когда через такие толщи «продавливались» вместе с водой растворенные
вещества. При «нормальных» гидравлических градиентах миграция растворенных
веществ через водоупоры возможна по механизму молекулярной диффузии.
Таблица 3.1 Средине значения коэффициентов фильтрации и
водопроницаемости некоторых горных пород для условий движения пресных вод с
температурой 20°С (по Н. А. Плотникову)
В определенных термодинамических или гидрогеологических
условиях с учетом геологического времени водопроницаемыми становятся и
глинистые породы. При господствующих в верхней (до глубины 2-5 км) части земной
коры температурах и давлениях породы со значениями коэффициента фильтрации
менее 0,1-0,001 мД могут считаться достаточно надежным водоупором. По мнению Г.
Я. Богданова и В. М. Кононова, глинистые толщи следует считать водоупорными при
мощности более 10м. Хорошим водоупором являются мерзлые породы.
С глубиной, по мере роста давления, пористость и
проницаемость горных пород уменьшаются. Правда, бывают и исключения, когда на
глубинах 3-6 км встречаются песчаники или известняки, пористость которых
составляет 1,5-20%. Однако в целом она па таких глубинах на порядок меньше, чем
в верхних горизонтах.
По водно-коллекторским свойствам осадочные (а также
осадочно-вулканогенные) породы резко отличаются от кристаллических
(магматических и метаморфических) пород. Рассмотрим их раздельно.
.3 Систематика подземных водоносных систем
Емкости подземных вод различного таксономического ранга могут
быть охарактеризованы размером (объемом), строением (формой), составом и
свойствами. Естественно, какой-то один признак не даст четкого представления о
геологическом теле, содержащем воду. Даже разграничение гидрогеологических
резервуаров по нескольким ведущим признакам не способно учесть всех факторов
распределения, перемещения и формирования подземных вод.
Следуя структурно-вещественному принципу разграничения,
который в гидрогеологии именуется структурно-гидрогеологическим, мы получим
наиболее полный набор признаков. Применительно к систематике подземных
водоносных систем он должен учитывать, по крайней мере, следующие признаки: 1)
размер и строение геологического тела. 2) вещественный состав пород,
определяющий характер распределения подземных вод, 3) особенности питания,
стока и разгрузки подземных вод.
Самое мелкое подразделение резервуаров (совокупность
водосодержащих пор или трещин) образует коллекторы простой или сложной формы с
более или менее однородным распределением подземных код.
В осадочных породах сочетание обводненных пор, иногда и
трещин дает водоносный горизонт, или комплекс. В кристаллических породах,
содержащих регионально-трещинные воды, резервуаром аналогичного ранга служит
водоносная зона трещиноватости. Как в чехле, так и особенно в фундаменте
протяженные каналы, каверны и полости, заполненные водой, образуют резервуар
жильного типа, называемый водоносной зоной нарушений.
В чехле находятся преимущественно коллекторы поровой и
пластовой структуры. Наоборот, фундамент отличается коллекторами трещинной и
жильно-трещинной структуры.
Рис. 3.3 Соподчиненность природных емкостей подземных год, их
размеры и соответствующие им градации гидрогеологического районирования
Гидрогеологические резервуары более высокого порядка на рис.
3.3 имеют обобщенное название бассейн пластовых вод и массив трещинных вод. В
них коллекторы чередуются с водоупорами. Бассейну свойственно чередование по
разрезу осадочных пород водоносных пластов и комплексов. Массив представляет
выход на поверхность или горное поднятие чаще всего кристаллических пород,
которые состоят из водоносных зон трещиноватости и жил.
Эти емкости подземных вод хорошо противопоставляются друг
другу, чего нельзя сказать при пользовании распространенными терминами
«артезианский бассейн» и «гидрогеологический массив». В самом деле,
артезианский бассейн по определению, данному К. Кейльгаком, есть не что иное,
как система напорных вод, которая включает в себя и внешнюю область питания, т.
е. склоны массива. Гидрогеологический массив, по Н. И. Толстихину (1962),-
массив трещинных вод. Выходит, противопоставляя систему напорных вод
(артезианский бассейн) массиву трещинных вод (гидрогеологическому), резервуары
подземных вод сравниваются по различным признакам - напору и коллекторским
свойствам пород. Если же названия давать по сопоставимым и
противопоставляющимся друг другу признакам, то логичнее пользоваться терминами
«бассейн пластовых вод» и «массив трещинных вод». Тогда, кстати, гораздо проще
решается вопрос о проведении границы бассейна с массивом.
Бассейн и массив значительных размеров и сложного строения, в
отличие от простого бассейна и простого массива, могут рассматриваться как
сложный бассейн и сложный массив.
Сложный бассейн пластовых вод образует обширное платформенное
или межгорное погружение, отвечающее синеклизам, перикратонным опусканиям и
орогенным прогибам - межгорным или краевым (предгорным). Для его строения
характерно сочетание нескольких простых по форме бассейнов - сочлененных или
наложенных, местами разделенных поднятиями фундамента, разобщенных по верхним и
единых по нижним горизонтам осадочного чехла или наоборот.
К сложному массиву трещинных вод относится сочетание более
или менее простых по форме массивов (горных хребтов, складчатых поднятий или
изолированных интрузий), объединяемых территориально в анти-клинорий
складчатого сооружения, группу интрузивных тел или выступ фундамента платформы.
Имея сходные условия распределения подземных вод, простые массивы в таком
гидрогеологическом резервуаре непосредственно сочленяются друг с другом, а
иногда разделяются внутригорными впадинами.
Подземные водоносные системы более высокого порядка включают
крупные геологические тела: на платформах - плиты и щиты, а в геосинклинальных
(складчатых) регионах - геосинклинальные системы (ветви складчатости) и
срединные массы (устойчивые срединные массивы). При этом обособляются группы
бассейнов (см. рис. 3.3.)- система бассейнов пластовых вод, группы массивов -
система массивов трещинных вод или сложное сочетание массивов и бассейнов,
которое именуется системой массивов и бассейнов подземных вод. Эти
подразделения резервуаров подземных вод отличаются от сложных бассейнов и
массивов не только размерами, но и степенью сложности структурного плана. Им
присущи также, иные гидрогеологические особенности, проявляющиеся в общности
питания, движения и формирования подземных вод каждой системы.
В таксономическом отношении система бассейнов пластовых вод
эквивалентна артезианской области И. К. Зайцева и II. И. Толстихина. но
представляет собой не пространственное понятие «область», а объемное - «емкость
подземных вод». Точно так же система массивов трещинных вод и система массивов
и бассейнов подземных вод имеют много общего с гидрогеологической складчатой
областью тех же авторов. Здесь также площадное наименование заменено на
объемное.
Система бассейнов отвечает плите - опущенной части платформы,
которая вмещает несколько сложных бассейнов пластовых вод, разделенных
поднятиями или выступами кристаллического фундамента. Иногда к системе
бассейнов относятся сочетание плит и краевых прогибов. Системой бассейнов
пластовых вод может быть назван и чехол крупных срединных масс - «остаточных
платформ» внутри складчатых регионов.
К системе массивов относятся приподнятые цоколи древних
платформ - кристаллические щиты. Очевидно, сюда же принадлежат некоторые
геосинклинальные системы, в пределах которых отсутствуют артезианские бассейны
пластовых вод.
Но чаще крупное горно-складчатое сооружение, называемое геосин-клинальной
системой, как гидрогеологический резервуар представляет систему массивов и
бассейнов подземных вод. В нее входят массивы трещинных и бассейны пластовых
вод, причем последние имеют, как правило, подчиненное значение. Иногда щиты
образуют также систему массивов и бассейнов подземных вод, если в их строении
принимают участие наложенные впадины.
Крупнейшими геологическими телами, которые выделяются по
структурным признакам и вещественному составу пород, являются платформы,
занимающие устойчивые территории, и геосинклинали-мобильные регионы
складчатости в пределах горных сооружений. Как емкость подземных вод платформа
представляет гидрогеологический кратоген, а геосинклиналь (складчатое
сооружение) - гидрогеологический «ороген» (Пиннекер, 1977). Термины «кратоген»
как представление об устойчивости (по-гречески «кратос» - сила, крепость) и
«ороген»- синоним складчатости и горообразования («орос» - гора) характеризуют
крупнейшие подземные водоносные системы (см. рис. 3.3), хорошо различающиеся по
истории подземных вод.
Гидрогеологический кратоген - сочетание систем бассейнов и
систем массивов (иногда с наложенными бассейнами). Подобными емкостями
подземных вод служат древние платформы. Но это понятие, вероятно, нельзя
распространять на молодые платформы, выходы фундамента которых входят в
геосинклинальные (складчатые) регионы. Ведь молодые платформы сами по себе
представляют геосинклинали, перекрытые платформенным чехлом. Правильнее
ограничиться выделением систем бассейнов пластовых вод.
К гидрогеологическому орогену относится резервуар подземных
вод, который включает часть планетарного подвижного пояса, т. е. совокупность
геосинклинальных форм, связанных общностью структурного плана и возрастом
создавшей их складчатости. Поэтому под гидрогеологическим орогеном надо
понимать сочетание систем массивов и бассейнов подземных вод, образующих единые
в геолого-структурном отношении территориально обособленные геосинклинальные
(складчатые) регионы.
Емкости подземных вод - от мельчайших до крупнейших -
последовательно соподчинены (см. рис. 3.3.). Комплекс резервуаров низкого
порядка дает емкость более высокого ранга. Однако прямое соподчинение
наблюдается не всегда. Иногда в резервуар высокого ранга как самостоятельные
таксономические единицы входят резервуары не следующего за ним порядка, а более
низкого. Поэтому предлагаемую систематику нельзя рассматривать в качестве
«прокрустова ложа». В каждом отдельном случае соподчиненность должна учитывать
гидрогеологические особенности изучаемой территории.
Разграничение подземных водоносных систем на основе
структурно-вещественного принципа иногда требует учета и других факторов
(климат, рельеф, гидрография и т.д.). При сходном геологическом строении
резервуары могут находиться в различных климатических зонах. Важную роль играют
геоморфологические условия и характер гидрографической сети, определяющие
положение водоразделов подземного стока. Только всесторонний анализ позволит
верно оконтурить емкость подземных вод.
Перечисленные подземные водоносные системы относятся к континентальной
части земной коры. В океанической части их градация будет иной. Строение
континентов и дна океанов различается существенно. В глобальном плане могут
быть намечены континентальные, океанические и, возможно - на первом этапе
изучения, переходные резервуары подземных вод. Особо хочется отметить
переходные резервуары, часть которых находится на суше, а другая - перекрыта
морем или океаном. В такие подземные водоносные системы только начинают
внедряться воды инфильтрации, замещая воды морского происхождения. В ряде мест
к изучению переходных резервуаров уже приступили (Южно-Каспийский бассейн,
шельф Северного моря и т.д.). Выяснение строения океанических резервуаров
подземных вод - задача недалекого будущего.
Под дном океанов мощность осадочных отложений изменяется от
0,2 до 2 км. Имея пористость 15-35 %, эти породы содержат пластовые воды. Ниже
следует осадочно-вулканогенный (мощность 1-3 км) и базальтовый (до 5 км) слои,
в которых отмечаются главным образом водоносные системы трещинно-жильного типа.
Глава 4. Гидрогеологическая стратификация
Прикаспийской впадины в пределах Астраханской области
Учитывая высокую степень хозяйственного освоения
Нижневолжского региона и обусловленную этим сложную экологическую обстановку,
потребность различных отраслей народного хозяйства в гидрогеологической,
инженерно-геологической и геоэкологической информации крайне велика. Для таких
районов федеральной программой регионального геологического изучения недр
Российской Федерации предусмотрено государственное гидрогеологическое
картографирование масштаба 1:200 000 на новом научно-методическом и
практическом уровне.
Решение широкого круга гидрогеологических задач при
картографическом изучении территории должно основываться на региональных легендах
гидрогеологических серий, представляющих собой упорядоченный перечень
гидрогеологических подразделений, развитых в данном регионе, условных знаков и
пояснений к ним, которые коррелируются в разрезе и по площади в границах
региональных гидрогеологических структур.
Преобладающая часть территории Нижневолжской серии
располагается на юго-востоке эпипротерозойской Русской платформы на стыке двух
ее крупных структур: Воронежской антеклизы и Прикаспийской синеклизы.
Осадочный покров региона образуют карбонатно-терригенные,
карбонатные, сульфатно-галогенные породы палеозоя и преимущественно
песчано-глинистые образования мезокайнозоя. Мощность осадочного чехла достигает
15-18 км (по геофизическим данным) в Прикаспийской синеклизе. В пределах вала
Карпинского осадочный чехол представлен мезо-кайнозойскими образованиями
мощностью 1-2 км.
4.1 Основные гидрогеологические подразделения
Критериями выделения гидрогеологических подразделений
являлись:
фациально-литологический состав пород, определяющий объем,
морфологию и границы гидрогеологических подразделений, характер и результаты
взаимодействия и формирования ресурсов подземных вод, их качества, ландшафтных
проявлений подземной гидросферы;
характер проницаемости горных пород, обусловливающий наличие
или отсутствие в них гравитационных капельно-жидких вод;
характер гидравлической связи между смежными подразделениями;
гидрогеодинамические особенности;
постоянство или периодичность пребывания подземных вод в
составе гидрогеологических подразделений.
Исходя из названных критериев, в легенде выделен следующий
таксономический ряд гидрогеологических подразделений:
Водоносный горизонт (зона) - проницаемое гидрогеологическое
тело, постоянно содержащее подземные воды, и отличающееся гидрогеодинамическими
особенностями, обусловленными фациально-литологическим составом пород,
характером питания, транзита и разгрузки подземных вод. Водоносная зона
отличается от горизонта пространственной локализацией повышенной
трещиноватости, включая наложенную - тектоническую, экзогенную, и проницаемости
пород.
Относительно водоносный горизонт (зона) - весьма
слабопроницаемое гидрогеологическое тело, содержащее подземные воды в связанном
виде и характеризующееся замедленной, преимущественно вертикальной фильтрацией
при возникновении градиента напора между смежными водоносными горизонтами
(зонами).
Относительно водоупорный горизонт (зона) - весьма
слабопроницаемое гидрогеологическое тело, содержащее подземные воды в связанном
виде и характеризующееся замедленной, преимущественно вертикальной фильтрацией
при возникновении градиента напора между смежными с ним водоносными горизонтами
(зонами).
Водоупорный горизонт - практически водонепроницаемое
гидрогеологическое тело.
Водоносный (относительно водоносный) комплекс -
гидрогеологическое тело, состоящее из нескольких водоносных (относительно
водоносных) горизонтов и разделяющих их относительно водоупорных горизонтов.
Водоносный этаж - система водоносных горизонтов (и/или зон) и
комплексов, характеризующаяся общими условиями водообмена и формирования
подземных вод. Водоносный этаж подстилается входящим в его состав региональным
водоупором, повсеместно развитым в границах гидрогеологической структуры.
В таблице 4.1 приведены принятые условные обозначения
распространенных по площади гидрогеологических подразделений на картах масштаба
1:200000 Нижневолжской серии.
Объем гидрогеологического подразделения может отвечать объему
стратиграфического подразделения, составлять его часть или охватывать несколько
смежных стратиграфических подразделений. Объединенному гидрогеологическому
подразделению присваивается геологический индекс и название согласно
"Инструкции по составлению и подготовке к изданию листов государственной
геологической карты Российской Федерации масштаба 1:200 000 (М., 1995). Цвет на
карте объединенных подразделений соответствует цвету нижнего стратиграфического
подразделения (рис.4.2).
.2 Водоносные горизонты и комплексы осадочного чехла
В гидрогеологическом отношении территория входит в
Прикаспийский артезианский бассейн, приуроченный к одноименной впадине,
осадочный чехол которой гидрохимическим комплексом соленосных отложений нижней
перми делится на два гидрогеологических этажа - подсолевой и надсолевой.
Характерными особенностями бассейна являются огромные мощности водовмещающих
образований, достигающие по данным геофизики 20-23 км, молодой возраст верхних
артезианских горизонтов (плейстоценовый и эо-плейстоценовый), занимающие
большие площади и имеющие широкое развитие зоны соляно-купольной тектоники.
Осадочные породы, развитые в пределах Прикаспийской впадины,
являются в разной степени водонасыщенными и проницаемыми и только галогенные
кунгурские отложения образуют отчетливо выраженный водоупор, имеющий большое
распространение. Водоупорами для юго-западной части Прикаспийской впадины являются
снизу вверх: мулинский, тульский, верейский, кунгурский,
верхне-среднетриасовые, верхнеюрский, включая глины батского яруса, верхний
мел.
В юго-западной части наблюдается закономерное увеличение
минерализации подземных вод с глубиной до подсолевого гидрогеологического этажа
и характеризуется типом воды от гидрокарбонатно-натриевого до хлоркальциевого.
В надсолевом этаже части бассейна выделяются два водонапорных
яруса, изолированных друг от друга региональной водоупорной толщей акчагыльских
глин: к верхнему ярусу относятся воды песчано-глинистых отложений четвертичного
и плиоценового возраста, нижнему ярусу - воды терригенных, реже карбонатных
отложений мезозоя и верхней перми. Застойный режим подземных вод определяет их
высокую минерализацию и газонасыщенность. Практически весь геологический разрез
содержит воды, которые классифицируются как минеральные.
В целом региональный сток в надсолевых водоносных комплексах
направлен от бортовых зон бассейна к центру, местный - к местным очагам
разгрузки, которые рассредоточены по всей площади бассейна, разгрузка
осуществляется в Каспийское море, многочисленные разрывные нарушения в пределах
соляных куполов, зоны региональных разломов и в речные долины.
В западной части бассейна преимущественно палеогеновый региональный
водоупор, развитый почти повсеместно, надежно изолирует мезо-кайнозойские
водоносные комплексы и обусловливает затрудненные условия циркуляции подземных
вод, высокую их минерализацию и значительную степень метаморфизации их
химического состава.
Неоген-четвертичный водоносный комплекс юго-западной части
Прикаспийской впадины включает в себя водоносные горизонты четвертичных и
акчагыльских отложений. Коллекторами являются пески и песчаники, разгрузка вод
осуществляется в речные долины крупных рек. Общая минерализация увеличивается в
восточном и северо-восточном направлениях и составляет до 10 г/л.
Натрий-хлорный коэффициент больше единицы. По химическому составу воды от
гидрокарбонатно-натриевого до хлормагниевого состава.
В пределах верхнего яруса верхнего гидрогеологического этажа
выделяются водоносные горизонты современных аллювиальных, хвалыно - хазарских,
бакинских отложений, залегающие выше апшеронского водоносного комплекса.
Горизонты и комплексы выдержаны по простиранию, с большим количеством глинистых
прослоев.
Современные аллювиальные отложения и хвалыно-хазарские
морские отложения содержат грунтовые воды. Грунтовые воды распространены
повсеместно в дельтовой части и залегают на глубинах менее 3м, водообильность
горизонта небольшая, дебиты скважин составляют обычно 1 - 4 л/сек. По характеру
и степени минерализации отличаются исключительной пестротой. Минерализация
изменяется от 0,42 г/дм3 до 10,4 г/дм3, заметно
увеличиваясь с глубиной. По химическому составу преобладают гидрокарбонатные
натриево-кальциевые (до 1г/дм3) и хлоридные магниево-натриевые
(свыше 5г/дм3) воды.
Грунтовые воды хвалыно-хазарских отложений повсеместно
распространены в степной части территории. Глубина залегания их 2 - 6м.
Водообильность горизонта низкая, дебиты скважин обычно 0,2 - 1 л/сек.
Минерализация высокая, до 58 - 72 г/дм3. Химический состав стабилен
- хлоридные натриевые. На рисунках 4.3, 4.4 приведены схематические карта
четвертичных образований и гидрогеологическая города Астрахани.
Грунтовые воды изолированы от нижележащих горизонтов
выдержанной толщей глин бакинского возраста мощностью 40 - 50м. В основании
толщи бакинских глин встречаются песчаные прослои мощностью от 5 до 10см,
содержащие высокоминерализованные воды (до 33,9 г/дм3) хлоридного
натриевого состава.
Водоносные комплекс апшеронских отложений распространён
повсеместно. Подземные воды приурочены к песчаным прослоям в толще глин, число
прослоев варьирует в пределах 7 - 8, мощность каждого от 4 до 40м. Воды
высоконапорные, часто скважины самоизливают. Дебит скважин при самоизливе от
40м3/сут. Минерализация колеблется в пределах 15 - 45г/дм3.
По химическому составу воды хлоридные натриевые, с бальнеологическим
содержанием йода и брома. Подстилается апшеронский водоносный комплекс толщей
глин акчагыльского возраста мощностью 162 - 182м.
Палеогеновый водоносный комплекс содержит ряд горизонтов -
это пески с прослоями песчаников палеоцена и эоцена. Воды с минерализацией от 3
до 35 г/л сульфатно-натриевого до хлоридно-натриевого состава; натрий-хлорный
коэффициент метаморфизации, в основном, больше единицы.
Водоносный комплекс верхнего мела - это воды сеноманского
яруса, представленного карбонатными породами, а также песчаными, содержит
пресные и слабоминерализованные воды смешанных типов. В пределах юго-западной части
Прикаспийской впадины водоносный комплекс залегает на глубинах от 200 до 500 м.
С удалением от прибортовой части на восток в область солянокупольных структур
минерализация вод увеличивается до 50 г/л и более, содержание сульфатов и
гидрокарбонатов изменяется. Натрий-хлорный коэффициент больше единицы. В
юго-западной части в отдельных случаях минерализация возрастает до 120 г/л.
Водоносный комплекс нижнего мела приурочен к терригенным
отложениям аптского и альбского ярусов. Минерализация вод изменяется от 40 до
130 г/л. По химическому составу воды хлоркальциевые, имеют повышенное
содержание сульфатов и, незначительное, гидрокарбонатов, содержание йода 4
мг/л, брома 150 мг/л, натрий-хлорный коэффициент составляет от 0,7 до 0,9
(таблица 4.2).
Юрский водоносный комплекс связан с байосскими
песчано-алевритовыми отложениями. Воды хлоркальциевые, минерализацией 160-200
г/л с содержанием йода 6-10 мг/л, брома 100 мг/л. Натрий - хлорный коэффициент
метаморфизации составляет 0,8-0,9.
В юго-западной части Прикаспийской впадины пермотриасовый
водоносный комплекс представлен карбонатными и сульфатными отложениями. Воды
пермотриасового водоносного комплекса относятся к крепким рассолам
хлоркальциевого типа, минерализацией с большим разбросом значений от 30 г/л до
250 г/л и выше. Натрий-хлорный коэффициент составляет 0,55-0,88, брома в
подземных водах пермотриаса содержится от 224 до 750 мг/л. На Астраханском
своде содержание брома составляет 1237 мг/л.
Подземные воды, встречающиеся в солевом комплексе,
характеризуются различными формами залегания: в верхней и средней частях чаще
встречаются линзовидные, а в нижней, приподошвенной как пластовые, так и
линзовидные. Выделяют так же включения рапы с рассолоотдачей от единиц до
десятков кубометров. Коллекторами в нижней части солевого комплекса, как
правило, являются трещиноватые сульфатно-карбонатные породы: ангидриты и
доломиты, кавернозные сульфатные породы, терригенные и карбонатные прослои.
Соли практически непроницаемые и многое в формировании
остаточных межсолевых линз зависит от структуры, текстуры и трещиноватости
солей. Если солевой комплекс кунгурского яруса сложен галитом
мелкокристаллическим, плотным, с прослоями глинистых пород, гипса и, ангидрита,
то он с большим успехом может сохранять линзы с остаточным рассолом. Особенно
такие линзы характерны для прибортовой юго-западной части Прикаспийской
впадины. Подземные воды кунгурской солевой толщи имеют наиболее высокую
минерализацию, хлормагниевый и хлоркальциевый состав, насыщены ионами натрия.
Натрий-хлорное отношение варьирует в широких пределах, средние значения
составляют 0,6. Для расшифровки генезиса рассолов значение имеет содержание
брома.
Н.П. Гребенников определил, что рапопроявления приурочены к
бишофитовым и карналлитовым прослоям, залегающим в верхней части разреза. На
Астраханском своде рапопроявления наиболее часто встречаются в сводах
внутрисолевых складок. В толще солей нередко глинистые пласты чередуются с
трещиноватыми известняками и доломитами, сохранившими емкостные свойства,
несмотря на значительные глубины их залегания.
Температурный градиент в рапосодержащих пластах увеличивается
до 0,031, тогда как в солях он составляет 0,01-0,015.В Прикаспийской впадине
температура колеблется на глубине 4000 м от 85°С до 120°С. Температура на
Астраханском своде в подошве кунгура составила 100-117°С. Высокая температура,
поступающего в скважину рассола, приводит к более интенсивной кристаллизации
солей при подъеме его к устью, а при фонтанировании быстрая кристаллизация
приводит к закупорке скважины, что характерно для Прикаспийской впадины.
В 1991 году В.П. Ильченко составил схематическую
гидрогеохимическую карту рассолов кунгурской соленосной толщи Прикаспийской
впадины, где выделил две зоны: 1- зона развития высококонцентрированных вод
соленостью более 324 г/л; 2 - зона развития высококонцентрированных вод
соленостью менее 324 г/л. На большей части Прикаспийской впадины развиты
рассолы минерализацией более 324 г/л, натрий-хлорное отношение метаморфизации
изменяется от 0,1 до 0,8.
Подсолевой мегакомплекс представлен водоносным комплексом
нижней перми, водоносным комплексом средне-верхнекаменноугольных отложений,
водоносным комплексом нижнебашкирских и нижнекаменноугольных отложений,
водоносным комплексом дотульских отложений и водоносным комплексом домулинских отложений.
Воды нижнепермского водоносного комплекса изучались на
сопредельных с АГКМ площадях (Высоковская, Сухотинская и др. Воды
хлоркальциевого типа; коэффициент метаморфизации от 0,8 до 0,96.
Газонасыщенность вод от 400 см3/дм3 до 1720 см3/дм3.
Водорастворенные газы имеют УВ состав.
Воды каменноугольных и девонских отложений. Вскрыты на Астра
ханском ГКМ, Еленовской, Георгиевской, Харабалинской и др. разведочных
площадях. Минерализация вод башкирского яруса в пределах АГКМ колеблется в
пределах от 61 до 147 г/дм3: наименьшая отмечается в присводовых,
центральных частях залежи (62 г/дм3); наибольшая - на ее крыльях
(111 г/дм3). Минерализация законтурных вод достигает 147 г/дм3
- скв. 5Д (Рис. 6). На Харабалинской, Георгиевской и Еленовской площадях минерализация
пластовых вод среднего карбона составляет 80,1 г/дм3, 91,9 г/дм3
и 110,6 г/дм3 соответственно; на Кордуанской и Имашевской площадях -
141 г/дм3.
По сравнению с водами одновозрастного комплекса Прикаспийской
впадины минерализация подошвенных вод АГКМ аномально занижена. Так, воды из
пород среднего и нижнего карбона Волгоградского Поволжья и юго-западной части
Прикаспийской впадины, на Оренбургском месторождении и в юго-восточной части
впадины (Каратон и др.) при сходных литолого-фациальных характеристиках
вмещающих отложений представляют собой рассолы хлоридно-кальциевого типа общей
минерализации 230-270 г/дм3 (Твердохлебов И.И., год).
Для подземных вод АГКМ характерно увеличение газонасыщенности
пластовых вод вниз по стратиграфичсекому разрезу.
Девонские воды на Астраханском своде вскрыты скв. 2
Володарской. При забое 5974 м из скв. Отобрана пластовая вода минерализацией
228 г/дм3 и плотностью 1,163 г/см3. Тип воды
хлоркальциевый, коэффициент метаморфизации 0,4.
Исходя из различной степени взаимосвязи подземных вод с
поверхностным стоком и «соотношения преобладания влияния экзогенных и
эндогенных» факторов, В.А. Всеволожский (1994) выделяет для артезианских
бассейнов три гидродинамические зоны, в той или иной мере охватывающие
структурно-гидрогеологические этажи.
В пределах первого гидрогеологического этажа по кровле первой
водоупорной толщи, не вскрытой эрозией, проводится граница двух
гидродинамических зон. Верхняя зона характеризуется свободной связью с
поверхностными водами и соответствует зоне свободного (интенсивного) водообмена
(по Н.К. Игнатовичу). В нижней гидродинамической зоне нет открытой связи с
поверхностью. Разгрузка и питание подземных вод осуществляется преимущественно
за счет вертикальной фильтрации через слабопроницаемые толщи. В принятой
классификации эта зона соответствует зоне затрудненного водообмена.
Во втором гидрогеологическом этаже по мере погружения и
удаления от краевых зон бассейна происходит ухудшение связи с поверхностью и
уменьшение скоростей и расходов фильтрации. По характеру изменения расходов в
пределах второго этажа выделяются все три гидродинамические зоны со значительно
различными сроками водообмена.
Первая зона («краевая область питания») охватывает
периферийную часть бассейна и по условиям формирования динамики подземных вод
является зоной интенсивного водообмена. Для второй зоны характерно резкое
уменьшение расходов латеральных потоков и преобладание затрудненной
вертикальной разгрузки подземных вод в вышележащие водоносные комплексы, что
приводит к увеличению сроков водообмена. Эту зону можно рассматривать как зону
относительно затрудненного водообмена или как «переходную» зону. Третья
гидродинамическая зона определяется отсутствием питания, формирующегося в
периферийных частях бассейна. Движение может осуществляться только путем
затрудненной фильтрации. В нее входят наиболее погруженная часть второго
гидрогеологического этажа и весь третий этаж. В соответствии с принятой
терминологией - это зона весьма затрудненного водообмена.
Заключение
Гидрогеологический резервуар, подземная водоносная система -
это не только коллектор или хранилище подземных вод. Когда резервуар обладает
сложным строением, в нем сочетаются коллекторы и водоупоры. В зависимости от
положения в пространстве, резервуар подземных вод по гидравлическому механизму
может быть и накопителем, и проводником
Проведение границ между природными емкостями подземных вод во
многом зависит от четкого представления об их объеме и соподчиненности. Кроме
основных типов резервуаров, существуют и другие подразделения - более мелкие и
более крупные.
Закономерности локализации подземных вод в осадочных
отложениях зависят преимущественно от их литолого-фациальных особенностей. В
кристаллических породах литология отступает на второй план, и основное значение
приобретает трещиноватость пород. Влияют и другие факторы, в частности
положение водоносных пород-коллекторов в пространстве. Деление на накопители и
проводники весьма условно, поскольку один и тот же водоносный горизонт или
обводненная зона может быть то накопителем (при его мульдообразной форме), то
проводником (на участках наклонного залегания в области питания).
Одними из главных свойств породы, определяющими ее отношение
к воде, являются пористость. Под пористостью понимают наличие в породах малых
пустот - капиллярных пор, под скважностью - наличие в породах более крупных,
некапиллярных промежутков - скважин различного происхождения и формы. Иногда
совокупность всех пустот объединяют в понятие общей пористости.
Последнее свойство характеризуется влагоемкостью, т. е. тем
количеством воды, которое удерживается в почвах и горных породах при
определенных условиях. Она выражается процентным отношением веса или объема
воды, содержащейся в породах, соответственно или к весу сухой породы, или к ее
объему. В зависимости от степени насыщенности почв и пород водой и тех сил
(капиллярных, адсорбционных), которые удерживают в них воду, влагоемкость
подразделяется на несколько категорий.
Гидрогеологическая стратификация осадочных пород исходит из
наличия выдержанных по площади водосодержащих коллекторов пластового,
порово-пластового, трещинно-пластового пли более сложных типов, чередующихся в
разрезе с водоупорными толщами. Строго обоснованная система деления этих толщ
на водоносные породы пока отсутствует.
Разграничение подземных водоносных систем на основе
структурно-вещественного принципа иногда требует учета и других факторов
(климат, рельеф, гидрография и т.д.). При сходном геологическом строении
резервуары могут находиться в различных климатических зонах. Важную роль играют
геоморфологические условия и характер гидрографической сети, определяющие
положение водоразделов подземного стока. Только всесторонний анализ позволит
верно оконтурить емкость подземных вод.
В гидрогеологическом отношении территория входит в
Прикаспийский артезианский бассейн, приуроченный к одноименной впадине,
осадочный чехол которой гидрохимическим комплексом соленосных отложений нижней
перми делится на два гидрогеологических этажа - подсолевой и надсолевой.
Характерными особенностями бассейна являются огромные мощности водовмещающих
образований, молодой возраст верхних артезианских горизонтов (плейстоценовый и
эоплейстоценовый), занимающие большие площади и имеющие широкое развитие зоны
соляно-купольной тектоники.
Осадочные породы, развитые в пределах Прикаспийской впадины,
являются в разной степени водонасыщенными и проницаемыми и только галогенные
кунгурские отложения образуют отчетливо выраженный водоупор, имеющий большое
распространение.
В юго-западной части наблюдается закономерное увеличение
минерализации подземных вод с глубиной до подсолевого гидрогеологического этажа
и характеризуется типом воды от гидрокарбонатно-натриевого до хлоркальциевого.
Список литературы
1. Авдеева
А.Б. Отчёт о НИР «Оценка современного состояния и перспективы использования
минеральных вод Волгоградской и Астраханской областей». Геоминвод, 1982 г,
240с.
. Богомолов
Г.В. Гидрогеология с основами инженерной геологии. М., Высшая школа, 1975.
3. Вернадский
В.И. История минералов земной коры. Том 2. История природных вод. Часть 1.
Выпуск 1. Л., Госхимиздат, 1933.
4. Дерпгольц
В.Ф. Мир воды. Л., Недра, 1979. 254 с.
5. Каменский
Г.Н., Толстихина М.М., Толстихин Н.И. Гидрогеология СССР. М., Госсоолтехиздат,
1959.
. Клименко
И.А. Комплексное освоение ресурсов нефтяных месторождений. М., Недра, 1991г.
8. Курмангалиев
P.M. Круговорот воды и закономерности флюидогеодинамики земной коры. Уральск,
2004.
9. Овчинников
А.М. Общая гидрогеология. М., Госгеотехиздат, 1955.
10. Пиннекер
Е.В. Общая гидрогеология. Новосибирск, 1980 г, 230 с
. Пиннекер
Е.В. Подземная гидросфера. Новосибирск, 1984 г, 159 с.
. Саваренский
Ф.П. Формирование подземных вод. М., 1948 г.
. Словарь
по гидрогеологии и Инженерной геологии, М., 1971г.
. Толмачев
М.П. Обновление легенды Государственной гидрогеологической карты масштаба 1:200
000 Нижневолжской серии. Волгоград, ФГУ ВТФГИ, Волгоградская ГРЭ, 2001, 63 с.