Система автоматического регулирования расхода добавок в сушильном барабане прямоточного действия
Введение
Автоматизация управления является одним из
основных направлений повышения эффективности производства. Ускорение
научно-технического прогресса и интенсификация производства невозможны без
применения средств автоматизации.
Характерной особенностью современного этапа
автоматизации состоит в том, что она опирается на революцию вычислительной
техники, на самое широкое использование микропроцессорных контроллеров, а также
на быстрое развитие робототехники, гибких производственных систем,
интегрированных систем проектирования и управления SCADA-систем.
Одним из направлений повышения эффективности
энергетического производства является внедрение вычислительной техники в
системах управления. Широкое внедрение АСУ - это объективная необходимость,
обусловленная усложнением задач управления, повышением объёмов информации,
которые необходимо перерабатывать в системах управления.
На сегодняшний день на любом конкурентоспособном
предприятии внедрены АСУТП и АСУ, которые выполняют до 90% задач предприятия.
В организации обслуживания технологического
процесса большую роль играют локальные (местные) системы управления
технологическим оборудованием и процессами и предназначены для контроля и
управления отдельными, несвязанными между собой системами регулирования и в иерархии
образуют нижний уровень. Эти системы управления являются одноконтурными и для
синхронного управления такими системами, наилучшим будет использование в
управлении контроллера. Так как при непрерывном характере производства основной
задачей автоматизации является автоматическое регулирование параметров, а при
дискретном производстве наиболее подходит программно логическое управление.
Решение поставленных задач предусматривает целый
комплекс вопросов по проектированию и модернизации существующих и вновь разрабатываемых
систем автоматизации технологических процессов и производств.
Широкое внедрение систем автоматизации приносит
промышленности кроме прямого экономического эффекта существенный
организационный эффект, так как требует специалистов высокой квалификации, и,
следовательно, повышает общий уровень организации производства (уменьшает
степень неупорядоченности) и его культуры, улучшает стиль и эффективность
руководства и т.д.
Уровень механизации и автоматизации
производственных процессов сегодня является одним из важнейших показателей
научно-технического прогресса в стране.
1. Анализ литературных источников
Рассмотрим несколько литературных источников,
которые помогут нам увидеть направления в автоматизации сушильного барабана.
Для сравнения возьмем источники с разными годами издания. Первый из них - А. А.
Ларченко - Автоматизация производственных процессов в промышленности
строительных материалов - 1975 г.
К тепловым агрегатам цементного производства
относятся сушильные барабаны для сушки сырья, добавок (шлак, трепел, опоки) и
угольного топлива.
В сушильных барабанах можно производить сушку
материалов с достаточно высокой первоначальной влажностью и вязкостью.
При вращении барабана материал непрерывно
перемешивается и перемещается, так как барабан имеет наклон к горизонту 3-50,
скорость вращения барабана равняется 3-4 об/мин.
Сушильным агентом являются горячий воздух или
дымовые газы, поступающие в барабан из специальной топки.
Температура газов для легковоспламеняющихся
сортов угля доходит до 4500 С, для сырья и добавок - до 10000 С.
Материалы и газы могут двигаться в одном
направлении - прямоточно, или навстречу друг другу - противоточно. Прямоточные
барабаны обеспечивают большую скорость сушки в начале процесса, чем в конце, и
на выходе относительно более низкую температуру материала. Поэтому прямоточные
барабаны наиболее распространены в цементной промышленности.
Конструктивно барабан представляет собой сварной
цилиндр длиной от 12 до 30 м и диаметром 2.2-3.2 м. В начале его обычно
расположены направляющие винтовые лопасти и цепи.
Барабаны имеют пересыпные устройства,
обеспечивающие максимальное соприкосновение материала и газов и наибольшую
равномерность распределения материала в поперечном сечении.
Прямоточные сушильные барабаны работают
следующим образом. Дробленый сырой материал весовым дозатором или тарельчатым
питателем подается по течке в сушильный барабан. Здесь за счет тепла газов
материал высушивается. Затем газы с испаренной влагой дымососом удаляются в
атмосферу, а высушенный материал направляется на склад или в бункера цементных
мельниц. Сушильные барабаны используют тепло от сгорания твердого, жидкого или
газообразного топлива.
Начальная влажность добавок, используемых при
получении определенных сортов цемента, меняется в довольно широких пределах.
Например, привозной шлак может иметь влажность от 6 до 28%, а для нормальной
работы цементной мельницы влажность добавок не должна превышать 3%.
Поскольку сушильные барабаны почти на всех
цементных заводах не связаны прямо с цементными мельницами, а имеют
промежуточные емкости, управление работой барабанов основывается на принципе
максимального теплоиспользования. Это означает, что в сушильный барабан
вводится максимально возможное количество тепла, ограничиваемое надежностью
работы оборудования, и максимально возможная загрузка. После этого определяется
способность барабана высушивать материал до заданного значения.
Вторым источником может послужить
интернет-страница со следующим названием: «Предложения по автоматизации
сушильного барабана».
При использовании контроллера TSX Premium
реализуется полное автоматическое функционирование сушильного барабана.
В общей технологической схеме составного цеха
сушильный барабан функционирует только при операциях сушки необходимого запаса
материала, после чего отключается.
В соответствии с данным технологическим режимом
выделяются следующие режимы работы барабана:
· автоматическое включение технологических
подсистем и подготовка к розжигу;
· автоматический розжиг и подготовка
теплового режима сушки материала (разогрев барабана);
· сушка материала с заданной степенью
интенсивности;
· экономичный режим ожидания сушки
(пауза на разогретом барабане);
· выключение технологических подсистем
барабана.
Все подсистемы барабана функционируют как в
дистанционном (автоматическом) режиме, так и в режиме местного управления.
Изменение режима работы подсистемы “Дистанционный - местный” осуществляется
переключателем на местном щитке управления.
Управление сушильным барабаном осуществляется
как из центральной операторской составного цеха, так и со щита управления
сушильным барабаном. Приоритет управления определяется положением ключа на щите
управления барабаном “Станция оператора - щит управления”.
При положении ключа “Станция оператора”
управление осуществляется с удаленной станции оператора, построенной на базе ПК
с экранным интерфейсом.
При положении ключа “Щит управления” сигналы
управления формируются кнопками и переключателями на щите.
Общий алгоритм функционирования САУ
. При поступлении команды “Сушильный барабан
включить” осуществляется опрос разрешающих сигналов на автоматическое
управление подсистемами. Результат опроса отражается на табло состояний
подсистем
|
Наименование
подсистемы
|
Состояние
“ДИСТ - МЕСТ”
|
|
Механизм
вращения барабана
|
ДИСТ
|
|
Система
УХО и дымосос
|
ДИСТ
|
|
Вентилятор
воздуха на горение
|
ДИСТ
|
|
Регулирующая
заслонка воздуха на горение
|
ДИСТ
|
|
Вентилятор
воздуха на разбавление
|
ДИСТ
|
|
Регулирующая
заслонка воздуха на разбавление
|
ДИСТ
|
|
Регулирующий
клапан на газе
|
ДИСТ
|
При наличии в табло состояния “МЕСТ” необходимо
по месту разрешить дистанционное управление соответствующей подсистемой и
повторить команду “Сушильный барабан включить”
. При разрешении всех подсистем на дистанционную
работу осуществляется проверка их функционирования и включение по следующему
алгоритму:
· включение механизма вращения
барабана проверяется по срабатыванию блок-контакта пускателя;
· включение дымососа проверяется по
срабатыванию блок-контакта пускателя и по разряжению в топке на заданный
интервал;
· включение вентилятора воздуха на
горение проверяется по срабатыванию блок-контакта пускателя и по давлению после
регулирующей заслонки на заданный интервал;
· включение вентилятора воздуха на
разбавление проверяется по срабатыванию блок-контакта пускателя и по давлению
на заданный интервал.
· управляемость регулирующих органов
проверяется подачей контрольных сигналов на открытие (закрытие) при
отслеживании датчика положения МЭО.
По окончании проверки функционирования подсистем
на щите управления загораются сигнальные лампы об их включении (аналогичная
информация на мониторе оператора).
. Система переходит в диалоговый режим подачи
газа к горелкам и розжига. Загорается табло “Вентиляция топки”. По истечении
10-12 минут выдается команда “Розжиг разрешен”.
По данному сигналу вручную взводится отсечной
клапан. Если давление поданного газа после регулирующего органа лежит в
допустимом интервале, система фиксирует отсечной клапан подачей напряжения на
него.
Диалоговый режим завершается автоматическим
розжигом, согласно алгоритму розжига горелки.
Алгоритм розжига завершается с появлением
сигнала прибора Ф34 “ПЛАМЯ ОБЩ.”
. По завершении процедуры розжига система
переходит в режим разогрева сушильного барабана и включает контрольные сигналы
системы аварийной сигнализации и безопасности. Сигнал “аварийная сигнализация
включена”.
. Алгоритм разогрева сушильного барабана
осуществляется на фиксированном расходе газа (подбирается при технологической
наладке) при включенном контуре соотношения “Газ - воздух”.
При попадании температур в нижние границы
заданного интервала включаются контура управления температурами на выходе и на
входе барабана. Подбором коэффициентов регулирования при наладке (вводятся в
контроллер с панели дисплея) достигается выход на заданные температуры без
перерегулирования.
По достижении рабочего температурного режима
выдается сигнал разрешения на загрузку материала.
. Сигналы включения оператором линий подачи
материала в барабаны воспринимаются контроллером как информационные, сигнал
разрешения загрузки снимается. При отсутствии загрузки материала в барабаны
более N минут система запрашивает у оператора разрешение на перевод барабана на
тепловой режим ОЖИДАНИЯ. Делает это автоматически при получении подтверждения
оператора. Вывод барабана на рабочие температуры осуществляется командой
“Разогрев барабана”.
. Технологический раздел
.1 Описание технологического процесса сушки
добавок, вводимых в цемент в сушильных барабанах
В цементной промышленности для сушки добавок
(доменный шлак, опока, и др.), вводимых в цемент, в основном применяют
сушильные барабаны. В связи с физическими свойствами добавок для их сушки
применяют сушильные барабаны прямоточного типа, т.е. такие, в которых топочные
газы и высушиваемый материал движутся в одном направлении.
Добавки подают со склада грейферными кранами в
бункера сушильных барабанов, а из них питающими устройствами во вращающийся
сушильный барабан. Топка для сжигания топлива и подачи топочных газов в барабан
установлена со стороны подачи сырого материала. Конструкция топки зависит от
вида применяемого топлива. В топку подают не только топливо, но и необходимый
для горения воздух, причем соотношение того и другого регулируют при помощи
соответствующих регуляторов. Топочные газы поступают из топки в смесительную
камеру, куда дополнительно подают воздух.
На другом конце сушильного барабана, со стороны
выгрузки высушенного материала, имеется пылеосадительная камера, пройдя которую
дымовые газы через пылеулавливающие устройства выбрасываются в атмосферу. Через
всю эту систему поток горячего газа просасывается дымососом, установленным за
пылеулавливающими устройствами. Сушильный барабан приводится во вращение
электродвигателем (через редуктор, подвенцовую и венцовую шестерни). Высушенные
добавки из пылеосадительной камеры поступают на транспортирующие устройства и
подаются ими на склад сухих добавок.
В целях обеспечения нормального процесса помола
цемента необходимо, чтобы влажность материалов, подаваемых в шаровую мельницу,
не превышала 2 -3%. Поэтому основное назначение системы регулирования состоит в
обеспечении заданной влажности высушенного шлака с максимальным
теплоиспользованием барабана, т.е. с вводом в него такого количества тепла,
какое в состоянии выдержать технологическое оборудование. Для установленного
теплового режима и данной влажности шлака загрузку поддерживают максимально
возможной. Количество вводимого в барабан тепла зависит от температуры в
смесительной камере и количества теплоносителя, которые устанавливают при
выборе теплотехнического режима. В качестве преобразователя температуры
теплоносителя используют термопару, которую помещают в смесительной камере.
Температуру в барабане поддерживают постоянной. Количество теплоносителя при
управлении процессом сушки не измеряют и не регулируют. При постоянном режиме
работы вентилятора и дымососа, неизменных положениях регулирующих заслонок и
шиберов и при отсутствии больших переменных подсосов воздуха количество
теплоносителя колеблется незначительно.
В связи с тем, что прибора, автоматически
определяющего влажность материала на выходе из барабана, нет, ее контролируют
по косвенному показателю - температуре, измеряемой термометром сопротивления.
Чтобы качественно регулировать процесс сушки
материалов в барабане, необходимо иметь соответствующий опережающий импульс,
который бы отражал изменение входных параметров. Таким импульсом является
температура внутри сушильного барабана, измеряемая термопарой, установленной с
горячего конца от обреза барабана. Для предохранения термопары от механических
ударов ее помещают в прочный кожух, а для уменьшения инерционности термопары ее
рабочий спай приваривают к кожуху и при вращении барабана он попеременно то
погружается в материал, то омывается газами. Показания температуры в барабане
снимают при помощи двух контактных колец и съемного устройства.
Глубину погружения рабочего спая термопары в
барабаны устанавливают экспериментально.
Загрузку сушильного барабана изменяют в
зависимости от температуры в нем, а устанавливают эту температуру в зависимости
от температуры шлака на выходе из барабана.
Система автоматического регулирования процесса
сушки доменного шлака в прямоточном сушильном барабане (рис.2.1) состоит из
регулятора температуры в смесительной камере и регулятора загрузки материалом с
коррекцией по температуре материала на выходе из барабана. Для регулирования
температуры газового потока в смесительной камере сушильного барабана применен
трехпозиционный регулятор. Импульсы от термопары, установленной в смесительной
камере у обреза барабана, передаются на электронный потенциометр, с
трехпозиционным электрическим регулятором. Если температура в смесительной
камере выходит за установленные предельные значения, то исполнительный механизм
изменяет положение поворотной заслонки, которая регулирует подачу топлива в
топку. При розжиге сушильного барабана, когда требуется быстро поднять
температуру в смесительной камере, в позиционном регуляторе предусмотрен
контакт, при помощи которого в этот период в барабан подается большее
количество топлива, чем в период установившегося режима.
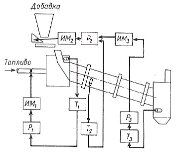
Рис 2.1 Функциональная схема
автоматического регулирования процесса сушки добавок в сушильном барабане
2.2 Система регулирования сушки
добавок в сушильном барабане
Для сушки сырья используются
сушильные барабаны прямоточного типа, на выходе которых влажность сырья не
должна превышать 3%. Сырье подается на барабан тарельчатым питателем. Сушка
осуществляется подачей в барабан топлива.
Система автоматического
регулирования процесса сушки предусматривает работу барабана в режиме
максимального теплоиспользования. Система состоит из двух контуров
регулирования - загрузки барабана и стабилизации температуры в смесительной
камере.
Рис. 2.2 Блок-схема автоматического
регулирования процесса сушки добавок в сушильном барабане
Система стабилизации температуры в
смесительной камере состоит из термопары Т1, регулирующего прибора Р1 и
исполнительного механизма ИМ1, воздействующего на подачу газообразного топлива
в топку барабана.
Вторая система - регулирование
расхода добавки - двухкаскадная. Первый каскад системы в качестве датчика
использует термопару Т2, установленную в барабане на расстоянии 1м от горячего
конца. Съем сигнала производится посредством контактных колец и троллей.
Термопара измеряет температуру газового потока внутри барабана, зависящую от
влажности материала, поступающего в барабан. Экспериментальные исследования
барабана как объекта автоматического регулирования показали пропорциональную
зависимость температуры от количества и влажности подаваемых добавок. Сигнал от
термопары поступает на регулирующий прибор Р2 и через исполнительный механизм
ИМ2 воздействует на положение ножа тарельчатого питателя загрузки.
Второй каскад системы -
регулирование влажности готового продукта корректирует работу первого каскада,
воздействуя через исполнительный механизм ИМ3 на задатчик регулирующего прибора
Р2. Влажность продукта оценивается косвенным путем при помощи контроля
температуры материала на выходе барабана. Сигнал малоинерционной термопары Т3,
установленной в приемном бункере на выходе барабана в специальном лотке, подан
на вход корректирующего регулятора Р3.
Производственные испытания системы
автоматического регулирования показали, что производительность барабана
возрастает на 5%, удельный расход топлива па сушку снижается на 11%,
уменьшается диапазон колебания влажности высушенных добавок.
При автоматизации достаточно сложных
технологических объектов с большим числом параметров, подлежащих, контролю и
регулированию, целесообразно применять малогабаритные устройства. Как правило,
у таких объектов нет необходимости регистрировать показания всех точек
регулирования. Для других точек достаточно вынести на щит указывающие приборы.
Наконец, бывает необходимо быстро изменить схемы регулирования без изменения
щитовой части. Все это можно сделать, используя существующую систему
пневмоавтоматики, входящую в состав Государственной системы приборов (ГСП). В
настоящее время ГСП для контроля и регулирования технологических процессов
имеет следующие ветви: пневматическую, электрическую и гидравлическую.
.3 Требования к автоматизированным
системам контроля и управления
При автоматизации достаточно сложных
технологических объектов с большим числом параметров, подлежащих контролю и
регулированию, целесообразно применять малогабаритные устройства. Как правило,
у таких объектов нет необходимости регистрировать показания всех точек регулирования.
Для других точек достаточно вынести на щит указывающие приборы. Наконец, бывает
необходимо быстро изменить схемы регулирования без изменения щитовой части. Все
это можно сделать, используя существующую систему пневмоавтоматики, входящую в
состав Государственной системы приборов (ГСП). В настоящее время ГСП для
контроля и регулирования технологических процессов имеет следующие ветви:
пневматическую, электрическую и гидравлическую.
Нормальными условиями работы
сушильного барабана, при которых система эффективно функционирует, являются:
- хорошая пропускная способность входных;
1. непрерывность в подаче сырого материала в
барабан;
2. изменение влажности сырого материала в
пределах 8-25%;
. бесперебойность подачи топлива;
. исправное состояние всех механизмов
агрегата;
. отсутствие переменных подсосов по всему
газовоздушному тракту.
Для получения таких
положительных эффектов автоматическая система регулирования должна
удовлетворять следующим требованиям:
• Обеспечить статическую ошибку
- не более 5 %.
• Максимальное
перерегулирование σ, - не более
10 %.
• Время регулирования
- не более
3с.
• Время нарастания - не более 1с.
• Запас устойчивости по амплитуде -
не менее 10 дБ.
• Запас устойчивости по фазе - от 30 до 80 град.
3. Раздел автоматизации
Исходные данные к проекту:
. Регулируемая величина:
Температура добавок.
. Объект автоматизации:
Сушильный барабан прямоточного действия.
. Исходные данные для
идентификации объекта автоматизации - dan(1401:1500)
. Интервал измерения (время
дискретизации) - ТS = 0,2с.
. Передаточные функции:
• Датчика: Кg = 0,08.
• Регулируемого органа: Кро =
1,1.
• Исполнительного механизма
.1 Обоснование по выбору новой
структуры модернизируемой системы автоматизации
Из общего процесса регулирования,
выбираем контур подачи добавок.
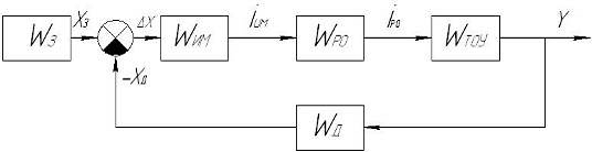
Рис. 3.1 Функциональная схема контура
регулирования АСР процесса сушки добавок в сушильном барабане
На основе функциональной схемы контура
регулирования АСР процесса сушки сырья в сушильном барабане, составим
структурно-функциональную схему (Рис.3.2), для определения автоматического
регулятора.
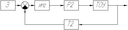
Рис. 3.2 Структурно-функциональная схема контура
регулирования АСР процесса сушки добавок в сушильном барабане
На структурно-функциональной схеме приняты
следующие обозначения:
З - Задатчик; Р2 - регулирующий орган; ИМ2 -
исполнительный механизм;
ТОУ - технологический объект управления; Т2 -
датчик температуры.
Для анализа АСР процесса сушки сырья в сушильном
барабане, составим алгоритмическую схему (Рис.3.3).
Рис. 3.3 Алгоритмическая схема контура
регулирования АСР процесса сушки сырья в сушильном барабане
Для большинства элементов системы автоматизации,
математические модели статических и динамических свойств известны:
• Датчика: Кg = 0,08.
• Регулируемого органа: Кро =
1,1.
• Исполнительного механизма
.
.2 Идентификация системы автоматизации
- расход добавки, т/час
Под идентификацией динамических объектов
понимают процедуру определения структуры и параметров их математических
моделей, которые при одинаковом входном сигнале объекта и модели обеспечивают
близость выхода модели к выходу объекта при наличие какого-то критерия
качества.
В результате проведенного эксперимента был
получен массив данных состоящий из 2 тысяч значений входного параметра и 2
тысяч значений выходного параметра. Для загрузки в рабочую область MATLAB
массива данных необходимо выполнить команду: >>load datta
После выполнения команды в рабочей области
появились массив входных переменных U
и массив выходного параметра Y.
Интервал дискретизации указывается
дополнительно:
>> Ts=0.1=
.100
Для объединения исходных данных в единый файл
воспользуемся командой:
>>
dan=iddata(y(1401:1500),u(1401:1500),Ts)domain data set with 100
samples.interval: 0.1
Unit (if specified)
Unit (if specified)
Сформированный файл указывает, что он содержит
результаты 100 измерений с интервалом дискретизации 0.1 с. Входными переменными
является массив U, а выходным
параметром Y.
Для наглядности сформированного файла необходимо
в его структуру ввести обозначения входных и выходных данных:
>> set(dan,'InputName','Расход
добавки','OutputName','Темперетура')
>> dan.inputunit='т/час';
>> dan.outputunit='град
Ц';
Для просмотра полной информации о полученном
файле воспользуемся командой:
>> get(dan)=: 'Time': []:
[100x1 double]: 'Same as OutputData': {'Темперетура'}: {'град Ц'}: [100x1
double]: 'Same as InputData': {'Расход добавки'}: {'т/час'}: Inf: 'zoh':
0.1000: []: [100x0 double]: '': 'Exp1': []: Для графического
представления данных воспользуемся командой:
>>plot(dan)
Рис. 3.4 Графическое представление исходных
данных
Для дальнейшего использования полученных
исходных данных необходимо провести предварительную обработку этих данных с
целью удаления тренда из набора данных и если необходимо отфильтровать данные с
помощью имеющихся средств в пакете System
Identification
Toolbox. Данные операции
проведем в графическом интерфейсе System
Identification
Toolbox, который
запускается из командной строки командой: >>
ident
System Identification Tool .......
done.
Импортируем файл данных в среду интерфейса с
помощью команды data
- import
Рис. 3.5 Импортируемые данные
Запустим режим быстрого старта, для чего в
падающем меню Operations
выберем Quick
Start. При выборе этого
режима производится:
удаление тренда из массива экспериментальных
данных;
формирование усеченных массивов данных с именами
dande и dandv
для построения моделей.
Рис. 3.6 Температура и расход добавки
После проведения предварительной обработки
данных можно приступить к нахождению оценки модели. В предложенном
списке Estimate
выбираем Parametric
models, данный выбор
приведет к открытию диалогового окна задания структуры модели. Получим
параметрические модели из предложенного списка (ARX,
ARMAX, OE,
BJ, State
Space), оценка
производится нажатием кнопки Estimate.
Существует возможность изменить параметры модели в редакторе Order
Editor. Воспользуемся
значениями по умолчанию, за исключением ARX
и State Space,
у которых параметры выберем, нажав кнопку Order
Selection.
Рис. 3.7 Температура
Для анализа моделей воспользуемся средствами System
Identification
Toolbox: Model
output, Transient
resp, Frequency
resp.
Для анализа модели ТОУ возьмем модель arx441
для чего перетащим ее на иконку To
Workspace, при этом модель arx441
появится в рабочем пространстве MATLAB.
Полученные модели представлены в так называемом
тета - формате и являются дискретными. Для преобразования модели из тета -
формата в вид удобный для дальнейшего использования в пакете System
Identification
Toolbox имеются
специальные функции.
Преобразуем модель тета-формата многомерного
объекта в вектор передаточных функций, связанных с выбранным входом:
>> [A, B] =th2arx (arx441)= 1.0000 -1.1324
0.0794 0.3034 -0.1239= 0 0.0098 0.0050 0.0583 0.0571
>> [num,den]=th2tf(arx441)= 0
0.0098 0.0050 0.0583 0.0571= 1.0000 -1.1324 0.0794 0.3034 -0.1239
где num,
den соответственно
числитель и знаменатель дискретной передаточной функции.
Получим дискретную передаточную функцию:
>> Zarx441 = tf(num, den, Ts)
function:
.009776 z^3 + 0.004965 z^2 + 0.05834
z + 0.05713
------------------------------------------------^4
- 1.132 z^3 + 0.07935 z^2 + 0.3034 z - 0.1239
time: 0.1
Преобразуем дискретную модель в непрерывную, и
представим ее в виде передаточной функции:
>> sarx441 = thd2thc
(arx441)time IDPOLY model: A(s)y(t) = B(s)u(t) + C(s)e(t)(s) = s^4 + 20.88 s^3
+ 195.6 s^2 + 816.5 s + 1050
(s) = 1.241 s^3 - 9.629 s^2 + 68.18
s + 1082
(s) = s^4 + 31.72 s^3 + 453.1 s^2 +
3164 s + 8305
using ARX from data set eDatfunction
0.000862053 and FPE 0.00119045
>> [num1, den1] =th2tf
(sarx441)=
.0e+003 *
0.0012 -0.0096 0.0682 1.0815=
.0e+003 *
.0010 0.0209 0.1956 0.8165 1.0501
>> sysarx441 = tf (num1, den1)
function:
W(p) =
Приведенные передаточные функции
являются одной и той же моделью, записанной в разных формах и форматах.
Проанализируем динамические
характеристики модели. Для этого воспользуемся командой: >>
step(sysarx441)
Рис. 3.8 Переходная характеристика
В поле графика указаны основные характеристики
переходящего процесса: время нарастания, время регулирования, установившееся
значение выходной координаты.
Определим частотные характеристики моделей с
помощью команды:
>> bode(sysarx441)
Рис. 3.10 Частотные характеристики
Также можно просмотреть годограф Найквиста:
Рис. 3.11 Годограф Найквиста (АФЧХ)
Значения запасов устойчивости можно определить
также и в режиме командной строки MATLAB
с помощью команды:
>> [Gm, Pm, Wcg, Wcp] =margin
(sysarx441)= 3.6308= 158.2520= 6.4733= 0.5375
Где m
- запас устойчивости по амплитуде в натуральных величинах на частоте Wcg,
Pm - запас
устойчивости по фазе на частоте Wcp.
Для определения запасов устойчивости в
логарифмическом масштабе необходимо выполнить следующие операции:
>> Gmlog=20*log10(Gm)= 11.2000
Как видно, определение запасов устойчивости
последним способом позволяет значительно точнее вычислять эти значения, чем на
графиках частотных характеристик.
Анализ частотных характеристик показывает, что
модели arx441 являются
устойчивыми с соответствующими запасами устойчивости.
Для решения задач анализа и синтеза систем
управления важно знать ответ на другой не менее важный вопрос, чем полученные
временные, частотные и статистические характеристики: обладает ли объект
свойством управляемости в смысле возможности его перевода из заданной начальной
точки (или области) в заданную конечную точку (или область)?
Решение проблемы управляемости основано на
анализе уравнений переменных состояния и формулируется следующим образом:
объект называется вполне управляемым, если выбором управляющего воздействия
u(t) на интервале времени [t0> tk;] можно перевести его из любого начального
состояния y(to) в произвольное заранее заданное конечное состояние y(tk).
Критерием управляемости линейных стационарных
объектов является условие: для того чтобы объект был, вполне управляем,
необходимо и достаточно, чтобы ранг матрицы управляемости равнялся размерности
вектора состояний п.
В пакете Control System Toolbox имеется функция
ctrb, формирующая матрицу управляемости в пространстве состояний. Для того,
чтобы воспользоваться этой функцией необходимо вычислить матрицы А, В, С, D с
помощью команды:
>> [A, B, C, D] = ssdata (sysarx441)
= -20.8836 -12.2273 -6.3792 -2.0509
.0000 0 0 0
8.0000 0 0
0 4.0000 0
=
= 0.6205 -0.3009 0.2663 1.0562
= 0
Вычислим матрицу управляемости:
>> Mu=ctrb (A, B)
=
.0e+003 *
.0020 -0.0418 0.4810 -3.5064
0.0320 -0.6683 7.6956
0 0.2560 -5.3462
0 0 1.0240
Определим ранг матрицы управляемости:
>> nMu=rank(Mu)= 4
Ранг матрицы управляемости равен 4 и размерность
вектора состояния равна 4, следовательно объект управляем.
При синтезе оптимальных систем с обратной связью
сами управления получаются как функции от фазовых координат. В общем случае
фазовые координаты являются абстрактными величинами и не могут быть
исследованы. Поддается измерению (наблюдению) вектор у = (у1, ...,yk)T ,
который обычно называют выходным вектором или выходной переменной, а его
координаты - выходными величинами. Выходная переменная функционально связана с
фазовыми координатами, и для реализации управления с обратной связью необходимо
определить фазовые координаты по измеренным значениям выходной переменной. В
связи с этим возникает проблема наблюдаемости, заключающаяся в установлении
возможности состояния определения состояния объекта (фазового вектора) по
измеренным значениям выходной переменной на некотором интервале.
Решение проблемы наблюдаемости основано на
анализе уравнений переменных состояния и формулируется следующим образом:
объект называется вполне наблюдаемым, если по реакции y(tk) на выходе объекта,
на интервале времени [t0, tk] при заданном управляющем воздействии u(t) можно
определить начальное состояние вектора переменных состояния x(t), являющихся
фазовыми координатами объекта.
Критерием наблюдаемости линейных стационарных
объектов является условие: для того, чтобы объект был вполне наблюдаемым,
необходимо и достаточно, чтобы ранг матрицы наблюдаемости равнялся размерности
вектора состояния п.
Определим матрицу наблюдаемости:
>> My=obsv (A, C)=
.0e+003 *
.0006 -0.0003 0.0003 0.0011
.0178 -0.0055 0.0003 -0.0013
.2839 0.2194 0.1083 0.0365
.4168 -2.6045 -1.6650 -0.5822
Определим ранг матрицы наблюдаемости:
>> nMy=rank(My)= 4
Таким образом, для исследуемой модели объекта,
размерность вектора состояний, определяемая размером матриц A и C равна четырем
и ранг матрицы наблюдаемости MY также равен четырем, что позволяет сделать
вывод о том, что объект автоматизации является вполне наблюдаемым, т.е. для
него всегда можно определить по значениям выходной величины y(t) вектор
переменных состояния, необходимый для синтеза системы управления.
.3 Анализ системы автоматизации процесса сушки
добавок в сушильных барабанах
На основании заданных значений передаточных
функций построим схему системы автоматического регулирования расхода добавок в SIMULINK
(рис. 3.12).
Wдатчика =0.08;
Wрегулируемого
органа=1.1;
Wисполнительного
механизма =10/ (0.15р+1).
регулятор шлак сушка барабан
Рис. 3.12 САР производительности расхода добавок
в программе Simulink
Собрав структурную схему в Simulink,
находим динамические характеристики системы автоматического регулирования
производительности расхода добавок в сушильном барабане (рис. 3.12.1).
Рис. 3.12.1 Переходная характеристика САР
производительности расхода добавок в сушильном барабане
Переходная характеристика:
· Время регулирования составляет 1.53
с.
· Установившееся значение - 5.94
· Время нарастания - 0.418
с.
· Максимальное перерегулирование - 20.3%
Для построения частотных характеристик (рис.
3.12.2), необходимо разомкнуть систему
Рис. 3.12.2 ЛАХ и ЛФХ САР производительности
расхода добавок в сушильном барабане
Требования к системе:
· обеспечить статическую ошибку - не более 5%;
· максимальное перерегулирование σ
- не более 10%;
· время регулирования tp
- не более 3 с;
· время нарастания - не более 1 с;
· запас устойчивости по фазе - от 30
до 80 град.
Сравнив полученные результаты с требуемыми,
можно сделать вывод, что исходная система не удовлетворяет требуемым
показателям. Чтобы обеспечить необходимые характеристики системы, нужно ввести
регулятор.
Необходимым условием надежной устойчивой работы
АСР является правильный выбор типа регулятора и его настроек, гарантирующий
требуемое качество регулирования.
3.4 Обоснование выбора автоматического
регулятора
В зависимости от свойств объектов управления,
определяемых его передаточной функцией и параметрами, и предполагаемого вида переходного
процесса выбирается тип и настройка линейных регуляторов.
= 0.23;
=0.4; τ/То =0.575
Рис. 3.4 Переходная характеристика
ТОУ
Основные области применения линейных
регуляторов определяются с учетом следующих рекомендаций:
И-регулятор со статическим ОР - при медленных
изменениях возмущений и малом времени запаздывания (τ/То<
0,1);
П-регулятор со статическим и астатическим ОР -
при любой инертности и времени запаздывания, определяемые соотношением τ/То
≤ 0,3;
ПИ-регулятор при любой инертности и времени
запаздывания ОР, определяемом соотношением τ/То
≤ 1;
ПД и ПИД - регуляторы при условии τ/То
≤ 1 и малой колебательности переходных процессов.
Учитывая то, что передаточная функция у меня
имеет вид:

,
то можно сделать вывод, что мы будем
вводить ПИД-регулятор, опираясь на выше описанную методику. Также нам
желательно получить переходный процесс с минимальной интегральной квадратичной
оценкой, при которой обеспечивается наименьшее значение суммарного
динамического отклонения.
.5 Анализ системы автоматизации
сушки добавок в сушильном барабане с ПИД-регулятором
Составим САР производительности
производства добавок ПИД-регулятором (рис.3.5).
Рис. 3.5. САР производительности производства
расхода добавок в сушильном барабане, с добавленным в нее ПИД-регулятором
В исходную систему вводим ПИД-регулятор и для
обеспечения заданных параметров находим его коэффициенты kp,
ki, kd.Так
же в систему была введена дополнительная обратная связь и усилитель kg.
По некоторым значениям система не удовлетворяет
требуемым значениям. Чтобы подобрать параметры ПИД-регулятора введем в систему
блок Signal
Constant.
Рис. 3.5.1 Окно Signal
Constant до начала
оптимизации поараметров
Значения kp,
ki и kd
записываются в командной строке Matlab,
в соответствии с таблицей 1. начальное значение kg=1.
Таблица 1
|
Применяемый
регулятор
|
Предполагаемый
процесс
|
|
Апериодический
|
20%
пререригулированний
|
Минимум
интегр. квадрат. оценки
|
|
ПИД-регулятор
|
 
|
|
|
Рис.3.5.2 Окно
Signal Constant, процесс оптимизации параметров регулятора
По окончании работы блока
Signal Constant в окне
Optimization Progress можно получить оптимизированные значения коэффициентов
ПИД - регулятора (kp, ki, kd), а также
усилителя (kg). В нашем
случае наилучший будет
Рис.3.5.3 Окно Optimization Progress, процесс
оптимизации параметров ПИД-регулятора и усилителя
В LTI
Viewer смотрим переходную
характеристику (рис.3.5.4) и частотные характеристики (рис.3.5.5 и рис.3.5.6)
Рис. 3.5.4 Переходная характеристика САР
производительности расхода добавок (с ПИД-регулятором)
Рис. 3.5.5 АЧХ АСР производительности расхода
добавок
По годографу Найквиста (рис.3.5.6) также видно,
что система устойчива.
Рис. 3.5.6 АЧХ АСР производительности расхода
добавок
Таблица 2 - результаты исследования системы
|
Параметр
|
Требуемые
значения
|
Значение
без регулятора
|
Значение
с ПИД-регулятором
|
|
Статическая
ошибка,%
|
Не
более 0,05
|
493
|
0
|
|
Максимальное
перерегулирование, σ,%
|
Не
более 10
|
20,3
|
1
|
|
Время
регулирования tр, с.
|
Не
более 3
|
1,53
|
1
|
|
Время
нарастания, с.
|
Не
более 1
|
0,418
|
0,626
|
|
Запас
устойчивости по амплитуде, Дб
|
Не
менее 10
|
11,2
|
|
Запас
устойчивости по фазе, град.
|
От
30 до 80
|
-113
|
57,8
|
Заключение
Для заданной системы автоматического
регулирования расхода добавок в сушильном барабане прямоточного действия при
обеспечении температурного режима мы подобрали ПИД-регулятор, который помог нам
добиться требуемого результата:
1 Время нарастания мы получили равным 0,626 с
(в задании - не более 1 с)
2 Время регулирования - 1с (в задании - не
более 3 с)
Максимальное перерегулирование - 1% (в
задании - не более 10%)
Статическую ошибку снизили до 0 (в
задании - не более 5%)
Запас устойчивости по амплитуде равен
11,2 дБ (в задании - не менее 10 дБ)
Запас устойчивости по фазе - 57,8 град
(в задании - от 30 до 80 град)
Таким образом все требования были выполнены.
Список используемой литературы
1.
А.С.Боронихин, Ю.С.Гризак. Основы автоматизации производства и
контрольно-измерительные приборы на предприятиях промышленности строительных
материалов.М.,Стройиздат, 1974г.
.
И.Б.Гинзбург. Автоматическое регулирование в промышленности строительных
материалов, М.,Стройиздат, 1974г.
.
Руппель А.А. Курс лекций по дисциплине «Автоматизация технологических процессов
и производств»
.
Идентификация объектов автоматизации технологических процессов в среде MATLAB:
Методические указания к лабораторным работам/ Сост.: А-й А. Руппель, А-р А.
Руппель. - Омск: Изд-во СибАДИ, 2003. - 30 с
.
Руппель А.А. АНАЛИЗ И СИНТЕЗ СИСТЕМ АВТОМАТИЗАЦИИ ТЕХНОЛОГИЧЕСКИХ ПРОЦЕССОВ:
Учебное пособие. - Омск: Изд-во СибАДИ, 2006. - с.