Синтез биметальной присадки и исследование ее физико-химических и эксплуатационных свойств

  • Вид работы:
    Дипломная (ВКР)
  • Предмет:
    Другое
  • Язык:
    Русский
    ,
    Формат файла:
    MS Word
    1,19 Мб
  • Опубликовано:
    2014-10-18
Вы можете узнать стоимость помощи в написании студенческой работы.
Помощь в написании работы, которую точно примут!

Синтез биметальной присадки и исследование ее физико-химических и эксплуатационных свойств

Содержание

Введение

1. Литературный обзор

2. Экспериментальная часть. Синтез биметальной присадки и исследование её физико-химических и эксплуатационных свойств

2.1 Физико-химические основы синтеза биметальной присадки

2.2 Схема и описание лабораторной установки синтеза биметальной присадки

2.3 Методики эксперимента

2.3.1 Методика получения сырья для синтеза биметальной присадки

2.3.2 Методика проведения синтеза биметальной присадки

2.4 Характеристики исследуемых материалов

2.4.1 Полиметилсилоксановые теплоносители

2.4.2 Присадки

2.5 Экспериментальные данные, их анализ

2.5.1 Работа по определению содержания металлов в присадке

2.5.1.1 Получение раствора хлорида металлов

2.5.1.2 Определение содержание железа

2.5.1.3 Определение содержания меди

2.5.2 Определение кинематической вязкости присадки при +50°C

2.5.3 Определение оптической плотности

2.5.4 Определение термоокислительной стабильности в объёме масла

2.6 Выводы

3. Охрана труда и противопожарная защита

4. Выводы

5. Список используемой литературы

Введение

Данная дипломная работа выполнялась во Всероссийском Научно-Исследовательском Институте Нефтепереработки (ОАО "ВНИИ НП") в лаборатории авиационных масел.

Темой дипломной работы является "Синтез биметальной присадки и исследование её физико-химических и эксплуатационных свойств".

Присадки - это вещества, добавляемые к жидким топливам, смазочным материалам <#"793905.files/image001.gif">

Где R - водород или углеводородный радикал, обычно метил (CH3), этил (C2H4) или фенил (C6H5), которые также содержат в своей структуре метильные группы. Жидкие полиорганосилоксаны иногда называют олигоорганосилоксанами (от греческого олиго - немного), чтобы подчеркнуть их сравнительно невысокую молекулярную массу (от сотен до нескольких тысяч а. е. м). Иногда к ним применяют название "силиконовые масла". Они представляют собой бесцветные, химически инертные, не растворимые в воде, но растворимые в ароматических углеводородах и спиртах жидкости.

Общими достоинствами полиорганосилоксанов являются их отличные низкотемпературные свойства (температура застывания) и вязкостно-температурная характеристика (кинематическая вязкость при 20°С, - 50°С и 50°С), хорошая термостабильность (стабильность к окислению при высоких температурах), очень низкая испаряемость и различные диэлектрические свойства. [5]

На свойства жидкостей оказывает большое влияние радикал R, который приведён в формуле выше.

Существуют три типа линейных полиоргансилоксанов:

Если R - метил, мы имеем полиметилсилоксаны (ПМС):

синтез биметальная присадка топливо


Они являются наиболее распространёнными и широко применяемыми по сравнению с другими ПОС. Молекулы этих жидкостей построены регулярно и симметрично. Особенностью их является малая зависимость вязкости от температуры в широком интервале. Однако регулярность строения их цепей молекул обуславливает их способность кристаллизоваться при охлаждении до - 65°С и терять в результате этого текучесть, что затрудняет их эксплуатацию.

Выпускают несколько марок ПМС, различающихся между собой вязкостью, значение которой (при 20°C) используется в маркировке, например: ПМС-20, ПМС-50 и др. [6]

ПМС отличаются:

широким диапазоном рабочих температур от - 60 до +300 С°;

незначительным изменением вязкости при значительном изменении температуры;

низкой сжимаемостью (практически не сжимается - как вода);

химической инертностью (ни с чем не реагирует, ничего не разрушает);

низким поверхностным натяжением (для пеногасителей);

нетоксичностью (на их основе производят составы для деинтонсикации организма);

стабильными и высокими диэлектрическими характеристиками (очень важно для электроэнергетики). [7]

В таблице №1 представлены основные свойства ПМС.

Таблица №1. Основные свойства полиметилсилоксанов.

 

ПМС-


5

20

50

100

400

1000

Плотность при 20°С, г/см3

0,93

0,96

0,97

0,98

0,98

0,99

Вязкость при - 50°C, мм2

30

172

398

880

2884

8500

Вязкость при 20°C, мм2

4,5 - 5,5

18 - 22

45 - 55

95 - 105

380 - 420

950 - 1050

Вязкость при 50°C, мм2

2-2,5

14

32

55

208

750

Температура кипения, °C

170

250

250

> 300

> 300

> 300

Температура застывания,°C

-68

-66

-66

-64

-62

-60


Если R этил - полиэтилсилоксаны (ПЭС):


Они являются жидкостями с кинематической вязкостью от 1,5 мм2/с и более. Отличительной особенностью ПЭС является полная совместимость с минеральными маслами, в связи с чем их широко используют в качестве основ масел и смазок. В отличие от минеральных масел они обладают более низкой температурой застывания (-100°C) и хорошими вязкостно-температурными свойствами (таблица №2), но вследствие невысокой термоокислительной стабильности могут работать при температуре не выше 150°C.

Таблица №2. Основные свойства полиэтилсилоксанов.

Марка

Плотность при 20°С, г/см3

Вязкость при 20°C, мм2

Температура,°C




кипения

вспышки

ПЭС-1

0,86 - 0,94

1,5 - 4,5

80 - 100

-

ПЭС-2

0,93 - 0,95

6 - 12

110 - 150

110

ПЭС-3

0,95 - 0,97

14 - 17

150 - 185

125

ПЭС-4

0,97 - 1,18

42 - 48

185 - 250

170

ПЭС-5

0,99 - 1,02

200 - 500

>250

260


Если R метил и фенил - полиметилфенилсилоксаны (ПМФС):


ПМФС в зависимости от состава могут эксплуатироваться при температурах от - 60°С до +200°С длительно и до 350°С кратковременно. Одним из наиболее важных свойств ПМФС, отличающих их от ПМС, является повышенная термоокислительная стабильность и способность хорошо смазывать некоторые металлы, например соприкасающиеся стальные и латунные поверхности при умеренных нагрузках. Основные свойства ПМФС приведены в таблице №3.

ПМФС с низким содержанием фенильных групп имеют хорошие низкотемпературные свойства. С увеличением числа C6H5 - групп температура застывания повышается, а также повышается стойкость к окислению. Это определяется стабильностью связи Si - C6H5. [6]

Таблица №3. Основные свойства полиметилфенилсилоксанов.

Марка

Плотность при 20°С, г/см3

Вязкость при 20°C, мм2

Температура,°C




кипения

застывания

вспышки

ПМФС - 4

1,100

600-1000

290

-20

335

ПМФС-5

1,079

1800-3000

350

-5

330

ПМФС-6

1,095*

45-100*

350

-10

370


*При 100°С

Полиорганосилоксаны используются в промышленности как:

.        Основы низкотемпературных и высокотемпературных:

консистентных смазок, паст и вазелинов;

моторных и трансмиссионных масел;

пищевых масел;

.        Добавки в:

полирующие составы и мастики,

полирующие составы для мебели;

полирующие составы для автомобилей;

средства бытовой химии;

косметические средства и др;

.        В качестве разделительных и антиадгезионных смазок пресс-форм:

в производстве резинотехнических и пластмассовых изделий;

шинной промышленности;

конвейерных лент;

в производстве каучука;

в производстве пластмассовых изделий.

.        Охлаждающие и диэлектрические жидкости силовых трансформаторов;

5.      Жидкости для повышения прочности и бездефектности при обработке стеклоизделий и стерилизации медицинских инструментов и во многих других отраслях промышленности.

.        Теплоносители для открытых и закрытых систем (с доступом и без доступа кислорода). [8]

В данной дипломной работе полиорганосилоксаны рассматриваются как теплоносители для открытых систем.

Такие теплоносители должны отвечать следующим требованиям:

не оказывать корродирующего действия на материал оборудования;

иметь высокий коэффициент теплоотдачи;

не иметь токсических свойств, быть взрыво- и пожаробезопасным;

быть доступным и иметь низкую стоимость;

обладать низкой вязкостью при отрицательных температурах;

иметь достаточный рабочий температурный диапазон;

иметь высокую устойчивость к термоокислению. [9]

Устойчивость к термоокислению является наиболее важным свойством теплоносителя. Для того, чтобы улучшить это свойство, разрабатываются и производятся различные присадки, способные повысить температурный предел к термоокислению и увеличить срок службы теплоносителя.

Наиболее перспективными присадками для теплоносителей на основе ПОС являются соединения некоторых металлов переменной валентности. Высокая ингибирующая активность таких присадок объясняется способностью атома металла дезактивировать свободные радикалы, обрывая цепной процесс окисления полиоргонасилоксанов.

Для стабилизации теплоносителей предложено использовать соединения железа (Fe), церия (Ce), титана (Ti), ванадия (V), циркония (Zr), гафния (Hf), индия (In), никеля (Ni), марганца (Mn), меди (Cu).

Все эти металлы относятся к числу переходных элементов побочных подгрупп III, IV, VIII групп периодической системы элементов и имеют сходную структуру внешних электронных уровней.

Валентные электроны этих металлов находятся на близких по энергиям d и ns-орбиталях. Этим объясняется способность таких металлов активно участвовать в окислительно-восстановительных реакциях, связанных с переходом металла из одного валентного состояния в другое, и способность к многократному обрыву цепей окисления и регенерации в активное валентное состояние по схеме:


где R - пероксирадикалы ( или )

Металлы могут вводиться в стабилизируемую кремнийорганическую жидкость в виде органических, неорганических и кремнийорганических соединений. Использование тех или иных соединений металла определяется условиями эксплуатации стабилизируемого продукта.

Органические соединения металлов переменной валентности: октоаты, капронаты, алкоксисоединения, олеинаты, лаураты, стеараты, нафтенаты рассматриваются в ряде патентов в качестве эффективных стабилизаторов кремнийорганических жидкостей против термоокислительной деструкции.

Однако применение таких соединений в качестве антиокислительных присадок ограничено из-за склонности к постепенному осаждению из полиорганосилоксановой жидкости.

Кроме того, органическая часть молекулы при температуре выше 200°С окисляется с образованием продуктов, не растворимых в силоксановых жидкостях.

Этих недостатков лишены металлокремнийорганические соединения, в которых металл имеет кремнийорганическое обрамление, близкое по химической природе к стабилизирующей жидкости.

Известен способ получения железо-, церий или медьсодержащих кремнийорганических соединений при совместном окислении соли металла с полиорганосилоксаном. Синтез такого соединения проводят при интенсивном барботаже воздуха через реакционную смесь при температуре выше 200◦С. При этом происходит окисление и отрыв органической части молекулы от металла при одновременной деструкции полисилоксановой жидкости.

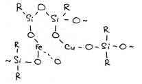
В результате образуется металлокремнийорганическое соединение, в котором металл образует связь . Кремнийорганическое обрамление металла в таких присадках обеспечивает их хорошую совместимость со стабилизируемой жидкостью и высокую стабильность к термоокислительному разрушению.

Основой разработки металлосодержащих антиокислительных присадок послужили научные положения о возможности повышения ингибирующей активности металлов переменной валентности в реакциях окисления-восстановления за счёт введения второго металла в присадку, содержащую один металл. [10]

Исходя из вышесказанного целью дипломной работы является:

описать физико-химические основы процесса получения антиокислительной биметальной присадки;

провести синтез биметальной присадки;

дать характеристики исследуемым материалам, а именно: теплоносителям на основе ПМС - ПМС-20, ПМС-100 и ПМС-200; монометальной и биметальной присадки.

провести ряд испытаний по исследованию физико-химических свойств полученной присадки, а именно: определить кинематическую вязкость при +50°С, оптическую плотность, содержание металлов в присадке; а также исследовать эксплуатационное свойство - термоокислительную стабильность теплоносителя с присадкой;

сделать выводы о проделанной работе;

описать основные требования по технике безопасности и противопожарным мероприятиям при работе в лаборатории

ОАО "ВНИИ НП";

описать основные требования к охране окружающей среды при получении биметальной присадки;

произвести экономический расчёт затрат на оборудование, энергию и материалы, используемых при проведении синтеза присадки.

2. Экспериментальная часть. Синтез биметальной присадки и исследование её физико-химических и эксплуатационных свойств


2.1 Физико-химические основы синтеза биметальной присадки


Получение биметальной присадки основано на реакции взаимодействия раствора ацетилацетоната меди с монометальной присадкой, содержащей железо.

Ацетилацетонат меди относится к классу кетонов и имеет формулу Cu (C5O2H7) 2 или сокращённо - Cu (acac) 2. Ацетилацетонат меди получается по реакции взаимодействия хлорида меди с раствором ацетилацетона:

CuCl2*2H2O + 2CH3-C-CH3=C-CH3 → Cu(C5O2H7)2 + 2HCl

                                  ||            |      

                                 O          OH  

Процесс синтеза присадки проходит при температуре 280⁰С при атмосферном давлении с непрерывной подачей воздуха.

В процессе синтеза происходит частичное окисление жидкости с образованием летучих продуктов реакции и повышением вязкости жидкости.

Данная присадка является новой разработкой, поэтому однозначных данных о механизме и выделяющихся побочных продуктах в ходе реакции нет.

Предположительный химизм реакции синтеза биметальной присадки:

                                    

фрагмент металлокремниорганической     ацетилацетонат меди                        биметальная присадка

                   присадки                  

В результате такого синтеза получается присадка, представляющая собой стабильный при длительном хранении раствор в силоксановой жидкости макромолекул металлкремнийорганического соединения, несущего ионы двух металлов в активной форме: железа и меди (Fe и Cu).

Синтезированная высокомолекулярная присадка является эффективным стабилизатором полисилоксановых жидкостей.

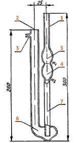
2.2 Схема и описание лабораторной установки синтеза биметальной присадки


Синтез биметальной присадки ведётся в приборе (рисунок №1), состоящем из четырёхгорлой колбы 7. Колба снабжена термометром 5, капельной воронкой 8, отводной трубкой 9 и барботёром 4 для подачи воздуха. Колба посредством отводной трубки соединена с водяным холодильником 10 и приёмником для сбора конденсата 12, который крепится к штативу 11. Приёмник снабжён отводным штуцером для выброса воздуха и газообразных продуктов окисления 13, а также краном для периодического слива конденсата.

В четырёхгорлую колбу прибора загружают расчётное количество монометальной присадки, включают обогрев и начинают подачу предварительно осушенного воздуха в колонках с осушителем 2 из расчёта 3 см3 в минуту на 1 г присадки. В капельную воронку загружают предварительно приготовленный раствор ацетилацетоната меди. В холодильник подают воду на охлаждение. Для успешного проведения процесса необходимо строго поддерживать в колбе заданную температуру и равномерную подачу раствора в течение каждого часа. При снижении температуры ниже 280°C, подача раствора временно прекращается до установления нужной температуры.

Через каждый час из колбы отбирается проба в количестве 1-2 см3 в пробирку для определения внешнего вида раствора присадки. Отобранную пробу рассматривают в проходящем свете электролампы. Раствор в пробирке должен быть прозрачным, допускается наличие слабой опалесценции.

По окончании подачи раствора выключают обогрев колбы и охлаждают присадку до 130-150°С при продувке воздухом. Дальнейшее охлаждение до 30-50°С продолжают без подачи воздуха.

Полученная присадка фильтруется при комнатной температуре на воронке 15 через бумажный фильтр в колбу 14. После фильтрации присадка анализируется на соответствие нормам ТУ, представленным в таблице №8, и отправляется на затаривание.

2.3 Методики эксперимента


2.3.1 Методика получения сырья для синтеза биметальной присадки

Как уже ранее упоминалось, сырьём для получения биметальной присадки является ацетилацетонат меди, который вводится в ранее полученную монометальную присадку.

Ход работы:

.        Навеску хлорида меди (42 г) растворили в дистиллированной воде (300 мл). Раствор перемешиваем на магнитной мешалке в течение 20 минут.

2.      Приготовили спиртовой раствор ацетилацетона. Спирт (100 мл) и ацетилацетон (15 мл).

.        Приготовили 8% раствор аммиака (36,956 г +69,294 г воды)

.        При перемешивании вводим в раствор хлорида меди аммиачный раствор. По окончанию перемешивания проверяем pH (pH=7).

.        В полученный раствор добавляем спиртовой раствор ацетилацетон. Проверяем pH (pH=7).

.        Полученную смесь фильтруем на воронке Бюхнера под вакуумом 0,74 атм.

.        Сушим несколько часов.

.        Перекристаллизация проходит в спирто-толуольном растворе (100 мл этанола + 200 мл толуола)

.        Образуются кристаллы ацетилацетоната меди тёмно-синего цвета.

2.3.2 Методика проведения синтеза биметальной присадки

1.      В четырёхгорлую колбу прибора загружают расчётное количество монометальной присадки, включают обогрев и начинают подачу предварительно осушенного воздуха из расчета 3 см3 в минуту на 1 г жидкости;

2.      В капельную воронку загружают предварительно приготовленный раствор ацетилацетоната меди;

.        В холодильник подают воду на охлаждение;

.        Для успешного проведения процесса необходимо поддерживать заданную температуру и равномерную подачу раствора в течение каждого часа (280÷285)°С. При снижении температуры ниже 280°С подача раствора временно прекращается до установления нужной температуры;

5.      Через каждый час из колбы отбирается проба в количестве 1-2 см3 в пробирку для определения внешнего вида раствора присадки. Отобранную пробу рассматривают в проходящем свете электролампы. Раствор в пробирке должен быть прозрачным, допускается наличие слабой опалесценции;

6.      Во время синтеза присадки с воздухом из колбы выносятся пары ксилола и летучие продукты деструкции силоксановой жидкости. Они конденсируются в холодильнике и собираются в колбе-приёмнике, откуда периодически сливаются. Небольшое количество газообразных продуктов выбрасывается в вытяжной шкаф;

.        По окончании подачи раствора ацетилацетоната меди выключают обогрев колбы и охлаждают присадку до 130-150°С при продувке воздухом. Дальнейшее охлаждение до 30-50°С продолжают без подачи воздуха.

.        Полученная присадка фильтруется при комнатной температуре на воронке через бумажный фильтр.

2.4 Характеристики исследуемых материалов


2.4.1 Полиметилсилоксановые теплоносители

ПМС-20 - основа термостойких антиадгезионных (разделительных) эмульсий для пресс-форм в производстве шин, РТИ, для смазки контактов между пластиком и резиной. Основа смазок систем трения металл-пластик, механической аппаратуры. Основа пеногасителей широкого спектра применения.

Низкотемпературные и высокотемпературные теплоносители, в том числе теплоносители для котлов. Амортизаторные, гидравлические, демпфирующие и охлаждающие жидкости. Диэлектрик. Пластификатор для различных эластомеров. В производстве бытовой химии, косметических средств, фармакологии и медицине.

Таблица №4. Физико-химические характеристики ПМС-20.

№ п. п.

Наименование показателя

Норма

1

Температура застывания,°С

-65

2

Плотность, кг/м3

950

3

Поверхностное натяжение, Н/м

20,6

4

Температура вспышки,°С

232

5

Коэффициент преломления

1,4000


ПМС-100 - используются в качестве основы термостойких антиадгезионных (разделительных) эмульсий для пресс-форм в производстве шин, РТИ, для смазки контактов между пластиком и резиной. Основа смазок систем трения металл-пластик, механической аппаратуры. Основа пеногасителей широкого спектра применения. Высокотемпературные теплоносители и незамерзающие теплоносители в системах теплоснабжения. Амортизаторные, гидравлические, демпфирующие и охлаждающие жидкости. Диэлектрик. Пластификатор для различных эластомеров. В производстве бытовой химии, косметических средств, фармакологии и медицине.

Таблица №5. Физико-химические характеристики ПМС-100.

№ п. п.

Наименование показателя

Норма

1

Температура застывания,°С

-65

2

Плотность, кг/м3

966

3

Поверхностное натяжение, Н/м

20,9

4

Температура вспышки

315

5

Коэффициент преломления,°С

1,4025


ПМС-200 - демпфирующая, амортизационная, гидравлическая и разделительная жидкость; теплоноситель до 200-250°С, основа консистентных смазок, добавка в полирующие составы, средства бытовой химии и косметические средства. [11]

Таблица №6. Физико-химические характеристики ПМС-200.

№ п. п.

Наименование показателя

Норма

1

Температура застывания,°С

-60

2

Плотность, кг/м3

968

3

Поверхностное натяжение, Н/м

21,0

4

Температура вспышки

315

5

Коэффициент преломления,°С

1,4030


2.4.2 Присадки

Монометальная присадка - металлокремнийорганическая присадка, предназначенная для стабилизации полиметилсилоксановых жидкостей, содержащая железо.

Таблица №7. Характеристика монометальной присадки.

Наименование показателя

Нормы качества по ТУ 38.401-58-406-2013

Фактические показатели

Методы оценки

Внешний вид

Однородная прозрачная жидкость темно-коричневого цвета

Однородная прозрачная жидкость темно-коричневого цвета

По п.4.2 ТУ 38.401-58-406-2013

Массовая доля железа, % мас.

Не менее 0,40

0,4

По п.4.3 ТУ 38.401-58-406-2013

Вязкость кинематическая, при 50°С, мм2/с (сСт)

Не более 160

34,1

ГОСТ 33

Содержание воды

отсутствие

-

ГОСТ 2477

Массовая доля механических примесей, % мас.

не более 0,10

-

ГОСТ 6370

Оптическая плотность

не более 0,60

0,47

По п.4.4 ТУ 38.401-58-406-2013


Биметальная присадка - металлокремнийорганическая присадка, предназначенная для стабилизации полиметилсилоксановых жидкостей, содержащая железо и медь.

Таблица №8. Характеристика биметальной присадки.

Наименование показателя

Нормы качества по ТУ 38.401-58-406-2013

Методы оценки

Внешний вид

Однородная прозрачная жидкость темно-коричневого цвета

Однородная прозрачная жидкость темно-коричневого цвета

По п.4.2 ТУ 38.401-58-406-2013

Массовая доля железа, % мас.

Не менее 0,40

0,41

По п.4.3 ТУ 38.401-58-406-2013

Массовая доля меди, % мас.

Не менее 0,30

0,01

По п.4.3 ТУ 38.401-58-406-2013

Вязкость кинематическая, при 50°С, мм2/с (сСт)

Не более 160

62,18

ГОСТ 33

Содержание воды

отсутствие

-

ГОСТ 2477

Массовая доля механических примесей, % мас.

не более 0,10

-

ГОСТ 6370

Оптическая плотность

не более 0,60

0,55

По п.4.4 ТУ 38.401-58-406-2013


2.5 Экспериментальные данные, их анализ

 

.5.1 Работа по определению содержания металлов в присадке

Сущность метода заключается в разложении анализируемого продукта с целью выделения металлов раствором соляной кислоты. В ходе работы получается раствор хлорида металлов, который далее идёт на определение в нём содержания железа и меди.

2.5.1.1 Получение раствора хлорида металлов

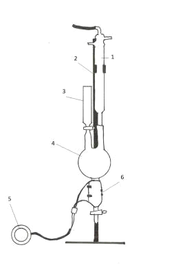
Работа проводится на установке для разложения присадки.

Рисунок 3. Установка для разложения присадки.

- дефлегматор; 2 - штатив; 3 - загрузочная воронка; 4 - круглодонная двугорлая колба; 5 - автотрансформатор; 6 - нагревательная часть.

Ход работы:

.        Через загрузочную делительную воронку 3 в прибор загружается

,905 г присадки в 30 мл толуола. Стаканчик ополаскивается 2-3 раза 20 мл толуола и сливается в этот же прибор;

.        Затем вносится 50 мл 6н раствора соляной кислоты. После закрыть кран воронки и включить обогрев с помощью лабораторного автотрансформатора 5;

3.      Содержимое колбы 4 довести до кипения и кипятить в течение 30 минут, регулируя температуру с помощью автотрансформатора;

.        После выключить обогрев, охладить в течение 5-10 минут и слить нижний слой раствора хлорида металлов в стакан;

.        Затем через загрузочную делительную воронку добавить 50 мл дистиллированной воды и включить обогрев. Кипятить в течение 15 минут;

.        В случае образования эмульсии при кипячении с соляной кислотой в прибор добавить 20 мл н-бутилового спирта и кипятить содержимое ещё 10-15 минут. Бутиловый спирт удаляется выпариванием;

.        Выключить обогрев и после охлаждения смеси слить нижний слой хлорида металлов в стакан.

2.5.1.2 Определение содержание железа

Определение содержания железа в присадке проводится титрованием раствора хлорида металлов компликсоном III.

А) Установление титра (Т) 0,02Н раствора комплексона III по металическому цинку

. В три конические колбы вносят пипеткой по 10 см 3 раствора хлористого цинка, приливают по 70-80 см 3 дистиллированной воды и нейтрализуют аммиаком из капельницы по универсальной индикаторной бумаге до рН 4-5 (наносят стеклянной палочкой каплю раствора на индикаторную бумагу и проверяют рН по шкале);

. Далее добавляют 15 см 3 буферного ацетатного раствора и 3 - 4 капли индикатора ксиленолового оранжевого до появления красно-фиолетовой окраски раствора.

. Полученный раствор титруют 0,02Н раствором комплексона III из микробюретки до перехода окраски раствора в жёлтую.

Титр 0,02Н раствора комплексона III, выраженный в мг железа на 1 см 3 (мг/см 3) (Т), вычисляют по формуле:

Т=0,854

 

где, V1 - объём раствора комплексона III, пошедший на титрование, см3;

V - объём раствора хлористого цинка, взятый для титрования, см 3;

C - содержание цинка в 1 см 3 раствора хлористого цинка, мг;

,854 - соотношение грамм-атомов железа и цинка;

Б) Определение содержания железа

Ход работы:

1.      Раствор хлорида металлов перенести из стакана в мерную колбу на

мл и довести объём раствора дистиллированной водой до метки. Перемешать;

.        Затем пипеткой 50 мл полученного раствора отобрать в стакан и установить на магнитную мешалку. Включить иономер, установленный в режиме определения pH и нейтрализовать раствор 2н раствором едкого калия до pH=1,5-2;

3.      Раствор перенести в 250 мл колбу, добавить 15 мл 10%-ный раствор сульфосалициловой кислоты и нагреть содержимое до 50°C;

.        В горячем состоянии раствор титровать комплексоном III до изменения окраски от фиолетово-малиновой до бесцветной;

.        Опыт проводят три раза.

.        Обработка результатов

Содержание железа в испытуемом образце,%, вычисляется по формуле:

%Fe = (100*T*V*250) / (g*50)

где, Т - титр комплексона III, мг/см 3;

V - объём комплексона III, пошедший на титрование железа, см 3;

g - масса анализируемого продукта, мг;

- объём хлорида железа, полученного после разложения анализируемого продукта, см 3;

- объём раствора хлорида железа, взятого для титрования, см 3.

Содержание железа в испытуемом продукте вычисляют как среднее арифметическое двух параллельных определений.

Расхождения между параллельными определениями не должны превышать % от среднего арифметического результата.

%Fe= (100*0,56*1,24*250) /905*50=0,41%

Таким образом, содержание железа в присадке 0,41%

2.5.1.3 Определение содержания меди

А) Работа на установке для экстрагирования.

Рисунок №4. Установка для экстрагирования.

1 - штатив; 2 - делительная воронка; 3 - стакан.

Ход работы:

.        Из колбы, содержащей солянокислый раствор хлорида металлов отобрать пипеткой 2-10 мл раствора (в зависимости от ожидаемого содержания меди), и перенести в делительную воронку, добавить 15 мл водного раствора аммиака (1:

2.      1) и перемешать;

.        Затем в делительную воронку налить 2 мл раствора диэтилдитиокарбамата натрия, перемешать и оставить на 1-2 минуты для получения окрашенного комплекса жёлтого цвета;

.        В делительную воронку налить 25 мл хлороформа и экстрагировать путём сильного встряхивания в течение 2 минут;

.        После отстаивания смеси экстракт хлороформа (нижний слой) слить и отфильтровать в кювету для измерения оптической плотности раствора;

.        Параллельно проводят холостой опыт, используя все реактивы, кроме содержащих медь;

.        Определение оптической плотности проводят на

фотоэлектроколориметре, светофильтр №3 (длина волны 450 мм) в кювете с толщиной слоя 10 мм. В качестве раствора для сравнения принимается хлороформ.

Б) Работа на фотоэлектроколориметре КФК-2

Рисунок №5. Фотоэлектроколориметр КФК-2.

- стрелка показаний; 2 - осветитель; 3 - рукоятка ввода цветных фильтров; 4 - рукоятка перемещения кювет; 5 - рукоятка "Чувствительность" (ввода фотоприёмников в световой поток); 6 - рукоятка настройки прибора на 100% -ное пропускание.

Ход работы:

.        В световой пучок поместить кювету с растворителем или контрольным раствором, по отношению к которому производятся измерения;

2.      Закрыть крышку кюветного отделения;

.        Ручками чувствительность и установка, 100 грубо и точно установить отсчёт 100 по шкале колориметра. Ручка ЧУВСТВИТЕЛЬНОСТЬ может находиться в одном из трёх положений 1, 2 или 3;

.        Затем поворотом ручки кювету с растворителем или контрольным раствором заменить кюветой с исследуемым раствором;

.        Снять отсчёт по шкале колориметра, соответствующий коэффициенту

пропускания Т в процентах или по шкале Д в единицах оптической плотности;

.        Измерение проводить 3 - 5 раз и окончательное значение измеренной величины определить как среднее арифметическое из полученных значений.

.        Обработка результатов:

%Cu= (С*V1*100) / (g*V2)

где, С - содержание меди в 1 см3 испытуемого раствора, мл (определяется по калибровочной кривой - рисунок);

V1 - объём солянокислого раствора, см3;

g - масса анализируемого продукта, мг;

V2 - аликвота раствора, взятая для анализа, см3.

%Cu= (0,035*250*100) / (0,905*10) =0,096%

Таким образом, содержание меди в присадке ≈ 0,01%

 Cu, мг/см3

Рисунок № 6. Калибровочная кривая для определения содержания меди испытуемого раствора.

2.5.2 Определение кинематической вязкости присадки при +50°C

Работа по определению кинематической вязкости при +50°C проводится в вискозиметре ВПЖ-2.

1 - колено 1; 2 - колено 2; 3 - отводная трубка; 4,5 - расширения М1 и М2; 6 - соединение колена 1 с капилляром; 7 - капилляр.

Ход работы:

Для определения времени течения на отводную трубку (3) надевают резиновую трубку. Потом, зажав колено (2), вискозиметр переворачивают и погружают колено (1) в резервуар с жидкостью. Жидкость засасывают (при помощи груши либо насоса) до отметки М2, при этом в жидкости не должны образовываться пузырьки воздуха. В момент, когда жидкость достигает отметки М2, прибор вынимают из сосуда и сразу же переворачивают в исходное положение.

Снимают с колена (1) лишнюю жидкость и надевают на него резиновую трубку. Затем вискозиметр помещают в термостат таким образом, чтобы расширение (5) находилось ниже чем уровень жидкости в термостате. Выдерживают в термостате больше 15 минут при заданной температуре и потом засасывают жидкость в колено до уровня одной трети расширения (5). Сообщают колено (1) с атмосферой и устанавливают время снижения уровня мениска от отметки М1 до отметки М2.

Вязкость определяют по формуле, по среднему времени истечения жидкости (из нескольких измерений):

γ50 = (g/9.8) T*K, где

- постоянная вискозиметра, мм²/с²;- кинематическая вязкость жидкости, мм²/с;

Т - время истечения жидкости, с;- ускорение свободного падения в месте измерений в м/с².

Таким образом кинематическая вязкость исследуемой присадки равна 62,18 мм²/с.

2.5.3 Определение оптической плотности

Методика определения оптической плотности описана в пункте 2.5.1.3-Б.

Исследование показало, что оптическая плотность биметальной присадки равна 0,55, что соответствует нормам, указанным в таблице №8.

2.5.4 Определение термоокислительной стабильности в объёме масла

Метод микроВТИ

Испытание проходит на установке для определения термоокислительной стабильности (рисунок №7).

Сущность метода заключается в окислении силиконового масла, нагретого до необходимой температуры в микроракторе (рисунок №6), до образования геля под воздействием кислорода воздуха. Стабильность масла против окисления характеризуется временем до образования гелирования.

На испытание были поставлены образцы, а именно: ПМС-20, ПМС-100 и ПМС-200 в чистом виде и содержащие присадки - монометальную и биметальную (М.П. и Б. П.). Каждый испытуемый образец был поставлен в двойном экземпляре - контрольный образец и образец для взятия проб на вязкость.

Подготовка к испытанию:

1. Микрореактор для окисления масел промывают водой и заливают на 2-3 часа хромовой смесью. После этого сливают хромовую смесь, многократно промывают микрореактор водой и ополаскивают дистиллированной водой.

. В соответствии со схемой, приведённой на рисунке 7, собирают аппарат для определения времени до гелирования масла. Аппарат состоит из микрореактора, маностата, реометра и осушительной системы воздуха.

Проведение испытания:

. В пробирку микрореактора заливают 5 г испытуемого масла.

. Затем вставляют верхнюю часть с капилляром для подачи воздуха и трубкой для отвода газообразных продуктов деструкции. Скрепляют обе части микрореактора металлической пружиной или проволокой.

. На капилляр для подвода воздуха надевают силиконовый шланг, по

которому очищенный и осушенный воздух подаётся под поверхность испытуемого образца масла.

. После полной сборки микрореактора реометром регулируют подачу воздуха, расход которого должен быть равен 1 см3/мин на 1 г образца.

. Воздух должен образовывать в образце ровную цепочку пузырьков.

6. Затем микрореактор помещают в баню-термостат, нагретую до температуры испытания - 350°С, и начинают отсчёт времени.

7. В течение работы микрореактора с исследуемыми образцами берутся на измерение вязкости в мини-вискозиметрах. Проба берётся для того, чтобы проследить изменение вязкости образцов с течением времени.

Обработка результатов:

За время до гелирования принимается суммарная продолжительность испытания образца масла в часах, в течение которого происходит полная потеря подвижности масла, определяемая визуально.

По окончанию работы строится график изменения вязкости образцов с течением времени.

Рисунок 6. Микрореактор для испытания микроколичеств силиконовых масел при высоких температурах в лабораторных условиях.

- пробирка микрореактора; 2 - верхняя часть с капилляром и трубкой;

- капилляр для подачи воздуха; 4 - трубка для отвода газообразных продуктов деструкции.


Рисунок 7. Схема сборки аппарата для определения времени до гелирования масла (метод микроВТИ)

1 - маностат; 2 - ловушки; 3 - промывная склянка с серной кислотой; 4 - осушитель воздуха с аскаритом; 5 - осушитель воздуха с силикагелем; 6 - реометр; 7 - баня-тормостат; 8 - микрореактор.

Результаты испытания

Исследование термоокилительной стабильности полиметилсилоксановых жидкостей ПМС-20, ПМС-100, ПМС-200 с металлосодержащими присадками показало, что полиметилсилоксан без присадки при испытаниях при 300°С загелировался (потеря подвижности) через 23,5 часа. В присутствии монометальной присадки гелирование образца наступает через сотни часов. По результатам исследований (таблица №9) был построен (график №1).

Кривая изменения вязкости ПМС-20 без присадки резко идет вверх. Кривая изменения вязкости с монометальной присадкой в течение первых 5 часов испытания снижается, по-видимому, происходит декструкция силоксановой цепи, а после 5 часов вязкость нарастает.

При исследовании кинематической вязкости ПМС-20 с биметальной присадкой изменение вязкости незначительное: за 90часов испытания всего на 4 мм2/с. Это может говорить о том, что биметальная присадка полностью предотвращает процесс деструкции полиметилсилоксана ПМС-20.

Таблица №9. Исследование кинематической вязкости ПМС-20, ПМС-20+М.П., ПМС-20+Б.П.

Время, ч

0

1,9

4,5

9

13,8

18,5

23,65

29,5

30,17

70,75

86

90,67

Вязкость ПМС-20, мм2

21

37,14

-

-

-

гель

-

-

-

-

-

Вязкость ПМС-20+М.П., мм2

23,75

-

14,2

32,33

-

45,71

-

61,63

64,12

-

-

Вязкость ПМС-20+Б.П., мм2

23,74

24,32

-

22,94

23,90

23,82

-

-

-

33,42

27,2

27,8



График №1. Изменение кинематической вязкости ПМС-20, ПМС-20+М.П., ПМС-20+Б. П.

По оси ординат на графике показан рост кинематической вязкости в мм2/с, по оси абсцисс - время стояния образца на испытании в часах.

Кривая изменения вязкости ПМС-20 на графике изображено зелёным цветом, ПМС-20+М.П. - синим, ПМС-20+Б.П. - красным.

Как видно из графика №2, который представляет собой изменение кинематической вязкости полиметилсилоксановой жидкости ПМС-100, Б.П. не справляется с деструкцией ПМС-100 на начальном этапе высокотемпературного окисления (5 часов), но предотвращает деструкцию уже к концу 10 часа испытания, а М.П. через 22,5 часа.

Жидкость ПМС-100 без присадки выходит на гель - после 9 часов окисления.

Таблица №10. Исследование кинематической вязкости ПМС-100,ПМС-100+М.П., ПМС-100+Б.П.

Время, ч

0

1,9

4,5

9,16

13

18

32,16

48

70,4

86

90,6

Вязкость ПМС-100, мм2

102

165,38

-

гель

-

-

-

-

-

-

-

Вязкость ПМС-100+М.П., мм2

163,6

-

99,7

102,57

-

105,64

107,27

109,51

-

-

-

Вязкость ПМС-100+Б.П., мм2

195,89

-

99,11

96,21

98,51

99, 19

-

-

89,16

103,97

104,5



График №2. Изменение кинематической вязкости ПМС-100, ПМС-100+М.П., ПМС-100+Б. П.

На графике кривая изменения кинематической вязкости ПМС-100 показано синим цветом, ПМС-100+М.П. - зелёным, ПМС-100+Б.П. - красным.

Таблица №11. Исследование полиметилсилоксановой жидкости ПМС-200 с присадками М.П. и Б. П.

ПМС-200

Время, ч

0

2

9,16

Вязкость, мм2

201

315,07

гель






ПМС-200+М.П.

Время, ч

0

4,5

16

22,5

29


Вязкость, мм2

216,77

210,3

234,87

236,88

238,21

гель


ПМС-200 + Б.П.

Время, ч

0

4,5

9,5

30,5

50

56,6


Вязкость, мм2

230,18

220,00

222,36

239,35

240,56

241,67

гель


График №3. Изменение вязкости ПМС-200, ПМС-200+М.П., ПМС-200+Б. П.

На графике кривая изменения кинематической вязкости ПМС-200 показано синим цветом, ПМС-200+М.П. - зелёным, ПМС-200+Б.П. - красным.

Исследования кинетики роста вязкости при окислении теплоносителей на основе полиметилсилоксанов методом микро ВТИ показали, что на протяжении практически всего испытания взякость изменяется постепенно вплоть до начала гелирования жидкости. При этом за сотни часов изменение вязкости происходит не более, чем на порядок.

Затем в течение 2 - 5 часов происходит резкое повышение вязкости, что связано с деструкцией линейных молекул полиметилсилоксановых жидкостей и образованием сшитой структуры. При введении второго металла в М.П. наблюдается увеличение стабилизирующего действия металла и повышение термоокислительной стабильности в сотни раз. При испытании полиметилсилоксановых жидкостей с присадкой была отмечена закономерность: чем быстрее растет вязкость образца, тем меньше время до его гелирования, и наоборот, чем меньше изменяется вязкость, тем позже наступает момент гелирования. В связи с этим, учитывая значительные затраты времени при определении вязкости, показателем термоокислительной стабильности образцов при испытании их методом микроВТИ было выбрано время до гелирования образца.

2.6 Выводы


В результате проделанной работы:

были описаны физико-химические основы процесса получения биметальной присадки;

проведён синтез биметальной присадки;

дана характеристика исследуемым материалам, а именно: теплоносителям на основе ПМС - ПМС-20, ПМС-100 и ПМС-200; монометальной и биметальной присадки.

проведён ряд испытаний по исследованию физико-химических свойств полученной присадки, а именно: кинематическая вязкость при +50°С, которая равна 62,18 мм2/с, оптическую плотность, которая составила 0,55, что соответствует норме по ТУ. Содержание по одному металлу, а именно меди, составило 0,01%, что не соответствует норме по ТУ; по железу - 0,41%, что допустимо; проведено исследование эксплуатационного свойства - термоокислительной стабильности теплоносителя с присадками, которое показало, что биметальная присадка эффективнее монометальной;

сделаны выводы о проделанной работе;

описаны основные требования по технике безопасности и противопожарным мероприятиям при работе в лаборатории ОАО "ВНИИ НП";

описаны основные требования к охране окружающей среды при получении биметальной присадки;

произведён экономический расчёт затрат на оборудование, энергию и материалы, используемых при проведении синтеза присадки.

3. Охрана труда и противопожарная защита


Техника безопасности

Общие правила техники безопасности при работе в химической лаборатории

.        К работе в химической лаборатории на все рабочие места могут допускаться только лица не моложе 18 лет, прошедшие предварительный медосмотр, не имеющие противопоказаний, а также прошедшие инструктаж и обучение безопасным методам работы.

2.      По окончании теоретического и практического обучения перед допуском к самостоятельной работе проводится индивидуальная проверка знаний и практических навыков безопасного выполнения работ.

.        Перед началом работы ответственный сотрудник обязан удостовериться, что воздух помещения не содержит газа, паров бензина, бензола и других воспламеняющихся или ядовитых газов и паров.

При их обнаружении необходимо проветрить помещение через форточку или окно.

Не включать вентиляцию во избежание взрыва. Только после проветривания помещения можно включать вентиляцию и приступить к работе.

.        По окончании работы ответственный сотрудник или сотрудник, покидающий помещение последним, обязан проверить:

закрыты ли газовые и водные вентили;

закрыты ли окна и форточки;

выключены ли электроприборы и свет.

После проверки сотрудник обязан закрыть помещение и сдать ключи от дверей охране.

.        Не иметь в лаборатории более однодневного запаса горючего, необходимого для работы.

6.      Все легко воспламеняемые жидкости (ЛВЖ), не имеющие непосредственного отношения к работе, должны быть убраны в железный ящик, предназначенный для хранения образцов в течение рабочего дня.

.        Работы с ЛВЖ должны производиться под тягой при отсутствии открытого огня, муфелей, электроплиток, а также электрических приборов открытого исполнения.

.        Не выливать в раковины нефтепродукты, кислоты и отработанные реактивы. Все отработанные реактивы должны сливаться в слив.

.        Не допускается работать в лаборатории без спецодежды и в спецодежде, пропитанной нефтепродуктами.

.        Не оставлять без присмотра включённые газовые горелки, электроплитки и прочие электроприборы и электроустановки.

.        Стеклянная аппаратура, работающая под вакуумом, должна быть оборудована защитным экраном или сеткой.

.        Работа с токсичными веществами в лаборатории должна производиться в вытяжном шкафу, или в местах, оборудованных местной вытяжной вентиляцией.

.        При работе со стеклянной аппаратурой следует защищать руки полотенцем. Концы стеклянных трубок должны быть опаяны.

.        Нагрев на открытом пламени, без асбеста или сеток, посуды из стекла запрещается.

.        Пользование неисправными электроприборами и электроустановками с незащищёнными контактами, открытыми рубильниками осветительной и силовой сети запрещается.

Аварийные ситуации

1.      Разлив лёгких нефтепродуктов.

При разливе лёгких нефтепродуктов следует засыпать песком нефтепродукт, вынести из помещения, промыть залитые места водой. Проветрить помещение.

.        Пролив на пол кислот и щелочей.

Пролитые кислоты и щёлочи должны быть нейтрализованы и убраны.

Концентрированные кислоты (а также дымящие) обильно разбавляются водой. Поражённый участок засыпают мелом до полной нейтрализации. Затем, полученную соль сметают и убирают.

Пролитые щёлочи следует смывать водой до полной нейтрализации.

При сильной загазованности следует пользоваться фильтрующим противогазом марки "А" или "БКФ". [11]

Указания мер безопасности при работе на фотоэлектроколориметре КФК-2

.        Работа на колориметре должна производиться в чистом помещении, свободном от пыли, паров кислот и щелочей.

2.      Вблизи колориметра не должны располагаться громоздкие изделия, создающие неудобства в работе оператора.

.        При эксплуатации колориметр, должен быть надёжно заземлён. [12]

Техника безопасности при проведении испытания на термоокислительную стабильность масел, силоксановых и технических жидкостей

Общие требования безопасности

.        К работе допускаются сотрудники прошедшие обучение работе на установке для определения термоокислительной стабильности и инструктаж по безопасности труда.

.        При проведении работы необходимо соблюдение правил внутреннего распорядка и инструкций по безопасности труда, установленных в ОАО "ВНИИ НП".

.        Испытания на термоокислительную стабильность масел, силоксановых и технических жидкостей может сопровождаться образованием газообразных продуктов деструкции, оказывающих вредное влияние на здоровье.

4.      Все работы по испытанию ведутся только в спецодежде (лабораторном халате) при включенной вытяжной вентиляции

.        Пожаро- и взрывобезопасность обеспечивается в соответствие с соответствующими общеинститутскими инструкциями по безопасности труда.

.        При обнаружении неисправности оборудования следует немедленно принять соответствующие меры (например, отключить электропитание) и в кратчайшее время уведомить соответствующего начальника и, при необходимости, работников соответствующих служб (электриков, сантехников и т.п.)

Требования безопасности перед началом работ.

.        Испытания на термоокислительную стабильность проводят в алюминиевом блоке на 12 гнёзд, оборудованным электрическим обогревом и карманами для контактного и показывающего термометров.

2.      Работа на термоокислительную стабильность в термостатах должна проводиться в вытяжных шкафах, обитых асбестом и жестью, оборудованных пожарной сигнализацией.

.        Загрузку и выгрузку реакторов, во избежание ожогов, следует проводить только в холодный блок.

.        Включение термостатов следует производить только после проверки наличия контактного термометра (термопары) и заземления корпуса.

Требования безопасности во время работы

.        Контроль температуры нагрева термостата осуществляется с помощью показывающего термометра и контактного термометра (термопары).

2.      Работа в термостате при температуре выше допустимой по паспорту не допускается.

.        Разрешается проводить работу с жидкостями, имеющими температуру вспышки не ниже 135°С.

Требования безопасности в аварийных ситуациях

.        При выходе из строя термостата следует немедленно отключить прибор от сети.

2.      При попадании продукта на кожу необходимо протереть поражённый участок ватой, смоченной спиртом, затем промыть водой с мылом. При раздражении слизистых оболочек дыхательных путей и глаз прополоскать 2% -ным раствором питьевой соды, промыть глаза чистой водой и 2% -ным раствором питьевой соды. При попадании осколков стекла на кожу, вытащить пинцетом осколки и остановить перекисью водорода кровь. После оказания первой помощи пострадавшего отправить к врачу.

Требования безопасности по окончании работ

.        По окончании работ по испытанию на термоокислительную стабильность следует вымыть посуду подходящим растворителем.

2.      По окончании работы следует снять спецодежду и вымыть руки с мылом. [13]

Противопожарная защита

1.      В лаборатории запрещается:

разбрасывать на полу, на столах обтирочные концы, вату, бумагу и пр.;

хранить в открытых колбах, бутылках, бидонах нефтепродукты I, II, III классов, эфиров, растворители, химически вредные и взрывоопасные вещества;

Разрешается хранить перечисленные продукты в железных ящиках на противнях с песком в толстостенной таре.

Все подлежащие хранению вещества в любой таре должны быть с этикеткой или надписью.

. Концентрированные кислоты и щёлочи должны храниться в стеклянной толстостенной таре на противнях с песком отдельно от ЛВЖ и только не выше дневной нормы.

. Нельзя оставлять включенные электроприборы без присмотра.

. По окончании работы сотрудники, уходящие последними, обязаны перекрыть все вентили, рубильники и отключить электроприборы.

. Курить разрешается только в определённых, специально отведённых местах.

. Сотрудники должны знать правила пожарной безопасности, вызова городской пожарной охраны, изучать имеющиеся первичные средства пожаротушения, знать место их расположения и уметь ими пользоваться.

. Запрещается загромождать ящики с песком и использовать другие первичные средства пожаротушения не по назначению. [14]

.        Сотрудники лабораторий обязаны знать пожарную опасность применяемых химических веществ и материалов и соблюдать меры безопасности при работе с ними.

9.      Хранение в лабораториях веществ и материалов должно производиться строго по ассортименту. Не допускается совместное хранение веществ, химическое воздействие которых может вызвать пожар или взрыв.

.        Лабораторная мебель и оборудование должны устанавливаться так, чтобы они не препятствовали эвакуации людей. Ширина минимально допустимых проходов между оборудованием должна быть не менее 1 метра.

.        Рабочие поверхности столов, стеллажей, вытяжных шкафов, предназначенных для работы с пожаро-, взрывоопасными жидкостями и веществами, должны иметь несгораемое покрытие. Для работы с кислотами, щелочами и другими химически активными веществами столы и шкафы должны быть выполнены из материалов, стойких к их воздействию, с устройством бортиков из негорючего материала (для предотвращения жидкости за пределы шкафа, стола).

.        Все работы в лаборатории, связанные с возможностью выделения токсичных или пожаро-, взрывоопасных паров и газов, должны производиться только в вытяжных шкафах, которые надлежит поддерживать в исправном состоянии.

Пользоваться вытяжными шкафами с разбитыми стёлами и неисправной вентиляцией запрещается.

.        Стеклянную посуду с кислотами, щелочами и другими едкими веществами разрешается переносить только в специальных металлических или деревянных ящиках, выложенных внутри асбестом.

14.    Для серной и азотной кислот использование деревянных ящиков, корзин и стружки допускается при условии их обработки огнезащитным составом. [15]

.        В случае возникновения пожара необходимо:

сообщить в городскую пожарную охрану по телефону 01;

обесточить электросеть;

выключить вентиляцию;

приступить к тушению пожара всеми имеющимися средствами пожаротушения;

обеспечить эвакуацию людей. [14]

Требования к лабораторному и техническому оборудованию

.        Лабораторное оборудование при нормальных режимах работы должно быть пожаробезопасным, а на случай опасных неисправностей и аварий необходимо предусматривать защитные меры, ограничивающие масштаб и последствия пожара.

2.      На каждом объекте на основании действующих строительных норм и правил, а также специальных перечней, утверждённых соответствующими министерствами и ведомствами, должна быть определена категория взрыво-, пожароопасности лабораторий, цехов, отдельных помещений, установок и складов.

.        С сотрудниками лаборатории должны быть изучены характеристики пожарной опасности применяемых и получаемых веществ и материалов.

Применять и хранить вещества и материалы с неизвестными параметрами по пожарной и взрывной опасности запрещается.

.        Запрещается выполнять операции на оборудовании и установках с неисправностями, могущих привести к возгоранию и пожарам.

5.      Работа лабораторного оборудования и его нагрузка должны соответствовать требованиям паспортных данных.

6.      В пожароопасных лабораториях в соответствии с ГОСТ 15548-70 "Цвета сигнальные и знаки безопасности для промышленных предприятий" должны быть вывешены знаки, запрещающие пользование открытым огнём, а также знаки, предупреждающие об осторожности при наличии воспламеняющихся и взрывчатых веществ. Руководители подразделений обязаны ознакомить всех работающих со значением таких знаков. [15]

7.      Охрана окружающей среды

Все работы проводились в химической лаборатории в вытяжном шкафу с целью удаления паров вредных веществ и газов из лабораторной комнаты. Из вытяжного шкафа пары через фильтры выводились в атмосферу. В исследовательской работе используются вещества, имеющие класс опасности 3 и 4. Отработанные жидкости собираются в герметично закрывающийся слив, собираются и централизованно поступают на утилизацию. Содержимое сливов может представлять угрозу как источник загрязнения почвы, воды, воздуха.

Экономический расчёт

Условия проведения работы

.        Перечень основных и вспомогательных материалов.

Основные материалы:

Хлорид меди;

Вода дистиллированная;

Спирт этиловый;

Толуол;

Аммиак водный;

Ацетилацетон;

Монометальная присадка;

ПМС-20.

Вспомогательные материалы: -

.        Виды электроносителей: электроэнергия

3.      В работе принимали участие:

Заведующий лабораторией

Научный сотрудник

Лаборант

.        Продолжительность времени эксперимента: 6 часов.

5.      Перечень, количество и балансовая стоимость лабораторного оборудования:

Весы лабораторные электронные АС 500 фирмы AXIS - 49514 руб. (1 шт.);

Колбонагреватель серии LT - 25000 руб. (1 шт.);

Вакуумный насос - 10000 руб. (1 шт.);

Воздуходувка - 1300 руб. (1 шт.);

Переходники - 400 руб. (2 шт.);

Сушильный шкаф 29854 руб. (1 шт.)

. Перечень, количество и стоимость лабораторной посуды:

Колба четырёхгорлая вместимостью 500 см3 с барботёром для подачи воздуха - 1000 руб. (1 шт.);

Колба трёхгорлая вместимостью 1000 см3 - 2100 руб. (1 шт.);

Колба Бунзена - 200 руб. (1 шт.);

Колба коническая вместимостью 250 см3 - 135 руб. (3 шт.);

Воронка Бюхнера - 300 руб. (1 шт.);

Холодильник Либиха - 600 руб. (1 шт.);

Капельная воронка вместимостью 250 см3 - 425 руб. (1 шт.);

Термометр ртутный - 800 руб. (1 шт.).

Расчётная часть

Таблица №1. Расчёт затрат на основные и вспомогательные материалы, используемые при проведении эксперимента.

Наименование материалов

Единица измерения количества материала

Расход материала в эксперименте

Цена за единицу количества материала, руб.

Стоимость материалов, руб.

1

2

3

4

5

1. Основные материалы: Хлорид меди; Вода дистиллированная; Спирт этиловый; Толуол; Аммиак водный; Ацетилацетон; Монометальная присадка; ПМС-20

 килограммы литры литры литры литры литры килограммы килограммы

 0,042 0,3 0,2 0,2 0,11 0,015 0,065 0,065

 320 13,33 138 150 18,18 2267 140000 300

 13,44 4 27,6 30 2 34 9100 19,5

Итого

-

-

-

9230,54

2. Вспомогательные материалы:

-

-

-

-

Итого

-

-

-

9230,54

Всего

-

-

-

9230,54


Источники данных и порядок расчёта показателей

Графы 1,2,3,4 - по материалам производственной практики

Графы 5 = графа 3 * графа 4

Таблица №2. Расчёты затрат на все виды электроэнергии, расходуемые при проведении эксперимента.

Наименование видов энергоносителей

Единица измерения количества энергии

Расход энергии при проведении работы

Цена за единицу количества энергии, руб.

Стоимость энергии, руб.

1

2

3

4

5

Колбонагреватель серии LT Вакуумный насос

кВт*ч кВт*ч

2,64 2,64

4,5 4,5

11,88 11,88

Итого

кВт*ч

5,28

4,5

23,76


Источники данных и порядок расчета показателей:

Графы 1,2,3,4 - по материалам производственной практики

Графа 5 = графа 3 * графа 4

Таблица №3. Расчёт затрат на оплату труда работников лаборатории, принимавших участие в проведении эксперимента

Наименование должности работника лаборатории

Численность, чел.

Среднемесячная заработная плата

Продолжительность эксперимента в месяц, часы

Итого заработная плата, руб.

1

2

3

4

5

Зав. лабораторией Научный сотрудник Лаборант

1 1 1

70000 43000 25000

12

5600 3440 2000

Итого

3

-

-

9600


Источники данных и порядок расчёта показателей:

Графа 1 - наименование профессии и разряд исполнителей эксперимента и должности руководителей лаборатории, графа 2,3,4 - по материалам практики. Графа 5 = графа 3* графа 4

Таблица №4. Расчёт отчислений по одному социальному налогу и в фонд социального страхования от фонда оплаты труда работников лаборатории за период проведения эксперимента.

Фонд оплаты труда, руб.

Процентное отчисление, %

Сумма отчислений, руб.

1

2

3

9600

30,2

2899,2


Источники данных и порядок расчёта показателей:

Графа 1 берется из табл.3 (графа 5 строчка "итого")

Графа 2 - 36,4 %

(Утверждены нормы отчислений во внебюджетные фонды в 2014 году. В соответствии с ФЗ от 24 июля 2009 года № 212-ФЗ "О страховых взносах в Пенсионный фонд Российской Федерации, Федеральный фонд обязательного медицинского страхования и территориальные фонды обязательного медицинского страхования" с 01.01.2014г. будут применяться следующие тарифы страховых взносов: - ПФ РФ 22% - ФСС 2,9 % - ФОМС 5,1% Отчисление по страховому тарифу от несчастных случаев на производстве остаётся без изменений: 0,2%)

Графа 3 - 36,4 % от графы 1.

Таблица №5. Расчёт суммы амортизационных отчислений от балансовой стоимости оборудования лаборатории за время проведения эксперимента.



Источники данных и порядок расчёта показателей:

Графа 1,2,3, - по материалам практики

Графа 4 = графа 2* графа 3

Графа 5 - норма амортизации за время проведения эксперимента.

Годовая норма амортизации лабораторного оборудования составляет 12%, следовательно, месячная норма - 1%, отсюда графа 5 = 1% * количество месяцев проведения эксперимента.

Графа 6 = (графа 4 * графа 5) /100

Таблица №6. Расчёт затрат на лабораторный инвентарь, использованный при проведении эксперимента.


Источники данных и порядок расчёта:

Графы 1,2,3,4 - по материалам практики;

Графа 5 = графа 3 * графа 4.

Таблица №7. Расчёт общей суммы затрат на проведение эксперимента (калькуляция себестоимости эксперимента)


Источники данных и порядок расчёта показателей:

Строка 1, графа 3 - из табл.1, графа 5, строка " итого" по разделу 1

Строка 2, графа 3 - из табл.1, графа 5, строка " итого" по разделу 2

Строка 3, графа 3 - из табл.2, графа 5, строка "итого"

Строка 4, графа 3 - из табл.3, графа 5, строка "итого"

Строка 5, графа 3 - из табл.4, графа 3

Строка 6, графа 3-из табл.5, графа 6, строка "итого"

Строка 7, графа 3-из табл.6, графа 5, строка "итого"

Строка 8, графа 3 - сумма строк 1-7

Строка 1-7, графа 4 рассчитываются одинаково = (строка 1 * 100) /строка 8

4. Выводы


. Общая сумма затрат на проведение эксперимента составляет 29352,22 рублей

. Наибольшую долю в затратах составили затраты на основные материалы, которые составили 9230,54 рублей, что составляет 31,75% от общего количества.

. Эксперимент выполнялся тремя лаборантами в течение 6 часов.

5. Список используемой литературы


1. Что такое присадка - www.topreg.ru <http://www.topreg.ru>

. Силиконовые теплоносители - www.sofex-silicone.ru <http://www.sofex-silicone.ru>

. Технология производства монометальной присадки по ТУ 38.401-58-406-2013.

. Научно-технический журнал "Мир нефтепродуктов. Вестник нефтяных компаний". "Издательский центр "ТЕХИНФОРМ" МАИ". Лицензия ЛР №064985 от 5 февраля 1997г. Главный редактор Якунина И.Н. www.neftemir.ru <http://www.neftemir.ru>.

. Введение в химмотологию.А.М. Данилов - М: Издательство "Техника". ООО "ТУМА ГРУПП", 2003. - 464с.

. Топлива, смазочные материалы, технические жидкости. Ассортимент и применение: Справочник / И.Г. Анисимов, К.М. Бадыштова, С.А. Бнатов и др.; Под ред.В.М. Школьникова, Изд.2-е перераб. и доп. - М.: Издательский центр "Техинформ", 1999. - 596с.: ил.

. Полиметилсилоксаны - www.pms200.ru <http://www.pms200.ru>.

. Различные варианты применения ПМС - www.selikonovoe. blogsport.ru <http://www.selikonovoe.blogsport.ru>

. Лифшиц Н.Л. Разработка антиокислительных и термостабилизирующих присадок на основе азотосодержащих и металлкремнийораганических соединений к галоидполиорганосилоксановым гидравлическим жидкостям и маслам: дис. канд. техн. наук. - М., 1987, с.149

. Жидкости полиметилсилоксановые. ГОСТ 13032-77.

. Инструкция №1 по безопасному ведению работ общего характера и в лабораториях "ВНИИ НП" (20.07.1986г).

. Паспорт "фотоэлектроколориметр КФК-2".

. Инструкция №1/63 ОАО "ВНИИ НП" по безопасности труда при проведении круглосуточной работы по испытанию на термоокислительную стабильность масел, силоксановых и технических жидкостей.

. Инструкция №4а ОАО "ВНИИ НП" о мерах пожарной безопасности в производственных помещениях (26.07.1999).

. Инструкция по пожарной безопасности для ОАО "ВНИИ НП" №316 (Москва 03.11.1986 г.). Глава 3. Требования пожарной безопасности для основных лабораторных, производственных, складских и вспомогательных зданий и помещений.

Похожие работы на - Синтез биметальной присадки и исследование ее физико-химических и эксплуатационных свойств

 

Не нашли материал для своей работы?
Поможем написать уникальную работу
Без плагиата!
Без нейросетей!