Розробка дільниці з випуску модернізованих верстатів мод
Вступ
Машинобудування
визначає технічний прогрес країни і робить вирішальний вплив на створення
матеріальної бази нового суспільства. У зв'язку з цим до його розвитку завжди
вдавалося першорядне значення.
Перед
машинобудуванням стоять відповідальні завдання: підвищення якості машин,
зниження матеріаломісткості, трудомісткості і собівартості виготовлення,
нормалізація їх елементів, впровадження потокових методів виробництва, його
механізація і автоматизація, а також скорочення термінів підготовки виробництва
нових об'єктів. Рішення вказаних задач забезпечується поліпшенням конструкції
машин, вдосконалення технології їх виготовлення, застосування прогресивних
засобів і методів виробництва.
Щоб
вижити в сучасних економічних умовах, машинобудівні підприємства перш за все
повинні випускати продукцію відповідною вимогам замовника. Для забезпечення
високої якості продукції необхідно раціонально вибрати заготівку, забезпечити
точність обробки на металоріжучих верстатах на всіх етапах механообработки.
Рішення
цих задач є метою курсового проекту.
На
технолога покладається велика відповідальність за виготовлення машин. Технолог
розробляє технологічний процес обробки деталей машин, складки готових виробів.
Він відповідає за собівартість і якість продукції, що виготовляється. Розробка
технологічних процесів обробки і збірки не повинна зводитися до формального
встановлення послідовності операцій. Вона вимагає творчого підходу для
забезпечення узгодження всіх етапів побудови машини і досягнення необхідної
якості з найменшими витратами.
В курсовому проекті
розроблені конструкції фланців з урахуванням передових технологій, з
використанням сучасного обладнання, яке дає можливість виготовляти високоякісні
деталі, по рентабельним схемам.
1. Технологічна частина
.1 Розробка технологічного
процесу зборки
Службове призначення й
конструкція машини
Базовим вузлом є
копіювально-інструментальний блок модернізованого верстата мод. СКФШ-98 з
розширеними технологічними можливостями.
Даний верстат дозволяє
механізувати й автоматизувати тривалу ручну й дорогу обробку, дозволяє робити
різьблення й гравіювання по будь-яких матеріалах, у тому числі й по твердих
мінералах, а також копіювальні роботи з будь-яких матеріалів. Також можлива
модернізація існуючого металообробного встаткування з метою розширення його
технологічних можливостей для обробки надтвердих матеріалів. Найбільш
перспективними в цьому плані є верстати фірми Roland DG (Японія) серій САММ-2,
EGX-20, EGX-300, EGX-400/600, MODELA PRO, JEWELA, що вбрали в себе всі останні
досягнення науки й техніки.
У сукупності з 3Д
сканерами серій PICZA, LPX-250, LPX-1200, які можуть сканувати об'єкти товщиною
в людське волосся, оцифровуючи всі нюанси вихідного зразка, можна одержувати
вироби майже в автоматичному режимі.
Маркетингові дослідження
Відпрацьовування
конструкції виробу на технологічність
Складальна одиниця
розчленовуватися на раціональне число складових частин з урахуванням принципу
агрегатування. По цьому показнику складальна одиниця є технологічною.
Конструкція складальної
одиниці забезпечує можливість компонування зі стандартних виробів і
уніфікованих частин.
Зборка виробу не
обумовлює застосування складного технологічного оснащення й не викликає
ускладнень. По цьому показнику складальна одиниця також є технологічною.
Види використовуваних
з'єднань, їхньої конструкції й місце розташування відповідають вимогам
механізації й автоматизації складальних робіт.
У конструкції
складальної одиниці і її складових частин, що мають масу більше 20 кг,
передбачені конструктивні елементи для зручності захоплення вантажопідйомними
засобами, використовуваними в процесі зборки, розбирання й транспортування. По
цьому показнику складальна одиниця також є технологічною.
Конструкція складальної
одиниці передбачає базові складові частини, які є основами для розташування
інших складових частин.
Компонування конструкції
складальної одиниці дозволяє робити зборку при незмінному базуванні складових
частин. По цьому показнику складальна одиниця також є технологічною.
Конструкція базових
складових частин передбачає можливість використання конструктивних складальних
баз у якості технологічних і вимірювальних.
Компонування складальної
одиниці забезпечує:
загальну зборку без
проміжної розробки й повторних зборок складових частин;
зручний доступ до місць,
що вимагають контролю, регулювання й проведення інших робіт, регламентованих
технологією підготовки виробу до функціонування й технічного обслуговування;
легкоз’ємність складових частин
з малим ресурсом;
За цими показниками
складальна одиниця також є технологічною.
З'єднання доступні для
механізації складальних і контрольних робіт і не вимагають складної й
необґрунтовано точної обробки поверхонь, що сполучають, а також додаткової
обробки в процесі зборки.
Точність розташування
складових частин обґрунтована й взаємозалежна з точністю виготовлення деталей;
конструкція містить пристрої, що забезпечують задану точність вузла (центруючи,
фіксуючі, компенсуючи та ін.).
Вибір та обґрунтування
методу досягнення необхідної точності зборки
Виходячи з норм
точності, проводимо розмірний аналіз конструкції вузла модернізованого верстата
СКФШ-98.
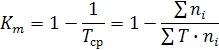
Вихідні дані:
А1=4±0,15 мм;
А2=10-0,009 мм; А3= 10-0,009 мм; А4=58±0,37
мм;
А5=12-0,011
мм; А6=2±0,125 мм; А∆=96-0,35 мм.
Розмірний ланцюг
представлений на рисунку 1.1.4.1.
Рисунок 1.1.4.1 -
Розмірний ланцюг
Визначаємо середнє число
одиниць допуску за формулою:
;
.
Розраховане число
одиниць допуску відповідає 12 квалітету. Це не викликає складності з погляду
можливостей одержання розмірів. Тому як метод досягнення необхідної точності
вибираємо метод неповної взаємозамінності.
Вибір організаційних
форм зборки
Виходячи з річної
програми випуску (480 шт.), габаритних розмірів і маси виробу, вибираємо
організаційну форму зборки - потокову рухливу. Даний вид зборки може бути
здійснений з безупинно або періодично переміщуючимися об’ектами, що збирають.
Перевагами потокової рухливої зборки є виконання робіт з необхідним тактом і
можливість майже повного сполучення часу, затрачуваного на транспортування
об'єктів, з часом їхнього складання.
Розробка послідовності
та змісту операцій складання виробу
А Комплектувальна
Б Комплектувальний стіл
О Комплектувати деталі вузла відповідно до специфікації.
Т Тара, візок.
010 А Слюсарно-складальна
Б Складальний стенд
О Посадити шпиндель (поз. 8) у копір (поз. 20). Підшипники (поз.
50) і шайби (поз. 54) встановити на гвинті-осі (поз. 39) на клею (№88, БФ-2,
ЭД-1 та ін.) забезпечивши відсутність зазору в посадці. Забезпечити контакт
зовнішніх кілець обох підшипників (поз. 50) з поверхнями копіра (поз. 20).
Перевірити забезпечення переміщення шпинделя й обертання підшипників. Посадити
шпиндель і втулки (поз. 17) у втулку (поз. 19). Закріпити гвинтами (поз. 80).
Перевірити забезпечення плавного, без заїдання переміщення шпинделя (поз 8).
Т Комплект слюсарного інструмента, клей (№88, БФ-2, ЭД-1 і ін.).
015 А Слюсарно-складальна
Б Складальний стенд
О Установити у втулку (поз. 19) копір у зборі й фторопластові втулки
(поз. 17). Шпиндель (поз. 8) притерти із втулками (поз. 17), забезпечивши зазор
у з'єднанні не більше 0,001…0,003 мм. Закріпити втулки (поз. 17) і копір (поз.
20) гвинтом (поз. 42) і гвинтами (поз. 43). Застопорити гвинти (поз. 43)
кільцем (поз. 47). Одягти на втулку (поз. 19) кільце (поз. 49).
Гріти в масляній ванні
підшипники (поз. 52, 53) (t=100-110°C). Посадити на втулку (поз. 19) підшипники
(поз. 53). Застопорити гвинти (поз. 43) кільцем (поз. 47). Посадити на втулку
(поз. 19) два підшипники (поз. 52). Застопорити гвинт (поз. 42) кільцем (поз.
46).
Т Комплект слюсарного інструмента; масляна ванна з
терморегулятором, гідропресовий пристрій для установки й зняття підшипників;
штангенциркуль.
020 А Слюсарно-складальна
Б Складальний стенд.
О Встановити корпус (поз. 50) у призмі, перевірити, закріпити.
Посадити в корпус (поз. 50) втулку в зборі, запресувати. Встановити кришку
(поз. 21), закріпити гвинтами (поз. 38). Встановити шків (поз. 22), закріпити
гвинтами (поз. 38). Контролювати обертання шківа.
Заправити у фланець
(поз. 16) ущільнення (поз. 15), встановити кришку (поз. 13), закріпити гвинтами
(поз. 38). Встановити на корпус (поз. 50) фланець у зборі, закріпити гвинтами
(поз. 41).
Одягти на шпиндель (поз.
8) кільце (поз. 47), посадити підшипник (поз. 51), пресувати. Одягти кільце
(поз. 32) і фланець (поз. 31). Посадити підшипник (поз. 51), пресувати.
Зафіксувати положення підшипників шайбою (поз. 60), шайбою (поз. 56) і болтом
(поз. 33).
Т Призми; набір для кріплення; комплект слюсарного інструмента; гідропресовий
пристрій для установки й зняття підшипників; штангенциркуль.
025 А Слюсарно-складальна
Б Складальний стенд, стенд електромонтажу.
О Намотати на якір (поз. 12) та корпус (поз. 5) обмотки дротів
якірну та збудження відповідно. Посадити якір (поз. 12) на корпус (поз. 10),
покривши поверхні корпуса, що труться (поз. 5) термостійким мастилом з
дисульфідом молібдену. Встановити в корпус (поз. 5) втулки (поз. 11).
Встановити корпус (поз.
4) в призмі, перевірити, закріпити. Посадити в корпус (поз. 4) корпус (поз. 5)
у зборі. Забезпечити вивід роторної й статорної обмоток назовні. Заправити в
кришку (поз. 28) ущільнення (поз. 15). Встановити кришку (поз. 28) у корпус,
закріпити гвинтами (поз. 38).
Встановити в кришку
(поз. 29) магніти (поз. 30), завальцювати. Посадити на штовхач (поз. 14) кришку
(поз. 29), закріпити штифтом (поз. 62).
Встановити в корпус
штовхач (поз. 14) у зборі, закріпити гвинтами (поз. 40) із шайбами (поз. 55).
Встановити датчик (поз. 2), закріпити штифтом (поз. 61) та гвинтами (поз. 37).
Встановити на корпус
(поз. 4) стакан (поз. 6), закріпити болтами (поз. 35) із шайбами (поз. 57).
Т Призми; набір для кріплення; комплект слюсарного інструмента;
штангенциркуль, цифровий індикатор, набір для пайки.
030 А Слюсарно-складальна
Б Складальний стенд
О Встановити на корпус (поз. 1) плиту (поз. 7), закріпити болтами
(поз. 34) із шайбами (поз. 57). Встановити корпус (поз. 18) у зборі,
вистановуванням забезпечити перпендикулярність вісі шпинделя до площини стола в
межах 0,002…0,003 мм, закріпити болтами (поз. 34) із шайбами (поз. 57).
Встановити на шків (поз. 22) ремінь (поз. 23). Встановити на корпус (поз. 18)
корпус (поз. 4), закріпити болтами (поз. 35) із шайбами (поз. 57).
Посадити на шпиндель
двигуна (поз. 64) шків (поз. 24), закріпити гвинтом (поз. 45). Посадити двигун
у стакан (поз. 25). Надягти кільце (поз. 26), закріпити болтами (поз. 34).
Встановити на корпус
(поз. 1) двигун (поз. 64) у зборі. Надягти на шків (поз. 24) ремінь (поз. 23).
За рахунок зсуву стакана (поз. 25) із двигуном, забезпечити натяг ременя (поз.
23) у межах 10 Н. Закріпити болтами (поз. 36) із шайбами (поз. 58) і (поз. 59).
Т Комплект слюсарного інструмента; штангенциркуль.
Схему складання
приведено на аркуші графічної частини дипломного проекту.
1.2 Розробка технологічних
процесів механічної обробки деталей-представників
Аналіз конструкції та
службового призначення деталей-представників
Предмет дослідження
дипломного проекту є деталь представник - шпиндель.
Шпиндель - деталь, що
служить для передачі крутного та поступового руху патрона з інструментом.
Шпиндель є тілом
обертання. Маса m=0,18 кг, габаритні розміри 16x220 мм. Матеріал шпинделя -
сталь 40Х ДСТ 4543-71.
Шпиндель встановлюється
у втулку на підшипники, які насаджується на ступені шпинделя Ø12h6 із шорсткістю
Ra=0,8 мкм.
Базовими поверхнями є
ступінь шпинделя Ø12h6 довжиною 70±0,3 мм і ступінь Ø12h6 довжиною 50+1
мм із шорсткістю поверхні Ra=0,8 мм і мають твердість 35…50…50 HRCэ.
Перша ступінь вала має
найбільший діаметр і довжину 30+1, є робочою поверхнею шпинделя й
має різьбове з’єднання, що служить для з'єднання з патроном.
Ступінь вала Ø12-0,2
має довжину 40+1 мм.
Між ступенями вала М16 і
Ø12h6 виконана
канавка 3х0,25 з радіусом округлення R1.
На відстані 15+0,43
мм від правого торця виконано канавку під розтискне кільце шириною 1,2+0,25
та Ø11,5-0,12. Шорсткість бічних поверхонь канавок Ra=3,2
мкм.
На ступені шпинделя М16
виконані дві лиски 15-0,2 довжиною 6 мм.
На ступені шпинделя Ø12-0,2
на відстані 2 мм від лівого торця ступені виконані дві лиски 11-0,5
довжини 25+1 мм.
На лисках виконані два
наскрізних отвори під гвинт М3-7Н. Відстань між отворами 10,1+1 мм,
а відносне розташування отворів задане відстанню від лівого торця деталі -
111±0,2. Дане гвинтове з'єднання служить для кріплення до шпинделя роликів.
У правому торці
виконаний отвір під гвинт М5-7Н L=15 мм.
У лівому торці шпинделя
на глибину 24+0,5 мм виконано отвір Ø12+0,018
із шорсткістю поверхні Ra=1,6 мкм, у якому виконана проточка довжиною 3 мм до Ø12,2.
Усередині отвору Ø12+0,018
виконано отвір під гвинт M4-7H.
На ступені шпинделя М16
і Ø12h6 та усередині отвору Ø12+0,018 виконані фаски 1,6х45º.
Припустиме радіальне
биття поверхонь шпинделя М16-6g, Ø12h6 та поверхні отвору Ø12+0,018 відносно вісі шпинделя складає 0,04 мм.
Матеріал шпинделя -
сталь 40Х ДСТ 45-43-71. Твердість поверхонь 230…270 НВ.
Даний шпиндель
призначений для передачі крутного та поступового руху патрону з інструментом
при обробці, що виконується на модернізованому верстаті мод. СКФШ-98 з
розширеними технологічними можливостями для копіювально-шліфувальних робіт.
Другою
деталлю-представником, що є предметом дослідження дипломного проекту є корпус.
Корпус - деталь, що
служить для з'єднання робочих деталей механізму та й забезпечуюча їм певне
розташування в просторі.
Корпус є тілом
обертання. Маса корпуса m=5,1 кг, габаритні розміри 120x115 мм. Матеріал
корпуса - сталь 20 ДСТ 1050-86.
Усередину даного корпуса
по посадкових отворах Ø80Н7 і Ø90Н7 встановлюється корпус із обмотками з розташованим усередині
нього штовхачем та за допомогою 8 різьбових з’єднань М6-7Н кріпитися кришка.
Базовими поверхнями є
отвір Ø80Н7 та отвір Ø90Н7 мм.
Зовнішній діаметр
корпуса має розмір Ø120±0,5 та довжину 115-0,5.
Усередині корпуса
виконаний отвір Ø80Н7 із шорсткістю поверхні Ra=0,8. З боку лівого торця корпуса
внутрішній отвір розточений до розміру Ø90Н7 мм на L=46±0,3 із шорсткістю поверхні Ra=0,8 та усередині
отвору виконана проточка довжиною 3 мм Ø91. Усередині отворів виконані дві фаски 1х45°.
У лівому торці корпуса
виконано 8 отворів під гвинт М6-7Н.
Лівий торець має
шорсткість поверхні Ra=1,5, правий торець - Ra=3,2.
На зовнішній поверхні
корпуса виконано 20 шліцьових пазів 9+1х9+1 на відстані
15+2 мм від лівого торця.
Припустиме радіальне
биття поверхні отвору Ø90Н7 відносно вісі корпуса становить 0,02 мм.
Припустиме торцеве биття
поверхні лівого торця відносно вісі корпуса становить 0,03 мм.
Допустиме відхилення від
паралельності торців корпуса становить 0,03 мм.
Даний корпус призначено
для з'єднання та завдання певного розташування в просторі деталей
модернізованого верстаті мод. СКФШ-98.
Відпрацьовування
конструкції деталей-представників на технологічність
Зазначені на кресленні
розміри деталі шпиндель дозволяють мати повне представлення про
конфігурацію деталі, є достатніми для її виготовлення. Деталь має гарні базові
поверхні для операцій і є досить простій по конструкції. Дане проставляння
розмірів на кресленні деталі дає можливість виконання обробки по принципу
автоматичного одержання розмірів на настроєних верстатах, автоматах і напівавтоматах
і с уміщувати конструкторські, технологічні, вимірювальні бази. При базуванні
можливо використати діаметральну поверхню вала й торці. При фрезеруванні лисок
та виконанні отворів М3-7Н доцільно використати як бази лівий торець деталі. По
цьому показнику деталь є технологічною.
Використовуваний
матеріал: сталь 40Х ДСТ 4543-71 - вуглецева конструкційна якісна сталь широкого
застосування. Використається для осей, валів, валів-шестірень, плунжерів,
штоків, колінчатих і кулачкових валів, кілець, шпинделів, оправлень, рейок,
зубчастих вінців, болтів, півосей, втулок та інших деталей підвищеної міцності.
Таблиця 1.2.2.1 -
Хімічні властивості сталі 40Х ДСТ 4543-71:
|
Хімічний елемент
|
%
|
|
Кремній (Si)
|
0. 17-0.37
|
|
Марганець (Mn)
|
0. 50-0.80
|
|
Мідь (Cu), не більше
|
0.30
|
|
Нікель (Ni)
|
0.30
|
|
Сірка (S), не більше
|
0. 035
|
|
Вуглець (C)
|
0. 36-0.44
|
|
Фосфор (P), не більше
|
0. 035
|
|
Хром (Cr)
|
0. 80-1.10
|
Таблиця 1.2.2.2 -
Механічні властивості сталі 40Х ДСТ 4543-71:
|
Термообробка, стан поставки
|
0,2, МПа
|
B, МПа
|
5, %
|
, %
|
KCU, Дж/м2
|
HB
|
|
Пруток. Загартування 860°С, масло.
Відпустка 500°С, вода або мастило
|
780
|
980
|
10
|
45
|
59
|
-
|
Дана сталь не вимагає
спеціального узгодження для її придбання. По цьому показнику деталь також є
технологічною.
Як заготівля
використається прокат у вигляді прутка, що може бути отриманий зі складу без
додаткових витрат. Зміна конфігурації деталі, що дозволяє застосовувати більше
зроблені вихідні заготівлі, що скорочують обсяг механічної обробки не має
змісту, тому що габарити деталі, її проста конфігурація, вимоги до точності
відповідають найбільш прийнятній заготівлі. По цьому показнику деталь також є
технологічною. Деталь проходить термічну обробку, що має велике значення щодо
жолоблень, можливих при нагріванні й охолодженні.
Застосовуване
встаткування: токарно-гвинторізний, розточувальної, свердлильний, шліфувальний
верстати є загальноприйнятим устаткуванням для оснащення механічних цехів
машинобудівних заводів. Спеціального устаткування для виготовлення деталі
здобувати немає необхідності. Можливе застосування найбільш зроблених і
продуктивних методів механічної обробки, таких як обробка багато
інструментальними налагодженнями, фасонним і багатолезовим інструментом,
застосування спеціальних верстатів і автоматів при виробництві аналізованої
деталі. Можливе застосування високих режимів різання. По цьому показнику деталь
також є технологічною.
Для виготовлення даної
деталі використовуються наступні різальні інструмент: різці, фрези, мітчики,
свердла.
Для виміру в процесі
виготовлення застосовуються наступні міряльні інструменти: лінійка,
штангенциркуль, калібр-пробка.
Використовувані
інструменти ставляться до загальноприйнятого оснащення, по цим двох ознаках
деталь технологічна.
Крім того, забезпечені
умови для врізання й виходу різального інструменту, доступу по всіх елементах
деталі для обробки й виміру.
Витримується
відповідність форми й розмірів поверхонь формам і розмірам стандартного
інструмента.
Відхилення, що
допускають, від радіального биття обґрунтовані достатньо і вв'язані з
геометричними похибками верстатів.
Задані допуски на
розміри й необхідну шорсткість не викликають технологічних ускладнень і можуть
бути витримані без ускладнення технологічного процесу.
Визначення відносних
показників технологічності.
Коефіцієнт точності
обробки:
де Тср -
середній квалітет точності обробки виробу;- число розмірів відповідного
квалітету точності;
Т - квалітет точності
обробки.

Коефіцієнт шорсткості
поверхні:
де Шср -
середня шорсткість поверхні виробу;
Ш - шорсткість поверхні;iш
- число поверхонь відповідної шорсткості.
Зазначені на кресленні
розміри деталі корпус дозволяють мати повне уявлення про конфігурації
деталі, є достатніми для її виготовлення. Деталь має гарні базові поверхні для
операцій і є досить простою за конструкцією. Дане проставляння розмірів на
кресленні деталі дає можливість виконання обробки але принципу автоматичного
одержання розмірів на настроєних верстатах, автоматах і напівавтоматах і
сполучення конструкторських, технологічних, вимірювальних баз. При базуванні,
можливо використати як зовнішню діаметральну поверхню вала, так і внутрішні
отвори й торці. При фрезеруванні шліцьових пазів доцільно використати як бази
лівий торець деталі й отвір. По цьому показнику деталь є технологічна.
Використовуваний
матеріал: сталь 20 ДСТ 1050-86 - вуглецева конструкційна якісна сталь широкого
застосування. Використовувається після нормалізації або без термообробки для
гаків кранів, муфт, вкладишів підшипників і інших деталей, що працюють при
температурі від -40 до 450°С під тиском, після ХТО - для шестірней, черв'яків
та інших деталей, до яких пред'являються вимоги високої поверхневої твердості
при невисокій міцності серцевини.
Таблиця 1.2.2.3 -
Хімічні властивості стали 20 ДСТ 1050-86:
|
Хімічний елемент
|
%
|
|
Кремній (Si)
|
0. 17-0.37
|
|
Марганець (Mn)
|
0. 35-0.65
|
|
Мідь (Cu), не більше
|
0.25
|
|
Миш'як (As), не більше
|
0.08
|
|
Нікель (Ni), не більше
|
0.25
|
|
Сірка (S), не більше
|
0.04
|
|
Вуглець (C)
|
0. 17-0.24
|
|
Фосфор (P), не більше
|
0. 035
|
Таблиця 1.2.2.4 -
Механічні властивості стали 20 ДСТ 1050-86:
|
0,2, МПа
|
B, МПа
|
5, %
|
, %
|
KCU, Дж/м2
|
HB
|
|
175
|
350
|
24
|
50
|
59
|
101-143
|
Дана сталь не вимагає
спеціального узгодження для її придбання. По цьому показнику деталь також є
технологічною.
Заготовка
використовується досить простої форми, одержання якої не викликає істотних
труднощів. По цьому показнику деталь також є технологічною. Можливо також
застосування прокату, чим зменшується трудомісткість одержання заготовки, але
при цьому підвищується складність механічної обробки й збільшуються витрати на
використовуваний матеріал.
Застосовуване
встаткування: токарно-гвинторізні, радіально-свердлильні, фрезерні верстати є
загальноприйнятим устаткуванням для оснащення механічних цехів машинобудівних
заводів. Спеціального устаткування для виготовлення деталі придбавати немає
необхідності. Можливе застосування найбільш зроблених і продуктивних методів
механічної обробки, такі як обробка багато інструментальними налагодженнями,
фасонним і багатолезовим інструментом, застосування спеціальних верстатів і
автоматів при виробництві аналізованої деталі. Можливе застосування високих режимів
різання. По цьому показнику деталь також є технологічною.
Для виготовлення даної
деталі використовуються наступні різальні інструменти: різці, фрези, мітчики,
свердли.
Для виміру в процесі
виготовлення застосовуються наступні міряльні інструменти: лінійка,
штангенциркуль, шаблони.
Використовувані
інструменти належать до загальноприйнятого оснащення, за цими двома ознаками
деталь технологічна.
Крім того, забезпечені
умови для врізання й виходу різального інструменту, доступу по всіх елементах
деталі для обробки й виміру.
Витримується
відповідність форми й розмірів поверхонь формам і розмірам стандартного
інструмента.
Допустимі відхилення від
торцевого та радіального биття, та допуск відхилення від паралельності
обґрунтовані достатньо та вв'язані з геометричними похибками верстатів.
Задані допуски на
розміри та необхідну шорсткість не викликають технологічних ускладнень та
можуть бути витримані без ускладнення технологічного процесу.
Визначення відносних
показників технологічності.
Коефіцієнт точності обробки:
де Тср -
середній квалітет точності обробки виробу;- число розмірів відповідного
квалітету точності;
Т - квалітет точності
обробки.
Коефіцієнт шорсткості
поверхні:
де Шср -
середня шорсткість поверхні виробу;
Ш - шорсткість поверхні;iш
- число поверхонь відповідної шорсткості.
Визначення виробничої
програми, вибір типу та організаційної форми виробництва
Річна програма
визначається на підставі заданого програмного завдання по формулі:
де Nn -
програмне завдання випуску виробів у рік, Nn=480 шт.;- кількість деталей, що
йдуть на один виріб, m=2;
а - відсоток деталей, що
йдуть у запасні частини, а=6%;
в - відсоток технічно
неминучих виробничих втрат, що включає деталі, що йдуть на випробування
механічних властивостей матеріалу, налагодження встаткування й інше, а також
браковані деталі, в = 2%.

1037.95
Тип виробництва
відповідно до ДСТ 3.1108-74 характеризується коефіцієнтом закріплення операцій
по обробці однієї або декількох деталей, закріплених за одним робочим місцем
протягом певного планового проміжку часу (одного місяця):
де О - кулькість різних
операцій за один місяць;
Р - кількість робочих
місць, на яких виконуються різні операції.
Таблиця 1.2.3.1 -
Розрахунок коефіцієнта закріплення оперцій
|
Найменування операцій
|
Тшт
|
mр
|
Р
|
з.ф.
|
О
|
|
Токарська
|
65
|
0.350077
|
1
|
0.35007721
|
2.285210165
|
|
Фрезерна
|
12
|
0.06463
|
1
|
0.06462964
|
12.37822173
|
|
Вертикально-свердлильна
|
4
|
0.021543
|
1
|
0.02154321
|
37.13466519
|
|
Внутрішліфувальна
|
5
|
0.026929
|
1
|
0.02692902
|
29.70773215
|
|
Круглошліфувальна
|
8
|
0.043086
|
1
|
0.04308643
|
18.56733259
|
|
Слюсарна
|
10
|
0.053858
|
1
|
0.05385803
|
14.85386607
|
|
|
Р =
|
|
О =
|
114.9270279
|
|
Коефіцієнт закріплення операцій:
|
|
|
|
|
КЗО=
|
19.1545
|
|
|
|
|
Кзо= 19 - середнєсерійне
виробництво
Аналіз базових
технологічних процесів виготовлення деталей-представників
Таблиця 1.2.4.1 - Аналіз
базового технологічного процесу деталі шпиндель
|
№
|
Найменування операції
|
Модель верстата
|
Пристосування
|
РІ, міряльний інструмент
|
Ескіз обробка
|
Рекомендації
|
|
005
|
Заготівельна
|
8544
|
Призми, прихват
|
|
|
На токарській операції
|
|
010
|
Токарно-гвинторізна
|
16ДО20
|
3-х кул. самоцентр. патрон, центр
|
Різець правий прохідний упорний Т5К10 40х40 ДСТ 1889-79. Свердло Ø6,7. Мітчик М8. ШЦ II-250-0.05 ДСТ 166-80, калібр-пробка
|
Установ А Установ
Б Установ
В
|
Токарський верстат з ЧПК.
Використа-ти РІ Sandvik Coromant
|
|
015
|
Розмічальна
|
|
|
|
|
|
|
020
|
Фрезерна
|
6Р82
|
Призми, упор, прихват
|
Фреза дискова ДСТ 6469-69. ШЦ
II-250-0.05 ДСТ 166-80
|
Установ А Установ
Б Установ
В Установ
Г
|
|
|
025
|
Розмічальна
|
|
|
|
|
|
|
030
|
Вертикально-свердлильна
|
2Н118
|
Призми, упор, прихват
|
Свердло M3
|
|
РІ Sandvik Coromant. Нарізати
різьбу
|
|
035
|
Внутрішліфувальна
|
3А228
|
Патрон
|
ПП-24А-40-С2-5-К6-35 м/с - А-2 кл - 8х12
|
|
Дворазове розгортан-ня
|
|
040
|
Термообробка
|
|
|
|
|
ТВЧ
|
|
045
|
Круглошліфувальна
|
3М151
|
Поводковий патрон, центр
|
ПП-24А-40Н-СМ-5-К8-35 м/с - А-2 кл
- 100х20
|
|
МІ: БВ-П3156
|
Слюсарна
|
|
Призми, прихват
|
Мітчик М3 ДСТ 3266-81. Комплект
слюсарного інструмента
|
|
2Н118
|
Таблиця 1.2.4.2 - Аналіз
базового технологічного процесу деталі корпус
|
№
|
Найменування операції
|
Модель верстата
|
Присто-сування
|
РІ, міряльний інструмент
|
Ескіз обробка
|
Рекомен-дації
|
|
005
|
Заготівельна
|
8544
|
Призми, прихват
|
Лінійка
|
|
|
|
010
|
Токарно-гвинторізна
|
16ДО20
|
3-х кул. самоцентр. патрон, центр
|
Різець правий прохідний упорний Т5К10 40х40 ДСТ 1889-79 ШЦ II-250-0.05 ДСТ 166-80
|
Установ А Установ Б
|
Токарський верстат з ЧПК.
Використати РІ Sandvik Coromant.
|
|
015
|
Плоскошліфувальна
|
3Б740
|
Оправка
|
ПП-24А-40Н-СМ-5-К8-35 м/с - А-2 кл
- 200х40
|
|
|
|
020
|
Внутрішліфувальна
|
3А228
|
Патрон
|
ПП-24А-40-С2-5-К6-35 м/с - А-2 кл
- 70х30
|
|
|
|
025
|
Розмічальна
|
|
|
|
|
|
|
030
|
Фрезерна
|
6Р82
|
Ділильна головка, оправка
|
Фреза дискова ДСТ 166-80.
Штангенциркуль ШЦ ІІ-250-0,1 ДЕСТ 166-80, шаблон
|
|
|
|
035
|
Розмічальна
|
|
|
|
|
|
|
040
|
Вертикально-свердлильна
|
2Н118
|
Оправка
|
Свердло Ø2,5. Зенківка. Мітчик M3. Штангенциркуль ШЦ ІІ-250-0,1 ДСТ
166-80
|
|
Свердлильний верстат з ЧПК
PicoMill CNC. Використати РІ Sandvik Coromant.
|
Вибір виду та способу
одержання заготівки
Заготівка для деталі шпиндель,
матеріал - сталь 40Х ДСТ 4543-71, маса деталі - 0,18 кг може бути отримана із
прутка.
Даний спосіб одержання є
найбільш доцільним і економічно вигідним, тому що найбільший перепад діаметрів
ступень шпинделя становить 2 мм на сторону.
Сталь діаметром 18 мм. у
прутках, групи В, квалітету h9, термічно оброблена марки 40Х:
Пруток 18-в-h9-Т-40Х ДСТ
14955-77
Термічна обробка:
загартування в маслі, висока відпустка.
Механічні властивості: B
= 780… 930; Т = 590… 690; д > 10; ш = 40…50; КС > 600;
-1 = 350; 230… 280 НВ.
Область
застосування: деталі із загальною підвищеною міцністю; працюючі при середніх
швидкостях і середніх тисках: зубчасті передачі, черв'ячні вали, шліцеві вали;
проміжні осі, шпинделі й вали, що працюють у підшипниках кочення.
Маса заготівки:
Коефіцієнт використання
матеріалу:
Заготівка
для деталі корпус, матеріал - сталь 20 ДСТ 1050-86, маса деталі -
5,1 кг може бути отримана такими способами.
Одержання
із прокату: сталева безшовна горячодеформована труба із зовнішнім діаметром 127
мм, товщиною стінки 25 мм, немірної довжини, зі сталі марки 20, виготовляє по
групі Б ДСТ 8731-74
Граничні
відхилення труб при високому ступені виготовлення:
по
зовнішньому діаметрі ±1,0%
по
товщині стінки ±12,5%
Маса заготівки:

Коефіцієнт використання
матеріалу:
Обґрунтування вибору
встаткування, верстатних і контрольних пристосувань, ріжучих і допоміжних
інструментів, засобів механізації та автоматизації
Вибір
устаткування, верстатних і контрольно-вимірювальних пристосувань обумовлений
габаритними розмірами й масою деталі.
Деталь
«шпиндель» має габаритні розміри: 16х220 мм і масу 0,18 кг.
Для
обробки на токарських операціях застосовується токарно-гвинторізний верстат
моделі 16К20Ф3. Верстат дозволяє обробляти деталі довжиною до 1 м і діаметром
до 400 мм, має потужність двигуна 15 квт, що дозволяє застосовувати високі
режими різання.
Для
установки деталі на верстат використовується трьохкулачковий патрон ДСТ
2675-80, центр обертовий ДСТ 8742-75, а також трьохкулачковий патрон з упором.
Точність вивірки задовольняє вимогам точності обробки.
Для поздовжнього точіння
та підрізання торців застосовується різець фірми Sandvik Coromant SCLCR 1616K
06-S, CT5015, для відрізання заготівки застосовується відрізний різець
RF123D08-1212B, GC3115, для точіння зовнішньої канавки застосовується
канавковий різець R154.0G-16CC01-130, GC1020, для гостріння внутрішньої канавки
- різець RAG151.32-16M12-20, GC2145, для обробки отвору використають свердло
R840-1000-30-A0A, GC1220, що дозволяє забезпечити високопродуктивну обробку при
високих режимах різання.
Для обробки отвору під
різьбу М5 і одночасної обробки фаски 1,6х45° використовують свердло
R841-0465-30-A1A, GC1220, що дозволяє забезпечити високопродуктивну обробку при
високих режимах різання й одночасне виконання отвору й фаски в ньому.
Для
обробки отворів на токарній операцій використовують також свердло Ø3,3 Р6М5 ДСТ
886-77, зенкер Ø11Р6М5, розгортка Ø12 Р6М5, мітчик М4х0,7 Р6М5 ДСТ 1604-71, мітчик М6х0,8 Р6М5 ДСТ
3266-81, для обробки фаски в отворах - зенківку Ø20 Р6М5 ДСТ
14953-69.
Вимір
діаметральних і лінійних розмірів здійснюється штангенциркулем ШЦ II-250-0,05
ДСТ 166-80, рейсмусом.
Для
фрезерування лисок використовується консольно-фрезерний верстат моделі 6Р82.
Даний верстат має стіл розміром 320x1250 мм і дозволяє обробляти деталі масою
до 250 кг. Потужність головного привода становить 7,5 квт.
Для
установки деталі на металорізальному верстаті використовуються призми із
прихватом.
Обробка
виконується фрезою дисковою Ø100 мм Р6М5 ДСТ 166-80. Для контролювання розмірів
використовується штангенциркуль ШЦ II-250-0,05 ДСТ 166-80.
Для
обробки отворів використовується свердлильний міиніверстат PicoMill CNC. Даний
верстат має стіл з розміром затискної поверхні 450x160 мм і дозволяє виконувати
свердління в деталі до 25 мм. Потужність електродвигуна шпинделя становить 1
квт.
Для
установки деталі на металорізальному верстаті використовуються призми із
прихватом.
Обробка
отворів виконується свердлом R840-0250-50-A0B, GC1020; зенківкою Ø10 Р6М5 ДСТ
14953-69; мітчиком М3х0,5 Р6М5 ДСТ 3266-81.
Для
контролювання розмірів використовується штангенциркуль ШЦ II-250-0,05 ДСТ
166-80 і калібр-пробка.
Для поздовжнього
шліфування використовується круглошліфувальний верстат моделі 3М151. Верстат
дозволяє обробляти деталі діаметром 200 мм і довжиною 700 мм. Номінальна
потужність електродвигуна привода становить 7,5 квт.
Для
установки деталі на металорізальному верстаті використовується повідковий
патрон ДСТ 13334-67 і центр обертовий ДСТ 8742-75.
Обробка
виконується кругом ПП-24А-40Н-СМ-5-К8-35
м/с - А-2 кл - 100х20.
Для
контролювання розмірів використовується контрольно-вимірювальний пристрій
БВ-П3156, що дозволяє робити активний контроль при обробці.
Деталь
«корпус» має габаритні розміри: 120х115 мм і масу 5,1 кг.
Для
відрізки заготівки застосовується стрічково-відрізний верстат 8544. Даний
верстат дозволяє розрізати профіль розміром Ø355 мм і довжиною
3000 мм, має потужність привода пилки 2,8 квт.
Для
установки деталі на металорізальному верстаті використовуються призми із
прихватом. Обробка виконується пилкою. Для виміру використовується
штангенциркуль ШЦ II-250-0,05 ДСТ 166-80, рейсмус.
Для
обробки на токарських операціях застосовується токарно-гвинторізний верстат
моделі 16К20Ф3. Верстат дозволяє обробляти деталі довжиною до 1 м і діаметром
до 400 мм, має потужність двигуна 15 квт, що дозволяє застосовувати високі
режими різання.
Для
установки деталі на верстат використається трьохкулачковий патрон ДСТ 2675-80.
Точність вивірки задовольняє вимогам точності обробки.
Для поздовжнього точіння
та підрізання торців застосовується різець фірми Sandvik Coromant SCLCR 1616K
06-S, CT5015, для точіння внутрішньої канавки - різець RAG151.32-16M12-20,
GC2145, що дозволяє забезпечити високопродуктивну обробку при високих режимах
різання.
Вимір
діаметральних і лінійних розмірів здійснюється штангенциркулем ШЦ II-250-0,05
ДСТ 166-80, рейсмусом.
Для
шліфування торця використовується плоскошліфувальний верстат моделі 3Б740.
Даний верстат має стіл діаметром 400 мм, має потужність електродвигуна
шліфувального кола 7 квт.
Для
установки деталі на верстат використовується оправка. Обробка виконується
кругом ПП-24А-40-С2-5-К6-35 м/с - А-2 кл - 70х30. Вимір здійснюється штангенциркулем ШЦ II-250-0,05 ДСТ 166-80.
Для
шліфування отворів використовується внутрішліфувальний верстат моделі 3А228.
Верстат дозволяє обробляти отвори діаметром 200 мм і довжиною 200 мм.
Номінальна потужність електродвигуна головного руху становить 4,5 квт.
Для
установки деталі на металорізальному верстаті використовується трьохкулачковий
патрон ДСТ 2675-80.
Обробка
виконується кругом ПП-24З2-5-К6-35 м/с - А-2 кл - 70х30. Вимір здійснюється
штангенциркулем ШЦ II-250-0,05 ДСТ 166-80.
Для
фрезерування шліцьових пазів використовується консольно-фрезерний верстат
моделі 6Р82. Даний верстат має стіл розміром 320x1250 мм і дозволяє обробляти
деталі масою до 250 кг. Потужність головного привода становить 7,5 квт.
Для
установки деталі на металорізальному верстаті використовується оправка та
ділильна гловка.
Обробка
виконується фрезою дисковою Ø80 Р6М5 ДСТ 1695-80. Для контролювання розмірів використовується
штангенциркуль ШЦ II-250-0,05 ДСТ 166-80, шаблон.
Для
обробки отворів використовується свердлильний міиніверстат PicoMill CNC. Даний
верстат має стіл з розміром затискної поверхні 450x160 мм і дозволяє виконувати
свердління в деталі до 25 мм. Потужність електродвигуна шпинделя становить 1
квт. Даний верстат дозволить виконувати високопродуктивну обробку для великої
кількості отворів.
Для
свердління отворів під різьбу М6 і одночасної обробки фаски використовується
свердло R841-0500-30-A1A, GC1220, що дозволяє забезпечити високопродуктивну
обробку при високих режимах різання й одночасне виконання отвору та фаски в
ньому. Для нарізання різьби в отворах використовується мітчик М6х1 Р6М5 ДСТ
3266-81.
Для
контролювання розмірів використовується штангенциркуль ШЦ II-250-0,05 ДСТ
166-80.
Складання маршруту
обробки деталей-представників і попередня розробка операцій
Маршрут обробки шпинделя
005 Токарна з ЧПК
Підрізати торець.
Свердлити отвір Ø4,2+0,2 мм під різьбу М5 на L=20 мм. Зенкувати фаску
1,6х45° в отв. Ø4,2 мм. Нарізати різьбу М5.
Переустановити. Точити Ø16+0,2
мм на L=222. Зняти фаску 1,6х45°. Точити Ø12-0,2 мм на L=190. Точити канавку 3х0,25 R1. Точити
канавку Ø11,5-0,2 мм L=1,2+0,25 мм. Відрізати на
L=222.
010 Токарна з ЧПК
Підрізати торець на
довжину L=220-0,5. Точити фаску 1,6х45°. Нарізати різьбу М16х1,5-6g.
Свердлити отвір Ø3,3+0,2 мм під різьбу M4 на L=50 мм. Свердлити отвір Ø10 мм на L=24 мм.
Зенкувати отвір Ø11 мм на L=24 мм. Точити канавку Ø12,2 L=3 мм.
Дворазово розгорнути отвір Ø12+0.018 мм. Зенкувати фаску 1,6х45° в отв. O12 мм.
Нарізати різьбу М4.
015 Розмічальна
Розмітити 4 лиски,
розмітити 2 отв.
020 Фрезерна
Фрезерувати лиску 11-0,5
L=25+1.
Переустановити.
Фрезерувати лиску 11-0,5 L=25+1.
Переустановити.
Фрезерувати лиску 15-0,2 L=6.
Переустановити.
Фрезерувати лиску 15-0,2 L=6.
025 Вертикально-свердлильна
Свердлити 2 отвору Ø2,5+0,2
мм під різьблення М3. Зенкувати фаску 1х45° в отв. Ø2,5+0,2
мм. Нарізати різьбу М3 в 2-х отв.
030 Термообробка ТВЧ
035 Круглошліфувальна
Шліфувати поверхню Ø12h6 (-0,011)
Ra=0,8 на L=50+1. Шліфувати поверхню Ø12h6 Ra=0,8 на
L=70±0,3.
040 Лазерне зміцнення
Маршрут обробки корпуса
005 Пілорізна
Відрізати заготівку Ø127 мм на L=127 мм
010 Токарна з ЧПК
Підрізати торець. Точити
Ø120±0,5 мм на L=51
мм. Розточити отвір Ø79,8Js10 (±0,06) мм. Зняти фаску 1х45° в отв. Ø79,8 мм.
Переустановити. Підрізати
торець у довжину 115-0,5 мм. Точити Ø120±0,5 мм на L=65
мм. Розточити отвір Ø89,8Js10 (±0.07) мм. Зняти фаску 1х45° в отв. Ø98,8 мм. Точити
канавку O91 L=3 мм.
015 Плоскошліфувальна
Шліфувати лівий торець
Ra=1,5.
020 Внутрішліфувальна
Шліфувати отвір Ø80Н7 (+0,03)
Ra=0,8. Шліфувати отвір Ø90Н7 (+0,035) Ra=0,8 на L=46 мм.
025 Розмічальна
Розмітити 20 шліцьові
пазі 9х9 мм
030 Фрезерна
Фрезерувати 20 шліцьові
пазі 9х9 мм.
035 Свердлильна з ЧПК
Свердлити 8 отв. Ø5 мм. Зенкувати
фаску 1х45 в отв. Ø5 мм. Нарізати різьбу М6 в отв. Ø5 мм.
Розрахунок припусків та
виконання креслень заготівок деталей-представників
Розрахунок припусків
виконується розрахунково-аналітичним методом.
Складання плану
обробки поверхні шпинделя 
Ra=0,8
Таблиця 1.2. 8.1
- План обробки поверхні 
|
№
|
Операція
|
Шорсткість
|
Точність
|
Допуск, мм
|
|
1.
|
Заготівка (пруток)
|
Rz60
|
|
0,043
|
|
2.
|
Точіння
|
Rz30
|
h10
|
0,070
|
|
3.
|
Шліфування попереднє
|
Rz10
|
h8
|
0,027
|
|
4.
|
Шліфування остаточне
|
Rz3
|
h6
|
0,011
|
. Мінімальний
розрахунковий припуск обробки циліндричної поверхні:
. Погрішність форми
заготівки - прокат.
сдо=∆K·L
= 0,5·250 = 125 мкм - погрешность коробления,
де ∆K = 0,5 мм -
питоме жолоблення;= 250 мм - найбільший розмір заготівки.
ссм
= 1,25 мкм - похибка
змішання,
де д = 0,043 мм -
допуск на діаметр базової поверхні заготівки, що використана при зацентруванні.

- похибка заготівки.
Залишкове
просторове відхилення:
с1=0,05·125=6,25
мкм
с2=0,06·125=7,5
мкм
с3=0,04·125=5
мкм
. Похибка
установки
На операції
точіння використовуємоємо 3-х кул. патрон 
Для попереднього
шліфування 
(для установки в
центрах)
Для остаточного
шліфування 
(для установки в
центрах)
Таблиця 1.2. 8.2
- Розрахунок припусків і граничних розмірів по технологічним переходам на
обробку поверхні 
|
Технологіч. перехід
|
Елементи припуску, мкм
|
2Zmin, мкм
|
dр, мм
|
д, мм
|
Граничний розмір, мм
|
Граничний припуск, мкм
|
|
Rz
|
T
|
с
|
е
|
|
|
|
dmin
|
dmax
|
2Zmax
|
2Zmin
|
|
Заготівка
|
60
|
60
|
125
|
-
|
-
|
12,713
|
0,043
|
12,72
|
12,763
|
-
|
-
|
|
Точіння
|
30
|
30
|
6,25
|
60
|
517
|
12,196
|
0,070
|
12,2
|
12,27
|
0,493
|
0,52
|
|
Шліфування попереднє
|
10
|
20
|
7,5
|
0
|
132
|
12,064
|
0,027
|
12,07
|
12,097
|
0,173
|
0,13
|
|
Шліфування кінцеве
|
3
|
6
|
5
|
0
|
75
|
11,989
|
0,011
|
11,989
|
12
|
0,097
|
0,081
|
|
Усього:
|
0,763
|
0,731
|
4. Номінальний припуск

,
де 
мм - нижнє відхилення
розміру заготівки;

мм - нижнє відхилення
розміру деталі.

Розмір заготівки:
Dз=12+0,699=12,699=
Складання плану
обробки торців шпинделя L=220 (-0.5)
Таблицю 1.2. 8.3
- План обробки поверхні L=220 (-0.5)
|
№
|
Операція
|
Шорсткість
|
Точність
|
Допуск, мм
|
|
1.
|
Заготівка (пруток)
|
Rz200
|
|
0,3
|
|
2.
|
Підрізання попереднє
|
Rz50
|
h12
|
0,5
|
. Мінімальний
розрахунковий припуск при підрізуванні торця:

. Похибка форми
заготівки.
сдо=∆K·L
= 0,5·220 = 125 мкм - похибка коробления,
де ∆K = 0,5
мм - питоме жолоблення;= 220 мм - найбільший розмір заготівки.
ссм
= 1,25 мкм - похибка
зміщення,
де д = 0,043 мм -
допуск на діаметр базової поверхні заготівки, що використана при зацентруванні.

- похибка заготівки.
Залишкове
просторове відхилення:
с1=0,05·125=6,25
мкм
. Похибка
установки
На операції
підрізання торця використовуємо 3-х. кул. патрон 
(напрямок зсуву
заготівки - осьове)
Таблиця 1.2.8.4 -
Розрахунок припусків і граничних розмірів по технологічним переходам на обробку
поверхні L=220 (-0.5)
|
Технологіч. перехід
|
Елементи припуску, мкм
|
2Zmin, мкм
|
dр, мм
|
д, мм
|
Граничний розмір, мм
|
Граничний припуск, мкм
|
|
Rz
|
T
|
с
|
е
|
|
|
|
dmin
|
dmax
|
2Zmax
|
2Zmin
|
|
Заготівка
|
200
|
200
|
125
|
-
|
-
|
220,065
|
0,3
|
220,07
|
220,37
|
-
|
-
|
|
Підрізання попереднє
|
50
|
50
|
6,25
|
40
|
565
|
219,5
|
0,5
|
219,5
|
220
|
0,37
|
0,57
|
|
Усього:
|
0,37
|
0,57
|
|
|
|
|
|
|
|
|
|
|
|
|
|
|
. Номінальний припуск


з=220+1,37=221,37=
Складання плану
обробки отвору корпуса 
Ra=0,8
Таблиця 1.2. 8.5
- План обробки поверхні 
|
№
|
Операція
|
Шорсткість
|
Точність
|
Допуск, мм
|
|
1.
|
Rz150
|
|
1,6
|
|
2.
|
Точіння попереднє
|
Rz60
|
H12
|
0,30
|
|
3.
|
Точіння остаточне
|
Rz20
|
H10
|
0,12
|
|
4.
|
Шліфування
|
Rz6
|
H7
|
0,03
|
. Мінімальний
розрахунковий припуск обробки отвору:
. Похибка форми
заготівки - прокат.
сдо=∆K·L
= 0,6·120 = 72 мкм - похибка короблення,
де ∆K = 0,6 мм -
питоме жолоблення;= 120 мм - найбільший розмір заготівки.
ссм
= 0,47 мкм - похибка
зміщення,
де д = 1,6 мм -
допуск на діаметр базової поверхні заготівки, що використана при
зацентровуванні.

- похибка заготівки.
Залишкове просторове
відхилення:
с1=0,06·72=4,32
мкм
с2=0,06·72=4,32
мкм
с3=0,04·72=2,88
мкм
. Похибка
установки
На операції
точіння для 3-х кул. патрона 
Для шліфування
заготівля встановлюється в патрон 
.
Таблиця 1.2. 8.6
- Розрахунок припусків і граничних розмірів по технологічним переходам на
обробку поверхні 
|
Технологіч. перехід
|
Елементи припуску, мкм
|
2Zmin, мкм
|
dр, мм
|
д, мм
|
Граничний розмір, мм
|
Граничний припуск, мкм
|
|
Rz
|
T
|
с
|
е
|
|
|
|
dmin
|
dmax
|
2Zmax
|
2Zmin
|
|
Заготівка
|
150
|
200
|
72
|
-
|
-
|
78,505
|
1,6
|
78,51
|
76,91
|
-
|
-
|
|
Точіння попереднє
|
60
|
60
|
4,32
|
200
|
1125
|
79,63
|
0,30
|
79,63
|
79,33
|
2,42
|
1,12
|
|
Точіння остаточне
|
20
|
30
|
4,32
|
200
|
320
|
79,95
|
0,12
|
79,95
|
79,83
|
0,5
|
0,32
|
|
Шліфування
|
6
|
12
|
2,88
|
30
|
80
|
80,03
|
0,03
|
80,03
|
80
|
0,17
|
0,08
|
|
Усього:
|
3,09
|
1,52
|
. Номінальний припуск

,
де 
мм - верхнє відхилення
розміру заготівки;

мм - верхнє відхилення
розміру деталі.

Розмір заготівки:
Dз=80-3,09=76,91=
Складання плану
обробки торців корпуса L=115 (-0.5) Ra=1,5
Таблицю 1.2.8.7 -
План обробки поверхні L=115 (-0.5)
|
№
|
Операція
|
Шорсткість
|
Точність
|
Допуск, мм
|
|
1.
|
Заготівля (труба)
|
Rz200
|
|
0,5
|
|
2.
|
Підрізання
|
Rz50
|
h13
|
0,54
|
|
3.
|
Шліфування
|
Rz12
|
|
0,5
|
1. Мінімальний
розрахунковий припуск при підрізуванні торця:

. Похибка форми
заготівки - прокат.
сдо=∆K·L
= 0,6·120 = 72 мкм - похибка короблення,
де ∆K = 0,6
мм - питоме жолоблення;= 120 мм - найбільший розмір заготівки.
ссм
= 0,47 мкм - похибка
зміщення.
де д = 1,6 мм -
допуск на діаметр базової поверхні заготівки, що використана при
зацентровуванні.

- похибка заготівки.
Залишкове
просторове відхилення:
с1=0,06·72=4,32
мкм
с2=0,06·72=4,32
мкм
. Похибка
установки
На операції
підрізання торця використовуємо 3-х кул. патрон 
(напрямок зсуву
заготівки - осьовий).
На операції
шліфування 
(для закріплення в
оправці).
Таблиця 1.2.8.8 -
Розрахунок припусків і граничних розмірів по технологічним переходам на обробку
поверхні L=115 (-0.5)
|
Технологіч. перехід
|
Елементи припуску, мкм
|
2Zmin, мкм
|
dр, мм
|
д, мм
|
Граничний розмір, мм
|
Граничний припуск, мкм
|
|
Rz
|
T
|
с
|
е
|
|
|
|
dmin
|
dmax
|
2Zmax
|
2Zmin
|
|
Заготівка
|
200
|
200
|
72
|
-
|
-
|
115,085
|
0,5
|
115,09
|
115,59
|
-
|
-
|
|
Підрізання
|
50
|
50
|
4,32
|
15
|
474
|
114,611
|
0,54
|
114,62
|
115,16
|
0,43
|
0,47
|
|
Шліфування
|
12
|
-
|
4,32
|
10
|
111
|
114,5
|
0,5
|
114,5
|
115
|
0,16
|
0,12
|
|
Усього:
|
0,59
|
0,59
|
|
|
|
|
|
|
|
|
|
|
|
|
|
|
. Номінальний припуск


з=115+1,59=116,59=
Призначення режимів різання
та нормування технологічних операцій
Для деталі «Шпиндель»:
1. Точіння
Верстат: 16К20 Ф3
Потужність: 10 кВт
Оброблювальний матеріал:
Сталь 40Х
Різець CoroTurn SCLCR
1616K 06-S
Пластина CCMT 06 02 04-WF
Сплав CT5015
128
Рисунок 1.2.10.1 -
Різець CoroTurn SCLCR 1616K 06-S
b=16 мм, f1=16 мм, h=16 мм, h1=16 мм, l1=125 мм, l3=16 мм, Кr=95°
Розрахунок режимів
різання та основного технологічного часу операцій виконуємо на ЕОМ за допомогою
програми Mathcad.
2. Свердління
Верстат: 16К20 Ф3
Потужність: 10 кВт
Оброблювальний матеріал:
Сталь 40Х
Свердло CoroDrill R840-1000-30-A0A
Сплав GC1220
10
Рисунок 1.2.10.2 - Свердло CoroDrill R840-1000-30-A0A
dmm=10 мм, l2=89 мм, l4=31 мм, l6=47 мм, Dc=10 мм,
Розрахунок режимів
різання та основного технологічного часу операцій виконуємо на ЕОМ за допомогою
програми Mathcad.
3.
Нарізання різьби
Верстат: 16К20 Ф3
Потужність: 10 кВт
Оброблювальний матеріал:
Сталь 40Х
Різець T-Max U-Lock
R166.4FG-1616-16
Пластина R166.0G-16MM01-150
Сплав GC1020
c 34
Рисунок 1.2.10.3 -
Різець T-Max U-Lock R166.4FG-1616-16
b=16 мм, f1=20 мм, l1=100 мм, h=16 мм, h1=16 мм, l3=21.4 мм,
Розрахунок режимів
різання та основного технологічного часу операцій виконуємо на ЕОМ за допомогою
програми Mathcad.
Для деталі «Корпус»:
1. Точіння
Верстат: 16К20 Ф3
Потужність: 10 кВт
Оброблювальний матеріал:
Сталь 20
Різець CoroTurn SCLCR
1616K 06-S
Пластина CCMT 06 02 04-WF
Сплав CT5015
128
Рисунок 1.2.10.4 -
Різець CoroTurn SCLCR 1616K 06-S
b=16 мм, f1=16 мм, h=16 мм, h1=16 мм, l1=125 мм, l3=16 мм, Кr=95°
Розрахунок режимів
різання та основного технологічного часу операцій виконуємо на ЕОМ за допомогою
програми Mathcad.
2. Свердління
Верстат: Свердлильно-фрезерний мініверстат PicoMill CNC
Потужність: 1 кВт
Оброблювальний матеріал:
Сталь 20
Свердло CoroDrill R841-0500-30-A1A
Сплав GC1220
10
Рисунок 1.2.10.5 -
Свердло CoroDrill R841-0500-30-A1A
dmm=6.8 мм, l2=79 мм, l4=16 мм, l6=28 мм, Dc=5 мм,
Розрахунок режимів
різання та основного технологічного часу операцій виконуємо на ЕОМ за допомогою
програми Mathcad.
. Нарізання різьб
Верстат:
Свердлильний мініверстат PicoMill CNC
Потужність: 1 кВт
Оброблювальний
матеріал: Сталь 20
Мітчик М6х1 Р6М5 ДСТ 3266-81
Рисунок 1.2.10.5
- Мітчик М6х1 ДСТ 3266-81
Таблиця
1.2.10.1 - Розміри мітчика М6х1 ДСТ 3266-81в мм
Розрахунок
режимів різання та основного технологічного часу операцій виконуємо на ЕОМ за
допомогою програми Mathcad.
2.
Конструкторсько-технологічна частина
.1 Розрахунок і
конструювання контрольно-вимірювальних пристосувань і інструментів
Завдання проектування:
розробити засіб активного контролю для круглошліфувального верстата.
Механічний прилад БВ-П3156
для контролю валів із гладкою поверхнею.
Прилад (мал. 2.1.1,
табл. 2.1.1), заснований на механічному принципі дії, призначений для контролю
валів із гладкою поверхнею в процесі їхньої обробки методом врізання на
центрових круглошліфувальних напівавтоматах і універсальних верстатах. Залежно
від діапазону виміру передбачено чотири варіанти виконання приладу.
Таблиця 2.1.1 - Основні
характеристики приладу БВ-П3156
|
Найменування, призначення й метод
контролю
|
Тип показуючего й контролюємих діаметрів, мм
|
Діапазон котролюємих діаметрів
|
Ціна розподілу шкали приладу, мм
|
Похибка приладу, мм
|
Діапазон виміру по шкалі, мм
|
Вимірювальне зусилля, сН
|
Конструкція й завод-постачальник
|
|
Прилад БВ-П3156. Вимірник -
трьохконтактна навісна скоба БВ-П3156 БВ-П3156-01 БВ-П3156-02 БВ-П3156-03
|
Індикатор вартового типу ИЧ-10
|
4 - 40 10 - 80 40 - 125 80 -
200
|
0,01
|
0,01
|
1
|
600±100
|
Конструкція БВ (Бюро
взаємозамінності) Мінстан копрома. Виготовлювач ЧІЗ
|
Конструкція кронштейна
24 (дивися рис. 2.1.1), дозволяє навісній скобі в процесі контролю повертатися
щодо осей 2 і 3. Цим забезпечується само установка скоби нерухомими
твердосплавними наконечниками 13 і 17 на поверхні контрольованої деталі. Зміна
розміру деталі сприймається твердосплавним вимірювальним наконечником 18 штока
19 і передається його опорною п'ятою 5 на вимірювальний стрижень індикатора 4
годинникового типу ІЧ-10, кл. 1, ДСТ 577-68 із ціною розподілу 0,01 мм.
Припинення процесу обробки деталі здійснюється оператором у момент суміщення
стрілочного покажчика з нульовою відміткою шкали. Вимірювальне зусилля
створюється пружиною 7. Зусилля притиснення нерухомих наконечників
забезпечується спіральною пружиною, розміщеної в стакані 1 кронштейна 24. Для
захисту плоских пружин 11 від поломки, переміщення штока 19 обмежується гвинтом
6. При знятті скоби з деталі важіль 25, повертаючись навколо осей 2 і 3,
піднімає скобу, звільняючи робочу зону для завантаження чергової заготівки.
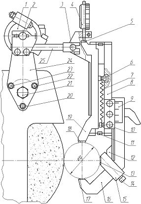
Рисунок 2.1.1 - Конструкція приладу активного контролю БВ-П3156
Настроювання
трьохконтактної скоби здійснюються по встановленій у центрах зразкової деталі,
розмір якої відповідає середині поля допуску, у наступній послідовності.
Відпустити болти 10 і
переміщати штангу 16 до сполучення штрихового індексу на корпусі 8 скоби з
оцінкою шкали 9, що відповідає номінальному розміру деталі. Перемістити движок
15 з бічним наконечником по штанзі 16 впритул до торця упору 12 і зафіксувати
болтом 14. Закріпити скобу на осі 3 так, щоб вона встановилася проти середини
абразивного круга, і надягти її на зразкову деталь. Установити корпус скоби 8 з
нахилом 10-15° від вертикалі убік робітника. Для цього відпустити болт 21, що
кріпить кронштейни до кожуха абразивного кола. Повернути кронштейн 24 навколо
болта 21 так, щоб забезпечився потрібний нахил скоби. Установку контактних
поверхонь вимірювальних наконечників скоби в площину, перпендикулярну вісі
центрів, відрегулювати за допомогою трьох настановних болтів 20, 22, 23.
Настроювання індикатора
4 варто зробити при обертанні зразкової деталі. Зуміщення нульової відмиітки
шкали зі стрілочним покажчиком здійснюється поворотом шкали індикатора.
Остаточне коректування настроювання виконується після шліфування пробної партії
деталей і визначення їхніх розмірів за допомогою універсальних вимірювальних
засобів.
У процесі експлуатації
верстата абразивний круг піддається зношуванню. Завдяки цьому зростає кут
нахилу скоби і її вимірювальні наконечникі зміщуються з поверхні контрольованої
деталі. Неперпендикулярна установка скоби щодо лінії центрів може викликати
підвищену вібрацію стрілочного покажчика. Для відновлення працездатності
приладу необхідно періодично робити правильну орієнтацію скоби за допомогою
настановних болтів 20, 22, 23 кронштейна.
Зростання похибки
показань приладу може виникати у випадку ослаблення кріплення деталей, що
входять у вимірювальний ланцюг, при виробітку робочої поверхні опорної п'яти 5
і надмірному зношуванні контактних поверхонь вимірювальних наконечників, у
випадках ушкодження плоских пружин або виходу з ладу індикатора. Зношені
поверхні варто відновити шляхом механічної обробки, непрацездатний індикатор і
ушкоджені плоскі пружини замінити новими.
3. Технологічне проектування
цеху
.1 Вихідні данні
У дипломному проекті
здійснюється реконструкція спеціалізованої механоскладальної дільниці з випуску
модернізованих верстатів мод. СКФШ-98 з розширеними технологічними можливостями
для копіювальношліфувальних робіт з річною програмою випуску 480 шт.
Вихідними даними для
проектування є:
а) виробнича програма N=480 шт./рік.
б) експериментальна
модель верстата для копіювальної обробки, креслення експериментального
верстата, заводські технологічні процеси складання верстата та механічної
обробки деталей «шпиндель» та «корпус».
в) перспективні
технологічні процеси.
г) верстатоємність
механічної обробки деталей виробу (сумарно) по типорозмірам верстатів за
заводськими даними.
д) режим роботи
проектної дільниці.
є) тип виробництва.
3.2 Проектна
верстатоємність механічної обробки деталей та трудомісткість складання
Проектна верстатоємність
механічної обробки деталей та трудомісткість складання машин для умов серійного
виробництва визначається за заводськими даними з урахуванням коефіцієнта
пожощення.
Проектну верстатоємність
визначимо за формулою:
,
де Тз
- фактична заводська верстатоємність, г;
Ку -
коефіцієнт пожощєння.
Коефіцієнт Ку
визначається для деталі-представника, на яку розроблено технологічний процес,
пронормовано. Порівнюючи отриману станкоємність Тпр.п с заводською
верстатоємністю Тз.п, знайдемо Ку, який розповсюджується
на решту деталей та виробів.
Розрахунок
проектної верстатоємності наведен у таблиці 3.2.1
Таблиця 3.2.1 -
Ррозрахунок проектної верстатоємності
|
Найменування
|
Верстатоємність по типорозмірам
(моделям) верстатів, години.
|
|
8544
|
16К20
|
6Р82
|
2Н118
|
3А228
|
3М151
|
3Б740
|
|
Верстатоємність заводська
|
540
|
6730
|
2760
|
4630
|
90
|
95
|
70
|
|
Коефіцієнт пожощення
|
0,68
|
0,68
|
0,68
|
0,68
|
0,68
|
0,68
|
|
Верстатоємність проектна
|
367
|
4576
|
1877
|
2361
|
61
|
65
|
48
|
.3 Визначення потрібної
кількості верстатів та коефіцієнта їх завантаження
Розрахунок потрібної
кількості верстатів ведеться по кожному типорозміру.
Розрахункова кількість
верстатів даного типорозміру:
,
де Тшт-к
- сумарний штучно-калькуляційний час річної кількості усіх деталей, що
оброблюються на даному типорозмірі верстатів, години.
Fд - дійсний річний фонд часу роботи
верстату при двозмінному режимі, Fд=2007 годин.
Кпер -
коефіцієнт, що враховує можливе перевиконання норм робітником на даній
операції, Кпер=1,2.
Розрахунок
коефіцієнта завантаження обладнання:
,
де Сn - прийнята кількість верстатів, шт.
Середній
коефіцієнт завантаження обладнання:
,
де УСрі
- розрахункова кількість усіх верстатів;
УСni - прийнята кількість усіх
верстатів.
Завантаження
обладнання по цеху або дільниці вважається нормальною, якщо для одиничного або
дрібносерійного виробництва Кз=0,8-0,9; для серійного виробництва Кз=0,75-0,85;
для крупносерійного та масового Кз=0,65-0,75.
Розрахунок
потрібної кількості верстатів та коефіцієнт їх завантаження наведені у таблиці
3.3.1
Таблиця 3.3.1 -
Розрахунок потрібної кількості верстатів та коефіцієнта їх завантаження
|
Найменування
|
Верстатоємність по типорозмірам
(моделям) верстатів, години.
|
|
8544
|
16К20Ф3
|
6Р82
|
PicoMill CNC
|
3А228
|
3М151
|
3Б740
|
|
Верстатом-ність проектна
|
367
|
4576
|
1877
|
2361
|
61
|
65
|
48
|
|
Розрахункова кількість верстатів
Ср
|
0,15
|
1,9
|
0,78
|
0,98
|
0,03
|
0,03
|
0,02
|
|
Прийнята кількість верстатів Сп
|
1
|
2
|
1
|
1
|
1
|
1
|
1
|
|
Коефіцієнт завантаження Кз
|
0,15
|
0,95
|
0,78
|
0,98
|
0,03
|
0,03
|
0,02
|
|
Середній коефіцієнт завантаження
|
0,42
|
Завантаження
стрічково-відрізного верстата мод. 8544 та шліфувальних верстатів мод. 3А228,
3М151, 3Б740 є не достатнім, треба догрузити ці верстати деталями з інших
вузлів до Кз=0,75, тоді середній коефіцієнт завантаження буде дорівнювати 0,82.
.4 Спеціалізація
проектної дільниці
У дипломному проекті
проектується дільниця цеху по випуску модернізованих верстатів мод. СКФШ-98 з
розширеними технологічними можливостями для копіювальних робіт.
При створенні
спеціалізованої дільниці цеха механічної обробки деталей, що входять до складу
виробу, враховуються наступні фактори:
– на підставі
класифікації деталей, що входять до складу виробу, визначають групу
конструктивно та технологічно подібних деталей для обробки їх на
спеціалізованій дільниці.
– на підставі
відомостей о призначенні та технологічних можливостях верстатів розподіляємо
загальну кількість типорозмірів верстатів по спеціалізованій дільниці.
– на підставі
розроблених технологічних процесів механічної обробки деталей «шпиндель» та
«корпус» складаємо шлях переміщення їх по дільниці.
3.5 Визначення площ
відділень, служб, складів на проектує мій дільниці
Розрахунок виробничої
площі механічної обробки:
,
де Сп
- загальна прийнята кількість верстатів;
f - питома виробнича площа, f =10…12 м
- для малих верстатів.
Fпр=1·10+2·10+1·10+1·10+1·12+1·10=72 (м
);
Площа складу
заготівок:
Fскл.з=0,1·Fпр=0,1·72=7,2 (м
);
Площа складу
готових деталей:
Fскл.г.д=0,1·Fпр=0,1·72=7,2
(м
);
Площа дільниці
складання:
Fскл=0,25·Fпр=0,25·72=18 (м
);
Площа
міжопераційних заділів:
Fм.з=0,1·Fпр=0,1·72=7,2 (м
);
Плоша проїздів та
проходів:
Fпрох=0,1·Fпр=0,1·72=7,2 (м
);
Загальна площа
дільниці:
Fзаг=160+7,2 +7,2 +18+7,2 +7,2 =206,8 (м
);
Зведемо
результати розрахунків у таблицю 3.5.1
Таблиця 3.5.1 -
Розрахунок площі дільниці
|
Найменування
|
Площа, м2
|
Розташування відділень
|
|
|
В технологічному потоці
|
Поза технологічним потоком
|
|
Дільниця механообробки
|
72
|
+
|
-
|
|
Дільниця складання
|
7,2
|
+
|
-
|
|
Склад заготівок
|
7,2
|
+
|
-
|
|
Між операційні заділи
|
18
|
+
|
-
|
|
Склад готових деталей
|
7,2
|
+
|
-
|
|
Магістральні проходи
|
7,2
|
-
|
+
|
|
ІТОГО
|
118,8
|
|
|
3.6 Визначення складу та
чисельності робітників
Визначення складу та
чисельності робітників наведено у організаційно-економічній частині.
.7 Вибір виробничої
будівлі
В якості виробничої
будівлі приймаємо базову будівлю Мх7, тому що ніяких додаткових будівництв не
потрібно.
3.8 Визначення виду та
кількості транспортних засобів
Транспорт дільниці
залишаємо базовий. Таким чином на дільниці розташовані два електромостових
крана вантажопід’ємністю Q=30 т.
.9 Система видалення
стружки
Від верстатів стружка
подається до збірних коробів або бункерів, що розташовані у проходах. За
допомогою кранів, транспортерів, візків. При цьому використовуються транспортери
стрічкові, пластинчасті, скребкові, інерційні, шнекові. Для видалення дрібної
стружки використовується пневматичні транспортери. На токарних верстатах
використовуються стружколоми, що подрібнюють витую стружку.
Із коробів та бункерів
стружка вивозиться для переробки на електричних візках, автотягачами або
транспортерами, що розташовані у тунелях.
Процес переробки стружки
передбачає виконання наступних операцій: подрібнення витої стружки, та при
значної кількості стружки - брикетування.
.10 Склад дільниці, що
проектується
До складу дільниці, що
проектується належить: дільниця механічної обробки, складальна дільниця, склад
заготівок, склад готових деталей. Необхідно також вказати, що основне загально
цехове відділення та служби, а саме - заточне відділення, ремонтне відділення
(ремонтна база механіка цеху), майстерня для ремонту пристосувань та
інструменту, майстерня енергетика цеху, відділення для приготування та роздачі
охолоджуючої рідини, інструментально-роздаточний склад, склад допоміжних
матеріалів будуть також обслуговувати проектуєму дільницю по виробництву
модернізованих верстатів мод СКФШ-98 з розширеними технологічними можливостями
для копіювальношліфувальних робіт.
3.11
Компоновочно-планувальне рішення по проектній дільниці
Компоновка цеха, що
реконструюється зображена у масштабі 1:400 з відображенням розмірів прольотів,
кроків колон, виробничих та підсобних приміщень відображена на листі графічної
частини проекту. На цьому листі також відображена план дільниці по виробництву
блоків, що стежать у масштабі 1:100, з відображенням верстатів, складів
заготівок та готових деталей, дільниці складання.
Обладнання, що
використовується на дільниці приведено у таблиці 3.11.1
Таблиця 3.11.1 -
Специфікація обладнання виробничої дільниці по випуску модернізованих верстатів
мод. СКФШ-98
|
№
|
Найменування обладнання
|
Модель верстата
|
Кількість, шт.
|
Стисла технічна характеристика
|
|
1
|
Стрічково-відрізний
|
8544
|
1
|
D=355
мм, L=3000 мм, N=22 кВт
|
|
2
|
Токарно-гвинторізний
|
16К20Ф3
|
2
|
D=400
мм, L=1000 мм, N=15
кВт
|
|
3
|
Консольно-фрезерный
|
6Р82
|
1
|
LxB=320x1250 мм, N=7,5
кВт
|
|
4
|
Свердлильний
|
PicoMill CNC
|
1
|
LxB=450x160 мм, N=1
кВт
|
|
5
|
Кругло - шліфувальний
|
3М151
|
1
|
D=200
мм, L=700 мм, N=7,5 кВт
|
|
6
|
Плоско- шліфувальний
|
3А228
|
1
|
D=200
мм, L=200
мм, N=4,5
кВт
|
|
7
|
Внутрішньо - шліфувальний
|
3Б740
|
1
|
D=400 мм, N=7 кВт
|
4.
Організаційно-економічна частина
.1 Економічне
обґрунтування проекту
Проект спеціалізованої
дільниці з випуску модернізованих верстатів мод. СКФШ-98 з розширеними
технологічними можливостями для копіювально-шліфувальних робіт виконано на базі
механоскладального цеху №7 ЗАТ «НКМЗ» з метою покращення основних показників
діяльності підрозділу.
Дана конструкція
дозволить:
зменшити верстатоємності
виготовлення виробу на 32%;
знизити витрати на
заробітну платню за рахунок зменшення верстатоємності та скорочення кількості
робітників;
збільшити завантаження
обладнання
Для цього потрібно
близько 2 млн. грн., час окупності 2 роки.
.2 Розрахунок
капітальних витрат
Розрахунок вартості
устаткування
Розрахунок економічної
частини проекту проводиться за приведеною річною програмою випуску виробу (N=980 шт./рік). Розрахунок
необхідної кількості устаткування та коефіцієнту завантаження по кожному виду
устаткування наводиться у розділі технологічного проектування дільниці.
Вартість устаткування
визначається за прейскурантом оптових цін на металорізальні верстати або за
даними підприємства. У балансову вартість устаткування, окрім прейскурантної
вартості верстатів, входять витрати на транспортування та монтаж у цеху,
витрати на які приймаються у розмірі 10-12% від вартості устаткування. Загальні
витрати на устаткування приведені у таблиці 4.2.1
Таблиця 4.2.1 - зведена
таблиця вартості устаткування
|
Модель
|
Кіль-кість, шт.
|
Маса одного верстата, кг
|
Потужність, кВт
|
Оптова ціна, грн.
|
Транспортні витрати, грн.
|
Балансова вартість, грн.
|
Амортизаційні відрахування
|
|
|
|
|
|
|
|
%
|
грн.
|
|
8544
|
1
|
3300
|
2,8
|
148500
|
14850
|
163350
|
24
|
39204
|
|
16К20Ф3
|
2
|
3800
|
15
|
171000
|
17100
|
188100
|
24
|
45144
|
|
6Р82
|
1
|
2800
|
7,5
|
126000
|
12600
|
138600
|
24
|
33264
|
|
PicoMill CNC
|
1
|
150
|
1
|
6750
|
675
|
7425
|
24
|
1782
|
|
3А228
|
1
|
5140
|
4,5
|
231300
|
23130
|
254430
|
24
|
61063,2
|
|
3М151
|
1
|
5600
|
7,5
|
252000
|
25200
|
277200
|
24
|
66528
|
|
3Б740
|
1
|
3260
|
7
|
14670
|
1467
|
16137
|
24
|
3872,88
|
|
Всього
|
8
|
24050
|
45,3
|
1082250
|
108225
|
1190475
|
24
|
285714
|
|
Мостовий кран 50 т
|
1
|
2300
|
20
|
103500
|
10350
|
113850
|
24
|
27324
|
|
Всього по дільниці
|
9
|
38050
|
65,3
|
1712250
|
171225
|
1883475
|
24
|
452034
|
технологічний деталь цех
верстат
Визначення вартості
виробничої будівлі ділянки цеху
Загальна площа
проектуємої дільниці складається з площ виробничого призначення та побутових
приміщень і залежить від виробничої структури дільниці, кількості обладнання,
габаритів виробів, що виготовляються, методів організації виробничого процесу і
т.д.
Капітальні витрати на
будівлю цеху (ділянки) визначаються по формулі
Кзд=S·h·Цз, (4.1)
де S - площа, що
займає дільниця, м
;-
висота будівлі, м;
Цз -
вартість 1 м
будівлі, грн.
Кзд=207·12·90=223560
грн.
Витрати на інструмент та
технологічне оснащення
При укрупнених
розрахунках приймаються у відсотках від вартості технологічного обладнання та
складають у середнє - та дрібносерійному виробництві загального машинобудування
6-15%.
, (4.2)
де Стех.обл
- балансова вартість технологічного устаткування, грн.
(грн.)
З цієї суми у
вартість основних засобів включають 20-30% (на придбання дорогого інструменту і
пристосувань терміном служби біліше одного року).
Сдор =
0,3·Сінстр; (4.3)
Сдор =
0,3·119047,5=35714,25 (грн.)
Витрати на виробничий
інвентар
Витрати на виробничий
інвентар укрупнено приймаються у розмірі 1-1,5% від вартості технологічного
устаткування:
; (4.4)
(грн.)
Витрати на господарський
інвентар
Витрати на господарський
інвентар сумарно приймаються у розмірі 1-1,5% від первинної вартості всього
устаткування:
, (4.5)
де Собл
- балансова вартість виробничого та під’ємно-транспортного
обладнання;
(грн.)
Всі розрахункові дані
представлені в табл. 4.2.2
Таблиця 4.2.2 -
Відомість капітальних витрат
|
Найменування основних фондів
|
Балансова вартість,
грн.
|
Норма амортизації,
%
|
Сумма амортизаційних відрахувань, грн.
|
|
|
|
|
|
1 Будівлі та споруди
|
223560
|
8
|
178848
|
|
2 Обладнання:
|
|
|
|
|
а) виробниче
|
1190475
|
24
|
285714
|
|
в) під’ємно-транспортне
|
113850
|
24
|
27324
|
|
3 Інструменти та пристосування коштовні
|
35714,25
|
40
|
14285,7
|
|
4 Інвентар:
|
|
|
|
|
а) виробничій
|
11904,75
|
40
|
4761,9
|
|
в) господарський
|
18834,75
|
7533,9
|
|
Всього:
|
1594338,75
|
|
518467,5
|
4.3 Розрахунок
експлуатаційних витрат
Розрахунок кількості
працівників ділянки
До працівників ділянки
відносяться робочі (основні і допоміжні), керівники, фахівці і службовці.
За цеховою ознакою
робочі підрозділяються на основних і допоміжних. До основних відносяться
робочі, що виконують операції по безпосередньому виготовленню продукції свого
цеху. Решта робочих відноситься до категорії допоміжних.
Розрахунок чисельності
основних робочих
Для розрахунку
чисельності основних виробничих робочих необхідно знати трудомісткість програми
основного виробництва, дійсний фонд часу одного робочого, коефіцієнт виконання
норм.
Трудомісткість програми
ділянки складається з витрат праці на виробництво продукції в нормо-годинах по
всіх виробах планованого періоду і розраховується по формулі:
, (4.6)
де Nвир
- виробнича програма, шт.;шт - трудомісткість одного виробу, години;-
кількість видів виробу в програмі, шт.
(годин)
Обліковий склад
основних виробничих робочих-відрядників може бути укрупнено розрахований по
формулі:
, (4.7)
де Ф - ефективний
фонд робочого часу в році, визначуваний по формулі:
, (4.8)
де Д - кількість
робочих днів в році;- число робочого годинника в зміну, 8 ч;
К - коефіцієнт,
що враховує невиходи робочих на роботу з регламентованих причин (0,1-0,2);
(годин);
(чол.)
Розрахуємо
кількість робітників за операціями:
(чол.);
(чол.);
(чол.);
(чол.);
(чол.)
Таким чином,
кількість основних виробничих робочих Рс=12 чол. Кількість
робітників-складальників Рскл=4 чол. Таким чином, загальна кількість
робітників Кількість робітників-складальників Рзаг=16 чол.
Розрахунок чисельності
допоміжних робочих
До категорії допоміжних
робочих відносяться робочі, що не беруть безпосередньої участі в здійсненні
технологічних процесів при виготовленні основної продукції цеха, які зайняті
обслуговуванням основного виробництва.
Цими робочими є слюсарі
по ремонту устаткування, мастильники, шорники, налагоджувальники, кранівники,
електромонтери, заточники, транспортні і інші робочі.
Розрахунок потреби
допоміжних робочих проводиться на основі встановлених нормативів або укрупнено
20 - 30% від чисельності основних виробничих робочих (менше - для
дрібносерійного і одиничного виробництва, більше - для масового виробництва).
Розподіл допоміжних
робочих по групах проводиться по питомій вазі їх в загальному складі: слюсарі -
ремонтники - 25 - 30%, слюсарі електрики - 12 - 13%, налагоджувальники - 30 -
35%, комірники - 6 - 8%, транспортні робочі - 20 - 25%.
Рдоп=0,25·16=4
(чол.);
Слюсарі-ремонтники
Р=0,3·4=2 (чол.);
Слюсарі-електрики
Р=0,12·4=1 (чол.);
Наладчики Р=0,1·4=1
(чол.);
Комірники Р=0,06·4=1
(чол.);
Транспортні робочі
Р=0,2·4=1 (чол.);
Приймаємо Рдоп=6
(чол.).
Визначення чисельності
інших категорій тих, що працюють
До цієї групи
відносяться керівники, фахівці і службовці. При укрупнених розрахунках їх
відношення до загального числа робочих (основних і допоміжних), при чисельності
останніх не більше 200 чіл., можна прийняти наступним: керівники - 10%, фахівці
- 2,5%, службовці - 1,6%.
В межах отриманої
чисельності складається штатний розклад ділянки.
Керівники Р=0,1·22=3
(чол.);
Фахівці Р=0,025·22=1
(чол.);
Службовці Р=0,016·22=1
(чол.)
Загальна чисельність
персоналу
Рзаг=Росн+Рдоп+Ркер+Рсл+Рфах; (4.9)
Рзаг=16+6+3+1+1=27
(чол.)
Розрахунок фонду
заробітної плати
Фонд заробітної плати
розраховується по категоріях працюючих, а потім зводиться до річного фонду
заробітної плати ділянки.
Прямий фонд заробітної
плати робочих - відрядників визначається за трудомісткості річної програми
випуску виробів (деталей), годинної тарифної ставки робочого першого розряду
тарифного коефіцієнта робіт.
Прямий фонд заробітної
плати робочих - повременщиков розраховується виходячи з дійсного фонду часу
роботи одного робочого, чисельності робочих - повременщиков, годинної тарифної
ставки робочого - повременщика першого розряду і середнього тарифного
коефіцієнта.
Сума премії
розраховується на підставі діючого преміального положення в цеху, де студент проходив
практику. Її розмір не повинен перевищувати 40% прямого фонду заробітної плати.
Доплата до прямої
заробітної плати включає премії, доплати за роботу в нічний час, святкові і
вихідні дні, за керівництво бригадою, навчання учнів і т. п. Укрупнено для
основних робочих ці доплати приймають 35-40%, а для допоміжних -25-30%. При
цьому приводиться шкала преміювання з показниками, за які виплачують премії.
Фонд заробітної плати є
сумою основної і додаткової заробітної плати.
Результати розрахунків
зведені у таблицю 4.3.1; 4.3.2; 4.3.3.
Таблиця 4.3.1 -
Заробітна плата основних робітників
|
Найменування професій
|
Чисельність
|
Зокрема за розрядами
|
Середній розряд
|
Годинникова тарифна ставка
|
Трудомісткість
|
Фонд заробітної плати
|
Премії
|
Основна заробітна плата
|
Додаткова заробітна плата
|
Загальний фонд заробітної плати
|
Відрахування
|
|
|
3
|
4
|
5
|
|
|
|
|
40%
|
|
30%
|
|
37,5%
|
|
Пілорізчик
|
2
|
|
2
|
|
4
|
4,80
|
2950
|
14160
|
5664
|
19824
|
5947,2
|
25771,2
|
9664,20
|
|
Токарі
|
4
|
1
|
2
|
1
|
4
|
5
|
7400
|
37000
|
14800
|
51800
|
15540
|
67340
|
25252,50
|
|
Фрезерувальники
|
2
|
|
1
|
1
|
4,5
|
5,25
|
3650
|
19162,5
|
7665
|
26827,5
|
8048,25
|
34875,75
|
13078,41
|
|
Свердлувальники
|
2
|
|
1
|
1
|
4,5
|
5,20
|
3700
|
19240
|
7696
|
26936
|
8080,8
|
35016,8
|
13131,30
|
|
Шліфувальники
|
2
|
|
1
|
1
|
4,5
|
5,25
|
2880
|
15120
|
6048
|
21168
|
6350,4
|
27518,4
|
10319,40
|
|
Разом
|
12
|
|
|
|
|
|
20580
|
104682,5
|
41873
|
146555,5
|
43966,65
|
190522,15
|
71445,81
|
|
Слюсарі-складальники
|
4
|
1
|
2
|
1
|
4
|
5,20
|
9800
|
9805,2
|
3922,08
|
13727,28
|
4118,18
|
17845,46
|
6692,05
|
|
Разом
|
16
|
|
|
|
|
|
30380
|
114487,7
|
45795,08
|
160282,78
|
48084,83
|
208367,61
|
78137,85
|
Таблиця 4.3.2 - Зарплата
допоміжних робочих
|
Найменування професій
|
Чисельність
|
Зокрема за розрядами
|
Середній розряд
|
Годинникова тарифна ставка
|
Дійсний фонд
|
Фонд заробітної плати
|
Премії
|
Основна заробітна плата
|
Додаткова заробітна плата
|
Загальний фонд заробітної плати
|
Відраху-вання
|
|
|
3
|
4
|
5
|
|
|
|
|
40%
|
|
25%
|
|
37,5%
|
|
Слюсарі-ремонтники
|
2
|
|
1
|
1
|
4,5
|
4,2
|
1850,4
|
7771,68
|
3108,672
|
10880,352
|
2720,088
|
13600,44
|
5100,165
|
|
Слюсарі-електрики
|
1
|
|
|
1
|
5
|
4,5
|
1850,4
|
8326,8
|
3330,72
|
11657,52
|
2914,38
|
14571,9
|
5464,4625
|
|
Слюсарі-наладчики
|
1
|
|
|
1
|
5
|
4,5
|
1850,4
|
8326,8
|
3330,72
|
11657,52
|
2914,38
|
14571,9
|
5464,4625
|
|
Разом
|
4
|
|
|
|
|
|
|
24425,3
|
9770,112
|
34195,392
|
8548,848
|
42744,24
|
16029,09
|
|
Комірники
|
1
|
1 розряд
|
1
|
4
|
1850,4
|
7401,6
|
2960,64
|
10362,24
|
2590,56
|
12952,8
|
4857,3
|
|
Транспортні робітники
|
1
|
2 розряд
|
2
|
4
|
1850,4
|
7401,6
|
2960,64
|
10362,24
|
2590,56
|
12952,8
|
4857,3
|
|
Разом
|
2
|
|
|
|
|
|
|
14803,2
|
5921,28
|
20724,48
|
5181,12
|
25905,6
|
9714,6
|
|
Всього
|
6
|
|
|
|
|
|
|
39228,5
|
15691,392
|
54919,872
|
13729,968
|
68649,84
|
25743,69
|
Таблиця 4.3.3 - Зарплата
керівників, фахівців, службовців
|
Посада
|
Чисельність
|
Оклад
|
Премія 40%
|
Зарплата
|
ФОТ
|
Відрахування 37,5%
|
|
|
одного
|
всіх
|
|
|
|
|
|
Керівники
|
|
|
|
|
|
|
|
|
Начальник дільниці
|
1
|
1100
|
1100
|
440
|
1540
|
18480
|
6930
|
|
Ст. майстер
|
1
|
900
|
900
|
360
|
1260
|
15120
|
5670
|
|
Разом
|
2
|
2000
|
2000
|
800
|
2800
|
40080
|
15030
|
|
Фахівці
|
|
|
|
|
|
|
|
|
Технолог
|
1
|
800
|
800
|
320
|
1120
|
13440
|
5040
|
|
Службовці
|
|
|
|
|
|
|
|
|
Нормувальник
|
1
|
600
|
600
|
240
|
840
|
10080
|
3780
|
|
Разом
|
4
|
3400
|
3400
|
1360
|
4760
|
57120
|
21420
|
Витрати на основні та
допоміжні матеріали
У групу матеріальних
витрат на виробництво входять основні матеріали, покупні, напівфабрикати,
комплектуючі вироби та допоміжні матеріали.
Витрати на основні
матеріали визначаються, виходячи з річної потреби та прейскурантних цін.
Витрати на
напівфабрикати, що придбані у порядку кооперації та на напівфабрикати власного
виробництва визначаються виходячи з річної потреби та власних цін.
(4.10)
де N - потрібна кількість матеріалу, кг;
Цопт - оптова
ціна матеріалу, грн.;
Цопт.отх - оптова
ціна відходів, грн.
До отриманих
витрат на матеріали і напівфабрикати повинні бути додані транспортні витрати
(6-10% від прейскуранта вартості або базового заводу).
Розрахунок витрат
на матеріали і напівфабрикати оформляється у відомості (табл. 4.3.4).
Таблиця 4.3.4 -
Відомість потреби в основних матеріалах, купівельних виробах та напівфабрикатах
Потреба матеріалів, кг
|
Вартість матеріалів,
грн.
|
|
На один виріб
|
на программу
|
На один виріб
|
на программу
|
|
1. Сировина та матеріали
|
|
|
|
|
|
Шпиндель
|
0,44
|
431,2
|
1,76
|
1724,8
|
|
Корпус
|
7,3
|
7154
|
25,55
|
25039
|
|
Поворотні відходи
|
|
|
|
|
|
Шпиндель
|
0,26
|
254,8
|
0,11
|
107,8
|
|
Корпус
|
2,2
|
2156
|
0,66
|
646,8
|
|
2. Комплектуючі
|
15
|
14700
|
52,5
|
51450
|
|
Сума витрат на матеріали
|
65
|
63700
|
227,5
|
222950
|
Витрати на енергетичні
потреби дільниці
Витрати на силову
електроенергію для виробничих потреб
Витрати на силову
електроенергію для виробничих потреб визначаються за формулою:
, (4.11)
де Ссил
- ставка за один кВт/ч спожитої енергії, д.е/кВт-ч;
Э - витрата
електроенергії в перебігу року, кВт/ч.
Витрата
електроенергії в перебігу року розраховується по формулі:
(4.12)
де Фд
- дійсний річний фонд часу роботи устаткування, ч;
Кз -
середній коефіцієнт завантаження устаткування (згідно розрахунку устаткування);
Кс -
коефіцієнт попиту, що враховує недовантаження і неодночасність устаткування
роботи електродвигунів (приймається в межах 0,25 - 0,3);уст -
сумарна потужність встановленого обладнання, кВт.
(кВт/год);
(грн.)
Витрати на електроенергію
для освітлення
Витрати на
електроенергію для освітлення визначаються по формулі:
(4.13)
де 15 - середня
годинна витрата електроенергії, кВт/ч на 1 м3 площі ділянки;общ
- площа ділянки, м2;
- число годин
освітлення в рік при двозмінній роботі;
,05 - коефіцієнт,
що враховує чергове освітлення.
(грн.)
Витрати на воду для
виробничих потреб
У механічних цехах
витрати на приготування охолоджуючих рідин визначаються виходячи з їх витрати в
межах 14 - 18 м3 в рік на 1 верстат при двозмінній роботі, для
однозмінної роботи 7 - 9 м3.
, (4.14)
де N - кількість верстатів;
Св -
тариф на воду.
(грн.)
Витрата води на
побутові потреби розраховуються виходячи з витрат на господарсько-санітарні
потреби 25 л на кожного працівника і число виходів кожного працівника в рік.
Витрата води для душових приймаються 60 л на кожного працюючого в зміну.
, (4.15)
де n - кількість робочих днів на рік, n=257 днів;
Св -
вартість 1 м
води, Св=3,4 грн.
(грн.)
, (4.16)
(грн.)
Витрати на опалення
ділянки
Витрати на опалення
ділянки визначаються за формулою:
, (4.17)
де S - площа дільниці, м
; N - кількість місяців опалювального періоду; Св - тариф на
опалювання на поточний період часу, Св=6 грн.
(грн.);
Витрати на стисле
повітря
Стисле повітря
витрачається на обдування верстатів (для видалення стружки, обдування деталей
після миття і під час складання, в пневматичних затисках і інструментах, а
також в розпилювачах фарби). Річна витрата стислого повітря в кубічних метрах
підраховується по формулі:
, (4.18)
де Нст
- кількість приймачів даного найменування;
Вп -
витрата повітря одним приймачем, м
/рік;
Кзп -
коефіцієнт використання приймача в зміну;
Фе -
ефективний фонд робочого часу на рік, години.
(грн.)
4.4 Розрахунок суми
загально виробничих витрат
Загальновиробничі
витрати підрозділяються на постійні і змінні. До змінної частини ОПР відносяться
витрати на обслуговування і управління виробництвом, які змінюються прямо
пропорційно до зміни об'єму виробництва. До постійних ОПР відносяться витрати,
які залишаються незмінними при зміні об'єму виробництва. У свою чергу постійні
ОПР можуть бути розподіленими на виробничу собівартість і нерозподіленими,
включеними до складу собівартості реалізованої продукції. Фактична сума
постійних ОПР розподіляється на виробничу собівартість пропорційно
трудомісткості фактичного об'єму виробництва.
Перелік статей
загальновиробничих витрат, їх розрахунок і розподіл на постійні і змінні
зведений до таблиці 4.4.1
Таблиця 4.4.1 -
Розрахунок суми загально виробничих витрат
|
Стаття витрат
|
Зміст витрат та нормативи для
укрупнених розрахунків
|
Посилання на розрахунок
|
Сума
|
|
1Експлуатація обладнання
|
Змінна частина а)
вартість допоміжних матеріалів (змащувальних, оптиральних
и др.), визначається з розрахунку 500 грн. В рік на одиницю обладнання
|
Спр * 500
|
4000
|
|
б) сума витрат на енергію, воду, пар,
газ для приведення верстатів до руху
|
|
39162,51
|
|
2 Поточний ремонт устаткування, транспортних засобів, цінних
інструментів
|
Постійна частина а) основна та додаткова заробітна плата робітників, що зайняті
ремонтом устаткування оборудования (наладчиков, слюсарів,
електриків та інш.)
|
Табл. 4.3.2
|
42744,24
|
|
б) відрахування до позабюджетних фондів
(37,5% від основної та додаткової ЗП)
|
Табл. 4.3.2
|
16029,09
|
|
Змінна частина в) послуги інших цехів з ремонту устаткування (6-10% від
вартості обладнання)
|
Табл. 4.2.1
|
71428,5
|
|
3 Амортизація обладнання,
транспортних засобів, інструментів.
|
Постійна частина
|
Табл. 4.2.2
|
327323,7
|
|
4 Вартість малоцінних та швидкозно-шуваних інструментів та
пристосувань
|
Змінна частина 0,5-1%
від вартості обладнання
|
Табл. 4.2.2
|
11904,75
|
|
5 Витрати на експлуатацію транспорту
|
Постійна частина а)
Основна та додаткова заробітна плата транспортних працівників
|
Табл. 4.3.2
|
12952,8
|
|
б) відрахування до позабюджетних
фондів (37.5% від їх зарплати)
|
Табл. 4.3.2
|
4857,3
|
|
в) вартість допоміжних матеріалів
(2-3% від вартості транспортних засобів)
|
Табл. 4.2.2
|
2277
|
|
Змінна частина г) Вартість послуг транспортних цехів 1 грн. за тону продукції
|
|
63,7
|
|
6 Утримання цехового персоналу
|
Постійна частина а)
заробітна плата керівників, фахівців, службовців.
|
Табл. 4.3.3
|
57120
|
|
б) відрахування до позабюджетних
фондів
|
Табл. 4.3.3
|
21420
|
|
7
Утримання будівель, споруд, інвентарю
|
Постійна частина а)
загально цехові енерговитрати
|
|
40290,98
|
|
б) витрати на допоміжні матеріали (2-3%
від вартості будівлі)
|
Табл. 4.2.2
|
4471,2
|
|
8
Поточний ремонт будівель та споруд
|
Постійна частина Приблизно 3% від вартості будівлі
|
Табл. 4.2.2
|
6706,8
|
|
9 Амортизація будівель, інвентарю
та інших фондів
|
Постійна частина
|
Табл. 4.2.2
|
191143,8
|
|
10 Витрати по раціоналізації та
винахідництву
|
Постійна частина 15-50
грн. на одного працівника
|
|
675
|
|
11 Витрати на охорону праці
|
Постійна частина 100-150
грн. на одного працівника
|
|
2700
|
|
Разом, в т.ч.
|
|
857271,37
|
|
Змінна частина
|
|
126559,46
|
|
Постійна частина
|
|
730711,91
|
%ОПР=
%
4.5 Розрахунок
калькуляції собівартості продукції
Склад статей калькуляції
може бути змінений відповідно до прийнятого на базовому підприємстві або фірмі.
Паливо й енергія для технологічних потреб ураховується в калькуляції, якщо
такий же облік є на базовому підприємстві або фірмі. У протилежному випадку
вони входять до складу кошторисів загальновиробничих витрат
Калькуляцію собівартості
продукції оформимо у вигляді таблиці 4.5.1
Таблиця 4.5.1 -
Калькуляція собівартості продукції
|
Найменування статей
|
Базовий варіант
|
По проекту
|
Зменшення
(-), збільшення (+)
|
|
1 Сировина та матеріали (за відрахуванням відходів)
|
232
|
227,5
|
-4,5
|
|
2 Основна заробітна плата виробничих робітників
|
195
|
163,55
|
-31,45
|
|
3 Додаткова заробітна плата виробничих робітників
|
58,5
|
49,07
|
-9,43
|
|
4 Відрахування на соцстрах
|
95,06
|
79,73
|
-15,33
|
|
5 Загальновиробничі витрати
|
880
|
874,77
|
-5,23
|
|
6 Загальна виробнича собівартість
|
1460,56
|
1394,62
|
-65,94
|
|
7 Адміністративні витрати
|
125,52
|
125,52
|
0
|
|
8 Витрати на збут
|
34,87
|
34,87
|
0
|
|
9 Разом операційних витрат
|
1620,95
|
1555,01
|
-65,94
|
|
10 Прибуток (25-30% від п. 9)
|
400,56
|
466,5
|
+65,94
|
|
11 Оптова ціна (9+10)
|
2021,51
|
2021,51
|
0
|
|
12 НДС (20% від п. 11)
|
404,3
|
404,3
|
0
|
|
14 Відпускна ціна (11+12)
|
2425,81
|
2425,81
|
0
|
Для обґрунтування зниження
собівартості порівняємо проектний та базовий варіант по кожній статті витрат.
Вивільнення робочих за
рахунок зниження працеємності:
; (4.19)
(чол.)
Економія по
заробітній платні:
Ез=ДР·Зпр·12·1,38·0,9
(4.20)
де Зпр
- середня заробітна платня виробничих робітників;
,9 - коефіцієнт,
що враховує виплати з фонду матеріального заохочення.
Ез=3·1085·12·1,38·0,9=48512,52
(грн.);
Загальна економія
коштів складає:
Е=Ем+Ез=4005+48512,52=52517,52
(грн.)
4.6 Розрахунок
ефективності проекту
Розрахунок прибутку та
рентабельності
Розрахунок прибутку і
рентабельності здійснюється виходячи з прогнозованих об'ємів виробництва (у
рік), цін на одиницю продукції, виробничої собівартості і суми адміністративних
витрат і витрат на збут, що склалися.
До адміністративних
витрат відносяться:
витрати на зміст апарату
управління і службові відрядження;
витрати на зміст
основних засобів і нематеріальних активів загально-господарського призначення;
витрати за
консультативні послуги;
витрати на зв'язок;
витрати на врегулювання
суперечок в судових органах;
плата за
розрахунковий-касове обслуговування;
інші витрати
загальногосподарського призначення.
Для спрощення
розрахунків величину адміністративних витрат приймемо у розмірі 8 - 10% від
виробничої собівартості.
До витрат на збут
відносяться:
витрати на упаковку;
витрати на тару;
оплата праці
працівникам, що забезпечують збут;
витрати на передпродажну
підготовку товару;
витрати на відрядження
служби маркетингу;
транспортні витрати,
пов'язані з реалізацією продукції;
витрати на гарантійний
ремонт;
інші витрати, пов'язані
із збутом продукції.
Орієнтовну суму витрат
на збут приймемо у розмірі 2-3% від виробничої собівартості.
Таблиця 4.6.1 -
Розрахунок прибутку
|
Показники
|
Сума, грн.
|
|
1 Виручка від реалізації продукції (ціна виробу х на програму
випуску)
|
2377293,8
|
|
2 НДС (1/6ВРП)
|
396215,63
|
|
3 Чистий прибуток (п. 1
- п. 2)
|
1981078,17
|
|
4 Собівартість реалізованої продукції
(виробнича собівартість всієї програми)
|
1366727,6
|
|
5 Валовий прибуток (п. 3
- п. 4)
|
614350,57
|
|
6 Адміністративні витрати
|
123009,6
|
|
7 Витрати на збут
|
34172,6
|
|
8 Фінансовий від операційної діяльності
(п. 5 - п. 6 - п. 7)
|
457168,37
|
|
9 Податок на прибуток (30% від п. 8)
|
137150,51
|
|
10 Чистий прибуток
(п. 8 - п. 9)
|
320017,86
|
Рентабельність продукції
= Чистий прибуток / Собівартість реалізованої продукції ·100; (4.21)
Рентабельність продукції
= (320017,86/1366727,6)·100=23,4%
Рентабельність
виробництва визначається по формулі:
(4.22)
де Пч
- чистий прибуток від виробництва і реалізації продукції, грн.;
АУ -
сумарна величина амортизації основних виробничих фондів, грн;
К - величина
капвкладень на створення нових ОПФ для реалізації проекту, грн.;
ОС - вартість
оборотних коштів (при укрупнених розрахунках 25-30% від вартості основних
фондів, грн.)
(%) (4.23)
Окупність капітальних
витрат
Розрахунок періоду
окупності виконується по формулі
, (4.24)
де ПО - період
окупності вкладених засобів за інвестиційним проектом;
К - сума коштів,
що інвестуються, направляються на реалізацію, складається з капітальних
вкладень;
Пч -
чистий прибуток;
АУ -
сумарна амортизація основних виробничих фондів.
(р)
Коефіцієнт зростання
продуктивності праці
Коефіцієнт зростання
продуктивності праці розраховується по формулі:
, (4.25)
Тпр, Тбаз
- проектна і базова трудомісткість продукції.
Розрахунок фондовіддачі,
фондомісткості і фондоозброєності
Показник фондовіддачі
розраховується по формулі:
(4.26)
де ПВ
- випущена за рік продукція, грн.;
Фос -
вартість основних виробничих фондів, грн.
, (4.27)
Показник
фондомісткості Фе є зворотним показником фондовіддачі і визначається
по формулі:
(4.28)
Показник
фондоозброєності ФВ є зворотним показником фондовіддачі і
визначається по формулі
, (4.29)
де Рсп
- облікова чисельність виробничих робочих.
(грн./люд)
Показники
економічної ефективності проекту зводимо до таблиці 4.6.2
Таблиця 4.6.2 -
Показники економічної ефективності проекту
|
Показники
|
Од. вимірювання
|
Значення
|
|
Прибуток
|
тис. грн.
|
320,017
|
|
Рентабельність продукції
|
%
|
23,4
|
|
Рентабельність виробництва
|
%
|
42
|
|
Період окупності
|
рік
|
1,9
|
|
Зростання продуктивності праці
|
%
|
1,47
|
|
Фондовіддача
|
Грн. у рік / грн.
|
1,49
|
|
Фондоємність
|
Грн. / грн. у рік
|
0,67
|
|
Фондоозброєність
|
Грн. / люд
|
59049,58
|
|
Загальна економія засобів
|
тис. грн.
|
52,517
|
Розрахунок критичного об’єму (точки
беззбитковості)
Аналіз беззбитковості
проводять в алгебраїчній або в графічній формі. Графік взаємозв’язку між
витратами, об’ємом та прибутком підприємства має вид графіка беззбитковості.
Залежність доходів,
змінних, постійних витрат та реалізації продукції можна представити у вигляді
формул.
Виручка:
, (4.30)
N - програма виготовлення та реалізації продукції.
(грн.)
Змінні витрати на
весь об’єм випуску:
, (4.31)
де Звир
- змінні витрати на одиницю продукції;
(грн.)
Прибуток
операційний:
, (4.32)
Р, адміністративних
витрат та витрат на збут.
(грн.)
В точці
беззбитковості ОП=0. Виручку у точці беззбитковості можемо представити у
вигляді як множення об’єму в точці беззбитковості та ціни одиниці продукції. В цьому
випадку вищенаведена формула має наступний вигляд:
; (4.33)
(шт.)
Критичний об’єм виробництва та реалізації можна розрахувати не тільки в
натуральному, але й в вартісному виразі.
Економічний сенс
цього показника - виручка, при котрій прибуток виробництва дорівнює нулю: якщо
фактична виручка підприємства більше критичного значення, воно отримує
прибуток, в протилежному випадку - збиток.
Графік
беззбитковості наведено на рисунку 4.6.5.1.
Рисунок 4.6.5.1 -
Графік беззбитковості
Висновки: в результаті
проведеної реконструкції механоскладального цеху та змін у технологічному
процесі механічної обробки деталей-представників модернізованого верстата мод.
СКФШ-98 з розширеними технологічними можливостями для копіювально-шліфувальних
робіт, зменшилась собівартість продукції. Факторами, що вплинули на зниження
собівартості, є зниження витрат на заробітну платню за рахунок зменшення
верстатоємності та скорочення кількості робітників.
Після
реконструкції механоскладальна дільниця маємо наступні показники:
– рентабельність
продукції 23,4%;
– рентабельність
виробництва 42%;
– період окупності
вкладень 1,9 роки;
– фондовіддача
1,49 грн. на рік / грн.;
– загальна
економія коштів 52,517 тис. грн.
Висновок
При виконанні дипломного
проект було спроектовано спеціалізовану дільницю з випуску модернізованих
верстатів мод. СКФШ-98 з розширеними технологічними можливостями для
копіювально-шліфувальних робіт.
У технологічній частині:
розроблено технологічний
процес складання даного вузла, перевірений на технологічність, обраний та
обґрунтований метод досягнення точності при складанні, обрана організаційна
форма складання.
– для деталей
шпиндель та корпус розроблені прогресивні технологічні процеси з використанням
сучасного обладнання та прогресивного ріжучого інструмента, що дозволило
зменшити верстатоємність одиниці виробу, та зменшити частку заробітної платні у
собівартості продукції, за рахунок зменшення кількості робітників
– розроблені
розрахунково-технологічні карти для обробки на верстаті з ЧПК та карти
налагодження для деталей шпиндель та корпус.
У
конструкторсько-технологічній частині:
розроблено засіб
активного контролю для круглошліфувального верстата, що дозволяє скоротити
допоміжний час, за рахунок контролювання оброблюємих розмірів безпосередньо під
час їхньої обробки.
У
організаційно-економічній частині розрахована та обґрунтована економічна
доцільність даного проекту.
Перелiк посилань
1. Маталин А.А.
Технология машиностроения. - Л.: Машиностроение. Ленингр. отд-ние, 1985. - 496
с.
. Горбацевич А.Ф. Курсовое
проектирование по технологии машиностроения. - Минск: Вышейш. шк., 1983. - 256
с.
. Егоров М.Е. Технология
машиностроения: Учебник/ М.Е. Егоров. В.Л. Дмитриев, В.И. Дсменьтьев; Под ред.
М.Е. Егорова. - М.: Высш. шк. 1976. -536 с.
. Курсовое проектирование
по технологии машиностроення/Л.В. Ху-добин и др. - М.: Машиностроение. 1989. -
288 с.
Технология
машиностроения/ А.А. Гусев и др. - М.; Машиностроение. 1986. - 480 с.
. Технология
машиностроения. Т. 1. Основы технологии машиностроения /Под ред. A.M. Дальского.
- М.: Изд-во МГТУ им. Баумана, 2001. - 594 с.
. Технология
машиностроения. Т.2. Производство машин /Под ред. Г.Н. Мельникова. - М.: Изд-во
МГТУ им. Баумана, 2001. - 640 с.
. Новиков Н.П. Основы
технологии сборки машин и механизмов. - М.: Машиностроение, 1980. - 592 с.
. Сборка и монтаж
изделий в машиностроении; Справочник: В 2 т./ Под ред. B.C. Корсакова. В.К.
Замятина. - М.: Машиностроение, 1983. - Т. 1. - 480 с.
. Солонин И.С. Расчет
сборочных и технологических размерных цепей/ И.С. Солонин, СИ. Солонин - М:
Машиностроение, 1980. - 110 с.
. Размерный анализ
технологических процессов/ Под общ. ред. И.Г. Фридлендера. - М.:
Машиностроение, 1987. - 141 с.
. Общемашиностроительные
нормативы времени на слесарно-сборочные и сборочные работы при сборке машин
(серийное производство). - М.: Машиностроение, 1968. - 235 с.
. Механизация и
автоматизация сборки в машиностроении. - М.: Машиностроение, 1985. - 272 с.
. Метоические указания к
курсовому проектированию по дисциплинам «Технология машиностроения» и «Технологи
автоматизированного произвоства» / Сост.: И.Н. Иванов, М.И. Плехнова, А.Г.
Косенко. - Краматорск: КИИ, 1993. - 100 с.
. Методические указания
к курсовому и дипломному проектированию «Расчёты размерных цепей для
обеспечения точности изготовления и сборки по методам полной и неполной
взаимозаменяемости» / Сост. А.П. Мартынов - Краматорск: ДГМА, 2003 - 39 с.
. Марочник сталей и
сплавов / Сост. В.Г. Сорокин, А.В. Волосников М.: Маиностроение 1989. - 640 с.
. Егоров М.Е. «Основы
проектирования машиностроительных заводов» М.: Машиностроение 1969. - 480 с.
18. Когут М.С.
Механоскладальні цехи та дільниці у машинобудуванні. - Львів: Львівська
політехніка, 2000. - 352 с.
19. Долин П.А.
Справочник по технике безопасности. - М.: Энергоиздат, 1982. - 799 с.
. Охрана труда в
машиностроении: Учеб. для вузов. - М.: Машиностроение, 1983. - 432 с.
. Экономическая
эффективность новой техники и технологии в машиностроении / Г.М. Великанов,
В.А. Березин, Э.Г. Васильева и др. - Л.: Машиностроение, 1981. - 256 с.
. Робочі процеси
високих технологій у машинобудуванні: Підручник для студентів вищих навчальних
закладів (Лист Міністерства освіти і науки України від 15.12.03 р. №1/11-5220).
/ А.І. Грабченко, М.В. Верезуб, Ю.М. Внуков, П.П. Мельничук, Г.М. Виговський /
За редакцією А.І. Грабченка. - Житомир: ЖДТУ, 2003. -451 с.
. Коваленко В.С.
Лазерная технология; Учебник, - К.: Выща шк. Головное изд-во, 1989. - 280 с.:
ил.