Розробка вакуум-випарної установки на рівні технічного проектування
Вступ
Температура є одним з найважливіших
технологічних та економічних факторів більшості промислових виробництв.
Підтримання у апаратах необхідної температури майже завжди поєднується з
необхідністю підводу, або відводу тепла з метою нагрівання або охолодження
речей, які обробляються. В усіх цих випадках, як наслідок, необхідно виконати
перенос тепла із одного місця виробництва в інше - від теплоносіїв до речей, що
нагріваються, від речей, що охолоджуються до холодоагентів, від однієї частини
тіла до іншої його частини. Процес переносу тепла називається теплообміном,
його рушійною силою є різниця температур. Перенос тепла здійснюється трьома
різними способами: теплопровідністю, конвекцією та випромінюванням. Кожний з
цих способів має свої закономірності, які складають предмет теорії
теплопередачі.
До теплових процесів належать
нагрівання, охолодження, конденсація, випаровування. Нагрівання - підвищення
температури матеріалів, що переробляються, шляхом підводу до них тепла.
Охолодження - зниження температури матеріалів, що переробляються, шляхом
відводу від них тепла. Конденсація - зрідження пари будь-яких речей шляхом
відводу від них тепла. Випаровування - перевід у газоподібний стан якої-небудь
рідини шляхом підводу до неї тепла.
Сучасні підприємства харчової
промисловості оснащені різноманітним обладнанням і здійснюють складні
технологічні процеси. Щоб керувати цими процесами і апаратами, необхідно їх
глибоко вивчити.
Стосовно до підготовки
інженерів-технологів харчової промисловості курс процесів і апаратів є вступним
при вивченні конкретних технологій харчових виробництв. У ньому розглядаються
теоретичні основи технологічних процесів (механічних, теплових і масообмінних),
особливості їх проведення в харчових виробництвах, методи розрахунків
апаратури, конструкції основних апаратів і установок. Він базується на
відомостях, отриманих студентами при вивченні суміжних дисциплін-фізичної
хімії, механіки, технічної графіки.
Курсове проектування є завершальним
елементом курсу, підсумком та узагальненням різнобічної підготовки, отриманої
студентами при вивченні цілого ряду предметів.
Проект - це комплекс технічних
документів виробу, що містить креслення, розрахунки, специфікації та інші
текстові конструкторські документи. В процесі проектування вирішується ряд
складних і різноманітних інженерних задач.
Метою даного курсового проекту є
розробка вакуум - випарної установки на рівні технічного проектування.
Об’єм курсового проекту включає в
себе: теоретичні відомості про дану установку, розрахунково-пояснювальну
записку, і графічні матеріали вакуум-випарної установки.
Це далеко не повний перелік задач,
що вирішується при проектуванні вакуум-випарної установки. Студент повинен
володіти глибокими і різноманітними знаннями з дисципліни «Процеси і апарати»,
вміти їх корисно застосовувати на практиці.
1. Описання процесу випарювання
Випарювання - це процес
концентрування розчинів нелетких речовин випаровування розчинника в процесі
кипіння. Внаслідок випарювання із розчину видаляється розчинник, а нелеткі
речовини залишаються в розчині в незмінній кількості, але в концентрованому
стані. Випарювання дає змогу одержати не лише концентровані розчини, а й
перенасичені, в яких відбувається кристалізація з метою виділення нелетких
речовин у твердому вигляді.
Випарювання широко застосовують у
багатьох галузях харчової промисловості ( цукровій, крохмале-патоковій,
консервній, молочній, кондитерській, пиво безалкогольній та ін..), у хімічній,
фармацевтичній.
Процес випарювання здійснюють у
випарних апаратах, що складаються із двох основних елементів: нагрівальної
камери і сепараційного простору . У нагрівальній камері теплота передається від
теплоносія до киплячого розчину, у паро сепараторі від киплячого розчину
відділяється пара.
Мал.1 Спрощена схема випарного
апарата: А- оболонковою; Б-трубчастою; 1- паро сепараційний простір; 2-
нагрівальна камера;
- витрати
відповідно початкового і кінцевого розчинів;
-концентрації
сухих речовин відповідно у початковому і кінцевому розчинах; D- нагрівальна
пара; W - вторинна
пара ; К-конденсат нагрітої пари
На випарювання витрачається велика
кількість теплоти. Як теплоносій найчастіше використовують водяну пару, що
конденсується, рідше - димові гази , високотемпературні теплоносії і дуже рідко
- електричний струм.
У харчовій промисловості випарюванню
найчастіше підлягають розчини, тому випарений розчинник являє собою практичну
чисту водяну пару, що має назву вторинної пари, яку доцільно використовують
повторно. Теплоносієм є , як правило, водяна пара, яку називають нагрівною або
первиною парою.
У процесі випарювання в міру
концентрування змінюється фізичні властивості розчину: зі збільшення
концентрації сухої речовини (СР) підвищується густина, в’язкість, температура
кипіння розчину, знижується його теплоємність і теплопровідність, що призводить
до зниження коефіцієнта тепловіддачі й суттєво впливає на температурний і
гідродинамічний режими роботи апарата. Концентрування розчину призводить до відкладання
накипу і виділення кристалів розчинених речовин.
Випарювання можна проводити при
різному тиску , що дає змогу змінювати температуру кипіння розчину. Випарювання
при пониженому тиску дає можливість знижувати температуру кипіння розчину. При
підвищеному тиску зростає температура кипіння і з’являється можливість
використовувати вторинну пару, але це може призвести до термічного розкладання
ряду органічних речовин і кінцевий продукт може набути небажаного смаку,
запаху, кольору або навіть змінити хімічний склад. Щоб зберегти якість
термолабільних (термонестійких) продуктів, випарювання слід проводити при
найнижчих температурах ,що досягається застосуванням розрідження. Для цього
вторинну пару треба відсмоктувати вакуумним насосом, або подавати в конденсатор,
де вона конденсується при тиску, нижчому за атмосферний.
Випарювання під вакуумом має певні
переваги перед випарюванням при атмосферному тиску, незважаючи на те що теплота
випаровування розчину трохи зростає з пониженням тиску і відповідно збільшується
витрата пари на випарювання 1 кг розчинника (води).
При випаровуванні під вакуумом стає
можливим проводити процес при більш низьких температурах, що важливо в разі
концентрування розчинів речовин, схильних до розкладання при підвищених
температурах. Крім того, при розрідженні збільшується корисна різниця
температур між гріючим агентом і розчином, що дозволяє зменшити поверхню
нагріву апарату (за інших рівних умов). У випадку однакової корисної різниці
температур при випаровуванні під вакуумом можна використовувати гріючий агент
більш низьких робочих параметрів (температура і тиск). Внаслідок цього
випарювання під вакуумом широко застосовують для концентрування висококиплячих
розчинів, наприклад розчинів лугів, а також для концентрування розчинів з використанням
теплоносія (пара) невисоких параметрів. Застосування вакууму дає можливість
використовувати в якості гріючого агента, крім первинного пара, вторинний пар
самої випарної установки, що знижує витрату первинного гріючого пара. Разом з
тим при застосуванні вакууму дорожчає Випарна установка, оскільки потрібні
додаткові витрати на пристрої для створення вакууму (конденсатори, пастки,
вакуум-насоси), а також збільшуються експлутаційних витрати.
При випаровуванні під тиском вище
атмосферного також можна використовувати вторинний пар як для випарювання, так
і для інших потреб, не пов'язаних з процесом випарювання.
Вторинний пар,який відбирається на
сторону, називають екстра-пором. Відбір екстра-пара при випаровуванні під
надлишковим тиском дозволяє краще використовувати тепло, ніж при випаровуванні
під вакуумом. Однак випарювання під надлишковим тиском пов'язане з підвищенням
температури кипіння розчину. Тому даний спосіб застосовується лише для
випарювання термічно стійких речовин. Крім того, для випарювання під тиском
необхідні гріючі агенти з більш високою температурою.
При випаровуванні під атмосферним
тиском вторинний пар не використовується і зазвичай видаляється в атмосферу.
Такий спосіб випарювання є найбільш простим, але найменш економічним.
Випарювання під атмосферним тиском,
а іноді й випарювання під вакуумом проводять в одиночних випарних апаратах
(однокорпусних випарних установках). Проте найбільш поширені багатокорпусні
випарні установки, що складаються з декількох випарних апаратів, або корпусів,
в яких вторинний пар кожного попереднього корпусу направляється в якості що
гріє в наступний корпус. При цьому тиск в послідовно з'єднаних (по ходу випарює
розчину) корпусах знижується таким чином, щоб забезпечити різницю температур
між вторинним паром з попереднього корпусу і розчином, киплячим в даному
корпусі, тобто створити необхідну рушійну силу процесу випарювання. У цих
установках первинним парою обігрівається тільки перший корпус. Отже, в
багатокорпусних випарних установках досягається значна економія первинного пара
порівняно з однокорпусні установками тієї ж продуктивності.
конденсатор томатний вакуум насос
2. Багатокорпусні випарні установки
У сучасних випарних установках
випаровуються дуже великі кількості води. Вище було показано, що в однокорпусному
апараті на випарювання 1 кг води потрібно більше 1 кг гріючої пари. Це призвело
б до надмірно великих витрат його. Однак витрата пари на випарювання можна
значно знизити, якщо проводити процес у багатокорпусної випарної установки. Як
зазначалося, принцип дії її зводиться до багаторазового використання тепла що
гріє пара, що надходить у перший корпус установки, шляхом обігріву кожного
наступного корпусу (крім першого) вторинним паром з попереднього корпусу.
Схема багатокорпусної
вакуум-випарної установки, що працює при прямоточному русі гріючої пари і
розчину, показана на мал. 2.
Мал 2. Багатокорпусних прямоточна
вакуум-Випарна установка: 1-3 - корпуса установки; 4 - підігрівач вихідного
розчину, 5 - барометричний конденсатор; 6 - пастка; 7 - вакуум-насос
Установка складається з декількох (в
даному випадку трьох) корпусів. Вихідний розчин, зазвичай попередньо нагрітим
до температури кипіння, надходить у перший корпус, обігрівається свіжою
(первинною) парою. Вторинний пар з цього корпусу направляється в якості що гріє
в другій корпус, де внаслідок зниженого тиску розчин кипить при більш низькій
температурі, ніж в першому. Зважаючи більш низького тиску в другому корпусі
розчин, упаренний в першому корпусі, переміщується самопливом в другій корпус і
тут охолоджується до температури кипіння в цьому корпусі. За рахунок цього
виділяється тепло, утворюється додатково деяка кількість вторинної пари. Таке
явище, що відбувається у всіх корпусах установки, крім першого, носить назву
самовипарювання розчину. Аналогічно упаренний розчин з другого корпусу
перетікає самопливом в третій корпус, який обігрівається вторинним пором з
другого корпусу. Попередній нагрів вихідного розчину до температури кипіння в
першому корпусі проводиться в окремому підігрівачу 4, що дозволяє уникнути
збільшення поверхні нагрівання в першому корпусі.
Вторинний пар з останнього корпусу
(в даному випадку з третього) відводиться в барометричний конденсатор 5, в
якому при конденсації пара створюється необхідне розрідження. Повітря і
неконденсуючі гази, які потрапляють в установку з парою і охолоджує водою (в
конденсаторі), а також через нещільності трубопроводів і різко погіршують
теплопередачу, відсмоктуються через пастку - бризговиловлювач 6 вакуум-насосом
7.
За допомогою вакуум-насоса
підтримується також стійкий вакуум, так як залишковий тиск в конденсаторі може
змінюватися з коливанням температури води, що надходить в конденсатор.
Необхідною умовою передачі тепла в кожному корпусі повинна бути наявність деякої
корисної різниці температур, яка визначається різницею температур гріючої пари
і киплячого розчину. Разом з тим, тиск вторинної пари в кожному попередньому
корпусі повинно бути більше його тиску в подальшому. Ці різниці тисків
створюються при надлишковому тиску в першому корпусі, або вакуумі в останньому
корпусі, або ж при тому й іншому одночасно.
Застосовувані схеми багатокорпусних
випарних установок розрізняються по тиску вторинної пари в останньому корпусі.
Відповідно до цієї ознаки установки діляться на працюючі під розрідженням і під
надлишковим тиском.
3. Області застосування випарних
апаратів
Конструкція випарного апарату
повинна задовольняти ряду загальних вимог, до числа яких відносяться: висока
продуктивність і інтенсивність теплопередачі при можливо менших обсязі апарату
і витраті металу на його виготовлення, простота пристрою, надійність в
експлуатації, легкість очищення поверхні теплообміну, зручність огляду, ремонту
та заміни окремих частин.
Разом з тим вибір конструкції і
матеріалу випарного апарату визначається в кожному конкретному випадку
фізико-хімічними властивостями випарювання розчину (в'язкість, температурна
депресія, кристалізація, термічна стійкість, хімічна агресивність та ін)
Як зазначалося, високі коефіцієнти
теплопередачі і великі продуктивності досягаються шляхом збільшення швидкості
циркуляції розчину. Однак одночасно зростає витрата енергії на випаровування і
зменшується корисна різниця температур, оскільки при постійній температурі ,що
гріє пара зі зростанням гідравлічного опору збільшується температура кипіння
розчину. Суперечливий вплив цих факторів повинно враховуватися при
техніко-економічному порівнянні апаратів і виборі оптимальної конструкції.
Нижче наводяться області переважного
використання випарних апаратів різних типів.
Для випарювання розчинів невеликий
в'язкості ≈8 *
Па*с, без утворення
кристалів найчастіше використовуються вертикальні випарні апарати з
багаторазової природною циркуляцією. З них найбільш ефективні апарати з
виносної нагрівальної камерою і з виносними необігріваним циркуляційними
трубами.
Випарювання не кристалізуючих
розчинів великої в'язкості, що досягає порядку ≈0.1 Па* с, виробляють в
апаратах з примусовою циркуляцією, рідше - в прямоточних апаратах з падаючої
плівкою або в роторних прямоточних апаратах.
У роторних прямоточних апаратах, як
зазначалося, забезпечуються сприятливі умови для випарювання розчинів, чутливих
до підвищених температур.
Апарати з примусовою циркуляцією
широко застосовуються для випарювання кристалізуються або в'язких розчинів.
Подібні розчини можуть ефективно випаровуватися і в апаратах з винесеною зоною
кипіння, що працюють при природній циркуляції. Ці апарати при випаровуванні
кристалізуються розчинів можуть конкурувати з випарними апаратами з примусовою
циркуляцією.
4. Схема та лінія виробництва
томатного пюре
Доставка, приймання і зберігання
сировини.
На переробку можуть надходити томати
в цілому або роздробленому вигляді. Для транспортування цілих томатів ручного
збору використовують стандартні дерев'яні ящики місткістю не більше 16 кг,
ящикові піддони масою нетто 400 кг та томати сортів механізованого збирання
допускається транспортувати в великовантажних транспортних засобах.
Широко поширені пункти первинної
переробки, де отримують роздроблену масу - томатну пульпу.
Томатна пульпа - напівфабрикат
транспортується в автоцистернах або наливних баржах відповідно до правил
перевезень харчових вантажів за умови, що сумарно тривалість зберігання
томатної пульпи на пункті, транспортування та зберігання на заводі до переробки
не повинна перевищувати 4 ч.
Перед зливом томатної
пульпи-напівфабрикату з автоцистерни зливний патрубок ретельно обмивають водою
зі шланга. Для видалення осілої на дно цистерни густої маси томатної пульпи
необхідно використовувати холодну протерту томатну масу. Використання води для
змиву не допускається. Приймальні ємності для зливу томатної пульпи, що йде на
переробку, мають бути забезпечені мішалками або пристроями для рециркуляції, що
забезпечують її однорідність.
Доставлену на консервний завод грубо
протерту томатну пульпу при необхідності зберігання її для забезпечення
рівномірного завантаження виробництва протягом доби піддають підігріву до
температури 75 ± 5 ° С Пароконтактні способом сухим очищеним насиченим паром
або в багатоходових трубчастих теплообмінниках. Підігріту томатну пульпу
подають в машину для протирання з діаметром отворів в ситі 1,2 мм, а потім
фінішують через сита з діаметром отворів 0,4 мм. Після фінішування томатну
пульпу підігрівають до температури 93 ± 3 СС і охолоджують до 23 ° С в
теплообмінниках. Підготовлену таким чином томатну пульпу можна зберігати в
термоізольовані ємностях місткістю 25-100 м3 протягом 10 ч.
Томати, що надходять на завод в
цілому вигляді, подають на лінію первинної переробки в порядку надходження на
сировинну майданчик з урахуванням якісного стану кожної партії. Подачу
здійснюють за допомогою гідравлічного транспортера. Він являє собою жолоб,
розташований з ухилом 10-12 мм на 1 м довжини у напрямку руху води і сировини.
Витрата води на 1 кг томатів близько
4
.
Для уловлювання важких домішок в днище жолоби гідротрацспортера рекомендується
встановлювати пастки.
При завантаженні томатів в
гідротранспортер слід встановити переносний завантажувальний бункер. Висота
падіння плодів до дзеркала води при розвантаженні томатів з усіх видів
транспортної тари рекомендується не більше 0,5 м.
Мийка томатів.
З гідротранспортера через
водовіддільник томати надходять в мийні машини. Миття томатів проводять до
видалення видимих забруднень
- землі, глини, піску та ін. Витрата води на миття томатів встановлюється з
розрахунку 2-3
на 1 кг томатів.
Після миття томати обполіскують під душем на виносному транспортері мийної
машини.
Мал. 2. Схема механізованої лінії
виробництва томатного пюре: 1 - мийна машина; 2 - інспекційний транспортер, 3 -
дробарка і сімяновідільник; 4 - збірник дробленої маси; 5 - насос; 6 -
підігрівач; 7 - протиральна машина; 8 - збірка протертої маси; 9 - повітряний
насос; 10 - конденсатор; 11 - пастопідігрівач; 12 - вакуум-випарні установки
Інспекція та сортування томатів.
Після миття томати надходять на
інспекційний транспортер . В процесі інспекції відбраковують дефектні плоди і
видаляють плодоніжки. Недостиглі томати, відбраковані окремо, використовують
для засолювання. Інспекція здійснюється переважно вручну. Душові точки для
ополіскування томатів встановлюються після інспекції за 1 м до місця
розвантаження, щоб вода встигла стекти з плодів.
Дроблення і відділення насіння.
Дроблення томатів здійснюється на
дробарках-семяновідділеннях, що мають механізм регулювання зазору між бичем і
ситом для кращого відділення насіння. Відділення насіння відбувається в холодному
стані, і тому вони можуть бути використані як посадковий матеріал.
Обробка дробленої маси.
Подрібнена томатна
маса-накопичується в розміщеному під дробаркою резервуарі з конічним днищем, з
якого шнековим насосом, забезпеченим варіатором, через підігрівач нагнітається
в протирочную машину. Підігрівач являє собою горизонтальний кожухотрубний
теплообмінник швидкого потоку з паровим обігрівом.
Роздроблену масу підігрівають для
перекладу нерозчинного протопектину в розчинний пектин. Це полегшує відділення шкірки
від м'якоті, знижуючи відходи при протиранні.
Температура подрібленої маси перед
протиранням регулюється в межах 60-90 ° С. Вона впливає на якість продукту.
Так, при холодному способі переробки маса підігрівається до температури 60-67 °
С і виходить продукт яскраво-червоного кольору. Відходи при протиранні в
залежності від сировини становлять 5-8%. При гарячому способі роздрібнена
томатна маса підігрівається до 80-90 ° С, що утворюється маса щільна, відходи
складають 4-6%.
Стерилізація томатної маси в потоці.
Протерту томатну масу піддають
стерилізації, для чого використовують багатоходові трубчасті теплообмінники та
підтримувачі. Обробка здійснюється при температурі 125 ° С протягом 70 с або
при температурі 130 ° С протягом 55 с (для маси з рН вище 4,4). Масу подають на
стерилізацію насосами, що забезпечують тиск продукту на виході з стерилізуючої
системи не нижче 280 кПа. Стерилізовану томатну масу перед подачею в
вакуум-випарні установки з виносними поверхнями нагріву не піддають
охолодженню, а направляють через редукційний вентиль в сепаратор першого
корпусу (по продукту). Для апаратів з розташуванням поверхні нагріву всередині
корпусу томатну масу після видержування піддають охолодженню до температури 85
± 2 ° С щоб уникнути втрат продукту з соковими парами. Охолодження можна
здійснювати за рахунок самовипарювання в ємності при тиску рівному або менше
атмосферного. Для вакуум-випарних установок з виносними поверхнями нагріву
допускається робити стерилізацію томатної маси після часткового концентрування
у першому корпусі.
При цьому протерту, підготовлену
томатну масу направляють в перший корпус вакуум-випарної установки,
концентрують приблизно до масової частки сухих речовин 8%, потім стерилізують
за режимами, як і для початкової маси, після чого направляють тангенціально в
сепаратор подальшого корпусу, якщо різниця менаду і температурою кипіння в
цьому корпусі не перевищує 50 ° С. Якщо обумовлена різниця
температур превищує 50 ° С, то перед надходженням в наступний апарат масу слід
охолодити.
Для вироблення томатного пюре
протерту томатну масу піддають однократному випарювання у відкритих апаратах
(чанах), обладнаних мідними змійовиками.
Томатну масу завантажують в чан з
таким розрахунком, щоб вона покривала змійовик. Оголення змійовиків призводить
до висихання продукту і утворення нагара. При заповненні чана томатна маса
повинна бути гарячою (90 ° С), щоб кипіння почалося відразу після пуску пари в
змійовики, а також щоб уникнути спінювання під час випаровування.
В процесі випарювання в чан
періодично або безперервно доливається свіжа маса. Коли концентрація сухих
речовин в уварювали масі наближається до необхідної, долив свіжої маси
припиняють. Закінчивши варіння, вимикають пар, відкривають вентиль на обвідної
лінії у конденсаційного горщика і пускають в змійовики холодну воду. Це
здійснюється для того, щоб при оголенні гарячих змійовиків попередити утворення
пригара. Тривалість варіння 15%-го пюре 25-30 хв.
5. Розрахунки
.1 Випарний апарат
Продуктивність установки по
початковому продукту: G= 8000кг⁄ч= 2,222кг⁄с;
Початкова концентрація
=
6%;
Кінцева концентрація
=
18%;
Параметри гріючої пари:
тиск
=
2,5 бара= 0,25 МПа;
ступінь сухості х= 0,98;
Початкова температура продукту:
=
С;
Продукт - томатне пюре;
Початкова температура поступаючої на
конденсатор води-
С;
Коефіцієнт теплопередачі - К=1400
;
Тиск в конденсаторі - 0,2 бар = 0,02
МПа;
. Кількість вологи W, яка
випарюється:
W=
(1-
)
= 2.222 (1-
= 1.48
де
-
кількість початкового продукту;
,
-
відповідно початкова і кінцева концентрація продукту, %;
. Витрати тепла
на
процес випарювання:
,
де
-
витрати тепла на підігрів продукту до температури кипіння, кВт;
- витрати тепла на
випарювання вологи з продукту, кВт;
- витрати тепла в
навколишнє середовище, кВт.
= 2,222*3,56(68-50)=
142,4 кВт,
де
-
теплоємність початкового продукту;
=4228,7-20,9*
=
4228.7-20.9*6-10.88*50=3559
=3,56
;
- температура
продукту, який передається в апарат;
=
С;
- температура
кипіння продукту в апараті, визначається за формулою:
∑Δ=60,09+7,91=
С;
де
-
температура вторинної пари;
=60,09 при тиску в
апараті р=0,02 МПа;
∑Δ-
сума температурних витрат ;
∑Δ=
;
Витрати тепла на випарювання вологи
=w*r = 1.48*2358.1
= 3490кВт,
де r- прихована теплота
пароутворення,
,
при p=0,02 МПа, r= 2358.1
;
Витрати тепла в навколишнє
середовище
=0,05(
Q= 142.4+3490+181.6=3814 кВт;
Площа поверхні нагріву випарного
апарата визначається з рішення:=
=
=
43,66
,
де Δ
-
корисна різниця температур
Δ
=
,
де
=
К- коефіцієнт теплопередачі,
К = 600-2000
,приймаємо
К=1400
;
З таблиці 1 вибираємо випарний
апарат з найбільшим наближенням поверхні теплообміну і його конструктивні
розміри:=40
D= 800мм- діаметр гріючої камери,
1200мм - діаметр
сепаратора,
500мм - діаметр
ціркуляційнної труби,=11000мм - висота апарата,
2000мм-
висота парового простору,=3812мм - діаметр труби,=3000мм - довжина труби,
По таблиці 1 вибираємо тип апарата - випарний
трубчастий апарат з співвісною граючою камерою.
Перевірочний розрахунок теплового навантаження
коефіцієнт теплопередачі
Сума температурних витрат:
∑Δ=
= 0,31+5,8
+1 =
С;
де
-
температурні витрати від фізико-хімічної депресії.
= 0,0258*
=
0,025 *
=
С;
- температурні
витрати від гідростатичної депресії.
Тиск в середньому шарі продукту,
який знаходиться в трубках випарного апарата
=0.02+0.5*1.08*1069*9.8*
=
=0.026МПа,
де
-
оптимальний рівень продукту в трубках, м,
=[0.26+0.0014*(
]*
=[0,26+0,0014*(1069-998)]*3=1,08,
де
=3м,-
довжина труб випарного апарата,
- відповідно
густина кінцевого продукту і води,
=998
.
Величина
визначається
за формулою
=65,87-60,09=
- температура
витрати від гідродинамічної депресії
Визначаємо
=
=68+7,1=
Витрати граючої пари на процес
випарювання:
D=
=
=1,78
,
де
-
відповідно ентальпія гріючої пари і конденсату при тиску граючої пари
=0,25
МПа,
Питома втрата гріючої пари:
d=
=
=1.2
Перевірочний розрахунок
теплопередачі при кипінні
Схема процесу теплопередачі:
Коефіцієнт теплопередачі визначають
за рівнянням
К=
Приймаємо, що сумарний термічний
опір дорівнює термічному опору стінки
і
забруднення. Термічний опір забруднення з боку з боку пари не враховуємо:
∑
=
=
=2,87*
(
,
де
-
термічний опір забруднень з боку продукту.
- теплова провідність забруднень
Коефіцієнт теплопровідності від
пара, що конденсується до стінки дорівнює:
Розрахунок
ведуть
методом послідовних наближень
В першому наближенні приймаємо Δ
=127.43-10/2=
C;
2,04*
=2.04*
=6308
,
де
-
теплота конденсації гріючої пари,
-відповідно
густина, теплопровідність і в’язкість конденсату при середній температурі
плівки, де Δ
-
різниця конденсації пари і стінки.
Для установленого процесу передачі
тепла справедливо рівняння:
q=
*∑(δ/λ)=
63.08*10*2.87*
=
C;
де q- питоме теплове навантаження,
Δ
-
перепад температур на стінці,
Δ
-
різниця між температурною стінкою з боку продукту і температурою кипіння
продукту,
Δ
=
*Δ
*∑(δ/λ)=6308*10*2.87*
=
C;
=127,43-75,1=
С;
Коефіцієнт тепловіддачі від стінки
до киплячого продукту для бульбашкового кипіння у вертикальних трубах при умові
природної циркуляції дорівнює
*
,
де
-
відповідно теплопровідність, густина, теплоємність, в’язкість, поверхневий
натяг продукту при температурі кипіння
=
Значення
-
беруть для води в залежності від температури кипіння продукту
r- теплота пароутворення при тиску в
апараті
Для вибраних умов розрахунку (
*
=
=8.7*(
(
=6583
,
Перевіримо правильність першого
наближення порівності питомих теплових навантажень:’=
=6308*10=63080
,
q”=
як бачимо q’≠ q”
Для другого наближення приймаємо Δ
=
Коефіцієнт тепловіддачі
при
127-
=
=5276
,
Тоді одержимо
Δ
=5276*20*2,87*
=30,
Δ
=8.7*(5276*
q’=5276*20=105520
q”=8985*2=17970
,
q’ ≠ q”
Приймаємо Δ
=
=2,04*
=6014
Δ
Δ
7151
q”=7151*19.6=140169
При Δ
=
5609
q’=5609*16=89744
q”=8153*10,7=87238
Для розрахунку в останьому
наближенні будуємо графічну залежність питомого теплового навантаження q д
різниці температур між парою і стінкою Δ
,
з якої визначаємо, що Δ
|
Δ
|
10
|
12
|
16
|
20
|
|
q’,
|
63080
|
7213
|
89744
|
105520
|
|
q”,
|
159506
|
140169
|
87238
|
17970
|
Нехтуючи зміною фізичних
властивостей при зміні температури на
розрахуємо
за
співвідношенням:
=5617
Δ
=5617*15,9*2,87*
=
Δ
=52.33-25.6-15.9=
q’=5617*15.9=89310
,
q”=8129.4*10.83=88041.4
,
q’ ≈q” розбіжність між q’ і q”
дорівнює 1%.
Визначаємо
:
=1634
Розрахункова площа поверхні
теплообміну випарного апарата
=
=38,1
*100=4,8%, що не
перебільшує 7%.
5.2 Розрахунок барометричного
конденсатора
Витрати охолоджувальної води
=22,1
,
де
відповідно
початкова і кінцева температура охолождуючої води,
,
=
*(3…5)=60,09-4,09=
С,
=
С,
Діаметр барометричного конденсатора
=
=0,849м,
де
.
По нормалях з таблиці 7 вибираємо
конденсатор діаметром d=800мм і його параметри:
Товщина стінки апарата:S=5мм,
Відстань від верхньої полиці до
кришки апарата а=1300мм,
Відстань від нижньої полиці до днища
апарата r=1200мм,
Ширина полиці l=500мм,
Відстань між осями конденсатора і
виловлювача:
=950мм,
=835 мм,
Висота установки Н=5080мм,
Діаметр уловлювача
=500
мм(повітря),
Висота уловлювача:
=1700мм,
Діаметр уловлювача:
400мм(
вода),
Висота уловлювача:
=1350мм,
Відстань між полицями:
=200
=260
=320
=380
=440
- для виходу пари, А-350,
для виходу води, Б-200,
для виходу парогазової
суміші, В-125,
для барометричної труби,
Г-200,
входу парогазової
суміші,Ж-80,
для виходу барометричної
трути. Е-70
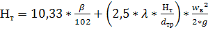
Висота барометричної труби
+0.5?
де β-
вакуум в барометричному конденсаторі, кПа,
β=
=102-20=82
кПа,
λ-
коефіцієнт тертя, який залежить від режиму течії рідини, визначається з
рівняння:
=1,8*lgRe-1.5
Число Рейнольдса:
Re=
=
=211268,
де
-
швидкість води в барометричній трубі,
=
=
=0,75
,
Де
-
внутрішній діаметр барометричної труби, м,
+0,5
=1,8*lg*211268-1.5;
=9,58→ λ=
=0,011,
=8,31+0,072+0,00158+0,5=8,89м≈9м.
5.3 Продуктивність вакуум-насоса
Продуктивність вакуум-насоса Z
(кг/с) визначається кількістю газу( повітря), який потрібно виводити з
барометричного конденсатора:=[0.025*(
]*
=[0.025*(22.1+1.48)+10*1.48]*
=
=15.39*
кг/с,
Об’ємна продуктивність вакуум-насоса
V(
)
дорівнює:
V=
=0,0803
де R- газова стала для повітря,R=288
,
- температура
повітря, розраховують за рівнянням
=18+0,1*(56-15)+4=
С.
- парціальний тиск
повітря в барометричному конденсаторі, Па,
=0,02-0,0035=0,0165МПа,
Де
при
.
По таблиці 9 вибираємо
вакуум-насос:=0.0803*60=4.82
,
Типорозмір-ВВН-6
Залишковий тиск-5,1 кПа,
Продуктивність-6,0
/хв.
Потужність на валу-12,5 кВт,
Підбір конденсата відвідника:
Витрати конденсату
(т/год)=D=1.78*3.6=6.41
Δp=
-
=0,25-0,1=0,15
МПа,
Коефіцієнт пропускної здатності:
К=0,575*G/
=6,41*0,575/
=9,5мм,
Діаметр умовного проходу
=60мм,
Вибираємо із таблиці 6
конденсатовідвідника з розмірами:=400мм,=480мм,=510мм,
h=295мм.
d=175 мм.
5.4 Визначення товщини теплової
ізоляції
Товщину ізоляції знаходять із
рівності питомих теплових потоків через шар ізоляції і від поверхні ізоляції в
навколишнє середовище
*(
),\
де
коефіцієнт
теплопровідності ізоляційного матеріалу, Вт/м*К, (таб.6)
- температура ізоляції
з боку апарата,
С,
температура
повітря,
С,
- коефіцієнт
тепловіддачі від зовнішньої поверхні ізоляціонного матеріалу в навколишнє
середовище,
=9,76+0,07*(40-26,1)=10,73
*(127,43-40)=10,73*(40-26,1)
=
=0,047м,
Перевіряємо, чи укладається
у
3…5% від
=10,73*3,14*0,8*2*(40-26,1)=468,32кВт.
Список використаної літератури
1.
Технологія переробки томатів. Верхівкер Я.Г. і ін.. 1993
.
Проектування процесів та апаратів харчових підприємств. Під редакцією В.Н.
Стабнікова. Київ ,1982
.
Руткевич І.Г. Вакуум-насосні установки в харчовій промисловості Харчова
промисловість,1971
.
Процеси і апарати харчових виробництв. І.Ф. Малежик,Підручник.НУХТ, Київ, 2003
.
Методичні вказівки до проектування вакуум-випарної установки. О.І. Шиянов,Одеса.1990