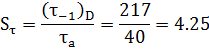
|
Шестерня
|
40Х
|
Покращення + ТВЧ
|
НВ 457
|
|
|
|
Колесо
|
40Х
|
Покращення
|
НВ 285,5
|
|
|
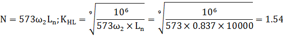
4.4 Проектний
розрахунок циліндричної зубчастої передачі
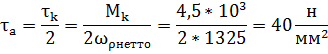
Міжосьова відстань:
де
-
коефіцієнт ширини вінця;
- коефіцієнт
розрахункового навантаження;
кінематичний передача
двигун
.
Вихідні параметри зачеплення:
приймаємо
зубів
з умови відсутності підрізання зуба.
Тоді:
Модуль зачеплення:
приймаємо m=3.5мм
ст. 59
Фактична міжосьова відстань:
4.5 Основні
геометричні параметри зубчастих коліс
Ділильні діаметри:
- Шестерні
мм
- Колеса
мм
Діаметри вершин зубів:
- Шестерні
- Колеса
-
Діаметри впадин зубів:
- Шестерні
- Колеса
-
Ширина вінця:
- Шестерні
- Колеса
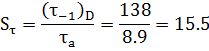
4.6 Робочі
напруження згину
де К - допоміжний коефіцієнт.
Для косозубих передач К=276, для прямозубих К=376
коефіцієнт, що
враховує розподіл навантаження між зубами,
коефіцієнт
нерівномірності навантаження по довжині зуба.
Для зубів, що приробляються
коефіцієнт
динамічного навантаження, що залежать від колової сили і степені точності
передачі;
колова сила в
зачепленні;
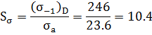
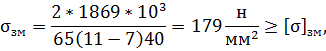
4.7 Робочі контакти
напруження
Для перевірки зубів циліндричних
коліс на міцність по напруженням згину скористаємось формулою:
Де К - коефіцієнт навантаження;
К=1,3 ст. 50
.
коефіцієнт форми
зуба;
табл. 3.2.
.
коефіцієнт
підвищення навантажувальної здатності на згин косозубих коліс;
для косозубих коліс.
5. Розрахунок і конструювання валів
.1 Розрахункові схеми валів
Схема 1. Швидкохідна ступінь
редуктора
Схема 2. Тихохідна ступінь редуктора
5.2 Сили,
які діють в зачепленні
Черв’ячна передача:
Колова сила:
Радіальна сила:
Осьова сила:
Ціліндрична косо зуба передача
Колова сила:
Радіальна сила:
Осьова сила:
5.3 Вибір
матеріаліввалів і допустимих напружень
В редукторах, що проектуються
рекомендовано приміняти термічно-оброблені мал.ьо вуглецеві і леговані сталі
45,40Х і т.п. Механічні характеристики сталі для виготовлення валів визначаємо
по мал..
3.2.
.
Отже, вибираємо сталь 40Х.
Проектний розрахунок валів
виконується по напруженням кручення, тобто при цьому не враховують напруження
згину, концентрацію напружень і змінність напружень в часі. Тому для
компенсації наближеності цього методу розрахунку допустимі напруження на
кручення приймають наближеними:
. Менші значення
-
для швидкісних, більші - для швидкохідних валів.
5.4 Попередній
розрахунок валів.Конструювання валів
Швидкохідний вал-черв`як;
з конструктивних міркувань приймаємо
діаметр вала
таким же, як і
діаметр вала двигуна, тобто
Мал. 1. Вал - черв`як
визначається
графічно по ескізній хомновці
Проміний вал-шестерня:
приймаємо
Мал. 2. Вал - шестерня
Тихохідний вал:
з конструктивних міркувань приймаємо
Мал. 3. Тихохідний вал
5.5 Проектування підшипникових
вузлів
Вибір найбільш раціонального типу
підшипника для даних умов роботи редуктора складний і залежить від ряду
факторів: потужності, що передається, типу передачі, співвідношення сил в
зачепленні, частоти обертання внутрішнього кільця підшипника, необхідного сроку
служби, схеми установки.
Попередній вибір підшипників для
кожного з валів редуктора проводиться в такому порядку:) у відповідності з
табл. 7.2. [2] визначаємо тип, серію і схему установки підшипників.
Для черв’ячної передачі на
швидкохідному валу встановлюємо конічні роликові підшипники типу 7000 або
радіально упорні шарикові типу 36000 при
,
середньої серії кут контакту
для серії 7000
для
36000 схема установки - вроспір.
Для проміжної ступені - роликові
конічні типу 7000 легкої серії, схема установки - вроспір.
Для циліндричної косозубої передачі,
тихохідна ступінь, вибираємо роликові конічні підшипники типу 7000, легкої
серії,
для
типу 7000, схема установки вроспір.) Вибираємо типорозмір підшипників по
величині діаметрів ступеней вала під підшипники.
Швидкохідний вал:
підшипники 7305 середньої серії
d=25мм
D=62мм
T=18,5мм
B=17мм
C=13мм
Вантажопідйомність, кН
Фактори навантаження
Проміжний вал:
Рис.
Тихохідний вал:
підшипники 7313 середньої серії
d=65мм
D=130мм
T=34мм
B=31мм
C=27мм
Вантажопідйомність, кН
Фактори навантаження
5.6 Проектування
шпонкових вузлів
Розміри січення призматичної шпонки
приймаємо
в залежності від діаметра вала по даним табл. 7.7.[1].
Для вала
,
глибина поза вала
, встулки
,
довжину шпонки вибираємо з ряду стандартних значень
;
для вала 
для вала
Вибрані шпонки перевіряють на
зминання:
Т - момент, що передається шпонкою,
Н - мм
діаметр вала, мм
робоча довжина
шпонки, мм
допустиме
напруження зминання; приймають при стальній ступиці 100 - 120
Шпонка
набагато менше допустимих напружень,
то приймаємо меншу за січенням і довжиною шпонку:
Шпонка
Шпонка
тому беремо шпонку
Шпонка
щоб забезпечити менші напруження
зминання збільшуємо робочу довжину шпонки до
5.7 Уточнення (перевірочний)
розрахунок валів
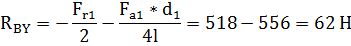
Розрахункова схема швидкохідного
вала-червяка
Рис.
Дано:
1. Вертикальна площина
a) визначаємо опорні реакції,
Н;
Перевірка:
2. Горизонтальна площина) визначаємо
опорні реакції, Н;
3. Будуємо епюру крутих
моментів
4. Визначаємо сумарні радіальні
реакції
5. Сумарний згинний момент в
найбільш небезпечному січенні:
Розрахункова схема проміжного вала
Рис.
Дано:
1. Вертикальна площина
a) визначаємо опорні реакції,
Н;

Перевірка:
b) Будуємо епюру згиних
моментів відносно осі х в характерних точках (січеннях):
2. Горизонтальна площина) визначаємо
опорні реакції, Н;

Перевірка:
b) Будуємо епюру згиних
моментів відносно осі х в характерних точках (січеннях):
3. Визначаємо сумарні радіальні
реакції
4. Сумарний згинний момент в
найбільш небезпечному січенні:
Розрахункова схема тихохідного вала
Рис.
Дано:


1. Вертикальна площина
a) визначаємо опорні реакції,
Н;

Перевірка:
b) Будуємо епюру згиних
моментів відносно осі х:
2. Горизонтальна площина) визначаємо
опорні реакції, Н;
b) Будуємо епюру згиних
моментів відносно осі y:
3. Визначаємо сумарні радіальні
реакції:
4. Сумарний згинний момент в
найбільш небезпечному січенні:
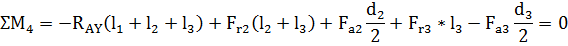
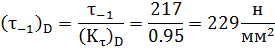
Перевіряючий розрахунок валів на
міцність виконується на сумісну дію згину і кручення. Згідно отримання
розрахункових схем найбільш небезпечними січеннями є: січення 2 черв’яка, у
вигляді канавок і шпонкових пазів, та січення 2 тихохідного валу в місці посадки
зубчастого колеса.) Нормальні напруження змінюються при симетричному циклу,
якому амплітуда напружень
рівна напруженням
згину
де
осьовий
момент опору січення вала,
b) Дотичні напруження
змінюються по віднульовому циклу, при якому амплітуда циклу
:
де
полярний
момент інерції опору січення вала:
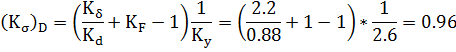
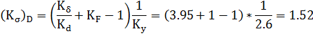
c) Визначаємо коефіцієнт
концентрації нормальних і дотичних напружень:
Де
ефективні
коефіцієнти концентрації напружень;
коефіцієнт впливу
абсолютних розмірів поперечного січення;
коефіцієнт впливу
шорсткості;
коефіцієнт
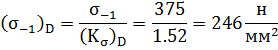
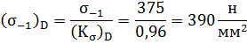
впливу поверхневого зміщення.) Визначаємо границі витривалості в
розрахунковому січенні:
) Визначаємо коефіцієнт
міцності по нормальних і дотичних напруженнях:
Загальний коефіцієнт запису
міцності:
Проміжний вал:
Небезпечним січенням, в якому діють
великі згинні і крупні моменти є січення 2 валу.. Крім, того в січенні є
концентратор напружень - шпоночний паз.
Тихохідний вал:
6. Перевірочний
розрахунок підшипників
1. Визначаємо осьові складові
радіальних реакцій:
Визначаємо осьові навантаження
підшипників, так, як
то
Визначаємо співвідношення:
Еквівалентне
навантаження:
Визначаємо динамічну
вантажопідйомність по більшому значенню еквівалентного навантаження:
Визначаємо довговічність підшипника:
- Підшипник придатний -
2. Проміжний вал -
Осьові складові:
Визначаємо осьові навантаження
підшипників, так, як
то
Визначаємо співвідношення:
Еквівалентне навантаження:
Визначаємо динамічну
вантажопідйомність по більшому значенню еквівалентного навантаження:
Визначаємо довговічність підшипника:
3. Тихохідний вал:
Визначаємо осьові складові
радіальних реакцій:
Визначаємо осьові навантаження
підшипників, так, як
то
Визначаємо співвідношення:

Еквівалентне навантаження:
Визначаємо динамічну
вантажопідйомність по більшому значенню еквівалентного навантаження:
Розрахункова вантажопідйомність
набагато менша заданої, тому приймаємо підшипник легкої серії 7213;
Визначаємо довговічність підшипника:
- Підшипник придатний -
7. Змащування і
ущільнення
.1 Змащування
зубчастих коліс
Спосіб змащування. Для редукторів
загального призначення приміняють безперервне змащування рідким маслом
картерним непроточним способом (занурюванням). Цей спосіб приміняють для
зубчастих передач при швидкостях до 12 м/с, для черв’ячних передач з
циліндричним черв’яком ковзання 10 м/с. Вибір сортна масла залежить від
значення контрактних напружень в зубах
і
фактичної колової швидкості коліс V.
Застосовуємо масло індустріальнеU-Г-С-68
з антиокислювачами, антикорозійними і протизношувальними присадками. Об’єм
масляної ванни визначається з розрахунку 0,4…0,8л на 1кВт потужності, що
передається редуктором. В черв’ячних редукторах при занурені в масляну ванну
колеса
приймаємо
7.2 Мащування
підшипників
Змащування підшипників пластичними
матеріалами при міняється при колових швидкостях
.
Найбільш розповсюджені для підшипників кочення - пластичні мастила типу салідол
жировий (ГОСТ 1033-79), консталін жировий УТ-1 (ГОСТ 1957-73).
Тепловий розрахунок черв’ячного
редуктора. Температура масла
в корпусі
черв’ячної передачі при постійній роботі без охолодження визначається по
формулі:
температура
повітря;
коефіцієнт
теплопередачі;
площа поверхні
корпуса.
7.3 Ущільнення
валів
Для ущільнення валів застосовуємо
манжети без касетні для роз’ємних і нероз’ємних корпусів, де тиск створюється
за рахунок пружності манжета або кільцевої браслетної пружини.
Матеріал - гума, каучук (ГОСТ
8752-79)
8. Розрахунок і конструювання
муфти
Визначаємо максимальний момент:
Приймаємо діаметр ділильного кола
кулачків
,ширина
кулачків
,
число кулачківz=5,
кут
,
кут тертя
,
коефіцієнт тертя
Колове зусилля при передачі
максимального момента:
номінального момента:
Осьові складові при включеному стані
муфти:
при виключенні муфти:
- для включення муфти:
Розраховуємо пружину, що відповідає
заданим умовам:
допустиме напруження для пружної
сталі приймаємо
.
Попереднє стиснення при числі
робочих витків пружини і=6;
Максимальна осадка при виключенні:
Висота кулачків:
Перевіряємо кулачки на зминання і
контактні напруження при дії найбільшого колового зусилля:
Сила нормального тиску на кулачки:
Приймаємо радіус скруглення кулачківr=2мм;
Контактні напруження:
При твердості кулачків HRC
50 допустиме контактне напруження
,
отже умова
виконується.
Література
1. Проектирование
механических передач С.А. Чернавський, Г.М. Иукович. М., «Машиностроение», 1976
2. Курсовое
проектирование деталей машин А.Е. Шейнблист. М., : Высш.шк. 1991 - 432ст.
3. Методичні
вказівки і механічні завдання до виконання курсового проекту з курсу «Деталі
машин», Тернопіль, 1998.
4.