Организация, планирование и проведение психологического исследования

  • Вид работы:
    Курсовая работа (т)
  • Предмет:
    Психология
  • Язык:
    Русский
    ,
    Формат файла:
    MS Word
    47,99 Кб
  • Опубликовано:
    2014-10-27
Вы можете узнать стоимость помощи в написании студенческой работы.
Помощь в написании работы, которую точно примут!

Организация, планирование и проведение психологического исследования

Содержание

1. Содержание психологического исследования (ПИ)

.1 Определение понятия исследования

.2 Виды психологических исследований

.3 Требование к результатам

.4 Специфика ПИ с учётом специфики психики

. Этапы психологического исследования

.1 Подготовительный этап

.1.1 Постановка проблемы (определение, виды)

.1.2 Выработка гипотезы (определение, виды, признаки правильной формулировки)

.1.3 Определение предмета, объекта, цели и задач (определение, функции и т.д.)

.1.4 Характеристика переменных (виды, понятия, соотношения, варьирование и т.д.)

.1.5 Определение качественного и количественного состава выборки испытуемых и подбор методик

.2 Проведение эмпирического исследования (взаимодействие исследователя и испытуемых, инструкция и её функции, способы доведения стимульного материала, способы проведения и т.д.)

. Заключительный этап

.1 Первичная статистическая обработка

.2 Сравнительный анализ (критерии значимости отличий) 

.3 Интегральные (системные) методы обработки данных

.4 Способы представления данных

4. Проблема интерпретации (определение, виды, функции и т.д.)

Заключение

Список литературы

Введение

Одним из профессионально значимых качеств психолога, как грамотного специалиста, является способность грамотно организовать психологическое исследование, в соответствии с нормами и требованиями, которые предъявляет наука. Для нас, как студентов магистров, эта тема наиболее актуальна. В процессе обучения в ВУЗе у нас уже была возможность применить свои знания на практике (организовать исследование), при написании ВКР, но, конечно же, не без помощи научных руководителей. Статус магистра требует от нас, как будущих профессионалов, большей самостоятельности и высокого профессионализма.

Поэтому, объединить и систематизировать всю необходимую информацию о том, как провести психологическое исследование, необходимо нам для решения практических задач. На основе обобщения опыта в данном реферате, мы наметим основные шаги в организации исследования. Данная работа позволит нам качественно выполнить магистерскую диссертацию, в соответствии со всеми требованиями, которые к ней предъявляются.

Цель работы - рассмотреть организацию, планирование, проведение эмпирического исследования.

Объект работы - психологическое исследование.

Предмет работы - содержание, этапы психологического исследования.

В соответствии с целью исследования были поставлены следующие задачи:

.        На основе изучения литературы по теме реферата определить понятие, виды, а также специфику психологического исследования в отечественной и зарубежной литературе.

.        Проанализировать основные требования к результатам исследования, специфику.

.        Определить и охарактеризовать основные этапы психологического исследования.

1. Содержание психологического исследования (ПИ)

 

.1 Определение понятия исследования


Исследование, в отличие от стихийных форм познания окружающего мира, основано на норме деятельности - научном методе. Его осуществление предполагает осознание и фиксацию цели исследования, средств исследования (методологию, подходы, методы, методики), ориентацию исследования на воспроизводимость результата.

Исследование - поиск информации по какой-либо проблеме, за которым следует ее обобщение (написание исследовательской работы или заключения). Исследование предполагает работу с несколькими источниками информации и проведение собственных экспериментов.

Научное исследование- способ получения объективных знаний об окружающей действительности выступает.

Психологическое исследование − это способ научного познания сущности психических явлений и их закономерностей.

В своей работе за основное мы взяли следующее определение: Исследование - форма познания реальности, которая опирается на методологию конкретной науки, имеет четкие цели, гипотезы и направлена на решение конкретных задач.

 

.2 Виды психологических исследований


В психологической науке выделяют несколько видов исследования. Мы будем придерживаться классификации видов психологического исследования, предложенной В.Н. Дружининым.

По способу организации: эмпирическое и теоретическое исследования, но стоит разметить, что это разграничение является условным. Как правило, большинство исследований имеет теоретико-эмпирический характер.

Ведущим методом познания теоретического исследования является рассуждение, обобщение, классификация, а эмпирического - эмпирические методы сбора информации, методы активного воздействия. Цель теоретического исследования - получение обобщенного знания о каком-либо психологическом явлении. Базируется это исследование на уже имеющихся в науке описаниях и объяснениях фактов психической жизни, выдвинутых ранее гипотезах и предположениях. В зависимости от исследовательской задачи и претензий ученого, его квалификации и способностей и в немалой степени от удачи получают результат в виде более или менее стройных и доказательных обобщений. Уровень этих обобщений может быть различным: гипотеза, концепция, теория. Ведущие методы теоретического исследования - работа с соответствующими публикациями и научные дискуссии и консультации, неэкспериментальное моделирование, классификация, систематизация.

Эмпирическое исследование имеет своей целью получение фактического материала, впоследствии либо обобщаемого теоретическими проработками, либо используемого в прикладных целях. Ведущие методы - наблюдение, эксперимент, тестирование, опрос, беседа, моделирование. На выходе стремятся получить предельно строгое описание психологического факта, для чего очень тщательно ведется сбор данных об изучаемом явлении. Обычно эти данные имеют массовый характер (получают их путем многократных обращений к объекту исследования), что при грамотном использовании математического аппарата при их обработке повышает надежность конечных результатов.

Исследования по их характеру можно разделить на фундаментальные и прикладные, монодисциплинарные и междисциплинарные, аналитические и комплексные и т. д. Фундаментальное исследование направлено на познание реальности без учета практического эффекта от применения знании, а также на выявление общих и специфических закономерностей строения психики, разработку методологического аппарата. Прикладное исследование проводится в целях получения знания, которое должно быть использовано для решения конкретной практической задачи. Монодисциплинарные исследования проводятся в рамках отдельной науки (в данном случае - психологии). Как и междисциплинарные, эти исследования требуют участия специалистов различных областей и проводятся на стыке нескольких научных дисциплин. К этой группе можно отнести генетические исследования, исследования в области инженерной психофизиологии, а также исследования на стыке этнопсихологии и социологии. Комплексные исследования проводятся с помощью системы методов и методик, посредством которых ученые стремятся охватить максимально (или оптимально) возможное число значимых параметров изучаемой реальности. Однофакторное, или аналитическое, исследование направлено на выявление одного, наиболее существенного, по мнению исследователя, аспекта реальности.

Исследования по цели их проведения можно разделить на несколько типов. К первому типу относятся поисковые исследования. Второй тип - критические исследования. Они проводятся в целях опровержения существующей теории, модели, гипотезы, закона и пр. или для проверки того, какая из двух альтернативных гипотез точнее прогнозирует реальность. Большинство исследований, проводимых в науке, относится к уточняющим. Их цель - установление границ, в пределах которых теория предсказывает факты и эмпирические закономерности. Последний тип - воспроизводящее исследование. Его цель - точное повторение эксперимента предшественников для определения достоверности, надежности и объективности полученных результатов.

 

.3 Требование к результатам


Получаемый исследователем научный результат в идеале не должен зависеть от времени, т.е. явление, закономерность, закон инвариантны относительно времени. Исследователь должен быть убежден, что найденная им закономерность справедлива и для психического процесса который происходит у человека. В любом случае последовательность этапов решения задачи, а именно - постановка задачи, анализ условий, инкубация, выдвижение гипотез, функциональное решение, конкретное решение, проверка решения и доказательство, должна быть одной и той же.

Научное знание интерсубъективно-научный результат не должен зависеть от личности исследователя, его мотивов, намерений, интуиции и т.д. Научное знание не объективно в том смысле, что может существовать без его носителей, без людей, обладающих квалификацией и способностями понимать и добывать это знание, оно имеет объективный источник - внешний по отношению к субъекту познания мир.

Итак, научный результат должен быть инвариантным относительно пространства, времени, типа объектов и типа субъектов исследования, то есть объективным.

Все выше перечисленные требования по В.Н. Дружинину, относятся к идеальному исследованию и его идеальному результату. Реальное исследование не может (да и не должно) полностью соответствовать идеальному. Отклонения от идеального исследования, которые в процессе деятельности психолога возникают неизбежно, порождены особенностями мира, в котором мы живем. Для уменьшения влияния отклонений идеального исследования от реального используются особые методы планирования исследования и обработки полученных данных.

1.4 Специфика ПИ с учётом специфики психики


Специфика психологического исследования определяется спецификой предмета психологии - психика человека. Мы придерживаемся естественнонаучного подхода. Психика в естественнонаучном психологическом исследовании является объяснительным принципом, используемым для объяснения особенностей движения (поведения, действия, активности и т.д.) некоторых живых систем, отличающихся от движения систем физических (или же - низших органических).

Психолог-естественник изучает психику в ее отношениях с природной средой (отражение), в отношениях с системой (регуляция поведения) и в отношениях с социальной средой - с другим человеком (коммуникация).

Психолог, исследующий психическую реальность естественнонаучным методом, т.е. рассматривающий психику как составную часть объективной реальности, вынужден выделять в последней носителя психики. Последующее членение объективной реальности осуществляется на основе критерия взаимодействия. Та часть объективной реальности, которая непосредственно взаимодействует с выделенной системой, определяется как среда, а остальная часть, взаимодействующая с системой опосредованно через среду, обычно не рассматривается. Тем самым исследователь первоначально работает с двумя компонентами: системой и ее средой и отношением между ними. Отношение это определяется как взаимодействие и включает в себя отношения системы к среде и среды к системе. Отношения взаимодействия являются основным материалом для любого психологического анализа.

психологический гипотеза интерпретация статистический

 

2. Этапы психологического исследования

 

.1 Подготовительный этап

 

.1.1 Постановка проблемы (определение, виды)

Постановка проблемы - начало любого исследования. Научная проблема формируется в терминах определенной научной отрасли. Она должна быть операционализированной. Постановка проблемы влечет за собой формулировку гипотезы. В науке формулирование проблемы - обнаружение «дефицита», нехватки информации для описания или объяснения реальности. Способность обнаружить «белое пятно» в знаниях о мире - одно из главных проявлений таланта исследователя.

Этапы порождения проблемы:

выявление нехватки в научном знании о реальности;

описание проблемы на уровне обыденного языка;

формулирование проблемы в терминах научной дисциплины.

Проблема - это риторический вопрос, который исследователь задает природе, но отвечать на него должен он сам.

Проблемы подразделяются на реальные проблемы и «псевдопроблемы», которые кажутся значимыми. «Псевдопроблемы» обычно являются надуманными, искусственными. Кроме того, выделяется класс неразрешимых проблем (превращение ртути в золото, создание «вечного двигателя» и пр.) Доказательство неразрешимости проблемы само по себе является одним из вариантов ее решения. Выделяют также: «вечные», теоретические, практические проблемы. «Вечные» проблемы не могут быть решены, их пытается решить каждое поколение.

Таким образом, именно недостаточность знаний, информации, противоречивость научных представлений в общественной практике или в результате научного исследования создают условия для появления и формулировки научной проблемы.

.1.2 Выработка гипотезы (определение, виды, признаки правильной формулировки)

Гипотеза - это научное предположение, вытекающее из теории, которое еще не подтверждено и не опровергнуто.

В методологии науки различают теоретические гипотезы и гипотезы как эмпирические предположения, которые подлежат экспериментальной проверке. Первые входят в структуры теорий в качестве основных частей. Теоретические гипотезы выдвигаются для устранения внутренних противоречий в теории либо для преодоления рассогласований теории и экспериментальных результатов и являются инструментом совершенствования теоретического знания. Научная гипотеза должна удовлетворять принципам фальсифицируемости (если в ходе эксперимента она опровергается) и верифицируемости (если в ходе эксперимента она подтверждается).

Для науки наибольший интерес вызывает второй тип гипотез - предположения, выдвигаемые для решения проблемы методом экспериментального исследования. Это экспериментальные гипотезы, которые не обязательно должны основываться на теории.

Три типа гипотез по их происхождению:

·        Гипотезы первого типа основываются на теории или модели реальности и представляют собой прогнозы, следствия этих теорий или моделей (так называемые теоретически обоснованные гипотезы). Они служат для проверки следствий конкретной теории или модели.

·        Второй тип - научные экспериментальные гипотезы, также выдвигаемые для подтверждения или опровержения тех или иных теорий, законов, ранее обнаруженных закономерностей или причинных связей между явлениями, но не основанные на уже существующих теориях.

·        Третий тип - эмпирические гипотезы, которые выдвигаются безотносительно какой-либо теории, модели, то есть формулируются для данного случая.

По содержанию гипотез их можно разделить на гипотезы о наличии: А) явления; Б) связи между явлениями; В) причинной связи между явлениями.

Исследователи различают научные и статистические гипотезы. Научные гипотезы формулируются как предполагаемое решение проблемы. Статистическая гипотеза - утверждение в отношении неизвестного параметра, сформулированное на языке математической статистики.

В ходе организации эксперимента количество гипотез ограничивают до двух: основной и альтернативной, что и воплощается в процедуре статистической интерпретации данных. Эта процедура сводима к оценке сходств и различий. При проверке статистических гипотез используются лишь два понятия: Н1 (гипотеза о различии) и Н0 (гипотеза о сходстве). Как правило, ученый ищет различия, закономерности. Подтверждение первой гипотезы свидетельствует о верности статистического утверждения Н1, а второй - о принятии утверждения Н0 - об отсутствии различий.

Итак, экспериментальная гипотеза служит для организации эксперимента, а статистическая - для организации процедуры сравнения регистрируемых параметров. Гипотезы, не опровергнутые в эксперименте, превращаются в компоненты теоретического знания о реальности: факты, закономерности, законы.

.        Операционализированна (адекватно отвечает на поставленный вопрос).

.        Не должна противоречить фактам.

.        Доступна для проверки.

2.1.3 Определение предмета, объекта, цели и задач (определение, функции и т.д.)

Под объектом понимается тот фрагмент реального мира, на который направляются исследовательские действия и усилия.

Объект ПИ - психическая реальность, в состав которой входит предмет.

Объект ПИ - тип испытуемого, конкретная выборка испытуемых

Предмет исследования определяет аспект изучения выбранного объекта и специфику исследования. Предметом психологического изучения выступает психика в целом или ее отдельные стороны и проявления. Это могут быть психические свойства, процессы, состояния.

Цель ПИ - тот результат, который мы ожидаем получить, чтобы ответить на поставленные вопросы. Цель исследования - это обоснованное представление об общих конечных или промежуточных результатах поиска.

Задачи ПИ определяют порядок реализации цели, то есть порядок проведения, этапы исследования, характер результатов. Представляют собой этап достижения цели.

Необходимо различать научные и ненаучные (процессуальные) задачи. Процессуальные носят вспомогательный характер, так как помогают решать научные задачи.

 

.1.4 Характеристика переменных (виды, понятия, соотношения, варьирование и т.д.)

Выделяют 3 группы переменных:

независимые (выбирает сам исследователь и воздействует на зависимые переменные),

зависимые - это такие переменные, которые изменяются под влиянием независимой переменной.

случайные

Исследователь сам варьирует независимую переменную, регистрирует изменение зависимой переменной и контролирует внешние (побочные) переменные. Среди внешних переменных выделяют: 1) побочные переменные, которые порождают систематическое смешение, ведущее к появлению ненадежных данных (фактор времени, фактор задачи, индивидуальные особенности испытуемых); 2) дополнительную переменную, которая существенна для изучаемой связи между причиной и следствием. При проверке частной гипотезы уровень дополнительной переменной должен соответствовать ее уровню в изучаемой реальности. Контрольной переменной называется дополнительная переменная, которая в факторном эксперименте становится второй основной.

Исследователи различают разные виды независимой переменной: качественную («есть подсказка» - «нет подсказки»), количественную (уровень денежного вознаграждения).

Среди зависимых переменных выделяются базисные. Базисная переменная - единственная зависимая переменная, на которую оказывает влияние независимая переменная.

Исследователь должен стремиться оперировать в исследовании только независимой переменной. Центральная проблема при проведении практического исследования - выделение независимой переменной и ее изоляция от других переменных.

В качестве независимых переменных в психологическом исследовании могут выступать:

) характеристики заданий;

) особенности ситуации (внешние условия);

) управляемые особенности (состояния) испытуемого.

Иногда выделяют четвертый вид переменных - константные характеристики испытуемого (интеллект, пол, возраст и т. д.), на них нельзя воздействовать, а можно лишь учесть их уровень при формировании экспериментальных и контрольных групп.

К «организменным переменным», или неуправляемым характеристикам испытуемых, относятся физические, биологические, психологические, социально-психологические и социальные признаки.

Зависимая переменная - психологи имеют дело с поведением испытуемого, поэтому в качестве зависимой переменной выбираются параметры вербального и невербального поведения. Исследователь должен максимально конкретизировать гипотезу, т.е. добиться того, чтобы зависимая переменная была операционализирована - поддавалась регистрации в ходе эксперимента. Зависимая переменная должна быть валидной и надежной. Надежность переменной проявляется в устойчивости ее регистрируемости при изменении условий эксперимента в течение времени. Валидность зависимой переменной определена только в конкретных условиях эксперимента и применительно к определенной гипотезе. Существует еще одно важное свойство зависимой переменной, а именно - сензитивность (чувствительность) зависимой переменной к изменениям независимой.

2.1.5 Определение качественного и количественного состава выборки испытуемых и подбор методик

Выборка - множество испытуемых, выбранных для участия в исследовании с помощью определенной процедуры из генеральной совокупности.

Численность экспериментальной выборки. В зависимости от целей и возможностей она может варьировать от одного испытуемого до нескольких тысяч человек. Количество испытуемых в отдельной группе (экспериментальной или контрольной) в большинстве экспериментальных исследований варьирует от 1 до 100. Рекомендуется, чтобы численность сравниваемых групп была не менее 30-35 человек из соображении статистических: коэффициенты корреляции выше 0,35 при таком количестве испытуемых значимы при а = 0,05. Что касается состава по полу и возрасту, то рекомендуется (кроме специальных случаев) разбивать общую группу на подгруппы мужчин и женщин и обрабатывать данные отдельно для каждой подгруппы. Возрастной состав определяется исходя из целей исследования.

Выбор методов исследования обусловлен особенностями объекта и предмета исследования и поставленными целями. Ограничения, связанные с возможностью реализовать конкретные методики, нередко заставляют по-новому определять предмет исследования и пересматривать цели.

При выборе методик следует учитывать возможности и ограничения каждой входящей в набор методики по точности и надежности фиксации выраженности исследуемых качеств. Следует отдавать предпочтение тем методикам, которые достаточно полно описаны в руководствах по их применению. Очень важна степень разработанности методики. В руководстве должны быть представлены развернутые интерпретации шкал, описана апробация методики, отражены количественные и качественные результаты апробации, даны рекомендации относительно формы и содержания заключения и другие необходимые составляющие руководства в соответствии с требованиями стандартов.

При составлении набора методик целесообразно руководствоваться принципом дополнения. Друг друга должны дополнять данные качественного и количественного характера, субъективные и объективные показатели. Более надежные выводы получаются, когда научные факты, полученные по одному методу, одной методике, могут быть подтверждены, продублированы данными, полученными по другим методам и по другой методике

 

.2 Проведение эмпирического исследования (взаимодействие исследователя и испытуемых, инструкция и её функции, способы доведения стимульного материала, способы проведения и т.д.)


В начале проведения диагностики исследователь должен поприветствовать испытуемых, представиться, рассказать об исследовании, о его цели, и ввести этические нормы (о неразглашении личной информации, анонимности и пр.). А так же зачитать или предоставить инструкцию к методикам (если исследование групповое). В инструкции ставится задача испытуемому, который должен ее понять и принять. При организации исследования есть разделение инструкции на возрастные характеристики, в соответствии с ними дается адаптированный вариант инструкции (все эти моменты предусмотрены методикой). Наконец, возможна ситуация, когда испытуемый не знает, что над ним проводится психологическое исследование. Разумеется, здесь возникает этическая проблема, но иногда (в судебно-психологической практике, в детской, медицинской, социальной психологии и т. д.) это единственно возможный способ провести исследование и избавиться от «реакции на эксперимент» со стороны испытуемых. При этом общение испытуемого и исследователя, в какой бы форме оно ни протекало, является неотъемлемой частью любого исследования в психологии. Это точно отметил Б.Ф. Ломов: «Человек активен. Включаясь в эксперимент, испытуемый не просто реагирует на экспериментальные внешние воздействия и решает те или иные задачи, выполняет определенную деятельность. В исследовании проявляются его установки, интересы, личностные ориентации, субъективные отложения.

Далее испытуемым раздается стимульный материал (индивидуальные пустые бланки), дальнейшее вмешательство исследователя запрещено, т.к. это может отразиться на результатах.

После завершения выполнения методик исследователем собираются и сортируются бланки.

Исследователь должен поблагодарить испытуемых за участие в исследовании.

3. Заключительный этап

 

.1 Первичная статистическая обработка


Все методы математико-статистического анализа условно делятся на первичные и вторичные. Первичными называют методы, с помощью которых можно получить показатели, непосредственно отражающие результаты производимых в эксперименте измерений. Соответственно под первичными статистическими показателями имеются в виду те, которые применяются в самих психодиагностических методиках и являются итогом начальной статистической обработки результатов психодиагностики.

К первичным методам статистической обработки относят, например, определение выборочной средней величины, выборочной дисперсии, выборочной моды и выборочной медианы. В число вторичных методов обычно включают корреляционный анализ, регрессионный анализ, методы сравнения первичных статистик у двух или нескольких выборок.

Рассмотрим методы вычисления элементарных математических статистик.

Мода - количественное значение исследуемого признака, наиболее часто встречающееся в выборке. Для симметричных распределений признаков, в том числе для нормального распределения, значение моды совпадает со значениями среднего и медианы.

Медиана - значение изучаемого признака, которое делит выборку, упорядоченную по величине данного признака, пополам. Справа и слева от медианы в упорядоченном ряду остается по одинаковому количеству признаков. Если ряд включает в себя четное число признаков, то медианой будет среднее, взятое как полусумма величин двух центральных значений ряда. Знание медианы полезно для того, чтобы установить, является ли распределение частных значений изученного признака симметричным и приближающимся к так называемому нормальному распределению. Средняя и медиана для нормального распределения обычно совпадают или очень мало отличаются друг от друга. Если выборочное распределение признаков нормально, то к нему можно применять методы вторичных статистических расчетов, основанные на нормальном распределении данных. В противном случае этого делать нельзя, так как в расчеты могут вкрасться серьезные ошибки.

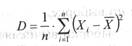
Выборочное среднее (среднее арифметическое) значение как статистический показатель представляет собой среднюю оценку изучаемого в эксперименте психологического качества. Эта оценка характеризует степень его развития в целом у той группы испытуемых, которая была подвергнута психодиагностическому обследованию. Сравнивая непосредственно средние значения двух или нескольких выборок, мы можем судить об относительной степени развития у людей, составляющих эти выборки, оцениваемого качества.

Выборочное среднее определяется при помощи следующей формулы:


где х - выборочная средняя величина или среднее арифметическое значение по выборке; n - количество испытуемых в выборке или частных психодиагностических показателей, на основе которых вычисляется средняя величина; хk - частные значения показателей у отдельных испытуемых. Всего таких показателей n, поэтому индекс k данной переменной принимает значения от 1 до n; ∑ - принятый в математике знак суммирования величин тех переменных, которые находятся справа от этого знака. Выражение соответственно означает сумму всех х с индексом k, от 1до n.

Разброс (размах) выборки обозначается буквой R. Это разность между максимальной и минимальной величинами данного конкретного вариационного ряда, т.е. R= хmax - хmin . Чем сильнее варьирует измеряемый признак, тем больше величина R, и наоборот. Однако может случиться так, что у двух выборочных рядов и средние, и размах совпадают, однако характер варьирования этих рядов будет различный. При равенстве средних и разбросов для этих двух выборочных рядов характер их варьирования различен. Для того чтобы более четко представлять характер варьирования выборок, следует обратиться к их распределениям.

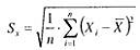
Дисперсия - это среднее арифметическое квадратов отклонений значений переменной от её среднего значения. Дисперсия как статистическая величина характеризует, насколько частные значения отклоняются от средней величины в данной выборке. Чем больше дисперсия, тем больше отклонения или разброс данных.


где 5 - выборочная дисперсия, или просто дисперсия;

- выражение, означающее, что для всех х, от первого до последнего в данной выборке необходимо вычислить разности между частными и средними значениями, возвести эти разности в квадрат и просуммировать;

п - количество испытуемых в выборке или первичных значений, по которым вычисляется дисперсия. Однако сама дисперсия, как характеристика отклонения от среднего, часто неудобна для интерпретации. Для того, чтобы приблизить размерность дисперсии к размерности измеряемого признака применяют операцию извлечения квадратного корня из дисперсии. Полученную величину называют стандартным отклонением.

Из суммы квадратов, делённых на число членов ряда извлекается квадратный корень.


Иногда исходных частных первичных данных, которые подлежат статистической обработке, бывает довольно много, и они требуют проведения огромного количества элементарных арифметических операций. Для того чтобы сократить их число и вместе с тем сохранить нужную точность расчетов, иногда прибегают к замене исходной выборки частных эмпирических данных на интервалы. Интервалом называется группа упорядоченных по величине значений признака, заменяемая в процессе расчетов средним значением.

3.2 Сравнительный анализ (критерии значимости отличий)


Критерии значимости различий можно разделить на параметрические и непараметрические.

Среди непараметрических критериев самыми используемыми критериями являются:

критерий Вилкоксона для связанных выборок и критерий

критерий Манна-Уитни для несвязанных выборок.  Среди параметрических критериев в психологии чаще всего применяют два вида статистических критериев:

t - критерий Стьюдента - для сравнительной оценки средних величин

F - критерий Фишера (при условии нормального распределения изучаемой переменной) - для сравнительной оценки дисперсий.

3.3 Интегральные (системные) методы обработки данных


Внедрение в научные исследования вычислительной техники позволяет быстро и точно определять любые количественные характеристики любых массивов данных. Разработаны различные программы, по которым можно проводить соответствующий статистический анализ практически любых выборок. Из массы статистических приемов в психологии наибольшее распространение получили следующие:

факторный,

регрессионный,

кластерный,

дисперсионный.

Корреляционный анализ - Сводится к вычислению коэффициентов корреляции в самых разнообразных соотношениях между переменными. Соотношения задаются исследователем, а переменные равнозначны, т. е. что являются причиной, а что следствием, установить через корреляцию невозможно. Кроме тесноты и направленности связей метод позволяет установить форму связи (линейность, нелинейность). Надо заметить, что нелинейные связи не поддаются анализу общепринятыми в психологии математическими и статистическими методами.

Дисперсионный анализ- этот метод позволяет выявлять не только взаимосвязь, но и зависимости между переменными, т. е. влияние различных факторов на исследуемый признак. Это влияние оценивается через дисперсионные отношения. Изменение изучаемого признака (вариативность) может быть вызвано действием отдельных известных исследователю факторов, их взаимодействием и воздействиями неизвестных факторов. Дисперсионный анализ позволяет обнаружить и оценить вклад каждого из этих влияний на общую вариативность исследуемого признака. Таким образом, дисперсионный анализ - это «исследование влияния переменных факторов на изучаемую переменную по дисперсиям».

Факторный анализ-Метод позволяет снизить размерность пространства данных, т. е. обоснованно уменьшить количество измеряемых признаков (переменных) за счет их объединения в некоторые совокупности, выступающие как целостные единицы, характеризующие изучаемый объект. Эти составные единицы и называют в данном случае факторами, от которых надо отличать факторы дисперсионного анализа, представляющие собой отдельные признаки (переменные). Основой анализа является матрица корреляций, т. е. таблицы коэффициентов корреляции каждого признака со всеми остальными (принцип «все со всеми»). В зависимости от числа факторов в корреляционной матрице различают однофакторный (по Спирмену), бифакторный (по Холзингеру) и многофакторный (по Тёрстону) анализы. По характеру связи между факторами метод делится на анализ с ортогональными (независимыми) и с облическими (зависимыми) факторами.

Регрессионный анализ-метод позволяет изучать зависимость среднего значения одной величины от вариаций другой (других) величины. Специфика метода заключается в том, что рассматриваемые величины (или хотя бы одна из них) носят случайный характер. Тогда описание зависимости распадается на две задачи: 1) выявление общего вида зависимости и 2) уточнение этого вида путем вычисления оценок параметров зависимости.

 

.4 Способы представления данных


Завершением любой исследовательской работы является представление результатов. Условно вид представления научных результатов можно разделить на три подвида: 1) устные изложения; 2) публикации; 3) компьютерные версии. Но все они относятся к тем или иным вариантам представления текстовой, символической и графической информации.

Варианты представления информации: вербальная форма (текст, речь), символическая (знаки, формулы), графическая (схемы, графики), предметно-образная (макеты, вещественные модели, фильмы и др.).

Главное требование к научному тексту - последовательность и логичность изложения.

Следующая форма описания результатов - геометрическая. Геометрические (пространственно-образные) описания являются традиционным способом кодирования научной информации. Геометрическое описание наглядно. Оно позволяет одновременно представить систему отношений между отдельными переменными, исследуемыми в эксперименте.

В психологии используется несколько основных форм графического представления научной информации опирающиеся на характеристики топологические и метрические. Один из традиционных способов представления информации, использующих топологические характеристики, - это графы. Графом является множество точек (вершин), соединенных ребрами (ориентированными или неориентированными отрезками). Различают графы планарные и пространственные, ориентированные (отрезки-векторы) и неориентированные, связные и несвязные.

Чаще всего ориентированные графы используются при описании системы причинных зависимостей между независимой, дополнительными и зависимой переменными. Неориентированные графы применяются для описания системы корреляционных связей между измеренными свойствами психики. «Вершинами» обозначаются свойства, а «ребрами» - корреляционные связи. Характеристика связи обычно кодируется разными вариантами изображения ребер графа. Положительные связи изображаются сплошными линиями (или красным цветом), отрицательные связи - пунктиром (или синим цветом). Сила и значимость связи кодируются толщиной линии. Наиболее весомые признаки (с максимальным числом значимых связей с другими) помещаются в центре. Признаки, имеющие меньший «вес», располагаются ближе к периферии.

Для первичного представления данных используются другие графические формы: диаграммы, гистограммы и полигоны распределения, графики, а также таблицы.

Первичным способом представления данных является изображение распределения. Для отображения распределения значений измеряемой переменной на выборке используют гистограммы и полигоны распределения. Гистограмма - это «столбчатая» диаграмма частотного распределения признака на выборке. Используется декартова система координат. При построении гистограмм на оси абсцисс откладывают значения измеряемой величины, а на оси ординат - частоты или относительные частоты встречаемости данного диапазона величины в выборке. Если на гистограмме отображены относительные частоты, то площадь всех столбиков равна 1.

В полигоне распределения количество испытуемых, имеющих данную величину признака (или попавших в определенный интервал величины), обозначают точкой с координатами: Х- градация признака, Y- частота (количество людей) конкретной градации или относительная частота (отнесение количества людей с этой градацией признака ко всей выборке). Точки соединяются отрезками прямой. Перед тем как строить полигон распределения, или гистограмму, исследователь должен разбить диапазон измеряемой величины, если признак дан в шкале интервалов или отношений, на равные отрезки. Рекомендуют использовать не менее 5, но не более 10 градаций.

Вариантом отображения информации, переходным от графического к аналитическому, являются в первую очередь графики, представляющие функциональную зависимость признаков. Условно выделим два различных по содержанию типа графиков: 1) отображающие зависимость изменения параметров во времени; 2) отображающие связь независимой и зависимой переменных (или любых двух других переменных).

Рекомендаций по построению графиков:

. График и текст должны взаимно дополнять друг друга.

. График должен быть понятен «сам по себе» и включать все необходимые обозначения.

. На одном графике не разрешается изображать больше 4кривых.

. Надписи на осях следует располагать внизу и слева.

. Точки на разных линиях принято обозначать кружками, квадратами и треугольниками.

. Каждая ось и линия имеет название.

Табличное представление результатов.

Таблица имеет название, номер (всегда пишется сверху). Каждая строка и столбик имеет название.

4.     
Проблема интерпретации (определение, виды, функции и т.д.)


Интерпретация - объяснение полученных статистических результатов с точки зрения психологической тории. В основе лежат базовые теории: поведенческое, гуманистическое, гештальт-психологическое, социологическое, биологическое, социально-биологическое.

Интерпретация - сложная операция объяснения данных, требующая от исследователя глубоких теоретических знаний и практического социального опыта, научной объективности и творческой интуиции, гражданской ответственности и непредвзятости.

Правильная интерпретация информации позволяет исследователю сделать объективные обобщения и выводы, предложить соответствующие рекомендации, обосновать возможности их внедрения, выстроить прогнозы развития событий. Интерпретация соответствует реальному положению вещей только в том случае, ест и на всех этапах исследования соблюдаются необходимые научные требования и этические нормы.

При рассмотрении процедур интерпретации понятий и данных обычно выделяют три вида интерпретации понятий: теоретический, эмпирический и операциональный. Для теоретического вида интерпретации понятий характерны: связь с более общими понятиями.

Процедуры теоретической интерпретации:

. Предварительное выделение опорных понятий, составляющих концептуальную схему исследования.

. Определение их общего содержания через установление их логической связи с понятиями и категориями общей и отраслевой социологии, других наук, изучающих предметную область исследования.

. Конкретизация опорных понятий через понятия меньшей степени общности, отражающих предметную область исследования.

. Уточнение логической связи выделенных понятий. Проверка их полноценности, способности адекватно выразить смысловое содержание объекта, предмета, целей, задач, гипотез. Проверка непротиворечивости определений понятий по отношению к предмету исследования.

. Построение схемы опорных понятий для их эмпирической интерпретации.

Требования к теоретической интерпретации:

. Соответствие определений используемых понятий категориям психологии, других наук, изучающих эту область предмета.

. Ориентация на существенные признаки понятий, на проблемное содержание исследуемого процесса, системные характеристики объекта.

. Необходимость выделения особенностей объекта, проблемы, предмета исследования.

. Целостность интерпретации. Интерпретируется не одно понятие, а вся концептуальная схема. Необходима логическая связь понятий. Непротиворечивость понятий по отношению к предмету исследования и друг к другу.

. Соответствие процедур теоретической интерпретации логическим правилам.

. Терминологическая и лексическая точность определений, отсутствие двусмысленности понятий. Лаконичность, выразительность определений. Доступность их использования на всех этапах исследования.

. Возможность их последующей эмпирической интерпретации.

Процедуры этапа интерпретации данных

. Интерпретация индексов, показателей в ходе проверки эмпирических, статистических гипотез.

. Интерпретация эмпирически проверяемых гипотез, фактов.

. Интерпретация в процессе обобщения выводов.

Выделяют уровни интерпретации данных экспериментального исследования психики:

содержательный, который предусматривает качественный анализ совокупности эмпирических объектов (например, участников малой группы) и отношений между ними (например, межличностных взаимоотношений), построение модели реальности (например, социометрическую);

формальный, который состоит в количественном анализе совокупности результатов измерений, когда каждому объекту приписывается определенный формальный символ (как правило, число) таким образом, чтобы связи между элементами системы отображали соответствующие отношения между эмпирическими объектами (например, количество выборов в группе определенного ее члена соотносится с его статусом в этой группе).

Составляющими интерпретационного этапа экспериментального исследования в психологии - обработка данных, их объяснение и обобщение.

Обработка данных в целом направлена на переведение «сырых» данных в значащие результаты, поиск основных параметров распределения данных - показателей центральной тенденции (моды, медианы, среднего арифметического и т.п.) и дисперсии значений вокруг этой центральной тенденции.

Первым шагом обработки есть упорядочения данных, то есть их классификация и группирования через табулирование (составление таблиц, в которых результаты разбитые по группам «сырых» значений, частот или процентов), геометрическое изображение зависимостей между сменными (построение полигонов частот, гистограмм, графиков, графов, диаграмм и т.п.).

Дальше, как правило, проводится статистическая обработка данных. В частности, в функциональных экспериментах на основе графического изображения данных проводится поиск закона, который связывает зависимую и независимую сменные: в = (х), (как, например, закон Вебера-Фехнера, что связывает интенсивность раздражителя и силу ощущения).

Кроме того, осуществляется поиск значащих отличий с целью вывода о невозможности принятия или отклонение статистической нуль-гипотезы или установление наличия и интенсивности связи между сменными. За необходимости проводится факторный, кластерный, дисперсионный анализ и т.п.

Заключение


В своей работе мы систематизировали и объединили всю необходимую информацию по исследуемой проблеме. А так же добились личностно значимого результата: были освежены в памяти основные моменты построения исследования, а так же углублены знания, на основе имеющегося опыта.

Цель работы, которая заключалась в том, чтобы рассмотреть организацию, планирование, проведение эмпирического исследования была достигнута путем анализа научной литературы и привлечения собственного опыта.

В соответствии с целью исследования нами были решены следующие задачи:

.        На основе изучения литературы по теме реферата мы определили понятие, виды, а также специфику психологического исследования в отечественной и зарубежной литературе.

.        Проанализировали основные требования к результатам исследования, выявили специфику.

.        Определили и охарактеризовали основные этапы психологического исследования.

Данная работа ценна тем, что в ней качественно отражены все необходимые элементы для написания грамотной магистерской диссертации.

Список литературы


1. Бурлачук Л.Ф., Морозов С.М. Словарь-справочник по психодиагностике. - СПб.: Питер, 1999.

. Ганзен В.А., Багин В.Д. Теория и методология психологического исследования. Практическое руководство. - СПб., 1991.

. Гласе Дж., Стенли Дж. Статистические методы в педагогике и психологии. - М.: Прогресс, 1976.

. Готтсданкер Р. Основы психологического эксперимента: Учебное пособие. Пер. с англ. - М., 1982.

. Давыдов В.В. Проблемы развивающего обучения. - М.: Просвещение, 1986.

. Дружинин В.Н. Экспериментальная психология: Учеб. пособие. - М.: ИНФРА, 1997.

. Дружинин В.И. Структура и логика психологического исследования. - М., 1993.

. Забродин Ю.М. Психологический эксперимент: специфика, проблемы, перспективы развития. //История становления и развития экспериментальной психологии. - М., 1990.

. Загвязинский В.И., Атаханов Р. Методология и методы психолого-педагогического исследования: Учеб. пособие для студентов высших учебных заведений. - М.: Изд. центр «Академия», 2001. - 208 с.

. Карандашев В.Н. Психология: Введение в профессию. - М.: Смысл, 2000.

. Корнилова Т.В. Введение в психологический эксперимент: Учебник. - М.: Изд-во Моск. ун-та; ЧеРо, 1997.

. Крылов А.А., Юрьев А.И. Этические принципы и правила работы психолога // Практикум по общей, экспериментальной психологии

. Куликов Л.В. Психологическое исследование: методические рекомендации по проведению. - СПб., 1994.

. Методические рекомендации по организации и проведению практики для студентов по направлению 521000 и 020400 «Психология» /Под ред. О.Г. Посыпанова. - Калуга:КГПУ им. К.Э. Циолковского, 2002. - 136 с.

. Немов Р.С. Психология: Учеб. для студентов высш. пед. учеб, заведений: В 3 кн. Кн. 3: Психодиагностика. Введение в научное психологическое исследование с элементами математической статистики. - 3-е изд. - М.: Гуманит. изд. центр ВЛАДОС, 1998.

. Общий практикум по психологии: психологический эксперимент. Ч. 1. Методические указания. /Под ред. М.Б. Михалевского. - М., 1985.

. Практикум по общей, экспериментальной и прикладной психологии: Учеб. пособие / В.Д. Балин, В.К. Гайда, В.К. Горбачевский и др. / Под общей ред. А.А. Крылова, С.А. Маничева. - СПб.: Питер, 2000.

. Сидоренко Е.В. Методы математической обработки в психологии. -СПб.: Речь, 2001.

Похожие работы на - Организация, планирование и проведение психологического исследования

 

Не нашли материал для своей работы?
Поможем написать уникальную работу
Без плагиата!
Без нейросетей!