Расчет электропривода вихревого насоса

  • Вид работы:
    Курсовая работа (т)
  • Предмет:
    Другое
  • Язык:
    Русский
    ,
    Формат файла:
    MS Word
    428,68 Кб
  • Опубликовано:
    2014-10-01
Вы можете узнать стоимость помощи в написании студенческой работы.
Помощь в написании работы, которую точно примут!

Расчет электропривода вихревого насоса

Федеральное государственное бюджетное образовательное учреждение высшего профессионального образования

«Оренбургский государственный аграрный университет»

Инженерный факультет

Кафедра «Электротехнологии и электрооборудование»


КУРСОВАЯ РАБОТА

по дисциплине: «Электропривод»

на тему: «Расчет электропривода вихревого насоса»

Выполнил: студент 31 группы

Наумцев Д.А.







Оренбург 2015 г.

Задание


Рассчитать привод вихревого насоса, имеющий технические и эксплуатационные данные (Таблица № 1)

Таблица № 1 Технические и эксплуатационные данные.

Номинальная частота вращения приводного вала

2500 об/мин

Вид передачи

клиноременная

Данные нагрузочной диаграммы



Время работы

142 мин

Время отключения состояния

3 мин

Время холостого хода

8 мин

Момент инерции рабочей машины

0,0171

Температура окружающей среды



Введение


Электрическим приводом (ЭП) называют электромеханическую систему, состоящую в обобщенном виде из электродвигательного, преобразовательного, передаточного и управляющего устройств и предназначенную для приведения в движение исполнительных органов машины и управления этим движением. Основное назначение ЭП как технологической установки-преобразование электрической энергии в механическую энергию движения исполнительных органов машин и механизмов. В отдельных случаях при реализации генераторных режимов торможения возможно и обратное преобразование энергии.

ЭП применяют в различных отраслях сельского хозяйства, а также во вспомогательных производствах, в том числе по обслуживанию и ремонту сельскохозяйственной техники, по первичной обработке разнообразной продукции. Наиболее широко его используют в стационарных процессах производства, и прежде всего в животноводстве и птицеводстве. Именно в этих отраслях сельскохозяйственного производства ЭП имеет наиболее высокий уровень автоматизации в системах отопления и вентиляции, в установках водоснабжения, приготовления и раздачи кормов.

ЭП подразделяют на две части: энергетическую и информационную. Энергетическая часть ЭП состоит из преобразовательного, электродвигательного и передаточного устройств. Информационная часть представляет управляющее устройство, которое в ряде случаев классифицируется как информационно управляющее.

Основной тип ЭП, используемого в отраслях агропромышленного комплекса (АПК), асинхронный двигатель от десятка ватт до 200 кВт. В составе ЭП мобильных устройств с автономным аккумуляторным питанием, а также в качестве ЭП ручного электроинструмента широкое распространение получили коллекторные ЭП с питанием от источников постоянного или переменного тока.

В ЭП мощностью свыше 1000 кВт, используемых, например, в оросительных системах, для электропривода мощных компрессоров, преимущественно применяют синхронные электроприводы.

С развитием автоматизации управления технологическими процессами АПК нарастает потребность в регулируемых ЭП.

Современные системы ЭП максимально удовлетворяют требованиям технологическим машин, работающих в самых различных режимах по нагрузкам и частотам вращения. В них применяют специальные и встроенные ЭП с аппаратным или программным устройством управления.

Рассчитываемый производственный агрегат «Вихревой насос» относится к группе центробежных механизмов, которой присуще следующие характерные особенности:

·        вентиляторная или близкая к ней механическая характеристика нагрузки;

·        методы регулирования производительности (отдачи) и инерционных характеристики;

·        режимы работы и особенности автоматизации.

ЭП по сравнению с другими видами приводов обладает рядом преимуществ:

·        малый уровень шума при работе и отсутствие загрязнения окружающей среды;

·        широкий диапазон мощностей и угловых скоростей и угловых скоростей;

·        доступность регулирование угловой скорости и соответственно производительности технологических установок;

·        относительная простота автоматизации, монтажа и эксплуатации по сравнению с тепловыми двигателями, например внутреннего сгорания.

Также ЭП имеет и ряд недостатков, которые в большинстве случаев связаны с неправильной настройкой или долгим отсутствием автономного питания электронных механизмов. Основными недостатками ЭП относится:

·        Используемые электрические контакты в некоторых случаях являются источником радиопомех.

·        Присутствие в некоторых моделях хрупких электронных деталей, которые могут быть подвержены риском быть изношены в большей степени, чем детали других механических приводов.

·        Нельзя использовать электропривод в местах требующих отсутствие электротока

·        ЭП, нуждается в постоянном обслуживании, ввиду наличия большого количества узлов и деталей;

·        ЭП не может применяться при работе на объектах повышенной пожароопасности.

В настоящее время получили наибольшее применение асинхронные электродвигатели, так как они имеют простую конструкцию, малую сравнительную стоимость, надежны и удобны в монтаже и эксплуатации.

1. Технологическая и кинематическая схемы установки

 

.1 Кинематическая схема установки


Рисунок 1 Кинематическая схема ленточного транспортёра. 1 - двигатель; 2- клиноременная передача; 3 -вихревой насос.

 

.2 Описание технологической схемы


Вихревой насос 1 приводиться в движение с помощью электродвигателя 3 через кинематическую передачу 2. Воду из скважины вихревой насос 1 всасывает по трубопроводу и далее подается для потребителей.

Рисунок 2 Технологическая схема выкачивания воды из скважины 1 - вихревой насоса; 2 - кинематическая передача; 3 - электродвигатель.

Рабочее колесо вихревого насоса (рисунок № 3) представляет собой плоский диск с короткими радиальными прямолинейными лопатками, расположенными на периферии колеса.

При вращении колеса жидкость увлекается лопатками и одновременно под действием центробежной силы закручивается.

В вихревом насосе один и тот же объем жидкости, движущийся по винтовой траектории, на участке от входа в кольцевую полость до выхода из нее многократно попадает в межлопастное пространство колеса, где каждый раз получает дополнительное приращение энергии, следовательно, и напора.

Благодаря этому напор вихревых насосов в 2 - 4 раза больше, чем у центробежных насосов, при одном и том же диаметре рабочего колеса и угловой скорости.








Рисунок № 3 Схема вихревого насоса: 1 - рабочее колесо; 2 - корпус насоса; 3 - кольцевая полость; 4 - напорный патрубок; 5 - всасывающий патрубок; 6 - уплотняющий выступ

Достоинства вихревых насосов:

- имеют значительно меньшие размеры и массу по отношению к центробежным насосам при одинаковом развиваемом напоре;

обладают самовсасывающей способностью.

Недостатки вихревых насосов:

- сравнительно невысокий КПД;

быстрый износ деталей при работе с жидкостями, содержащими взвешенные твердые частицы.

2. Выбор электродвигателя

 

.1 Выбор по роду тока и значению напряжения


В связи с особенностями заданной технологической машины и технологического процесса, который она выполняет, а также наиболее распространённой в сельском хозяйстве сети 3-х фазного переменного тока напряжением 220/380 вольт выбираем асинхронный двигатель с короткозамкнутым ротором на номинально фазное напряжение 220 В.

Асинхронный двигатель с короткозамкнутым ротором обладает рядом преимуществ перед другими типами двигателей. Во первых, относительно малая стоимость, которая в 3…4 раза меньше стоимости двигателя постоянного тока на ту же частоту вращения. Во вторых, повышенная надежность из-за отсутствия подвижных сильноточных контактов. В третьих, относительно малые эксплуатационные затраты. И в четвертых, возможность прямого пуска, что значительно упрощает систему управления.

 

.2 Выбор по конструктивному исполнению и способу монтажа


С учётом конструктивных особенностей заданной рабочей машины, а именно того, что машина работает в условиях повышенной влажности, по способу монтажа выбирают электродвигатель с креплением на лапками с фланцем.

Заданные условия работы рабочей машины характеризуются повышенной влажностью. Поэтому выбираемый электродвигатель должен соответствовать климатическому исполнению и категории размещения ОМ (как с умеренно холодным, так и с тропическим морским климатом) и категории размещения 5 (для эксплуатации в помещениях с повышенной влажностью).

Для предотвращения соприкосновения с токоведущими и движущимися частями и попадания внутрь оболочки электродвигателя посторонних твёрдых тел электродвигатель должен иметь степень защиты 5 (защита от пыли), а от попадания внутрь полости электродвигателя воды - степени защиты не ниже 4(защита соответственно от дождя, брызг, водяных струй и волн). Рассчитываемый электродвигатель предназначен для работы в помещении с повышенной влажностью, поэтому для предотвращения попадания воды внутрь используем двигатель выбираем со степенью защиты IP 54.

2.3 Выбор по частоте вращения и возможности её регулирования


Для заданной машины требуется ступенчатое изменение частоты вращения. Поэтому предпочтение отдаем асинхронному электродвигателю, как наиболее надёжному и недорогому..

С учётом того, что заданная рабочая машина имеет частоту вращения больше 500 об/мин, не совпадающую со стандартной шкалой номинальных частот электродвигателей, принимаю частоту вращения идеального холостого хода электродвигателя равную 3000 об/мин.

2.4 Выбор электродвигателя по номинальной мощности

 

.4.1 Расчёт механической нагрузки рабочей машины и построение нагрузочной диаграммы

Определяю мощность на валу электродвигателя, необходимую для вращения приводного вала заданной рабочей машины на каждом из участков её нагрузочной диаграммы:






где  - мощности на валу электродвигателя соответственно на первом, втором и третьем участках нагрузочной диаграммы, Вт; -подача насоса на первом, втором и третьем участках нагрузочной диаграммы,  ; -давление, развиваемое насосом, м вод.ст, -плотность перекачиваемой жидкости, (для воды ); -КПД насоса, равный 0,3…0,5 для вихревых насосов, при чем большие значения КПД соответствует более мощным насосам (примем равным 0,5);-КПД механической передачи (для клиноременной 0,87…0,97).

По полученным результатам расчёта строим график зависимости мощности от времени в течение одного периода изменения нагрузки.

Рисунок 4 Фактическая  и аппроксимирующая ступенчатая  диаграммы нагрузки ЭП.

 

.4.2 Определение эквивалентной мощности

В связи с тем, что мощность на валу электродвигателя переменна, заменяю её постоянной мощностью, эквивалентной заменяемой мощности по величине средних потерь мощности в электродвигателе и, следовательно, по величине среднего превышения температуры двигателя над температурой окружающей среды:


где знасение показателя и продолжительности нагрузки для i-го участка нагрузочной диаграммы ЭП; m ─ число участков нагрузочной диаграммы (m=3).

2.4.3 Определение необходимой номинальной мощности электродвигателя, рассчитанного на режим, соответствующий режиму работы машины

Заданная рабочая машина работает длительном режиме S1, так как

Продолжительность работы:

Продолжительность отключения:

Продолжительность холостого хода:

Продолжительность одного цикла:


Для привода вихревого насоса следует использовать электродвигатель соответствующего режима нагрузки со стандартными параметрами, наиболее близкими к параметрам фактического режима. Номинальную каталожную мощность такого электродвигателя с учётом пересчёта эквивалентной мощности на стандартный режим определим по выражению


где длительность рабочего периода стандартная (при использовании электродвигателя длительного режима нагрузки );

длительность рабочего периода по нагрузочной диаграмме определяется по формуле:


где коэффициент охлаждения (для защищённого электродвигателя, с вентиляцией от собственного вентилятора на валу двигателя )

2.4.4 Определение коэффициентов перегрузок и номинальной потребной мощности электродвигателя длительного режима нагрузки

Двигатель, рассчитанный на длительный режим работы, при работе в режиме, отличном от длительного, из условия равенства средних потерь может быть в период работы перегружен. Степень перегрузки оценивается коэффициентом тепловой перегрузки , равным отношению потерь мощности в период кратковременной работы  к потерям мощности в номинальном (длительном) режиме). Так как в заданном варианте режим нагрузки проектируемого электропривода длительный, коэффициент тепловой перегрузки для длительного режима .

Определим коэффициент механической (токовой) перегрузки по формуле:


где - коэффициент потерь, равный отношению постоянных потерь мощности в двигателе  к номинальным переменным (электрическим) ( для асинхронных двигателей общего назначения  ).

Потребную номинальную мощность электродвигателя, рассчитанного на длительный режим работы, при работе его в фактическом режиме находим по формуле:


 

.4.5 Выбор марки электродвигателя по каталогу

Ввиду дискретности номинальных мощностей электродвигателей номинальную мощность электродвигателя по каталогу принимаем ближайшую большую из условия


Выберем для привода вихревого насоса общепромышленный унифицированный асинхронный двухполюсный электродвигатель АИР 90L трехфазного типа. Синхронная частота вращения 3000 об/мин.

Конструктивное исполнение и способ монтажа: электродвигатель с двумя подшипниковыми щитами на лапах, с одним цилиндрическим концом вала, может работать при любом направлении конца вала.

Условия эксплуатации электродвигателя АИР 90L-2 в стандартном исполнении:

·              Температура окружающей среды от минус 40°С до плюс 40°С.

·              Относительная влажность (при +25°С) - до 98% (в исполнении У1, У2).

·              Запыленность воздуха: IР44 - не более 10 мг/м3, IР23 - не более 2 мг/м3.

·              Окружающая среда не взрывоопасная, не содержащая токопроводящей пыли, агрессивных газов и паров в концентрациях, разрушающих металл и изоляцию (кроме электродвигателей химически стойкого исполнения).

·              Класс изоляции нагревостойкости «F».

Таблица № 2 Основные характеристики электродвигателя марки АИР90L2

Название параметра

Значение

Примечание

при номинальной нагрузке

скольжение, %

5



КПД, %

84.5



cos

0.88


2

отношение пускового момента к номинальному

2.2

отношение максимального крутящего момента к номинальному

1.6

отношение минимального крутящего момента к номинальному крутящему моменту

7

отношение пускового тока к номинальному

3

номинальная мощность (Киловатт)

6.1

ток статора (Ампер)

380

номинальное напряжение питания (Вольт)

20,6

масса двигателя

0,024

момент инерции


Таблица № 3 Установочные, габаритные и присоединительные размеры электродвигателя АИР 90L-2.

Размер

Значение

Чертеж

l1

50

l10

125


l30

337


l31

56


d10

(10/12)


d1

24

  

d30

210

h37

0


b10

140


d10

(10/12)


h

90


- расстояние от оси вала до опорной поверхности лап (основной размер),10 - расстояние между осями крепительных отверстий,10 - расстояние между осями крепительных отверстий (боковой вид),31 - расстояние от опорного торца свободного конца вала до оси ближайших крепительных отверстий в лапах.

Определим передаточное отношение трансмиссии по формуле:


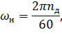
где номинальная частота вращения приводного вала (;номинальная частота вращения электродвигателя.


где  синхронная частота электродвигателя (таблица № 3); скольжение (таблица № 3)

3. Проверка выбранного электродвигателя по дополнительным условиям

 

.1 Проверка по условиям пуска

электропривод вихревой скважина коммутация

Определим потребную номинальную мощность электродвигателя по условию пуска:


где  приведённый к валу электродвигателя момент сопротивления рабочей машины при трогании с места (момент трогания), Нм;


избыточный момент минимальный, необходимый для обеспечения пуска, Нм,


 кратность пускового момента выбранного электродвигателя, равная отношению пускового момента электродвигателя к номинальному (таблица № 2); номинальное напряжение на зажимах пускаемого АД (; номинальная угловая скорость электродвигателя;

Как видно, потребная номинальная мощность электродвигателя по условию пуска меньше, чем номинальная мощность выбранного электродвигателя. Таким образов выбранный электродвигатель по условию пуска проходит

3.2 Проверка по условию статической устойчивости


Определим потребную номинальную мощность из условия статической устойчивости по формуле:


где максимальная мощность машины по нагрузочной диаграмме, Вт; относительная величина напряжения на зажимах проверяемого электродвигателя (с учётом того, что напряжения на зажимах электродвигателя может снизиться из-за пуска рядом расположенного другого электродвигателя, принимаем согласно ПУЭ ); кратность максимального (критического) вращающего момента электродвигателя с учетом возможного снижения напряжения питания, равная отношению максимального крутящего момента к номинальному (таблицы № 2)

Как видим, потребная номинальная мощность электродвигателя по условию статической устойчивости меньше, чем номинальная мощность выбранного электродвигателя. Таким образов выбранный электродвигатель по условию статической устойчивости проходит

 

.3 Проверка выбранного электродвигателя по допустимому нагреву при продолжительном пуске. Определение продолжительности пуска


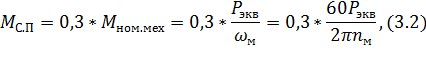
.        Примем за номинальную мощность машины на её приводном валу мощность, которую она развивает при наибольшей производительности:


где -КПД механической передачи (для клиноременной 0,87…0,97).

Тогда номинальный момент машины на приводном валу:


где угловая частота вращения на приводном валу машины определяемая по формуле:


Механическая характеристика  заданной для проектирования электропривода рабочей машины описывается обобщённым уравнением:


где начальный момент статистической нагрузки от сил трения движения, равный ориентировочно моменту нагрузки на приводном валу при угловой скорости, близкой нулю, то есть из рассмотрения исключается момент сил трения-покоя (примем; момент статистической нагрузки при номинальной угловой скорости ; x - показатель степени, характеризующий изменение момента статической нагрузки  при изменении угловой скорости приводного вала механизма , равный для заданной машины 2.

Привожу механическую характеристику рабочей машины к валу электродвигателя:


где  угловая скорость вала электродвигателя, 1/с.

. Механическая характеристика асинхронного электродвигателя описывается по упрощенной формуле Клосса:


где скольжение (таблица № 3); максимальный (критический) вращающий момент электродвигателя:


критическое скольжение определяемое по формуле:


где кратность максимального (критического) вращающего момента электродвигателя с учетом возможного снижения напряжения питания, равная отношению максимального крутящего момента к номинальному (таблицы № 3)

. По полученным выражениям механических характеристик построить их графики.

Рисунок № 5 Механическая характеристика рабочей машины

Рисунок № 6 Механическая характеристика асинхронного электродвигателя

. Определим приведённый к валу электродвигателя момент инерции системы «электродвигатель - рабочая машина» по формуле:


где коэффициент, учитывающий момент инерции механической передачи (примем; соответственно момент инерции, , и масса кг,вращательно и поступательно движущихся частей рабочей машины; момент инерции электродвигателя,  (таблица № 2)

. Нахожу зависимость избыточного момента от угловой скорости:


Таблица № 4 Результаты расчета по формуле (3.14)

0

31.4

62.8

94.8

125.6

157

188.4

219.8

251.2

282.6

300

1

0.9

0.8

0.7

0.6

0.5

0.4

0.3

0.2

0.1

0

7.54

8.30

9.22

10.33

11.71

13.42

15.49

17.72

18.91

14.78

0

0.09

0.23

0.64

1.31

2.26

3.48

4.96

6.72

8.75

11.05

13.62

0.09

0.22

0.62

1.28

2.2

3.39

4.84

6.55

8.53

10.77

13.3

7,45

8,08

8,59

9,05

9,51

10,03

10,65

11,17

10,38

4,01

-13,3


. По полученному выражению построить кривую избыточного момента

Рисунок № 7 Зависимость избыточного момента от угловой скорости

. Разобьем диапазон изменения угловой скорости на 10 примерно равных участков.

Таблица № 5 Диапазон изменения угловой скорости

1

2

3

4

5

6

7

8

10

30

60

90

120

150

180

210

250

280

300


. На каждом участке заменить кривую избыточного момента прямой линией, параллельной оси угловой скорости, так, чтобы площади между прямой и кривой выше и ниже прямой были бы приблизительно равны. Т. е., считать, что в пределах участка избыточный момент постоянный, равный .

Рисунок № 8 Фактическая и аппроксимирующая ступенчатая зависимость избыточного момента от угловой скорости

. Тогда для каждого участка время разгона электродвигателя от  до  находим по формуле:


где среднее значение избыточного момента на рассматриваемом i-м участке, приведенный момент инерции ЭП, ;  угловая скорость вала электродвигателя на рассматриваемом i-м участке, :


. Время разгона электродвигателя от нуля и до


Таблица № 6 Результаты расчета по формулам (3.15); (3.16); (3,17)

1

2

3

4

5

6

7

8

9

10

7.765

8.337

8.825

9.282

9.771

10.342

10.911

10.774

7.195

4.63

30

60

90

120

150

180

210

250

280

300

30

30

30

30

30

30

30

40

30

20

0,061

0,057

0,054

0,051

0,049

0,046

0,059

0,066

0,102

0,578

0,066

0,118

0,172

0,223

0,272

0,318

0,377

0,443

0,545

1,123


. По результатам построим кривую разбега электродвигателя

Рисунок № 9 Кривая разбега электродвигателя

. Общее время пуска электродвигателя определим по формуле:



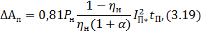
. Определить потери энергии при пуске электродвигателя:


где соответственно номинальная (паспортная) мощность, Вт, двигателя и его номинальный КПД (таблица № 3) ; отношение постоянных потерь мощности АД к его номинальным переменным потерям( для АД общего назначения ); продолжительность пуска двигателя,с; кратность пускового тока АД по отношению к номинальному при  (таблица № 3).

. Определим температуру электродвигателя в конце периода пуска по формуле:


где превышение температуры двигателя  над температурой окружающей среды ,; потери энергии в электродвигателе при пуске, Дж; масса электродвигателя, кг, (таблицы № 2);средняя удельная теплоемкость электродвигателя, которая может быть принята на уровне ;


Электродвигатели имеют систему изоляции класса нагревостойкости «F». Классу изоляции нагревостойкости по ГОСТ 8865-93 соответствует температура

Так как полученное значение температуры в конце периода пуска меньше допустимого для данного класса изоляции , электродвигатель по допустимому нагреву при продолжительном пуске проходит.

4. Построение кривых нагрева и охлаждения электродвигателя


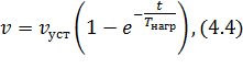
Кривую нагрева электродвигателя с холодного состояния строю в предположении, что электродвигатель загружен на эквивалентную по нагрузочной диаграмме мощность.

. Определим постоянную времени нагрева выбранного электродвигателя по формуле:


где масса электродвигателя, кг; среднее установившееся превышение температуры двигателя при номинальной нагрузке при изменении методом сопротивления; номинальный КПД двигателя;  номинальная мощность двигателя, Вт.

. Постоянная времени охлаждения


где коэффициент охлаждения (для защищённого электродвигателя, с вентиляцией от собственного вентилятора на валу двигателя ).

3.Определим установившееся превышение температуры электродвигателя над температурой окружающей среды при фактической загрузке по формуле:


где среднее установившееся превышение температуры двигателя при номинальной нагрузке при изменении методом сопротивления ( - для класса изоляции F);отношение постоянных потерь мощности АД к его номинальным переменным потерям (для АД общего назначения ).

. Определим величину превышения температуры электродвигателя для различных моментов времени по формуле:


где постоянная времени нагрева электродвигателя (примем ).

Таблица № 7 Результаты расчета по формуле (4.4)

52,6

71,95

79,07

81,69

82,65

73,6

92,95

100,07

102,69

103,65


. Построим кривую нагрева электродвигателя

Рисунок № 10 Кривая нагрева электродвигателя.

. Кривую охлаждения рассчитаем в предположении, что отключение электродвигателя произошло по истечении времени работы, равного 4Тнагр, т. е., по выражению:


где постоянная времени охлаждения (формула 4.3)

Таблица № 8 Результаты расчета по формуле 4.5

29,43

10,83

3,98

1,47

0,54

50,43

31,83

24,98

22,47

21,54


. Строим кривую охлаждения электродвигателя:

Рисунок № 11 Кривая охлаждения электродвигателя.

 


5. Выбор пусковой и защитной аппаратуры

 

.1 Выбор аппаратов коммутации и защиты цепи электродвигателя от коротких замыканий


В качестве аппарата, осуществляющего ручное включение и отключение цепей электродвигателя, можно выбрать рубильник типа Р, РА, РБ, РПЦ, РШ или пакетный выключатель, например, типа ПВМ. Для защиты от коротких замыканий этот аппарат должен быть дополнен плавкими предохранителями типа ПР-2, НПН-2, ППН. С учётом времени пуска номинальный ток плавкой вставки для выбранного электродвигателя определяю по формуле


где  коэффициент интенсивности пуска ЭП, равный  при длительности пуска ЭП до 3 с;пусковой ток двигателя, А.

IП - пусковой ток выбранного электродвигателя, А.


Плавкая вставка - элемент разового действия. Поэтому при эксплуатации электропривода необходимо иметь запасной комплект плавких вставок. При отсутствии запасного комплекта плавкую вставку иногда заменяют медной проволокой круглого сечения. Определяю необходимый диаметр медного проводника, для использования вместо стандартной плавкой вставки по формуле:


Однако комбинация «рубильник - плавкая вставка» для коммутации и защиты электродвигателей в настоящее время используется редко. Это объясняется тем, что требуется иметь запасной комплект плавких вставок, который не всегда оказывается под рукой, а, кроме того, при перегорании вставки в одной из фаз электродвигатель переходит в опасный для его целостности неполнофазный режим работы.

Поэтому окончательно для коммутации цепей электродвигателя и защиты их от короткого замыкания выбираю более прогрессивный аппарат - автоматический выключатель с электромагнитным расцепителем. Выбор автоматического выключателя осуществлять по роду тока, номинальным напряжению и току, типу защитной характеристики.

Таблица № 15 Техническая характеристика автоматического выключателя серии ВА 201 :

Серия

ВА 201

Номинальное напряжение, В

400 В

Номинальный ток выключателя (расцепителя), А

50 А

Тип защитной характеристики

С

Число полюсов

3

Коммутационная износостойкость

Не менее 4000 циклов

Предельная коммутационная способность, А

6000

Степень защиты

IP 20

Номинальные площади подключения поперечных сечений подключаемых проводников,

2,5 … 50

 


5.2 Выбор устройства защитного отключения (УЗО)


Для отключения электропривода при повреждении изоляции, неисправности электрических цепей и появлении тока утечки на землю, в том числе и через тело человека, выбирают высокочувствительное устройство защитного отключения (УЗО).

Выбираем электромеханическое УЗО-01 с техническими данными представленных в таблице № 16.

Таблица № 16 Основные технические характеристики УЗО-01

Количество полюсов

4

Номинальное напряжение

415

Частота

50

Номинальные токи нагрузки

63

Номинальный отключающий дифференцирующий ток (уставка)

100

Номинальный неотключающий дифференциальный ток

50

Номинальная отключающая и включающая способность по току

1500

Номинальный условный ток короткого замыкания (КЗ)

3000

Время отключения (срабатывания) при

Не более 0,05

Механическая износостойкость:


Механических циклов

Не менее 10000

В том числе коммутационная износостойкость электрических циклов

Не менее 2500

Площадь сечения подключаемого провода,

1 … 35

Степень защиты

IP 20

Функциональное исполнение

АС*


Устройство защитного отключения (УЗО) - механический коммутационный аппарат <https://ru.wikipedia.org/wiki/%D0%90%D0%BF%D0%BF%D0%B0%D1%80%D0%B0%D1%82>, предназначенный для включения, проведения и отключения токов при нормальных условиях эксплуатации, а также размыкания контактов в случае, когда значение дифференциального тока достигает заданной величины в определенных условиях.

УЗО предназначены для:

.        Защиты человека от поражения электрическим током при косвенном прикосновении (прикосновение человека к открытым проводящим нетоковедущим частям электроустановки, оказавшимся под напряжением в случае повреждения изоляции), а также при прямом прикосновении (прикосновение человека к токоведущим частям электроустановки, находящимся под напряжением). Данную функцию обеспечивают УЗО соответствующей чувствительности (ток отсечки не более 30 мА <https://ru.wikipedia.org/wiki/%D0%9C%D0%B8%D0%BB%D0%BB%D0%B8%D0%B0%D0%BC%D0%BF%D0%B5%D1%80>).

.        Предотвращения возгораний при возникновении токов утечки на корпус или на землю <https://ru.wikipedia.org/wiki/%D0%97%D0%B0%D0%B7%D0%B5%D0%BC%D0%BB%D0%B5%D0%BD%D0%B8%D0%B5>.

УЗО отключает питающую сеть:

.        При прямом прикосновении человека или животного к частям электроприбора находящимися под напряжением и его контакте с "землей".

.        При повреждении основной изоляции и контакте токоведущих частей с заземленным корпусом.

.        При перемене нулевого рабочего (N) и заземляющего (PE) проводников.

.        При перемене фазного и нулевого рабочего проводников и прикосновении человека к частям оказавшимся под напряжением и одновременном его контакте с "землей"

.        При обрыве нулевого рабочего проводника до (и после) УЗО и прикосновении человека к токоведущим или оказавшимися под напряжением частям электроприбора и одновременном его контакте с "землей"

Принцип работы УЗО основан на измерении разности токов в проходящих через дифференциальный трансформатор тока <https://ru.wikipedia.org/wiki/%D0%A2%D1%80%D0%B0%D0%BD%D1%81%D1%84%D0%BE%D1%80%D0%BC%D0%B0%D1%82%D0%BE%D1%80_%D1%82%D0%BE%D0%BA%D0%B0> проводниках. УЗО измеряет векторную сумму токов, протекающих по контролируемым проводникам (двум для однофазного УЗО, трем и более для трехфазного исполнения). В нормальном режиме работы векторная сумма токов, протекающих через измерительный трансформатор равна 0 (ток, «втекающий» по одним проводникам равен току, «вытекающему» по другим), и срабатывания устройства не происходит. При появлении тока утечки (касание человеком фазного проводника, или уменьшение сопротивления изоляции кабельной линии) векторная сумма токов, протекающих через УЗО не будет равна 0, так как появляется ток утечки, который протекает только по фазному проводнику, во вторичной обмотке трансформатора наведется напряжение, пропорциональное току утечки, и при превышении определенного порога произойдет срабатывание устройства и отключение защищаемой цепи.

Рисунок № 16 Принцип работы ОЗУ.

 

.3 Выбор теплового реле


Более чувствительными аппаратами к малым, но длительным перегрузкам по сравнению с тепловой защитой автоматических выключателей являются тепловые реле. Поэтому для защиты электродвигателя от перегрузок по току выберем тепловое реле серии РТТ-2, имеющее технические характеристики представленные в таблице № 17.

Реле электротепловое токовое трехполюсное серии РТТ предназначено для защиты трехфазных асинхронных электродвигателей с короткозамкнутым ротором от длительных перегрузок, возникающих при обрыве одной фаз. Реле имеет исполнение для установки на металлических и изоляционных панелях, рейках комплектного устройства и специальное исполнение для установки с магнитным пускателями.

Таблица № 17 Основные технические характеристики теплового реле РТТ-2

Номинальный ток теплового реле

63

Диапазон регулирования  при

53,5 … 63

 


6. Разработка схемы управления и защиты электродвигателя


Подавляющее большинство насосов настоящее время оснащено нерегулируемыми электроприводами с асинхронными электродвигателями. Регулирование производительности перекачивающих агрегатов осуществляется дискретно изменением их числа и плавно - весьма неэффективным способом - дросселированием с помощью задвижек. Последний способ связан с повышенным энергопотреблением, невысокой точностью регулирования технологических параметров, а также повышенным износом электрического, механического и гидравлического оборудования. Прямые пуски двигателей большой мощности вызывают ударные нагрузки в передаточных механизмах, недопустимые посадки напряжения в системах электроснабжения.

В связи с постоянным увеличением стоимости электроэнергии, ростом цен на сооружение линий электропередачи при освоении новых месторождений и наметившейся тенденцией перехода на автономные источники электроснабжения технологических установок становится экономически и технически целесообразным применение регулируемых электроприводов..

Частотно-регулируемый электропривод обеспечивает: плавный пуск; длительную работу в заданном диапазоне изменения скорости и нагрузки; реверсирование, торможение и останов; защиту электрического и механического оборудования от аварийных режимов.

Частотно-регулируемый электропривод является не только устройством экономичного преобразования электрической энергии в механическую, но и эффективным средством управления технологическим процессом, в том числе в замкнутых системах автоматического управления в составе различных АСУ ТП.

Эффективность применения частотно-регулируемых электроприводов обусловлена: высокими энергетическими показателями; гибкой настройкой программными средствами параметров и режимов работы электропривода;  развитым интерфейсом и приспосабливаемостью к различным системам управления и автоматизации, в том числе высокого уровня;  простотой и удобством управления и обслуживания в эксплуатации;  высоким качеством статических и динамических характеристик, обеспечивающих высокую производительность управляемых машин.

Оптимальная по энергетическим показателям и по регулировочным и механическим характеристикам структура современного частотно-регулируемого электропривода с асинхронным двигателем с короткозамкнутым ротором включает в себя ПЧ с промежуточным звеном постоянного тока (рисунок № 17), состоящий из выпрямителя с индуктивно-емкостным фильтром постоянного напряжения и автономного инвертора напряжения, построенного на силовых транзисторах IGBT. Инвертор формирует основную гармонику выходного напряжения ПЧ методом ШИМ.

Регулируемый электропривод, силовая часть которого базируется на указанной структуре, обладает следующими преимуществами: широким диапазоном регулирования скорости (D=30-60); высоким значением КПД (без учета двигателя он достигает 0,98); высоким значением коэффициента мощности (до 0,98); высокой надежностью и малыми габаритами преобразователя; облегчается обеспечение электромагнитной совместимости электропривода с источником питания и другими потребителями электрической энергии. При регулировании скорости электропривода частота и напряжение на выходе ПЧ изменяется взаимосвязано в соответствии с требуемым соотношением. Изменяя частоту, можно плавно в широких пределах регулировать частоту вращения ротора двигателя. При этом скольжение асинхронного двигателя в процессе регулирования при заданном значении нагрузки изменяется незначительно, а, следовательно, потери в цепи ротора, пропорциональные скольжению, также изменяются незначительно, что обеспечивает энергосбережение.

Рисунок № 17 Структурная схема частотно-регулируемый электропривода с асинхронным короткозамкнутым двигателем: В - выпрямитель; Ф - фильтр; АИН - автономный IGBT-инвертор напряжения; УУП - устройство управления преобразователем частоты; М - двигатель

Основные общие принципы построения современных частотно-регулируемых электроприводов:

.        Силовая часть - преобразователь частоты состоит из выпрямителя, фильтра постоянного напряжения и IGBT или IGCT-инвертора с модулем торможения в звене постоянного напряжения. Для снижения уровня радиопомех (кондуктивных - распространяющихся по проводам) на входе ПЧ может включаться блок входного фильтра, для ограничения перенапряжений на зажимах приводного двигателя и защиты изоляции его обмоток от пробоя и ускоренного старения на зажимы двигателя включается блок выходного фильтра.

.        Система управления - микропроцессорная, формирует сигналы управления инвертором согласно алгоритму, позволяющему максимально использовать напряжение источника с минимальными искажениями формы выходного напряжения, обеспечивая при этом: автоматическое определение параметров подключенного двигателя; самотестирование двигателя и технологических датчиков; индикацию состояния двигателя дискретными сигналами; цифровую индикацию на встроенном жидкокристаллическом дисплее текущих значений переменных электропривода (заданного и/или фактического значения, скорости, заданного и/или фактического значения параметра, например, давления, на выходе насоса (компрессора) тока статора двигателя, напряжения сети, потребляемой мощности и др.); параметров регулятора (способа ввода задания, начального направления вращения, времени разгона и торможения, максимального и минимального значений выходной частоты, пропорционального, интегрального и дифференциального коэффициентов ПИД-регулятора и др.); значений уставок защиты (максимально-токовой, время-токовой и температурной двигателя, параметров частотно-токового ограничения, температурной преобразователя);просмотр и изменение параметров двигателя и регулятора со встроенного пульта управления при вводе пароля доступа к режиму программирования.

.        Система защит электропривода может включать защиты от следующих факторов: токов недопустимой перегрузки и короткого замыкания; замыкания на "землю"; обрыва фазы; перенапряжений на силовых элементах схемы; недопустимых отклонений и исчезновения напряжения питающей сети; недопустимого перегрева силовых элементов схемы; неисправностей и сбоев системы управления; недопустимых отклонений технологического параметра и др. Кроме того, могут быть предусмотрены режимы ограничения максимальной и минимальной мощности электропривода, минимальной рабочей частоты и других параметров.

. Система сигнализации электропривода сообщает о следующем: наличии напряжения питающей сети; включенном/отключенном состоянии; аварийном отключении и др. Дополнительная информация о состоянии электропривода выводится на дисплей пульта управления в виде текстовых сообщений или кодов.

7. Расчёт надёжности электропривода


Надежностью называют свойство устройства или системы выполнять требуемые функции в определенных условиях эксплуатации. Соединение элементов в устройстве, при котором отказ любого из них ведет у отказу в работе всего устройства, называют логических последовательным, или основным. Если элементы в устройстве соединены так, что отказ устройства наступает только при отказе всех его элементов, то такое соединение называют логически параллельным. Надежность - это комплексное свойство, обусловленное сочетанием свойств работоспособности, безотказности, ремонтопригодности, долговечности и сохраняемости.

Числовую оценку надежности устройств и систем, в том числе и ЭП, осуществляют определенными показателями надежности.

Под показателями надежности понимают количественные характеристики одного или нескольких свойств, составляющих надежность устройства. Основные показатели безотказности элементов и невосстанавливаемых устройств и систем, к которым относят и ЭП как нерезервируемую систему:

.        Интенсивность отказов  представляет собой отношение числа отказавшихся элементов  наблюдения к их среднему числу  и к интервалу времени наблюдения


где число исправных элементов в начале интервала времени наблюдения; число исправных элементов в конце интервала времени наблюдения.

Для большинства устройств и систем, в том числе и для систем ЭП, изменение значения в течение времени от изготовления до полного износа имеет вид, показанный на рисунке № 17.

Рисунок № 17 График зависимости значения интенсивности отказов « в течение времени t от изготовления до полного износа системы ЭП»

Из анализа графика(рисунок № 17) следует, что для систем ЭП в период нормативной эксплуатации интенсивность отказов имеет достаточно постоянное значение ƛ.

Интенсивность отказов устройств или системы ЭП в целом Ʌ с основными соединениями входящих элементов N рассчитывают на основании справочных данных об отказах отдельных элементов в определенных условиях эксплуатации:


.        Средняя наработка до отказа :


.        Вероятность безотказной работы  в течение назначенного времени t:


Из анализа формул (7.2) - (7.4) следует, что для повышения надежности всей системы ЭП необходимо равноценно повышать надежность всех входящих в систему ЭП элементов. Достичь этого можно, прежде всего:

·        Сокращением числа используемых элементов путем их замены элементами повышенной степени интеграции;

·        Снижением степени проектных нагрузок на используемые элементы;

·        Исключением недопустимых эксплуатационных перегрузок;

·        Улучшением условий окружающей среды

·        Своевременным проведением регламентных работ по обслуживанию

 

8. Определение экономической эффективности разработанного электропривода


Экономическая эффективность использования ЭП выражают численно в денежных единицах измерения и в большинстве случаев наиболее объективно оцениваются годовым экономическим эффектом, достигнутым от использования конкретного предлагаемого ЭП по сравнению с имеющимися базовыми (исходными) вариантом:


где  и приведённые затраты на ЭП соответственно в базовом (исходном) и предлагаемом вариантах в условных денежных единицах, у.е., в течение, у.е./год.

Приведенные затраты в общем случае можно вычислить по формуле:


где К и С - соответственно капиталовложения, у.е., и годовые издержки (себестоимости) производства, у.е./год в рассматриваемом варианте ЭП;нормальный коэффициент экономической эффективности капиталовложений, 1/год, принимаемый для систем потребления электрической энергии в целом на уровне 1/год.

С учетом формул (8.1) и (8.2) получаем формулу для расчета годового экономического эффекта (у.е./год) новой разработки ЭП :


где прибыль, получаемая от уменьшения ежегодных издержек на ведение производства и соответственно приведшую к уменьшению себестоимости производства, у.е./год; дополнительные капиталовложения на предлагаемый вариант ЭП, у.е.

Использование предлагаемого ЭП экономически целесообразно, так как

Нормативный срок окупаемости электропривода определим по формуле:




Заключение


В данной работе был исследован и разработан электропривод вихревого, предназначенного для подачи воды из скважины потребителям и совершающий работу по заданному циклу. Целью работы являлось закрепление, углубление и обобщение знаний в области теории электропривода путем решения комплексной задачи проектирования конкретного производственного механизма. На основе исходных данных и технических требований была, в результате анализа, выбрана схема электропривода. Был сделан вывод, что наиболее рациональной системой управления ЭП является частотно-регулируемая. Далее, по нагрузочным диаграммам был выбран асинхронный двигатель серии АИР90L2 и произведена проверка по условиям допустимого нагрева и пуска. В результате расчетов оказалось, что выбранный двигатель удовлетворяет этим условиям.

Список использованной литературы


1.      Шичков Л. П. Электрический привод.-М.: КолосС, 2006-279с.

.        Слежановский О.В. Реверсивный электропривод постоянного тока. М.: Металлургия, 1967.

.        Специальные электрические машины / А.И. Бертинов, Д.А. Брут, С.Р. Мизюрин и др.; Под ред. А.И. Бертинова. - М.: Энергоиздат, 1982.

.        Справочник по автоматизированному электроприводу / Под ред. В.А. Елисеева и А.В. Шинянского. М.: Энергоатомиздат, 1983.

.        Хализев Г.П. Электропривод и основы управления. - М.: Высшая школа, 1977.

.        Чиликин М.Г., Ключев В.И., Сандлер А.С. Теория автоматизированного электропривода. - М.: Энергия, 1979. - 616 с.

.        Чиликин М.Г., Сандлер А.С. Общий курс электропривода: Учебник для вузов. - 6-е изд. М.: Энергоиздат, 1981.

.        Чиликин М.Г., Соколов М.М., Шинянский А.В. Асинхронный электропривод с дросселями насыщения. - М.; Л.: Энергия, 1964. - 293 с.

.        Чистов В.П., Бондаренко В.И., Святославский В.А. Оптимальное управление электрическими приводами. М.: Энергия, 1968.

.        Шипило В.Н. Автоматизированный вентильный электропривод. - М.: Энергия, 1969. - 400 с.

.        Юферов Ф.М. Электрические машины автоматических устройств. - М.: Высш. шк., 1976. - 416 с.

.        Чиликин М.Г., Сандлер А.С. Общий курс электропривода: Учебник для вузов. - М.: Энергоиздат, 1981 - 576с.

.        Автоматизированные электроприводы постоянного тока с широтно-импульсными преобразователями / М.Е. Гольц, А.Б. Гудзенко, В.М. Остреров и др. М.: Энергия, 1972.

.        Автоматические системы и приборы с шаговыми двигателями / М.: 1968.

.        Андреев В.П., Сабинин Ю.А. Основы электропривода. - М.; Л.: Госэнергоиздат, 1963. - 772 с.

.        Андрющенко В.А., Ломов В.С. Электронные и полупроводниковые устройства следящего привода / Под ред. В.С. Ломова. М.: Машиностроение, 1967.

.        Анхимюк В.Л., Опейко О.Ф. Проектирование систем автоматического управления электроприводами. Минск: Вышэйшая школа, 1986.

.        Башарин А.В., Голубев Ф.Н., Кепперман В.Г. Примеры расчетов автоматизированного электропривода. М.; Л.: Энергия, 1964.

.        Башарин А.В., Новиков В.А., Соколовский Г.Г. Управление электроприводами. Л.: Энергоиздат, 1982.

.        Васин В.М. Электрический привод. - М.: Высшая школа, 1984.

.        Глазенко Т.А. Полупроводниковые преобразователи в электроприводах постоянного тока. Л.: Энергия, 1973.

.        Гулин В.Ф., Калитинская Т.В. Следящий шаговый электропривод. - Л.: Энергия, 1980. - 168 с.

.        Зимин Е.Н., Яковлев В.И. Автоматическое управление электроприводами. М.: Высшая школа, 1979.

.        Ижеля Г.И. и др. Линейные асинхронные двигатели / Г.И. Ижеля, С.А. Ребров, А.Г. Шаповаленко. - Киев: Техника, 1975.

Похожие работы на - Расчет электропривода вихревого насоса

 

Не нашли материал для своей работы?
Поможем написать уникальную работу
Без плагиата!
Без нейросетей!