Расчет спирального теплообменного аппарата

  • Вид работы:
    Контрольная работа
  • Предмет:
    Другое
  • Язык:
    Русский
    ,
    Формат файла:
    MS Word
    42,1 Кб
  • Опубликовано:
    2014-10-07
Вы можете узнать стоимость помощи в написании студенческой работы.
Помощь в написании работы, которую точно примут!

Расчет спирального теплообменного аппарата

Национальный минерально-сырьевой университет «Горный»

Кафедра автоматизации технологических процессов и производств











КОНТРОЛЬНАЯ РАБОТА

По дисциплине: Гидроаэромеханика и тепломассообмен

Тема: Расчет спирального теплообменного аппарата

Автор: Бызова А.А.

Руководитель проекта: Иванов П.В.




Санкт-Петербург 2014

Аннотация

Данная работа представляет собой задачу по выбору и расчету спирального теплообменного аппарата на основе начальных данных.

В данной работе были проведены расчеты для выбора теплообменника, а именно: расчет тепловой нагрузки, скорость теплоносителя в трубах, расход воды, критерии Рейнольдса (Re), критерии Нуссельта (Nu), коэффициенты теплоотдачи обоих теплоносителей.

Для написания работы использовались: расчеты произведены в среде Microsoft Excel, а пояснительная записка - в Microsoft Word, а так же приведена конструктивная схема аппарата.

The summary

work is a task for the selection and calculation of the spiral heat exchanger based on the initial data.this paper, calculations were carried out to select a heat exchanger, namely, the calculation of heat load, the speed of the coolant in the pipes, the water flow, the Reynolds number (Re), Nusselt number (Nu), the heat transfer coefficients.write a paper used: calculations are made in the environment of Microsoft Excel, the Explanatory Note - in Microsoft Word, and also shows a structural diagram of the apparatus.

Оглавление

Введение

Конструкция и принцип работы

Преимущества спиральных теплообменников

Задачи, решаемые помощью спиральных теплообменников

Рабочие среды спиральных теплообменников

Исходные данные

Расчет спирального теплообменника

Заключение

Список использованной литературы

Введение

Спиральные теплообменники - аппараты, состоящие из 2-х каналов прямоугольного сечения, образованных свернутыми в спирали двух листов металла. Листы служат поверхностями теплообмена. Внутренние концы спиралей соединены разделительной перегородкой, а расстояние между ними фиксируется штифтами. Спиральный теплообменник был изобретен в двадцатых годах прошлого века шведским инженером Розенбладом для использования в целлюлозно-бумажной промышленности. Эти теплообменники впервые позволили обеспечить надежную теплопередачу между средами, содержащими твердые включения. В начале семидесятых конструкция спиральных теплообменников была радикально изменена и улучшена, и приобрела значительные преимущества по сравнению с конструкцией Розенблада.

Конструкция и принцип работы

Два или четыре длинных металлических листа укладываются спиралью вокруг центральной трубы, образуя два или четыре однопроточных канала. Для того, чтобы обеспечить постоянную величину зазоров к одной стороне листов привариваются разделительные шипы. Центральная труба при помощи специальной перегородки разделена на две камеры, которые образуют входной и выходной коллектора. Скрученные спирали помещаются в цилиндрический кожух. Внешние концы спиральных листов привариваются вдоль образующей обечайки. Для выхода каналов наружу в местах фиксации краев каналов в кожухе просверливаются отверстия, которые герметично закрываются входным и выходным коллекторами с присоединительными патрубками. Движение потоков в спиральных теплообменниках происходит по криволинейным каналам близким по форме к концентрическим окружностям. Направление векторов скоростей движения потоков постоянно претерпевают изменение. Геометрия каналов и разделительные шипы создают значительную турбулентность уже при низких скоростях потоков, при этом улучшается теплопередача и уменьшается загрязнение. Все это обуславливает компактность конструкции спиральных теплообменников, которые могут быть интегрированы с любой технологической линией, что значительно сокращает затраты на установку. Благодаря прочной и жесткой цельносварной конструкции, а так же тому, что спиральные теплообменники мало подвержены загрязнению, затраты на их обслуживание сведены до минимума. Спиральные теплообменники часто являются наиболее оптимальным и экономичным решением задач теплообмена. Поскольку геометрия каналов может быть изменена в широких пределах, спиральные теплообменники действительно оптимально адаптируются к требованиям Заказчика. Несмотря на изменяющиеся массовые расходы и различия в требуемых температурах, спиральный теплообменник зачастую позволяет осуществлять теплопередачу в одном и том же устройстве на разных режимах и неполной нагрузке. По сути, спиральные теплообменники представляют собой длинные щелевые однопроточные каналы, свернутые в спираль. Таким образом, в спиральных теплообменниках может быть достигнута практически любая тепловая длина взаимодействия двух сред, а значит и разность температур потоков меньше 3°С. При этом, в спиральных теплообменниках возможен нагрев или охлаждение "проблемных" технологических сред, для которых недопустимы резкие повороты потоков, провоцирующие блокировку каналов. В спиральных теплообменниках существует большое разнообразие вариантов изготовления разделительных перегородок центральной трубы. Каждый адаптирован к выполнению определенных задач и позволяет выбрать оптимальное решение для любого применения. Важная особенность конструкции предлагаемых спиральных теплообменников - это использование непрерывных (цельных) металлических листов от центральной трубы до кожуха, что позволяет практически полностью исключить сварные швы и внутри, и в труднодоступных местах теплообменников.

Преимущества спиральных теплообменников

Широкий диапазон рабочих температур и давлений;

Компактная конструкция (например, 700 м2 в 6 м3);

Широкий рабочий диапазон ( 10 - 100% от расчетной нагрузки);

Высокие коэффициенты теплопередачи;

Высокая турбулентность;

Пониженная загрязняемость;

Меньшее количество остановок на обслуживание;

Высокий самоочищающий эффект при применении сильно загрязненных жидкостей;

Легкая очистка механическим и химическим способом;

Отсутствие ограничений при выборе величины зазора канала;

Массовые расходы по обеим сторонам могут значительно отличаться;

Низкие потери давления;

Задачи, решаемые помощью спиральных теплообменников

Охлаждение;

Нагрев;

Рекуперация тепла;

Конденсация;

Испарение;

Термосифон;

Рабочие среды спиральных теплообменников

жидкости;

суспензии;

жидкости, содержащие волокна и твердые частицы;

вязкие жидкости;

неньютоновские жидкости, включая различные гидросмеси, растворы полимеров;

сточные воды;

пары с инертными газами и без них;

Исходные данные

Выполнить расчёт спирального теплообменника для конденсации 1000 кг/ч бензола с начальной температурой 100 С.

Расчет спирального теплообменника

Определяем среднюю разность температур

Пусть  и - начальная и конечная температуры воды, а tбн и tбк - начальная и конечная температуры бензола.  температура конденсации бензола

Тогда большая и меньшая разность температур соответственно равны:

Δtб=100-40=60 ºC Δtм=80-23=57ºC

Отношение =  , следовательно, среднюю разность температур считаем по формуле:

Средняя температура воды:

Средняя температура бензола:

Тепловая нагрузка аппарата

Рассматриваемый процесс состоит из двух этапов:

Охлаждение бензола


Массовый расход бензола т/c

Удельная теплоемкость бензола сб при 90= 2241,65 Дж/кг∙К

Конденсация бензола:

 Вт

Удельная теплота конденсации бензола rб при 90= 95,54196 Дж/кг

Общая теплота:

 Вт

Расход воды

кг/с

Удельная теплоемкость воды св = 4190 Вт/кг∙К

Размер каналов и скорость

Эквивалентный диаметр спирального теплообменника определяем по формуле:


 м

Пусть скорость движения бензола .

ρ бензола при 90= 807 кг/м3

Находим площадь сечения:

м2

Откуда эффективная высота теплообменника (эффективная ширина ленты):

спиральный теплообменник нагрузка скорость

 м (n=0,4 по ГОСТ 12067-80)

Принимаем ширину ленты b=0,3 м ,тогда площадь поперечного сечения канала f=0,012 м2. Действительная скорость движения бензола по каналу теплообменника:

Действительная скорость движения бензола по каналу теплообменника:

 м/с

Действительная скорость движения воды по каналу теплообменника:

ρ воды = 998 кг/м3

 м/с

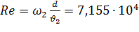
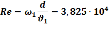
Критерий Re для бензола:

Коэффициент кинематической вязкости  м2


Приняв диаметр спирали теплообменника Dc=1 м, по формуле находим критическое значение


для воды

Коэффициент кинематической вязкости  м2

 

Коэффициент теплоотдачи

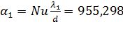
Определяем коэффициент теплоотдачи от бензола к стенке:

Критерий Прандтля Pr=6,1

Коэффициент теплопроводности бензола Вт/м2∙К

Критерий Нуссельта:

 Вт/м2∙К

Определяем коэффициент теплоотдачи от воды к стенке:

Критерий Прандтля Pr=5,93

Коэффициент теплопроводности воды Вт/м2∙К

Критерий Нуссельта:

 Вт/м2∙К

Задаваясь толщиной стенки спирального теплообменника  м и материалом стенки из стали с коэффициентом теплопроводности λстали=16 Вт/м∙К, находим значение коэффициента теплопередачи:

 Вт/м2∙К

Конструктивный расчет

Находим поверхность теплообмена спирального теплообменника

 м2

Длина листов спирали определяется из соотношения:

b=0,03 м (эффективная ширина ленты)

 м2

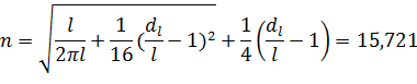
Определим число витков спирали, необходимое для получения эффективной длины:

 м

 м


Определяем наружный диаметр спирали теплообменника с учетом толщины листа:

 м

Зная наружный диаметр спирали, находим критическое значение Re:


Таким образом, для бензола Re=38250 > Reкрит=13650;

для воды Re=71550 > Reкрит =24900

Потери напора

Определим потерю напора теплоносителями при прохождении через каналы спирального теплообменника

 Па

Для охлаждающей воды потеря напора:



Заключение

В работе был произведён расчёт спирального теплообменника. На основании расчетных данных был подобран спиральный теплообменник для конденсации 1000 кг/ч бензола с основными приблизительными размерами аппарата:

толщина стенки δ2=0,004 м

длина листов спирали L=52,084 м2

- поверхность теплообмена F=3,125 м2

- площадь сечения канала теплообменника f=0,012 м2

- число витков спирали n=15,721

наружный диаметр спирали Dc=1,083 м

ширина листа b=0,03 м

Список использованной литературы

1. Основные процессы и аппараты химической технологии: Пособие по проектированию/ Г.С. Борисов, В.П. Брыков, Ю.И. Дытнерский и др. Под ред. Ю.И, Дытнерского, 2-е изд., перераб. и дополн. М.: Химия, 1991 - 496 с.

. Павлов А. Ф., Романков П. Л, Носков А. Л. Примеры и задачи по курсу процессов и аппаратов химической технологии. Л.: Химия, 1987. 575 с.

. Справочник по теплообменникам. М.: Энергоатомиздат. 1987. Т. I. 561 с; т. 2. 352 с.

. Пластинчатые и спиральные теплообменники. Н. В. Барановский, Л.М. Коваленко, А.Р. Ястребенецкий М.: Машиностроение 1973

Похожие работы на - Расчет спирального теплообменного аппарата

 

Не нашли материал для своей работы?
Поможем написать уникальную работу
Без плагиата!
Без нейросетей!