Расчет на прочность ступенчатого бруса
Министерство
образования и науки Российской Федерации
Уфимский
государственный авиационный технический университет
Расчетно-графическая
работа
Дисциплина:
Сопротивление материалов
Выполнил:
студент группы МА 202Т Хабибуллин
Р.Р.
Принял: ст. преподаватель Валиев Р.
Ш.
Туймазы 2014
Задача 1.
РАСЧЕТ НА ПРОЧНОСТЬ СТУПЕНЧАТОГО БРУСА ПРИ ОСЕВОМ РАСТЯЖЕНИИ И СЖАТИИ
Условие задачи
Ступенчатый брус нагружен равномерно
распределенными нагрузками интенсивностью q1
и q2
и осевыми сосредоточенными силами F1
и F2.
Необходимо:
1) построить эпюру нормальных сил;
) построить эпюру напряжений, отнесенных к
площади поперечного сечения;
) найти площадь из условия прочности;
) построить эпюру напряжений;
) построить эпюру перемещений.
Изобразим расчетную схему согласно заданным. На
расчетной схеме все внешние силы действуют вдоль оси бруса. Следовательно, в
поперечных сечениях рассматриваемого бруса возникают только продольные
(нормальные) силы.
Построение эпюры нормальных сил.
Определим нормальные силы с помощью метода
сечений. Разобьем брус на три участка, начиная от правого незакрепленного
конца. Произвольными сечениями последовательно на каждом участке рассечем
мысленно брус на две части. При этом координату проведенного сечения z можно
отсчитывать от начала первого участка. Удобнее при построении эпюры нормальных
сил пользоваться подвижной системой осей координат, центр которой помещается в
начале каждого участка. Тогда координата z на каждом участке бруса
отсчитывается от начала этого участка. Отбрасывая закрепленную часть бруса,
заменим действие отброшенной части неизвестной нормальной силой Ni
(zi), которую направляем в сторону от рассматриваемого сечения, т.е.
считаем положительной (растягивающей). Тогда условие равновесия отсеченной
части бруса дает величину и соответствующий знак нормальной силы.
Составим уравнение равновесия в виде суммы
проекций на ось бруса всех сил, действующих на правую его часть и найдем на
участке I нормальную силу в сечении.
l1=1.5
м, l2=2
м, l3=2
м, q1=10
кН/м, q2=0, F1=30
кН, F2=20
кН, сталь 30ХМ.
Участок I.
Расстояние от свободного конца до сечения
обозначим z1, z1 изменяется в интервале [0 ≤z1<l1]
∑Z=N1
(z1)-F1;
N1 (z1)= F=3
кН,
Участок II
[0≤z2<l2],
ΣZ =
N2 (z2) -F1-F2
-
q1z2,
отсюда
N2(z2
) = F1 + F2 +q1z2,
при z2 = 0:
N2
(z2) = F1
+F2 = 30+20=50 кН.
при z2
= l2:
N2(z2
) = F1
+
F2
+q1l2=30+20+102=70
кН
Участок III
[0 ≤z3<l3],
ΣZ =
N3 (z3 ) - F1- F2
- q1 l2
N3(z3)
=F1+F2+q1l2=30+20+102=70
кН.
По полученным данным строим эпюру ЭN.
Построение эпюры напряжений.
Определим нормальные напряжения. Поскольку A0 неизвестна,
построим сравнительную эпюру напряжений (сохраним в знаменателе A0).
Участок I
Участок II:
при z2
= 0:
при z2
= l2:
На участке III:
Построим сравнительную эпюру напряжений.
Определение площади поперечного
сечения.
Для определения площади поперечного сечения А0,
анализируя построенную сравнительную эпюру напряжений, выявим опасное сечение.
Площадь А0 найдем из
условия прочности
σmax≤[σ],
где [σ]
- допускаемое напряжение находится по соотношению (1.3).
Если материал пластичный σоп
= σт,
при этом n = 1,5…3.
Если материал хрупкий σоп
= σв
, при этом n = 3…5.
Материал ступенчатого бруса сталь 30XM
пластичный, так как согласно справочным данным δ
>5 %.
Опасным напряжением является предел текучести σт
= 200МПа; тогда, выбирая коэффициент запаса n = 2, получим допускаемое
напряжение
По условию прочности
Тогда минимальный размер площади, обеспечивающий
прочность стержня:
Вычислим истинные напряжения по участкам:
Построим эпюру истинных напряжений.
Построение эпюры перемещений.
Для построения эпюры продольных перемещений ЭΔl
необходимо
определить перемещения Δl любых
точек оси бруса.
Так как брус имеет ступенчато-переменное
сечение, то в условиях рассматриваемого примера, участков, в пределах которых
проводят интегрирование, три. Рассмотрим участки в отдельности.
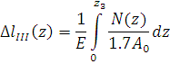
Участок III. Перемещение любого сечения участка
может быть выражено соотношением согласно формуле:
Соотношение для нормальной силы примет вид
N3
(z) = F1+F2+q1l2,
ΔlIII
(z3
= 0) = 0; ΔlIII(z3
= l3) - удлинение третьего участка или перемещение левой
границы третьего участка бруса.
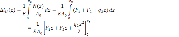
Участок II.
Найдем перемещение произвольного сечения на
расстоянии z2 от правой границы участка, выбирая за
начало координат левую границу участка II.
lII(z2=l2)
- удлинение второго участка.
Dl =
DlIII
(l3 ) +DlII
(l2 ) = 0.59+0.86= 1.45 мм.
Участок I.
Найдем перемещение произвольного сечения на
расстоянии z1 от правой границы участка, выбирая за начало
координат левую границу участка I.
так как за начало координат выбрана левая
граница участка I, соотношение для нормальной силы примет вид
N1(z)
= F1 ,
Dl =
DlIII
(l3 ) +DlII
(l2 ) +DlI
(l1) = 0.59+0.86+0.27 = 1.72 мм.
По найденным значениям необходимо построить
эпюру перемещений.
Задача 2.
РАСЧЕТ НА ПРОЧНОСТЬ СТУПЕНЧАТОГО БРУСА ПРИ КРУЧЕНИИ
Условие задачи
Ступенчатый брус нагружен равномерно
распределенным моментом интенсивностью m и сосредоточенными скручивающими
моментами М1, М2 и М3. Принять, что сечение,
где возникает реактивный момент М4, неподвижно.
Необходимо:
1) определить реактивный момент М4,
возникающий в неподвижном сечении бруса;
) построить эпюру крутящих моментов;
) выбрать опасное сечение бруса из условий
прочности;
) определить диаметр поперечных сечений бруса;
) построить эпюру максимальных касательных
напряжений;
) построить эпюру относительных углов
закручивания;
) построить эпюру углов закручивания.
Определение реактивного момента.
Исходя из условия равновесия вала, составим
уравнение
∑Mz = - M1 + M2
- ml3 + M3 -М4 = 0.
Получаем реактивный момент
M4 = -M1 + M2 -
ml3 + M3.
При указанных выше исходных данных 4
= -15 + 0 - 0⋅0,4 +20 = 5 кНм.
Реактивный момент M4 вращает вал в
направлении, указанному на схеме.
Изобразим расчетную схему согласно заданным
силам и соотношениям. Покажем на расчетной схеме фактическое направление
действия момента M4.

Выберем подвижную систему осей координат y, z,
при этом первоначально расположим ее в неподвижном сечении.
Рассмотрим участки в отдельности, каждый раз
составляя уравнения равновесия рассматриваемой части бруса.
Участок I
Мысленно проведем сечение в начале участка I и
из условия равновесия левой отсеченной части вычислим крутящий момент в этом
сечении. z1 изменяется в интервале [0 ≤ z1 ≤
l1]
∑Mz
= Mк1-М1;
Мк1 = М1 = 15 кН.
Участок II
В пределах участка z2 изменяется в
интервале [0 ≤ z2 < l2]
∑ Mz
= Mк2-М1+М2=0
Mк2=М1-М2=15-0=15
кНм.
Участок III 3 изменяется в интервале
[0 ≤ z3≤ l3]
∑ Mк3-М1+М2+М3=0
Mк3=М1-М2-М3
Mк3=15-0-20=
-5 кНм.
Определение опасного сечения.
Найдем моменты сопротивления сечений и значения
напряжений по участкам.
Участок I [0 ≤ z1≤ 11]
Dнар=d,
Dвнут.=0
Участок II [0 ≤ z2 ≤ l2]
Dнар=1.2d,
Dвнут.=0.8d
Участок III [0 ≤ z3 ≤ l3]
Dнар=0.8d,
Dвнут.=0.5d
Эпюра максимальных значений касательных
напряжений, выраженных через параметр d3, показана на рисунке.
Наиболее опасными по величине напряжений будут сечения на участке I
[0 ≤ z1 ≤ l1], где
.
Определение диаметра бруса.
Размер d найдем, приравнивая выражение для
максимального касательного напряжения в
опасном сечении значению допускаемого напряжения
по формуле:
=[t]
.
Для заданного материала нержавеющей стали Д16
имеем
σ0,2
=340 МПа и σв=
435 МПа.
Так как
выбираем
запаст = 2.
Тогда τ0,3
= 0,5 ×
σ0,2
= 170 МПа согласно,
МПа.
Принимая максимальное значение касательного
напряжения tmax,max
равным допускаемому, получим
=[t]
,
=
,
отсюда
,
d=0.097 м.
Построение эпюры максимальных
касательных напряжений.
С помощью полученного значения диаметра d найдем
максимальные касательные напряжения по длине бруса. Участок I [0 ≤ z1≤
11]
Па= 85 МПа
Участок II [0 ≤ z2 ≤ l2]
Участок III [0 ≤ z3 ≤ l3]
.
По найденным значениям построим эпюру
максимальных касательных напряжений по длине вала.
Построение эпюры относительных углов
закручивания.
Эпюру относительных углов закручивания θ
получаем из эпюры крутящих моментов Мк.
Для материала сталь Д16, где E = 0.72⋅105
МПа и µ = 0,33, определим G по формуле
эпюра брус сечение напряжение
МПа.
Для сечений данного бруса значения полярных
моментов инерции и относительных углов закручивания при d = 0.097 м имеют вид:
Участок I [0 ≤ z1≤ 11]
Dнар=d=0.097
м, Dвнут.=0
Мк1=15 кНм
1/м
Участок II [0 ≤ z2 ≤ l2]
Dнар=1.2d=0.116
м, Dвнут.=0.8d=0.078
м
1/м
Участок III [0 ≤ z3 ≤ l3]
1/м
По найденным значениям построим эпюру
относительных углов закручивания по длине вала.
Построение эпюры углов закручивания.
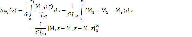
Рассмотрим участки в отдельности. Неподвижное
сечение находится в месте, где возникает реактивный момент М4,
поэтому начнем с участка III
и найдем угол закручивания левой границы участка, выбирая за начало координат
правый торец.
Участок III.
Угол закручивания любого сечения участка может
быть выражен соотношением:
.
Mк3=М1-М2-М3
Участок II.
Угол закручивания второго сечения участка может
быть выражен соотношением:
.
Уравнение для крутящего момента МК2(z)
имеет вид:
Mк2=М1-М2,
Угол закручивания правого сечения второго
участка бруса:
Общий угол закручивания сечения на конце второго
участка бруса будет равным
рад.
Участок I.
Угол закручивания третьего сечения участка может
быть выражен соотношением:
.
Уравнение для крутящего момента МК1(z)
имеет вид:
Mк1=М1,
Угол закручивания правого сечения третьего
участка бруса:
Найдем общий угол закручивания правого сечения
на правом конце III
участка:
j=
рад.
Итак, по найденным значениям построим эпюру
углов закручивания.
Задача 3.
РАСЧЕТ СТАЛЬНОЙ БАЛКИ НА ПРОЧНОСТЬ И ПОДБОР СЕЧЕНИЯ
Условие задачи
Стальная балка нагружена сосредоточенной силой F
равномерно распределенной нагрузкой интенсивностью q и сосредоточенным
изгибающим моментом М.
Принять допускаемое напряжение для материала
профиля [σ]=16⋅104
кН/м2.
Необходимо:
1) определить реакции опор - только для балки с
шарнирным закреплением;
) построить эпюры поперечных сил и изгибающих
моментов;
) проверить правильности построения эпюр по
дифференциальным зависимостям при изгибе между Мх, Q и q;
) найти опасное сечение и определить момент
сопротивления балки из условия прочности по нормальным напряжениям;
) определить требуемый номер профиля поперечного
сечения.
Сравнить в опасном сечении максимальные
нормальные напряжения с допускаемыми.
Определить, на сколько процентов балка
недогружена или перегружена. Перегрузка при этом не должна превышать 5 %.
Вычертить сечение в масштабе 1:2.
l1=1.0
м,
l2=0.5
м,
l3=0.4
м,
m=0 кНм,
F=10 кН,
q=20 кН/м.
Определение реакций опор.
Определим опорные реакции, для этого обозначим
опоры левую - А, правую - В.
Выберем систему координатных осей y, z. Ось у
направим по вертикали вверх; ось z - по оси бруса AВ вправо. В соответствии с
видом каждой опоры приложим неизвестные опорные реакции RАy и RАz,
RВ.
Направление неизвестных в ту или иную сторону
назначается произвольно.
Запишем условия равновесия бруса АВ:
Из полученных уравнений определим неизвестные
реакции опор:
Проведем проверку правильности определения
опорных реакций, для этого должно удовлетворяться условие равновесия
8.2×103-10×103-20×103×0.5+11.8×103=0
Найденные величины опорных реакций проставляются
на схеме.
Построение эпюры поперечных сил и
изгибающих моментов при изгибе.
Разобьем балку на три участка. Границами
участков являются сечения, в которых приложены внешние (активные или
реактивные) сосредоточенные силы или моменты, а также сечения, где начинается
или оканчивается распределенная нагрузка или изменяется закон ее интенсивности
по длине балки q = q(z). Участок I.
Расстояние от свободного конца до сечения
обозначим z1.
z1 изменяется в интервале [0≤ z1<l1].
Q(z1)=RAy=8.2
кН
М(z1)=
RAy×z1
М(z1=0)=
RAy
×=0
М(z1=l1)=
8.2×=
8.2 кНм
Аналогично по другим участкам.
Участок II.
Расстояние от свободного конца до сечения обозначим
z2.
z2 изменяется в интервале [0≤ z2<l2].
Q(z2)=
RAy-F-q×z2
при z2=0
Q(z2=0)=8.2-10-20×0=
- 1.8 кН
при z2=0.5
м Q(z2=0.5)=8.2-10-20×0.5=
- 11.8 кН
М(z2)=
RAy×l1+z2-Fz2-qz22/2
М(z2=0)=
8.2×1-0=8.2 кНм
М(z2=l2)=
8.2×.5-10×0.5×20×0.52/2=
4.7 кНм
Участок III.
Расстояние от свободного конца до сечения
обозначим z3.
z3 изменяется в интервале [0≤ z3<l3].
Q(z3)=
-RB= -11.8 кН
М(z3)=
RB×z1
М(z3=0)=
0
М(z3=l3)=
11.8×0.4=
4.7 кНм
Определение опасного сечения и
момента сопротивления балки.
Так как стальная балка по условию одинаково
сопротивляется растяжению и сжатию [σ]р=[σ]cж=[σ]=16⋅104
кН/м2, то условие прочности по нормальным напряжениям имеет вид:
, где
Wx
- осевой момент сопротивления опасного сечения.
Для подбора сечения балки и проектного расчета
из условия прочности определяют требуемую величину осевого момента
сопротивления
.
Итак, опасным сечением будет сечение, где
действует Мx max.
Для балки видно, что Мx max = 8.2
кНм. Определяем требуемую величину осевого момента сопротивления:
Определение требуемого номера
профиля поперечного сечения.
Так как заданное сечение составное, то для
нахождения размеров одного профиля (его номера), необходимо определить его
момент сопротивления:
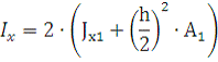
, где
Ix
- осевой момент инерции составного сечения, находится по зависимостям,
полученным при параллельном переносе осей
Тогда
(*)
По таблице сортамента для заданного стандартного
профиля-двутавра находим номер профиля, для которого условие (*) выполняется.
Выбираем двутавр №10.
см3,
что больше Wx=51
см3.
Следовательно, прочность балки обеспечена.
СПИСОК ЛИТЕРАТУРЫ
1. Дарков А. В., Шпиро Г. С.
Сопротивление материалов: Учеб. для техн. Вузов. -5-е изд., перераб. и доп. -
М.: Высш. шк., 1989. - 624 с.
. Феодосьев В. И. Сопротивление
материалов: Учеб. для техн. Вузов. - 10-е изд., перераб. -М.: Наука, 1998. -
420 с.
. Гафаров Р. Х., Жернаков В. С. Что
нужно знать о сопротивлении материалов: Учеб. пособие / Под ред. В. С.
Жернакова. - М.: Машиностроение, 2001. - 276 с.
. Пособие к решению задач по
сопротивлению материалов: Учеб. пособие для техн. вузов / И. Н. Миролюбов, С.
А. Енгалычев, Н. Д. Сергиевский и др. - 5-е изд., перераб. и доп. - М.: Высш.
шк., 1985. - 399 с., ил.
. Сборник задач по сопротивлению
материалов/ Под ред. В. К. Качурина. - Гл. ред. Физ.-мат. литературы изд.
«Наука». - М., 1972. - 432 с.