Расчет и анализ напряженно-деформированного состояния сварного и сборного корпуса для комплекса съемочной аппаратуры микроспутников
Реферат
Дипломный проект: 101 стр., 50 ил., 18 таб., 26 ист., 1 прил.
КОМПЬЮТЕРНАЯ МЕХАТРОНИКА, КОМПЛЕКС СЪЕМОЧНОЙ АППАРАТУРЫ МИКРОСПУТНИКОВ.
Цель проекта: Расчет и анализ напряженно-деформированного состояния
сварного и сборного корпуса для комплекса съемочной аппаратуры микроспутников.
В результате выполнения был сделан расчет напряженно-деформированного
состояния сварного и сборного корпуса для комплекса съемочной аппаратуры
микроспутников.
Практическая реализация возможностей математического моделирования и
вычислительного эксперимента существенно повышает эффективность инженерных
разработок особенно при создании принципиально новых, не имеющих прототипов
машин и приборов, материалов и технологий, что позволяет сократить затраты
времени и средств на использование в технике передовых достижений физики,
химии, механики и других фундаментальных наук.
Вычислительный эксперимент позволяет оптимизировать ранние стадии
проектных разработок, снизить стоимость продукции, сократить цикл разработки,
состоящий в изготовлении образцов-прототипов, их испытаниях и повторном
изготовлении образцов, а также свести к минимуму дорогостоящий процесс
доработки изделия. Таким образом, математическое моделирование является
неизбежной составляющей научно-технического прогресса.
Использование математического моделирования обеспечивает современным
инженерам конкурентное преимущество ещё и потому, что позволяет улучшать
существующие конструкции, в том числе и за счет учёта, существенных
особенностей свойств конструкционных материалов.
В связи с вышесказанным для сравнения напряженно-деформированного
состояния двух типов корпусов был поставлен эксперимент по изучению свойств
материалов и построена адекватная конечно-элементная модель. Результаты
эксперимента были сверены с численным решением. Построенная конечно-элементная
модель применялась для расчёта задачи о нахождении напряжённо-деформированного
состояния сварного и сборного.
Такой подход довольно трудоёмок, но в отличии от экспериментального
изучения напряжённо-деформированного состояния более экономичен, на стадии
разработки, даёт полную оценку полученной в последующем конструкции.
Студент дипломник подтверждает, что приведенный в дипломной работе
расчетно-аналитический материал объективно отражает состояние исследуемого
процесса, все заимствованные из литературных и других источников теоретические
и методологические положения и концепции сопровождаются ссылками на их авторов.
Содержание
Введение
. Современное состояние вопроса исследования
напряженно-деформированного состояния конструкций КЛА
.1 Обеспечение прочности и жесткости конструкции КЛА
.2 Обеспечение высокой технологичности конструкции
.3 Теоретические основы конечно-элементного анализа
.4 Выбор программного обеспечения. Описание и анализ
возможностей программного комплекса ANSYS
1.5 Основные уравнения теории упругости . Типы задач теории
упругости
.5.1 Основные уравнения теории упругости
.5.2 Типы задач теории упругости
1.5.3 Прямая и обратная задачи теории упругости
.5.4 Уравнения теории упругости в перемещениях (уравнения
Ламе)
. Обзор данных необходимых для инженерного анализа
.1 Описание комплекса съемочной аппаратуры микроспутников
.2 Свойства титана и титанового сплава
. Построение геометрических моделей и разбиение на конечные
элементы. Сборный и сварной корпус для комплекса съемочной аппаратуры
микроспутников
.1 Построение геометрической модели сборного корпуса для
комплекса съемочной аппаратуры микро спутников (КСАМ)
.2 Выбор и описание типов конечных элементов для сборного
корпуса
.3 Построение геометрической модели сварного корпуса для
комплекса съемочной аппаратуры микроспутников
.4 Выбор и описание типов конечных элементов для сварного
корпуса
. Сравнительный анализ жёсткости и прочности сварного и
сборного корпуса КСАМ
.1 Расчет сварного и сборного корпуса КСАМ на Земле
.2 Расчет сварного и сборного корпуса КСАМ при взлете
.3 Расчет воздействия температурных нагрузок на сборный и
сварной корпус КСАМ на орбите в космосе
.4 Сравнение двух корпусов на жесткость
.5 Выводы по главе
. Охрана труда
.1 Производственная санитария и техника безопасности
.2 Электробезопасность
.3 Пожарная безопасность
. Экономическая часть
Заключение
Список использованных источников
Введение
Так как данный дипломный проект связан с исследованием корпуса для
комплекса съемочной аппаратуры микроспутников, который относится к
космонавтике, рассмотрим историю создания белорусского космического аппарата.
Проект первого белорусского спутника возник в 2003 году. Космический
аппарат «БелКА» планировалось сделать элементом белорусско-российской
группировки спутников дистанционного зондирования Земли. Данные с него
необходимы для работы МЧС, Минприроды, Минтранса и других заинтересованных
ведомств.
Назначение аппарата:
· контроль возобновляемых и естественных природных ресурсов
· контроль за землепользованием и сельскохозяйственным
производством
· определение площадей, перспективных для поиска полезных
ископаемых
· контроль ресурсов и экологии шельфа (для зарубежных
заказчиков)
· контроль чрезвычайных ситуаций
· экологический контроль окружающей среды
· обновление топографических карт
Орбита спутника массой 750 кг круговая, солнечно-синхронная, высота 506
км, наклонение - 97,6°. «БелКА» должен облетать за сутки всю поверхность Земли,
в том числе Беларусь. Снимки, полученные с борта космического аппарата, дадут
возможность рассмотреть объекты на земной поверхности в панхроматическом режиме
(один канал) с разрешением 2-2,5 метра и в многоканальном режиме (4 канала) с
разрешением 10 метров. Оптикоэлектронную аппаратуру космического аппарата общим
весом 150-200 кг изготовили белорусские предприятия - «Пеленг», Институт
кибернетики, ряд других коллективов.
Хронология создания спутника:
· середина 2003 - начало разработки
· 3 ноября 2003 - согласование технических заданий на КА и его
системы, определение объема экспериментальной отработки
· 12 января 2004 - контракт на создание КА "БелКА"
между ЗАО "ЦНИИМАШ-Экспорт" и РКК "Энергия"
· февраль 2004 - выпуск эскизного проекта КА
· 22-23 марта 2004 - защита эскизного проекта в Национальной
академии наук Беларуси и ОАО "Пеленг"
· середина 2004 - завершение выпуска конструкторской
документации на КА
· ноябрь 2004 - испытания динамического макета КА
· начало 2004/ноябрь 2004 - изготовление корпуса летного
аппарата
· 4 февраля 2005/11 мая 2006 - всесторонние испытания
"БелК-и"
10 мая 2006 в Федеральном космическом агентстве прошло заседание
Государственной комиссии на которой было принято решение о вывозе космического
аппарата «БелКА» на космодром Байконур. Спутник был доставлен туда 11 мая.
Первоначально кластерный запуск (совместно с аппаратами Бауманец, УниСат-4 и
др.) с помощью ракеты-носителя «Днепр» было запланировано произвести 28 июня,
однако 13 июня было объявлено, что в связи с неисправностью в бортовом цифровом
вычислительном комплексе ракеты-носителя принято решение о её замене. Операция
по замене РН в шахтной пусковой установке займет до шести дней, после чего
будет вновь проведен полный цикл проверок. Новой датой запуска было названо 26
июля. К этой дате на Байконур прибыл Президент Белоруссии - Александр
Лукашенко. Запуск произошёл в 23:43 МСК, однако на 73-й секунде полета
произошло аварийное отключение двигателей ракеты. Фрагменты ракеты со
спутниками упали в пустынной местности на юге Казахстана, при этом никто не
пострадал. Для выяснения причин аварии была сформирована аварийная комиссия,
которая провела расследование.
Второй белорусский космический аппарат дистанционного зондирования Земли
был создан по заказу НАН Беларуси. Запуск осуществился с космодрома «Байконур»
22 июля 2012 года вместе с российским спутником «Канопус-В». Спутник примерно
за 43 минуты был выведен ракетой-носителем «Союз» и разгонным блоком «Фрегат»
на орбиту высотой примерно в 500-520 км. В дальнейшем спутник войдет в
группировку спутников, которая будет использоваться в проектах Союзного
государства. Масса спутника составляет 400 кг, разрешение - 2 метра.
августа 2012 года со спутника начали поступать первые космические снимки.
В данный момент на предприятии «Пеленг» в НКУ «Космос» в процессе
разработки находится комплекса съемочной аппаратуры микроспутников, который
является объектом моего исследования.
Задачами моего дипломного проекта является исследование
напряженно-деформированного состояния двух типов корпусов (далее КСАМ), а также
предложить свой вариант облегчения КСАМ без существенных изменений физических
характеристик конструкции.
1.
Современное состояние вопроса исследования напряженно-деформированного
состояния конструкций КЛА
1.1
Обеспечение прочности и жесткости конструкции КЛА
Прочность конструкции. Под прочностью конструкции ЛА в целом и отдельных
его элементов понимают их способность выдерживать действующие нагрузки без
остаточных деформаций и разрушения. Решение задачи по обеспечению прочности
включает в себя ряд регламентов, перечень и содержание которых определяются
концепцией проектирования конструкций. Современные концепции условно можно
разделить на три группы: детерминистические, вероятностные и оптимизационные.
Основу детерминистического подхода составляет коэффициент
безопасности, определяемый как отношение разрушающей нагрузки к
эксплуатационной:
Разрушающей называется такая нагрузка Nразр, при которой возникает предельное напряженно-деформированное
состояние материала элементов конструкции, соответствующее началу разрушения
или появлению больших деформаций, при которых нарушается работа конструкции.
Под эксплуатационной Nэ
нагрузкой понимают
наибольшую возможную при нормальной эксплуатации нагрузку, определенную
расчетом.
Определение параметров конструкции и расчет прочности ведется, как
правило, по разрушающим нагрузкам. Поскольку разрушение конструкций может
происходить вследствие исчерпания прочности или вследствие потери устойчивости,
то соответственно в качестве разрушающих напряжений принимают предел прочности
материала σв
или критическое напряжение σкр . Для конструкций с многократным
повторным действием нагрузок напряжения растяжения или сжатия, действующие при
эксплуатационной нагрузке, не должны превышать условного предела текучести
материала σ0,2 (чтобы практически исключить остаточные деформации). В этих случаях,
которые оговариваются особо, расчет прочности удобнее проводить по
эксплуатационным нагрузкам и действующие напряжения σэдейст сравнивать с напряжениями σ0,2 т.е. σэдейст ≤ σ0,2.
Исторически коэффициент безопасности вводился с целью учета
неопределенных отклонений, неизбежно имеющих место на практике. В числе таких
неопределенностей:
отклонения, вызванные неточностью определения и
случайным характером внешних нагрузок;
неточности расчетных методов на прочность;
отклонения в прочностных свойствах материалов;
отклонения, вызываемые износом в процессе эксплуатации;
технологические отклонения при производстве и сборке.
Для уменьшения коэффициента безопасности необходимо изучать эти пять
источников отклонений. В современных условиях для беспилотных ЛА коэффициент
безопасности, равный 1,3, считается общепринятым стандартом; для ответственных
элементов конструкции принимают f =
1,5. Для пилотируемых ЛА коэффициент безопасности имеет большие значения: f =
1,5-2.
Хотя детерминистический подход принят и широко применяется, пересмотр его
то возобновляется, то прекращается. Существуют сторонники изменений и
сторонники сохранения существующего положения. Возможно, назначенный
коэффициент безопасности 1,3 (1,5 или 2) является рациональным, поскольку он
основан на опытных данных по эксплуатации пилотируемых и беспилотных
летательных аппаратов. Но, с другой стороны, он является произвольным, так как
мы до сих пор не располагаем достоверной количественной оценкой
неопределенностей в конструировании, технологии и эксплуатации, которые должны
компенсировать с помощью коэффициента безопасности. Однако независимо от того,
может или не может быть оценена количественно степень полетной безопасности,
обеспечиваемой коэффициентом безопасности, опытом его применения нельзя
пренебрегать.
Вероятностные методы определения расчетных условий прочности основаны на
установлении соотношения между прочностью конструкции и ее надежностью. Уровень
надежности задается детерминистически на основе опыта эксплуатации существующих
ЛА или по требованиям заказчика. Кроме того, в некоторых методах вероятностного
подхода задается распределение надежности по различным элементам конструкции.
При этом расчетные нагрузки и коэффициент безопасности определяются в
соответствии с заданным уровнем надежности.
Заметим, что уровень вероятности разрушения в качестве регламента
прочности - физически более ощутимая величина по сравнению с коэффициентом
безопасности. Даже не прибегая к установлению оптимального значения вероятности
разрушения конструкции, можно судить об относительной надежности путем
сравнения ее с механической надежностью уже существующих ЛА.
Вероятностные подходы к конструированию рассматриваются как более
реалистичные по сравнению с детерминистическими. Вместе с тем пока не
приходится говорить об их широком внедрении. Одна из причин такого положения
состоит в отсутствии необходимых статистических материалов по внешним нагрузкам
и прочностным характеристикам конструкции; нельзя недооценивать и роль
традиций.
В оптимизационных методах регламенты прочности формируются на
основе решения оптимизационной задачи. Чаще всего оптимизируется коэффициент
безопасности. С его увеличением, с одной стороны, растет масса и,
следовательно, уменьшается эффективность ЛА, но, с другой стороны, уменьшаются
потери от возможного разрушения.
В качестве критериев оптимальности в этих задачах выбираются условия
получения минимальной массы при заданном уровне надежности или минимуме
экономических затрат при выполнении целевой задачи. Возможны и другие целевые
функции. Типичные трудности, возникающие при практическом решении
оптимизационных задач, заключаются в сложности способов отыскания экстремумов
функций многих переменных при наличии дополнительных ограничений, а также в
сложности получения достоверных стоимостных данных при использовании
экономических критериев. конструкция космический
летательный аппарат
Даже краткий анализ концепций нормирования прочности указывает на то, что
в настоящее время детерминистический подход является преобладающим. Однако и
другие подходы нельзя сбрасывать со счетов. Они могут и должны рассматриваться
в качестве научной базы для обоснования детерминистических регламентов. Можно
ожидать, что со временем более широко будут использоваться вероятностные
подходы к проектированию конструкций, но степень их применимости может иметь
определенную границу. Будущие подходы, вероятно, будут более строгими и
одновременно будут включать упрощения чисто статистического характера.
Коэффициент безопасности - важнейший, но не единственный регламент
прочности в детерминистическом подходе. При проектировании конструкций
используется еще целая группа регламентов, связанных с внешними нагрузками. Их
подробное рассмотрение является задачей курса «Расчет ЛА на прочность». Поэтому
мы ограничимся рассмотрением лишь проектного аспекта внешних нагрузок.
1.2
Обеспечение высокой технологичности конструкции
Основное содержание данного этапа состоит в «материализации» исходного
решения, насыщении его информацией, отражающей требования производственной и
эксплуатационной технологичности. Результатом этого этапа конструирования
является выпуск рабочей конструкторской документации или других носителей
информации, необходимых для изготовления деталей и сборки узлов, агрегатов и
всего ЛА в целом. Требование высокой технологичности, как правило, приводит к
утяжелению и в ряде случаев - к усложнению конструкций. Повышению
технологичности способствуют: расчленение конструкции на агрегаты, отсеки и
панели; минимальное число деталей; простые конфигурации деталей, допускающие
применение высокопроизводительных процессов; правильный выбор конструкционных
материалов с учетом их технологических свойств; минимальный расход материалов.
Простота конструкции, пожалуй, самая комплексная характеристика
технологичности. Создать простую конструкцию всегда труднее, чем сложную, но
зато такая конструкция всегда значительно лучше осваивается производством.
Упрощение конструкции достигается за счет целого ряда факторов: важное значение
имеют простые конфигурации деталей, использование стандартных и нормализованных
деталей, применение минимального числа типоразмеров и номенклатуры материалов и
полуфабрикатов. Большие возможности упрощения конструкции открывает также
использование ранее освоенных в производстве и опробованных в эксплуатации
узлов и деталей. Простота и технологичность конструкций существенно зависят от
метода получения заготовок.
Значительное влияние на технические свойства ЛА оказывает применяемый
материал. Механические и физические свойства материала должны обеспечивать
минимальную массу конструкции, допускать применение высокопроизводительных
технологических процессов. Материалы должны быть коррозионно-стойкими,
недорогими и изготовленными из недефицитного сырья. С точки зрения технологии
производства и эксплуатации очень важно, чтобы конструкционный материал не имел
склонности к образованию трещин и хорошо обрабатывался. Эти качества материала
тем лучше, чем выше его пластичность, которая свидетельствует о способности материала
поглощать энергию при деформации и потому является важнейшей характеристикой
работоспособности, а следовательно, и ресурса конструкции.
Производственно-технологическое совершенство ЛА зависит также и от общего
технического уровня производства - степени освоения передовых методов обработки
материалов, состояния станочного парка, уровня автоматизации и механизации
производственных процессов и т.п. Технологичность конструкции ЛА проявляется на
этапе его создания через трудоемкость и себестоимость производства. На
последующих стадиях жизненного цикла ЛА она влияет на его эффективность через
такие эксплуатационные факторы, как удобство контроля состояния, обслуживания и
ремонта, надежность и долговечность и т.п.
1.3
Теоретические основы конечно-элементного анализа
Метод конечных элементов представляет собой эффективныйчисленный метод
решения инженерных и физических задач. Область его применения простирается от
анализа напряжений в конструкциях самолетов или автомобилей до расчета таких
сложных систем, как атомная электростанция. С его помощью рассматривается
движение жидкости по трубам, через плотины, в пористых средах, исследуется
течение сжимаемого газа, решаются задачи электростатики и смазки, анализируются
колебания систем.
Метод конечных элементов (МКЭ) - численный метод решения дифференциальных
уравнений с частными производными, а также интегральных уравнений, возникающих
при решении задач прикладной физики. Метод широко используется для решения
задач механики деформируемого твёрдого тела, теплообмена, гидродинамики и
электродинамики.
Суть метода следует из его названия. Область, в которой ищется решение
дифференциальных уравнений, разбивается на конечное количество подобластей
(элементов). В каждом из элементов произвольно выбирается вид аппроксимирующей
функции. В простейшем случае это полином первой степени. Вне своего элемента
аппроксимирующая функция равна нулю. Значения функций на границах элементов (в
узлах) являются решением задачи и заранее неизвестны. Коэффициенты
аппроксимирующих функций обычно ищутся из условия равенства значения соседних
функций на границах между элементами (в узлах). Затем эти коэффициенты
выражаются через значения функций в узлах элементов. Составляется система
линейных алгебраических уравнений. Количество уравнений равно количеству
неизвестных значений в узлах, на которых ищется решение исходной системы, прямо
пропорционально количеству элементов и ограничивается только возможностями ЭВМ.
Так как каждый из элементов связан с ограниченным количеством соседних, система
линейных алгебраических уравнений имеет разрежённый вид, что существенно
упрощает её решение.
С точки зрения вычислительной математики, идея метода конечных элементов
заключается в том, что минимизация функционала вариационной задачи
осуществляется на совокупности функций, каждая из которых определена на своей
подобласти, для численного анализа системы позволяет рассматривать его как одну
из конкретных ветвей диакоптики - общего метода исследования систем путём их
расчленения.
В настоящее время область применения метода конечных элементов очень
обширна и охватывает все физические задачи, которые могут быть описаны
дифференциальными уравнениями.
Наиболее важными преимуществами метода конечных элементов, благодаря
которым он широко используется, являются следующие:
– Свойства материалов смежных элементов не должны быть обязательно
одинаковыми. Это позволяет применять метод к телам, составленным из нескольких
материалов;
– Криволинейная область может быть аппроксимирована с помощью
прямолинейных элементов или описана точно с помощью криволинейных элементов.
Таким образом, методом Можно пользоваться не только для областей с «хорошей»
формой границы;
– Размеры элементов могут быть переменными. Это позволяет укрупнить
или измельчить сеть разбиения области на элементы, если в этом есть
необходимость;
– С помощью метода конечных элементов не представляет труда
рассмотрение граничных условий с разрывной поверхностной нагрузкой, а также
смешанных граничных условий;
– Указанные выше преимущества метода конечных элементов могут быть
использованы при составлении достаточно общей программы для решения частных
задач определенного класса.
Главный недостаток метода конечных элементов заключается к необходимости
составления вычислительных программ и применения вычислительной техники. Вычисления,
которые требуетсяпроводить при использовании метода конечных элементов, слишком
громоздки для ручного счета даже в случае решения очень простых задач.
Стоит отметить, что метод конечных элементов, конечно, является
приближенным численным методом, и тем самым имеет некоторую степень
погрешности. Однако, в нем заложено большое количество параметром с помощью
которых можно управлять степенью точности получаемых результатов
(измельченность сетки, параметры нагружения и методов получения решения). Отдельным
вопросом является степень адекватности решаемой математической модели ее
физическому прототипу. Все это возлагается на плечи инженера-расчетчика,
ответственность за результат несет только он. Но следует сказать, что МКЭ
позволяет исследовать конструкции почти неограниченной степени сложности. В то
время как это объективно невозможно с использованием аналитических методов.
Основная идея метода конечных элементов (МКЭ) состоит в том, что любая
непрерывная величина (температура, давление, перемещение) аппроксимируется
дискретной моделью, построение которой выполняется на множестве
кусочно-непрерывных функций, определенных на конечном числе подобластей.
Алгоритм построения дискретной модели изучаемой непрерывной величины
заключается в следующем:
– В рассматриваемой области фиксируют конечное число точек. Эти точки в
дальнейшем называют узлами;
– Полагают, что исследуемая непрерывная величина в каждом узле
является переменной, подлежащей определению в процессе решения задачи;
– Область изменения непрерывной величины разбивают на элементы. Эти
элементы имеют между собой общие узлы и, в совокупности, аппроксимируют форму
области в целом;
– Непрерывную величину аппроксимируют в пределах каждого элемента
полиномом, коэффициенты которого рассчитывают на основании значений этой
величины в узлах. Каждый элемент аппроксимируют своим полиномом, а коэффициенты
полиномов подбирают таким образом, чтобы сохранялась непрерывность величины
вдоль границ соседних элементов.
Фундаментальный принцип МКЭ заключается в разбиении изучаемой области на
элементарные области конечных размеров (конечные элементы) [18]. В каждом таком
элементе неизвестная функция аппроксимируется полиномом, степень которого
меняется в зависимости от аппроксимируется задачи, но остается обычно невысокой
(от 1 до 6). Для каждого элемента аппроксимирующий полином определяется его
коэффициентами. Коэффициенты могут быть определены значениями функции в частных
точках, называемых узлами элемента. Если известна функция в каждом узле, то
имеется возможность ее аппроксимации на всей области. Можно также сказать, что
неизвестная функция A(x,y,z) зависит от M параметров A1, A2, ...,
AM, являющихся неизвестными, которые функция принимает в каждом узле
каждого элемента. Определение параметров A1, A2, ..., AM
является этапом определения A(x,y,z).
Зная вариационное представление задачи,
, (1)
заменяют тройной интеграл на сумму интегралов на каждом конечном элементе
области:
, (2)
где Ne - число элементов
разбиения;e - часть F
на элементе с номером e.
На каждом элементе с номером e функция A может быть заменена ее
аппроксимацией, интегрирование которой дает F(A) в виде функции одних только
параметров элемента e.
Суммируя, получают:
. (3)
Принимая во внимание, что некоторые из узлов 1, 2, ...,M являются общими
для нескольких элементов и что вклад каждого элемента должен учитываться в
выражении для функции F относительно величин A1, A2, ...,
AM неизвестной функции в этих узлах, когда объединяют элементы для
всей области.
Отыскивается оптимум F по всей области, имея в виду, что частные
производные F относительно величин A1, A2, ..., AM
одновременно обращаются в нуль:
(4)
Эта операция приводит к составлению системы из M уравнений с M
неизвестными, которые определяют величины A1, A2, ..., AM
в узлах разбиения. Правая часть этих уравнений получается, исходя из той части
функционала, которая содержит в себе члены, характеризующие источники, или на
основе значений А, заданных на границе области (неоднородные граничные условия-Дирихле). При использовании МКЭ приходится
вычислять определенные интегралы, когда на каждом элементе сети разбиения
определяется элементарная матрица интегрированием на каждом элементе
функционала, аппроксимируемого с помощью функций формы. Если же элементы
криволинейны или задача нелинейна, аналитическое интегрирование становится
невозможным и тогда приходится прибегать к численному интегрированию. Использование
МКЭ приводит к вычислению определенных интегралов на отрезках прямых, дуг
кривых или в некоторых областях. При интегрировании по области можно
использовать интегрирование по каждому ее элементу, тогда для интегралов,
упомянутых выше, необходимо использовать эффективные и точные методы численного
интегрирования.
.4
Выбор программного обеспечения. Описание и анализ возможностей программного
комплекса ANSYS
Популярность МКЭ способствовала созданию различных коммерческих пакетов
программ, среди которых можно отметить следующие часто используемые: NASTRAN,
ASKA, MICROFLUX, GE2D, ANSYS.
Все пакеты, реализующие метод конечных элементов, состоят из
информационной и вычислительной частей. Информационная часть - база данных (БД)
пакета - содержит описания используемых данным пакетом типов элементов
(библиотеку элементов), библиотеку материалов, справочную систему. Физически
представляет собой набор файлов, расположенных в том каталоге, куда был
установлен пакет.
Вычислительная часть пакетов МКЭ представляет собой набормодулей
(называемых обычно процессорами), выполняющих определенныефункции и
объединенных общей оболочкой (реализация этой идеи различнав разных пакетах -
модули могут представлять собой отдельные EXE-файлы,либо входить в единый файл
в виде подпрограмм). Среди процессоровобычно выделяют препроцессор
(preprocessor) - модуль подготовкиисходных данных, вычислительный процессор -
solver(или вычислительныепроцессоры - для пакетов, решающих широкий круг задач)
и постпроцессор(postprocessor) - средство визуализации и анализа результатов
расчета.
Стоит отметить, что настоящее время существует набор пакетов,
моделирующих непосредственно структуру композиционных материалов. К сожалению,
данные пакеты чаще всего имеют слабый геометрический модуль и дороги в финансовом
плане. Зачастую пользователь таких пакетов сталкивается с проблемой
моделирования сложных деталей и сборок, необходимостью их адаптации (в том
числе длительного периода подготовки) и интеграции а также с проблемой
ограниченности расчетного ресурса. Поэтому зачастую организации, занимающиеся
расчетами, стремятся подобрать наиболее универсальный пакет, способный решать
задачи различных областей. Одним из таких пакетов является ANSYS.
ANSYS
- это универсальный конечно-элементный программный пакет (разработчиком
которого является компания ANSYS Inc. <#"792774.files/image006.gif">
, девять функций.
1.5.1
Основные уравнения теории упругости
Для того, чтобы найти эти девять функций надо записать основные уравнения
теории упругости, или:
Дифференциальные Коши
(17)
где - компоненты тензора линейной части деформаций Коши;
компоненты тензора производной перемещения по радиусу.
Дифференциальные уравнения равновесия
(18)
где - компоненты тензора напряжений; - проекция объемной силы на ось j.
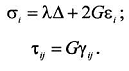
Закон Гука для линейно-упругого изотропного тела
(19)
где - константы Ламе; для изотропного тела. Здесь - нормальные и
касательные напряжения; деформации и углы сдвига соответственно.
Вышеперечисленные уравнения должны удовлетворять зависимостям Сен-Венана
(20)
В теории упругости задача решена, если выполняются все основные
уравнения.
1.5.2 Типы
задач теории упругости
Граничные условия на поверхности тела должны выполняться и в зависимости
от типа граничных условий различают три типа задач теории упругости.
Первый тип. На поверхности тела заданы силы. Граничные условия
Второй тип. Задачи, в которых на поверхности тела задано перемещение.
Граничные условия
Третий тип. Смешанные задачи теории упругости. На части поверхности тела
заданы силы, на части поверхности тела задано перемещение. Граничные условия
1.5.3
Прямая и обратная задачи теории упругости
Задачи, в которых на поверхности тела заданы силы или перемещения, а
требуется найти напряженно-деформированное состояние внутри тела и то, что не
задано на поверхности, называют прямыми задачами. Если же внутри тела заданы
напряжения, деформации, перемещения и т.д., а требуется определить то, что не
задано внутри тела, а также перемещения и напряжения на поверхности тела (то
есть найти причины, вызвавшие такое напряженно-деформированное состояние) ), то
такие задачи называются обратными.
1.5.4
Уравнения теории упругости в перемещениях (уравнения Ламе)
Для определения уравнений теории упругости в перемещениях запишем:
дифференциальные уравнения равновесия (18) закон Гука для линейно-упругого
изотропного тела (19)
(19)
Если учесть, что деформации выражаются через перемещения (17), запишем:
(22)
Следует также напомнить, что угол сдвига связан с перемещениями следующим
соотношением (17):
(23)
Подставив в первое уравнение равенств (19) выражение (22), получим, что
нормальные напряжения
(24)
Отметим, что запись иц в данном случае не подразумевает суммирования по i.
Подставив во второе уравнение равенств (19) выражение (23), получим, что
касательные напряжения
(25)
Запишем уравнения равновесия (18) в развернутом виде для j = 1
(26)
Подставив в уравнение (26) выражения для нормальных (24) и касательных
(25) напряжений, получим
(27)
где λ- константа Ламе, которая определяется по выражению:
(28)
Подставим выражение (28) в уравнение (27) и запишем,
(29)
где определяется по выражению (22), или в развернутом виде
Разделим выражение (29) на G и
приведем подобные слагаемые и получим первое уравнение Ламе:
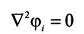
(30)
где - оператор Лапласа (гармонический оператор), который определятся как
(31)
Аналогично можно получить:
(32)
Уравнения (30) и (32) можно записать в следующем виде:
(33)
Уравнения (33) или (30) и (32) являются уравнениями Ламе. Если объемные
силы равны нулю или постоянны, то
(34)
причем запись в данном случае не подразумевает суммирования по i. Здесь
(35)
или, с учетом (31)
(36)
Подставив (22) в (34) и проведя преобразования, получим
а, следовательно
(37)
где - функция, удовлетворяющая данному равенству. Если
следовательно, f -
функция гармоническая. Значит и объемная деформация также функция
гармоническая.
Считая верным предыдущее предположение, возьмем гармонический оператор от
i -ой строчки уравнения Ламе
(38)
Где
(39)
Если объемные силы равны нулю или постоянны, то компоненты перемещения
есть бигармонические функции.
Известны различные формы представления бигармонических функций через
гармонические (удовлетворяющие уравнениям Ламе).
где k = 1,2,3. Причем
и
Можно показать, что такое представление перемещений через гармоническую
функцию обращает в тождество уравнения Ламе (33). Часто их называют условиями
Попковича-Гродского. Четыре гармонические функции не обязательны, ведь ф0 можно
приравнять нулю.
2.
Обзор данных необходимых для инженерного анализа
2.1
Описание комплекса съемочной аппаратуры микроспутников
Рассматриваемый в дипломной работе корпус, является одним из основных
частей оптоэлектронного прибора, предназначенного для дистанционного наблюдения
за поверхностью земли. Корпус представляет собой форму куба, размещенный на
микроспутнике. Внешний вид корпуса представлен на рисунке 2.1.1.
Рисунок 2.1.1 - Корпус оснащённый комплексом съёмочной аппаратуры микро
спутника.
Упоминаемый выше корпус кубической формы имеет ряд технологических
отверстий. На передней стенке имеется два объектива. Для укрепления конструкции
используются балки и кронштейны. Инновация дипломного проекта состоит в том,
что разрабатывается наиболее устойчивый к деформациям корпус который имеет
сразу два объектива с разным принципом действия.
2.2
Свойства титана и титанового сплава
Основные сведения о титане
Титан (Ti) (Titanium) - химический элемент с порядковым номером 22,
атомный вес 47,88, легкий серебристо-белый металл. Плотность 4,51 г/см3,
tпл.=1668+(-)5°С, tкип.=3260°С. Для технического титана марок ВТ1-00 и ВТ1-0
плотность приблизительно 4,32 г/см3. Титан и титановые сплавы сочетают
легкость, прочность, высокую коррозийную стойкость, низкий коэффициент
теплового расширения, возможность работы в широком диапазоне температур.
История открытия титана
Оксид титана TiO2 впервые был обнаружен в 1789 году У. Грегором, который
при исследовании магнитного железистого песка выделил окись неизвестного
металла, назвав ее менакеновой. Первый образец металлического титана получил в
1825 году Й. Я. Берцелиус.
Свойства титана
В периодической системе элементов Д. И. Менделеева титан расположен в IV
группе 4-го периода под номером 22. В важнейших и наиболее устойчивых
соединениях он четырехвалентен. По внешнему виду похож на сталь. Титан
относится к переходным элементам. Данный металл плавится при довольно высокой
температуре (1668±4°С) и кипит при 3300 °С, скрытая теплота плавления и
испарения титана почти в два раза больше, чем у железа.
Известны две аллотропические модификации титана. Низкотемпературная
альфа-модификация, существующая до 882,5 ° С и высокотемпературная
бетта-модификация, устойчивая от 882,5 °С до температуры плавления.
По плотности и удельной теплоемкости титан занимает промежуточное место
между двумя основными конструкционными металлами: алюминием и железом. Стоит
также отметить, что его механическая прочность примерно вдвое больше, чем
чистого железа, и почти в шесть раз выше, чем алюминия. Но титан может активно
поглощать кислород, азот и водород, которые резко снижают пластические свойства
металла. С углеродом титан образует тугоплавкие карбиды, обладающие высокой
твердостью.
Титан обладает низкой теплопроводностью, которая в 13 раз меньше
теплопроводности алюминия и в 4 раза - железа. Коэффициент термического
расширения при комнатной температуре сравнительно мал, с повышением температуры
он возрастает.
Модули упругости титана невелики и обнаруживают существенную анизотропию.
С повышением температуры до 350°С модули упругости уменьшаются почти по
линейному закону. Небольшое значение модулей упругости титана - существенный
его недостаток, т.к. в некоторых случаях для получения достаточно жестких
конструкций приходится применять большие сечения изделий по сравнению с теми,
которые следуют из условий прочности.
Титан имеет довольно высокое удельное электросопротивление, которое в
зависимости от содержания примесей колеблется в пределах от 42·10-8 до 80·10-6
Ом·см. При температурах ниже 0,45 К он становится сверхпроводником.
Титан - парамагнитный металл. У парамагнитных веществ магнитная
восприимчивость при нагревании обычно уменьшается. Титан составляет исключение
из этого правила - его восприимчивость существенно увеличивается с
температурой.
Достоинства / недостатки титана
Достоинства:
малая плотность (4500 кг/м3) способствует уменьшению массы используемого
материала;
высокая механическая прочность. Стоит отметить, что при повышенных
температурах (250-500 °С) титановые сплавы по прочности превосходят
высокопрочные сплавы алюминия и магния;
необычайно высокая коррозионная стойкость, обусловленная способностью
титана образовывать на поверхности тонкие (5-15 мкм) сплошные пленки оксида
ТiO2, прочно связанные с массой металла;
удельная прочность (отношение прочности и плотности) лучших титановых сплавов
достигает 30-35 и более, что почти вдвое превышает удельную прочность
легированных сталей.
Недостатки:
высокая стоимость производства, титан значительно дороже железа,
алюминия, меди, магния;
активное взаимодействие при высоких температурах, особенно в жидком
состоянии, со всеми газами, составляющими атмосферу, в результате чего титан и
его сплавы можно плавить лишь в вакууме или в среде инертных газов;
трудности вовлечения в производство титановых отходов;
плохие антифрикционные свойства, обусловленные налипанием титана на
многие материалы, титан в паре с титаном не может работать на трение;
высокая склонность титана и многих его сплавов к водородной хрупкости и
солевой коррозии;
плохая обрабатываемость резанием, аналогичная обрабатываемости нержавеющих
сталей аустенитного класса;
большая химическая активность, склонность к росту зерна при высокой
температуре и фазовые превращения при сварочном цикле вызывают трудности при
сварке титана.
Применение титана
Титановые сплавы играют большую роль в авиационной технике, где стремятся
получить наиболее легкую конструкцию в сочетании с необходимой прочностью.
Титан легок по сравнению с другими металлами, но в то же время может работать
при высоких температурах (см. рис.2). Из титановых сплавов изготовляют обшивку,
детали крепления, силовой набор, детали шасси, различные агрегаты. Также данные
материалы применяются в конструкциях авиационных реактивных двигателей. Это
позволяет уменьшить их массу на 10-25%. Из титановых сплавов производят диски и
лопатки компрессора, детали воздухозаборника и направляющего аппарата, крепеж.
Также титан и его сплавы используют в ракетостроении. Ввиду
кратковременной работы двигателей и быстрого прохождения плотных слоев
атмосферы в ракетостроении в значительной мере снимаются проблемы усталостной
прочности, статической выносливости и отчасти ползучести.
Технический титан из-за недостаточно высокой теплопрочности не пригоден
для применення в авиации, но благодаря исключительно высокому сопротивлению
коррозии в ряде случаев незаменим в химической промышленности и судостроении.
Так его применяют при изготовлении компрессоров и насосов для перекачки таких
агрессивных сред, как серная и соляная кислота и их соли, трубопроводов,
запорной арматуры, автоклав, различного рода емкостей, фильтров и т. п. Только
титан обладает коррозионной стойкостью в таких средах, как влажный хлор, водные
и кислые растворы хлора, поэтому из данного металла изготовляют оборудование
для хлорной промышленности. Из титана делают теплообменникн, работающие в
коррозионно активных средах, например в азотной кислоте (не дымящей). В
судостроении титан используется для изготовления гребных винтов, обшивки
морских судов, подводных лодок, торпед и т.д. На титан и его сплавы не налипают
ракушки, которые резко повышают сопротивление судна при его движении.
Титановые сплавы перспективны для использования во многих других
применениях, но их распространение в технике сдерживается высокой стоимостью и
дефицитностью титана.
Соединения титана также получили широкое применение в различных отраслях
промышленности. Карбид титана обладает высокой твердостью и применяется в
производстве режущих инструментов и абразивных материалов. Белый диоксид титана
(TiO2) используется в красках (например, титановые белила), а также при производстве
бумаги и пластика. Титанорганические соединения (напр. тетрабутоксититан)
применяются в качестве катализатора и отвердителя в химической и лакокрасочной
промышленности. Неорганические соединения титана применяются в химической
электронной, стекловолоконной промышленности в качестве добавки. Диборид титана
- важный компонент сверхтвердых материалов для обработки металлов. Нитрид
титана применяется для покрытия инструментов.
Таблица 2.2.1 - Марки и химический состав титана и сплавов
|
Стандарт
|
Марка
|
Основа %
|
ДР. %
|
Средн. содержание примес. и посадок % не более
|
|
ТИТАН ТЕХНИЧЕСКИ ЧИСТЫЙ ОСТ 1.90013-81 ТИТАН И ТИТАНОВЫЕ СПЛАВЫ
ДЕФОРМИРУЕМЫЕ ГОСТ 19807-91
|
ВТ1-00
|
Ti осн.
|
Аl-0,3. Fе-0,15. Si-0,08. С-0,05. N-0,03. Н-0,003. O-0.12
Прочих примесей - 0,10 (включая Ni+Сu-0,10. Ni-0,08. Cr+Mn-0,01)
|
|
СВАРОЧНАЯ ПРОВОЛОКА ГОСТ 27265-87
|
ВТ1-00св
|
Ti 99,6
|
Аl-0,2. Fe-0,15. Si-0,08. С-0,05. N-0,03. Н-0,003. О-0.12.
Прочих примесей - 0,10
|
|
ТИТАН ТЕХНИЧЕСКИ ЧИСТЫЙ ОСТ 1.90013-81 ТИТАН И ТИТАНОВЫЕ СПЛАВЫ
ДЕФОРМИРУЕМЫЕ ГОСТ 19807-91
|
ВТ1-0
|
Ti осн.
|
Аl-0,7. Fе-0,25. Si-0,10. С-0,07. N-0,04. 0-0,20.
Н-0,010. Прочих примесей-0,30 (включая Ni+Сu-0,10. Ni-0,08. Cr+Mn-0,01.)
|
|
ТИТАН И ТИТАНОВЫЕ СПЛАВЫ ДЕФОРМИРУЕМЫЕ ГОСТ 19807-91 ОСТ1-90013-81
|
ВТ3-1
|
Ti осн.
|
Аl 5,5-7,0(для лопаток А1 до 6,8). Мо 2,0-3,0. Сr 0,8-2,0.
Si 0,15-0,4. Fе 0,2-0,7.
|
Zr-0.50. С-0,10. N-0,05. Н-0,015. O-0,15. Прочих примесей
- 0,30
|
|
ТИТАН И ТИТАНОВЫЕ СПЛАВЫ ДЕФОРМИРУЕМЫЕ ГОСТ 19807-91 ОСТ1-90013-81
|
ВТ5
|
Ti осн.
|
Аl 4,5-6,2. Мо-0,8. V меньше 1,2. Zr-0,30. Fe-0,30. Si-0,12
|
C-0,10. N-0,05. H-0,015. O-0,20. Прочих примесей - 0,30
(включая Ni+Cu-0,10. Ni-0,08. Cr+Mn-0,01)
|
Таблица 2.2.1 - Содержание в соединениях тугоплавких металлов в %
|
Формула
|
Название соединения
|
Молекулярный вес
|
%
|
|
TiC
|
Карбид титана
|
59,91
|
79,95
|
|
TiCl4
|
Четыреххлористый титан
|
189,73
|
25,25
|
|
Ti02
|
Двуокись титана (анатаз, рутил)
|
79,90
|
59,95
|
Таблица 2.2.1 - Стандарты тугоплавких металлов
|
Ti
|
ГОСТ 27265-87
|
СВАРОЧНАЯ ТИТАНОВАЯ ПРОВОЛОКА. ВТсв, ОТсв
|
|
Ti
|
ОСТ1 92020-72
|
ПРУТКИ ПРЕССОВАННЫЕ ТИТАНОВЫЕ ВТ1-00, ВТ1-0, ВТ5, ВТ5-1,
ВТ6
|
|
Ti
|
ОСТ1 92077-91
|
Сплавы титановые. Марки
|
|
Ti
|
ОСТ1. 90013-81
|
Сплавы титановые. Марки ВТ1-00, ВТ1-0
|
|
Ti
|
ОСТ1. 90015-71
|
ПРОВОЛОКА ТИТАНОВАЯ ВТ1-00
|
|
Ti
|
ОСТ1. 90050-72
|
ТРУБЫ ТИТАНОВЫЕ ВТ1-00, ВТ1-0
|
|
Ti
|
ОСТ1. 90173-75
|
ПРУТКИ КАТАННЫЕ ТИТАНОВЫЕ ВТ1-00, ВТ1-0, ВТ5, ВТ5-1, ВТ6
|
|
Ti
|
ОСТ1. 90218-76
|
ЛИСТЫ ТИТАНОВЫЕ ВТ1-00, ВТ1-0, ВТ1-5,ВТ6
|
3.
Построение геометрических моделей и разбиение на конечные элементы. Сборный и
сварной корпус для комплекса съемочной аппаратуры микроспутников
.1
Построение геометрической модели сборного корпуса для комплекса съемочной
аппаратуры микро спутников (КСАМ)
Построение основной модели поставленной задачи полностью проводилось в
пакете ANSYS. Модель представляет собой корпус кубической
формы. В модели выполнены основные технологические отверстия, также в модель
ведено 2 объектива фокусировки. Геометрическая модель представлена на рисунке
3.1.1.
Рисунок 4.1.1 - Геометрическая модель сборного корпуса КСАМ
Проекции видов показана на рисунке 3.1.2.
Рисунок 3.1.2 - Геометрическая модель сборного корпуса КСАМ в двух
проекциях
В процессе построения модели применялись такие инструменты как, вытяжки
по контурам, создание различных плоскостей в том числе по контурам. А так же
проводилась работа с булевыми операциями с поверхностями.
3.2 Выбор
и описание типов конечных элементов для сборного корпуса
Оболочечным элементам модели были заданы толщины. Всем элементам модели
были заданы свойства и материал. В дальнейшем была получена конечно-элементная
модель корпуса прибора, изображенная на рисунке 3.2.1 и 3.2.2.
Рисунок 3.2.1 - Конечно-элементная модель проекция 1.
Рисунок 3.2.2 - Конечно-элементная модель проекция 2.
В модели присутствует 212591 элементов, и 418417 узлов. Тип разбиения
сетки - преимущественно гексагональный, наблюдается сгущение сетки в областях
конструкционных отверстий и контактов объектов. Относительно толщины слоев
сетка имеет небольшой размер. Гексагональная сетка в местах преимущественно
хаотичной формы в связи со сложной геометрией и наличием контактной пары с
опцией Face-To-Edge,
предполагающей общую сетку контактирующих элементов. Все контакты модели имеют
тип bonded - жёсткая склейка или фиксация,
стоит отметить, что для имитации болтовых соединений применялись контакты с
повышенной площадью контакта.
3.3
Построение геометрической модели сварного корпуса для комплекса съемочной
аппаратуры микроспутников
Построение основной модели поставленной задачи полностью проводилось в
пакете ANSYS. Модель так же как и сборная
представляет собой корпус кубической формы. В модели выполнены основные
технологические отверстия, также в модель ведено 2 объектива фокусировки.
Геометрическая модель представлена на рисунке 3.3.1.
Рисунок 3.3.1 - Геометрическая модель сварного корпуса КСАМ
Проекции видов показана на рисунке 3.3.2 и 3.3.3
Рисунок 3.3.2 - Геометрическая модель сварного корпуса КСАМ проекция 1.

В процессе построения модели применялись такие инструменты как, вытяжки
по контурам, создание различных плоскостей в том числе по контурам. А так же
проводилась работа с булевыми операциями с поверхностями.
3.4
Выбор и описание типов конечных элементов для сварного корпуса
Процесс создания конечно-элементной модели не отличается от прошлой
модели. Оболочечным элементам модели были заданы толщины. Всем элементам модели
были заданы свойства и материал.
В дальнейшем была получена конечно-элементная модель корпуса прибора,
изображенная на рисунке 3.4.1 и 3.4.2.
Рисунок 3.4.1 - Конечно-элементная модель сварного корпуса КСАМ проекция
1.
Рисунок 3.4.2 - Конечно-элементная модель сварного корпуса КСАМ проекция
1.
В модели присутствует 47938 элементов, и 106513 узлов. Тип разбиения
сетки - преимущественно гексагональный, наблюдается сгущение сетки в областях
конструкционных отверстий и контактов объектов. Относительно толщины слоев
сетка имеет небольшой размер. Гексагональная сетка в местах преимущественно
хаотичной формы в связи со сложной геометрией и наличием контактной пары с
опцией Face-To-Edge,
предполагающей общую сетку контактирующих элементов. Все контакты модели имеют
тип bonded - жёсткая склейка или фиксация,
стоит отметить, что для имитации болтовых соединений применялись контакты с
повышенной площадью контакта.
4.
Сравнительный анализ жёсткости и прочности сварного и сборного корпуса КСАМ
После получения конечно-элементной модели следует процесс приложения
нагрузок. Рассматриваются три случая при которых воздействуют определённые
нагрузки на корпус КСАМ.
Первый случай - это воздействия нагрузок на корпус КСАМ на Земле. На его
воздействует сила тяжести g=9,8м/c2. Второй случай - это воздействия нагрузок на корпус
КСАМ при взлёте. В данном случае мы применяли нагрузку в ANSYS Acceleration, задав ускорение по координатам X, Y, Z соответственно
78 м/c2, 28 м/c2, 28 м/c2 . Третий случай - это воздействие температурных нагрузок на
корпус КСАМ непосредственно на орбите в космосе. В качестве граничного условия
задана температура окружающей среды 22 Сo. Необходимо применить две расчётные схемы: для
расчёта на жёсткость и на прочность. Внутри корпуса добавлены условные массы
расположенные на стенках заменяющие съёмочную аппаратуру. Условные массы
показаны на рисунке 4.1.
Рисунок 4.1. - Сборный корпус, условные массы.
Рисунок 4.2. - Сварной корпус, условные массы.
Перед началом расчёта модель нужно обязательно закрепить. На рисунке 4.3
и 4.4 показана закрепление корпуса в четырех точках a, b, c, d.
Рисунок 4.3 - Закрепление(Fixed Support) сборного
корпуса КСАМ
Рисунок 4.4 - Закрепление(Fixed Support) сварной
корпуса КСАМС
4.1 Расчет
сварного и сборного корпуса КСАМ на Земле
На модель корпуса воздействует сила гравитации g=9,8 м/с2. На рисунке 4.1.1 и 4.1.2 приложена
нагрузка g (Standard Earth Gravity).
Рисунок
4.1.1 - Standard Earth Gravity сборного корпуса
Рисунок
4.1.2 - Standard Earth Gravity сварного корпуса
Рисунок 4.1.3 - Общая деформация сборного корпуса.
MaxTotal Deformation=1,4369e-5[м]
Рисунок 4.1.4 - Общая деформация сварного корпуса .
MaxTotal Deformation=1,4312e-5[м]
Рисунок 4.1.5 - Деформация по оси X сборного корпуса.
MaxDirectional Deformation =4,8091e-6[м]; MinDirectional Deformation=-8,9011e-6
[м]
Рисунок 4.1.6 - Деформация по оси X сварного корпуса.
MaxDirectional Deformation =2,0181e-6[м]; MinDirectional Deformation=-2,5499e-6
[м]
Рисунок 4.1.7 - Деформация по оси Y сборного корпуса.
MaxDirectional Deformation =3,8151e-6[м]; MinDirectional Deformation=-5,3648e-6
[м]
Рисунок 4.1.8 - Деформация по оси X сварного корпуса.
MaxDirectional Deformation =9,2923e-7[м]; MinDirectional Deformation=-1,61e-5
[м]
Рисунок 4.1.9 - Деформация по оси Z сборного корпуса.
MaxDirectional Deformation =1,2304e-5[м]; MinDirectional Deformation=-1,5944e-5
[м]
Рисунок 4.1.10 - Деформация по оси Z сварного корпуса.
MaxDirectional Deformation =1,8668e-6[м]; MinDirectional Deformation=-1,7891e-6
[м]
Рисунок 4.1.11 - Эквивалентное напряжение сборного корпуса.
MaxEquivalent Stress =6,5966e6 [Pa]; MinEquivalent
Stress =43,597 [Pa]
Рисунок 4.1.12 - Эквивалентное напряжение сварного корпуса.
MaxEquivalent Stress =9,8499e6 [Pa]; MinEquivalent
Stress =22,911 [Pa]
4.2 Расчет
сварного и сборного корпуса КСАМ при взлете
В данном случае мы применяли нагрузку в ANSYS Acceleration, задав ускорение по координатам X, Y, Z соответственно
78 м/c2, 28 м/c2, 28 м/c2 .
Рисунок 4.2.1 - Ускорение сборного корпуса КСАМ при взлёте.
Рисунок 4.2.2 - Ускорение сварного корпуса КСАМ при взлёте.
Рисунок 4.2.3 - Общая деформация сборного корпуса.
MaxTotal Deformation=0,00016326 [м]
Рисунок 4.2.4 - Общая деформация сварного корпуса.
MaxTotal Deformation=0,00011587 [м]
Рисунок 4.2.5 - Деформация по оси X сборного корпуса.
MaxDirectional Deformation =4,62271e-5 [м]; MinDirectional Deformation=-8,0153e-5
[м]
Рисунок 4.2.6 - Деформация по оси X сварного корпуса.
MaxDirectional Deformation =2,5891e-6 [м]; MinDirectional Deformation=-2,5499e-6
[м]
Рисунок 4.2.7 - Деформация по оси Y сборного корпуса.
MaxDirectional Deformation =6,9902e-6 [м]; MinDirectional Deformation=-9,7163e-5
[м]
Рисунок 4.2.8 - Деформация по оси Y сварного корпуса.
MaxDirectional Deformation =1,6026e-5 [м]; MaxDirectional Deformation=-0,00013032
[м]
Рисунок 4.2.9 - Деформация по оси Z сборного корпуса.
MaxDirectional Deformation =5,7038e-5 [м]; MinDirectional Deformation=-0,00018229
[м]
Рисунок 4.2.8 - Деформация по оси Z сварного корпуса.
MaxDirectional Deformation =6,6978e-6 [м]; MinDirectional Deformation=-3,6358e-5
[м]
Рисунок 4.2.9 - Эквивалентное напряжение сборного корпуса.
MaxEquivalent Stress =5,551e7 [Pa]; MinEquivalent
Stress =649,66 [Pa]
Рисунок 4.2.10 - Эквивалентное напряжение сварного корпуса.
MaxEquivalent Stress =8,7591e7 [Pa]; MinEquivalent
Stress =353,09 [Pa]
4.3 Расчет
воздействия температурных нагрузок на сборный и сварной корпус КСАМ на орбите в
космосе
В качестве граничного условия задана температура окружающей среды 22 Сo. Чтобы приложить температурную
нагрузку мы использовали Thermal Condition. На рисунке
4.3.1. отображена температурная нагрузка.
Рисунок 4.3.1 - Температурная нагрузка (Thermal Condition).
Рисунок 4.3.2 - Общая деформация сборного корпуса.
MaxTotal Deformation=1,9521e-16 [м]
Рисунок 4.3.3 - Общая деформация сварного корпуса.
MaxTotal Deformation=5,0685e-17 [м]
Рисунок 4.3.4 - Деформация по оси X сборного корпуса.
MaxDirectional Deformation =1,0826e16 [м]; MinDirectional Deformation=-1,3489e-16
[м]
Рисунок 4.3.5 - Деформация по оси X сварного корпуса.
MaxDirectional Deformation =3,7404e17 [м]; MinDirectional Deformation=-4,2258e-17
[м]
Рисунок 4.3.6 - Деформация по оси Y сборного корпуса.
MaxDirectional Deformation =1,1043e-16 [м]; MinDirectional Deformation=-1,5076e-16
[м]
Рисунок 4.3.7 - Деформация по оси Y сварного корпуса.
MaxDirectional Deformation =2,5149e-17 [м]; MinDirectional Deformation=-3,1129e-17
[м]
Рисунок 4.3.8 - Деформация по оси Z сборного корпуса.
MaxDirectional Deformation =1,5218e-16 [м]; MinDirectional Deformation=-9,1349e-17
[м]
Рисунок 4.3.9 - Деформация по оси Z сварного корпуса.
MaxDirectional Deformation =1,4793e-17 [м]; MinDirectional Deformation=-6,3897e-18
[м]
Рисунок 4.3.10 - Эквивалентное напряжение сборного корпуса.
MaxEquivalent Stress =0,082797 [Pa]; MinEquivalent
Stress =5,2226e-9 [Pa]
Рисунок 4.3.11 - Эквивалентное напряжение сварного корпуса.
MaxEquivalent Stress =0,0068848 [Pa]; MinEquivalent
Stress =2,0911e-10 [Pa]
4.4
Сравнение двух корпусов на жесткость
Таблица 4.4.1 - Сравнение двух корпусов на жесткость
|
Расчет корпусов на Земле
|
|
Общая деформация (Total Deformation) ,
[м]
|
Деформация по оси X (Directional Deformation X), [м]
|
Деформация по оси Y (Directional Deformation Y), [м]
|
Деформация по оси Z (Directional Deformation Z), [м]
|
Эквивалентное напряжение (Equivalent Stress), [Pa]
|
|
|
Min
|
Max
|
Min
|
Max
|
Min
|
Max
|
Min
|
Max
|
|
Сборный корпус КСАМ
|
1,4369e-5
|
-8,9011e-6
|
4,8091e-6
|
-5,3648e-6
|
3,8151e-6
|
-1,5944e-5
|
1,2304e-5
|
43,597
|
6,5966e6
|
|
Сварной корпус КСАМ
|
1,4312e-5
|
-2,5499e-6
|
2,0181e-6
|
-1,61e-5
|
9,2923e-7
|
-1,7891e-6
|
1,8668e-6
|
22,911
|
9,8499e6
|
|
Расчет корпусов при Взлёте
|
|
Общая деформация (Total Deformation) ,
[м]
|
Деформация по оси X (Directional Deformation X), [м]
|
Деформация по оси Y (Directional Deformation Y), [м]
|
Деформация по оси Z (Directional Deformation Z), [м]
|
Эквивалентное напряжение (Equivalent Stress), [Pa]
|
|
|
Min
|
Max
|
Min
|
Max
|
Min
|
Max
|
Min
|
Max
|
|
Сборный корпус КСАМ
|
0,00016326
|
-8,0153e-5
|
4,62271e-5
|
-9,7163e-5
|
6,9902e-6
|
-0,00018229
|
5,7038e-5
|
649,66
|
5,551e7
|
|
Сварной корпус КСАМ
|
0,00011587
|
-2,5499e-6
|
2,5891e-6
|
-0,00013032
|
1,6026e-5
|
-3,6358e-5
|
6,6978e-6
|
353,09
|
8,7591e7
|
|
Расчет корпусов в Космосе
|
|
Общая деформация (Total Deformation) ,
[м]
|
Деформация по оси X (Directional Deformation X), [м]
|
Деформация по оси Y (Directional Deformation Y), [м]
|
Деформация по оси Z (Directional Deformation Z), [м]
|
Эквивалентное напряжение (Equivalent Stress), [Pa]
|
|
|
Min
|
Max
|
Min
|
Max
|
Min
|
Max
|
Min
|
Max
|
|
Сборный корпус КСАМ
|
1,9521e-16
|
-1,3489e-16
|
1,0826e16
|
-1,5076e-16
|
1,1043e-16
|
-9,1349e-17
|
1,5218e-16
|
5,2226e-9
|
0,082797
|
|
Сварной корпус КСАМ
|
5,0685e-17
|
-4,2258e-17
|
3,7404e17
|
-3,1129e-17
|
2,5149e-17
|
-6,3897e-18
|
1,4793e-17
|
2,0911e-10
|
0,0068848
|
4.5
Выводы
В ходе проделанной работы были решены задачи анализа
напряженно-деформированного состояния сборного и сварного корпуса при различных
типах расчета. В ходе выполнения расчетов установлено, что сварной корпус имеет
больше преимуществ перед сборным. Стоит отметить, что проведенная работа
призвана помочь инженеру-конструктору в проектировании данного корпуса.
5. Охрана
труда
В соответствии с заданием на дипломное проектирование, в разделе «Охрана
труда» рассматриваются вопросы создания безвредных и безопасных условий труда
при использовании персонального компьютера. Исследование напряженно-деформированного
состояния корпуса связано с постоянной работой на персональном компьютере
(далее - ПК).
При работе с ПК на работников могут оказывать неблагоприятное воздействие
следующие опасные и вредные производственные факторы:
• повышенный уровень электромагнитных излучений;
• повышенный уровень ионизирующих излучений;
• повышенный уровень статического электричества;
• повышенная напряженность электростатического поля;
• повышенная или пониженная ионизация воздуха;
• повышенная яркость света;
• прямая и отраженная блесткость; повышенное значение напряжения в
электрической цепи, замыкание которой может произойти через тело человека;
• статические перегрузки костно-мышечного аппарата и динамические
локальные перегрузки мышц кистей рук;
• перенапряжение зрительного анализатора;
• умственное перенапряжение;
• эмоциональные перегрузки;
• монотонность труда.
Работа с ПК проводится в соответствии с Межотраслевой типовой инструкцией
по охране труда при работе с персональными компьютерами, утвержденной постановление
Министерства труда РБ от 28.06.2013 (ВДТ) СанНиП и ГН № 59.
5.1
Производственная санитария и техника безопасности
Требования к помещениям для эксплуатации ПК
Так, как проектирование и исследование корпуса прибора осуществляется в
конструкторском бюро, помещение для работы на персональном компьютере следует
размещать в административном здании.
Когда строится или ремонтируется здания с помещениями для ЭВМ эти
помещения следует проектировать высотой от пола до потолка не менее 3,0.
Помещения, где размещаются рабочие места с ЭВМ, должны быть оборудованы
защитным заземлением в соответствии с техническими требованиями по
эксплуатации. Запрещается размещать рабочие места с ЭВМ на расстоянии менее 10
м от силовых кабелей, вводов и высоковольтных трансформаторов. Помещения, в
которых для работы используются преимущественно ЭВМ (диспетчерские,
операторские, расчетные, классы и другое), не должны граничить с помещениями, в
которых уровни шума и вибрации превышают нормируемые значения для данной категории
проводимых в них работ Звукоизоляция ограждающих конструкций помещений с ЭВМ
должна обеспечивать нормируемые параметры шума в них. Согласно с
регламентируемым гигиеническим требованиям СанПиНа от 28.06.2013 №59.
Требования к освещению помещений и рабочих мест
Одним из элементов благоприятных условий труда является хорошее освещение
рабочего места. Производственное освещение разделяется на два типа:
естественное и искусственное.
Естественное освещение обусловлено прямыми солнечными лучами и светом,
рассеянным небосводом, проникающее в помещение через остекленные проемы в
стенах (боковое освещение) или кровле здания (верхнее освещение). Кроме того,
есть комбинированное освящение. Помещения с постоянным пребыванием людей должны
иметь, как правило, естественное освещение.
Искусственное освещение создается искусственными источниками и
применяется при отсутствии или недостатке естественного.
Запрещается выполнение основной работы с использованием ЭВМ на постоянных
рабочих местах без естественного освещения, если это не обусловлено
технологическим процессом.
Естественное освещение на рабочих местах с ЭВМ должно осуществляться
через световые проемы, ориентированные преимущественно на север, северо-восток,
восток, запад или северо-запад и обеспечивать коэффициент естественной
освещенности не ниже 1,5 %. Оконные проемы должны быть оборудованы
регулируемыми устройствами типа жалюзи, занавесей, внешних козырьков и другое
Искусственное освещение осуществляется светильниками общего и
местного освещения. Светильник состоит из источника искусственного освещения
(лампы) и осветительной арматуры. Основными источниками искусственного
освещения являются лампы накаливания и люминесцентные лампы.
Искусственное освещение по функциональному значению бывают:
I)
Рабочее, которое делится на:
) общее при равномерном расположении светильников одинакового типа с
одинаковой мощностью по потолку помещения
) общее локализированное при группировке светильников в верхней зоне
помещения с учетом расположения оборудования
) Местное - при освещении места производства работ (1 местное не
используется)
) Комбинированное представляет собой сочетание местного и общего.
Рабочие столы следует размещать таким образом, чтобы экраны ЭВМ были
ориентированы боковой стороной к световым проемам (исключение составляет
периметральная расстановка рабочих мест), чтобы естественный свет падал
преимущественно слева.
Искусственное освещение в помещениях для эксплуатации ЭВМ должно
осуществляться системой общего равномерного освещения. В производственных,
административных и общественных помещениях в случаях преимущественной работы с
документами следует применять системы комбинированного освещения (к общему
освещению дополнительно устанавливаются светильники местного освещения,
предназначенные для освещения зоны расположения документов).
Согласно ТКП 45-2.04-153-2009 «Естественное и искусственное освещение.
Строительные нормы проектирования».
Освещенность на поверхности стола в зоне размещения рабочего документа
должна быть 300-500 люкс. Освещение не должно создавать бликов на поверхности
экрана. Освещенность поверхности экрана не должна быть более 300 люкс.
Необходимо ограничивать прямую блесткость от источников освещения, при этом
яркость светящихся поверхностей (окна, светильники и другое), находящихся в
поле зрения, должна быть не более 200 кд/м2.
Необходимо ограничивать отраженную блесткость на рабочих поверхностях
(экран, стол, клавиатура и другое) за счет правильного выбора типов
светильников и расположения рабочих мест по отношению к источникам
естественного и искусственного освещения, при этом яркость бликов на экране ЭВМ
не должна превышать 40 кд/м2 и яркость потолка не должна превышать
200 кд/м2.
Показатель ослепленности для источников общего искусственного освещения в
производственных помещениях должен быть не более 20. Показатель дискомфорта в
административных и общественных помещениях - не более 40, в помещениях
учреждений образования - не более 15.
Яркость светильников общего освещения в зоне углов излучения от 50 до 90
градусов с вертикалью в продольной и поперечной плоскостях должна составлять не
более 200 кд/м2, защитный угол светильников должен быть не менее 40
градусов.
Светильники местного освещения должны иметь не просвечивающий отражатель
с защитным углом не менее 40 градусов. Следует ограничивать неравномерность
распределения яркости в поле зрения пользователя ЭВМ при этом соотношение
яркости между рабочими поверхностями не должно превышать 3:1 - 5:1, а между
рабочими поверхностями и поверхностями стен и оборудования - 10:1.
В качестве источников света при искусственном освещении следует применять
преимущественно люминесцентные лампы типа ЛБ и компактные люминесцентные лампы.
При устройстве отраженного освещения в производственных, административных и
общественных помещениях допускается применение металлогалогенных ламп. В
светильниках местного освещения допускается применение ламп накаливания, в том
числе галогенных.
Для освещения помещений с ЭВМ следует применять светильники с зеркальными
параболическими решетками, укомплектованными электронными пускорегулирующими
аппаратами (далее - ЭПРА). Допускается использование многоламповых светильников
с ЭПРА, состоящими из равного числа опережающих и отстающих ветвей. Применение
светильников без рассеивателей и экранирующих решеток не допускается.
При отсутствии светильников с ЭПРА лампы многоламповых светильников или
рядом расположенные светильники общего освещения следует включать на разные
фазы трехфазной сети. Общее освещение при использовании люминесцентных
светильников следует выполнять в виде сплошных или прерывистых линий
светильников, расположенных сбоку от рабочих мест, параллельно линии зрения
пользователя при рядном расположении видеодисплейных терминалов. При
периметральном расположении компьютеров линии светильников должны располагаться
локализовано над рабочим столом ближе к его переднему краю, обращенному к
оператору.
Коэффициент запаса для осветительных установок общего освещения должен
приниматься равным 1,4.
Коэффициент пульсации не должен превышать 5 %.
Для обеспечения нормируемых значений освещенности в помещениях для
использования ЭВМ следует проводить чистку стекол оконных рам и светильников со
своевременной заменой перегоревших ламп.
Требования к вибрации
Гигиеническая оценка постоянной и непостоянной вибрации, воздействующей
на человека, должна производиться следующими методами:
частотным (спектральным) анализом нормируемого параметра;
интегральной оценкой по частоте нормируемого параметра;
интегральной оценкой с учетом времени вибрационного воздействия по
эквивалентному по энергии корректированному по частоте уровню
нормируемого параметра.
Нормируемый диапазон частот измерения вибрации устанавливается:
для общей вибрации в жилых помещениях, палатах больничных организаций,
санаториев, в помещениях административных и общественных зданий - в октавных
полосах со среднегеометрическими частотами 2; 4; 8; 16; 31,5; 63 Гц.
Нормируемыми параметрами постоянной и непостоянной вибрации в жилых
помещениях, помещениях административных и общественных зданий являются средние
квадратические значения виброускорения и виброскорости и корректированные по
частоте значения виброускорения и (или) их логарифмические уровни.
Допустимые значения нормируемых параметров вибрации в помещениях
административных и общественных зданий устанавливаются согласно таблице 12
Гигиенического норматива.
Таблица 5.1.1 - Допустимые значения нормируемых параметров вибрации в
помещениях административных и общественных зданий
|
Среднегеометрические частоты октавных полос, Гц
|
|
|
виброускорение
|
виброскорость
|
|
м/с2
|
дБ
|
м/с
|
дБ
|
|
2 4 8 16 31,5 63
|
9,3×10-31,0×10-2 1,3×10-2 2,7×10-2 5,3×10-2 1,1×10-1
|
30 31 33 39 45 51
|
7,9×10-4 4,5×10-4 2,8×10-4 2,8×10-4 2,8×10-4 2,8×10-4
|
84 79 75 75 75 75
|
|
Корректированные значения и их уровни
|
9,3×10-3
|
30
|
-
|
-
|
Согласно СанПиН от 26.12.2013 № 132 "Требования к
производственной вибрации, вибрации в жилых помещениях, помещениях
административных и общественных зданий".
Требования к шуму
Нормируемыми параметрами постоянного шума на рабочих местах и в
транспортных средствах являются:
уровни звукового давления в дБ в октавных полосах со
среднегеометрическими частотами 31,5; 63; 125; 250; 500; 1000; 2000; 4000; 8000
Гц;
уровни звука в дБА.
Оценка постоянного шума на рабочих местах на соответствие ПДУ должна
проводиться как по уровням звукового давления, так и по уровню звука.
Нормируемыми параметрами непостоянного шума на рабочих местах являются:
эквивалентный уровень звука в дБА;
максимальный уровень звука в дБА.
ПДУ звукового давления в октавных полосах частот и уровни звука
постоянного шума, а также эквивалентные уровни звука для основных наиболее
типичных видов трудовой деятельности и рабочих мест с учетом условий тяжести и
напряженности труда указаны в таблице 5.1.2.
Таблица 5.1.2 - Предельно допустимые уровни звукового давления в октавных
полосах частот и уровни звука постоянного шума, а также эквивалентные по
энергии уровни звука непостоянного шума для основных наиболее типичных видов
трудовой деятельности и рабочих мест с учетом условий тяжести и напряженности
труда
|
№ п/п
|
Вид трудовой деятельности, рабочее место
|
Уровни звукового давления, дБ, в октавных полосах со
среднегеометрическими частотами, Гц
|
Уровни звука и эквивалентные по энергии уровни звука
непостоянного шума, дБА
|
|
|
31,5
|
63
|
125
|
250
|
500
|
1000
|
2000
|
4000
|
8000
|
|
|
1
|
2
|
3
|
4
|
5
|
6
|
7
|
8
|
9
|
10
|
11
|
12
|
|
1
|
Творческая деятельность, руководящая работа с повышенными
требованиями, научная деятельность, конструирование и проектирование,
программирование, обучение и воспитание, медицинская деятельность. Рабочие
места проектно-конструкторских бюро, расчетчиков, программистов
вычислительных машин, в лабораториях для теоретических работ и обработки
данных, для приема пациентов в здравпунктах
|
86
|
71
|
61
|
54
|
49
|
45
|
42
|
40
|
38
|
Согласно СанПиН от 16.11.2011 № 115 "Шум на рабочих местах, в
транспортных средствах, в помещениях жилых, общественных зданий и на территории
жилой застройки".
Требования к микроклимату, содержанию аэроионов и вредных химических
веществ в воздухе на рабочих местах, оборудованных ЭВМ
Так, как проектирование и исследование корпуса прибора осуществляется в
конструкторском бюро, и работа с использованием ЭВМ является основной или
связана с нервно-эмоциональным напряжением, должны обеспечиваться оптимальные
параметры микроклимата для категории работ Категория lб(работы, производимые сидя, стоя или связанные с ходьбой и
сопровождающиеся некоторым физическим напряжением, при которых расход энергии
составляет от 120 до 150 ккал/ч.), предусмотренные таблицей 1 Гигиенического
норматива.
Таблица 5.1.3 - Оптимальные параметры микроклимата для помещений с
видеодисплейными терминалами, электронно-вычислительными машинами и
персональными электронно-вычислительными машинами
|
Период года
|
Категория работ
|
Температура воздуха, оС не более
|
Относительная влажность воздуха, %
|
Скорость движения воздуха, м/с
|
|
Холодный
|
легкая-1а
|
22-24
|
40-60
|
0,1
|
|
легкая-1б
|
21-23
|
40-60
|
0,1
|
|
Теплый
|
легкая-la
|
23-25
|
40-60
|
0,1
|
|
легкая-1б
|
22-24
|
40-60
|
0,2
|
В помещениях, оборудованных ЭВМ, должна проводиться
ежедневная влажная уборка и систематическое проветривание после каждого часа
работы.
Уровни положительных и отрицательных аэроионов, а
также коэффициент униполярности в воздухе всех помещений, где расположены ЭВМ,
должны соответствовать таблице 3 Гигиенического норматива.
Таблица 5.1.4 - Уровни ионизации и коэффициент униполярности воздуха
помещений при работе с видеодисплейными терминалами, электронно-вычислительными
машинами и персональными электронно-вычислительными машинами
|
Уровни
|
Число ионов в 1 см3 воздуха
|
Коэффициент униполярности (У)
|
|
n+
|
n-
|
|
|
Минимально допустимые
|
400
|
600
|
0,4≤У<1,0
|
|
Оптимальные
|
1500-3000
|
3000-5000
|
|
|
Максимально допустимые
|
50000
|
50000
|
|
Содержание вредных химических веществ в воздухе
помещений, предназначенных для использования ЭВМ, не должно превышать предельно
допустимых концентраций загрязняющих веществ в атмосферном воздухе населенных
мест в соответствии с нормативами предельно допустимых концентраций
загрязняющих веществ в атмосферном воздухе и ориентировочно безопасных уровней
воздействия загрязняющих веществ в атмосферном воздухе населенных пунктов и
мест массового отдыха населения.
Требования к уровням ультрафиолетового, инфракрасного, видимого и мягкого
рентгеновского излучений при работе с ЭВМ
Уровни ультрафиолетового, инфракрасного, видимого и мягкого
рентгеновского излучений, создаваемые ЭВМ и периферийными
устройствами, не должны превышать предельно-допустимые уровни, установленные
таблицами 9,10 и 12 Гигиенического норматива «Предельно-допустимые уровни
нормируемых параметров при работе с видеодисплейными терминалами и
электронно-вычислительными машинами».
Таблица 5.1.5 - Предельно-допустимые уровни интенсивности излучения в
ультрафиолетовом диапазоне на расстоянии 0,5 м со стороны экрана
видеодисплейных терминалов, электронно-вычислительных машин и персональных
электронно-вычислительных машин
|
Диапазоны длин волн
|
200-280 нм
|
280-315 нм
|
315-400 нм
|
|
Предельно-допустимые уровни
|
не допуск.
|
0,0001 Вт/м2
|
0,1 Вт/м2
|
Таблица 5.1.6 - Предельно-допустимые уровни интенсивности излучения в
инфракрасном и видимом диапазоне излучения на расстоянии 0,5 м со стороны
экрана видеодисплейных терминалов, электронно-вычислительных машин и
персональных электронно-вычислительных машин
|
Диапазоны длин волн
|
400-760 нм
|
760-1050 нм
|
свыше 1050 нм
|
|
Предельно-допустимые уровни
|
0,1 Вт/м2
|
0,05 Вт/м2
|
4,0 Вт/м2
|
Таблица 5.1.7 - Мощность экспозиционной дозы мягкого рентгеновского
излучения от экранов видеодисплейных терминалов, электронно-вычислительных
машин и персональных электронно-вычислительных машин на базе электронно-лучевой
трубки в любой точке на расстоянии 0,05 м
|
Наименование параметра
|
Допустимые значения
|
|
Мощность экспозиционной дозы мягкого рентгеновского
излучения при любых положениях регулировочных устройств
|
не более 1 мкЗв/час (100 мкР/час)
|
5.2
Электробезопасность
По электоробезопасности различают производственные помещения с повышенной
опасностью, особоопасные и без повышенной опасности. Помещение, в котором
располагается рабочее место оператора ПК, относится к категории помещений без
повышенной опасности, поскольку полы не являются токопроводящими, в воздухе
отсутствуют токоповодящие частицы, температура не превышает 25º
С, а влажность не
превышает 70%.
Для предотвращения опасного воздействия электрического тока на человека в
электроустановках применяют следующие меры защиты: защитное заземление,
зануление, электрическое разделение сетей, применение малых напряжений,
контроль и профилактика повреждения изоляции, выравнивание потенциала,
компенсация емкостной составляющей тока замыкания на землю, защитное
отключение, двойная изоляция, защита от случайного прикосновения к токоведущим
частям, оградительные устройства, электрозащитные средства и установки,
блокировки, предупредительная сигнализация, знаки безопасности.
Кроме поражения электрическим током, при прикосновении к любому из
элементов ПК, могут возникнуть разрядные токи статического электричества.
Статическое электричество - это совокупность явлений, связанных с
возникновением, сохранением и релаксацией свободного электрического заряда на
поверхности и объеме диэлектрических и полупроводниковых веществ, материалов
изделий или на изолированных проводниках.
Источниками электрического поля на рабочем месте оператора ПК являются
дисплей и периферийные устройства. Воздействие статического электричества на
человека может проявляться в виде слабого длительно протекающего тока или в
форме кратковременного разряда через его тело. Такой разряд вызывает у человека
рефлекторное движение, что может привести к травмам или выходу из строя ПК.
Защита от статического электричества ведется преимущественно по двум
направлениям: уменьшением интенсивности генерации электрических зарядов и
устранением уже образовавшихся зарядов, что достигается: заземление
металлических и электропроводных элементов оборудования; увеличением
поверхностной и объемной проводимости диэлектриков; применением нейтрализаторов
статического электричества; увеличением относительной влажности; удалением зон
пребывания персонала от источников электростатических полей (ограничение
времени). Для снижения величины возникающих зарядов статического электричества
пол выполняется из однослойного поливинилхлоридного антистатического линолеума.
Для предотвращения образования и защиты от статического электричества частей
оборудования предусматриваются нейтрализаторы и увлажнители.
Согласно ТКП 339-2011 «Правила устройства и защитные меры электробезопасности».
Требования к организации режима труда и отдыха при работе с ЭВМ
Режимы труда и отдыха при работе с ЭВМ должны определяться видом и
категорией трудовой деятельности. Согласно СанПиН от 28.06.2013 №59 виды
трудовой деятельности относится к группе В - творческая работа в режиме диалога
с ЭВМ.
Для вида трудовой деятельности устанавливается 3 категории тяжести и
напряженности работы с ЭВМ, которые определяются для группы В - по суммарному
времени непосредственной работы с ЭВМ за рабочий день, но не более 6 часов за
рабочий день.
Продолжительность обеденного перерыва определяется действующим
законодательством о труде и «Правилами внутреннего трудового распорядка»
предприятия (организации, учреждения).
Для обеспечения оптимальной работоспособности и сохранения здоровья
профессиональных пользователей, на протяжении рабочего дня должны
устанавливаться регламентированные перерывы. Время регламентированных перерывов
в течение рабочего дня в зависимости от ее продолжительности, вида и категории
трудовой деятельности согласно СанПиН от 28.06.2013 №59 представлено в таблице
5.2.1.
Таблица 5.2.1 - Время регламентированных перерывов
|
Категория работы с ВДТ, ЭВМ и ПЭВМ
|
Уровень нагрузки за рабочий день при видах работ с ВДТ, ЭВМ
и ПЭВМ
|
Суммарное время регламентированных перерывов, минут
|
|
группа В, час
|
при 8-часовом рабочем дне
|
при 12-часовом рабочем дне
|
|
I
|
до 2,0
|
30
|
70
|
|
II
|
до 4,0
|
50
|
90
|
|
III
|
до 6,0
|
70
|
120
|
Примечание: при несоответствии фактических условий труда требованиям
настоящих санитарных правил, время регламентированных перерывов следует
увеличить на 30 %.
Продолжительность непрерывной работы с ЭВМ без регламентированного
перерыва не должна превышать 2 часа.
При 8-часовом рабочем дне и работе на ЭВМ регламентированные перерывы
следует устанавливать:
для I категории работ - через 2 часа от начала рабочего дня и через 2
часа после обеденного перерыва продолжительностью 15 минут каждый;
для II категории работ - через 2 часа от начала рабочего дня и через
1,5-2 часа после обеденного перерыва продолжительностью 15 минут каждый или
продолжительностью 10 минут через каждый час работы;
для III категории - через 1,5-2 часа от начала рабочего дня и через 1,5-2
часа после обеденного перерыва продолжительностью 20 минут каждый или
продолжительностью 15 минут через каждый час работы.
Во время регламентированных перерывов с целью снижения
нервно-эмоционального напряжения, утомления зрительного анализатора, устранения
влияния гиподинамии и гипокинезии, предотвращения развития статического
утомления необходимо выполнять физкультурные минутки. С целью уменьшения
отрицательного влияния монотонности целесообразно применять чередование
операций.
В случаях возникновения у пользователей ЭВМ зрительного дискомфорта и
других неблагоприятных субъективных ощущений, несмотря на соблюдение
санитарно-гигиенических, эргономических требований, режимов труда и отдыха,
следует применять индивидуальный подход в ограничении времени работ с ЭВМ
коррекцию длительности перерывов для отдыха или проводить смену деятельности на
другую, не связанную с использованием ЭВМ .
Пользователям ЭВМ с высоким уровнем напряженности труда во время
регламентированных перерывов и в конце рабочего дня показана психологическая
разгрузка в специально оборудованных помещениях.
5.3
Пожарная безопасность
Пожарной безопасностью называется такое состояние объекта, при котором с
регламентируемой вероятностью исключается возможность возникновении и развития
пожара и воздействия на людей опасных факторов пожара, а также обеспечивается
защита материальных ценностей.
В современных ПК имеется высокая плотность размещения элементов
электронных схем. В непосредственной близости друг от друга располагаются
соединительные провода, коммуникационные кабели. При протекании по ним
электрического тока выделяется значительное количество теплоты, что может
привести к повышению температуры отдельных узлов до 80 - 100°С, при этом возможно оплавление
изоляции соединительных проводов, что часто приводит к короткому замыканию,
которое сопровождается искрением и ведет к недостаточной надежности и
перегрузке элементов электронных схем.
Для отбора избыточной теплоты от ПК служат системы вентиляции и
кондиционирования воздуха. Однако, мощные разветвления, постоянно действующие
системы вентиляции и кондиционирования воздуха, представляют дополнительную
пожарную опасность для помещений, оборудованных вычислительной техникой, так
как с одной стороны они обеспечивают подачу кислорода-окислителя во все
помещения, а с другой стороны, при возникновении пожара быстро распространяют
огонь и продукты горения во все помещения и устройства, с которыми связаны
воздуховоды.
Напряжение к электроустановкам подается по кабельным линиям, которые
представляют особую пожарную опасность. Наличие горючего изоляционного
материала, вероятных источников зажигания в виде электрических дуг и искр,
разветвленности, труднодоступность делают кабельные линии местом наиболее
вероятного возникновения и развития пожара.
По взрывопожарной и пожарной опасности помещения рассматриваемого в
дипломном проекте офиса согласно ТКП 474-2013 относятся к категории В2. По
функциональной пожарной опасности согласно ТКП 45-2.02-142-2011 рассматриваемое
в дипломном проекте офисное помещение относится к классу Ф 4.3 -
проектно-конструкторские, научно-исследовательские организации, банки, офисы.
Степень огнестойкости здания характеризуется пределами огнестойкости и
классами пожарной опасности строительных конструкций. По степени огнестойкости
здание относится ко 2-й степени согласно ТКП 45-2.02 -142-2011.
Возможные причины пожаров:
неисправность электропроводки;
неисправность оборудования (короткое замыкание, перегрузки);
несоблюдение графика планово-предупредительных работ.
Согласно ТКП 45-2.02-142-2011 защиту путей эвакуации следует
предусматривать исходя из условия обеспечения безопасной эвакуации людей с
учетом функциональной пожарной опасности помещений, выходящих на эвакуационный
путь, количества эвакуируемых, степени огнестойкости и класса здания по
функциональной пожарной опасности, количества эвакуационных выходов с этажа и
из здания в целом, а также технических средств противопожарной защиты.
Конструкторское бюро располагается на 2-м этаже в административном
здании. Двери на путях эвакуации должны открываться по направлению выхода из
здания. Эвакуационный путь из рабочего кабинета конструктора проходит через
дверь, которая открывается в коридор (ширина двери -1,1 м.), по коридору
(ширина-1,9 м.) через лестничную клетку (ширина-2 м.) наружу.
В таблице 5.3.1 приведены средства пожаротушения, которые находятся в
офисе (согласно ТКП 295-2011 «Пожарная техника. Огнетушители. Требования к
выбору и эксплуатации»).
Таблица 5.3.1 - Средства пожаротушения
|
Помещение
|
Единицаизмерения, м2
|
Углекислотные огнетушители ручные: ОУ-2, ОУ -5, ОУ-8
|
Воздушнопенные огнетушители
|
Войлок, кошма, асбест (1´1,2´1,5, 2´2)
|
|
Офис
|
100
|
1
|
1
|
1
|
Пожарные водопроводы в зданиях устанавливают в коридорах, на площадках
лестничных клеток, у входов, то есть в доступных и заметных местах. Пожарные
краны располагают в нишах на высоте 1,35 м, где также находятся пожарный ствол
с напорным рукавом из тканевого материала длиной 10-20 м. На каждые 100
квадратных метров пола - 1-2 огнетушителя.
6.
Экономическая часть
Целью данной главы является расчет себестоимости изготовления корпуса для
комплекса съемочной аппаратуры микроспутника. Исчисление этого показателя
необходимо для определения рентабельности производства; выявления резервов
снижения себестоимости продукции; расчета экономической эффективности внедрения
новой техники, технологии, организационно-технических мероприятий. Калькуляция
себестоимости необходима для определения цены единицы продукции, соизмерения
затрат предприятия с результатами деятельности. Расчет полной себестоимости
корпуса КСАМ производится по следующим статьям калькуляции :
· сырье и основные материалы;
· покупные комплектующие изделия и полуфабрикаты;
· основная заработная плата производственных рабочих;
· дополнительная заработная плата;
· отчисления на социальное страхование;
· износ инструмента и приспособлений целевого назначения;
· амортизационные отчисления;
· общепроизводственные расходы;
· общехозяйственные расходы;
· прочие производственные расходы;
· коммерческие расходы.
Затраты на сырьё и материалы на единицу продукции можно рассчитать по
следующей формуле (62):
, (62)
где
Кт.з - коэффициент, учитывающий
транспортно-заготовительные расходы при приобретении материалов(Кт.з.
= 1,01-1,05);
n -
номенклатура применяемых сырья и материалов;
Мн - норма расхода материала на единицу продукции,
кг/шт.;
Цм- цена единицы массы материала, тыс.руб.
Для
удобства расчетов номенклатура сырья, необходимого для изготовления корпуса
КСАМ, сведена в таблицу 6.1.
Таблица
6.1 - «Затраты на материалы деталей прибора (тыс.руб)»
|
Наименование, марка материала и т.д.
|
Eд.изм.
|
Цена за ед., тыс. руб
|
Норма расхода на ед. (кг)
|
Програм-ма выпуска продукции, шт.
|
Сумма, тыс.руб
|
|
|
|
|
|
на ед.прод.
|
на програм-му
|
|
1
|
2
|
3
|
4
|
5
|
6
|
7
|
|
Титановый сплав ВТ1-0 ГОСТ 19807 - 91
|
Кг
|
450
|
28
|
1
|
12600
|
12600
|
|
Сталь 03Х13АГ19 ГОСТ 14637-89
|
Т
|
8100
|
3
|
1
|
24,3
|
24,3
|
|
Итого
|
|
|
|
|
12624,3
|
12624,3
|
Затраты на покупные комплектующие изделия, полуфабрикаты определяются по
формуле (63):
, (63)
где
- стоимость единицы покупных комплектующих изделий,
полуфабрикатов, предусмотренных по спецификациям, тыс. руб.
Результаты
расчетов сводятся в таблицу 6.2:
Таблица 6.2 - Ведомость покупных и комплектующих изделий и полуфабрикатов
(тыс. руб.).
|
Наименование компл. изделия, полуфабриката
|
Цена за ед.,тыс. руб.
|
Кол-во изделий на ед.прод.
|
Прог-рамма выпуска прод., шт.
|
Сумма, тыс.руб.
|
|
|
|
|
на ед. прод.
|
на прогр.
|
|
1
|
2
|
3
|
4
|
5
|
6
|
|
Винт ГОСТ 1491-80 M2,5
|
0,1
|
4
|
1
|
0,4
|
0,4
|
|
Винт ГОСТ 1491-80 M6х14
|
0,3
|
20
|
1
|
6
|
6
|
|
Винт ГОСТ 1491-80 M5х10
|
0,25
|
18
|
1
|
4,5
|
4,5
|
|
Винт ГОСТ 1491-80 M6х14 (потайной)
|
0,4
|
8
|
1
|
3,2
|
3,2
|
|
Винт ГОСТ 1491-80 M4х8
|
0,2
|
69
|
1
|
13,8
|
13,8
|
|
1
|
2
|
3
|
4
|
5
|
6
|
|
Специальное программное обеспечение ANSYS 14
|
200000
|
1
|
1
|
200000
|
200000
|
|
Итого:
|
200028
|
200028
|
Таким образом, общие затраты на сырье и материалы, а также покупные
изделия с учетом транспортно-заготовительных расходов равны (руб):
(руб)
Основная
заработная плата, приходящаяся на единицу прибора, включает в себя прямую
заработную плату, доплаты и премию за выполнение норм выработки и определяется
по формуле (64):
, (64)
где tткi
- норма времени на выполнение i - той операции, мин/шт;
Счз- часовая тарифная ставка, у.е./ч;
RВН - коэффициент, учитывающий средний процент выполнения
технически обоснованных норм, RВН = 1;
m - число операций.
Тарифная ставка рассчитывается по формуле (65):
, (65)
где Ч ТС i- часовая тарифная ставка рабочего i-го разряда;
Ч ТС 1 - часовая тарифная ставка 6-го разряда;
kтарi - тарифный коэффициент i-го разряда;
k2- повышающий коэффициент (на предприятии принимается k2 = 3,65).
Часовая тарифная ставка шестого разряда рассчитывается по формуле (66):
, (66)
в
которой МТС1р - минимальная тарифная ставка рабочего шестого
разряда, руб./мес.;
тыс.
(руб),
где
275000 руб. - размер тарифной ставки 1-го разряда;
,64
и 3,98 - коэффициенты, соответствующие данной профессии и квалификации;
Фмес- месячный фонд времени работы одного рабочего, часов
в месяц (принимается 168 часов).
(руб./час).
Результаты расчета основной заработной платы сведены в таблицу 6.3:
Таблица 6.3 - Затраты по основной заработной плате производственных
рабочих
|
Наименование работ
|
Разряд работ
|
Трудоемкость, мин
|
Часовая тарифная ставка, руб/ч
|
Основная заработная плата, руб.
|
|
Cтаночные
|
6
|
390
|
10700,0
|
69550,0
|
|
Сборка
|
6
|
540
|
10700,0
|
96300,0
|
|
Контроль
|
6
|
120
|
10700,0
|
21400,0
|
|
Проведение экспериментальных следований
|
6
|
1140
|
10700,0
|
203300,0
|
|
Итого:
|
390550,0
|
Следующей статьей затрат является дополнительная зарплата основных
производственных рабочих, к которой относятся: оплата очередных отпусков,
оплата времени, связанного с выполнением государственных обязанностей и др.
Дополнительная заработная плата основных производственных рабочих
рассчитывается по формуле (67):
, (67)
где
НО.З. - коэффициент, учитывающий дополнительную заработную
плату (НО.З.= 20%).
(руб).
Отчисления
в фонд социальной защиты определяются по формуле (60):
, (68)
где
НО.С. - норма отчислений в фонд социальной защиты,
= 34%.
(руб).
Отчисления
на обязательное страхование от несчастных случаев на производстве определяются
по формуле (61):
, (69)
где
НЧАЭС - норма отчислений на социальное страхование,
= 0,4 %.
(руб).
Затраты
на возмещение износа специнструмента и спецоснастки вычисляются по следующей
формуле (62):
, (70)
в
которой НИЗ - норма отчислений на износ специнструмента и
спецоснастки, НИЗ= 11 %.
В
данной статье отражается доля стоимости специальных инструментов и
приспособлений, включая расходы по их ремонту и поддержанию в исправном
состоянии, а также прочих специальных расходов, переносимых на единицу
продукции:
(руб).
Амортизационные
отчисления на полное восстановление производственного оборудования,
транспортных средств и ценного инструмента по действующим нормам сведены в
таблицу 6.4:
Таблица
6.4 - Амортизационные отчисления
|
Наименование
|
Модель
|
Количество
|
Балансовая стоимость, млн. руб.
|
Норма амортизации, %
|
Сумма, млн. руб./год
|
|
1
|
2
|
3
|
4
|
5
|
6
|
|
Вертикальный сверлильный станок
|
КФ-26
|
1
|
150
|
15
|
22,5
|
|
Токарно-винторезный станок
|
ТС-135
|
1
|
210
|
15
|
31,5
|
|
Горизонтально-фрезерный станок
|
6Р83Г
|
1
|
10
|
45
|
|
Продольно-фрезерный станок
|
6606
|
1
|
300
|
5
|
15
|
|
Станок шлифовально-полировальный
|
3ШП-320
|
1
|
1050
|
15
|
157,5
|
|
ИТОГО:
|
271,5
|
Общепроизводственные расходы является комплексной статьей и включает:
расходы по содержанию и эксплуатации оборудования и расходы по организации,
обслуживанию и управлению производством. Данные расходы можно определить по
формуле (71):
, (71)
где
НОБЩ норма отчислений на общепроизводственные расходы, НОБЩ
= 115 %.
(руб).
Общехозяйственные
расходы включают затраты, связанные с обслуживанием, организацией производства
и управлением предприятием в целом. Величина расходов данной статьи
определяются по формуле (72):
, (72)
где
- норма отчислений на общехозяйственные расходы,
=135%.
(руб).
Прочие
производственные расходы. В данную статью входят: отчисления на НИР и ОКР,
затраты на гарантийное обслуживание и ремонт, стандартизацию. Величины
отчислений найдем из формулы (73):
, (73)
где
- сумма выше рассчитанных статей,
- норма
отчислений на прочие производственные расходы,
= 1,8 %.
С*ПР=12624300+200028000+390550,0+78110,0+159344,40+1874,640+42960,50+271500000+449132,50+527242,50=485801,515
тыс. (руб).
Тогда
сумма прочих производственных расходов равна:
(руб).
Итоговая
производственная себестоимость равна:
тыс.
(руб).
Коммерческие
расходы вычисляются по формуле (66):
, (74)
где
- норма отчислений на коммерческие расходы,
= 2 %.
(руб).
Таким
образом, полная себестоимость узла крепления равна:
тыс.
(руб).
Расчет
цены корпуса КСАМ
После расчета полной себестоимости можно установить отпускную цену узла
по методу ориентации на издержки производства. Отпускная цена предприятия
включает в себя полную себестоимость продукции, нормативную прибыль
предприятия, налог на добавочную стоимость.
Нормативная прибыль на единицы продукции рассчитывается по формуле (75):
,
(75)
где
- процент прибыли,
= 24 %.
тыс.(руб).
Отпускная
цена без учета НДС определяется по формуле:
тыс.(руб).
Налог
на добавленную стоимость определяется по формуле:
тыс.
(руб.).
Итого
цена с учетом НДС равна:
тыс.
(руб.).
Вывод: в ходе проведенных расчетов была подсчитана полная себестоимость
корпуса для комплекса съемочной аппаратуры микроспутника, а также отпускная
цена. Источником снижения затрат является поиск более дешевых поставщиков сырья
и комплектующих изделий. Снижение себестоимости за счет других статей затрат
является нерациональным путем. Снизить издержки производства можно увеличением
числа выпускаемых изделий, однако этот метод эффективен при серийном или
массовом выпуске продукции.
Заключение
1. Проведен анализ литературных источников, касающихся моделирования
в средах конечно-элементного анализа, изучены современные возможности
математического моделирования при разработке новых приборов и оборудования,
сформулирована задача НДС анализа корпуса КСАМ.
. На основе исходных данных в виде чертежей и свойств материалов,
а также известных из условий эксплуатации объекта исследования граничных
условий построены трехмерные геометрические модели исследуемого объекта, а на
их основе в среде ANSYS сформирована
конечно-элементная модель объекта исследования - корпуса КСАМ для
дистанционного мониторинга Земли.
. В результате моделирования получена подробная картина НДС
элементов конструкции объекта, позволяющая оценить его работоспособность в
условиях эксплуатации.
. Анализ результатов моделирования показал, что элементы несущей
конструкции проектируемого корпуса КСАМ обладают достаточной жесткостью.
. Помимо конечно-элементного анализа выполнен аналитический расчет
устойчивости несущих элементов, который подтвердил выводы конечно-элементного
анализа НДС.
. Выполненная работа демонстрирует возможности математического
моделирования при проектировании новых технических объектов. Так,
математическое моделирование позволяет оценить качество конструкции нового
прибора без необходимости проведения полномасштабного натурного эксперимента,
что позволяет существенно экономить материальные ресурсы и количество времени,
затрачиваемые на разработку новых приборов.
Список использованных источников
1. Басов К.А. ANSYS:
справочник пользователя. - М.: ДМК Пресс,2005.- 640с.
2. Басов К.А. ANSYS
в руках инженера: Практическое руководство. Изд. 2-е, испр. - М.: Едиториал
УРСС, 2004. - 272 с.
. Бабук И.М., Гребенников И.Р. Методические рекомендации
по расчету экономической эффективности освоения наукоемкой продукции. - Мн.:
БНТУ, 2004. - 63 с.
4. Бабук И.М., Гребенников И.Р. Методические указания по
определению экономической эффективности разработки программного обеспечения-
Мн.: БНТУ, 2007. - 13 с.
5. Васильев В.В. Механика конструкций из композиционных
материалов. - М.: Машиностроение, 1988. - 269 с.
6. Марочник сталей и сплавов/ Под ред. д.т.н. А.С.
Зубченко. - М.: Машиностроение, 2003. - 782 с.
7. Лазаренков А.М., Калиниченко В.А. Охрана труда. - Мн.:
ИВЦ Минфина, 2010. - 463с.
8. СанПиН 2.2.2.9 - 131РБ
9. ANSYS 11.0 Theoryreference. ANSYS Inc., 2007.
10. ANSYS 11.0 User guide advanced. ANSYS Inc.,
2007.
11. Деклу Ж. (J.Descloux - Лувенский университет
(Лозанна), Швейцария) Метод конечных элементов. - М.: Мир, 1976. - 392с.
12. ANSYS в руках инженера: Практическое руководство. / А.
Б. Каплун, Е. М. Морозов, М. А. Олферьева - Москва: Едиториал УРСС, 2003. - 272
с.
13. Клебанов Я. М., Давыдов А. Н.Методика расчета
напряженно-деформированного состояния композиционных материалов// AnsysAdvantage. ANSYSInc.- 2008.-№ 8-С.11-15.
. Биткина Е. В., Жидкова О. Г. Особенности
проектирования размеров стабильной космической платформы из композиционных
материалов, предназначенной для установки оптической аппаратуры// AnsysAdvantage. ANSYSInc.- 2008.-№ 8-С.16-20.
. Устойчивость трехслойных стеклопластиковых оболочек
при осевом сжатии / ТруновН. М. // Сборник трудов центрального
аэро-гидродинамического института им. Проф. Н. Е.
Жуковского.-Жуковский,1969.-Вып.1131-С.1-10.
. Куршин Л. М. Устойчивость трехслойных пластинок и
оболочек. гл. в кн. Вольмир А. С. Устойчивость деформируемых систем. - М.:
Наука, 1967.
. Справочник машиностроителя. 3т./ Под редакцией
академика АН УССР С.В.Серенса, - М.: 1962 г.
. http://masters.donntu.edu.ua/2000/fvti/sugonyak/du_fr.htm
19. http://www.fea.ru/education/cae/ansys/
20. Интернет ресурс www.cadfem.ru
21. http://www.kxcad.net/ansys/ANSYS/workbench/ds_modal_analysis_type.html
. http://www.scribd.com/doc/36965291/ANSYS-Modal-Analysis
. http://mechanika2.fs.cvut.cz/old/pme/examples/ansys55/html/guide_55/g-str/GSTR3.htm
24. Structural analysis guide. ANSYS Inc., 2009
25. Веретимус Д.К. Основы теории упругости. Часть I.Теория напряжений. Методическое
пособие по курсу «Основы теории упругости и пластичности». 2005.-37с.
26. Веретимус Д.К. Основы теории упругости. Часть II .Теория деформаций. Связь между
напряженным и деформированным состоянием. Методическое пособие по курсу «Основы
теории упругости и пластичности»,2005.-53с.
Приложение
А
Таблица Е1 - Патентные исследования
|
Основные технические данные для поиска
|
Страны
|
Класс МКИ или МПК
|
Что и за какой Период просмотрено
|
|
Корпус для комплекса съёмочной аппаратуры микроспутника
|
Россия
|
МПК B64G 1/22
|
База данных «Патенты России и СССР» за 1964-2013 гг. с
патента № 172515 от 29.06.1965 г.
|
|
-
|
США
|
-
|
БД «Патентного Агентства США» («United States Patents») за 1984-2013
|
|
-
|
Япония
|
-
|
Реферативная патентная БД «PAJ» («Patent Office Japanese Government») за 1993-2013
|
|
-
|
ЕПО
|
-
|
БД «Европейской Патентной Организации» (ЕПО, «European Patent Office») За 1994-2013 гг.
|
|
-
|
РБ
|
-
|
не обнаружено
|
Таблица Е2 - Патентные исследования. Анализ
|
№, названия выявленных аналогов
|
Анализ технических решений, темы. Выводы и рекомендации
|
|
1
|
2
|
|
СССР патент № 717693 От 25.02.80 Блочный космический
аппарат (прототип)
|
Изобретение относится к конструкции космических аппаратов
(КА) содержит унифицированные блоки с модулями служебной и целевой
аппаратуры, имеющие стенки с толщиной, необходимой для радиационной защиты
электронных модулей. Рама каркаса блоков выполнена несущей и обеспечивает КА
жесткость при выведении на орбиту. Блоки соединены друг с другом «холодной
сваркой» (с использованием свойства притираемости и взаимного проникновения
материала граней соседних блоков).
|