Территориальное прогнозирование половозрастного состава населения России (младше трудоспособного населения)
МИНИСТЕРСТВО
ОБРАЗОВАНИЯ И НАУКИ
РОССИЙСКОЙ
ФЕДЕРАЦИИ
ФЕДЕРАЛЬНОЕ
ГОСУДАРСТВЕННОЕ БЮДЖЕТНОЕ ОБРАЗОВАТЕЛЬНОЕ УЧРЕЖДЕНИЕ
ВЫСШЕГО
ПРОФЕССИОНАЛЬНОГО ОБРАЗОВАНИЯ
«БАШКИРСКИЙ
ГОСУДАРСТВЕННЫЙ УНИВЕРСИТЕТ»
Географический
факультет
Кафедра
экономической географии
Курсовая
работа
Территориальное
прогнозирование половозрастного состава населения России (младше
трудоспособного населения)
Даминова Диана
Надировнакурс ОЗО
Работа допущена к
защите: Научный руководитель:
заведующий кафедрой
к.г.н., ст. преподаватель
д.г.н., профессор
Сафиуллин Р.Г. Сафиуллина Р.М.
Уфа
- 2013
СОДЕРЖАНИЕ
ВВЕДЕНИЕ
.
ТЕОРЕТИЧЕСКИЕ ОСНОВЫ ПРОГНОЗИРОВАНИЯ ПОЛОВОЗРАСТНОЙ СТРУКТУРЫ НАСЕЛЕНИЯ
.1
Понятие прогнозов населения
.2
Половозрастная структура населения
.3
Методы прогнозирования половозрастного состава
.
ТЕРРИТОРИАЛЬНАЯ КАРТИНА ПОЛОВОЗРАСТНОГО СОСТАВА НАСЕЛЕНИЯ РОССИЙСКОЙ ФЕДЕРАЦИИ
ЗАКЛЮЧЕНИЕ
СПИСОК
ЛИТЕРАТУРЫ
ВВЕДЕНИЕ
Половозрастная структура населения - это
распределение численности населения по возрастным группам отдельно для мужчин и
женщин. Возрастная структура населения определяет его производительную
составляющую - трудовые ресурсы, которые в разных странах оцениваются
по-разному. Особенно важна степень вовлечения трудоспособного населения в
производство, о чем свидетельствует показатель экономически активного
населения, реально занятого в материальном производстве и непроизводственной
сфере. Половой состав населения мира характеризуется преобладанием мужчин.
Численность мужчин на 20-30 млн превышает численность женщин. Преобладание
женщин имеет место примерно в половине всех стран мира. Наиболее ярко оно
проявляется в Европе, что связано с большей продолжительностью жизни женщин в
этих странах, а также большими потерями мужского населения в периоды мировых
войн. Среди пожилых людей во всем мире преобладают женщины.
Целью моей работы является изучение
прогнозирования половозрастной структуры населения.
Задачи курсовой работы:
На основе анализа научной литературы дать
определение понятию «прогнозы», «половозрастная структура»;
Изучить методы прогнозирования половозрастного
состава населения;
Охарактеризовать особенности различных методов
прогнозирования.
Курсовая работа состоит из введения, двух глав,
заключения, списка литературы. Текст изложен на 36 страницах машинописного
текста, включает рисунки,карты. Список литературы включает 14 наименований.
1.ТЕОРЕТИЧЕСКИЕ ОСНОВЫ ПРОГНОЗИРОВАНИЯ
ПОЛОВОЗРАСТНОЙ СТРУКТУРЫ НАСЕЛЕНИЯ
.1 Понятие прогнозов населения
Для повышения научного уровня управления и
планирования народного хозяйства необходимо определение будущего управляемых и
планируемых процессов. Прогнозирование - один из составных элементов
планирования. Оно позволяет выявить качественные и количественные
закономерности тенденций экономического и социального развития, перспективы
формирования процессов, возможные сдвиги в их эволюции Прогнозы играют важную
роль в обосновании долгосрочных планов
Особое место в общей системе прогнозирования
занимает прогнозирование численности и состава населения, поскольку это дает возможность
определить величину трудовых ресурсов общества и объем его потребностей
Прогноз будет точным лишь в том случае, когда
самым тщательным образом определены и проанализированы тенденции развития
процессов в прошлом и правильно использованы данные и методы статистического
обобщения, которыми располагает современная наука План развития народного
хозяйства и прогноз населения должны быть согласованы Причем второй
предшествует первому, предоставляя для него часть исходных данных После
определения основных элементов народнохозяйственного плана для его
конкретизации необходимо вновь возвращаться к демографическому прогнозу[1]
Методологической основой прогнозирования служат
указания В И Ленина о диалектической взаимосвязи прошлого, настоящего и
будущего Социализм рассматривает «историческую почву не в смысле одного только
объяснения прошлого, но и в смысле безбоязненного предвидения будущего и смелой
практической деятельности, направленной к его осуществлению» (Ленин В. И. Поли
собр. соч. -Т 26 -С 75)
Прогнозы населения производятся по общей его
численности, численности по полу, возрасту и другим структурам, по
естественному и миграционному движению (рождаемость, смертность, естественный
прирост; прибытие, выбытие населения) и т д. Они бывают краткосрочными (1-5
лет), среднесрочными (5-25), долгосрочными (свыше 25 лет).
Применяемые методы позволяют различать
прогнозирование населения:
) по типу используемых математических функций;
) по демографическим моделям
"воспроизводства населения,
) по статистическим характеристикам динамики;
) по передвижке возрастов.
В ряде случаев необходимо совместное применение
различных методов и приемов прогнозирования в целях проверки правильности их
выбора и осуществления новых сопоставлений прогнозных и фактических данных.[3]
Важное значение для прогнозов населения имеет
учет современной и предполагаемой на будущее демографической политики.
Первые попытки прогнозировать численность
населения в разных странах сводились к определению так называемого периода
удвоения населения. Д Граунт в начале XVII в.
рассчитал период удвоения населения-Англии в 280 лет. В. Петти, предполагая
меньший рост населения Англии, в то же время определил этот период в 360 лет.
Он считал, что период удвоения населения в разных странах значительно отличается
от английского. Последователь Петти, английский экономист и статистик Г. Кинг
(серединаXVII в.) в основу прогнозов положил гипотезу о росте численности
населения в арифметической прогрессии. По этой гипотезе был составлен прогноз
для Англии на 600 лет вперед, по жизнь выявила его несостоятельность: в 1800 г
население страны было в 1,5 раза больше, чем предполагал ученый.
В конце XVIII в. русский математик Л. Эйлер
рассчитал, что период удвоения населения составляет 12,5 лет. Хотя такие темпы
превышают рост населения любой страны, его теоретические соображения были очень
важны для развития прогнозирования. Первый прогноз численности населения России
был сделан тогда же известным демографом и статистиком И. Германом, который в
труде «Статистическое изображение России», изданном одновременно в Петербурге и
Лейпциге в 1790 г., предсказал период удвоения населения исходя из его
2-процентного годового прироста. Но и этот прогноз не оправдался.
В советской статистике первый прогноз населения,
рассчитанный на 20 лет вперед, произвел в 1920 г. академик С. Г. Струмилин. Он
исходил из последовательно увеличивающегося коэффициента естественного
прироста. Расхождение прогноза с фактической численностью населения накануне
Великой Отечественной войны составляло лишь 3%.[5]
Если в прошлом прогноз основывался, главным
образом, на сравнении настоящего с прошлым, то в последнее время во всем мире
царит убеждение, что необходимо вести прогноз более тонкими методами.
Предвидение будущего требует полного и всестороннего изучения факторов,
влияющих па изменение численности как всего населения, так и его отдельных
структурных элементов. Характерной чертой современных демографических прогнозов
служит поиск наиболее эффективных методов оценки не только половозрастной, по и
других структур населения.
Под прогнозом следует понимать научно
обоснованное суждение о возможных состояниях объекта в будущем, об
альтернативных путях и сроках его осуществления. Процесс разработки прогнозов
называется прогнозированием. Прогнозирование - это предположение динамики
развития ситуации в будущем, основанное на имеющейся информации. Это также
научно обоснованное выявление возможных путей и результатов предстоящего
развития явлений и процессов; оценка показателей, характеризующих эти явления и
процессы в будущем.
В проблеме прогнозирования различают два
аспекта:
теоретико-познавательный, подразумевающий
описание возможных или желательных перспектив, состояний, решений проблем
будущего;
управленческий, предполагающий использование
информации о будущем при принятии решений. Разработка какого-либо прогноза
представляет собой поиск возможного реалистического, экономически верного
решения.
Особенности прогнозирования:
основано на прогностических методах;
существует как самостоятельная отрасль знаний,
так как ряд социально-экономических процессов не поддается планированию и
является исключительно объектом прогнозирования (например, демографические
процессы, текущий спрос населения на предметы потребления и т. д.).
Прогнозы принято классифицировать по следующим
признакам:
по масштабу прогнозирования;
времени упреждения;
характеру исследуемых объектов.
По масштабу прогнозирования выделяют следующие
виды прогнозов:
макроэкономические;
межотраслевые;
отраслевые;
региональные;
отдельных производств и продуктов.
По времени упреждения прогнозы подразделяются:
на оперативные (до 1 месяца);
краткосрочные (от 1 месяца до 1 года);
долгосрочные (от 5 до 20 лет);
стратегические (свыше 20 лет).
В зависимости от характера исследуемых объектов
выделяют следующие виды прогнозов:
экономические;
природных ресурсов;
научно-технические;
демографические;
социального развития.
Экономические прогнозы исследуют перспективы
развития отдельных элементов производительных сил и производственных отношений,
таких как:
производительность труда;
использование и воспроизводство трудовых
ресурсов и основных фондов;
объем и состав инвестиций и их эффективность;
темпы экономического роста;
развитие отраслей и народнохозяйственных
комплексов;
динамику, объем, состав и качество выпускаемой
продукции.
Прогнозы природных ресурсов характеризуют
вовлечение последних в хозяйственный оборот и охватывают все виды общественного
воспроизводства и природную среду:
топливо и минеральные ресурсы;
ресурсы Мирового океана;
некоторые виды энергии;
растительный и животный мир;
состояние охраны окружающей среды.
Научно-технические прогнозы рассматривают
достижения научно-технического прогресса, оказывающие существенное влияние на
размещение производства, природные факторы. Выделяют следующие виды
научно-технических прогнозов:
развития науки как одной из сфер человеческой
деятельности;
фундаментальных и прикладных исследований;
развития и использования достижений
научно-технического прогресса в народном хозяйстве;
последствий научно-технического прогресса.
Демографические прогнозы охватывают такие процессы, как:
движение народонаселения;
воспроизводство трудовых ресурсов;
уровень занятости трудоспособного населения, его
квалификационный и профессиональный состав.
Прогнозы социального развития отражают динамику
таких процессов, как:
потребление населением продуктов питания и
непродовольственных товаров;
розничный товарооборот;
развитие отраслей непроизводственной сферы,
таких как: - общее и профессиональное образование; « культура и искусство; - здравоохранение;
- жилищно-коммунальное хозяйство; - бытовое обслуживание населения и др.[2]
.2 Половозрастная структура населения
Структура населения - отнюдь не синоним его
состава. Состав - это номенклатура, точнее перечень элементов, составляющих
население как совокупность людей. Демографический состав включает в себя
деление населения на мужчин и женщин, а также - на лиц разного возраста.
Население, дифференцированное по возрасту, может быть распределено по группам.
Группировка, выполненная по качественному признаку, представляет классификацию.
Например, в зависимости от такого качественного признака как трудоспособность
выделяют три группы населения: моложе трудоспособного, трудоспособное и то,
которое старше трудоспособного.
Население может быть распределено на группы и по
количественному признаку. Обычно распределение населения по полу и возрасту
бывает в однолетней (для каждого отдельного года возраста) и пятилетней
возрастной группировках. Последняя дается в стандартной группировке: 0-4 года,
5-9 лет, 10-14, 15-19 и т.д. Группа 0-4 года включает в себя всех детей,
начиная с новорожденных и кончая прожившими 5 лет без одного дня. Имеется в
виду полное число исполнившихся лет, т.е. группа 0-4 года это значит до 5 лет,
5-9 - до 10, 10-14 - до 15 и т.д. Такие группировки используется органами
статистики при разработке данных переписей населения и текущего учета.
Иногда используются также десятилетние группы
(0-9, 10-14 и т.д.). Возраст в 9 лет выступает как последнее число первого
десятка, 19 лет - последнее число второго десятка и т.д., хотя очевидно, что
последним числом десятка может быть 10, 20 и пр. С этим, кстати, связано и
недоразумение, возникшее на рубеже веков, когда многие и журналисты, и политики
и даже ученые, начало нового ХХI века датировали 2000 годом, хотя оно наступило
первого января 2001г.
В отличие от состава структура населения - это
соотношение между однородными элементами или численно определенными группами.
Самой простой выступает половая структура: процентное отношение мужчин и женщин
в общей численности населения. Существуют также возрастные, возрастно-половые
структуры, распределения по времени проживания и т.д. Структура, т.е.
распределение населения по группам может выражаться не только в процентах, но и
в долях, промилле. В возрастной структуре выделяют как численно равные
возрастные группы, так и функционально различные контингенты. Последние
представляют собой укрупненные возрастные группы, выделенные по какой-либо
качественной характеристике (детский, репродуктивный, трудоспособный,
пенсионный и др. возрастные контингенты).
Обобщающей характеристикой возрастного
распределения населения выступает его средний возраст. Он может рассчитываться
для всего населения в целом, для разных возрастных групп и для отдельных
контингентов. В качестве примера последнего можно назвать средний возраст
занятого или экономически активного населения.
Частота всех демографических событий различается
в зависимости от возраста. Так, большая часть деторождений у женщин происходит
в возрастах от 20 до 30 лет. Этот же возрастной интервал отличается наибольшей
интенсивностью вступления в брак (у женщин и нижняя и верхняя границы этого
интервала несколько ниже, чем у мужчин, и в возрастной группе 18-19 лет они
вступают в брак чаще, чем в 25-29 лет).
Соответственно, несколько старше, в среднем те,
кто разводится. Верхняя граница возрастного интервала, характеризующегося
наиболее высокими показателями разводимости, простирается у мужчин почти до 40
лет, а у женщин - до 35. Понятно, что с возрастом увеличивается вероятность
смерти. Исключение здесь составляют только дети. После сравнительно высокого
уровня смертности у новорожденных он снижается, достигая минимума в возрастном
интервале 10-14 лет, а затем постоянно нарастает. Средний возраст умерших как и
медианный возраст могут быть рассчитаны по аналогии со средним возрастом
живущего населения.
Пол и возраст являются основными
демографическими параметрами человека, а половозрастная структура -
соответственно, одной из базовых характеристик населения. Значение информации о
распределении по полу и возрасту жителей государства, региона, того или иного
административно-территориального образования трудно переоценить. Эти данные
востребованы практически во всех сферах общественной жизни, так или иначе
связанных с жизнедеятельностью людей.
Ребенок еще не появился на свет, но, зная
численность женщин различных возрастов и уровень повозрастной рождаемости хотя
бы в предыдущем году, можно достаточно точно определить, сколько на той или
иной территории в данном году будет новорожденных. Их численность, особенно
если ее рассчитать не только на текущий или предстоящий год, но и на ближайшую
перспективу, позволяет оценить потребность в койках для беременных и рожениц, в
акушерах-гинекологах и т.д. Однако новорожденным и их матерям нужны не только
медицинские услуги, но и коляски, кроватки, белье, подгузники, детское питание
и пр. Таким образом, информация о численности уже родившихся детей и ее
прогнозная оценка приобретают, по сути дела, маркетинговый характер. Ею
пользуются предприятия, фирмы, занимающиеся производством и продажей товаров
для новорожденных. Эти данные нужны Фонду социального страхования для
планирования своих расходов на выплату пособий по беременности и родам, при
рождении ребенка и по уходу за ним.
Сведения о количестве детей более старшего
возраста нужны для оценки потребности в дошкольных образовательных учреждениях,
врачах-педиатрах и детских врачах других специальностей, бюджетных расходах на
выплату ежемесячного пособия на ребенка, детской одежде и обуви, детских книгах
и игрушках (опять речь идет о маркетинговом использовании данных о численности
и половозрастном составе детей) и др. Перечень сфер использования данных о
численности населения последующих возрастов очень велик. Это - школы и другие
образовательные учреждения, вузы, армия, трудовые ресурсы, жилищное
строительство, производство товаров, продуктов и услуг, медицинская помощь,
пенсионное обеспечение и многое другое. Данные о распределении населения по
полу и возрасту нужны и для расчета практически всех демографических
показателей.
На основе данных переписей находятся показатели
половой и половозрастной структуры населения. Показатели половой структуры
населения бывают двоякого рода. Во-первых, это доли женщин и мужчин в
населении, которые рассчитываются, как правило, в процентах. Во-вторых,
соотношения между численностью мужчин и женщин. Они могут выглядеть как число
мужчин на 1000 женщин или, наоборот, как число женщин на 1000 мужчин. Первый
показатель рассчитывается путем деления численности мужчин на численность
женщин и умножения полученного результата на 1000. Второй рассчитывается
наоборот. Понятно, что все эти показатели могут рассчитываться как для всего
населения в целом, так и для отдельных возрастов.
Показателями возрастной структуры населения
служат доли населения отдельных возрастов или возрастных групп. Если
знаменателем при расчете таких показателей является общая численность
населения, то можно говорить о показателях половозрастной структуры населения,
а если расчет делается по отношению к численности населения каждого отдельного
пола, то это будет возрастная структура отдельно женщин и мужчин.[2]
Особое внимание при анализе возрастного состава
уделяется доле (в процентах) населения в возрасте 60 лет и старше (в ООН и
некоторых зарубежных странах при расчете данного показателя используется
возрастная граница 65 лет). Этот показатель называется коэффициентом старения
или коэффициентом демографической старости населения. В отношении причин
старения в обществе существует серьезное заблуждение. Распространено мнение,
что оно вызвано, главным образом, ростом продолжительности жизни. Это не так.
Главная причина старения населения - снижение рождаемости.
Снижение рождаемости ведет к сокращению
численности и доли детского населения, а, следовательно, к росту доли населения
в более старших возрастах, в т.ч. старше 60 лет. Увеличение продолжительности
жизни ведет к росту коэффициента старения только тогда, когда происходит за
счет сокращения смертности населения в возрастах старше 60 лет (увеличивая тем
самым численность и долю этого населения). Однако практически всегда и во всех
странах продолжительность жизни росла, в основном, за счет снижения смертности
в более молодых и, в первую очередь, в детских возрастах. А это уже совсем
другое дело. В этом случае рост продолжительности жизни будет, наоборот,
препятствовать демографическому старению, так как будет вести к росту числа и
доли детей (из-за большего числа сохраненных детских жизней). Итак, главная
причина старения населения - снижение рождаемости.
Для наглядности и расширения возможностей
анализа половозрастной структуры населения строится половозрастная пирамида.
Она представляет собой графическое изображение половозрастного состава
населения Для ее построения по центру проводится вертикальная ось (ось
ординат), по которой откладываются градации возраста. От основания оси вправо и
влево проводятся горизонтальные оси (оси абсцисс), по которым откладываются
градации численности населения, соответственно, слева мужчин и справа женщин.
Численность населения каждой половозрастной
группы на пирамиде изображается в виде прямоугольника, площадь которого
соответствует численности населения. Его нижняя и верхняя горизонтальные линии
проводятся на уровне, соответственно, начала данного возрастного интервала и
начала следующего возрастного интервала. Правая вертикальная линия у мужчин и
левая у женщин совпадают с вертикальной осью на отрезке данного возрастного
интервала. Левая вертикальная линия у мужчин и правая у женщин проводятся на
уровне численности соответственно мужчин и женщин данной возрастной группы.
.3 Методы прогнозирования половозрастного
состава
Математическое моделирование. В современной
статистике сложился ряд методов
прогноза населения, имеющих разную точность и основывающихся на различных
моделях.
Самые простые из них характеризуют изменение его
численности в целом. Это модели, основанные на применении в прогнозе
математических функций. Поскольку график изменения численности имеет плавный
рост, напоминающий некоторые математические кривые, возникает вопрос о
сглаживании фактической динамики населения при их помощи. Наибольшее
распространение получили параболическая, показательная и логистическая функции.
Американский астроном Г. Притчетти в 1891 г. для
предсказания численности населения США использовал параболу третьего порядка.
Выравненные им по этой кривой данные о численности за 1790-1880 гг. почти за
каждый год совпали с фактическими. Данные прогноза по параболе третьего порядка
на 1880 г дали небольшое (55 тыс.) расхождение с фактическими. Основываясь на
предположении, что рост населения США будет идти по тому же закону, ученый
рассчитал численность на 1000 лет вперед. Однако со временем расхождение между
рассчитанной и фактической численностью росло. Оказалось, что парабола, пригодная
для описания роста населения в прошлом, малопригодна для прогноза
Наибольшее распространение для характеристики
прошлого и будущего развития населения получила показательная или
экспоненциальная кривая, которая, кроме времени прогнозируемого периода, учитывает
и основной показатель развития населения - коэффициент его естественного
прироста.
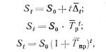
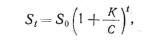
Если коэффициент естественного прироста k
предположить постоянным на некоторый будущий промежуток времени t, то исходя из
экспоненциального закона роста населения можно определить рост его численности:

где St -численность населения через t лет; S0 -
численность населения в исходный момент; k - коэффициент естественного прироста
в долях единицы; е - основание натуральных логарифмов. По приведенной формуле
можно вычислить численность населения через t лет, если известны численность в
некоторый момент (S0) и величина коэффициента естественного прироста (К).
Однако по этой модели нельзя получить сведения о возрастной структуре
населения, уровне рождаемости или смертности, нет также возможности установить
пропорции между этими величинами.[10]
Можно, однако, заключить, что при К>0
численность населения растет, а при K<О - уменьшается, при K=0 численность
населения остается неизменной.
Используя экспоненциальный закон, легко также
установить период времени, через который численность населения достигнет
определенной величины. Для этого по формуле экспоненциального закона найдем
величину t, предварительно прологарифмировав левую и правую части уравнения:
откуда
Поскольку lg е = 0,4343, то знаменатель дроби
составит 0,4343 k. Вместо S0 можно подставить любую численность населения и
затем определить период t, через который базовая численность населения So при
неизменном k достигнет величины STSi,
Например, численность населения Москвы на 17/I
1979 г. составила 8011 тыс. Средний коэффициент прироста за период 1970- 1979
гг. был равен 11,5%с. Определим, к какому году население города достигнет 10
млн. человек при неизменном общем приросте:
т. е. это произойдет в 1998 г.
Если коэффициент прироста населения рассчитывать
по формуле советского ученого Ю. А. Корчак-Чепурковского
то получим, что
По этой формуле для СССР за межпереписной период
1970- 1979 гг. К составит:
или 9,2%с. Если
принять, что средний прирост СССР в ближайшее время сохранится на том же
уровне, то период, за который население достигнет 300 млн. человек, будет
равен:
Экспоненциальный закон позволяет определить и
период удвоения численности населения, тогда ekt = 2. Логарифмируя левую и
правую части, получим tk lg e = lg 2. Откуда t=lg 2:k lg e = =0,3010: 0,43436 k
= 0,693:k, при k=10%c, или 0,01, т. е. при этом коэффициенте естественного
прироста населения период удвоения населения составит: 0,693:0,01 = 69,3 года,
при k = 9%с, или 0,009, период удвоения будет равен: 0,693:0,009 = 77 (годам);
при k = 8%с, или 0,008, период удвоения населения увеличится до 86,6 лет.
Надо отметить, что период удвоения зависит не от
численности населения на исходный период, а только от коэффициента его
естественного прироста. Чем меньше коэффициент, тем больше период удвоения.
Рассчитаем численность населения СССР к 1996 г.
На 1/1 1986 г. она составила 278,7 млн. человек, а коэффициент естественного
прироста примем равным 0,01; S1996 = 287,7
0,01
10.
Логарифмируя левую и правую части уравнения, получим: lgS1996=lg 278,7+0,11ge =
Ig278,8 + 0,0434 = 2,4453 + 0,0434 = 2,4887. По антилогарифму этого числа
определим величину St. Она составит 308,1 млн. человек.
При коэффициенте естественного прироста 0,008,
или 8%о; S1996 = 278,70,008
10; lgS199e = 278,7
+ 0,081ge=2,4453 + 0,08 - 0,4343 = = 2,480
S1996=302 млн.
человек.
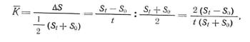
Приведенную формулу можно представить в
несколько измененном виде как соотношение
в нем сохранены прежние обозначения, С -
величина базы расчета к (100 или 1000).
Эта формула применяется для расчета численности
населения и последующего определения числа лет, необходимого для ее
многократного увеличения по сравнению с начальным моментом или же общую
численность населения по истечении определенного времени.
Надо иметь в виду, что принятие гипотезы о
модели динамики численности населения по показательной функции означает
признание роста численности в геометрической прогрессии, где существенный
параметр - коэффициент естественного прироста. На практике значение этой модели
ограничено малореальным допущением о постоянстве коэффициента естественного
прироста в течение длительного времени. Однако на короткое время такая посылка
может быть принята и расчет произведен.
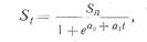
Логистическая функция характеризует такой рост,
который вначале происходит в ускоренном темпе, продолжается до определенного
момента, затем уменьшается и в конце достигает нуля. Она может быть
представлена следующей формулой:
где St- численность населения в момент t; Sn -
численность населения в момент максимального роста; t - время; а0 и а1 -
параметры функции.
Мысль о прогнозировании численности населения по
логистической кривой принадлежала бельгийскому ученому XIX в. Р. Ф. Ферхюсту;
дальнейшее развитие она получила в трудах американских ученых начала XX в. Р.
Пирля и Л. Рида. Согласно теории Пирля - Рида в логистической кривой заложена
связь между темпами роста населения и его абсолютной численностью. Поскольку
территория страны постоянна, эта зависимость превращается в зависимость между
темпами роста населения и его плотностью. Вначале плотность населения быстро
растет, затем, встречая увеличивающееся сопротивление среды, уменьшается,
доходя до нуля. Придав логистической кривой биологическое обоснование, биолог
Р. Пирль и математик Л, Рид стали применять ее для выравнивания эмпирических
данных о численности населения. Для населения США и Швеции выравнивание дало
сравнительно небольшие расхождения между эмпирическими и выравненными данными,
что позволило утверждать о возможности проведения прогноза по логистической
кривой. На основании эмпирических данных о населении США за 1790-1910 гг. был
определен по логистической кривой рост его численности и методом экстраполяции
произведен ее расчет на 180 лет вперед. Для 1920 г. экстраполяция логистической
кривой дала численность населения США 107,4 млн. человек, а перепись-105,7 млн.
человек, расхождение составило всего 1,7 млн. человек. В 1930 г., т. е. через
10 лет после прогноза, оказалось, что фактические цифры близко подошли к цифрам
Пирля- Рида. Однако следующее десятилетие продемонстрировало, что логистическая
кривая для США слишком высока. Поскольку перепись 1940 г. показала значительное
расхождение между фактическими и прогнозными данными (5 млн. чел.), ученые
произвели новое выравнивание фактической численности уже за 1790 - 1940 гг.[4]
Расчет населения за 1950 и 1960 гг. показал
непригодность логистической кривой для прогнозов.
Прогноз по демографическим моделям. Модель
стационарного населения предполагает совокупность людей, в которой неизменны
интенсивность рождений и порядок вымирания при отсутствии миграции.
Следовательно, она предполагает равенство рождений и смертей, т. е.
естественный прирост, равный нулю, а численность населения отдельных возрастных
групп постоянную. Такая модель не имеет аналогов ни в одном известном обществе.
Однако в современном прогнозировании развития населения она играет в
определенных условиях не только абстрактную, но и значительную практическую
роль Ее значение увеличивается в связи со стремлением к саморегулированию
процесса воспроизводства населения и возможностью образования такого типа
населения Известный демограф Р. Пресса в своей книге «Народонаселение и его
изучение» пишет: «Вполне очевидно, что в действительности никогда не было
населения, полностью соответствующего стационарной модели: но можно думать, что
эволюция некоторых групп населения в определенные периоды их истории близка к модели
стационарного населения».
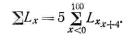
По таблицам смертности можно построить модель
стационарного населения по числу доживающих от возраста х до возраста х+1. Если
принять табличные числа женщин, доживающих до возраста x+1, за основные
значения, то соответствующие числа мужчин можно рассчитать умножением на
постоянный коэффициент, выражающий соотношение полов среди новорожденных. В
больших совокупностях населения эти соотношения постоянны. Необходимость
корректировки объясняется тем, что при построении таблиц смертности за основу
как для мужчин, так и для женщин принимается 100000, в то время как отношение
числа родившихся мальчиков к числу родившихся девочек больше единицы.
Если принять ежегодное число рождений за N, в
том числе рN мальчиков и (1 -
)N девочек, то
число лиц, доживающих до возраста х, составит Lx, что свидетельствует о
необходимости опираться при расчете на среднюю численность населения в возрасте
х лет, для которого производится расчет.
Общую численность стационарного населения можно
рассчитать по формулам:
где Lx - число живущих в возрасте х лет; N-
годовое число рождений; е0° - средняя продолжительность предстоящей жизни
новорожденных.
Имея рождение N детей, общий коэффициент
рождаемости можно записать как
Таким образом, в стационарном населении
рождаемость есть величина, обратная средней продолжительности предстоящей жизни
новорожденных.
Поскольку в стационарном населении коэффициент
смертности равен коэффициенту рождаемости, то общее годовое число рождений
должно равняться годовому числу смертей. Следовательно, для построения этой
модели необходимы таблицы смертности, определяющие число доживающих до возраста
х, и коэффициент, отражающий отношение числа мальчиков к числу девочек среди
новорожденных. Для расчета необходимо знать также среднее число живущих,
вычисляемое по соотношению чисел доживающих:
Если содержатся данные для пятилетних возрастных
групп, то Пользуются средними величинами из чисел доживающих-
Таким образом, модель стационарного населения
позволяет определить его общую численность и табличное среднее число живущих
мужчин и женщин с распределением их по возрастным группам. Поскольку идея
стационарного населения предполагает неизменность рождаемости и смертности, а
следовательно, и нулевой прирост населения, предполагает неизменность
рождаемости и смертности, то наблюдаемые показатели воспроизводства сохранятся
и в будущем. Ни численность населения, ни его структура не изменяется.
Для определения численности стационарного
населения необходимы сведения о числе рождений и средней продолжительности
жизни для новорожденных по таблицам смертности
Модель стабильного населения предполагает
совокупность Шюдей, в которой неизменны интенсивность рождений и порядок
вымирания (с постоянным уровнем в отдельных возрастных группах) при отсутствии
миграции Это означает, что численность населения либо постоянно растет, либо
постоянно снижается Если рождаемость превышает смертность, то население растет.
поскольку высокие рождаемость и смертность определяются их «естественным
уровнем», т. е. не происходит планирования (ограничения роста) семьи, модель
стабильного населения применима при расчете возрастной структуры и параметров
его естественного движения в развивающихся странах. Однако и в развитых странах
наблюдается стабилизация процесса воспроизводства населения. Поэтому модель
стабильного населения имеет большое значение для демографии.
В стабильном населении коэффициенты рождаемости,
смертности и естественного прироста в большей степени зависят от фактической
возрастной структуры населения. Если доказать, что данное население стремится к
определенному уровню рождаемости и смертности, то возрастная структура
населения будет зависеть только от этих двух факторов (исключаются нарушения
лет войны). На это обратил внимание американский демограф А. Лотка
Необходимо, однако, чтобы для установления
зависимости между коэффициентами естественного движения населения и
стабилизацией его возрастной структуры прошло некоторое время. А. Лотка
определил его в пределах 50-100 лет, но последние наблюдения свидетельствуют о
том, что для этого достаточно средней продолжительности жизни одного поколения
(длины женского поколения).[6]
Модель стабильного населения опирается на
возрастную структуру модели стационарного населения, коэффициент стационарного
населения и коэффициент естественного прироста А. Лотки, представляющий собой
предельную величину вследствие стабилизации коэффициентов рождаемости и
смертности. Такой метод применим в анализе роста населения стран, в которых
идет процесс стабилизации естественного движения населения.
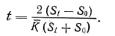
Наиболее важный параметр модели стабильного
населения, истинный коэффициент естественного прироста (А. Лотки), имеет
следующую формулу:
где R0- нетто-коэффициент рождаемости; ln -
логарифм с основанием е; lg- логарифм с основанием 10;
-
длина женского поколения.
Коэффициент естественного прироста А. Лотки
рассчитывается по формуле, основанной на длине женского поколения Т и
нетто-коэффициенте воспроизводства (число девочек, рожденных одной женщиной,
доживших до возраста родившей их матери) Rо Длиной женского поколения Т служит
и среднее, или медианное, число лет женщин, родивших первого ребенка.
Численность стабильного населения возрастает в
геометрической прогрессии со знаменателем ek, а общая численность населения
составит: St =åLx-e-kx, где Lx - среднее число
доживающих до возраста х лет в
стационарном населении.
Пример вычисления стабильного населения дан в
табл. 12.3.
Следовательно, для расчета стабильного населения
необходимы сведения о нетто-коэффициенте воспроизводства, который в нашем случае
составил 1,1177, а длина женского поколения - 27 лет. Значит, истинный
коэффициент естественного прироста составит:
После этого строим таблицу 12.3, в которой
определяем численность стационарного населения (гр. 4 и 5) на основании числа
живущих по таблицам смертности. Затем численность стационарного населения
умножается на соответствующее значение e-kx, после чего получаем численность
стабильного населения.
Чтобы получить стабильное население страны по
полу и возрасту, надо найти соотношение общей численности населения страны с
итогом численности стабильного населения обоих полов. (В нашем примере
32,9:24,1 = 1,363.) Численность стабильного населения страны данного пола и
возраста равна численности стабильного населения тех же групп по модели,
умноженной на этот коэффициент.
Прогноз по статистическим характеристикам
динамики. Прогнозировать будущую численность населения можно, используя такие
динамические статистические характеристики, как средний абсолютный прирост,
средний темп роста и прироста населения.
Полагая их неизменными на будущий период и
равными их средним значениям за предыдущий период, можно найти будущую
численность по формулам:
где
-
средний абсолютный прирост; - средний темп роста; - средний темп прироста; S0 -
исходная численность населения.
Например, если численность населения СССР на 1/1
1986 г. составляла 278,7, а на 1/1 1976г. - 255,6 млн. человек, то общий
абсолютный прирост за 10 лет был равен 23,1 млн. человек. Следовательно,
Согласно этим расчетам, через 10 лет, т. е. к
1996 г., население СССР составит.
Таким образом, уравнение линейного тренда
выражается функцией St = 269,1 + 2,31t к 1996 г. t =14. Следовательно,
численность населения в этом году составит: 269,1 + 2,31
14 = 301,44
млн. человек. При определении тренда необходимо решить вопросы о длине
предыстории прогноза и величине его интервала, об аналитической форме уравнения
тренда.
Метод передвижки возрастов долгое время был
основан для перспективных расчетов населения. Он учитывает как изменение его
половозрастной структуры, так и тенденции рождаемости и смертности. Сущность
метода можно проиллюстрировать следующим примером.[7]
Пусть имеются данные о численности населения по
полу и возрасту на ту или иную дату (предположим, на дату переписи). В течение
определенного отрезка времени, например года, люди, родившиеся в одном и том же
году, постареют, а некоторые из них умрут. Чтобы получить численность этой
возрастной группы через год, надо исключить из первоначальной численности лиц,
умерших в этом возрасте за прошедший год. Например, численность детей в
возрасте пяти лет равна численности четырехлетних минус число умерших в
возрасте от четырех до пяти лет. Следовательно, можно «передвинуть»
четырехлетних на один год и подсчитать численность пятилетних, т. е.
«передвинуть» младшую группу в старшую.
Поскольку смертность меняется не только по
возрастам, но и по полу, «передвижка» производится раздельно для мужчин и
женщин.
Важнейшей целью демографического прогноза
является оценка будущих численности и возрастно- полового состава населения
страны, регионов и типов населенных пунктов (городские поселения, сельская
местность). Социальные запросы не ограничиваются данными о возрастно - половом
составе населения на перспективу. Не менее важны сведения о численности и
структуре семей, прежде всего для прогноза жилищного строительства и
потребности в предметах длительного пользования, которые приобретаются на
«семью». Все чаще предпринимаются попытки прогнозировать образовательную и даже
профессиональную структуру населения, рождаемости, смертности, брачности и т.
п.
Без учета подобных сведений невозможно социально
- экономическое прогнозирование развития страны в целом или отдельных отраслей
экономики. Без учета данных о населении не могут быть определены перспективы
производства и потребления, развитие социальной инфраструктуры, занятости и
безработицы и т.д.
Таким образом, прогнозирование населения
занимает важное место в деятельности демографических научных учреждений,
общественных и частных институтов и структур как в отдельных странах, так и в
международных организациях.
Демографический прогноз включает три этапа,
главным из которых является качественный прогноз - прогнозный сценарий.
Задача прогнозного сценария состоит прежде всего
в определении характера и направления динамики отдельных демографических
процессов или их компонентов в течение прогнозного периода. Помимо самого
качественного прогноза, сценарий должен содержать обоснование такого прогноза,
включая условия, при которых можно ожидать предполагаемую динамику.
Состав и требования к прогнозному сценарию
существенно зависят от периода прогноза. В настоящее время сложилась следующая
классификация прогнозов: краткосрочные (на период до 5 лет), среднесрочные (на
период от 5 до 30 лет) и долгосрочные (от 30 лет).
Краткосрочный прогноз предполагает сохранение и
развитие тех тенденций демографических процессов, которые наблюдались в годы,
непосредственно предшествующих прогнозному периоду. Прогнозный сценарий и
сводится, по существу, к гипотезе, что наблюдаемые тенденции сохранятся в
ближайшем будущем. Его основой служит представление о высокой инерционности
демографических процессов.
Однако есть случаи, когда такой
экстраполяционный прогноз невозможен и бессмысленен. Это периоды нарушения
плавности, постепенности динамики демографических процессов под влиянием либо
каких - то событий в жизни общества, либо под действием тех или иных
мероприятий, направленных на изменение демографической ситуации.
Каждый среднесрочный прогноз есть
самостоятельное научное исследование. Он включает и более общий социально -
экономический прогноз и прогноз влияния социальной динамики на ход
демографических процессов. В силу этого среднесрочный демографический прогноз
содержит достаточно широкий спектр возможных вариантов демографического
развития, однако в них выделяется относительно узкий класс наиболее вероятных
демографических траекторий. Надо говорить о системе альтернативных прогнозных
сценариев, среди которых выделяются:
предсказательные, как наиболее вероятные
описания демографического будущего;
аналитические как объективно маловероятные
прогнозы, призванные очертить разумные границы будущей динамики населения.
Долгосрочный прогноз носит аналитический
характер, поскольку его основная задача - помочь формулировке целей
демографической политики или определить горизонты социальной, экономической,
экологической политики. Долгосрочные (и сверхдолгосрочные) на 60 - 100 лет
(прогнозы осуществляются в рамках глобальных футурологических исследований и
строятся по принципу «что будет, если...»).
Если среднесрочные прогнозы проводятся обычно по
странам с учетом их внутреннего административно - территориального деления, то
долгосрочные оперируют группами стран и целыми континентами.
Каждый сценарий демографического прогноза
воспроизводства населения содержит предположение о будущем социально -
экономическом развитии стран или региона. Тем не менее, демографические
переменные редко включаются как эндогенные в социально - экономические
прогнозы, и причина состоит в том, что связи типа «экономика - население»,
«экология - население» крайне плохо изучены количественно.
Таким образом, демографическое прогнозирование
есть предварительная демографическая экспертиза всех принимаемых
государственных, общественных и управленческих решений различного уровня.
Экспертиза должна выявить возможное влияние принимаемых мер на демографические
процессы и наоборот, указать пути предотвращения отрицательных последствий
намечаемых мер.
|
Источник
|
2030г.
|
|
0-14лет
|
15-64лет
|
От
65лет и старше
|
0-14лет
|
15-64лет
|
От
65лет и старше
|
|
Росстат
Росстат(без миграции) Отдел народонаселения Бюро цензов
|
15,1
15,1 15,0 15,0
|
72,0
72,0 72,2 71,7
|
12,9
12,9 12,8 13,3
|
15,2
15.3 15,8 14,2
|
65,4
65,2 65,1 64,9
|
19,4
19,5 19,1 20,9
|
Таблица 1.Возрастная структура населения России
в 2010 и 2030 гг., % 1Источники: Росстат. Предположительная численность
населения до 2030 года (неопубл.материалы); UN Population Division World
Population Prospects The 2010 Re vi sion: #"792345.files/image023.gif">
Рис.1. ВОЗРАСТНОЙ СОСТАВ НАСЕЛЕНИЯ - моложе
трудоспособного возраста (на 1 января; в процентах от общей численности
населения) - 2000г. [14]
территориальное
прогнозирование население возрастное
Возрастной состав населения - это распределение
населения по возрастным группам, которые характеризуются численностью
выделенных групп и их соотношением между собой При демографическом анализе
выделяются однолетние ( с разницей в 1 год) и пятилетние (1-4,5-9, .... 95- 100
лет) возрастные группы, а при более обобщённом изучении -десятилетние - с
интервалом в 10 лет.
Рис.2. УДЕЛЬНЫЙ ВЕС СЕЛЬСКОГО НАСЕЛЕНИЯ В ОБЩЕЙ
ЧИСЛЕННОСТИ НАСЕЛЕНИЯ (оценка на конец года; в процентах) - 2010 [14]
В статистике ООН критерии выделения трёх крупных
групп населения несколько иные: к детскому возрасту относят лиц до 14 лет, к
взрослому трудоспособному населению - людей от 15 до 65 лет, старше 65 лет -к
пожилым. Это связано с распространённой за рубежом практикой более раннего
привлечения людей к трудовой деятельности и более позднего выхода на пенсию (в
странах, где пенсия установлена). Таким образом, разработанные в демографии
возрастные группировки используются и в социально-экономической политике для
решения проблем трудовой деятельности, пенсионного обеспечения, образования.
Рис.3. СОСТАВ ЗАНЯТОГО НАСЕЛЕНИЯ ПО ВОЗРАСТНЫМ
ГРУППАМ в 2010 г. (в процентах к итогу) - до 20 лет[14]
С учётом структуры населения и национальных
традиций каждой страны устанавливаются и другие возрастные критерии, такие, как
возраст совершеннолетия - возраст наступления юридической и социальной
ответственности и трудового права ( в России - с 16 лет); возраст призыва на во-енную
службу ( в России - с 18 лет); возраст вступления в брак ( в России -с 18 лет)
и другие.
Рис.4 УДЕЛЬНЫЙ ВЕС ГОРОДСКОГО НАСЕЛЕНИЯ В ОБЩЕЙ
ЧИСЛЕННОСТИ НАСЕЛЕНИЯ (оценка на конец года; в процентах) - 2010 [14]
Для демографических исследований важно выделение
возраста с 15 до 49 лет, который определяется как репродуктивный - возраст
«фертильности» - способности к деторождению. От численности и доли этой группы
населения во многом зависит уровень рождаемости.
ЗАКЛЮЧЕНИЕ
Итак, можно
выделить неблагоприятную тенденцию - сокращение численности населения в
экономически активных, или трудоспособных, возрастах вызывает особую
обеспокоенность в связи с тем, что не было исторических
аналогов
поддержания высоких темпов экономического роста в условиях
сокращающегося
населения, в том числе и его экономически активной
части.
По среднему варианту прогноза Росстата численность населения
в
возрастах 15-64 года уменьшится в России к 2025 г. на 9-10 млн человек, а
численность населения в пределах официально заданных границ
трудоспособности9
- на 11 млн человек. Результаты других прогнозов дают
большее
сокращение. При этом число детей до 2030 г. будет изменяться
волнообразно
и в узких пределах, а число лиц в старших возрастах будет
устойчиво
увеличиваться (рис. 6.3). В условиях демографического старения также будет
стареть и экономически активное население. В его составе
к
2030 г. заметно уменьшится доля молодых возрастов (до 35 лет) и повысится доля
старших возрастов (от 50 до 65 лет).Таким образом, в перспективе можно ожидать
усиления дефицита рабочей силы, имеющей образовательную подготовку, которая
соответствует видам деятельности
средней и низкой квалификаций. В таких условиях повышенный
спрос на работников невысокой квалификации может быть
снижен
путем внедрения трудосберегающих технологий, либо удовлетворен за счет импорта
малоквалифицированной рабочей силы из-за рубежа, либо
в результате заметного повышения оплаты за подобный труд и привлечения к нему
лиц со сравнительно высоким уровнем образования.
СПИСОК ЛИТЕРАТУРЫ
Демографические
ежегодники РФ. -М: Госкомстат России-Росстат,1993-2010гг.
Демографический
энциклопедический словарь. -М: БСЭ, 1985.
Российский
статистический ежегодник .Статистический сборник.- М.:Госкомстат России,1994-2010гг.
Бреева
Е.Б. Основы демографии. М.: 2004.
Демографические
перспективы России: статистический сборник. Под ред. А.Г. Волкова. М.: РИИЦ,
1993.
Демографический
энциклопедический словарь. - М.: Советская энциклопедия. Главный редактор Д.И.
Валентей. 1985.
.
Вишневский А.Г. Избранные демографические труды, в двух томах. Том 1.
Демографическая теория и демографическая история. М: «Наука». 2005. - 368с.
Население
России на рубеже ХХ - ХХI веков: проблемы и перспективы. / Под ред. В.А.
Ионцева, А.А. Саградова. - М.: МАКС Пресс, 2002. - 352 с.
Максаковский
В.П. Географическая картина мира: В 2 книгах - М: Дрофа, 2006. - 495 с.
Медков
В.М. Демография: Учебное пособие. - Ростов-на-Дону: «Феникс», 2002.
Численность
населения РФ по полу и возрастным группам 1995-2010 (Статистические бюллетени).
- М.: Госкомстат России -Росстат,1995-2010гг.