Беспроводной доступ Wi-Fi в Государственном учреждении Республики Татарстан
Введение
Во всем мире стремительно растет потребность в беспроводных соединениях,
особенно в сфере бизнеса и IT
технологий. Пользователи с беспроводным доступом к информации всегда и везде
могут работать гораздо более производительно и эффективно, чем их коллеги,
привязанные к проводным телефонным и компьютерным сетям, так как существует
привязанность к определенной инфраструктуре коммуникаций.
На современном этапе развития сетевых технологий, технология беспроводных
сетей Wi-Fi является наиболее удобной в условиях требующих мобильность,
простоту установки и использования. Wi-Fi (от англ. wireless fidelity -
беспроводная связь) - стандарт широкополосной беспроводной связи семейства
802.11 разработанный в 1997г. Как правило, технология Wi-Fi используется для
организации беспроводных локальных компьютерных сетей, а также создания так
называемых горячих точек высокоскоростного доступа в Интернет.
Беспроводные сети обладают, по сравнению с традиционными проводными
сетями, немалыми преимуществами, главным из которых, конечно же, является:
Простота развёртывания;
Гибкость архитектуры сети, когда обеспечивается возможность динамического
изменения топологии сети при подключении, передвижении и отключении мобильных
пользователей без значительных потерь времени;
Быстрота проектирования и реализации, что критично при жестких
требованиях к времени построения сети;
Так же, беспроводная сеть не нуждается в прокладке кабелей (часто
требующей дробления стен).
В то же время беспроводные сети на современном этапе их развития не
лишены серьёзных недостатков. Прежде всего, это зависимость скорости соединения
и радиуса действия от наличия преград и от расстояния между приёмником и
передатчиком. Один из способов увеличения радиуса действия беспроводной сети
заключается в создании распределённой сети на основе нескольких точек
беспроводного доступа. При создании таких сетей появляется возможность
превратить здание в единую беспроводную зону и увеличить скорость соединения
вне зависимости от количества стен (преград). Аналогично решается и проблема
масштабируемости сети, а использование внешних направленных антенн позволяет
эффективно решать проблему препятствий, ограничивающих сигнал.
1. Основной
раздел
.1 Развитие
технологии беспроводных сетей
На заре
развития радиотехники термин "беспроводный" (wireless) использовался
для обозначения радиосвязи в широком смысле этого слова, т. е. буквально во
всех случаях, когда передача информации осуществлялась без проводов. Позже это
толкование практически вышло из обращения, и "беспроводный" стало
употребляться как эквивалент термину "радио" (radio) или
"радиочастота" (RF - radio frequency). Сейчас оба понятия считаются
взаимозаменяемыми в том случае, если речь идет о диапазоне частот от 3 кГц до
300 ГГц. Тем не менее, термин "радио" чаще используется для описания
уже давно существующих технологий (радиовещание, спутниковая связь,
радиолокация, радиотелефонная связь и т. д.). А термин "беспроводный"
в наши дни принято относить к новым технологиям радиосвязи, таким, как
микросотовая и сотовая телефония, пейджинг, абонентский доступ и т. п.
Различают три типа беспроводных сетей (рис. 1): WWAN (Wireless Wide Area Network), WLAN (Wireless Local Area Network) и WPAN (Wireless Personal Area Network)
Рисунок 1. - Радиус действия персональных, локальных и глобальных
беспроводных сетей.
При построении сетей WLAN и WPAN, а также систем широкополосного
беспроводного доступа (BWA - Broadband Wireless Access) применяются сходные
технологии. Ключевое различие между ними (рис. 2) - диапазон рабочих частот и
характеристики радиоинтерфейса. Сети WLAN и WPAN работают в нелицензионных
диапазонах частот 2,4 и 5 ГГц, т. е. при их развертывании не требуется
частотного планирования и координации с другими радиосетями, работающими в том
же диапазоне. Сети BWA (Broadband Wireless
Access) используют как лицензионные, так и
нелицензионные диапазоны (от 2 до 66 ГГц).
Рисунок 2. - Классификация беспроводных технологий.
Беспроводные локальные сети WLAN.
Основные назначение беспроводных локальных сетей (WLAN) - организация доступа к
информационным ресурсам внутри здания. Вторая по значимости сфера применения -
это организация общественных коммерческих точек доступа (hot spots) в людных местах - гостиницах, аэропортах, кафе, а
также организация временных сетей на период проведения мероприятий (выставок,
семинаров).
Беспроводные локальные сети создаются на основе семейства стандартов IEEE 802.11. Эти сети известны также как Wi-Fi (Wireless
Fidelity), и хотя сам термин Wi-Fi, в стандартах явным образом не прописан, бренд Wi-Fi получил в мире самое широкое распространение.
.2 Обзор специфики группы стандартов IEEE 802.11
Повсеместное распространение беспроводных сетей в последние годы
побуждает разработчиков задумываться о новых стандартах связи,
предусматривающих всё более высокие скорости соединения. Так, если
первоначально беспроводные устройства поддерживали скорость соединения только 1
и 2 Мбит/с, чего было явно недостаточно, то сейчас максимальная скорость
соединения составляет уже 54 Мбит/с, и это уже может составить конкуренцию
традиционным кабельным сетям. Существуют различные типы беспроводных сетей,
отличающиеся друг от друга и радиусом действия, и поддерживаемыми скоростями
соединения, и технологией кодирования данных. Наибольшее распространение
получили беспроводные сети стандарта IEEE 802.11a/b/g, а сегодня активно
говорят о внедрении нового протокола IEEE 802.11n.
.3 Спецификации IEEE 802.11
.11a, 802.11b и 802.11g относятся к физическому уровню среды передачи;
802.11d, 802.11e, 802.11i,802.11j,802.11h и 802.11r - к вышележащему
MAC-уровню, 802.11f и 802.11c - к более высоким уровням (модель OSI).
Спецификация 802.11d.
Стремясь расширить географию распространения сетей стандарта 802.11, IEEE
разрабатывает универсальные требования к физическому уровню 802.11 (процедуры
формирования каналов, псевдослучайные последовательности частот, дополнительные
параметры для MIB и т.д.). Стандарт определял требования к физическим
параметрам каналов (мощность излучения и диапазоны частот) и устройств
беспроводных сетей с целью обеспечения их соответствия законодательным нормам
различных стран.
Спецификация 802.11e.
Спецификации разрабатываемого стандарта 802.11е позволяют создавать
мультисервисные беспроводные ЛС, ориентированные на различные категории
пользователей, как корпоративных, так и индивидуальных. При сохранении полной
совместимости с уже принятыми стандартами 802.11а и b, он позволит расширить их
функциональность за счет поддержки потоковых мультимедиа-данных и
гарантированного качества услуг (QoS).
Спецификация 802.11h .
Рабочая группа IEEE 802.11h рассматривает возможность дополнения
существующих спецификаций 802.11 MAC (уровень доступа к среде передачи) и
802.11a PHY (физический уровень в сетях 802.11a) алгоритмами эффективного
выбора частот для офисных и уличных беспроводных сетей, а также средствами
управления использованием спектра, контроля за излучаемой мощностью и генерации
соответствующих отчетов.
Предполагается, что решение этих задач будет базироваться на
использовании протоколов Dynamic Frequency Selection (DFS) и Transmit Power
Control (TPC), предложенных Европейским институтом стандартов по
телекоммуникациям (ETSI). Указанные протоколы предусматривают динамическое
реагирование клиентов беспроводной сети на интерференцию радиосигналов путем
перехода на другой канал, снижения мощности либо обоими способами.
Разработка данного стандарта связана с проблемами при использовании
802.11а в Европе, где в диапазоне 5 ГГц работают некоторые системы спутниковой
связи. Для предотвращения взаимных помех стандарт 802.11h имеет механизм
"квазиинтеллектуального" управления мощностью излучения и выбором
несущей частоты передачи.
Спецификация 802.11i.
На сооружениях вне микрорайона используем принимающую антенну и одну
секторную антенну на каждую ретрансляционную точку. Целью создания данной
спецификации является повышение уровня безопасности беспроводных сетей. В ней
реализован набор защитных функций при обмене информацией через беспроводные
сети - в частности, технология AES (Advanced Encryption Standard) - алгоритм
шифрования, поддерживающий ключи длиной 128, 192 и 256 бит. Предусматривается
совместимость всех используемых в данное время устройств - в частности, Intel
Centrino - с 802.11i-сетями.
Спецификация 802.11j.
Спецификация предназначена для Японии и расширяет стандарт 802.11а
добавочным каналом 4,9 ГГц.
Спецификация 802.11r.
Данный стандарт предусматривает создание универсальной и совместимой
системы роуминга для возможности перехода пользователя из зоны действия одной
сети в зону действия другой.
Спецификация 802.11f.
Спецификация описывает протокол обмена служебной информацией между
точками доступа (Inter-Access Point Protocol, IAPP), что необходимо для
построения распределенных беспроводных сетей передачи данных.
Спецификация 802.11c.
Стандарт, регламентирующий работу беспроводных мостов. Данная
спецификация используется производителями беспроводных устройств при разработке
точек доступа.
.3.1 Стандарт IEEE 802.11 и его расширение 802.11a/b/g
Как и все стандарты IEEE 802, 802.11 работает на нижних двух уровнях
модели ISO/OSI, физическом уровне и канальном уровне (рис. 3). Любое сетевое
приложение, сетевая операционная система, или протокол (например, TCP/IP),
будут так же хорошо работать в сети 802.11, как и в сети Ethernet.
Рис. 3 Уровни модели ISO/OSI и их соответствие стандарту 802.11.
Основная архитектура, особенности и службы 802.11a/b/g определяются в
первоначальном стандарте 802.11. Спецификация 802.11a/b/g затрагивает только
физический уровень, добавляя лишь более высокие скорости доступа.
1.4 Режимы работы 802.11
.11 определяет два типа оборудования - клиент, который обычно
представляет собой компьютер, укомплектованный беспроводной сетевой интерфейсной
картой (Network Interface Card, NIC), и точку доступа (Access point, AP),
которая выполняет роль моста между беспроводной и проводной сетями. Точка
доступа обычно содержит в себе приёмопередатчик, интерфейс проводной сети
(802.3), а также программное обеспечение, занимающееся обработкой данных. В
качестве беспроводной станции может выступать ISA, PCI или PC Card сетевая
карта в стандарте 802.11, либо встроенные решения, например, телефонная
гарнитура 802.11.
Стандарт IEEE 802.11 определяет два режима работы сети - режим
"Ad-hoc" и клиент/сервер (или режим инфраструктуры - infrastructure
mode).
1.5 Физический уровень 802.11
На физическом уровне определены два широкополосных радиочастотных метода
передачи и один - в инфракрасном диапазоне. Радиочастотные методы работают в
ISM диапазоне 2,4 ГГц и обычно используют полосу 83 МГц от 2,400 ГГц до 2,483
ГГц. Технологии широкополосного сигнала, используемые в радиочастотных методах,
увеличивают надёжность, пропускную способность, позволяют многим несвязанным
друг с другом устройствам разделять одну полосу частот с минимальными помехами
друг для друга.
Стандарт 802.11 использует метод прямой последовательности (Direct
Sequence Spread Spectrum, DSSS) и метод частотных скачков (Frequency Hopping
Spread Spectrum, FHSS). Эти методы кардинально отличаются, и несовместимы друг
с другом.
Метод передачи в инфракрасном диапазоне (IR).
Реализация этого метода в стандарте 802.11 основана на излучении ИК
передатчиком ненаправленного (diffuse IR) сигнала. Вместо направленной
передачи, требующей соответствующей ориентации излучателя и приёмника,
передаваемый ИК сигнал излучается в потолок. Затем происходит отражение сигнала
и его приём. Такой метод имеет очевидные преимущества по сравнению с
использованием направленных излучателей, однако есть и существенные недостатки
- требуется потолок, отражающий ИК излучение в заданном диапазоне длин волн
(850 - 950 нм); радиус действия всей системы ограничен 10 метрами. Кроме того,
ИК лучи чувствительны к погодным условиям, поэтому метод рекомендуется
применять только внутри помещений.
Поддерживаются две скорости передачи данных - 1 и 2 Mbps. На скорости 1
Mbps поток данных разбивается на квартеты, каждый из которых затем во время
модуляции кодируется в один из 16-ти импульсов. На скорости 2 Mbps метод
модуляции немного отличается - поток данных делится на битовые пары, каждая из
которых модулируется в один из четырёх импульсов. Пиковая мощность
передаваемого сигнала составляет 2 Вт.
.6 Канальный (Data Link) уровень 802.11
Канальный уровень 802.11 состоит из двух подуровней: управления
логической связью (Logical Link Control, LLC) и управления доступом к носителю
(Media Access Control, MAC). 802.11 использует тот же LLC и 48-битовую
адресацию, что и другие сети 802, что позволяет легко объединять беспроводные и
проводные сети, однако MAC уровень имеет кардинальные отличия.уровень 802.11
очень похож на реализованный в 802.3, где он поддерживает множество
пользователей на общем носителе, когда пользователь проверяет носитель перед
доступом к нему. Для Ethernet сетей 802.3 используется протокол Carrier Sence
Multiple Access with Collision Detection (CSMA/CD), который определяет, как
станции Ethernet получают доступ к проводной линии, и как они обнаруживают и
обрабатывают коллизии, возникающие в том случае, если несколько устройств
пытаются одновременно установить связь по сети. Чтобы обнаружить коллизию,
станция должна обладать способностью и принимать, и передавать одновременно.
Стандарт 802.11 предусматривает использование полудуплексных
приёмопередатчиков, поэтому в беспроводных сетях 802.11 станция не может
обнаружить коллизию во время передачи.
Чтобы учесть это отличие, 802.11 использует модифицированный протокол,
известный как Carrier Sense Multiple Access with Collision Avoidance (CSMA/CA),
или Distributed Coordination Function (DCF). CSMA/CA пытается избежать коллизий
путём использования явного подтверждения пакета (ACK), что означает, что
принимающая станция посылает ACK пакет для подтверждения того, что пакет
получен неповреждённым./CA работает следующим образом. Станция, желающая
передавать, тестирует канал, и если не обнаружено активности, станция ожидает в
течение некоторого случайного промежутка времени, а затем передаёт, если среда
передачи данных всё ещё свободна. Если пакет приходит целым, принимающая
станция посылает пакет ACK, по приёму которого отправителем завершается процесс
передачи. Если передающая станция не получила пакет ACK, в силу того, что не
был получен пакет данных, или пришёл повреждённый ACK, делается предположение,
что произошла коллизия, и пакет данных передаётся снова через случайный
промежуток времени.
Для определения того, является ли канал свободным, используется алгоритм
оценки чистоты канала (Channel Clearance Algorithm, CCA). Его суть заключается
в измерении энергии сигнала на антенне и определения мощности принятого сигнала
(RSSI). Если мощность принятого сигнала ниже определённого порога, то канал
объявляется свободным, и MAC уровень получает статус CTS. Если мощность выше
порогового значения, передача данных задерживается в соответствии с правилами
протокола. Стандарт предоставляет ещё одну возможность определения незанятости
канала, которая может использоваться либо отдельно, либо вместе с измерением
RSSI - метод проверки несущей. Этот метод является более выборочным, так как с
его помощью производится проверка на тот же тип несущей, что и по спецификации
802.11. Наилучший метод для использования зависит от того, каков уровень помех
в рабочей области.
Таким образом, CSMA/CA предоставляет способ разделения доступа по
радиоканалу. Механизм явного подтверждения эффективно решает проблемы помех.
Однако он добавляет некоторые дополнительные накладные расходы, которых нет в
802.3, поэтому сети 802.11 будут всегда работать медленнее, чем эквивалентные
им Ethernet локальные сети.
Рис. 4 Иллюстрация проблемы "скрытой точки".
Другая специфичная проблема MAC-уровня - это проблема "скрытой
точки", когда две станции могут обе "слышать" точку доступа, но
не могут "слышать" друг друга, в силу большого расстояния или преград
(рис. 4). Для решения этой проблемы в 802.11 на MAC уровне добавлен
необязательный протокол Request to Send/Clear to Send (RTS/CTS). Когда
используется этот протокол, посылающая станция передаёт RTS и ждёт ответа точки
доступа с CTS. Так как все станции в сети могут "слышать" точку
доступа, сигнал CTS заставляет их отложить свои передачи, что позволяет
передающей станции передать данные и получить ACK пакет без возможности
коллизий. Так как RTS/CTS добавляет дополнительные накладные расходы на сеть,
временно резервируя носитель, он обычно используется только для пакетов очень
большого объёма, для которых повторная передача была бы слишком дорогостоящей.
Наконец, MAC уровень 802.11 предоставляет возможность расчёта CRC и
фрагментации пакетов. Каждый пакет имеет свою контрольную сумму CRC, которая
рассчитывается и прикрепляется к пакету. Здесь наблюдается отличие от сетей
Ethernet, в которых обработкой ошибок занимаются протоколы более высокого
уровня (например, TCP). Фрагментация пакетов позволяет разбивать большие пакеты
на более маленькие при передаче по радиоканалу, что полезно в очень
"заселённых" средах или в тех случаях, когда существуют значительные
помехи, так как у меньших пакетов меньше шансы быть повреждёнными. Этот метод в
большинстве случаев уменьшает необходимость повторной передачи и, таким
образом, увеличивает производительность всей беспроводной сети. MAC уровень
ответственен за сборку полученных фрагментов, делая этот процесс
"прозрачным" для протоколов более высокого уровня.
1.7 Подключение к сети
уровень 802.11 несёт ответственность за то, каким образом клиент
подключается к точке доступа. Когда клиент 802.11 попадает в зону действия
одной или нескольких точек доступа, он на основе мощности сигнала и
наблюдаемого значения количества ошибок выбирает одну из них и подключается к
ней. Как только клиент получает подтверждение того, что он принят точкой
доступа, он настраивается на радиоканал, в котором она работает. Время от
времени он проверяет все каналы 802.11, чтобы посмотреть, не предоставляет ли
другая точка доступа службы более высокого качества. Если такая точка доступа
находится, то станция подключается к ней, перенастраиваясь на её частоту (рис.
5).
Рис. 5. Подключение к сети и иллюстрация правильного назначения каналов
для точек доступа.
Переподключение обычно происходит в том случае, если станция была
физически перемещена вдаль от точки доступа, что вызвало ослабление сигнала. В
других случаях повторное подключение происходит из-за изменения радиочастотных
характеристик здания, или просто из-за большого сетевого трафика через
первоначальную точку доступа. В последнем случае эта функция протокола известна
как "балансировка нагрузки", так как её главное назначение -
распределение общей нагрузки на беспроводную сеть наиболее эффективно по всей
доступной инфраструктуре сети.
Процесс динамического подключения и переподключения позволяет сетевым
администраторам устанавливать беспроводные сети с очень широким покрытием,
создавая частично перекрывающиеся "соты". Идеальным вариантом
является такой, при котором соседние перекрывающиеся точки доступа будут
использовать разные DSSS каналы, чтобы не создавать помех в работе друг другу
(Рис. 5).
1.8 Поддержка потоковых данных
Потоковые данные, такие как видео или голос, поддерживаются в
спецификации 802.11 на MAC уровне посредством Point Coordination Function
(PCF). В противоположность Distributed Coordination Function (DCF), где
управление распределено между всеми станциями, в режиме PCF только точка
доступа управляет доступом к каналу. В том случае, если установлен BSS с
включенной PCF, время равномерно распределяется промежутками для работы в
режиме PCF и в режиме CSMA/CA. Во время периодов, когда система находится в
режиме PCF, точка доступа опрашивает все станции на предмет получения данных.
На каждую станцию выделяется фиксированный промежуток времени, по истечении
которого производится опрос следующей станции. Ни одна из станций не может
передавать в это время, за исключением той, которая опрашивается. Так как PCF
даёт возможность каждой станции передавать в определённое время, то
гарантируется максимальная латентность. Недостатком такой схемы является то,
что точка доступа должна производить опрос всех станций, что становится
чрезвычайно неэффективным в больших сетях.
1.9 Управление питанием
Дополнительно по отношению к управлению доступом к носителю, MAC уровень
802.11 поддерживает энергосберегающие режимы для продления срока службы батарей
мобильных устройств. Стандарт поддерживает два режима потребления энергии,
называемые "режим продолжительной работы" и "сберегающий
режим". В первом случае радио всегда находится во включенном состоянии, в
то время как во втором случае радио периодически включается через определённые
промежутки времени для приёма "маячковых" сигналов, которые постоянно
посылает точка доступа. Эти сигналы включают в себя информацию относительно
того, какая станция должна принять данные. Таким образом, клиент может принять
маячковый сигнал, принять данные, а затем вновь перейти в "спящий"
режим.
Безопасность.
802.11b обеспечивает контроль доступа на MAC уровне (второй уровень в
модели ISO/OSI), и механизмы шифрования, известные как Wired Equivalent Privacy
(WEP), целью которых является обеспечение беспроводной сети средствами
безопасности, эквивалентными средствам безопасности проводных сетей. Когда
включен WEP, он защищает только пакет данных, но не защищает заголовки
физического уровня, так что другие станции в сети могут просматривать данные, необходимые
для управления сетью. Для контроля доступа в каждую точку доступа помещается
так называемый ESSID (или WLAN Service Area ID), без знания которого мобильная
станция не сможет подключиться к точке доступа. Дополнительно точка доступа
может хранить список разрешённых MAC адресов, называемый списком контроля
доступа (Access Control List, ACL), разрешая доступ только тем клиентам, чьи
MAC адреса находятся в списке.
Для шифрования данных стандарт предоставляет возможности шифрования с
использованием алгоритма RC4 с 40-битным разделяемым ключом. После того, как
станция подключается к точке доступа, все передаваемые данные могут быть
зашифрованы с использованием этого ключа. Когда используется шифрование, точка
доступа будет посылать зашифрованный пакет любой станции, пытающейся
подключиться к ней. Клиент должен использовать свой ключ для шифрования
корректного ответа для того, чтобы аутентифицировать себя и получить доступ в
сеть. Выше второго уровня сети 802.11b поддерживают те же стандарты для
контроля доступа и шифрования (например, IPSec), что и другие сети 802.
.10 Стандарт
IEEE 802.11a
Рассмотренный ранее стандарт 802.11b обеспечивает максимальную скорость
передачи данных до 11 Мбит/с в частотном диапазоне 2,4 ГГц (от 2,4 до 2,4835
ГГц). Этот диапазон не требует лицензирования и зарезервирован для
использования в промышленности, науке и медицине (ISM), однако при
использовании технологии расширения спектра DSSS на частотах около 2,4 ГГц
могут возникать проблемы из-за помех, порождаемых другими бытовыми
беспроводными устройствами, в частности микроволновыми печами и
радиотелефонами. Кроме того, современные приложения и объёмы передаваемых по
сети данных нередко требуют большей пропускной способности, чем может
предложить стандарт 802.11b. Выход из создавшегося положения предлагает
стандарт 802.11а (табл. 1), рекомендующий передачу данных со скоростью до 54
Мбит/сек в частотном диапазоне 5 ГГц (от 5,15 до 5,350 ГГц и от 5,725 до 5,825
ГГц). В США данный диапазон именуют диапазоном нелицензионной национальной
информационной инфраструктуры (Unlicensed National Information Infrastructure,
UNII).
Таблица 1. Частотный диапазон стандарта IEEE 802.11a
|
Диапазон
|
Частота, ГГц
|
Ограничение по мощности, мВт
|
|
UNII
|
5,150 - 5,250
|
50
|
|
UNII
|
5,250 - 5,350
|
250
|
|
UNII
|
5,725 - 5,825
|
1000
|
|
ISM
|
2,400 - 2,4835
|
1000
|
В соответствии с правилами FCC частотный диапазон UNII разбит на три
100-мегагерцевых поддиапазона, различающихся ограничениями по максимальной
мощности излучения. Низший диапазон (от 5,15 до 5,25 ГГц) предусматривает
мощность всего 50 мВт, средний диапазон (от 5,25 до 5,35 ГГц) - 250 мВт, а
верхний диапазон (от 5,725 до 5,825 ГГц) - 1 Вт. Использование трёх частотных
поддиапазонов с общей шириной 300 МГц делает стандарт 802.11а самым, так
сказать, широкополосным из семейства стандартов 802.11 и позволяет разбить весь
частотный диапазон на 12 каналов, каждый из которых имеет ширину 20 МГц, восемь
из которых лежат в 200-мегагерцевом диапазоне от 5,15 до 5,35 ГГц, а остальные
четыре канала - в 100-мегагерцевом диапазоне от 5,725 до 5,825 ГГц (рис. 6).
При этом четыре верхних частотных каналов, предусматривающие наибольшую
мощность передачи, используются преимущественно для передачи сигналов вне
помещений.
Предусмотренная протоколом 802.11а ширина канала 20 МГц вполне достаточна
для организации высокоскоростной передачи. Использование же частот свыше 5 ГГц
и ограничение мощности передачи приводят к возникновению ряда проблем при
попытке организовать высокоскоростную передачу данных, и это необходимо
учитывать при выборе метода кодирования данных.
Рис. 6 Разделение диапазона UNII на 12 частотных поддиапазонов.
Напомним, что распространение любого сигнала неизбежно сопровождается его
затуханием, причём величина затухания сигнала зависит как от расстояния от
точки передачи, так и от частоты сигнала. При измерении в децибелах величины
затухания сигнала (ослабление при распространении) пользуются формулой:
,
где: X - коэффициент ослабления, равный 20 для открытого пространства, d
- расстояние от точки передачи, f - частота сигнала, с - скорость света.
Из данной формулы непосредственно вытекает, что с увеличением частоты
передаваемого сигнала увеличивается и его затухание. Так, при распространении
сигнала в открытом пространстве с частотой 2,4 ГГц он ослабевает на 60 дБ при
удалении от источника на 10 м. Если же частота равна 5 ГГц, ослабевание сигнала
при удалении на 10 м составит уже 66 дБ. Учитывая, что правила FCC диктуют
использование существенно меньшей мощности излучения в нижних поддиапазонах
UNII, чем в диапазоне ISM 2,4 ГГц, становится понятно, что использование более
высоких частот в протоколе 802.11а приводит к несколько меньшему радиусу
действия сети, чем в протоколе 802.11b.
Второй важный момент, который необходимо учитывать при использовании
высокочастотных сигналов с большой частотной шириной канала, связан с
возникновением эффекта многолучевой интерференции: в результате многократных
отражений один и тот же сигнал может попадать в приёмник различными путями. Но
различные пути распространения имеют и разные длины, а потому для различных
путей распространения ослабление сигнала будет неодинаковым. Следовательно, в
точке приёма результирующий сигнал представляет собой суперпозицию (интерференцию)
многих сигналов с различными амплитудами и смещёнными относительно друг друга
по времени, что эквивалентно сложению сигналов с разными фазами. Если
предположить, что передатчик распространяет гармонический сигнал yin=Asin2πνt с частотой несущей ν и амплитудой A, то в приёмнике будет
получен сигнал
,
где ti - задержка распространения сигнала по i-му пути
(рис.7).
Следствием многолучевой интерференции является искажение принимаемого
сигнала. Многолучевая интерференция присуща любому типу сигналов, но особенно
негативно она сказывается на широкополосных сигналах. Дело в том, что при
использовании широкополосного сигнала в результате интерференции определённые
частоты складываются синфазно, что приводит к увеличению сигнала, а некоторые,
наоборот, - противофазно, вызывая ослабление сигнала на данной частоте.
Рис. 7. Модель многолучевого распространения сигнала.
Говоря о многолучевой интерференции, возникающей при передаче сигналов,
различают два крайних случая. В первом случае максимальная задержка между
различными сигналами не превосходит времени длительности одного символа, и
интерференция возникает в пределах одного передаваемого символа. Во втором
случае максимальная задержка между различными сигналами больше длительности
одного символа, а в результате интерференции складываются сигналы,
представляющие разные символы, и возникает так называемая межсимвольная
интерференция (Inter Symbol Interference, ISI - рис.8)
Рис. 8. Возникновение межсимвольной и внутрисимвольной интерференции.
Наиболее отрицательно на искажении сигнала сказывается межсимвольная
интерференция. Поскольку символ - это дискретное состояние сигнала,
характеризующееся значениями частоты несущей, амплитуды и фазы, то для
различных символов меняются амплитуда и фаза сигнала, поэтому восстановить
исходный сигнал крайне сложно.
Чтобы избежать, а точнее, частично компенсировать эффект многолучевого
распространения, используются частотные эквалайзеры, однако, по мере роста
скорости передачи данных либо за счёт увеличения символьной скорости, либо за
счёт усложнения схемы кодирования, эффективность использования эквалайзеров
падает.
В стандарте 802.11b с максимальной скоростью передачи 11 Мбит/с при
использовании CCK-кодов и QDPSK-кодирования применение схем компенсации
межсимвольной интерференции вполне успешно справляется с возложенной на них
задачей, но при более высоких скоростях, как в протоколе 802.11а, такой подход
становится неприемлем. Поэтому в стандарте 802.11а используется принципиально
иной метод кодирования данных, который состоит в том, что поток передаваемых
данных распределяется по множеству частотных подканалов и передача ведётся
параллельно на всех этих подканалах. При этом высокая скорость передачи
достигается именно за счёт одновременной передачи данных по всем каналам, а
скорость передачи в отдельном подканале может быть и не высокой. Если скорость
передачи обозначить Si в i-ом частотном канале, то общая скорость
передачи посредством N каналов будет равной
.
Поскольку в каждом из частотных подканалов скорость передачи данных можно
сделать не слишком высокой, это создает предпосылки для эффективного подавления
межсимвольной интерференции.
При частотном разделении каналов необходимо, чтобы ширина отдельного
канала была, с одной стороны, достаточно узкой для минимизации искажения
сигнала в пределах отдельного канала, а с другой - достаточно широкой для
обеспечения требуемой скорости передачи. Кроме того, для экономного
использования всей полосы канала, разделяемого на подканалы, желательно как
можно более плотно расположить частотные подканалы, но при этом избежать
межканальной интерференции, чтобы обеспечить полную независимость каналов друг
от друга. Частотные каналы, удовлетворяющие перечисленным требованиям,
называются ортогональными. Несущие сигналы всех частотных подканалов (а точнее,
функции, описывающие эти сигналы) ортогональны друг другу. С точки зрения математики
ортогональность функций означает, что их произведение, усреднённое на некотором
интервале, должно быть равно нулю. В нашем случае это выражается простым
соотношением:
,
где T - период символа, fk,fl - несущие частоты
каналов k и l.
.11 Стандарт
IEEE 802.11b
Между кабельными сетями Ethernet и беспроводными сетями Radio Ethernet
есть много общего, но много и различий. Это и понятно - разные среды передачи
данных требуют принципиально различного подхода к способам передачи и
кодирования данных, то есть к непосредственной подготовке данных для передачи.
Поэтому основные различия между кабельными и беспроводными сетями
сконцентрированы на так называемом физическом подуровне (Physical Layer, PHY) и
подуровне доступа к среде передачи данных (Medium Access Control, MAC). В
соответствии с эталонной моделью сетевых взаимодействий OSI (Open System
Interconnection), именно на этих подуровнях данные формируются и кодируются
нужным образом для дальнейшей передачи по сети.
Теоретические аспекты функционирования сетей Radio Ethernet
регламентированы стандартами IEEE 802.11 и IEEE 802.11b. Именно в этих
стандартах определяется порядок организации беспроводных сетей на уровне
доступа к среде передачи данных (MAC-уровень) и на физическом уровне
(PHY-уровень).
Изначально стандарт IEEE 802.11 предполагал возможность передачи данных
по радиоканалу на скорости 1 Мбит/с и опционально на скорости 2 Мбит/с. В более
поздней версии - IEEE 802.11b, фактически являющейся дополнением к основному
стандарту, определяется скорость передачи 1, 2, 5,5 и 11 Мбит/с. Стандартом
IEEE 802.11b предусмотрено использование частотного диапазона от 2,4 до 2,4835
ГГц, который предназначен для безлицензионного использования в промышленности,
науке и медицине. Разрешение выдается изготовителю и передается заказчику после
приобретения продукта в виде сертификата. Здесь следует заметить, что в России
использование этого частотного диапазона, кроме сертификатов, требует получения
разрешения от Государственного комитета по радиочастотам (ГКРЧ) и
Главгоссвязьнадзора РФ.
На физическом уровне стандартом IEEE 802.11 предусмотрено два типа
радиоканалов (DSSS и FHSS), которые различаются способом модуляции, но
используют одну и ту же технологию расширения спектра.
.11.1 Технология расширения спектра методом прямой последовательности
(DSSS)
Основная идея технологии расширения спектра (Spread Spectrum, SS)
заключается в том, чтобы от узкополосного спектра сигнала, возникающего при
обычном потенциальном кодировании, перейти к широкополосному спектру. Именно
это позволяет значительно повысить помехоустойчивость передаваемых данных.
Рассмотрим более детально, как это происходит.
При потенциальном кодировании информационные биты 0 и 1 передаются
прямоугольными импульсами напряжений. Из курса математики и физики хорошо
известно, что любую функцию и соответственно любой сигнал (ограничения,
налагаемые на функцию, мы для простоты опускаем) можно представить в виде
дискретного или непрерывного набора гармоник - синусоидальных сигналов с определенным
образом подобранными весовыми коэффициентами и частотами. Такое представление
называют преобразованием Фурье, а сами частоты гармонических сигналов образуют
спектральное разложение функции.
К примеру, при передаче прямоугольного импульса длительностью T спектр
сигнала описывается функцией
,
где
- частота спектральной составляющей.
Рис. 9. Спектр прямоугольного импульса длительностью T.
Несмотря на бесконечный спектр сигнала, наиболее весомые гармоники, то
есть вносящие значительный вклад в результирующий сигнал, сосредоточены в
небольшой частотной области, ширина которой обратно пропорциональна
длительности импульса. Таким образом, с хорошей степенью точности исходный
сигнал можно представить как суперпозицию гармоник в спектральной полосе,
ширина которой равна длительности импульса T. Соответственно, чем меньше
длительность импульса, тем больший спектральный диапазон занимает такой сигнал.
Для того чтобы повысить помехоустойчивость передаваемого сигнала, то есть
увеличить вероятность безошибочного распознавания сигнала на приемной стороне в
условиях шума, можно воспользоваться методом перехода к широкополосному
сигналу, добавляя избыточность в исходный сигнал. Для этого в каждый
передаваемый информационный бит «встраивают» определенный код, состоящий из
последовательности так называемых чипов
Рис. 10. Изменение спектра сигнала при добавлении шумоподобного кода.
Фактически информационный бит, представляемый прямоугольным импульсом,
разбивается на последовательность более мелких импульсов-чипов. В результате
спектр сигнала значительно уширяется, так как ширину спектра можно с хорошей
степенью точности считать обратно пропорциональной длительности одного чипа.
Такие кодовые последовательности часто называют шумоподобными кодами. Дело в
том, что наряду с уширением спектра сигнала уменьшается и спектральная
плотность энергии. То есть энергия сигнала как бы «размазывается» по всему
спектру. Результирующий сигнал становится шумоподобным в том смысле, что его
теперь трудно отличить от естественного шума. Возникает вопрос - для чего
усложнять первоначальный сигнал, если в результате он становится неотличимым от
шума? Дело в том, что кодовые последовательности чипов обладают уникальным
свойством автокорреляции. Попробуем на интуитивном уровне пояснить, в чем смысл
корреляции. Под корреляцией в математике понимают степень взаимоподобия двух
функций, то есть насколько две различные функции похожи друг на друга.
Соответственно под автокорреляцией понимается степень подобия функции самой
себе в различные моменты времени. Например, если некоторая функция зависит
(меняется) от времени и эта зависимость выражается в виде
, то можно рассмотреть функцию в
некоторый момент времени
и в момент времени
. Степень соответствия этих двух
функций друг другу в различные моменты времени и называется автокорреляцией.
Оказывается, что можно подобрать такую последовательность чипов, для которой
функция автокорреляции, отражающая степень подобия функции самой себе через
определенный временной интервал, будет иметь резко выраженный пик лишь для
одного момента времени. То есть функция будет подобна самой себе только для
одного момента времени и совсем не похожа на себя для всех остальных моментов
времени. Одна из наиболее известных (но не единственная) таких
последовательностей - код Баркера длиной в 11 чипов: 11100010010. Коды Баркера
обладают наилучшими среди известных псевдослучайных последовательностей
свойствами шумоподобности, что и обусловило их широкое применение. Для передачи
единичного и нулевого символов сообщения используются соответственно прямая и
инверсная последовательности.
Для упрощенного вычисления автокорреляционной функции последовательности
Баркера можно рассчитать разницу между числом совпадений и несовпадений между
отдельными чипами последовательности при их циклическом почиповом сдвиге
относительно друг друга.
Таблица 2. Вычисление автокорреляционной функции последовательности
Баркера.
|
Сдвиг
|
Последовательность
|
Результат корреляции
|
|
0
|
1
|
1
|
1
|
0
|
0
|
0
|
1
|
0
|
0
|
1
|
0
|
|
|
1
|
0
|
1
|
1
|
1
|
0
|
0
|
0
|
1
|
0
|
0
|
1
|
-1
|
|
2
|
1
|
0
|
1
|
1
|
1
|
0
|
0
|
0
|
1
|
0
|
0
|
-1
|
|
3
|
0
|
1
|
0
|
1
|
1
|
1
|
0
|
0
|
0
|
1
|
0
|
-1
|
|
4
|
0
|
0
|
1
|
0
|
1
|
1
|
1
|
0
|
0
|
0
|
1
|
-1
|
|
5
|
1
|
0
|
0
|
1
|
0
|
1
|
1
|
1
|
0
|
0
|
0
|
-1
|
|
6
|
0
|
1
|
0
|
0
|
1
|
0
|
1
|
1
|
1
|
0
|
0
|
-1
|
|
7
|
0
|
0
|
1
|
0
|
0
|
1
|
0
|
1
|
1
|
1
|
0
|
-1
|
|
8
|
0
|
0
|
0
|
1
|
0
|
0
|
1
|
0
|
1
|
1
|
1
|
-1
|
|
9
|
1
|
0
|
0
|
0
|
1
|
0
|
0
|
1
|
0
|
1
|
1
|
-1
|
|
10
|
1
|
1
|
0
|
0
|
0
|
1
|
0
|
0
|
1
|
0
|
1
|
-1
|
|
11
|
1
|
1
|
1
|
0
|
0
|
0
|
1
|
0
|
0
|
1
|
0
|
11
|
Как видно из Таблицы 2. последовательность Баркера обладает ярко
выраженным автокорреляционным пиком, соответствующим наложению функции самой на
себя. Проведя аналогичные расчеты, нетрудно убедиться, что другие
последовательности не значительно снижают помехоустойчивость передаваемого
сигнала.
В приемнике полученный сигнал умножается на код Баркера (вычисляется
корреляционная функция сигнала), в результате он становится узкополосным,
поэтому его фильтруют в узкой полосе частот, равной удвоенной скорости
передачи. Любая помеха, попадающая в полосу исходного широкополосного сигнала,
после умножения на код Баркера, наоборот, становится широкополосной, поэтому в
узкую информационную полосу попадает лишь часть помехи, по мощности примерно в
11 раз меньшая чем помеха, действующая на входе приемника.
Итак, основной смысл использования кодов Баркера заключается в том,
чтобы, имея возможность передавать сигнал практически на уровне помех,
гарантировать высокую степень достоверности принимаемой информации.
Как известно, радиоволны приобретают способность переносить информацию в
том случае, если они определенным образом модулируются. При этом необходимо,
чтобы модуляция синусоидального несущего сигнала соответствовала требуемой
последовательности информационных бит. Существует три основных типа модуляции:
амплитудная, частотная и фазовая. В стандарте IEEE 802.11 для передачи сигналов
используют фазовую модуляцию, поэтому остановимся на ней более подробно.
1.12 Стандарт
IEEE 802.11g
Стандарт 802.11g является логическим развитием 802.11b и предполагает
передачу данных в том же частотном диапазоне. Кроме того, стандарт 802.11g
полностью совместим с 802.11b, то есть любое устройство 802.11g должно
поддерживать работу с устройствами 802.11b. В то же время, по способу
кодирования 802.11g является, так сказать, гибридным, заимствуя все лучшее из
стандартов 802.11b и 802.11a. Максимальная скорость передачи в стандарте
802.11g составляет 54 Мбит/с (как и в стандарте 802.11a), поэтому на
сегодняшний день это наиболее перспективный стандарт беспроводной связи.
При разработке стандарта 802.11g рассматривались две несколько
конкурирующие технологии: метод ортогонального частотного разделения OFDM,
заимствованный из стандарта 802.11a и предложенный к рассмотрению компанией
Intersil, и метод двоичного пакетного свёрточного кодирования PBCC, опционально
реализованный в стандарте 802.11b и предложенный компанией Texas Instruments. В
результате стандарт 802.11g содержит компромиссное решение: в качестве базовых
применяются технологии OFDM и CCK, а опционально предусмотрено использование
технологии PBCC. О технологиях CCK и OFDM мы уже рассказывали, поэтому
знакомство со стандартом 802.11g начнем с рассмотрения технологии PBCC.
Как уже отмечалось, технология двоичного пакетного свёрточного
кодирования опционально используется и в стандарте 802.11b на скоростях 5,5
Мбит/с и 11 Мбит/с. В основе метода PBCC лежит так называемое свёрточное
кодирование со скоростью 1/2. В любом свёрточном кодере используются
запоминающие ячейки (регистры) и логические элементы XOR. Рассмотрим принцип
работы свёрточного кодера на простейшем примере кодера, состоящего всего из
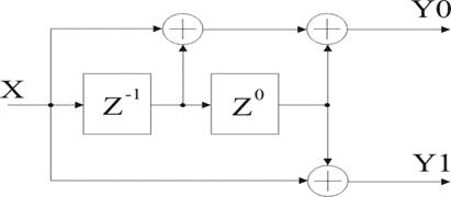
двух запоминающих ячеек (рис. 11).
Рис. 11. Простейший кодер на три состояния.
Пусть на вход такого кодера поступает со скоростью k бит/с
последовательность битов 01011100 (левый бит считается первым). В результате
логических преобразований входной последовательности с помощью операций XOR
каждому входному биту ставятся в соответствие два выходных бита - Y0 и Y1.
Выписывая таблицу временных состояний кодера, найдем формируемые
последовательности битов - Y0 и Y1 (табл. 3). При этом предполагается, что в
начальный момент, то есть когда на вход кодера поступает первый бит входной
последовательности, значения запоминающих ячеек равны 0.
Таблица 3. Временная диаграмма состояний свёрточного кодера.
|
X
|
Z-1
|
Z0
|
Y0
|
Y1
|
|
0
|
0
|
0
|
0
|
0
|
|
1
|
0
|
0
|
1
|
1
|
|
0
|
1
|
0
|
1
|
0
|
|
1
|
0
|
1
|
0
|
0
|
|
1
|
1
|
0
|
0
|
1
|
|
1
|
1
|
1
|
1
|
0
|
|
0
|
1
|
1
|
0
|
1
|
|
0
|
0
|
1
|
1
|
1
|
Отметим одну важную особенность принципа формирования выходных битов:
значение каждого формируемого дибита зависит не только от входящего
информационного бита, но и от двух предыдущих битов, значения которых хранятся
в двух запоминающих ячейках. Таким образом, значение выходного дибита зависит
от трёх состояний - значения входного бита, значения первой запоминающей ячейки
и значения второй запоминающей ячейки. Такие кодеры получили название
свёрточных кодеров на три состояния (K = 3) с выходной скоростью 1/2.
Главным достоинством свёрточных кодеров является помехоустойчивость
формируемой ими последовательности. Дело в том, что при избыточности
кодирования (вспомним, что каждому информационному биту ставится в соответствие
дибит, то есть избыточность кода равна 2) даже в случае возникновения ошибок
приёма (к примеру, вместо дибита 11 ошибочно принят дибит 10) исходная
последовательность битов может быть безошибочно восстановлена. Для
восстановления исходной последовательности битов на стороне приёмника
применяется декодер Витерби.
В протоколе 802.11b и 802.11g используются свёрточные кодеры, состоящие
из шести запоминающих ячеек (K = 7) со скоростью кодирования 1/2. Схема такого
кодера показана на рис. 12.
Рис. 12. Схема свёрточного кодера (K = 7); скорость кодирования равна
1/2.
Дибит, формируемый в свёрточном кодере, используется в дальнейшем в
качестве передаваемого символа, но предварительно этот дибит подвергается
фазовой модуляции (рис. 13). Если скорость передачи составляет 11 Мбит/с, то
применяется квадратичная фазовая модуляция QPSK. В данном случае каждому их
четырёх возможных состояний дибита соответствует одна из четырёх возможных фаз.
При этом в каждом символе кодируется по одному входному биту и скорость
передачи битов соответствует скорости передачи символов. Если же скорость
передачи составляет 5,5 Мбит/с, то используется двоичная фазовая модуляция
BPSK. При этом каждый бит Y0 и Y1, формируемый свёрточным кодером, последовательно
подвергается фазовой модуляции. Поскольку каждому входному биту в данном случае
соответствует два выходных символа, скорость передачи битов равна половине
скорости передачи символов. Поэтому, и для скорости 5,5 Мбит/с, и для скорости
11 Мбит/с символьная скорость составляет 11 х 106 символов/с.
Как видите, технология PBCC достаточна проста. В отличие от технологий
DSSS (коды Баркера, ССК-последовательности) здесь не используется технология
уширения спектра за счёт применения шумоподобных последовательностей, однако
уширение спектра до стандартных 22 МГц предусмотрено и в данном случае. Для
этого применяют вариации возможных сигнальных созвездий QPSK и BPSK.
Рис. 13. Схема PBCC-модулятора.
Напомним, что сигнальные созвездия представляют собой геометрическое
отображение возможных выходных состояний сигнала. Для QPSK-модуляции имеется
четыре дискретных состояний сигнала: 00, 01, 10 и 11. Каждому из этих дибитов
соответствует одна из четырёх возможных фаз несущего сигнала. Выбор одного из
возможных состояний определяется комбинацией управляющих сигналов синфазного и
квадратурного каналов dI и dQ, принимающих значения +1 и -1. Следовательно,
каждому состоянию сигнала соответствует пара координатdI и dQ. Отображая на IQ
плоскости возможные значения dI и dQ и соответствующие им дибиты, получим так
называемое сигнальное созвездие. Понятно, что расположение точек на сигнальном
созвездии может быть различным, то есть комбинация управляющих сигналов dI=+1 и
dQ=-1 может соответствовать дибиту 00, а может - и дибиту 10. Фактически это
означает, что в первом случае дибиту 00 ставится в соответствие одно значение
фазы несущего сигнала, а во втором - другое. Именно этот принцип реализован в
методе PBCC для уширения спектра выходного сигнала. Используется по два
сигнальных созвездия QPSK и BPSK (рис. 14).
Рис. 14. Возможные типы сигнальных созвездий при QPSK и BPSK-модуляциях.
Выбор между конкретным типом используемого созвездия задаётся управляющим
сигналом S, принимающим значение 0 или 1. Этот сигнал задаётся псевдослучайной
последовательностью с периодом повторения 256 бит, которая формируется из
16-битной базовой последовательности 0011001110001011. Для того чтобы из данной
базовой 16-битной последовательности получить 256-битную, используют
циклический сдвиг одновременно трёх первых символов. Так получают еще
пятнадцать 16-битовых последовательностей, что в сумме дает одну 256-битную.
Как уже отмечалось, рассмотренный метод PBCC-кодирования опционально
используется в протоколе 802.11b на скоростях 5,5 и 11 Мбит/с. Аналогично в
протоколе 802.11g для скоростей передачи 5,5 и 11 Мбит/с этот способ тоже
используется опционально. Вообще, учитывая совместимость протоколов 802.11b и
802.11g, технология кодирования и скорости, предусмотренные протоколом 802.11b,
поддерживаются и в протоколе 802.11g. В этом плане до скорости 11 Мбит/с
протоколы 802.11b и 802.11g совпадают друг с другом, за исключением того, что в
протоколе 802.11g предусмотрены такие скорости, которых нет в протоколе
802.11b. Впрочем, все возможные скорости передачи мы рассмотрим позднее, а пока
остановимся на применении технологии PBCC при скоростях более 11 Мбит/с.
Опционально в протоколе 802.11g технология PBCC может использоваться при
скоростях передачи 22 и 33 Мбит/с. Скорость 22 Мбит/с при использовании технологии
PBCC уже сейчас реализуется во многих устройствах стандарта 802.11b. При этом
данную скорость передачи рассматривают как расширение стандарта, обозначая это
как 802.11b+.
При скорости 22 Мбит/с, по сравнению с уже рассмотренной нами схемой
PBCC, имеются два отличия. Прежде всего, используется фазовая 8-позиционная
модуляция 8-PSK, то есть фаза сигнала может принимать восемь различных
значений. Это позволяет в одном символе кодировать уже 3 бита и, следовательно,
увеличить информационную скорость передачи. Кроме того, в схему, кроме
свёрточного кодера, добавлен пунктурный кодер (Puncture). Смысл такого решения
достаточно прост: избыточность свёрточного кодера равная 2 (на каждый входной
бит приходятся два выходных) достаточна высока и при определённых условиях
помеховой обстановки является излишней, поэтому можно уменьшить избыточность,
чтобы, к примеру, каждым двум входным битам соответствовало три выходных.
Для этого можно, конечно, разработать соответствующий свёрточный кодер,
но лучше добавить в схему блок, который будет просто уничтожать лишние биты.
Каждый пунктурный кодер принято характеризовать матрицей (Рerforation Мatrix),
выполняющей функцию шаблона для удаления лишних битов.
Допустим, что пунктурный кодер удаляет один бит из каждых четырёх входных
битов, вырезая из последовательности Y0 каждый второй бит. Тогда каждым четырём
входящим битам будет соответствовать три выходящих. Скорость такого кодера
составляет 4:3 (рис. 15).
Рис. 15. Принцип работы пунктурного кодера.
Если же такой кодер используется в паре со свёрточным кодером со
скоростью 1/2, то общая скорость кодирования составит уже 2/3, то есть каждым
двум входным битам будет соответствовать три выходных.
Поняв принцип работы пунктурного кодера, вернёмся к рассмотрению
кодирования PBCC на скорости 22 Мбит/с в протоколе 802.11g. В свёрточный кодер
(K = 7, R = 1/2) данные поступают со скоростью 22 Мбит/с. После добавления
избыточности в свёрточном кодере биты со скоростью потока 44 Мбит/с поступают в
пунктурный кодер 4:3, в котором избыточность уменьшается так, чтобы на каждые
четыре входных бита приходились три выходных. Следовательно, после пунктурного
кодера скорость потока составит уже 33 Мбит/с (не информационная скорость, а
общая скорость с учётом добавленных избыточных битов). Полученная в результате
последовательность направляется в фазовый модулятор 8-PSK, где каждые три бита
упаковываются в один символ. При этом скорость передачи составит 11 Мсимвол/с,
а информационная скорость - 22 Мбит/с (рис. 16).
Рис. 16. Схема кодирования при скорости передачи 22 Мбит/с.
Аналогичная технология кодирования предусматривается протоколом 802.11g и
на скорости 33 Мбит/с, но для повышения скорости используется увеличение
входной скорости данных и еще большее уменьшение избыточности.
Описав технологию кодирования PBCC, которая может использоваться на
скоростях 5,5, 11, 22 и 33 Мбит/с, перейдём к рассмотрению остальных режимов
передачи, предусмотренных стандартом 802.11g. Прежде всего отметим, что в самом
стандарте обязательными являются скорости передачи 1; 2; 5,5; 6; 11; 12 и 24
Мбит/с, а более высокие скорости передачи (33, 36, 48 и 54 Мбит/с) -
опциональными. Кроме того, одна и та же скорость передачи может реализовываться
при различной технике модуляции. Например, скорость передачи 24 Мбит/с может
быть достигнута как при многочастотном кодировании OFDM, так и при гибридной
технике кодирования CCK-OFDM (табл. 4 ).
Таблица 4. Скорости передачи, предусмотренные протоколом 802.11g.
|
Скорость, Мбит/с
|
Метод кодирования
|
|
Обязательно
|
Опционально
|
|
1
|
Последовательность Баркера
|
|
|
2
|
Последовательность Баркера
|
|
|
5,5
|
CCK
|
PBCC
|
|
6
|
OFDM
|
CCK-OFDM
|
|
9
|
|
OFDM, CCK-OFDM
|
|
11
|
CCK
|
PBCC
|
|
12
|
OFDM
|
CCK-OFDM
|
|
18
|
|
OFDM, CCK-OFDM
|
|
22
|
|
PBCC
|
|
24
|
OFDM
|
CCK-OFDM
|
|
33
|
|
PBCC
|
|
36
|
|
OFDM, CCK-OFDM
|
|
48
|
|
OFDM, CCK-OFDM
|
|
54
|
|
OFDM, CCK-OFDM
|
Отметим, что для обязательных скоростей в стандарте 802.11g используется
только кодирование CCK и OFDM, а гибридное кодирование и кодирование PBCC
являются опциональными.
Единственное, что осталось пока вне данной публикации, - это техника
гибридного кодирования. Для того чтобы понять сущность этого термина, вспомним,
что любой передаваемый пакет данных содержит заголовок/преамбулу со служебный
информацией и поле данных. Когда речь идет о пакете в формате CCK, имеется в
виду, что заголовок и данные кадра передаются в формате CCK. Аналогично при
использовании технологии OFDM заголовок кадра и данные передаются посредством
OFDM-кодирования. При применении технологии CCK-OFDM заголовок кадра кодируется
с помощью CCK-кодов, но сами данные кадра передаются с использованием
многочастотного OFDM-кодирования. Таким образом, технология CCK-OFDM является
своеобразным гибридом CCK и OFDM. Технология CCK-OFDM не единственная гибридная
технология - при использовании пакетного кодирования PBCC заголовок кадра
передаётся с использованием CCK-кодов, только данные кадра кодируются с
использованием PBCC (рис 17).
Рис. 17. Форматы кадров при использовании различного кодирования.
уровень.
На МАС-уровне определяются два основных типа архитектуры сетей - Ad Нос и
Infrastructure Mode.
В режиме Ad Hoc (рис. 18), который называют также Independent Basic
Service Set (IBSS) или режимом Peer to Peer (точка-точка), станции
непосредственно взаимодействуют друг с другом. Для этого режима требуется
минимум оборудования: каждая станция должна быть оснащена беспроводным
адаптером. При такой конфигурации не требуется создания сетевой инфраструктуры.
Основным недостатком режима Ad Hoc является ограниченный диапазон действия
возможной сети и невозможность подключения к внешней сети (например, к
Интернету).
В заключение нашего обзора физического уровня стандартов 802.11a, 802.11b
и 802.11g, рассмотрим базовые архитектуры беспроводных сетей, определяемых на
MAC-уровне.
Рис. 18. Режим взаимодействия Ad Hoc.
В режиме Infrastructure Mode (рис. 18) станции взаимодействуют друг с
другом не напрямую, а через точку доступа (Access Point), которая выполняет в
беспроводной сети роль своеобразного концентратора (аналогично тому, как это
происходит в традиционных кабельных сетях). Рассматривают два режима
взаимодействия с точками доступа - BSS (Basic Service Set) и ESS (Extended
Service Set). В режиме BSS все станции связываются между собой только через
точку доступа, которая может выполнять также роль моста к внешней сети. В
расширенном режиме ESS существует инфраструктура нескольких сетей BSS, причём
сами точки доступа взаимодействуют друг с другом, что позволяет передавать
трафик от одной BSS к другой. Сами точки доступа соединяются между собой с
помощью либо сегментов кабельной сети, либо радиомостов.
Для доступа к среде передачи данных в беспроводных сетях применяется
метод коллективного доступа с обнаружением несущей и избежанием коллизий
(Carrier Sense Multiple Access / Collision Avoidance, CSMA/CA). Собственно,
этот метод даже по своему названию напоминает технологию коллективного доступа,
реализованную в сетях Ethernet, где используется метод коллективного доступа с
опознанием несущей и обнаружением коллизий (Сarrier-Sense-Multiply-Access With
Collision Detection, CSMA/CD). Единственное различие состоит во второй части
метода - вместо обнаружения коллизий используется технология избежания
коллизий.
Рис. 19. Режим взаимодействия Infrastucture.
Перед тем как послать данные в "эфир", станция сначала
отправляет специальное сообщение, называемое RTS (Ready To Send), которое
трактуется как готовность данного узла к отправке данных. Такое RTS-сообщение
содержит информацию о продолжительности предстоящей передачи и об адресате и
доступно всем узлам в сети. Это позволяет другим узлам задержать передачу на
время, равное объявленной длительности сообщения. Приёмная станция, получив
сигнал RTS, отвечает посылкой сигнала CTS (Clear To Send), свидетельствующего о
готовности станции к приёму информации. После этого передающая станция посылает
пакет данных, а приёмная станция должна передать кадр ACK, подтверждающий
безошибочный прием. Если АСК не получен, попытка передачи пакета данных будет
повторена. Таким образом, с использованием подобного четырёхэтапного протокола
передачи данных (4-Way Handshake) реализуется регламентирование коллективного
доступа с минимизацией вероятности возникновения коллизий.
1.13 Стандарт
802.11n: первый взгляд
Институт инженеров по электротехнике и электронике (IEEE) одобрил
создание рабочей группы 802.11n. Целью группы стала разработка нового
физического уровня (PHY) и уровня доступа к среде передачи (MAC), которые бы
позволили достичь реальной скорости передачи данных, как минимум, 100 Мбит/с.
То есть увеличить её в сравнении с существующими сегодня решениями примерно в
четыре раза (мы имеем в виду реальную пропускную способность). Всё это, вместе
с обратной совместимостью с существующими стандартами, должно будет не только
сделать работу в беспроводных сетях более комфортной, но и обеспечить
достаточный запас скорости на ближайшее будущее.
Таблица 5.Сравнение скорости различных стандартов.
|
Сравнение скорости различных стандартов
|
|
Стандарт беспроводной связи
|
Скорость работы
|
Реальная скорость передачи данных
|
|
802.11b
|
11 Мбит/с
|
5 Мбит/с
|
|
802.11g
|
54 Мбит/с
|
25 Мбит/с
|
|
802.11a
|
54 Мбит/с
|
25 Мбит/с
|
|
802.11n
|
200+ Мбит/с
|
100 Мбит/с
|
Самое непосредственное участие в разработке и процессе развития стандарта
принимает компания Intel, которая возглавила комитет, разрабатывающий основу
для реализации стандарта, также в сферу деятельности компании входит разработка
уровней MAC и PHY и другие аспекты. Безусловно, Intel сегодня является
технологическим лидером в этой области, однако для разработки окончательных
спецификаций стандарта необходимы усилия многих компаний.
В разработке стандарта 802.11n Intel предлагает пойти эволюционным путём,
используя уже проверенные технологии, добавив к ним новые разработки,
позволяющие достичь высоких скоростей передачи данных. Например, в 802.11n
предлагается использовать такие "наследственные" технологии, как OFDM
(ортогональное частотное мультиплексирование) и QAM (квадратурная амплитудная
модуляция). Подобный подход не только обеспечит обратную совместимость, но и
снизит стоимость разработки. Перед инженерами стоит нелёгкая задача, ведь новый
стандарт не должен мешать работе старых устройств 11a/g, и в то же время он
должен поддерживать высокую скорость работы. Многие читатели знакомы со
снижением скорости работы сетей 802.11g при одновременном использовании
устройств 11b.
1.14
Увеличение физической скорости передачи
Первый способ увеличения скорости беспроводной передачи данных использует
несколько антенн для передатчика и приёмника. Технология называется
множественным вводом/выводом MIMO (multiple input multiple output). В случае её
использования параллельно передаётся множество сигналов, увеличивая тем самым суммарную
пропускную способность. Вообще, у MIMO достаточно много преимуществ из-за
одновременной передачи данных по разным каналам. Технология использует
мультиплексирование Spatial Division Multiplexing (SDM), то есть сигнал
передаётся по нескольким различным частотам, после приёма превращаясь в
скоростной поток данных. Однако для реализации MIMO на практике необходимо,
чтобы для каждого потока данных использовались свои антенны приёма/передачи,
цепи RF и АЦП. В то же время использование более двух антенных цепей RF может
привести к значительному повышению стоимости устройства, так что разработчикам
придётся искать определённый баланс между скоростью и ценой.
Рис. 20 Простейшая система MIMO с двумя антенными цепями. Источник:
Intel.
Кроме того, Intel предлагает повысить скорость беспроводной связи,
расширив частотные диапазоны каналов. В принципе, идея эта отнюдь не нова. Из
теоремы Шеннона следует, что теоретический предел пропускной способности
"C" повышается при увеличении частотного диапазона "B" (C=B
log2(1+SNR)).
Рис. 21 Расширение частотного диапазона приводит к увеличению пропускной
способности канала. Источник: Intel.
Расширив частотный диапазон, можно сравнительно недорого и легко
увеличить скорость работы сети. При этом нагрузка на ЦСП вырастет
незначительно. При хорошей реализации каналы по 40 МГц могут дать более, чем в
два раза полезную пропускную способность, чем два канала старых стандартов
802.11 (см. ниже). Добавив к этому MIMO можно создать мощные и недорогие системы
с высокой скоростью передачи.
Если же использовать MIMO с каналами по 20 МГц, то стоимость такой
системы возрастает. Дело в том, что нужные нам 100 Мбит/с на физическом уровне
здесь можно получить только при трёх антенных цепях на передатчике и приёмнике.
На следующем графике приведена зависимость теоретической пропускной
способности OTA от значения SNR, которое измерялось после спаривания каналов.
Эффективность уровня MAC составляет 70%, то есть реальные 100 Мбит/с
превращаются в теоретические 140 Мбит/с. График позволяет сравнить
эффективность работы сетей на 20-МГц и 40-МГц каналах. Расшифровка легенды
следующая: "2x2-40 MHz" означает два потока данных, две антенные цепи
на приёмнике и передатчике и каналы по 40 МГц.
Рис. 22 Зависимость теоретической пропускной способности от SNR, числа
каналов и диапазонов. Источник: Intel.
Как видим, реализация 2x3-20 имеет лучший показатель SNR, чем 2x2-20. Это
приведёт к увеличению радиуса действия сети при равной скорости. В то же время
график наглядно показывает, что использование двух потоков MIMO 20 МГц не
позволяет достичь цели в 100 Мбит/с реальной скорости. Для этого необходимо
использовать три потока MIMO, как мы уже говорили выше. Преимущество подхода
2x2-40 здесь очевидно. Обратите внимание, что удвоение числа RF-цепей с
каналами по 20 МГц и передача четырёх потоков MIMO даёт меньшую
производительность, чем два канала по 40 МГц. Так что переход на 40-МГц каналы
позволит не только снизить сложность и стоимость систем, но и повысить
производительность. считает, что совместное использование технологий позволит
выполнить требования будущего стандарта 802.11n. Сделав ставку на увеличение
используемой полосы частот совместно с технологией MIMO, удастся не только
достичь требуемых 100 Мбит/с, но и сохранить при этом низкую стоимость
оборудования. Например, использование 40-мегагерцовых каналов и технологии MIMO
в будущем позволит даже превзойти требования стандарта по мере развития
возможностей ЦСП (вспомним закон Мура). Устройства 802.11n будут поддерживать
как 20-, так и 40-МГц каналы, при этом 40-МГц каналы будут образовываться из
двух смежных 20-МГц. Таким образом, если частотный спектр будет перегружен или
необходимо связаться по старому стандарту, устройство может перейти на узкие
20-МГц каналы. Надеемся, что в момент выхода стандарта законодательные органы
примут соответствующие поправки, разрешающие использование 40-мегагерцовых
каналов там, где это пока запрещено.
Чтобы получить физическую скорость 100 Мбит/с 802.11n должен поддерживать
технологию MIMO не меньше, чем для двух потоков. Для этого потребуется минимум
две антенные цепи на каждом устройстве стандарта 802.11n. Опционально
устройства смогут поддерживать и большее число потоков MIMO, но не больше
четырёх.
Кроме того, в 802.11n могут быть внесены различные опциональные решения,
увеличивающие пропускную способность. Сюда относятся увеличение числа антенных
цепей, адаптивные каналы и технология кодирования FEC и т.д.
Конечно же, высокую скорость нельзя получить без эффективных механизмов
управлением физическим уровнем. Хотя уровень MAC и не влияет напрямую на
физическую скорость передачи, он играет важную роль при выборе режимов
оптимизации передачи PHY. Первоначально связь будет устанавливаться средствами
физического уровня, а уже затем, со временем, подключится MAC-уровень, который
определит долговременные параметры связи типа модуляции, кодирования,
конфигурации антенн, частотных диапазонов каналов и т.д.
.15 Повышаем
эффективность передачи на MAC-уровне
Конечно же, изменения коснутся и MAC-уровня, который получит новые
функции. Важно понимать, что скорость передачи существенно ограничивается
заголовками PHY и задержками. К сожалению, они плохо поддаются улучшению. Более
того, заголовки PHY приходится делать даже больше, чтобы поддержать новые
режимы.
В 802.11n будут введён режим передачи нескольких кадров MAC в блок данных
физического уровня (агрегация). Также появляются и блочные подтверждения (Block
ACK) на запросы нескольких кадров (BAR). Таким образом, теперь не нужно
начинать процедуру передачи отдельно для каждого кадра. Если не использовать
блочную передачу, то для скорости 100 Мбит/с потребовались бы 500 Мбит/с на
уровне PHY.
Блочная передача данных будет работать в обоих направлениях. Что
интересно, Intel предусматривает MAC-кадры нового формата, которые позволят
создавать пакеты PHY с информацией сразу для нескольких клиентов.
1.16
Совместимость со старыми стандартами 802.11
Рабочая группа IEEE гарантирует обратную совместимость новых устройств
802.11n с оборудованием 802.11a/b/g при условии использования одного и того же
частотного диапазона и канала. Другими словами, как мы уже говорили, поддержка
20-мегагерцовых каналов пригодится для обратной совместимости.
Совместимость с существующим оборудованием 802.11a/b/g будет
обеспечиваться средствами MAC-уровня. То есть все существующие устройства
стандартов 802.11a/b/g смогут подключаться к точкам доступа 802.11n. На уровне
MAC также будет обеспечена совместимость схем модуляции для соответствующих
частотных диапазонов. Естественно, придётся решить проблемы, возникающие при
взаимодействии оборудования различных стандартов.
беспроводной сеть сигнал изотропный
2. Выбор и обоснование решения по реализации сети Wi-Fi на основе
стандарта IEEE 802.11n.
.1 Оборудование, применяемое в сетях Wi-Fi
Сегодня беспроводные сети позволяют предоставить подключение
пользователей там, где затруднено кабельное подключение или необходима полная
мобильность. При этом беспроводные сети без проблем взаимодействуют с проводными
сетями.
Точки доступа Wi-Fi.
Все точки доступа можно разделить по способу подключения: через USB порт
и порт подключения Ethernet - RJ45. Последние пользуются наибольшим успехом,
так как наиболее просты в настройке и управлении, а также обладают большей
скоростью передачи в локальную сеть. Точки доступа могут быть комнатного (in
door) и всепогодного (out door) исполнения. Для создания беспроводной сети
внутри помещений используют комнатный вариант прибора. Он обладает меньшей
стоимостью и, как правило, большим эстетическим видом. Работают такие точки
доступа в пределах одной или нескольких комнат. На открытых участках местности
(прямая видимость) возможна работа на расстоянии до 300 метров с использованием
стандартных всенаправленных антенн. Точки доступа всепогодного исполнения
предназначены для создания радиосети между зданиями. В зависимости от типов
антенн такие устройства способны организовывать каналы связи на расстоянии
порядка 3-5 км. Максимальная дальность беспроводного канала связи заметно
увеличивается при использовании усилителей. В этом случае длина радиоканала
достигает 8-10 км. Устройства типа точка доступа представлены на рисунке 1.13.
Комбинированные устройства.
Большой интерес вызывают беспроводные точки доступа, объединяющие в себе
функции других устройств, например, высокоскоростного беспроводного
широкополосного маршрутизатора со встроенным коммутатором Fast Ethernet.
Маршрутизатор позволяет быстро и легко настроить общий доступ к Интернет для
проводной или беспроводной сети или организовать совместное использование
широкополосного канала связи и кабельного/DSL модема дома или в офисе.
а б в г
Рис. 23 - Виды точек доступа: а, б -
внутренние; в, г - внешние
Fi адаптеры.
Для подключения к беспроводной сети Wi-Fi достаточно обладать ноутбуком
или карманным персональным компьютером (КПК) с подключенным Wi-Fi адаптером.
Любой беспроводной Wi-Fi адаптер должен соответствовать нескольким
требованиям:
1. необходима совместимость со стандартами;
2. работа в диапазоне частот 2,4 ГГц - 2,435 ГГц (или 5 ГГц);
. поддерживать протоколы WEP и желательно WPA;
. поддерживать два типа соединения "точка-точка", и
"компьютер сервер";
. поддерживать функцию роуминга.
Существует три основных разновидности Wi-Fi адаптеров, различаемых по
типу подключения:
Подключаемые к USB порту компьютера. Такие адаптеры компактны, их легко
настраивать, а USB интерфейс обеспечивает функцию "горячего
подключения";
Подключаемые через PCMCIA слот (CardBus) компьютера. Такие устройства
располагаются внутри компьютера (ноутбука) и поддерживают любые стандарты,
позволяющие передавать информацию со скоростью до 108 Мбит/с;
Устройства, интегрированные непосредственно в материнскую плату
компьютера. Самый перспективный вариант. Такие адаптеры устанавливаются на
ноутбуки серии Intel Centrino. И, в настоящее время используются на подавляющем
большинстве мобильных компьютеров. Все виды беспроводных адаптеров представлены
на рисунке 24.


а б в
Рис. 24 - Беспроводные адаптеры: а - с USB портом, б - формата PCMCIA, в
- встроенный в материнскую плату
.1.1 Описание
и характеристика выбранного оборудования
Точка доступа.
D-Link DWL-8600AP - унифицированная беспроводная точка
доступа следующего поколения, соответствующая стандарту IEEE 802.11n. Гибкая в
управлении и мощная, данная точка доступа предназначена для развертывания сетей
в режиме автономной беспроводной точки доступа или в режиме управляемой точки
доступа, управление которой осуществляется при подключении к беспроводному
коммутатору. Предприятия могут начать работу с организации сети с помощью одной
интеллектуальной точки доступа DWL-8600AP, предоставляющей ряд расширенных
функций LAN, а затем в любое время перейти к централизованной системе
управления после подключения аналогичной точки доступа DWL-8600AP к
унифицированному проводному/беспроводному коммутатору D-Link.
Стандарт 802.11n увеличивает пропускную способность в 6 раз
больше по сравнению с сетями стандарта 802.11a/g. Точка доступа DWL-8600AP
является обратно совместимой с устройствами стандарта 802.1a/b/g и позволяет
настройку 2x2:2* в обоих направлениях Tx/Rx. Технология Multiple In Multiple
Out (MIMO) и каналы с увеличенной пропускной способностью увеличивают
физическую скорость передачи данных при использовании стандарта 802.11n. MIMO
обеспечивает одновременную передачу нескольких сигналов с помощью нескольких
антенн вместо одной. Использование DWL-8600AP на предприятии подготавливает
платформу для будущего поколения беспроводных устройств и мобильных
приложений.AP поддерживает функцию APSD (Автоматический переход в режим сохранения
энергии) по расписанию и вне расписания. Выполняемая вне расписания функция
APSD (U-APSD) является более эффективным методом управления питанием по
сравнению с функцией Power Save Polling 802.11. Основным преимуществом функции
U-APSD является возможность синхронизации передачи и получения голосовых
фреймов с точкой доступа, таким образом, устройство может переходить в режим
сохранения энергии в случае, когда не выполняется отправка или прием пакетов.
DWL-8600AP является полностью совместимой с устройствами стандарта 802.3af даже
в режиме максимально потребляемой мощности. В отличие от точки доступа
стандарта 802.11n других производителей, которым требуется PoE или 802.3at при
работе обеих частот, DWL-8600AP обеспечивает непрерывную поддержку энергосберегающей
технологии D-Link Green. Вид DWL-8600AP представлен на рисунке 25.
Рис. 25 - Беспроводная точка доступа DWL-8600AP.
Коммутаторы DWS-4026 автоматически настраивают каждую
подключенную точку доступа DWL-8600AP, таким образом, во время установки не
требуется настройка. При замене DWL-8600AP выполняется автоматическая настройка
точки доступа с теми же параметрами, что и у предыдущего устройства, что
значительно упрощает процесс замены.AP поддерживает набор встроенных функций,
позволяющий администраторам организовать защищенную сеть и подключиться к
любому коммутатору и маршрутизатору, совместимому с устройствами Ethernet.
Расширенные функции беспроводной сети, поддерживаемые точкой доступа, включают:
WEP-шифрование данных, безопасность WPA/WPA2, фильтрация MAC-адресов,
балансировка нагрузки между точками доступа, QoS/WMM (Wireless Media) и
обнаружение несанкционированных точек доступа. DWL-8600AP поддерживает
возможность локального хранения настроек безопасности. Можно расширить
беспроводные подключения путем добавления нескольких точек доступа DWL-8600AP к
другим точкам доступа с поддержкой стандарта 802.11a/g/n. Благодаря функции AP
Clustering можно объединить до 8 точек доступа для удобства управления и
настройки всех точек доступа. Предприятия, не требующие сложной сетевой
инфраструктуры, могут использовать DWL-8600AP для установки беспроводной сети
без дополнительного аппаратного обеспечения.
В качестве альтернативного варианта DWL-8600AP может работать
совместно с унифицированным проводным/беспроводным коммутатором. В данном
режиме несколько точек доступа DWL-8600AP могут быть подключены непосредственно
или опосредованно к одному из данных коммутаторов для обеспечения высокого
уровня безопасности и беспроводной мобильности. При подключении к этим
коммутаторам каждая точка доступа DWL-8600AP автоматически настраивается на
оптимальный радиочастотный канал и выходную мощность передатчика, обеспечивая
беспроводных клиентов сигналом наилучшего качества как в полосе 2,4ГГц, так и в
полосе 5ГГц, предоставляя непрерывное беспроводное соединение.AP обеспечивает
максимальную скорость беспроводного соединения для каждого из частотных
диапазонов. При одновременной работе в двух диапазонах частот можно создать две
сети, использующие полную полосу пропускания беспроводного канала, что позволит
повысить общую производительность беспроводной сети. Кроме того, DWL-8600AP
остается полностью обратно совместимой с оборудованием стандарта 802.11b,
работающим на частоте 2,4ГГц.
Большинство из существующих контролеров сети LAN осуществляет
централизованную обработку трафика, что иногда вызывает его неоправданную
задержку. Точка доступа DWL-8600AP - при подключении к коммутатору DWS-4026 -
предоставляет администраторам ряд дополнительных функций. В зависимости от
беспроводного приложения, беспроводной трафик может направляться обратно к
коммутатору в целях обеспечения общей безопасности или локально
перенаправляться к точке доступа для оптимальной производительности. Точка доступа
данной серии предоставляет администраторам максимальную гибкость управления,
благодаря опциям перенаправления гостевого трафика к коммутатору для
централизованного управления безопасностью и перенаправления VoIP-трафика
непосредственно к точке доступа для оптимальной производительности. Более того,
DWL-8600AP поддерживает функции AP Clustering и Wireless Distribution System
(WDS). Функция WDS позволяет точке доступа работать в режиме беспроводного
моста, объединяя две различные сети без необходимости подключения кабеля.AP
непрерывно сканирует оба диапазона частот и связанные с ними каналы для
обнаружения несанкционированных подключений, обеспечивая при этом соединение
для мобильных клиентов. Если обнаружено несанкционированное подключение, точка
доступа отправляет отчет коммутатору DWS-4026, который ей управляет. Используя
управляющую консоль, администратор может определить несанкционированную точку
доступа и предпринять соответствующие действия. DWL-8600AP поддерживает такие
функции как 64/128/152-битное WEP-шифрование данных, WPA/WPA2 и Multiple SSID
для каждого радиочастотного канала. При подключении к коммутатору DWS-4026 эти
функции наряду с фильтрацией MAC-адресов и запретом широковещания SSID могут
использоваться для настройки параметров безопасности и ограничения доступа во
внутреннюю сеть извне. DWL-8600AP поддерживает 802.1Q VLAN Tagging и WMM (Wi-Fi
Multimedia) для передачи данных таких приложений как VoIP и потоковое
аудио/видео с заданным приоритетом. Общие характеристики представлены в таблице
2.1.
Таблица 6. - общие характеристики оборудования DWL-8600AP.
|
Модель
|
DWL-8600AP
|
|
Производитель
|
D-Link
|
|
Стандарты
|
• IEEE 802.11a, 802.11b, 802.11g,
802.11n Wireless LAN • IEEE 802.3, 802.3u Ethernet • IEEE 802.11d Regulatory
Domain Selection •
IEEE 802.11h • Управление потоком IEEE 802.3x • IEEE 802.3af Power over Ethernet
(PoE)
|
|
Скорость передачи данных
|
• Для 802.11a/g: 54, 48, 36, 24, 18, 12, 9 и 6 Мбит/с • Для
802.11b: 11, 5.5, 2 и 1 Мбит/с • Для 802.11n: GI3=800нс GI=400нс Индекс MCS2
20МГц (Мбит/с) 40МГц (Мбит/с) 20МГц (Мбит/с) 40МГц (Мбит/с) 0 6,5 13,5 7,2
15 1 13 27 14,4 30 2 19,5 40,5 21,7 45 3 26 54 28,9 60 4 39 81 43,3 90 5
52 108 57,8 120 6 58,5 121,5 65 135 7 65 135 72,2 150 8 13 27 14,4 30 9
26 54 28,9 60 10 39 81 43,3 90 11 52 108 57,8 120 12 78 162 86,7 180 13
104 216 115,6 240 14 117 243 130 270 15 130 270 144,4 300
|
|
Диапазон частот
|
• 802.11a: от 5,15 ГГц до 5,35 ГГц и от 5,725 ГГц до 5,825
ГГц • 802.11b/g: от 2,4 ГГц до 2,4835 ГГц • 802.11n: от 2,4 ГГц до 2,497 ГГц
и от 4,9 ГГц до 5,85 ГГц
|
|
Технологии модуляции
|
• Для 802.11b (DSSS): DBPSK @ 1 Мбит/с, DQPSK @ 2 Мбит/с,
CCK @ 5,5 and 11 Мбит/с • Для 802.11a/g (OFDM): BPSK @ 6 и 9 Мбит/с, QPSK @
12 и 18 Мбит/с, 16QAM @ 24 и 36 Мбит/с, 64QAM @ 48, 54 Мбит/с • Для 802.11a/g
(DSSS): DBPSK @ 1 Мбит/с, DQPSK @ 2 Мбит/с, CCK @ 5,5 и 11 Мбит/с • Для
802.11n: PSK/CCK, DQPSK, DBPSK, OFDM
|
|
Радио частотные каналы
|
• 5ГГц: 12 неперекрывающихся каналов для США и Канады, 8
неперекрывающихся каналов для Японии, 19 неперекрывающихся каналов для стран
Европейского союза, 5 неперекрывающихся каналов для Китая • 2,4ГГц: 11каналов
для США, 13 каналов для стран Европейского союза, 13 каналов для Японии
|
|
Выходная мощность передатчика4 (Типичная для каждой
скорости соединения)
|
• 802.11a: 17dBm при 6/9/12/18 Мбит/с 15dBm при 24/36
Мбит/с 14dBm при 48 Мбит/с 13dBm при 54 Мбит/с • 802.11b: 17dBm при
1/2/5.5/11 Мбит/с • 802.11g: 17dBm при 6/9/12/18 Мбит/с 16dBm при 24/36
Мбит/с 15dBm при 48 Мбит/с 14dBm при 54 Мбит/с • 802.11n:
|
|
5GHz Band/HT-20
|
5GHz Band/HT-40
|
2.4GHz Band/HT-20
|
2.4GHz Band/HT-40
|
|
17dBm
при MCS0/8
|
16 dBm
при MCS0/8
|
17 dBm
при MCS0/8
|
16 dBm
при MCS0/8
|
|
17 dBm
при MCS1/9
|
16 dBm
при MCS1/9
|
17 dBm
при MCS1/9
|
16 dBm
при MCS1/9
|
|
17 dBm
при MCS2/10
|
16 dBm
при MCS2/10
|
17 dBm
при MCS2/10
|
16 dBm
при MCS2/10
|
|
15 dBm
при MCS3/11
|
14 dBm
при MCS3/11
|
16 dBm
при MCS3/11
|
15 dBm
при MCS3/11
|
|
15 dBm
при MCS4/12
|
14 dBm
при MCS4/12
|
16 dBm
при MCS4/12
|
15 dBm
при MCS4/12
|
|
14 dBm
при MCS5/13
|
13 dBm
при MCS5/13
|
15 dBm
при MCS5/13
|
14 dBm
при MCS5/13
|
|
13 dBm при
MCS6/14
|
12 dBm
при MCS6/14
|
14 dBm
при MCS6/14
|
13 dBm
при MCS6/14
|
|
12 dBm при MCS7/15
|
11 dBm при MCS7/15
|
13 dBm при MCS7/15
|
12 dBm при MCS7/15
|
|
Чувствительность приемника
|
• 802.11a: -87dBm при 6 Мбит/с -86dBm при 9 Мбит/с -84dBm
при 12 Мбит/с -81dBm при 18 Мбит/с -77dBm при 24 Мбит/с -75dBm при 36 Мбит/с
-68dBm при 48 Мбит/с -67dBm при 54 Мбит/с • 802.11b: -92dBm при 1 Мбит/с
-90dBm при 2 Мбит/с -88dBm при 5.5 Мбит/с -84dBm при 11 Мбит/с • 802.11g:
-87dBm при 6 Мбит/с -87dBm при 9 Мбит/с -85dBm при 12 Мбит/с -82dBm при 18
Мбит/с -79dBm при 24 Мбит/с -76dBm при 36 Мбит/с -71dBm при 48 Мбит/с -70dBm
при 64 Мбит/с 802.11n:
|
|
5GHz Band/HT-20
|
5GHz Band/HT-40
|
2.4GHz Band/HT-20
|
2.4GHz Band/HT-40
|
|
-82dBm при MCS0/8
|
-79 dBm при MCS0/8
|
-85 dBm
при MCS0/8
|
-82 dBm при MCS0/8
|
|
-79 dBm at MCS1/9
|
-76 dBm at MCS1/9
|
-82 dBm при MCS1/9
|
-79 dBm
при MCS1/9
|
|
-77 dBm
при MCS2/10
|
-74 dBm at MCS2/10
|
-80 dBm при MCS2/10
|
-77 dBm при MCS2/10
|
|
-74 dBm
при MCS3/11
|
-71 dBm at MCS3/11
|
-77 dBm при MCS3/11
|
-74 dBm при MCS3/11
|
|
-70 dBm
при MCS4/12
|
-67 dBm at MCS4/12
|
-74 dBm при MCS4/12
|
-71 dBm при MCS4/12
|
|
-66 dBm
при MCS5/13
|
-63 dBm at MCS5/13
|
-69 dBm при MCS5/13
|
-66 dBm при MCS5/13
|
|
-65 dBm
при MCS6/14
|
-62 dBm at MCS6/14
|
-68 dBm при MCS6/14
|
-65 dBm
при MCS6/14
|
|
-64 dBm
|
-61 dBm
|
-67 dBm
|
-63 dBm
|
|
Антенны
|
• 4 дипольных съемных всенаправленных антенны с реверсным
разъемом SMA • Коэффициент усиления: 6dBi для частоты 5ГГц, 4dBi для частоты
2,4 ГГц
|
|
Интерфейс Ethernet
|
Порт 10/100/1000BASE-T с 802.3af PoE
|
|
Настраиваемый режим работы
|
• Только «Точка доступа» • «Точка доступа» с Wireless
Distribution System (WDS) • Wireless Distribution System (WDS)
|
|
Безопасность
|
• 64/128/152-битное WEP-шифрование данных • Фильтрация
MAC-адресов: через RADIUS или локальную базу данных • WPA/WPA2 EAP
• TKIP/AES •802.11i/WPA2: Поддержка предварительной аутентификации и
кэширования ключей для WPA2 Enterprise • Включение/запрещение широковещания
802.1Q SSID • 16 SSID для каждого частотного диапазона • RADIUS (RFC 2865,
3580): Поддержка аутентификации c сервером RADIUS, до 4 внешних серверов
RADIUS •Изолированная безопасность для каждого SSID (различные параметры
безопасности для каждого SSID) • Изоляция станции
|
|
Поддерживаемые протоколы/методы управления
|
•Используются протоколы, поддерживаемые унифицированными коммутаторами
DWS-4026 • HTTP/HTTPS • SSH • SNMP • Системный журнал • Telnet
|
|
Возможности
|
Автономный режим
|
Управляемый режим (DWS-4026)
|
|
Централизованное управление
|
-
|
+
|
|
Централизованное распределение программного обеспечения
|
-
|
+
|
|
Визуальные инструменты управления точкой доступа
|
-
|
+
|
|
Автоматическая настройка мощности
|
-
|
+
|
|
Динамический выбор канала
|
-
|
+
|
|
Быстрый роуминг L2
|
-
|
+
|
|
Быстрый роуминг L3
|
-
|
+
|
|
Адаптивный портал
|
-
|
+
|
|
Протоколы безопасности WEP/WPA/WPA2
|
+
|
+
|
|
Обнаружение несанкционированнх точек доступа
|
+
|
+
|
|
Минимизация несанкционированных точек доступа
|
-
|
+
|
|
WIDS
|
-
|
+
|
|
Изоляция станции
|
+
|
+
|
|
Фильтрация MAC-адресов
|
+
|
+
|
|
Балансировка нагрузки между точками доступа
|
+
|
+
|
|
WDS
|
+
|
-
|
|
Функция AP Clustering
|
+
|
-
|
|
QoS/WMM
|
+
|
+
|
|
Локальное хранение конфигурационного файла
|
+
|
-
|
|
Индикаторы диагностики
|
• Power • LAN • 2.4GHz • 5.0GHz
|
|
Питание
|
• Рабочее напряжение: 48В постоянного тока •/- 10% для PoE
• Источник питания: через внешний адаптер питания 48В постоянного тока, 0,4А
• Потребляемая мощность: Макс.11 Вт без Poe, Макс. 12 Вт с PoE
|
|
Размеры
|
190,5 х 198,8 х 36,8 мм
|
|
Вес
|
1,02кг
|
|
Рабочая температура
|
От 0° до 40°С
|
|
Температура при хранении
|
От -20° до 65°С
|
|
Рабочая влажность
|
От 10% до 90% (без образования конденсата)
|
|
Влажность при хранении
|
От 5% до 95% (без образования конденсата)
|
|
MTBF
|
523,721 час
|
|
Сертификаты
|
• FCC Class B • CE • C-Tick • VCCI
• TELEC • Wi-Fi • ICES-003 • EN60601-1-2 • NCC • CSA International
|
|
|
|
|
|
|
|
|
|
Беспроводной коммутатор.
Серия коммутаторов DWS-4026 включает в себя унифицированные проводные/беспроводные
коммутаторы Gigabit Ethernet следующего поколения, поддерживающие ряд
расширенных функций и стандарт 802.11n. Благодаря возможности управления до 64
беспроводных точек доступа DWL-8600AP и до 256 точек доступа DWL-8600AP в
кластере коммутаторов, DWS-4026 является полнофункциональным и экономичным
решением для среднего и крупного бизнеса и провайдеров услуг. Коммутатор
DWS-4026 поддерживает гибкие функции управления и, в зависимости от требований
клиента, используется в качестве беспроводного контроллера в
базовой/беспроводной сети или гигабитного коммутатора уровня 2+ с поддержкой
PoE для конечных пользователей. С помощью настройки централизованного
управления WLAN и функций управления, DWS-4026 позволяет сетевым
администраторам поддерживать управление, безопасность, резервирование и
отказоустойчивость, необходимые для простого и эффективного масштабирования и
управления сетями. Вид DWS-4026 представлен на рисунке 26.
Рис. 26 - беспроводной коммутатор DWS-4026.
Большинство из существующих контроллеров сети LAN осуществляет
централизованную обработку трафика, что иногда вызывает его неоправданную
задержку. Коммутаторы DWS-4026 предоставляют пользователям дополнительные функции.
В зависимости от беспроводного приложения, беспроводной трафик может
направляться обратно к коммутатору в целях обеспечения большей безопасности или
локально перенаправляться к точке доступа для оптимальной производительности.
Коммутаторы данной серии предоставляют администраторам максимальную гибкость
благодаря опциям туннелирования трафика клиента к коммутатору для
централизованного управления безопасностью и перенаправления трафика
непосредственно от точки доступа для оптимальной производительности.
поддерживает новейшую функцию Wireless Intrusion Detection System (WIDS),
предназначенную для обнаружения несанкционированных точек доступа и
несанкционированных клиентов, а также различных угроз безопасности беспроводной
сети. С помощью функции WIDS администраторы могут обнаружить различные угрозы и
использовать сканирование радиочастотных каналов для обзора беспроводной сети в
целях предотвращения любых потенциальных угроз безопасности. Другими функциями
безопасности являются WPA/WPA2 Enterprise, 802.11i, адаптивный портал и
аутентификация на основе MAC-адресов. Для проводных клиентов DWS-4026
использует функцию Dynamic ARP Inspection (DAI) и DHCP Snooping для обеспечения
максимальной безопасности. Совместное использование функций Dynamic ARP
Inspection (DAI) и DHCP Snooping предотвращает угрозы самого высокого уровня,
например, “man-in-the-middle” и ARP poisoning. Благодаря поддержке остальных
расширенных функций безопасности, таких как управление доступом 802.1X,
предотвращение атак DoS, управление широковещательным штормом и защищенный
порт, DWS-4026 обеспечивает надежную и централизованную безопасность,
предоставляя максимальную отказоустойчивость сети.
Беспроводные клиенты могут воспользоваться преимуществами гибкого и
непрерывного роуминга между точками доступа, управляемыми коммутатором DWS-4026
даже в том случае, если они не находятся в одной подсети. Так как DWS-4026
использует различные механизмы, такие как предварительная аутентификация и
кэширование ключей, беспроводные клиенты могут свободно перемещаться в зоне
действия сети без необходимости повторной аутентификации. Быстрый роуминг
осуществляется без разрыва соединения, обеспечивая надежную работу соединения
для таких мобильных приложений, как беспроводная IP-телефония и беспроводное
подключение КПК. Более того, DWS-4026 поддерживает функцию туннелирования между
точками доступа, которая используется для поддержки роуминга уровня 3 для
беспроводных клиентов без перенаправления каких-либо данных трафика к
унифицированному коммутатору. Это поможет значительно оптимизировать сетевой
трафик и сохранить полосу пропускания.разработан и оптимизирован для трафика
Voice over Wireless, благодаря таким функциями, как Auto-VoIP и Voice VLAN.
Функция Auto-VoIP согласовывает потоки VoIP и предоставляет им обслуживание
более высокого класса, чем для обычного трафика. Оборудование VoIP использует
популярные протоколы управления вызовом, такие как SIP, H.323 и SCCP. Функция
Voice VLAN позволяет портам коммутатора передавать голосовой трафик с
определенным приоритетом, уровень приоритета обеспечивает разделение речевого
трафика и трафика данных с высоким приоритетом, приходящих на порт. Voice QoS
позволяет администраторам назначать приоритет трафику, чувствительному к
задержкам, и сохранять его целостность.
Помимо этого, DWS-4026 поддерживает функцию формирования трафика, которая
помогает упорядочить пакеты трафика с течением времени, таким образом, скорость
передаваемого трафика ограничена. Другими расширенными функциями QoS являются:
управление полосой пропускания на основе потока, минимальная гарантия по полосе
пропускания и CoS 802.1p. Все эти функции помогают сохранить сетевой трафик
соответствующим образом.поддерживает функцию «самовосстановления» сети,
увеличивающей отказоустойчивость беспроводной сети. Чтобы восполнить
недостаточную зону покрытия в результате выхода из строя точки доступа
(например, из-за сбоя питания), коммутатор автоматически увеличивает выходную
мощность передатчика соседних точек доступа, чтобы увеличить их зону покрытия.
Для обеспечения непрерывного подключения существующих клиентов, коммутатор
выполняет балансировку нагрузки между точками доступа, когда сетевой трафик
достигает определенного порогового значения. В то же время коммутатор отклоняет
подключение новых клиентов к точке доступа для того, чтобы избежать перегрузки
полосы пропускания. Благодаря функции «самовосстановления» сети и балансировке
нагрузки между точками доступа, коммутатор DWS-4026 может эффективно управлять
полосой пропускания, оптимизировать трафик WLAN и обеспечить зону максимального
покрытия.
Помимо функционирования в качестве управляющего устройства в беспроводной
коммутации, DWS-4026 может также использоваться как стандартный проводной
коммутатор уровня 2+ с расширенным функционалом, включая поддержку динамической
маршрутизации пакетов (RIPv1/v2), функции безопасности ACL, многоуровневого
качества обслуживания (QoS), VLAN, IGMP/MLD Snooping. Помимо этого, коммутаторы
поддерживают оптические порты 10-Gigabit. Всё это позволяет предприятию
объединять беспроводную сеть с проводной сетевой инфраструктурой. При замене
существующей инфраструктуры 10/100 Мбит/с для подключения настольных
компьютеров на гигабитное подключение можно использовать коммутатор DWS-4026 в
качестве устройства управления беспроводной сетью, коммутатора LAN или
универсального устройства, выполняющего функции проводного коммутатора и
контроллера беспроводной сети.
Несколько коммутаторов DWS-4026 могут объединяться в кластер, позволяя
администраторам настройку и управление всех коммутаторов с помощью одного
коммутатора «Мастера». Помимо этого, в кластере можно управлять информацией обо
всех точках доступа, а также клиентах, связанных с ними. Это значительно
упрощает управление и позволяет снизить усилия, затрачиваемые на обслуживание
при масштабировании сети.
Общие характеристики представлены в таблице 7.
Таблица 7. - общие характеристики оборудования DWS-4026.
|
Функции управления WLAN
|
+До 64 точек доступа, подключенных к коммутатору + До 256
точек доступа в кластере + До 2048 беспроводных клиентов (1024 пользователей
при использовании туннелирования, 2048 пользователей, если туннелирование не
используется)
|
|
Роуминг
|
+ Быстрый роуминг + Роуминг между коммутаторами и точками
доступа, подключенными к одному коммутатору + Внутри - и Меж- сетевой роуминг
+ Туннелирование между точками доступа
|
+ До 32 SSID на точку доступа (16 SSID на радиочастотный
диапазон) + Балансировка загрузки между точками доступа на основе количества
пользователей или использования точки доступа
|
|
Управляемые точки доступа
|
DWL-8600AP
|
|
Управление точками доступа
|
+ Автоматическое обнаружение точек доступа + Удаленная
перезагрузка точек доступа + Мониторинг точек доступа: список управляемых
точек доступа, несанкционированных и не прошедших аутентификацию точек
доступа + Мониторинг клиентов: список клиентов ассоциированных с каждой
управляемой точкой доступа + Мониторинг клиентов Ad-hoc + Аутентификация
точек доступа с помощью локальной базы данных или внешнего сервера RADIUS +
Централизованное управление каналами/политиками безопасности + Визуальные
инструменты управления точками доступа (Поддержка до 16 jpg-файлов) +
Поддержка унифицированной точки доступа (DWL-8600AP): Управляемый/Автономный
режим
|
|
Функции безопасности WLAN
|
+ Wireless Intrusion Detection
& Prevention System (WIDS) + Минимизация несанкционированных точек доступа +
Классификация несанкционированных и действительных точек доступа на основе
МАС-адреса + WPA Personal/Enterprise + WPA2 Personal/Enterprise + 64/128/152-битное WEP-шифрование
данных + Классификация беспроводных станций и точек доступа на основе канала,
MAC-адреса, SSID, времени + Поддержка типа шифрования: WEP, WPA, Dynamic WEP,
TKIP, AES-CCMP, EAP-FAST, EAP-TLS, EAP-TTLS, EAP- MD5, PEAP-GTC, PEAP-MS-CHAPv2,
PEAP-TLS + Аутентификация на основе МАС-адресов + Изоляция станции
|
|
+ Размер таблицы MAC-адресов: 8K записей + IGMP Snooping:
1K многоадресных групп
|
|
Функции уровня 2
|
+ 8021.D Spanning Tree + 802.1w
Rapid Spanning Tree + 802.1s Multiple Spanning Tree + Link Aggregation
802.3ad: до 32 групп, до 8 портов в группе + 802.1ab LLDP +
LLDP-MED + One-to-One Port Mirroring + Many-to-One Port Mirroring + Размер Jumbo-фреймов: до 9Кб VLAN + 802.1Q VLAN
Tagging + 802.1V + Группы VLAN: до 3965 записей + VLAN на основе подсетей + VLAN на основе
MAC-адреса +
GVRP + Double VLAN + Voice VLAN
|
|
Функции уровня 3
|
+ Статическая маршрутизатизация IPv4 + Размер таблицы
маршрутизации: до 128 статических маршрутов + Плавающие статические маршруты
+ VRRP + Proxy ARP + RIPv1/v2
|
|
Quality of Service (Качество обслуживания)
|
+ Очереди приоритетов 802.1p (до 8 очередей на порт) + CoS на основе: порта коммутатора, VLAN, DSCP, порта TCP/UDP, TOS, MAC-адреса
источника, IP-адреса источника + Auto-VoIP + Минимальная гарантия по полосе пропускания на
очередь + Формирование трафика на порт + Управление полосой пропускания на
основе потока
|
|
ACL (Список управления доступом)
|
ACL на основе: порта коммутатора, MAC-адреса, очередей приоритетов 802.1p, VLAN, Ethertype, DSCP, IP-адреса, типа протокола, номера порта TCP/UDP
|
|
Функции безопасности LAN
|
+ Аутентификация RADIUS при административном доступе + Аутентификация TACACS+ при административном доступе +
Функция Port Security: 20 MAC-адресов на порт, уведомление в случае срабатывания
функции + Фильтрация MAC-адресов
+ Управление доступом 802.1x на
основе портов и Guest
+ Защита от
атак DoS
|
|
+ Dynamic ARP Inspection (DAI) +
DHCP Snooping +
Управление широковещательным штормом: шаг 1 % от скорости канала + Защищенный порт +
DHCP-фильтрация
|
|
Методы управления
|
+ Web-интерфейс
+ Кластеризация коммутаторов + Учетная запись RADIUS + CLI + Сервер Telnet: до 5 сессий + Клиент Telnet + Клиент TFTP + SNMP v1, v2c, v3 +
sFlow + Несколько файлов конфигурации +
Поддержка двух копий ПО (Dual Images) + RMON v1: 4 группы (Statistics (Статистика), History (История), Alarms (Уведомления), Events(События)) + Клиент BOOTP/DHCP + Сервер DHCP + DHCP Relay + SYSLOG + Описание
портов
|
|
Интерфейсы устройства
|
+ 24 порта 10/100/1000BASE-T с
поддержкой PoE 802.3af + 4 комбо-порта SFP + Консольный порт RS-232 + 2 открытых слота для установки дополнительных
модулей с портами 10 Gigabit
|
|
Резервный источник питания
|
Коннектор для подключения источника питания DPS-600
|
|
Power over Ethernet
|
+ Стандарт: 802.3af + Выходная мощность на каждом порту: 15,4Вт + Общая выходная мощность:
370 Вт + Автоотключение порта при значении тока выше 350мА
|
|
Производительность
|
+ Коммутационная матрица: 88 Гбит/с + Макс. скорость
передачи пакетов: 65,47 Mpps
+ Метод коммутации: Store and Forward + Размер буфера пакетов: 750 КБ
|
|
Управление потоком
|
+ Управление потоком 802.3x в режиме полного дуплекса + Метод «обратного
давления» в полудуплексном режиме + Предотвращение блокировок HOL
|
|
Дополнительные uplink-модули с портами 10GE
|
+ DEM-410X Модуль с 1 слотом 10GE XFP (Для подключения к
оптоволоконной магистрали сети) + DEM-410CX Модуль с 1 портом 10GE CX4 (Для
стекирования коммутаторов)
|
|
Дополнительные трансиверы XFP 10GE
|
+ DEM-421XT Трансивер XFP 10GBASE-SR, MMF, макс. расстояние
до 300 м, 3,3/5В + DEM-422XT Трансивер XFP 10GBASE-LR, SMF, макс. расстояние
до10 км, 3,3/5В + DEM-423XT Трансивер XFP 10GBASE-ER, SMF, макс. расстояние
до 40 км, 3,3/5В
|
|
Индикаторы диагностики
|
+ На устройство: Power, Console, RPS + Для порта
10/100/1000BASE-T: Link/Activity/Speed, PoE + Для слота SFP: Link/Activity + Для слота
10 Gigabit: Link/Activity
|
|
Питание
|
+ Питание: внутренний универсальный источник питания от 100
до 240 В переменного тока, 50/60 Гц + Потребляемая мощность: 525 Вт (макс.,
при функционировании всех портов PoE)
|
|
MTBF
|
185,540 часов
|
|
Размеры
|
+ 440 (Ш) x 389 (Г) x 44 (В) мм + Установка в 19” стойку,
высота 1U
|
|
Вес
|
6кг
|
|
Температура
|
+ Рабочая температура: от 0° до 40° C + Температура
хранения: от -10° до 70° C
|
|
Влажность
|
+ Рабочая влажность: от 10% до 90% без образования конденсата
+ Влажность хранения: от 5% до 90% без образования конденсата
|
|
Электромагнитная совместимость
|
FCC Class A, ICES-003, VCCI, CE,
C-Tick, EN 60601-1-2
|
|
Безопасность
|
UL/cUL, CB
|
2.2 Место
реализации проекта
Местом реализации беспроводного доступа в сеть интернет является
Государственное учреждение Республики Татарстан.
В настоящее время развитие традиционных коммутационных систем практически
прекращено. В основном идет процесс адаптации к сетям нового поколения.
Необходимость и актуальность организации сети беспроводного доступа, на
базе технологии Wi-Fi, в учреждении, обусловлена растущей потребностью граждан к
своевременному оказанию услуг и инорматизации. Уровень
информатизации можно повысить с помощью современных услуг связи: высокоскоростной доступ в Интернет.
Для удовлетворения потребности будет использоваться оборудование на базе
стандарта 802.11n (Wi-Fi).
Задачи проекта:
· Развертывание сети беспроводного доступа Wi-Fi в учреждении
Республики Татарстан для оказания актуальных и своевременных услуг.
· Удовлетворение существующего и прогнозируемого спроса на услуги
телекоммуникаций.
Область применения технологий беспроводного доступа Wi-Fi:
· Экономическая нецелесообразность подключения по проводной линии;
· Переход на электронный вид оказания услуг в Республике.
· Обеспечение высокой скорости передачи данных.
.3 Техническое решение проекта
Проект «Беспрводной доступ Wi-Fi в Государственном учреждении Республики Татарстан»
базируется на оборудовании c
поддержкой стандарта 802.11n,
получившим сертификат Wi-Fi. Wi-Fi покрывает всю
территорию и
обьединяет всех пользователей
в единую сеть с доступом в интернет. Сеть осуществляется установленными по всей
территории организации беспроводными унифицированными точками доступа,
управляемыми беспроводным коммутатором.
3. Разработка
структурной схемы организации сети
Беспроводная
сеть, которую планируется реализовать, будет основана на новом стандарте IEEE 802.11n. Сеть будет управляться сервером с помощью беспроводного коммутатора. Так как беспроводной коммутатор и
точки доступа распространяют сигнал сферически, планируется установить три
точки доступа по всей площади учреждения, а беспроводной коммутатор - в
серверном помещении, в центре, для охвата каждой точки доступа. Схема
беспроводной сети представлена на рисунке 27.
Организация сети доступа
· Организовать сеть беспроводного
доступа, для чего приобрести и установить 3 точки доступа DWL-8600AP.
· Беспроводной коммутатор DWS-4026 разместить в рабочем
помещении.
· Настроить беспроводной коммутатор, определить точки доступа. Обеспечить
мониторинг и защиту сети.
· Организация подключения к сети Internet. Доступ к сети Internet организовать
через широкополосный /DSL
модем.
Таблица 8 Потери эффективности сигнала Wi-Fi при
прохождении через различные среды.
|
Препятствие
|
Дополнительные потери (dB)
|
Эффективное расстояние*
|
|
Открытое пространство
|
0
|
100%
|
|
Окно без тонировки (отсутствует металлизированное покрытие)
|
3
|
70%
|
|
Окно с тонировкой (металлизированное покрытие)
|
5-8
|
50%
|
|
Деревянная стена
|
10
|
30%
|
|
Межкомнатная стена (15,2 см)
|
15-20
|
15%
|
|
Несущая стена (30,5 см)
|
20-25
|
10%
|
|
Бетонный пол/потолок
|
15-25
|
10-15%
|
|
Монолитное железобетонное перекрытие
|
20-25
|
10%
|
Эффективное расстояние - означает, насколько уменьшится радиус действия
после прохождения соответствующего препятствия по сравнению с открытым
пространством.
После прохождения одной стеклянной перегородки он уменьшится до 300 м *
70% = 210 метров.
Рис. 27 - Схема беспроводной сети
4. Расчет
эффективной изотропной излучаемой мощности
Эффективная
изотропная излучаемая мощность определяется по формуле:
EIRP =
РПРД - WАФТпрд + GПРД, (3.1)
где РПРД - выходная мощность передатчика, дБм;
WАФТпрд - потери сигнала в АФТ передатчика,
дБ;
GПРД - усиление антенны передатчика, дБи.
Расчет эффективной изотропной излучаемой мощности одной точки доступа
(данные представлены в таблице 9.)
Таблица 9. - Параметры данных
|
Обозначение
|
Наименование
|
Ед. изм.
|
Значение
|
|
РПРД
|
выходная мощность передатчика
|
дБм
|
18
|
|
GПРД
|
коэффициент усиления антенны
|
дБи
|
24
|
|
WАФТпрд
|
потери сигнала передатчика
|
дБ
|
6
|
По формуле (3.1) эффективная изотропная излучаемая мощность составляет:
EIRP =
18 - 6 + 24 = 36 дБм
Определим пропускную способность канала предоставляемого одному абоненту,
зная количество абонентов и пропускную способность данной сети:
5. Расчет
зоны действия сигнала
Эта методика позволяет определить теоретическую дальность работы
беспроводного канала связи, построенного на оборудовании D-LINK. Следует сразу отметить, что расстояние между
антеннами, получаемое по формуле - максимально достижимое теоретически, а так
как на беспроводную связи влияет множество факторов, получить такую дальность
работы, особенно в черте города, увы, практически невозможно.
Для определения дальности связи необходимо рассчитать суммарное усиление
тракта и по графику определить соответствующую этому значению дальность.
Усиление тракта в дБ определяется по формуле:
(3.2)
где
- мощность передатчика;
- коэффициент усиления передающей антенны;
- коэффициент усиления приемной антенны;
- реальная чувствительность приемника;
По графику, приведённому на рисунке 28, находим необходимую дальность
работы беспроводного канала связи.
По графику (кривая для 2.4 GHz)
определяем соответствующую этому значению дальность. Получаем дальность равную
~300 метрам.
Без вывода приведём формулу для расчёта дальности. Она берётся из
инженерной формулы расчёта потерь в свободном пространстве:
(3.3)
Рис. 28 - График для определения дальности работы беспроводного канала
связи.
где: FSL (free space loss) - потери в свободном пространстве (дБ);
F -
центральная частота канала на котором работает система связи (МГц);
D -
расстояние между двумя точками (км).
FSL
определяется суммарным усилением системы. Оно считается следующим образом:
Суммарное усиление = Мощность передатчика (дБмВт) + | Чувствительность
приёмника (-дБмВт)(по модулю) | + Коэф. Уисления антенны передатчика + Коэф
усиления антенны приёмника - затухание в антенно-фидерном тракте передатчика -
затухание в антенно-фидерном тракте приёмника - SOM
Для каждой скорости приёмник имеет определённую чувствительность. Для
небольших скоростей (например, 1-2 мегабита) чувствительность наивысшая: от -90
дБмВт до -94 дБмВт. Для высоких скоростей, чувствительность намного меньше.
В зависимости от марки радио-модулей максимальная чувствительность может
немного варьироваться. Ясно, что для разных скоростей максимальная дальность
будет разной.
SOM (System Operating Margin) - запас в энергетике радиосвязи (дБ). Учитывает
возможные факторы отрицательно влияющие на дальность связи, такие как:
· температурный дрейф чувствительности приемника и выходной
мощности передатчика;
· всевозможные погодные аномалии: туман, снег, дождь;
· рассогласование антенны, приёмника, передатчика с
антенно-фидерным трактом.
Параметр SOM берётся равным 15 дБ. Считается, что 15-ти децибельный запас
по усилению достаточен для инженерного расчета.
В итоге получим формулу дальность связи:
.
=0.25km =
250м
6. Защита беспроводных сетей
.1 Защита информации
По мере увеличения количества поставщиков и производителей, отдающих
предпочтение беспроводным технологиям, последние все чаще преподносятся как
средство, способное спасти современный компьютерный мир от опутывающих его
проводов.
Разработчики беспроводного доступа не заметили подводных рифов в
собственных водах, в результате чего первые робкие попытки беспроводных
технологий завоевать мир провалились. Препятствием для широкого распространения
беспроводных технологий, то есть тем самым «рифом», стал недостаточно высокий
уровень безопасности.
.2 WEP и его
последователи
Поскольку система беспроводной связи, построенная на базе статически
распределяемых среди всех абонентов ключей шифрования WEP и аутентификации по
MAC-адресам, не обеспечивает надлежащей защиты, многие производители сами
начали улучшать методы защиты. Первой попыткой стало увеличение длины ключа
шифрования - с 40 до 128 и даже до 256 бит. По такому пути пошли компании
D-Link, U.S. Robotics и ряд других. Однако применение такого расширения,
получившего название WEP2, приводило к несовместимости с уже имеющимся
оборудованием других производителей. К тому же использование ключей большой
длины только увеличивало объем работы, осуществляемой злоумышленниками, и не
более того.
Понимая, что низкая безопасность будет препятствовать активному
использованию беспроводных технологий, производители обратили внимание на
спецификацию 802.1x, предназначенную для предоставления единого для всех
сетевых технологий в рамках группы стандартов 802 сетевого механизма контроля
доступа. Этот стандарт, называемый также динамическим WEP, применим и к
беспроводным технологиям, что достигается благодаря использованию протокола EAP
(Extensible Authentication Protocol). Данный протокол позволяет устранить
угрозу создания ложных точек доступа, повысить криптографическую стойкость
трафика к взлому и облегчить распределение аутентификационной информации по
абонентам сети беспроводного доступа. Со временем протокол EAP видоизменялся, и
сейчас существует несколько его разновидностей:
• Cisco Wireless EAP (LEAP);
• Protected EAP (PEAP);
• EAP-Transport Layer Security (EAP-TLS);
• EAP-Tunneled (EAP-TTLS);
• EAP-Subscriber Identity Module (EAP-SIM).
Надо заметить, что компания одной из первых реализовала проект этого
стандарта в своем оборудовании Aironet. Клиент 802.1x уже встроен в
операционную систему Windows XP; для других клиентов необходимо дополнительно
устанавливать соответствующее программное обеспечение.
Новизна стандарта 802.1x вызывает при его применении ряд сложностей,
первой по значимости из которых является возможная нестыковка между собой
оборудования различных производителей, а второй - отсутствие клиентов 802.1x
для некоторых типов устройств доступа. Но эти проблемы постепенно решаются, и в
ближайшее время стандарт будет признан и станет повсеместно применяться для
аутентификации беспроводного доступа. Остается, правда, человеческий фактор,
который также мешает повышению защищенности любой технологии, и не только
беспроводной. Например, по данным исследования TNS Intersearch, проводившегося
по заказу Microsoft, из всех компаний, развернувших беспроводные точки доступа
у себя в сети, только 42% задействовали механизмы аутентификации - никакие
технические решения в такой ситуации не помогут.
Однако слабость базовых механизмов защиты не ограничивается одной лишь
аутентификацией. Остаются открытыми вопросы дешифрования трафика, управления
ключами, подмены сообщений и т.п., которые также активно решаются мировым
сообществом. Например, последняя из названных проблем устраняется протоколом
MIC (Message Integrity Check), позволяющим защитить передаваемые пакеты от
изменения.
Слабая криптография WEP постепенно заменяется другими алгоритмами.
Некоторые производители предлагают использовать DES или TripleDES в качестве
альтернативы RC4. Интересное решение представила компания Fortress, которая
разработала протокол канального уровня wLLS (wireless Link Layer Security),
базирующийся:
• на алгоритме обмена ключами Диффи-Хеллмана;
• 128-разрядном шифровании IDEA (опционально могут использоваться также
DES и 3DES);
• динамической смене ключей через каждые два часа;
• использовании двух пар ключей (для шифрования сетевого трафика и
шифрования при обмене ключами).
Применение одного и того же ключа шифрования WEP приводило к накапливанию
злоумышленником объема данных, достаточного для взлома используемой
криптографии. Решением проблемы стала динамическая смена ключей, которую одной
из первых реализовала компания Fortress в своем протоколе wLLS. Сменяемые через
каждые два часа ключи усложняли работу криптоаналитика.
Второй подход, предложенный в протоколе TKIP (Temporal Key Integrity
Protocol), заключается в смене ключей через каждые 10 Кбайт переданных данных.
Этот протокол, заменив статический ключ шифрования динамически изменяющимися и
распределяемыми по клиентам, позволил увеличить их длину - с 40 до 128 бит. При
этом RC4 по-прежнему оставался алгоритмом шифрования.
Многие производители делают ставку на более сложный алгоритм AES (длина
ключей шифрования 128, 192 или 256 бит), ставший национальным стандартом
шифрования США. Однако его внедрение потребует реализации новых микросхем в
оборудовании, что, в свою очередь, скажется на его цене и на стоимости перехода
на новую версию.
Новые алгоритмы и протоколы значительно повышали защищенность
беспроводных технологий и способствовали их более широкому распространению,
однако они плохо интегрировались друг с другом, а оборудование, их
использующее, стыковалось только после приложения серьезных усилий. Устранить
все эти недостатки позволяет стандарт WPA (Wi-Fi Protected Access),
анонсированный альянсом Wi-Fi (бывший WECA) 31 октября 2002 года. Данный
стандарт призван унифицировать все технологии безопасности для беспроводных
сетей 802.11. В настоящее время в этот стандарт входят:
• аутентификация пользователей при помощи 802.1x и EAP;
• шифрование при помощи TKIP;
• динамическое распределение ключей при помощи 802.1x;
• контроль целостности при помощи MIC (он же Michael).
В этом году стандарт WPA должен преобразоваться в более новую и
расширенную спецификацию 802.11i (или WPA2). Именно в WAP2 алгоритм шифрования
WEP будет заменен на AES.
.3
Программное обеспечение
Решения предлагаются различными производителями для защиты беспроводных
сетей. Программное обеспечение позволяет достичь трех целей:
найти чужих, то есть провести инвентаризацию беспроводной сети с целью
обнаружить любые несанкционированные точки доступа и беспроводных клиентов,
которые могут прослушивать трафик и вклиниваться во взаимодействие абонентов;
проверить своих, то есть проконтролировать качество настройки и
порекомендовать способы устранения дыр в санкционировано установленных
беспроводных устройствах;
защитить своих, то есть предотвратить несанкционированный доступ и атаки
на узлы беспроводного сегмента сети (рис. 29).
Рис. 29 - Беспроводная сеть
.4 Проверка
беспроводной сети
Первую, и самую распространенную, задачу можно решить с помощью
достаточно большого количества инструментов - NetStumbler, Wellenreiter,
WifiScanner и др., а также с помощью сканеров безопасности беспроводных сетей и
ряд систем обнаружения атак.
Пионером среди средств инвентаризации беспроводных устройств является
NetStumbler, который запускается под Windows 9x/2000/XP и позволяет не только
очень быстро находить все незащищенные беспроводные точки доступа, но и
проникать в сети, якобы защищенные с помощью WEP. Аналогичные задачи решают
WifiScanner, PrismStumbler и множество других свободно распространяемых
продуктов. В этом плане интересна система Wellenreiter, которая также ищет
беспроводных клиентов и точки доступа. Однако если подключить к ней GPS-приемник,
система приобретает поистине безграничные возможности: вы сможете не только
определить все несанкционированно установленные беспроводные устройства, но и
узнать их местонахождение с точностью до метра. Еще одной отличительной
особенностью этой системы является ее способность работать под управлением
карманного компьютера.
В наглядном виде представляет результаты своей работы система Red-Vision
от компании red-M, которая не только обнаруживает все точки доступа, но и
визуально размещает их на схеме помещения вашей компании. В рекламных
проспектах red-M пользователям обещают: «Мы откроем вам глаза на беспроводные
технологии!»
.5 Анализ
защищенности беспроводных устройств
Поиск дыр в беспроводных устройствах осуществляют многие утилиты и
инструменты, но, как правило, поиск дыр ограничивается попыткой взлома ключей
шифрования WEP, и не более того. По такому принципу, например, действуют
AirSnort и WEPCrack.
Более интересен специализированный инструментарий, обеспечивающий
всесторонний аудит беспроводных устройств. Таких продуктов сегодня немного.
Если быть точным, то только один - Wireless Scanner от компании Internet
Security Systems, вид интерфейса системы Wireless Scanner представлен на
рисунке 30
Эта система, базирующаяся на широко известном и самом первом в мире
сетевом сканере безопасности Internet Scanner, проводит инвентаризацию сети и
обнаруживает все санкционировано и несанкционированно установленные
беспроводные точки доступа и клиенты.
Рис. 30 - Интерфейс системы Wireless Scanner.
После этого проводится всесторонний анализ каждого устройства с целью
определения любых слабых мест в системе защиты - недостатков в настройке или
ошибок программирования. В базу сигнатур уязвимостей Wireless Scanner входит
большое число записей о дырах в решениях ведущих игроков этого рынка - Cisco,
Avaya, 3Com, Lucent, Cabletron и т.д. В гораздо меньшем объеме проверку
проводит Wireless Security Auditor (WSA) - программный продукт от компании IBM.
Пока это только прототип, и трудно сказать, каков будет окончательный результат
усилий разработчиков. Как и вышеназванные системы, WSA проводит инвентаризацию
сети и анализирует конфигурацию обнаруженных устройств в плане безопасности.
.6
Обнаружение атак на беспроводные сети
После обнаружения чужих устройств и устранения дыр в своих перед
пользователями встает задача обеспечения непрерывной защиты беспроводной сети и
своевременного обнаружения атак на ее узлы. Эту задачу решают системы
обнаружения вторжений, коих тоже существует достаточно, чтобы задуматься над
выбором. Применительно к беспроводным сетям очень трудно провести грань между
сканером, инвентаризирующим сеть, и системой обнаружения атак, так как под
обнаружением большинство производителей понимают идентификацию несанкционированных
точек доступа. Отличие между ними заключается только в том, что сканеры
выполняют эту задачу по команде или через заданные интервалы времени, а системы
обнаружения контролируют сеть постоянно.
Система Airsnare от компании Digital Matrix. Она отслеживает MAC-адреса
всех пакетов, передаваемых в беспроводном сегменте, и в случае обнаружения
чужих адресов сигнализирует об этом, а также позволяет определить IP-адрес
несанкционированно подключенного узла. В комплект поставки входит интересный
модуль AirHorn, который позволяет послать злоумышленнику сообщение о том, что
он вторгся в чужие владения, и стоит поскорее их покинуть, если ему не нужны
лишние проблемы.
Лидером рынка беспроводной безопасности можно назвать систему Airdefense
одноименной компании, которая позволяет:
• автоматически обнаруживать все подключенные к сети беспроводные
устройства;
• строить карту сети с указанием точек расположения беспроводных
устройств;
• отслеживать изменения (отключено, украдено, выведено из строя и т.д.) в
составе беспроводных устройств;
• контролировать сетевой трафик, передаваемый в беспроводном сегменте, и
обнаруживать в нем различные аномалии;
• собирать информацию для проведения расследований, связанных с
несанкционированной активностью;
• обнаруживать различные атаки и попытки сканирования;
• отслеживать отклонения в политике безопасности и настройках
беспроводных устройств.
7. Экономическая часть
.1 Определение экономической эффективности проекта
Маркетинг - вид человеческой деятельности, направленной на удовлетворение
нужд и потребностей посредством обмена.
Маркетинговые исследования - наиболее действенный инструмент для
получения обратной связи с рынком. Маркетинговые исследования позволяют
предприятию комплексно подойти к выработке маркетинговой стратегии.
При проведении маркетинговых исследований используются комплексные методы
- первичные исследования, интервьюирование, анализ различных баз данных.
Обязательным этапом подготовки маркетингового исследования является разработка
технического задания. Оно включает в себя описание, уточнение и формулировку
проблемы исследования, формулировку гипотез, постановку целей и задач
маркетингового исследования, а также уточнение результатов.
На основе анализа данных маркетинговых исследований и обработки
информации о маркетинговой среде, полученной из разнообразных источников
принимаются решения о формировании рынка: сегментировании рынка, т.е.
расчленение его на группы потребителей, об объемах их спроса на традиционные
услуги и разработке и внедрении новых видов услуг, об установлении цен, о
конкурентах, поставщиках.
Обращение к маркетинговой концепции позволяет повысить эффективность
работы предприятий, оптимизировать инвестиционные решения, устранить
диспропорции (между спросом и предложением, в ресурсах производства), быстрее
развивать новые виды услуг благодаря постоянной обратной связи и комплексному
подходу к решению насущных для предприятия проблем. Результаты маркетинговых
исследований помогут определить предприятиям их положение на рынке, выявить
главных потребителей услуг и их отношение к конкретной услуге, оценить
деятельность конкурента. Последнее направление исследования достаточно важно,
ибо теперь на рынке услуг связи, где еще недавно властвовали предприятия
монополисты, появилась конкуренция.
Учитывая тот факт, что на этапе проектирования трудно определить все
характеристики, при расчете затрат на проектирование будем использовать
укрупненный метод расчета.
.1.1 Расчёт затрат на маркетинговые исследования
Затраты на проведение маркетинговых исследований включают в себя:
- Затраты на изучение теории маркетинга;
- Затраты на получение информации;
· Затраты на изучение теории маркетинга:
- Основная заработная плата инженера:
- Время, потраченное на изучение теории маркетинга,
ч.
- Тарифная ставка на один час работы инженера,
руб.
руб.
- Дополнительная заработная плата:
руб.
где
- Норматив дополнительной заработной платы, равный 50%
(0,5).
- Отчисления на социальный налог:
руб.
где
- Норматив отчислений на социальные нужды, равный 34%
(0,34).
- Затраты на интернет:
- Время нахождения в интернете,
ч.
- Цена интернета в час,
= 20 руб./ч.
руб.
- Затраты на машинное время (ЭВМ):
- Время, затраченное на работу, на ЭВМ,
ч.
- Цена одного часа работы на ЭВМ:
руб. - Стоимость компьютера;
лет - Срок использования компьютера.
На каждый год приходиться:
руб.
В год в среднем машинное время составляет:
ч. (269 дней
6ч/д.)
руб.
руб.
- Затраты на электроэнергию:
- Время работы компьютера,
ч.
- Энергетические затраты на работу компьютера в час:
- Мощность блока питания компьютера,
кВт/ч.
- Цена одного кВт,
руб.
руб./ч.
руб.
- Накладные расходы:
- Коэффициент накладных расходов от величины заработанной
платы, примем равным 80% (0,8).
руб.
руб.
· Затраты на получение информации (поиск в интернете):
- Основная заработная плата инженера:
- Время, затраченное на поиски информации (на интернет
затрачено 4 дня по 8 ч),
ч.
- Тарифная ставка на один час работы инженера,
р.
руб.
- Дополнительная заработная плата:
руб.
где
- Норматив дополнительной заработной платы, равный 50%
(0,5).
- Отчисления на социальный налог:
руб.
- Затраты на интернет:
ч.
руб.
- Затраты на машинное время (ЭВМ):
ч.
руб.
- Затраты на электроэнергию:
ч.
руб.
- Накладные расходы:
руб.
руб.
В итоге, подставив все найденные значения в формулу (2.1) получаем:
руб.
.1.2 Расчёт затрат на проектирование
Затраты на конструкторские разработки вытекают из трудоемкости разработки
(
), которая, в свою очередь, включает в
себя:
- Затраты на оформление плакатов (чертежей), руб.;
- Затраты на выполнение текстовых документов, руб.;
- Затраты на оформление материалов и выполнение расчетов,
руб.;
- Затраты на проверку пояснительной записки, руб.;
- Затраты на нормоконтроль, руб.;
(2.2)
· Затраты на оформление плакатов (чертежей):
Коэффициент трудоемкости разработки чертежа (
):
Коэффициент сложности определяется
характеристикой чертежа:
Ксл = 0,7 - Детали из листа, проката,
сварные узлы;
Ксл = 0,8 - Монтажные схемы;
Ксл = 1,5 - Пружины, литье и штамповочные
детали, принципиальные схемы;
Ксл = 2,0 - Общие виды, установочные
чертежи, крупные сборочные чертежи;
Ксл = 1,0 - Прочие чертежи.
Трудоемкость выполнения работ с учетом квалификации исполнителей
рассчитывается по нормативам:
Таблица 2.1
|
Квалификация исполнителя
|
Детали
|
Узлы
|
|
Коэффициент трудоемкости
|
Трудоемкость, ч.
|
Коэффициент трудоемкости
|
Трудоемкость, ч.
|
|
Техник
|
<3
|
2,5×(Кт-1)
|
<2
|
8×(Кт-1)
|
|
3-8
|
3,3×(Кт-1)
|
2-6
|
12×(Кт-1)
|
|
Старший техник
|
<6
|
2,5×(Кт-1)
|
<3
|
8×(Кт-1)
|
|
6-12
|
2,5×(Кт-1)
|
3-8
|
10×(Кт-1)
|
Выберем норму времени на разработку конструкторских документов:
Таблица 2.2
|
№ п/п
|
Чертежи
|
Кол-во
|

|
|
|
|
|
1
|
Схема структурная
|
1
|
1
|
-
|
-
|
1
|
13
|
|
2
|
Схема принципиальная
|
1
|
1
|
-
|
-
|
1
|
14
|
|
3
|
Схема организации связи
|
1
|
1
|
-
|
-
|
1
|
24
|
|
4
|
Плакат древа отказов
|
1
|
1
|
-
|
20
|
0,6
|
20
|
|
5
|
Плакат экономической эффективности
|
1
|
1
|
-
|
28
|
0,6
|
30
|
|
Итого:
|
101
|
Таким образом,
- Затраты на покупку и распечатку плакатов:
- Количество плакатов А1,
- Цена одного листа бумаги формата А1,
руб.;
- Стоимость распечатки формата А1,
руб.
руб.
- Основная заработная плата инженера - разработчика:
- Время, затраченное на оформление чертежей (плакатов),
ч.;
- Тарифная ставка на один час работы инженера-разработчика,
р.
руб.
- Дополнительная заработная плата:
руб.
- Отчисления на социальный налог:
руб.
- Затраты на канцелярские товары:
- Количество товара, шт.;
- Цена товара, руб.
Таблица 2.3
|
Обозн.
|
Статьи затрат
|
Кол-во товара, N, шт.
|
Цена за единицу товара, , руб.
|
Общая сумма затрат, руб.
|
|
|
Картридж для принтера
|
1
|
500
|
500
|
|
|
Лист ватмана (А1)
|
5
|
15
|
75
|
|
|
Карандаш
|
1
|
2
|
2
|
|
Итого
|
577
|
руб.
- Затраты на машинное время (ЭВМ):
ч.
руб.
- Затраты на электроэнергию:
ч.
руб.
- Накладные расходы:
= 80%.
руб.
руб.
·
Затраты на
выполнение текстовых документов:
Трудоемкость выполнения текстовых документов определяется по нормативам в
зависимости от вида документа:
Трудоемкость составления ведомости покупных изделий- 4ч.
Трудоемкость составления перечня чертежей - 3ч.
Трудоемкость составления технического описания -12 ч.
ч.
- Основная заработная плата инженера - разработчика:
- Время, затраченное на выполнение текстового документа,
ч.
- Тарифная ставка на один час работы инженера-разработчика,
р.
руб.
- Дополнительная заработная плата:
руб.
- Отчисления на социальный налог:
руб.
- Затраты на покупку и распечатку листов формата А4:
- Количество листов,
- Цена одного листа формата А4,
руб.
- Стоимость распечатки листа формата А4,
руб.
руб.
- Затраты на канцелярские товары:
Таблица 2.4
|
Обозначение
|
Статьи затрат
|
Количество товара, N, шт.
|
Цена за единицу товара, , руб.
|
Общая сумма затрат, руб.
|
|
|
шариковая ручка
|
1
|
8
|
8
|
|
|
карандаш
|
1
|
2
|
2
|
|
|
ластик
|
1
|
10
|
10
|
|
|
черновая бумага формата А4
|
100
|
0,4
|
40
|
|
Итого
|
60
|
руб.
- Затраты на машинное время (ЭВМ):
ч.
руб.
- Затраты на электроэнергию:
ч.
руб.
- Накладные расходы:
руб.
руб.
·
Затраты на
оформление материалов и выполнение расчетов:
Нормы времени на выполнение исполнителем текстовых материалов и расчетов
зависят от вида работ:
где
- Количество текстовых материалов на каждый вид выполняемой
работы;
- Норма времени на вид выполняемой работы, ч;
- Количество видов выполняемой работы.
1. Обзор литературы, теоретическое освещение вопросов - 24 ч.
2. Расчет по формулам - 22 ч.
3. Расчет с использованием таблиц - 12 ч.
4. Таблицы исходных данных - 18 ч.
5. Вычерчивание схем и эскизов - 25 ч.
6. Оформление начисто - 12 ч.
ч.
- Основная заработная плата инженера - разработчика:
- Время, затраченное на оформление материалов и выполнение
расчетов,
ч.
- Тарифная ставка на один час работы инженера-разработчика,
р.
руб.
- Дополнительная заработная плата:
руб.
- Отчисления на социальный налог:
руб.
- Затраты на канцелярские товары:
Таблица 2.5
|
Обозн.
|
Статьи затрат
|
Количество товара, N, шт.
|
Цена за единицу товара, , руб.
|
Общая сумма затрат, руб.
|
|
|
компакт диск CD -
R
|
1
|
12
|
12
|
|
|
шариковая ручка
|
1
|
8
|
8
|
|
|
черновая бумага формата А4
|
130
|
0,4
|
52
|
|
|
инженерный калькулятор
|
1
|
185
|
185
|
|
Итого
|
257
|
руб.
- Затраты на машинное время (ЭВМ):
ч.
руб.
- Затраты на электроэнергию:
ч.
руб.
- Накладные расходы:
руб.
руб.
·
Затраты на
проверку пояснительной записки:
На проверку технической документации дополнительно предусматривается
время, которое распределяется следующим образом.
Проверка чертежей - 4 часа, проверка технических документов - 3 часа.
часов.
- Основная заработная плата инженера - разработчика:
- Время, затраченное на проверку пояснительной записки.
- Тарифная ставка на один час работы инженера-разработчика,
р.
руб.
- Дополнительная заработная плата:
руб.
- Отчисления на социальный налог:
руб.
- Затраты на машинное время (ЭВМ):
ч.
руб.
- Затраты на электроэнергию:
ч.
руб.
- Накладные расходы:
руб.
·
Затраты на
нормоконтроль:
Время на выполнение нормоконтроля определяется по формуле:
- Норматив контроля, 5-10%
- Рассчитанная трудоемкость работ, ч.
ч.
ч.
- Основная заработная плата инженера - разработчика:
- Время, затраченное на нормоконтроль;
- Тарифная ставка на один час работы инженера-разработчика,
р.
руб.
- Дополнительная заработная плата:
руб.
- Отчисления на социальный налог:
руб.
- Накладные расходы:
руб.
В итоге, подставив все найденные значения в формулу (2.2) получаем:
руб.
.2 Расчёт затрат на оборудование и техническую оснастку
.2.1 Затраты на приобретение оборудования
Цены на оборудование взяты из интернета.
Таблица 2.6
|
Наименование
|
Стоимость ед. оборудования, руб.
|
Кол-во,
шт.
|
Общая ст-ть, руб.
|
|
Коммутатор DWS-4026
|
180157
|
1
|
180157
|
|
Роутер DWL-8600AP
|
16490
|
3
|
49470
|
|
Модем DSL-2500U
|
800
|
1
|
800
|
|
USB адаптер D-Link DWA-125
|
400
|
150
|
60000
|
|
Итого
|
290427
|
= 290427
руб.
Затраты на приобретение оборудования (
.) состоят из следующих составляющих:
стоимость оборудования и его монтажа (10% от стоимости оборудования);
транспортные и заготовительно - складские расходы (2,5% от стоимости
оборудования);
Стоимость монтажа:
Транспортные и заготовительно-складские расходы:
Итого затраты на оборудование:
7.2.2 Затраты на составление инструкции по эксплуатации
Так как в данном дипломном проекте мы разрабатываем услугу, то необходимо
составить инструкцию по эксплуатации:
- Затраты на составление инструкции по эксплуатации:
- Затраты на приобретение канцелярских товаров для
составления инструкции по эксплуатации:
Таблица 2.7
|
№ п/п
|
Наименование
|
Количество
|
Цена за ед., руб.
|
Общая сумма, руб.
|
|
1
|
Бумага
|
1 уп.
|
185р/уп
|
185
|
|
2
|
Ручка
|
1
|
8
|
8
|
|
3
|
Карандаш
|
1
|
6
|
6
|
|
Итого:
|
199
|
руб.
- Основная зарплата инженера:
- Трудоемкость составления инструкции, ч.:
- Тарифная ставка на один час работы инженера-разработчика:
руб.
руб.
- Дополнительная зарплата:
руб.
- Отчисления на социальные нужды:
руб.
- Затраты на машинное время (ЭВМ):
ч.
руб.
- Затраты на электроэнергию:
ч.
руб.
- Накладные расходы:
руб.
Итого затраты на составление инструкции по эксплуатации:
руб.
7.2.3 Затраты на получение сертификата
Затраты на приобретение сертификата составляют около 10% от маркетинговых
и конструкторских затрат.
Итоговые затраты на оборудование и техническую оснастку:
руб.
.3 Формирование цены услуги
.3.1 Составление калькуляции на единицу услуги
Стоимость единицы услуги будет определяться исходя из затрат на передачу
информации. Единицей услуги будет 1 месяц.
Таблица 2.8
|
Наименование услуги
|
Стоимость услуги, руб.
|
Средний потребляемый объем за месяц
|
Среднее кол-во абонентов
|
Итого за месяц (руб)
|
|
Предоставление Internet
|
5 руб/Мбайт
|
100 Мбайт
|
200
|
100000
|
Стоимость единицы услуги будет определяться исходя из затрат за один
день.
Плановая калькуляция себестоимости на единицу услуг:
Таблица 2.9
|
№
|
Статья калькуляции
|
Ст-ть, руб
|
|
1
|
Материальные затраты:
|
-
|
|
-Сырье и материалы
|
|
|
-Транспортно-заготовительные расходы
|
|
|
2
|
Заработная плата основных производственных рабочих
|
154
|
|
3
|
Отчисления на социальные нужды
|
25
|
|
5
|
Амортизационные отчисления:
|
70
|
|
-На полное восстановление основных производственных фондов
|
|
|
-Отчисления в резерв ремонтного фонда
|
|
|
6
|
Расходы на содержание и эксплуатацию оборудования
|
36,5
|
|
7
|
Цеховые расходы
|
50
|
|
8
|
Общехозяйственные расходы
|
60
|
|
9
|
Энергия
|
13
|
|
10
|
Тара и упаковка
|
-
|
|
11
|
Итого производственная себестоимость
|
412,25
|
|
12
|
Коммерческие расходы
|
12,75
|
|
13
|
Итого полная себестоимость
|
425
|
|
14
|
Прибыль
|
75
|
|
15
|
Договорная оптовая цена
|
500
|
.3.2 Амортизация
Коэффициент берется равным 10%:
руб.
руб./день.
Затрата на ремонт (10%):
руб./день.
Сырье и материалы берем примерно равными затратам на ремонт
= 8 руб./день.
.3.3 Заработная плата
При определении годового фонда заработной платы работников, исходными
данными являются численность производственных работников, их должностной состав
и месячные должностные оклады, для обслуживания единицы оборудования связи
необходим 1 сотрудник.
·
Оклад ведущего
инженера составляет 14000 руб./мес.
На один день: 14000/23 = 609 руб./день.
Отчисления на социальный налог
руб./день.
Затраты на оплату труда составляют:
руб./день.
Отчисления на социальный налог составляют:
руб./день.
Накладные расходы:
руб/день.
.4 Расчёт эффективности капитальных вложений
.4.1 Объём оказываемых услуг в год
где
- объем оказываемых услуг в год.
- количество дней (месяцев).
=
интернет - цена услуги в день (в месяц)
руб.
руб.
.4.2 Общая прибыль
где
- общая прибыль.
месяцев.
-прибыль в год,
руб.
руб.
Прибыль, остающаяся у предприятия.
Отчисления в бюджет
(24%) =
руб.
Прибыль предприятия
(76%) =
руб.
.4.3 Срок окупаемости услуги
год.
8. Раздел «Безопасность Жизнедеятельности»
.1 Отказ сети Wi-Fi
Подготовка к чрезвычайным ситуациям - вопрос, о котором легко забывают
системные администраторы, так как он не очень приятен и всегда находятся
какие-то другие вопросы, требующие решения. Однако отнестись к этому вопросу
небрежно - это худшая ошибка, которую может допустить системный администратор.
Если рассматривать чрезвычайные ситуации, обычно первыми приходят в
голову драматические события (как, например, пожар, наводнение или ураган), но
и мирские проблемы (например, строители повредили кабель или кто-то не закрыл
воду и устроил потоп) также могут быть разрушительными. Поэтому системный
администратор должен определить для себя чрезвычайную ситуацию как любое
незапланированное событие, прерывающее обычную работу организации.
Перечислить все типы чрезвычайных ситуаций, которые могут произойти,
невозможно, поэтому в этом разделе рассматриваются факторы, которые могут
привести к разного рода чрезвычайным ситуациям, чтобы угрозу этих ситуаций
можно было оценить не с точки зрения вероятности, а с точки зрения этих
факторов.
Используя метод анализа риска «Что произойдет, если», рассмотрим события,
которые могут привести к отказам в беспроводных сетях Wi-Fi (таблица 8.1).
На рисунке 8.1 приведены события отсутствия доступа к сети Wi-Fi, с помощью метода «древовидная структура». Все эти причины,
отраженные в «древовидной структуре» не являются неразрешимыми, но требуют
постоянного внимания к ним от обслуживающего персонала данной сети,
приступающих к построению и эксплуатации сетей в условиях конкурентного
противостояния с операторами, использующими те же или сходные технологии.
Таблица 8.1 «Что произойдет, если»
|
«Что произойдёт, если»
|
Причины
|
Последствия
|
Меры безопасности
|
Действия
|
|
Отказ точки доступа (отказ роутера)
|
Конструктивные дефекты обусловлены неоптимальным выбором
структуры изделия, ошибками в выборе конструктивных форм и размеров деталей,
ошибками в выборе материалов деталей и подборе комплектующих элементов.
Дефекты эксплуатационного характера обусловлены нарушением правил
эксплуатации изделия, условий хранения и транспортировки, интенсивным
использованием изделия, естественным износом.
|
Нарушение в работе сети, нарушение нормального обслуживания
пользователей.
|
Сбор информации о состоянии системы или ее составляющих в
настоящий момент времени путем измерения их параметров и специальных
испытаний. Угрозу отказа оборудования можно сократить, имея в наличии
запасное оборудование.
|
Мониторинг работы узлов сети, благодаря чему всегда
доступна информация о текущем состоянии системы. Профилактическое
обслуживание. Внешний осмотр и чистка оборудования.
|
Рисунок 3.1 Древовидная структура «Отказ точки доступа».
Заключение
В своем дипломном проекте я произвела обоснование «Проектирования
беспроводной сети Wi-Fi в Государственном учреждении
Республики Татарстан» на основе стандарта 802.11n. В работе сделан анализ сети беспроводного доступа Wi-Fi. В выборе
оборудования для реализации проекта предпочтение было отдано в пользу фирмы D-Link. Обоснование выбора оборудования производилось с учетом: технических характеристик, возможностии применения, стоимостии и так далее. В технической части
проекта рассмотрен вариант построения сети беспроводного доступа с установлением трех точек доступа. Выбор обусловлен
условиями технических параметров оборудования. В расчетной части дипломного
проекта произведены расчеты эффективной изотропной излучаемой мощности и зона
покрытия сети.
В экономическом разделе был проведен сравнительный экономический анализ
вариантов организации беспроводной связи.
В разделе безопасность жизнедеятельности приведены примеры профилактики
работоспособности беспроводной сети Wi-Fi.
Список литературы
1. Олифер В.Г., Олифер Н.А. Компьютерные сети. Принципы,
технологии, протоколы. Учебник. - Санкт-Петербург, Питер, 2001г.
. Щербо В.К. Стандарты вычислительных сетей. - М.: Кудиц -
Образ, 2000г.
. «Основы построения беспроводных локальных сетей стандарта
802.11. Практическое руководство по изучению, разработке и использованию
беспроводных ЛВС стандарта 802.11» / Педжман Рошан, Джонатан Лиэри. - М.: Cisco
Press Перевод с английского Издательский дом «Вильямс»,2004г.
. «Современные технологии беспроводной связи» / Шахнович И. -
М.: Техносфера, 2004г.
. «Сети и системы радиодоступа» / Григорьев В.А., Лагутенко
О.И., Распаев Ю.А. - М.: Эко-Трендз, 2005г.
. «Анатомия беспроводных сетей» / Сергей Пахомов. -
Компьютер-Пресс, №7, 2002 г.
. «WLAN: практическое руководство для администраторов и
профессиональных пользователей» / Томас Мауфер. - М.: КУДИЦ-Образ, 2005 г.
. «Беспроводные сети. Первый шаг» / Джим Гейер. - М.:
Издательство: Вильямс, 2005 г.
. «Секреты беспроводных технологий» / Джек Маккалоу. - М.:
НТ-Пресс, 2005 г.
«Современные технологии и стандарты подвижной связи» /
Кузнецов М.А., Рыжков А.Е. - СПб.: Линк, 2006 г.
. «Базовые технологии локальных сетей» / В.Г. Олифер, Н.А.
Олифер. - СПб.: Питер, 1999 г.
. Сайт компании Aperto Networks
. Шахнович С. Современные беспроводные технологии. - ПИТЕР,
2004 г.