Арбитражные ситуации в букмекерских конторах

  • Вид работы:
    Дипломная (ВКР)
  • Предмет:
    Информационное обеспечение, программирование
  • Язык:
    Русский
    ,
    Формат файла:
    MS Word
    1011,88 Кб
  • Опубликовано:
    2014-08-27
Вы можете узнать стоимость помощи в написании студенческой работы.
Помощь в написании работы, которую точно примут!

Арбитражные ситуации в букмекерских конторах

ВВЕДЕНИЕ


В данной дипломной работе рассматриваются арбитражные ситуации, возникающие в букмекерских конторах.

Арбитраж (surewins, surebets, вилки) - ситуация, которая появляется между букмекерскими конторами из-за разницы оценок одного и того же спортивного события. При такой ситуации игроку совершенно не важно, как закончится это спортивное событие, так как свою прибыль игрок получает вне зависимости от его исхода. Арбитражные ситуации также возникают при игре на бирже и на фондовом рынке. Суть арбитражной ситуации: найти такие коэффициенты на спортивное событие, при которых, ставя определенные суммы на каждый возможный исход, игрок оказывается в плюсе при любом исходе этого события. Также в данной работе рассматривается метод ставок, под названием «Критерий Келли». Суть этого метода заключается в том, чтобы помочь игрокам определиться с суммой ставки на каждое отдельное событие, переоцененное букмекерами (на взгляд игрока). То есть получить теоретический перевес над букмекерской линией.

Основные цели данной работы:

дать краткое понятие букмекерским конторам, показать, как они работают;

математически обосновать арбитражную ситуацию (вилку);

дать краткое понятие метода ставок «критерий Келли»;

математически обосновать этот метод;

разработать программу, которая будет рассчитывать прибыль вилки, и реализовать её на языке программирования в среде Delphi.

разработать программу, которая будет рассчитывать сумму ставки игрока, использующего метод «Критерий Келли», и реализовать её на языке программирования в среде Delphi.

Что касается практического применения данных программ, в настоящее время интерес к спортивным событиям постоянно усиливается, и это обусловливает и поддерживает развитие букмекерских контор, предлагающих ставки на спорт.

Растет количество букмекерских контор, а вместе с ним растет количество арбитражных ситуаций. Сейчас почти все конторы дают возможность игрокам поставить на спортивные события через интернет, то есть, не выходя из дома. В данном дипломе будет показано, что любой человек, обладающий минимальным количеством знаний о ставках на спорт, и обладающий набором некоторых математических знаний, может зарабатывать деньги.

 

ГЛАВА I. БУКМЕКЕРСТВО

 

§ 1.1 История возникновения букмекерских контор


Страсть к азартным играм с давних пор присуща человеку. Всевозможные споры и пари заключались еще в древнейшие времена. Да что говорить - многие древние мифы и легенды разных народов свидетельствуют, что поспорить любили даже боги! Постепенно нашлись люди, которые стали извлекать выгоду из чужих споров, принимая у спорщиков денежные ставки. История возникновения профессии спорщика-профессионала доподлинно неизвестна, однако согласно сохранившимся историческим сведениям первые из них принимали ставки на Олимпийских играх в Древней Греции, гладиаторских боях в Древнем Риме, турнирах средневековых рыцарей. Сегодня их называют букмекерами - от английского слова bookmaker, что значит «делать, вести книгу». Дело в том, что у каждого букмекера был специальный блокнот, куда он заносил все данные о принятых ставках. Игра со ставками и прогнозированием того или иного исхода спортивного состязания или какого-то другого события стала называться тотализатором. Традиционно первые тотализаторы появились на ипподромах Древнего Рима. Аристократия с удовольствием делала ставки на того или иного наездника. Позже появились петушиные бои, вследствие чего возникли тотализаторы для низшего сословия. Вскоре споры на деньги стали неотъемлемой частью спортивных и, к сожалению, около спортивных соревнований и развлечений. Окончательно же букмекерство как профессия сформировалось в Англии, где и возникли первые в мире букмекерские конторы. Англичане всегда отличались любовью к лошадям и конному спорту. В 1766 году в Лондоне конюхом Ричардом Таттесолом был организован аукцион породистых лошадей, который проводился в Гайд-Парке в специально отведенных помещениях. При этом пара помещений была отдана Жокей-клубу, членами которого являлись знатные владельцы лошадей и организаторы лошадиных бегов. Собиравшиеся джентльмены общались, наблюдали за бегами и заодно делали ставки на лучших участников. Букмекеры 18-го века принимали ставки на гандикап, где соревновались участники различного класса. Такой род скачек изначально предполагал разные возможности лошадей, поэтому, чтобы уравнять шансы, слабые получали фору во времени или расстоянии. Данная ситуация вызывала нешуточные споры и в конце концов привела к появлению так называемых «честных букмекеров». Ими стали англичане Фред Суиндолл и Левиафан Дэвис. Примерно в 1860-х годах они распространяют среди лондонцев «листы шансов», где каждый мог предположить, кто победит на скачках. Ставки стали приниматься с оценкой шансов на выигрыш того или иного участника. Букмекеры принимали ставки, распоряжались выдачей выигрыша и получали неплохую комиссию. Позднее суммы выигрыша стали рассчитываться в зависимости от суммы ставки и коэффициента. В скором времени помимо простых появились сложные ставки - например, можно было ставить не только на победителя в конкретном заезде, но и пытаться угадать результаты отдельных участников в забеге, т.е. ставить на то, какие именно номера лошадей войдут в тройку лидеров.

Некоторые исследователи вопроса считают, что основоположники букмекерства в мире были не англичане, а француз Пьер Оллер - торговец, часто посещавший лошадиные бега. Однажды у него появилась идея организовать игру-спор, в которой любой из зрителей мог бы поставить некую сумму на лошадь, которая, по его мнению, придет первой. В 1860-70 гг. предприимчивый француз открыл несколько касс, где можно было приобрести билет с именем предполагаемого победителя, а несколько позже появились счетчики, с помощью которых можно было рассчитать возможный выигрыш. Оллер забирал часть суммы, которая складывалась из выручки за билеты в качестве комиссии, а остальные деньги делил между зрителями, которые сумели сделать правильную ставку и угадать победителя. Почти сразу государство ввело налог на тотализатор.

Вне зависимости от того, где именно появились основоположники букмекерства в мире, начиная с 1880-го года тотализаторы распространились быстрее, чем эпидемия заразной болезни, охватив всю Европу, дойдя до России и даже до Америки. Первая американская контора, принимающая ставки на победителя лошадиных и собачьих бегов, открылась в Филадельфии в 1866 году. К сожалению, история не сохранила ее названия, однако позже успешное начинание распространилось на другие штаты. Расцвет букмекерства наступил с появлением командных спортивных игр - футбола, баскетбола, бейсбола, хоккея. Однако в скором времени тотализаторы были объявлены в большинстве штатов Америки вне закона, что привело к появлению многочисленных подпольных заведений и переходу букмекерских контор на нелегальное положение. Сегодня букмекерство в Америке официально разрешено только в некоторых штатах - Неваде с центром в знаменитом Лас-Вегасе и Нью-Джерси, где находится Атлантик-Сити. Несмотря на то, что официально принимать ставки можно только в двух штатах страны, доход от легального букмекерства составляет в США более 240 миллиардов долларов ежегодно. Великобритания и по сей день является страной, где находится больше всего официально разрешенных тотализаторов и букмекерских контор. Англичане быстро поняли, что пари могут стать источником неплохого дохода. Постепенно возникли тотализаторы на собачьих бегах, теннисных, футбольных, крикетных, боксерских и иных спортивных матчах и поединках. Кроме того, появились пари, предметом спора в которых становились общественно-политические и культурные события, погода и различные невероятные предположения, например, новое пришествие Христа или наступление конца света. Коэффициент такой ставки сегодня составляет 1:1.000.000.000. Популярность букмекерских контор огромна, что дает возможность довольно хорошо зарабатывать на азарте спорщиков. Сегодня в Англии действуют более 4,5 тысяч пунктов, в которых можно сделать ставки. Старейшей конторой по праву считается WilliamHill - эти букмекеры начали деятельность еще в 1934 году. Контора принимает ставки на исход спортивных состязаний и считается одной из самых уважаемых и надежных. Еще одна ведущая букмекерская контора Англии - Ladbrokes. Ей принадлежат около 1900 пунктов в разных уголках страны. Ежегодно оборот каждой букмекерской конторы в Англии составляет около 14 миллиардов фунтов стерлингов, кроме того, каждая из них платит в казну до 15% от совокупного дохода. Абсолютным рекордом среди выигрышей на тотализаторе стала сумма около 3 миллионов фунтов стерлингов, которая была выплачена в английском Литтлвуде в 1994 году. Счастливчику удалось точно угадать результаты около 10 футбольных матчей. В Англии появились и забавные ставки, которые можно уже считать традиционными, например, угадать погоду на Рождество, когда половина ставит на дождь, а половина - на снег. Среди членов королевской фамилии популярной стала ставка на продолжительность королевского Рождественского обеда в Садрингемском замке. В 2000 году в Великобритании двумя англичанами была открыта биржа спортивных ставок Betfair. Ее деятельность перевернула представления о букмекерстве как таковом. Биржа ставок дает возможность игрокам заключать пари на результат не с конторой, а с другими спорщиками, на собственных условиях и с собственными коэффициентами. Контора имеет более 2 млн. клиентов, а ее основатели за смелую инновацию получили награду от самой Королевы. В Советском Союзе азартные игры порицались и считались признаком морального разложения, поэтому официально играть на деньги можно было только на ипподроме. Однако суммы выигрышей были мизерными и не могли удовлетворить настоящих любителей скачек. Поэтому распространенным, хотя и уголовно наказуемым явлением было подпольное букмекерство - нелегальные тотализаторы. Это был жестокий и опасный бизнес, где проигравший мог расплатиться не только имуществом, но и жизнью. Первые разрешенные букмекерские конторы на территории бывшего СССР появились в Москве в 1991 году, после чего тотализаторы стали уверенно набирать силу.

§ 1.2 Перспективы развития букмекерских контор


Сейчас в России букмекерские конторы распространенный и респектабельный бизнес, количество работающих компаний постоянно растет, и их количество подбирается к 100. Правда больших компаний всего около 10, на них приходится около 95% рынка. Эти компании работают в интернете и имеют пункты приема ставок по всей стране. Остальные компании ютятся в интернете и пытаются привлечь игроков с помощью всевозможных бонусов. Как показывает практика, в России через интернет играют всего лишь 5-10%, в отличии от Европы где через интернет играют около 40% игроков. Если иметь под рукой классную команду программистов и спортивных аналитиков, то открытие собственной букмекерской компании будет лучшим вложением средств. Рынок постоянно растет, годовой оборот увеличивается на начальных этапах на 20% в год, затем практически на 5% ежегодно. Несмотря на высокую конкуренцию, на мой взгляд, пытаться открыть букмекерскую контору необходимо. На начальном этапе нужно несколько вещей:

-    резервный капитал;

-       программисты (или готовая программа, которую необходимо покупать);

-       люди, которые хорошо разбираются в спорте, ставках на спорт(спортивные аналитики);

-       и команда маркетологов, пиарщиков.

Как показывает практика российских букмекеров, компания начинает работать в плюс через 2-3 года открытия. Это сильно зависит от того, открываете ли вы контору с нуля или покупаете ли существующую компанию и проводите ее ребрендинг. Так же в последнее время существует следующая практика, это слияние двух и более небольших букмекерских контор в одну.

После того как вы открываете букмекерскую контору, вам остается сделать последний и самый трудный шаг, найти и переманить игроков (клиентов). Как показывает современная практика, игроки очень неохотно меняют своего букмекера. Поэтому и необходим штат квалифицированных пиар-менеджеров и рекламщиков. Чтобы игрок поменял свою любимую букмекерскую контору нужно:

-       При регистрации игрока на сайте компании, он должен получать денежные бонусы, которые он сможет получить, сделав, например, 20 ставок.

-       Постоянно проводить розыгрыши ценных призов, и к розыгрышу должны допускаться игроки, сделавшие ставки выше от какой-либо суммы.

-       Самое главное, это сделать качественный сервис, лучшую службу поддержки среди существующих.

Западные игроки никогда больше не будут ставить в конторе, в которой с ними кто-либо из персонала грубо разговаривал. В России мало кто это понимает, поэтому если сделать все правильно (даже по прототипу крупной западной фирмы), то те игроки, которые начнут ставить у вас, и даже если вы будете в чем-то хуже других (например, у вас будут ниже коэффициенты чем у конкурентов), они останутся у вас.

Очень хороший ход, это сделать новые пункты приема ставок. Раньще они выглядили примерно так, небольшое помещение, где сидит кассир и принимает ставки у игроков. Необходимо делать следующим образом:

Большое помещение, которое совместит в себе ресоран, спорт-бар, и пункт приема ставок одновременно. Одна молодая компания сделала большой акцент на этот пункт, и не прогадала. Сейчас она буквально за 3 года, контролирует примерно 10-12% игрового рынка России.

 

§ 1.3 Букмекерская линия и основные виды ставок


Букмекерские конторы обязательно используют в своей работе математику, и особенно ее разделы: комбинаторику, теорию вероятностей и статистику. Основная работа букмекеров заключается в решении главной задачи - корректно построить линию. Линия - это перечень спортивных событий и их возможных исходов, каждому исходу в которой присвоен свой собственный коэффициент. Выражение "корректно построить линию" для букмекерской конторы значит то, что нужно правильно оценить шансы на каждый исход и предложить такие коэффициенты, при которых букмекерская контора останется в плюсе. Обеспечить такой баланс нелегко, это трудная задача над которой работают сотни специалистов.

Вероятность любого исхода изменяется от 0 до 100%, или от 0 до 1. У каждого события может быть несколько исходов. Например, в футбольном матче может победить первая команда, вторая команда или будет ничья. У каждого исхода есть своя вероятность. Сумма вероятностей всех исходов всегда равна 100%. Специалисты букмекерских контор обязаны оценить вероятность каждого исхода как можно лучше.

Для оценки вероятности букмекеры пользуются:

-  статистикой предыдущих игр команд;

-       списком травмированных игроков;

-       мотивацией команды и отдельных игроков;

-       отношениями внутри команды и между отдельными игроками и тренером;

-       ситуацией вокруг будущих переходов игроков в другие команды или ожиданиями прихода новых игроков, это влияет на моральный дух команды;

-       целями команды в турнире, в рамках которого проводится матч;

-       страной, городом, стадионом, где состоится матч (исходя из этого: длительность перелета, агрессивность болельщиков и уровень поддержки, покрытие газона и др.);

-       лояльностью арбитров, назначенных на матч;

-       прогнозом погоды на время проведения события;

и множеством других факторов.

После проведения такого глубочайшего анализа работник букмекерской конторы выводит значение вероятности для каждого исхода спортивного события.

Далее он переводит значение в область от 0 до 1 (50% = 0.5, 30% = 0.3, 7% = 0.07). После этого, единица (1) делится на значения вероятностей и получаются коэффициенты. Например, для 50% коэффициент равен: 1/0.5 = 2.0, для 30%: 1/0.3 = 3.33, для 7%: 1/0.07 = 14.29. Полученные коэффициенты выравнивают шансы исходов событий. Если шансы определены правильно, то для букмекерской конторы абсолютно не важно, на какие исходы событий будут ставить игроки. Это объясняется тем, что если будет сыграно много таких же в точности матчей, то исходы будут распределены равномерно: первая команда выиграет каждый второй матч, ничья произойдет в 3-х из 10-ти матчей, а вторая команда выиграет только 7 раз из 100. Но если коэффициенты рассчитаны правильно, то сумма выигрышей никогда не превысит сумму денег поставленных на все исходы одного события. Исключением может стать лишь тот случай в букмекерской конторе, когда большая сумма денег ставится на один исход и наступает так называемый денежный перекос в линии. Профессиональные игроки постоянно замечают ситуации, когда коэффициенты в линии меняются ближе к началу матча. Это объясняется тем, что букмекерская контора корректирует линию в связи с тем, что на один исход поставлено гораздо больше денег, чем на противоположный, а им желательно равномерное распределение ставок. В этом случае они заманивают игроков высокими коэффициентами на исход, на который не ставят. А небольшие коэффициенты на исход, на который больше всего денег уже поставили, отталкивают тех, кто хотел поставить.

 

§ 1.4 Маржевая прибыль. На чем зарабатывают букмекерские конторы


Для того, чтобы посчитать стандартный выигрыш (маржу) букмекерской конторы, необходимо сделать следующие расчеты: представим, что 2 игрока ставят на противоположные исходы и каждый рискует 110 единицами, чтобы выиграть 100 единиц. Если данное событие состоится и контора осуществит выплату, то первый игрок проиграет 110 единиц, второй выиграет 100 единиц. В сумме они поставят 110*2=220 единиц и игрок - победитель в пари заберет 110 единиц первоначальной ставки и 100 единиц выигрыша, то есть комиссия конторы составит 10 единиц. Таким образом, контора примет от двух игроков 220 единиц и оставит себе 10 единиц, что и будет ее вознаграждением: 10/220=4.54%.

Также считается комиссия в наших конторах по moneyline (манилайн), как правило, состоящей из 2-3 исходов c разными коэффициентами.

Предположим, есть событие с двумя возможными исходами с коэффициентами A на первый исход и B - на второй. Для того, чтобы определить теоретический перевес букмекерской конторы на каждом исходе нужно воспользоваться формулой: Маржа=1-(K1 * K2)/(K1 + K2). При коэффициентах 1.6 и 2.1 мы получим, что букмекерская контора имеет теоретический перевес, равный 9.19%, то есть мы в среднем проигрываем 9.19 доллара на каждой 100-долларовой ставке.

В случае трехисходного события с коэффициентами K1 , K2 , K3 формула немного усложняется:

Маржа=1-(K1 * K2 * K3)/(K1 * K2 + K2 * K3 + K3 * K1)

Таким образом, если мы увидим коэффициенты в линии 1.4/4.0/7.0, то путем подставления данных коэффициентов в формулу, мы получим теоретический перевес, который равен 9.7%.

 

§ 1.5 Основные правила игры в букмекерской конторе


Самая простой, популярный и распространенный тип ставок это ординар или манилайн (moneyline). В линии вам будет дано какое-то событие и возможные исходы (в случае футбола мы имеем три исхода выигрыш одной из команд, проигрыш или ничью) и рядом будут стоять коэффициенты. Ваш выигрыш будет формироваться как произведение суммы вашей ставки на коэффициент. Пример: Манчестер- Арсенал

Победа 1 (2,7) Ничья (2,75) Победа 2 (2.85).

При ставке, равной 100$ на победу Манчестера вы получите в случае победы $100*2.7=$270, при ставке на ничью в случае ничьи - $275 и в случае выигрыша Арсенала вы получите $285.

Ставки с форой (гандикапом) также очень распространенный тип ставок. При этом виде ставки, какой-то команде дается условная фора в очках, мячах и так далее. Букмекеры традиционно любят устанавливать фору таким образом, чтобы коэффициенты варьировались от 1.6 до 2.5 (в идеале 1.9-1.9 или около этого), что само по себе делает ставку для игрока похожую на угадал/не угадал. В случае с манилайн, например, в футболе, при встрече явного фаворита и аутсайдера, коэффициенты на три исхода будут примерно такими: 1- X -2: 1.2-5.0-10.0, и при весьма вероятной победе фаворита выплата невелика. Причем все может решить один случайный гол, который может привести к ничье или даже к победе аутсайдера. Психологически, большинство игроков не любят как очень низкие коэффициенты, так и очень высокие, но стоит лишь букмекеру предложить линию фор на данный матч и дать, например, фору в 1 или 2 мяча фавориту, как коэффициенты станут нормальными : Фаворит Аутсайдер 1 1.6 2.2, что больше устраивает как игроков, так и букмекера.

С помощью фор, как бы виртуально уравниваются силы команд и команда-фаворит получает фору над командой аутсайдером. При этом, при расчете ставок, число форы добавляется или вычитается от конечного исхода встречи команд и та команда, которая набрала большее число с учетом форы и становится победителем.

Пример: Юта Даллас +5.5 1.95-1.85

При ставке 100$ на команду Юта игрок выиграет только в том случае, если Юта не проиграет с разницей, большей, чем 5 очков и в случае выигрыша он получит 195$.

Также обратите внимание на то, что фора вовсе не обязательно должна быть целым числом. Конторы вовсе не случайно часто применяют не целую фору (когда это возможно), и это делается для того, чтобы не получился расход или возврат. При расходе конторе придется вернуть деньги двум сторонам игроков и получается, что контора, обработав энную сумму денег, вынуждена потерять прибыль. Иногда это не так страшно (в случае некассового события), но бывает, что последствия очень негативны для контор.

Классическим примером большого недополучения прибыли было главное спортивное событие года по американскому футболу - Супер Боул, когда большинство контор вынуждены были установить целую фору, и суммарно приняв от игроков миллионы долларов, им пришлось вернуть эти деньги, так как матч завершился именно с такой разницей, которая была установлена конторами.

Некоторые букмекерские конторы предлагают игрокам покупку очков или продажу очков.

Суть этого очень проста. Например, вы имеете матч в линии Юта Даллас +5.5 1.95-1.85. При этом вы считаете, что фора для Юты недостаточна и вам больше нравится фора +7.5. Букмекерская контора может вам предложить такую фору, но только с пониженным коэффициентом, скажем, 1.70. То есть вы купили два очка для Юты . Также вы можете продать два очка, и тогда контора предложит вам повышенный коэффициент, и вы получите итоговую линию, скажем, Юта +3.5 2.05.

Покупка и продажа очков применяется опытными игроками и, несмотря на это, она не очень популярна, поэтому вам нужно иметь веские основания для того, чтобы воспользоваться подобным типом ставки в своих целях.

Азиатский гандикап - это своеобразная попытка максимально приблизить коэффициенты в формируемой линии к угадал/не угадал ( с одинаковыми или близкими по значению коэффициентами), по отношению к низкорезультативному футболу. Поэтому в ход идут не только форы, кратные половине гола (0, 0.5, 1, 1.5 и так далее), но и равные четверти гола (-0.25, +1.75 и так далее). Если дана фора с четвертью гола, то, фактически, ставка разбивается на две половины, то есть фора +0.25 ? разбивается на две форы: 0 и +0.5 . Выигрыш по такой форе фактически равен сумме двух отдельных ставок с форой.

Пример: Манчестер Арсенал (-0.25) 2.10-1.7. Это означает, что Манчестер дает фору в четверть мяча Арсеналу (рядом стоят соответствующие коэффициенты) и наша фора в четверть мяча разбивается на две части: нулевая фора 0 и половина мяча -0.5 . Если вы поставили на Манчестер и Манчестер выиграл с разницей в 1 и более мяч (1-0; 3-1 и так далее), то наш выигрыш составит $100*2.10=210$; в случае ничьи (0-0; 2-2 и так далее) мы получим $0+$50*2.1=$55; в случае победы Арсенала, наша ставка проигрывает.

Иногда букмекерские конторы взымают комиссию за возврат форы и, скажем, в случае ничьи в данном матче с нас бы еще сняли комиссию за не разыгранную нулевую фору в размере $50*5%=$2.50.

Если же мы поставили на Арсенал (+0.25) по цене 1.70, то аналогично вышеприведенному примеру, в случае выигрыша Арсенала с любым счетом, мы бы получили $100*1.7=$170 (так как мы выиграли и нулевую фору, и фору в полмяча); в случае ничьи, мы бы получили возврат по нулевой форе и выиграли фору в половину мяча, то есть мы бы получили: $0+$50*1.7=$85. В любом случае, при выигрыше Манчестера с любым счетом, наша ставка проигрывает.

Тотал. Данный тип ставок был изобретен в начале 80-х годов и сейчас тоже исключительно популярен. Букмекерская контора предлагает определенное число и вам нужно угадать, будет ли суммарное число забитых мячей или очков в данном событии больше этого числа или меньше.

Пример: Манчестер- Арсенал Тотал 2.5: Больше 1.90 Меньше 1.80.

Число 2.5 является своеобразным разделителем, и если вы поставили $100 на Больше, то в случае счета, который превышает или равен 3-м голам, вы получите $190. Если же сумма забитых голов будет меньше 3-х, то вы проиграете.

Существуют также разновидности тоталов, такие как индивидуальный тотал команды, индивидуальный тотал игрока.

Пример: Манчестер индивидуальный тотал больше 2 с коэффициентом 2.7. Если вы поставите $100 на данный тотал, то в случае, если Манчестер забьет больше 2-х голов (нам неважно сколько голов забьет Арсенал ), то вы получите $270; если Манчестер забьет ровно 2 гола, то ставка пойдет в расход; если Манчестер забьет 1 гол или не забьет, то ставка будет проиграна.

То же самое касается индивидуального тотала игрока: если вы увидите в линии Месси тотал больше 0.5 (2.6), то если Месси забьет, то вы выиграете $260 на поставленные $100, если нет, то ставка будет проиграна.

Пример: Вам нравятся 3 ставки и вы решили в любом случае поставить на них суммарно $100: на победу Динамо с коэффициентом 1.5, на победу Манчестера с коэффициентом 2.7, на тотал больше 2.5 в матче Лидз Тоттенхэм с коэффициентом 1.8.

Если ставить раздельно равные суммы денег на каждый матч, то в случае выигрыша всех трех ставок вы получите: (1.5+2.7+1.8)*$33.33=200$, или чистый выигрыш в размере $100.

Однако, при таких же условиях, сформировав экспресс, ваш итоговый коэффициент будет 1.5*2.5*1.8=6.75 и потенциальная выплата составит $100*6.75=$675, или чистый выигрыш составит $575, что почти в шесть раз больше, чем при ставках ординарами.

Благодаря экспрессам игрок получает возможность сделать очень большой итоговый коэффициент и на очень маленькую сумму денег сорвать куш.

Также, большинство букмекерских контор не принимают согласованные экспрессы, когда, скажем, встречается фаворит с очень сильным нападением и аутсайдер со слабой обороной. При всем при этом, если допустить, что фаворит выиграет с данной форой, то есть он ее пробьет , то также и тотал в данной встрече будет больше. Поэтому, сделав двойной экспресс из того, что фаворит пробьет фору и из тотала больше, вы связываете в одну ставку события, которые действительно в большинстве случаев трудно назвать независимыми. В общем, конторы предпочитают не рисковать понапрасну и запрещают экспрессы, если они считают, что так или иначе события в экспрессе зависят друг от друга.

Фьючерсы или ставки на будущие события тоже довольно распространенный тип ставок и они есть в каждой букмекерской конторе. Суть ставок в том, что игроку предлагается угадать, кто станет, например, чемпионом в следующем году или кто выиграет какой-то турнир. Как правило, фьючерсами считают ставки, которые сыграют как минимум через 1-2 недели, а в большинстве случаев через полгода - год.

Пример: станет ли команда Спартак чемпионом России по футболу в 2011/2012 году коэффициент 8.0.

Ставки на какие-то интервалы в игре таймы, периоды, сеты, четверть, половину. Во многих конторах вы можете поставить на тоталы, взять ставку с форой, по манилайн не только на весь матч, но и на какие-то его составные части.

Пример: Юта Даллас тотал больше 40 после первой четверти с коэффициентом 1.91. Вы выиграете только в том случае, если общая сумма набранных очков двумя командами будет больше 40.

Своеобразной комбинацией двойного экспресса и ставки на интервалы является тайм-матч в футболе одновременная ставка на исход первого тайма и матча.

Пример: Манчестер Арсенал ничья, победа Манчестера с коэффициентом 5.00. Для того, чтобы ставка выиграла, необходимо, чтобы первый тайм закончился в ничью, а в итоге выиграл Манчестер . Если же хоть одно из двух условий не будет выполнено, то ставка будет считаться проигранной.

Интерактивный беттинг или ставки вживую ( live betting ) очень интересный и захватывающий тип ставок, когда коэффициенты на данное событие изменяются с течением времени по ходу конкретной игры. Как вы понимаете, такое возможно только в онлайне.

Пример: в начале игры Манчестер Арсенал вы можете поставить $10 с коэффициентом 2.7 на победу Манчестера . Вы будете смотреть этот матч по телевизору, и оценивать силы команд непосредственно наблюдая за ходом игры. Если забьет Арсенал , то коэффициент на победу Манчестера вырастет, но оценив, что гол был случайным или поняв настрой команд вы сможете скорректировать свои решения по ходу игры и, например, поставить еще 5 долларов на ничью с текущим коэффициентом 3.0, или поставить 20 долларов на победу Арсенала с коэффициентом 2.0, если вы не верите, что Манчестер способен что-то сделать и так далее.

Прочие ставки: система определенная совокупность экспрессов с различными вариациями; ставки с условием, где один компонент ставки зависит от другого и вторая ставка активируется только, если первая выиграла; проходы это когда нужно оценить, сможет ли какая-то команда или игрок пройти вверх по турнирной таблице или нет все эти ставки по-своему интересны, но они являются ассортиментным предложением и приятным дополнением к вышеперечисленным типам ставок.

Роспись: аналитики контор на некоторые кассовые матчи дают расширенные предложения, и чтобы полностью удовлетворить вкусы своих клиентов, придумывают все новые и новые возможности для пари.

Примеры: сколько будет угловых, сколько будет забито голов в туре, сделает ли данный игрок хет-трик, будет ли золотой гол и так далее.

Основные виды коэффициентов.

Все букмекерские конторы осуществляют выплату по фиксированным коэффициентам, поэтому всегда возможно знать сумму выигрыша и проигрыша. Коэффициенты могут изменяться со временем, но если сделать ставку на событие с заданным коэффициентом в данный конкретный момент времени, то контора обязана выплатить вам в соответствии с этим коэффициентом после того, как произойдет событие.

Самые распространенные - европейские или десятичные коэффициенты: 1.3, 5.0, 2.15 и так далее. Если вы выиграли, то букмекерская контора выплатит вам сумму ставки, умноженную на данный коэффициент. В случае же проигрыша вы проиграете всю поставленную сумму. Если вы поставили 100 рублей с коэффициентом 2.1 и выиграли, то вы получите 100*2.1=210 рублей. В случае, если ваша ставка проиграет, вы потеряете 100 рублей.

В каждой конторе имеются свои правила выплат в том случае, если событие не произошло, не произошло “в полном объеме” или не было выявлено победителя в пари. Например, в случае отмены события (не состоялся матч и так далее), большинство контор сразу же выплатит вам деньги с коэффициентом 1.0, то есть просто вернет деньги. Эта процедура называется возвратом или расходом. Есть еще одна система коффициентов, она применяется в букмекерских конторах, у которых много английских клиентов. Речь идет о дробных или английских коэффициентах. Примеры таких коэффициентов: 18/11, 9/2.

Для того, чтобы перевести подобные коэффициенты в европейский формат, необходимо единицу прибавить к десятичному значению дроби.

Ѕ = 1+0.5=1.5; 17/9=1+1.89=2.89; 14/3=1+4.67=5.67 и так далее. Фактически, дробные коэффициенты ближе по духу к десятичным, с той лишь разницей, что имеется дело с чистой прибылью, а не с суммарным возвратом вложенных денег.

ГЛАВА II. АРБИТРАЖНЫЕ СИТУАЦИИ


Арбитраж (surewins, surebets, вилки) - ситуация которая появляется между букмекерскими конторами из-за разницы оценки одного и того же спортивного события. При такой ситуации игроку совершенно не важно, как закончится это спортивное событие, так как свою прибыль игрок получает вне зависимости от его исхода.

 

§ 2.1 Реальный пример арбитражной ситуации


Возьмем матч по гандболу Россия - Норвегия. Здесь мы имеем дело с трехисходной линией (1-Х-2). Возьмем линии трех различных букмекерских контор, Фонбет, Бетсити, Фаворит.

В букмекерской конторе Фонбет возьмем коэффициент на победу Норвегии (исход - П1) - 2.40. Это означает, что если мы поставим на Норвегию, и она выиграет, то на каждые 100 рублей, которые мы поставили, мы получим от букмекерской конторы 240 рублей. Из них 100 рублей - это наша первоначальная ставка, а 140 рублей это наша чистая прибыль.

Таблица 2.1. Линия конторы «Фонбет»

Дата

Событие

П1

Х

П2

Ф

К

1

26.11 18:00

Германия - Франция

1.28

12.00

3.90

-3.5 +3.5

1.85 1.85

2

26.11 20:00

Норвегия - Россия

2.40

10.00

1.65

+ 1.5 -1.5

1.75 1.95


В букмекерской конторе Бетсити сделаем ставку на победу России (исход - П2) с коэффициентом 2.20. Это означает, что если мы поставим на Россию, и она выиграет, то на каждые 100 рублей, которые мы поставили, мы получим от букмекерской конторы 220 рублей. Из них 100 рублей - это наша первоначальная ставка, а 120 рублей это наша чистая прибыль.

Таблица 2.2. Линия конторы «Бетсити»

Дата

Событие

1

Х

2

Х2

1

26/11 19:00

Германия - Франция

1.40

10.00

3.30

1.27

2.60

2

26/11 20:00

1.95

8.50

2.20

1.60

1.75


В букмекерской конторе Фаворит нас интересует коэффициент на ничью (исход -X), который равен 11.5. Это означает, что если мы поставим на ничью, и никакая команда не выиграет, то на каждые 100 рублей, которые мы поставили, мы получим от букмекерской конторы 1150 рублей. Из них 100 рублей - это наша первоначальная ставка, а 1050 рублей это наша чистая прибыль.

Таблица 2.3. Линия конторы «Фаворит»

Время

Команда 1

Команда 2

1

Х

2

19:00

Германия

Франция

1.30

12.50

3.84

21:00

Россия

Норвегия

1.85

11.50

2.06


Если сделать ставку только в одной из этих контор и на одно событие, то всегда может случиться так, что результат игры мы не угадали и соответственно проиграли.

То же самое может произойти, если мы сделаем ставки в двух конторах на два события - поскольку исходов три: победа Норвегии, победа России и ничья, то может случиться как раз тот исход, на который мы не поставили, со всеми вытекающими последствиями. То есть риск неизбежен.

Однако, что будет, если поставить на все три исхода одновременно? Если поставить на все три исхода одновременно в одной и той же конторе, то, несмотря на то, что одна из наших ставок обязательно выиграет, в качестве выплаты мы получим сумму, которая не покрывает сумму сделанных ставок - то есть, в итоге мы проиграем. Это связано с тем, что в коэффициенты выплат на три возможных исхода заранее заложена маржа букмекерской конторы, которая дает ей возможность получать прибыль. Однако коэффициенты различных букмекерских контор в силу разных причин могут быть не так «согласованы», как в одной и той же конторе. И тогда мы можем получить ту ситуацию, которую называют арбитражной ситуацией или вилкой.

Покажем, что три выбранных выше исхода в трех разных, выбранных нами, букмекерских конторах, дают нам пример арбитражной ситуации. То есть, поставив определенные суммы на все три возможных исхода, мы получим прибыль при любом реальном исходе игры. Допустим, что мы имеем 1000 рублей и хотим сделать ставки на эту сумму. Разобьем эту сумму на ставки следующим специальным образом:

-       поставим на Норвегию 434.86 рубля,

-       поставим на Россию 474.39 рублей,

-       и поставим на ничью 90.75 рублей.

Посмотрим, что будет при реализации каждого из трех возможных исходов.

Если победила Норвегия, то поскольку мы ставили на нее по коэффициенту 2.4, мы получим на руки 434.86*2.4 ~ 1043.66 рубля.

Если победила Россия, то поскольку мы ставили на нее по коэффициенту 2.2, мы получим на руки 474.39*2.2 ~ 1043.66 рубля.

Если победила дружба (ничья), то поскольку мы ставили на нее по коэффициенту 11.5, мы получим на руки 90.75*11.5 ~ 1043.63 рубля.

Отсюда видно, что чтобы ни произошло, мы получим на руки, приблизительно, на 43.63 рубля больше чем поставили на все три исхода вместе взятые. То есть мы получили прибыль 4.36% с оборота без риска проиграть, с одной операции.

 

§ 2.2 Математическое обоснование арбитражной ситуации


Сначала приведу список обозначений, который будет использоваться в дальнейшем.

K1 - коэффициент выплаты на исход победа команды 1

K2 - коэффициент выплаты на исход победа команды 2

KX - коэффициент выплаты на исход ничья.

Коэффициенты на другие исходы обозначаются аналогичным образом.

P1 - вероятность победы первой команды

P2 - вероятность победы второй команды

PX - вероятность ничьей.

Вероятности других исходов обозначаются аналогичным образом.

V1 - сумма, поставленная на победу первой команды

V2 - сумма, поставленная на победу второй команды

VX - сумма, поставленная на ничью

Суммы, поставленные на другие исходы, обозначаются аналогичным образом.

 

§ 2.3 Расчет вероятностей исходов и коэффициентов выплат


Здесь приводятся формулы, связывающие между собой коэффициенты на основные исходы спортивных событий. Они будут полезны для ‘отсева’ новых типов вилок при их перечислении путем некоторых формальных процедур. Сначала выведем формулы, которые не требуют сложной математики. Допустим, нам известны вероятности победы первой команды, ничьей и победы второй команды.

Какие коэффициенты можно вычислить в данных условиях? При данных условиях можно вычислить теоретические коэффициенты выплат следующих линий:

-X-2

X-12-2X (зеркальное отображение линии 1-Х-2)

-2

Вычислим коэффициенты для линии 1-X-2. Если мы будем ставить на 1-е событие, то в среднем получим доход P1*K1*V, который должен быть равен сумме ставки V, при условии, что маржа букмекерской конторы равна нулю. То есть P1*K1*V = V, и значит что

K1 = 1/P1.

Таким же образом мы получаем значения других коэффициентов:

KX = 1/PX

K2 = 1/P2

Поскольку P1+PX+P2 = 1, то получаем условие на коэффициенты при нулевой марже букмекерской конторы:

/K1+1/KX+1/K2 = 1

Аналогичным способом вычисляются коэффициенты K1X, K12 и K2X. Вероятность события 1X = P1 + PX. Соответственно теоретический коэффициент равен

K1X = 1/( P1 + PX) = 1/(1/K1 + 1/KX) = (K1*KX)/( K1+KX)

Аналогично:

K2X = 1/( P2 + PX) = 1/(1/K2 + 1/KX) = (K2*KX)/( K2+KX)

K12 = 1/( P1 + P2) = 1/(1/K1 + 1/K2) = (K1*K2)/( K1+K2)

Как на основе этих же вероятностей вычислить теоретические коэффициенты 1-2 или money lines. В ставках на ‘денежную линию’ при ничьей происходит возврат суммы ставки. Поэтому если мы будем ставить на исход 1, то получим в среднем P1*KП1*V + PX*V, что должно быть равно V.

Аналогичные рассуждения справедливы для ставок на исход 2. Поэтому:

P1*KП1 + PX = 1

Отсюда KП1 = (1-PX)/P1 = (KX-1)*K1/KX .

Но KX = 1/(1-1/K1-1/K2) = (K1*K2)/(K1*K2-K1-K2)= (K1+K2)/( K1*K2-K1-K2)П1 = (K1+K2)/K2П2 = (K1+K2)/K1

Нам будут также необходимы формулы, дающие выражения для коэффициентов для фор -0.25 и +0.25 - они также легко выводятся из коэффициентов K1,KX.

Обозначим KF1 коэффициент на фору -0.25. Тогда формула баланса выигрыша-проигрыша будет:

P1*KF1 + PX/2 = 1

так как в случае ничьей мы получаем возврат половины ставки.

Отсюда KF1 = (1-PX/2)/P1 = (2*KX-1)*K1/(2*KX )= K1*(1-1/(2*KX))

Аналогично KF2 = (1-PX/2)/P2 = (2*KX-1)*K2/(2*KX = K2*(1-1/(2* KX))

Теперь обозначим KF1 коэффициент на фору +0.25. Тогда формула баланса выигрыша-проигрыша будет:

P1*KF1 + PX*KF1/2 + PX/2 = 1

Отсюда KF1 = (1-PX/2)/P1 = (2*KX-1)*K1/(2*KX )= K1*(1-1/(2*KX))

Аналогично KF2 = (1-PX/2)/P2 = (2*KX-1)*K2/(2*KX = K2*(1-1/(2* KX))

Теперь обозначим KF1 коэффициент на фору +0.25. Тогда формула баланса выигрыша-проигрыша будет:

P1*KF1 + PX*KF1/2 + PX/2 = 1

 

§ 2.4 Условие арбитражной ситуации


Когда делается ставка на событие, она может проиграть, выиграть, а также возможен вариант, когда мы ничего не проигрываем и не выигрываем то есть, имеем возврат (денег). Каждое событие имеет свой коэффициент выигрыша:

>= 1, i =1,N

Если коэффициент Ki > 1, то при реализации этого исхода у нас будет чистая прибыль

*(Ki-1)

где Vi сумма нашей ставки. Если Ki = 1, то это случай возврата денег, такие коэффициенты не присутствуют в линиях букмекерских контор (но подразумеваются для исходов не входящих в условие ставки). Допустим, мы ставим на каждый исход игры сумму Vi, i=1,N. Как будет ясно из дальнейшего хода анализа, при наличии вилки мы будем вынуждены делать ставки на все события (исходы игры) входящие в наш список (который зависит от типа вилки).

Поскольку, делая ставки, игрок хочет выигрывать деньги, то есть, получать больше чем поставил, и хочет, чтобы это было при любом возможном исходе игры (в этом состоит суть “вилки”), то мы получаем систему неравенств «прибыльности»:

Ki *Vi > V1+V2+…VN = V, i=1,N

Она означает, что каждый (любой) возможный выигрыш по каждому исходу игры (Ki*Vi) должен покрывать все наши расходы на все исходы ставки, включая те, которые не сыграли, то есть общие расходы, равные V. Естественно, что коэффициенты, удовлетворяющие данным условиям нельзя найти в одной букмекерской конторе, таких контор должно быть минимум две. Перепишем эти неравенства как Ki*Di > 1, где Di = Vi/V, часть полной суммы проставленная на данный исход. Возникает вопрос как из этой системы неравенств определить, дает ли данный набор коэффициентов возможность получить нам прибыль хотя бы при одном варианте распределения общей суммы ставки по возможным исходам.

Так как все Ki>1>0, то систему неравенств можно (разделив на Ki) переписать как

Di > 1/Ki, i=1,N

Складывая правые и левые части всех этих неравенств, получаем

D1+D2+…+DN >1/K1 + 1/K2 + … + 1/KN

Но D1+D2+…+DN = V1/V+V2/V +… VN/V = (V1+V2+…VN)/V = V/V = 1

поэтому мы получаем условие, которому должны удовлетворять коэффициенты событий (исходов игры):

/K1 + 1/K2 + … + 1/KN < 1 (2)

Условие получено без каких-либо предположений о способе разбиения общей суммы по исходам, а значит справедливо для всех без исключения вариантов. Это условие является необходимым для существования “вилки”. Так как если вилка существует (удовлетворяются все исходные «прибыльные» неравенства), то в силу вывода коэффициенты Ki, i=1,N будут удовлетворять последнему соотношению.

Нужно проверить является ли это условие достаточным для существования вилки. Для этого нужно показать, что при выполнении данного соотношения (2) всегда найдутся такие Vi (распределение общей суммы ставки по исходам), что при них будут удовлетворены все “прибыльные” соотношения (1). То есть возможно получить прибыль независимо от исхода события. Для этого обозначим L = 1/K1 + 1/K2 +… + 1/KN и разобьем все сумму ставки по исходам пропорционально 1/Ki, i=1,N.

Для этого положим Vi = (1/Ki * V)/L. Действительно, складывая все Vi, мы получаем V, и, кроме того, Vi разбиты пропорционально 1/Ki. Проверим, что при таком распределении общей суммы ставок по исходам выполняются наши прибыльные (вилочные) соотношения (2). Подставляя Vi в каждое из соотношений (1),получаем:

Ki *Vi = (Ki * 1/Ki * V)/L = V/L > V

(так как L<1 по условие, которому, как предполагается, удовлетворяю наши коэффициенты исходов).

То есть мы получили, что при данном условии на Ki (L<1) и предложенном распределении общей суммы ставки по исходам, мы при любом исходе игры получим прибыль, что и требовалось доказать. То есть условие 1/K1 + 1/K2 + … + 1/KN < 1 является необходимым и достаточным для получения прибыли независимо от исхода игры.

Если мы знаем, что наши коэффициенты удовлетворяют условию (2), то есть являются вилочными, то мы без труда сможем рассчитать суммы, которые необходимо поставить на каждый исход, чтобы быть в одинаковом плюсе независимо от то как завершится событие:

Для двух исходного события:

V1=V*K2/(K1+K2)

V2=V*K1/(K1+K2)

Для трех исходного события:

V1= V*K2*KX/(K1*K2+K1*KX+K2*KX)=V*K1*KX/(K1*K2+K1*KX+K2*KX)=V*K1*K2/( K1*K2+K1*KX+K2*KX).

 

ГЛАВА III. МЕТОД «КРИТЕРИЙ КЕЛЛИ»

 

§ 3.1 Суть метода «критерий Келли»


Фундаментальной проблемой в играх является поиск возможностей ставок с положительным ожиданием. Аналогичная проблема в инвестировании - поиск возможностей инвестирования с «избыточной», с учетом поправок на риск, доходностью. Как только такие благоприятные возможности идентифицированы, игрок или инвестор должен решить, какую часть своего капитала поставить на кон. Один из подходов состоит в том, чтобы оценить деньги, используя функцию полезности. Она определена для всех неотрицательных вещественных чисел, имеет вещественные значения и является не убывающей.

Некоторые примеры

(x) = xα, 0 ≤ α < ∞ и U(x) = log x

где log означает loge, а log 0 = -∞.

Как только функция полезности определена, цель состоит в том, чтобы максимизировать ожидаемую величину полезности капитала. Суть метода «критерий Келли» заключается в нахождении величины ставки для каждой попытки, такой что она максимизировала E [log X], ожидаемую величину логарифма капитала X . Функция полезности log x была вновь использована Джоном Келли в 1956 году, показавшим, что она имеет некоторые замечательные свойства. Если все ставки имеют положительное ожидание и независимы, ставки Келли, при игре на одну ставку будут чрезвычайно просты: ставьте долю вашего текущего капитала, равную вашему ожиданию. На практике эта оценка несколько меняется (как правило, снижается) для того, чтобы допустить возможность «ждущих ставок», имеющих некоторое отрицательное ожидание, при более высоких колебаниях, возникающих из-за выплат, больших, чем один к одному, и когда играются больше одной ставки одновременно. Критерий Келли известен так же экономистам и теоретикам-финансистам под такими именами как «стратегия максимизации геометрического среднего портфеля», максимизация логарифмической полезности, стратегия оптимального роста, критерий роста капитала.

 

§ 3.2 Описание метода «критерий Келли» и его свойства


В этой главе рассматриваются свойства критерия Келли. Для простоты, проиллюстрируем его на примере самого простейшего случая - подбрасывания монеты, но концепция и выводы легко обобщаются.

Допустим, мы играем с бесконечно богатым противником, который будет делать повторяющиеся ставки на независимые события - броски монеты. Далее, предположим, что при каждом броске наша вероятность победы p> 1/2, а вероятность потери q = 1 - p. Наш начальный капитал - XO. Предположим, что наша цель - максимизация ожидаемой величины E (Xn) через n попыток. Сколько мы поставим, Bk, на k-ой попытке? Пусть Tk = 1, если k-я попытка - выигрышная и Tk = -1, если она проиграна, тогда Xk =Xk-1 + Tk Bk для k = 1,2,3.., и Xn = XO + Σnk=1TkBk. Тогда


Так как игра имеет положительное ожидание, то есть p-q> 0, в этой ситуации равных выплат, для того, чтобы максимизировать Е(Хn), мы должны были бы максимизировать E(Bk) для каждой попытки. Таким образом, чтобы максимизировать ожидаемый рост мы должны ставить все наши ресурсы в каждой попытке. Таким образом, B1 = X0 , и, если мы выигрываем первую ставку, B2 = 2X0, и т.д. Однако, вероятность краха при этом будет 1 - pN и при p < 1, lim n→∞ [1 -рn] = 1 , так что крах почти неизбежен. Таким образом, "смелый" критерий ставок для максимизации ожидаемого роста обычно нежелателен.

Аналогично, если наша стратегия состоит в том, чтобы минимизировать вероятность возможного краха (а "крах" происходит, если XK = 0 на k-ой попытке), мы должны делать минимальную ставку на каждой попытке, но это, к сожалению, также минимизирует и ожидаемый рост. Таким образом, "робкая" система ставок также непривлекательна.

Это предполагает существование промежуточной стратегия, которая лежит где-то между максимизацией E (Xn) (и верным крахом) и уменьшением вероятности краха (и уменьшением E (Хn)). Асимптотически оптимальная стратегия была впервые предложена Джном Келли в 1956 году.

Так как вероятности и выплаты при каждой ставке в описанной игре с подбрасыванием монеты одинаковы, кажется вполне правдоподобно, что "оптимальная" стратегия потребует всегда делать ставки на одну и ту же долю f вашего капитала. Чтобы это было возможным сделать, мы предполагаем далее, что капитал может бесконечно дробиться.

Стратегия, в которой ставки делаются согласно

= f Xi-1

где 0 ≤ f ≤ 1, иногда называется стратегией "фиксированной доли".

Пусть S и F - числа успехов и проигрышей в n попытках соответственно, тогда наш капитал после n попыток равен

Xn = Xo(1+ f)S (1-f)F

где S + F = n.

При f в интервале 0 < f < 1, Рr (Хn = 0) = 0.

Таким образом, "краха", понимаемом в техническом смысле как разорение игрока, произойти не может. "Крах" будет означать, что для произвольно маленького положительного ε, limn→∞[Рr(Xn ≤ ε)] = 1. В этом смысле, как мы увидим, крах все-таки может случиться при некоторых обстоятельствах.

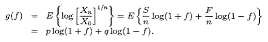
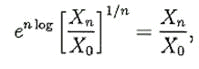
Отметим, что так как

величина


измеряет экспоненциальную скорость роста за попытку. Келли максимизировал ожидаемую величину коэффициента скорости роста, g(f), где


Получается, что g(f) = (1/n)E[logXn]- (1/n)logX0, поэтому, для фиксированного n, максимизация g(f) - то же самое, что максимизация E[logXn]. Вычислим производную:

когда f = f * = p - q.



то g' (f) убывает строго монотонно на [0, 1], так как g' (0) = p-q > 0 и lim f→1 - g'(f) = - ∞. Вследствие непрерывности g'(f), g (f) имеет единственный максимум в точке f=f *, где g(f *) = p log p + q log q + log 2 > 0. Более того, поскольку g(0) = 0 и lim f→1 - g{f) = - ∞, то существует единственное fC > 0, такое что 0 < f* < fC < 1 и g(fC) = 0.

Построим график функции g(f) от f (рисунок 3.1).

Рисунок 3.1. График функции g(f)

Исходя из максимизации функции g(f), Джоном Келли были сформулированы следующие свойства:

-  Если g(f) > 0, тогда почти достоверно, что limn→∞ Хn = ∞, то есть для каждого М, Pr [lim n→∞ inf Хn > М] = 1. Это свойство показывает что, если бы не конечное время, благосостояние игрока XN превысило бы любой установленный предел М, когда f выбрано в интервале (0, fс).

-       Если g(f) < 0, тогда почти достоверно, что limn→∞ Хn = 0, то есть для каждого ε>0, Pr [lim n→∞ sup Хn < ε] = 1, получается, что крах неизбежен .

-       Если g(f) = 0, тогда почти достоверно, что lim n→∞ sup Хn= ∞ и lim n→∞ inf Хn = 0. Это утверждение демонстрирует, что, если g(f) = 0, тогда почти достоверно, что lim n→∞ sup Хn= ∞ и lim n→∞ inf Хn = 0.

-       Для заданной стратегии Ф*, которая максимизирует E[log Xn] и любой другой "существенно иной" стратегии Ф (не обязательно стратегии фиксированных дробных ставок) почти достоверно, что limn→∞ Хn(Ф*)/Хn (Ф) = ∞.

-       Ожидаемое время, необходимое чтобы текущий капитал Xn достиг заранее установленного значения С будет, асимптотически, наименьшим при стратегии, которая максимизирует E[log Xn].

-       Если предположить, что отдача от одной ставки на i-ой попытке - биноминальная случайная переменная Ui, далее предположим, что вероятность успеха pi, где 1/2 < pi < 1. Тогда E[log Xn] максимизируется выбором значением для ставки при каждой попытке доли f *i = pi - qi которая максимизирует E[ log (1+fiUi)].

Эта часть устанавливает справедливость использования метода Kelly выбора fi* при каждой попытке (даже если от одной попытки к следующей меняется вероятность) для максимизации E[log Xn].

 

§ 3.3 Пример использования свойств «критерия Келли». Обобщающая формула Келли


Разберем пример:

Игрок А играет против бесконечно богатого противника. Игрок выигрывает одну и ту же сумму при последовательных независимых бросках монеты с вероятностью p =0,53 (независимые события). Игрок А имеет начальный капитал X0 , и капитал может бесконечно делиться. Если мы применим шестое свойство, то получаем * = p - q = 0,53 - 0,47 = 0,06, Таким образом, в каждой игре он должен ставить 6 % текущего капитала, чтобы Xn рос с максимальной скоростью и с нулевой вероятностью краха. Если Игрок А постоянно ставит меньшую долю, чем 6 %, Xn также будет расти до бесконечности, но медленнее.

Если Игрок A постоянно ставит долей большей чем 6 %, но меньше fс , возникает то же самое. Решая уравнение g(f) = 0,53log (l +f) + 0,47log (l - f) = 0 численно на компьютере получаем fc = 0,11973¯. Так, если ставка больше чем примерно 12 %, то даже при том, что Игрок А может временно наслаждаться быстрой скоростью роста, возможные колебания вниз непременно приведут величину Xn к нулю. Вычисление дает коэффициент роста g(f*)= f (0,06) = 0,001801 так, что после n последовательных ставок логарифм среднего величины капитала Игрока А будет стремиться к значению в 0,001801*n раз превышающему стартовый капитал. Приравнивая 0,001801n = log 2, получаем ожидаемое время, необходимое для удвоения капитала примерно равное n = 385.

Выше рассматривались игры с равномерными выплатами. Но, Критерий Кэлли может легко быть расширен на игры с неравными выплатами. Предположим, Игрок А выигрывает b единиц на каждую единицу ставки. Далее предположим, что на каждой попытке вероятность победы p> 0 и pb - q> 0, так что игра выгодна для Игрока А. Методы, подобные рассмотренным, могут использоваться для максимизации:


Вычисления дают f* = (bp - q)/(b - 1), эта формула является обобщенной формулой Келли, показывающей какую долю от текущего количества денег нужно выделять для каждой отдельной ставки, чтобы максимизировать коэффициент роста g(f). Если адаптировать эту формулу для ставок на спорт, то она приобретает следующий вид:

С = (K*V) - 1)/(K - 1)

Где С - коэффициент размера следующей ставки,

K - коэффициент букмекера,

V - оценка вероятности проходимости события игроком.

букмекерский ставка игра келли

ГЛАВА IV. ПРОГРАММНАЯ РЕАЛИЗАЦИЯ

 

§ 4.1 Пример использования программы для расчета букмекерских «вилок»


Необходимо разработать программу, которая по заданным коэффициентам и сумме банка будет находить размеры ставок на каждый итог события, чтобы иметь гарантированную прибыль независимо от результата матча. Также она должна вычислять маржевую прибыль.

Суть программы заключается в следующем:

Имеется какой-либо БАНК (денежная сумма) и КОЭФФИЦИЕНТЫ K1 и K2 (для двух исходного события) и КОЭФФИЦИЕНТЫ K1, K2, KХ (для трех исходного события). Необходимо ввести значения в поле БАНК и в поле КОЭФФИЦИЕНТ нажать кнопку РАССЧИТАТЬ. Программа рассчитает нам маржу между этими коэффициентами (если она положительна, то арбитражная ситуация есть, если она отрицательная или равняется нулю - то, вилки нет) сумму ставки на каждый исход, при которой мы выигрываем одинаковую сумму независимо от результата события и конечную прибыль.

Диалоговые окна программы для расчета двух и трех исходного события изображены на рисунке 4.1. и рисунке 4.2. соответственно.

Рисунок 4.1. Диалоговое окно программы для двух исходного события

Рисунок 4.2. Диалоговое окно программы для трех исходного события

Все значения должны быть представлены в числовой форме, при несоблюдении этого правила программа выдает сообщение об ошибке.

Примеры таких ситуаций представлены на рисунке 3.3. и рисунке 3.4.

Рисунок 4.3. Диалоговое окно «Ошибка ввода данных» для поля КОЭФФИЦИЕНТ

Рисунок 4.4 Диалоговое окно «Ошибка ввода данных» для поля БАНК

 

§ 4.2 Листинг программы для расчета букмекерских «вилок»


Текст модуля формы

unit UnitMain;

interface, Messages, SysUtils, Variants, Classes, Graphics, Controls, Forms,, Menus, StdCtrls;= class(TForm): TMainMenu;: TMenuItem;: TMenuItem;: TLabel;: TEdit;: TLabel;: TLabel;: TLabel;: TLabel;: TLabel;: TLabel;: TLabel;: TEdit;: TEdit;: TEdit;: TEdit;: TEdit;: TEdit;: TEdit;: TEdit;: TEdit;: TLabel;: TLabel;: TLabel;TrippleIssueClick(Sender: TObject);DoubleIssueClick(Sender: TObject);FormActivate(Sender: TObject);LabelCalcClick(Sender: TObject);

{ Private declarations }

{ Public declarations };: TMainForm;Math;

IsDoubleForks: boolean; //указывает на выбранное количество исходов в расчете

{$R *.dfm}TMainForm.TrippleIssueClick(Sender: TObject);

IsDoubleForks := False;

//изменяем видимость полей

LabelX.Visible := True;.Visible := True;.Visible := True;.Visible := True;

//обнуляем поля.Text := '';.Text := '';.Text := '';.Text := '';.Text := '';.Text := '';.Caption := '0%';;TMainForm.DoubleIssueClick(Sender: TObject);

IsDoubleForks := True;

//изменяем видимость полей

LabelX.Visible := False;.Visible := False;.Visible := False;.Visible := False;

//обнуляем поля.Text := '';.Text := '';.Text := '';.Text := '';.Text := '';.Text := '';.Caption := '0%';;TMainForm.FormActivate(Sender: TObject);(nil);

//значения по умолчанию.Text := '100';.Text := '1,00';.Text := '1,00';.Text := '1,00';;TMainForm.LabelCalcClick(Sender: TObject);: double;: double;: double;: double;: double;: double;: double;: double;1: double;

begin

//проверка ввода валидных данных в поля банка и коэффициентов

try:= StrToFloat(EditBank.Text);

MessageBox(Handle ,'В поле "Банк" введены неверные данные!', 'Ошибка ввода данных', MB_OK);

Exit;;:= StrToFloat(EditCoef1.Text);:= StrToFloat(EditCoef2.Text);(not IsDoubleForks) then:= StrToFloat(EditCoefX.Text);;

MessageBox(Handle ,'В поле "Коэффициент" введены неверные данные!', 'Ошибка ввода данных', MB_OK);

Exit;

end;

//рассчет для двойного исхода

if (IsDoubleForks) then:= Round((bank*coef2/(coef1+coef2))*100)/100;.Text := FloatToStr(bet1);:= Round((bank*coef1/(coef1+coef2))*100)/100;.Text := FloatToStr(bet2);:= bet1 + bet2;:= coef1*bet1 - betsum;.Text := FloatToStr(Round((profit1)*100)/100);.Text := FloatToStr(Round((coef2*bet2 - betsum)*100)/100);.Caption := FloatToStr(Round((100*profit1/bank)*100)/100) + '%';

else //рассчет для тройного исхода

begin:= Round((bank*coef2*coefX/(coef1*coef2+coef1*coefX+coef2*coefX))*100)/100;.Text := FloatToStr(bet1);:= Round((bank*coef1*coefX/(coef1*coef2+coef1*coefX+coef2*coefX))*100)/100;.Text := FloatToStr(bet2);:= Round((bank*coef1*coef2/(coef1*coef2+coef1*coefX+coef2*coefX))*100)/100;.Text := FloatToStr(betX);:= bet1 + bet2 + betX;:= coef1*bet1 - betsum;.Text := FloatToStr(Round((profit1)*100)/100);.Text := FloatToStr(Round((coef2*bet2 - betsum)*100)/100);.Text := FloatToStr(Round((coefX*betX - betsum)*100)/100);.Caption := FloatToStr(Round((100*profit1/bank)*100)/100) + '%';;

end;

end.

§ 4.3 Пример использования программы для расчета суммы ставки по методу «критерий Келли»


Необходимо разработать программу, которая по заданным критериям (коэффициент букмекера, сумма банка и оценка вероятности проходимости события) будет рассчитывать сумму, которую необходимо поставить для увеличения собственной прибыли.

Суть программы заключается в следующем:

Необходимо ввести значение в поля ВАША ОЦЕНКА ВЕРОЯТНОСТИ, КОЭФФИЦИЕНТ БУКМЕКЕРА И БАНК и нажать кнопку ВЫЧИСЛИТЬ. Программа рассчитает сумму ставки и выведет результат в поле СТАВКА ИГРОКА.

Диалоговое окно программы для расчета суммы ставки по методу «критерий Келли» изображено на рисунке 4.5.

Рисунок 4.5. Диалоговое окно программы при нажатии кнопки ВЫЧИСЛИТЬ

Значение, вводимое в поле ОЦЕНКА ВЕРОЯТНОСТИ, должно лежать в пределах от 1 до 100. При несоблюдении этого критерия программа выдает сообщение об ошибке. Пример такой ситуации представлен на рисунке 4.6.

Рисунок 4.6. Диалоговое окно «Ошибка ввода данных» для поля ОЦЕНКА ВЕРОЯТНОСТИ

При незаполнении полей КОЭФФИЦИЕНТ БУКМЕКЕРА и БАНК программа выдает ошибки ввода, представленные на рисунках 4.7 и 4.8 соответственно.

Рисунок 4.7. Диалоговое окно «Ошибка ввода данных» для поля КОЭФФИЦИЕНТ БУКМЕКЕРА

Рисунок 4.8. Диалоговое окно «Ошибка ввода данных» для поля БАНК

Если в результате вычисления суммой ставки окажется отрицательное число, то можно сделать вывод, что такая ставка не выгодна для игрока.

Пример такого вычисления представлен на рисунке 4.9.

Рисунок 4.9. Диалоговое окно программы с отрицательным результатом вычислений

Результат нажатия кнопки СБРОС, обнуляющей значения всех полей представлен на рисунке 4.10.

Рисунок 4.9. Диалоговое окно программы при нажатии кнопки СБРОС

 

§ 4.4 Листинг программы для расчета суммы ставки по методу «критерий Келли»


unit Unit1;, Messages, SysUtils, Variants, Classes, Graphics, Controls, Forms,, StdCtrls;= class(TForm): TLabel;: TEdit;: TLabel;: TEdit;: TLabel;: TEdit;: TButton;: TLabel;: TEdit;: TButton;Edit1KeyPress(Sender: TObject; var Key: Char);Button1Click(Sender: TObject);Button2Click(Sender: TObject);

{ Private declarations }

{ Public declarations };: TForm1;

{$R *.dfm}TForm1.Edit1KeyPress(Sender: TObject; var Key: Char);not(key in ['0'..'9',#8,'.']) then key:=#0;;TForm1.Button1Click(Sender: TObject);k,c,b:real;,v:integer;(Edit1.Text,v,r);r<>0 then('Некорректный ввод вероятности');;;not (v in [1..100]) then('Вероятность должна лежать в пределах [1..100]');

exit;;(Edit2.Text,k,r);r<>0 then('Некорректный ввод коэфициена букмекера');;;(Edit3.Text,b,r);r<>0 then('Некорректный ввод банка игрока');;;:=(k*(v/100)-1)/(k-1);.Text:=FloatToStrF(c*b,ffFixed,12,4);;TForm1.Button2Click(Sender: TObject);.Text:='';.Text:='';.Text:='';.Text:='';

end;.

ЗАКЛЮЧЕНИЕ


В данной работе были подробно разобраны арбитражные ситуации, они были доказаны и описаны с помощью простых линейных неравенств. Была рассказана суть букмекерских контор, принципы их работы. Была разобрана и математически обоснованна стратегия ставок с использованием критерия Келли. Были разработана программа в среде Delphi, которая считает прибыль вилки, также разработана еще одна программа в среде Delphi, рассчитывающая сумму ставки игрока при использовании критерия Келли.

СПИСОК ИСПОЛЬЗОВАННОЙ ЛИТЕРАТУРЫ


1.   А. Изодин, И. Миклин, Букмекерство для начинающих, М.: Айрис-пресс, 2012.

2.      О. Марьин, Арбитражные ситуации в букмекерских конторах, М.: Айрис-пресс, 2011.

.        Эдвард О. Торп, Критерий Келли в спортивных тотализаторах, 2010.

.        В. Е. Гмурман, Теория вероятностей и математическая статистика, М.: Высшее образование, 2009.

Похожие работы на - Арбитражные ситуации в букмекерских конторах

 

Не нашли материал для своей работы?
Поможем написать уникальную работу
Без плагиата!
Без нейросетей!