Автоматизация работы турагенства

  • Вид работы:
    Дипломная (ВКР)
  • Предмет:
    Информационное обеспечение, программирование
  • Язык:
    Русский
    ,
    Формат файла:
    MS Word
    3,62 Мб
  • Опубликовано:
    2014-10-30
Вы можете узнать стоимость помощи в написании студенческой работы.
Помощь в написании работы, которую точно примут!

Автоматизация работы турагенства

РЕФЕРАТ

автоматизация турагенство поисковый

Дипломная работа содержит страниц машинописного текста, рисунков, таблиц.

Цель работы - разработать проект программного комплекса для автоматизации поисково-информационного сервиса турагентства.

Объект автоматизации - работа турагенства.

Турагенство предоставляет клиенту информацию об имеющихся турах (в том числе и о горящих турах) и комментарии побывавших в поездке, необходимых документах для выезда по выбранному туру, консультации при заполнении заявки на тур, информацию об агенстве и его сотрудниках.

В ходе работы были проанализированы поисково-информационные системы турагентств, принципы работы турагентств. Осуществлена автоматизация поисково-информационного сервиса турагентства: организовано считывание данных из базы данных и ее заполнение, разработано поисковое устройство по поиску туров. Кроме пользовательской части, создана отдельная административная часть сайта, которая упрощает обработку пользовательских данных. Реализована взаимосвязь турагента с клиентом, турагента с администратором.

Экономический эффект от внедрения проекта ПК составляет 5393,5 грн. в год. Годовая экономия составляет 14644,45 грн. Срок окупаемости капиталовложений равен 1,52 года.

ПОИСКОВО-ИНФОРМАЦИОННЫЙ СЕРВИС, АДМИНИСТРАТОР, ТУРАГЕНТСТВО, ТУРАГЕНТ, ПОИСК ТУРА, КЛИЕНТ, БАЗА ДАННЫХ.

ВВЕДЕНИЕ

Информационные технологии являются фактором, который влияет на деятельность фирмы. Их использование способствует более качественному обслуживанию клиентов, управлению фирмой, снижает стоимость продукции и услуг, повышает эффективность управленческих решений и, таким образом, повышает конкурентоспособность [1]. Кроме того, информационные технологии дают преимущества выхода на новые рынки товаров, услуг, финансов, работы.

Интернет с каждым годом открывает новые возможности, в частности в сфере ведения бизнеса. Поэтому все больше компаний переносят часть делового общения в интернет, используя технологию онлайн-консультации.

Среди особенностей онлайн-консультации можно отметить [2]:

-       отсутствие географических, часовых барьеров, что позволяет продвигать услуги на новые уровни;

-       более высокий уровень конкуренции с другими фирмами;

-       клиент сам выбирает нужную для него информацию и при этом не забирает время у работников фирмы.

В последнее время у граждан Украины появилось больше возможностей путешествовать не только по Украине и за рубежом. Чтобы подобрать страну отдыха нужно выделить время для похода в турагентство, для этого существуют сайты турагентств. На сайтах размещена необходимая информация для клиентов.

Работе туристического агентства включает выполнение ряда операций, которые требуют больших затрат времени, если выполнять их вручную. К таким операциям можно отнести поиск конкретных туров, вычисление стоимости туров, анализ заявок клиентов.

Эту проблему можно решить с помощью разработки программного комплекса для автоматизации поисково-информационного сервиса турагентства. Ценность создаваемой программы в предоставлении клиенту возможности через сайт осуществлять поиск тура, а затем отправлять заявку на понравившийся тур. Программный комплекс обеспечивает анализ данных с выявлением наиболее ценной для пользователя информации, а также предоставляет пользователю данные в наиболее информативном виде.

Таким образом, данная разработка обеспечивает пользователю сокращение времени на поиск данных о туре и его заказ. На основе полученной информации пользователю легче принять соответствующее решение. Кроме того, база данных, созданная в рамках ПК, обеспечивает работникам туристического агентства анализ поданных заявок, комментариев людей, побывавших в туре.

Для достижения поставленной цели необходимо решить следующие задачи:

-       провести анализ поисково-информационных сервисов турагентства;

-       проанализировать математические модели поиска;

-       разработать техническое задание по созданию ПК для автоматизации поисково-информационного сервиса турагентства;

-       спроектировать логическую и физическую модели ПК для автоматизации поисково-информационного сервиса турагентства;

-       провести анализ и выполнить сравнение фреймворков, выбрать подходящий;

-       разработать ПК для автоматизации поисково-информационного сервиса турагентства.

1. ОБЩАЯ ЧАСТЬ

1.1 Анализ состояния вопроса автоматизации поисково-информационных сервисов турагентства

1.1.1 Описание работы турагентства

Цели туристического агентства: качественное обслуживание с целью привлечения клиентов, получение максимальной прибыли. Эти цели обеспечиваются выполнением следующих задач: предоставление информации об агентстве, предоставление данных о сотрудниках, обеспечение просмотра туров, снабжение каждого тура необходимыми документами, установление обратной связи с клиентом, заполнение заявки с оплатой тура, реализация горящих туров сотрудниками агентства [3].

Туристическое агентство - организация, оказывающая услуги по организации туров.

Клиент - это лицо, которое обратилось в туристическое агентство, чтобы воспользоваться его услугами.

Турагент - работник туристического агентства, который обслуживает клиентов.

Администратор - работник туристического агентства, который ведет администрирование базы данных.

Тур - это комплекс различных услуг, предоставляемых туристу <#"791938.files/image001.gif">

Рисунок 1 - Структура ПИС для Internet

На первом этапе определяется цель поиска, его стратегия и область проведения (поисковые серверы, каталоги).

Информационные потребности пользователя могут относится к разным областям, которые могут быть узкоспециализированными, так и достаточно типовыми [2]. На практике основная часть информационных потребностей приходится именно на типовые области применения:

-       поиск отдельных web-страниц;

-       поиск новостей;

-       поиск людей и организаций;

-       поиск литературных произведений;

-       поиск программного обеспечения;

-       поиск музыкальных произведений;

-       поиск графических изображений;

-       поиск видеоинформации;

-       поиск коммерческой информации.

На втором этапе оперативная часть поисковой процедуры предполагает многовариантность подходов и решений при формализации запросов в процессе их обработки. В этом случае аналитик - профессионал приходит к необходимости использования весьма ограниченного числа поисковых серверов, каталогов и отдельных web-ресурсов для решения своей задачи.

Основной задачей второго этапа является формирование эффективных запросов к ПИС. Наибольшую проблему при формировании запросов представляет то, что на каждом поисковом сервере используется свой информационно-поисковый язык, несмотря на то что у различных языков этого типа много общего, - например, схожий набор булевых операций.

Третий этап поиска в сети интернет является определяющим, - от его реализации зависит, будет ли найденное решение пертинентно (характеристика степени соответствия содержания документа задаче использования). На этом этапе пользователь работает с конечными документами, полученными в виде отклика ПИС. От правильного выбора набора документов-первоисточников зависит результат работы всех трех этапов поисковой процедуры.

Полученные в результате обработки запросов отклики ПИС требуют, с одной стороны, скрупулезной работы пользователей-аналитиков, с другой стороны, развитых средств автоматизации аналитической работы, обеспечивающих:

-       итеративное уточнение запросов;

-       поиск по подобию;

-       ранжирование выдаваемых документов;

-       построение графических отчетов, визуализацию.

Рассмотрим принцип действия поисковых машин. Создав и разместив в сети Интернет какой-либо веб-сайт, разработчик регистрирует его адрес в поисковой системе, иными словами - вносит URL стартовой странички этого сайта в поле на поисковом сервере, предназначенное для регистрации новых «поступлений». Вслед за этим спайдер просматривает данный документ, проходит по всем обнаруженным на нем гиперссылкам и вносит информацию об обнаруженных страницах в базу данных поисковой системы, которая носит название индекса. Этот процесс называется индексацией веб-страниц. Как правило, индекс поискового сервера содержит только адреса веб-страниц и краткую «аннотацию», поясняющую их содержимое, почерпнутую из текста индексируемых документов. Спустя определенное время робот автоматически проводит переиндексацию, чтобы удалить из базы данных устаревшие и недействительные ссылки.

Пользователь, обращаясь к услугам поисковой машины, просто вводит в поле текстового запроса ключевые слова или некую ключевую фразу, характеризующую предмет его интересов, после чего нажимает кнопку «искать». По данной команде поисковый сервер передает управление другой программе, которая называется поисковым механизмом. Эта программа сравнивает введенные пользователем ключевые слова с содержимым индекса, выявляя возможные соответствия.

Для увеличения вероятности обнаружения интересующих пользователя данных наиболее «продвинутые» версии подобных программ могут самостоятельно просклонять и проспрягать ключевые слова, увеличив тем самым количество искомых словоформ.

Например, получив запрос со словом «идти», поисковый механизм может расширить диапазон поиска, включив в список ключевых слов производные от исходного глаголы: «пойти», «шел», «шла», «пойдет» и т. д. Ссылки на веб-страницы, в описании которых поисковый механизм обнаруживает подобные слова, автоматически включаются им в файл отчета. Этот файл предоставляется пользователю в виде перечня, содержащего гиперссылки на найденные ресурсы с краткими текстовыми аннотациями для каждой из них.

Основополагающими характеристиками функционирования информаци-онно-поисковых систем являются полнота и релевантность - степень соот-ветствия обнаруженных ссылок исходному запросу.

Сегодня информации в сети больше, чем ее успевают проиндексировать поисковые системы. Это означает, что информационный хаос увеличивается, и существующие подходы не соответствуют требованиям растущего информационного пространства. Вместе с тем, чем больше ресурсов соответствующего профиля включает база данных системы, тем выше должна быть ее полнота. Существует два аспекта полноты. Понятие полноты динамической базы данных из интернета, тесно связано с оперативностью обновлений информации. Сеть интернет представляет собой своеобразный “живой организм”. Если база данных ПИС не будет обновляться постоянно и оперативно, то имеющиеся в ней ссылки на документы станут мертвыми, т.е. по адресам, представленным в этих ссылках, документы могут либо не существовать, либо будут размещены с соответственно другим содержанием. Полнота охвата ресурсов сети - это первый аспект характеристики качества сетевой ПИС. Второй аспект связан с полнотой информации, предъявляемой пользователю по его запросу к ПИС (рисунок 2). Если предположить, что по запросу пользователя Q в базе данных находится Р документов, соответствующих этому запросу, а предъявлено для просмотра всего N документов, то полнота ПИС определяется по формуле П=(N/P)*100%. Если П выходит больше 100%, пользователю выдано минимум N-P документов, не соответствующих его запросу, т.е. нерелевантных [2].

Рисунок 2 - Два аспекта полноты охвата ПИС ресурсов Internet

1.1.2.3 Лингвистическое обеспечение поисково-информационных систем

На всех этапах развития полнотекстовых ПИС лингвистическое обеспечение играло важную роль. Именно средства лингвистики выступают интерфейсами между естественным языком и формальными поисковыми механизмами ПИС. Лингвистическое обеспечение включает такие основные элементы:

-       языки представления данных в ПИС, которые определяют архитектуру, синтаксис и семантику представления информации в базах данных ПИС;

-       информационно-поисковый язык, т.е. язык, на котором обращается пользователь к системе, чтобы получить интересующий его отклик.

Язык запросов - это специальный набор служебных команд, позволяющих максимально конкретизировать передаваемый поисковой системе запрос с использованием простейших логических функций объединения или исключения слов. Наиболее распространенными для большинства поисковых запросов являются команды так называемого логического объединения и исключения. Команды «+» и «-» позволяют принудительно добавлять или исключать какие-либо слова из текста запроса. Слово, помеченное знаком «+», должно обязательно присутствовать в искомом документе, а помеченное символом «-» - обязательно отсутствовать. Например, если вы хотите найти объявления о продаже недорогих автомобилей марки «Жигули», запрос можно сформулировать так: продам Жигули +недорого. Поисковая система будет искать все сообщения о продаже автомобилей этой марки, в тексте которых встречается слово «недорого».

Оператор «логическое И», обозначающийся знаком амперсанд (&), позволяет перечислять слова, которые должны встречаться в пределах одного предложения искомого документа. Например, запрос коммерческое & предложение заставит поисковую систему искать документы, включающие предложения, содержащие оба этих слова. Следует отметить, что в файл отчета могут попасть данные с различной степенью релевантности, то есть в результирующем списке вы сможете найти как документы, в тексте которых присутствует фраза «наше коммерческое предложение действительно до 31 декабря», так и фраза «Оценив коммерческое положение своей семьи и размер предлагаемого приданого, он сделал ей предложение». Учтите, что степень релевантности с точки зрения поискового механизма тем выше, чем ближе стоят искомые слова друг к другу в обнаруженной фразе и чем меньше между ними встречается других слов [2]. Поэтому ссылки на документы, содержащие выражения, подобные первому, будут размещены в начале файла отчета, а подобные второму - в его конце.

1.1.2.4 Структура сайта

Навигационное меню. Как правило, любой сайт имеет навигационное меню. Использование ключевых слов в ссылках меню позволит предоставить дополнительные веса тем страницам, на которые ведет ссылка [6].

Главная страница сайта. Оптимизация главной страницы сайта (имя домена, index.html) осуществляется под наиболее важные для вас словосочетания. Эта страница имеет наибольшие шансы попасть в топ поисковых систем. На главную страницу сайта может приходиться к 30-40% общего поискового трафика.

Ключевое слово в названии страницы. Существует мысль, что использование ключевых слов в названии html-файла страницы может положительно обозначиться на ее месте в результатах поиска. Естественно, это касается только англоязычных запросов.

Подкаталоги. Если сайт имеет воздержанное число страниц (несколько десятков), то лучше, чтобы они находились в корневой директории сайта. Поисковые системы считают такие страницы важнейшими.

Число страниц сайта. Общее правило - чем больше, тем лучше. Увеличение числа страниц сайта улучшает его видимость в поисковых системах. Кроме того, постепенное добавление новых информационных материалов на сайт воспринимается поисковыми системами как развитие сайта, который может дать дополнительные преимущества при ранжировании. В таблице 1 приведен глоссарий предметной области «Туристическое агентство».

Таблица 1 - Глоссарий предметной области «Туристическое агентство»

Термин

Описание

Информационный поиск

Направление исследований, изучающее вопросы поиска документов, обработки результатов поиска, а также целый ряд смежных вопросов: моделирования, классификации, кластеризации документов [2]

Документ

Порция информации, которой оперируют информационно- поисковые системы [2]

Поисково-информационная система

Комплекс программных средств, обеспечивающих избирательный отбор по заданным признакам документов, хранимых в электронном (оцифрованном) представлении [2]

Поисковое устройство

Информационно - поисковая система, поставляемая заказчику в виде автономного автоматно - программного комплекса [2]

Поисковый механизм

Основной компонент любой информационно-поисковой системы. Программный модуль, осуществляющий поиск в базе данных по запросу пользователя [2]

Туристическое агентство

Организация, оказывающая услуги по проведению туров

Турагент

Работник туристического агентства, который обслуживает клиентов

Клиент

это лицо, которое обратилось в туристическое агентство или на его сайт, чтобы воспользоваться туристическими услугами

Термин

Описание

Тур

Комплекс различных услуг, предоставляемых туристу <#"791938.files/image003.gif">

Рисунок 3 - Система поиска туров «TourIndex»

«Ехать» - поисковая система по турам. Параметры поиска: город вылета, страна прибытия, тип тура, курорт, количество ночей, питание, тип отеля, отель, дата заезда, цена, размещение [9]. Параметры поиска устроят любого клиента, но нет модуля связи турагента и туроператора, поэтому бронирование тура будет осуществляется через почту, что не удобно. На рисунке 4 представлена система «Ехать».

Рисунок 4 - Поисковая система «Ехать»

«ТУРЫ.ру» - cистема по поиску и бронированию туров, разработала программное обеспечение, позволяющее осуществлять поиск и бронирование туров в едином информационном пространстве в режиме реального времени (рисунок 5).

Турагент, подобрав тур в системе, может его тут же забронировать. Эта бронь попадает в «Офис Online» туроператора, который ему предоставляется для работы в системе «ТУРЫ.ру» при заключении контракта. В своем «Офисе Online» туроператор обрабатывает заявки, делает подтверждения и общается с агентствами в режиме прямого эфира. Кроме того, туроператор имеет доступ к своей БД в системе, где может оперативно управлять своими турами, отслеживать их состояние, редактировать их, следить за своим расписанием, выставлять квоты мест на рейсах, отражать остановки продаж по рейсам и отелям, а также проводить маркетинговые исследования и оперативно реагировать на изменения на рынке.

БД туроператора из системы «ТУРЫ.ру» может также транслироваться прямо на его сайт, а выбор туров осуществляться с помощью поисковика, привычного для пользователей системы «ТУРЫ.ру» и сопряженного с единой системой бронирования. Такой подход позволяет совместить поиск и бронирование туров различных туроператоров в едином информационном пространстве [10].

Наиболее популярные модули поиска туров для турагентства: «TourClient», «IT-tour».

«TourClient» - автоматически обновляемые модули предоставляемые через систему «TourIndex». Модули «TourClient» - это программы, которые устанавливаются на сайт заказчика. Берут информацию из базы поисковой системы «TourIndex» (получить тестовый доступ) и каталога отелей TopHotels.

Рисунок 5 - Поисковая система «ТУРЫ.ру»

Система очень удобна и проста в использование, но является платной и не удобной к применению, так как страна поставщика Россия [8]. На рисунке 6 представлен модуль «TourClient».

Рисунок 6 - Модуль «TourClient»

«IT-tour» - бесплатный украинский модуль поиска туров, который предоставляет витрину горящих туров на сайт турагентства. Возможности этого модуля широки, к примеру:

-       малая возможность для туриста оплаты этой заявки своей кредитной картой;

-       возможность настройки списка стран и операторов, которые будут показываться в выносном поисковом модуле на сайте турагентства;

-       возможность настройки шрифтов/цветовой схемы поискового модуля;

-       возможность установки 2-х модулей поиска туров: быстрый поиск (на главную страницу сайта) и расширенный поиск;

-       возможность установки модуля поиска горящих туров (на главную страницу сайта).

Бесплатный модуль имеет ряд ограничений на применение, такие как: баннер модуля будет отображен на вашем сайте, модуль должен быть встроен только на отдельную вкладку. Клиент может запутаться в выборе с модулем «IT-tour», поскольку сильно много параметров выбора и места выставления галочек не всегда заметны [11]. На рисунке 7 представлен модуль «IT-tour».

Рисунок 7 - Модуль «IT-tour»

.2 Математические модели поиска в поисково-информационных системах

1.2.1 Виды моделей поиска

Модель поиска - это сочетание следующих составляющих [12]:

-       способ представления документов;

-       способ представления поисковых запросов;

-       вид критерия релевантности документов.

Вариации этих составляющих определяют большое число всевозможных реализаций систем текстового поиска [13]. На данный период наиболее часто используются такие модели поиска как булева, векторная, вероятностная, гибридная (рисунок 8).

Рассмотрим два наиболее популярных подхода, один из которых базируется на теории множеств - булева модель, другой на векторной алгебре - векторная модель [14].

Рисунок 8 - Модели поиска в интернет

Достоинства булевой модели:

-       простота реализации, позволяющая индексировать и выполнять поиск в массивах документов большого объема.

Недостатки булевой модели:

-       крайняя жесткость и непригодность для ранжирования.

Достоинства векторной модели:

-       учет весов повышает эффективность поиска;

-       позволяет оценить степень соответствия документа запросу;

-       косинусная метрика удобна при ранжировании.

Недостатки векторной модели:

-       нет достаточного теоретического обоснования для построения про-странства термов;

-       термины не могут быть полностью ортогональными так как не явля-ются независимыми друг от друга.

Оба подхода достаточно эффективны, но имеют общий недостаток, следующий из упрощения - смысл документа определяется множеством ключевых слов (терминов, понятий), входящих в него. Этот подход ведет к потере содержательных оттенков текстов, хотя и позволяют выполнить быстрый поиск и группировку документов по формальным признакам.

Достоинства вероятностной модели:

-       хорошее теоретическое обоснование;

-       при имеющейся информации дают наилучшие предсказания релевантности;

-       могут быть реализованы аналогично векторным моделям.

Недостатки вероятностной модели:

-       требуется информация о релевантности или ее приближенные оценки;

-       структура документа описывается только термами;

-       оптимальные результаты получаются только в процессе обучения на основе информации о релевантности.

На практике в поисково-информационных системах используются гибридные подходы. В них объединены возможности булевой и векторной моделей, а также добавлены методы семантической обработки информации (рисунок 9). Чаще всего процедура поиска выполняется в соответствии с булевой моделью, а результаты ранжируются по весам в соответствии с моделью векторного пространства [15].

Рисунок 9 - Гибридные подходы поиска

1.2.2 Количественная оценка релевантности

Количественные показатели релевантности - процент соответствия содержимого документа запросу, ранжирование (самый релевантный документ, менее релевантный, еще менее релевантный), позволяют существенно увеличить конечную эффективность использования документальной системы, предоставляя пользователю возможность после отбора документов сосредотачиваться на наиболее важных из них [15].

Для обеспечения релевантности необходимо провести фильтрацию результатов поиска. Однако в связи с этой задачей возникает ряд проблем:

-       отсечение результатов, не соответствующих набору понятий;

-       использование выделенных пользователем аспектов;

-       использование расширенного синтаксиса поисковых систем;

-       соответствие результатов конструкции аспект-сущность-атрибут;

-       использование формул вычисления релевантности;

-       использование персональных настроек пользователя;

-       контроль соответствия персональным настройкам пользователя.

Остановимся на использовании формул вычисления релевантности. Определение количественных показателей релевантности документов в полнотекстовых ПИС основывается на тех или иных подходах по вычислению мер близости двоичных векторов документов и запросов.

Поисковый образ документа (ПОД) Dk представляется в системе двоичным вектором (формула 1):

            (1)

где dk,i =1, если словоформа под номером i присутствует в k-м документе, и 0, если отсутствует.

Аналогичным образом представляются поисковые образы запроса (ПОЗ) Z пользователя (формула 2):

             (2)

где zk = 1, если словоформа под номером k присутствует в запросе, zk=0, если отсутствует.

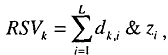
Критерии релевантности подразделяются по моделям представления и сопоставления документов и запросов, к которым относятся: булева модель, модель нечетких множеств, пространственно-векторная модель, вероятностно-статистическая модель [15]. В качестве показателя (меры) релевантности документов используется значение статуса выборки retrieval status value - RSV.

1.2.2.1 Булева модель поиска

В булевой модели критерием релевантности является полное совпадение векторов ПОД и ПОЗ [16]. RSV в булевой модели определяется как логическая сумма операций попарного логического произведения соответствующих элементов векторов ПОД и ПОЗ (формула 3):

            (3)

где k = 1,..., N, N - количество документов в базе, L - количество словоформ в словаре, & - логическая операция «И».

Значением RSV в булевой модели может быть единица (релевантный документ) или ноль (нерелевантный документ).

Булева модель поиска - это модель информационного поиска, в ходе которого можно обрабатывать любой запрос, имеющий вид булева выражения, т.е. выражения, в котором термины (ключевые запросы) используются в сочетании с операциями: AND (логическое «и»), OR (логическое «или»), NOT (логическое отрицание).

В рамках данной модели документ представляется просто как множество слов. Иными словами, документ это объект, на основе которого строиться система информационного поиска. Группу документов называют коллекцией. Рассмотрим пример [17].

Пусть имеется коллекция, необходимо в ней найти документы, в которых встречается термин 1 (term1) и термин 2 (term2), но не содержится термин 3 (term3). Тогда самый простой способ реализации данной задачи - это последовательный пересмотр коллекции. В результате мы можем получить бинарную матрицу инцидентности (рисунок 10) «термин - документ», где элемент матрицы равен единице, если термин имеется в документе, и 0, если термина в документе нет.

Рисунок 10 - Бинарная матрица инцидентности

На основании данной матрицы мы можем найти нужный документ. В рассматриваемом примере это Doc1. Если же коллекция очень большая, к примеру, состоит из миллиарда документов, то чтобы поместить в память компьютера бинарную матрицу инцидентности требуется много места. С другой стороны следует отметить, что данная матрица является разряженной, то есть имеет большое количество нулей. Поэтому целесообразно в памяти компьютера хранить только единицы. Именно так возникла концепция инвертированного индекса. Суть ее в следующем, нет необходимости хранить в памяти компьютера всю матрицу инцидентности, а требуется реализовать лишь следующую последовательность действий: сначала необходимо записать словарь терминов, лексиконов, затем для каждого термина перечислить его словопозиции. Для рассматриваемого нами примера мы получим следующее (рисунок 11):

Рисунок 11 - Инвертированный индекс

Чтобы ускорить поиск, используя булеву модель, следует заранее строить инвертированный индекс, осуществляя последовательно следующие шаги:

-       собрать документы, которые следует индексировать

-       разметить текст, превращая каждый документ в список лексем

-       преобразовать полученные лексемы в нормальный вид

-       проиндексировать документы, в которых имеются термины, и создать инвертируемый индекс.

Обработка запроса по инвертируемому индексу и базовой моделью булевого поиска происходит следующим образом. Предположим нам нужно обработать запрос term1 AND term2, тогда необходимо осуществить следующие этапы обработки поиска:

-       обнаружить в словаре term1

-       найти список словопозиций tern1

-       обнаружить в словаре термин term2

-       найти список словопозиций term2

-       найти пересечение списков.

Запросы мы можем задавать самыми различными способами, используя конъюнкцию и дизъюнкцию, однако для оптимизации поиска следует вводимые запросы обработать и представить системе в оптимизированном виде, это существенно сократит время поиска.

В результате реализации модели булевого поиска мы получаем список документов, соответствующих заданному запросу, однако эти документы не отранжированы в соответствии с их релевантностью. То есть модель булева поиска позволяет лишь определить наличие или отсутствие термина в документе [18]. Также следует отметить, что данная модель не предусматривает различные опечатки со стороны пользователя.

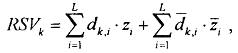
.2.2.2 Пространственно-векторная модель поиска

В пространственно-векторной модели определяемый показатель релевантности RSV может изменяться в диапазоне от 0 до N (N - число словоформ или терминов в словаре системы) и действительно количественно отражает степень релевантности документов. Так, в приведенном на рисунке 12 примере значение RSV1 = 2, а значение RSV2 = 1. Для выдачи пользователю конкретного набора релевантных документов информационно-поисковые системы ограничиваются выдачей документов, показатель релевантности которых запросу RSV превышает некоторый заранее установленный порог [19].

При таком подходе абсолютные значения показателя релевантности зависят не только собственно от самой степени релевантности, но и от количества N словоформ в словаре системы (рисунок 12).

На практике применяют нормализованный вариант RSV, определяя его с учетом ортогональности и ортонормированности поискового пространства как косинус угла между вектором ПОД и вектором ПОЗ (формула 4):

            (4)

В этом случае RSV принимает значения от 0 до 1 и не зависит от объема словаря системы [20].

Глобальный словарь системы    Поисковое многомерное пространство

Слово

  

1

Автомобиль


2

Государство


3

Отель


4

Столица


5

Цена


Рисунок 12 - Иллюстрация пространственно-векторной модели представления и сопоставления документов и запросов

Определенным недостатком такого подхода к расчету количественной меры релевантности является нечувствительность к степени соответствия отсутствующих словоформ (терминов) в ПОД и ПОЗ. Интуитивно понятно, что чем ближе содержание документа и запроса, тем меньше в документе должно быть словоформ (терминов), которых нет в запросе. Если, к примеру, в словаре системы всего 6 элементов и имеется два документа `Д1(1,1,0,1,0,0) и Д2(1,1,1,1,1,1), то для запроса `З(1,1,0,0,0,0) значение RSV для обоих документов будет равно 2 (33%), хотя интуитивно понятно, что более близким по содержанию является первый документ, а второй документ, скорее всего, затрагивает более широкую тематику, не обязательно интересующую пользователя [21].

Такой чувствительностью обладает показатель релевантности, определяемый следующим образом (формула 5):

          (5)

где  - дополнение к элементам .

Если вернуться к предыдущему примеру с документами Д1(1,1,0,1,0,0) и Д2(1,1,1,1,1,1), и запроса `З(1,1,0,0,0,0) , то RSV для первого документа будет равным 5 (83%), а для второго документа 2 (33%), что выглядит убедительнее.

Более развитым, но и более сложным подходом к определению мер близости ПОД и ПОЗ является учет разной значимости словоформ (терминов) и их зависимости друг от друга. В пространственно-векторной модели это означает отход от ортогональности и ортонормированности базисных векторов поискового пространства. В этом случае скалярное произведение векторов ПОД и ПОЗ более гибко и осмысленно отражает близость соответствующих векторов и, тем самым, смысловое содержание документов и запросов.

В простейшем варианте подобного расширения пространственно-векторной модели различные словоформы в глобальном словаре системы дополняются специальными весовыми коэффициентами, отражающими важность соответствующей словоформы (термина) для конкретной предметной обласmu. Соответственно поисковые векторы документов и запросов в этом случае превращаются из двоичных векторов в обычные, т. е. с любыми значениями (а не только 0 или 1) своих компонент. Иногда такой подход называют «окрашиванием»* глобального словаря системы. Следует также заметить, что в случае перехода от глобального словаря (отражающего все слова и словоформы) к словарю терминов происходит вырождение полнотекстового характера ПИС и она переходит в категорию систем на основе тезаурусов.

На практике применяются также и другие подходы, расширяющие возможности двоичной (ортогональной и ортонормированной) пространственно-векторной модели. Такие подходы базируются на вероятностно-статистической модели.

.2.2.3 Вероятностно-статистического модель поиска

Можно выделить две разновидности вероятностно-статистического подхода:

-       придание весовых коэффициентов словоформам (терминам)

глобального словаря вне контекста конкретного документа;

-       придание весовых коэффициентов компонентам векторов ПОД

по итогам индексирования конкретного документа (с учетом контекста конкретного документа).

Первый подход основан на анализе итогов индексирования совокупности документов, уже вошедших в базу (хранилище) ПИС [21]. Совокупность словоформ (терминов), обязательно присутствующих в любом документе базы, считается наиболее адекватно отражающей тематику предметной области ПИС, и соответствующие словоформы (термины предметной области) получают наибольший вес, наибольшую значимость в словаре системы, по которому производится индексирование документов. В качестве числовых характеристик весов значимости терминов используются те или иные статистические параметры, такие, например, как относительная или абсолютная частота вхождения термина в документы базы системы. Разновидностью такого подхода является учет количества вхождений в совокупность документов базы тех или иных словоформ или терминов.

Более сложные варианты развития первого подхода основываются на технологиях «обучения» и настраивания ПИС на конкретные предметные области. Традиционный способ обучения основывается на использовании обучающей выборки документов. Такая выборка формируется либо на основе отбора текстов экспертами в конкретной предметной области, либо путем использования документов по соответствующим рубрикам каталогов библиотек и т. п. Далее осуществляется исследование обучающей выборки на предмет статистических показателей вхождений в документы выборки тех или иных словоформ или терминов. Результатом обучения является «окрашенность» (различные весовые коэффициенты словоформ) словаря системы.

Другой подход основывается на апостериорном выделении в поисковом пространстве «сгущений» векторов ПОД и последующем анализе совокупности и количественных данных вхождения в такие группы документов тех или иных словоформ (терминов). Предполагается, что такие группы соответствуют особенностям тематики конкретной предметной области, и словоформы, в них входящие, получают наибольшие весовые коэффициенты на основе тех или иных статистических параметров - azgovorodele.ru. Еще одним вариантом является учет дискриминируемости (различимости) термина. Если при внесении в текст одного из двух близких по векторам ПОД документов какого-либо термина происходит резкое «расщепление» этих векторов, то такой термин считается более информативным и значимым, и его коэффициент важности, соответственно, должен быть выше.

При втором подходе к реализации вероятностно-статистической модели различия в весах значимости словоформ или терминов проявляются по результатам индексирования конкретного документа. В простейшем варианте анализируется, сколько раз тот или иной термин входит в данный документ. Словоформам или терминам, имеющим наибольшее количество вхождений, присваиваются более высокие веса в векторе ПОД. В векторах запросов (ПОЗ) все словоформы или термины считаются равнозначными, но их различные веса в векторах ПОД обеспечивают большую релевантность тех документов, где соответствующие словоформы или термины встречаются наиболее часто. Отдельной ветвью развития второго подхода является использование обратной, интерактивной связи с пользователем [22].

Рассмотрим пример реализации поиска на основе булевой модели в проектируемом ПК.

Предположим нам нужно обработать запрос по выбору тура по значению страны, города, отеля, соединенных логическим «И»: Страна И Город И Отель. В разработанном ПК реализованы следующие этапы обработки поиска:

-       обнаружить в таблице БД «Страна» выбранную клиентом страну;

-       обнаружить в таблице БД «Город» выбранный клиентом город;

-       обнаружить в таблице БД «Отель» выбранный клиентом отель;

-       по этим данным найти наименование тура (наличие межтабличных связей в БД обеспечит поиск);

-       из таблицы «Тур» по найденному наименованию тура найти другие его параметры и в табличном виде вывести на сайте: Наименование тура, Отель, Дата выезда, Дата отъезда, Город выезда, Цена, Разряд отеля, Количество ночей в отеле.

1.3 Разработка структурно-функциональной модели для автоматизации поисково-информационного сервиса турагентства

Для представления бизнес-процесса используем контекстную SADT диаграмму. SADT (от англ. Structured Analysis and Design Technique) - это методология структурного анализа и проектирования, которая интегрирует процесс моделирования, управления конфигурацией проекта, использование дополнительных языковых средств и управление проектом со своим графическим языком [23, 24].

Процесс просмотра и поиска тура с помощью специального сайта выполняется несколькими исполнителями. Пользователь или он же потенциальный клиент имеет возможность просмотреть список всех туров, а также всю информацию и отзывы по ним. Клиент может подобрать тур по критериям которые он сам выбирает: страна, курорт, отель, категория отеля, тип питания, цена, количество людей, даты проведения отдыха. На сайте есть комментарии, которые клиент может прочитать и сделать выводы о отеле, а также может при желании оставить свой комментарий. Управление сайтом ведет администратор, он выполняет все функции связанные с заменой информации или обработки новой информации. Турагент работает только с клиентом, он не меняет содержание сайта и ничем не управляет, кроме заявок, которые оставили клиенты. Все пользователи сайта выполняют одно общее действие - поиск тура.

Контекстная структурно-функциональная диаграмма нулевого уровня для бизнес-процесса «Работа туристического агентства» представлена на рисунке 13. Описание диаграммы представлено в таблице 3.

На рисунке 14 изображена детализирующая SADT-диаграмма первого уровня бизнес-процесса «Работа туристического агентства».

Детализирующая структурная диаграмма расписывает основных пользователей бизнес-процесса, раскрывает нормативную базу для каждого пользователя, входы и выходы для каждого участника бизнес-процесса. Реализация активностей выполняется турагентом, клиентом, администратором. Главную активность бизнес-процесса можно разделить на 7 этапов:

-       «Администрирование базы данных» - на входе есть информация о странах, отелях, турах. По окончание этапа выдаются данные по турам, странам, отелям. Исполнитель является администратор. Этап ограничивается форматом БД;

-       «Поиск тура» - на этом этапе клиент выбирает под свои запросы тур, а по окончании этого этапа клиент уже с выбранным туром. На вход подаются требования клиента и данные по турам, странам, отелям. Главным исполнителем является клиент, который осуществляет поиск с ограничениями на возможности поиска. Этап завершается выбранным туром;

-       «Составления списка документов» - турагент, руководясь тем, что клиент уже выбрал тур и турагент знает страну, он составляет список необходимых документов для клиента на эту страну и отдает клиенту. На вход подается выбранный клиентом тур и сведения о клиенте, исполнитель турагент, который руководствуется ограничениями законодательства Украины и законодательства выбранной страны. По окончание этого этапа определяется список документов клиента;

-       «Подача документов» - клиент собрал необходимые документы для тура и принес турагенту, турагент их проверяет, если все документы то он их регистрирует, а если не все, то клиент уходит и дособирает документы. На входе список документов клиента, исполнитель клиент. Ограничение для этого этапа перечень документов. Результатом выполнения этапа документы клиента;

-       «Формирование пакета документов для тура» - клиент принес все необходимые документы. На входе документы клиента, которые он принес, исполнитель клиент, ограничение - список документов клиента. Результатом выполнения этапа будут 2 исхода либо поданы все не документы и клиент возвращается на предыдущий этап и дособирает документы, либо зарегистрированный пакет документов;

-       «Заключение договора и оплата» - клиент и турагент заключают договор, и клиент договаривается с турагентом о форме оплаты за тур. На входе зарегистрированный пакет документов, исполнителями являются клиент и турагент, ограничение требования к документам. Выходом из этого этапа есть документы на тур (путевка, ваучер на жилье, страховка, договор, билеты, заграничный паспорт, виза), данные о туре;

-       «Оформление документов для туроператора» - турагент имея на руках пакет документов клиентов, оформляет документы для туроператора, который в дальнейшем и бронирует клиенту тур в выбранной стране. Входом на этом этапе есть документы на тур, исполнителем является турагент, ограничением есть правила оформления. Выходом из этого этапа есть заявка на бронирование тура (содержит в себе информацию о клиентах на туры).

Описание детализирующей структурно-функциональной диаграммы первого уровня для бизнес-процесса «Работа туристического агентства» представлено в таблице 4.

Детализирующая SADT-диаграмма второго уровня раскрывает подпроцесс «Поиск тура». На рисунке 15 представлена детализирующая SADT-диаграмма второго уровня бизнес-процесса «Поиск тура», который содержит 10 этапов:

-       «Выбор страны» - на этом этапе клиент выбирает из списка предложенного ему страну, которая его интересует, согласно своим требованиям, соответственно на вход подаются первоначальные требования клиента и пересмотренные требования клиента, исполнитель этого процесса на этом этапе клиент, его выбор ограничен возможностями поиска. В результате выполнения этапа клиент выбрал страну.

-       «Выбор региона» - входом является требования клиента и данные по турам, странам, отелям из базы данных, исполнитель этого этапа клиент, который выбирает предложенные ему из списка регионы с ограничением на возможности поиска. Выходом этого этапа является выбранный регион.

-       «Выбор отеля» - на этом этапе клиент выбирает из списка предложенного ему отель, который его интересует, согласно своим требованиям, на вход подаются уже выбранные ранее клиентом страна и регион, исполнитель этого процесса на этом этапе клиент, его выбор ограничен возможностями поиска. В результате выполнения этапа клиент выбрал отель.

-       «Выбор категории отеля» - категории отелей бывают 2,3,4,5 звезд, в соответствие с этими категориями определяются условия комфорта клиента. Входом являются требования клиента и данные по турам, странам, отелям. Исполнителем является клиент, ограничения - возможности поиска, выходом есть категория отеля.

-       «Выбор сроков поездки» - клиент должен выбрать дату начало поездки и дату конца поездки, входом являются требования клиента и данные по турам, странам, отелям, исполнителем есть клиент, который выбирает сроки поездки с ограничением на возможности поиска. По окончанию этого этапа клиент уже подобрал себе сроки поездки.

Рисунок 13 - Контекстная структурно-функциональная диаграмма нулевого уровня для бизнес-процесса «Работа туристического агентства»

Таблица 3 - Табличное описание контекстной структурно-функциональной диаграммы нулевого уровня для бизнес-процесса «Работа туристического агентства»

Вход

Выход

Исполнители

Управление

Требования клиента; информация о странах, турах, отелях; сведения о клиенте.

Заявка на бронирование, Данные о туре.

Клиент; Турагент; Администратор

Средства БД; возможности поиска; законодательство Украины; законодательство выбранной страны; список документов клиента; наличие документов у клиента; требования к документам; правила оформления.


Рисунок 14 - Детализирующая SADT-диаграмма первого уровня бизнес-процесса «Работа туристического агентства»

Таблица 4 - Описание детализирующей структурно-функциональной диаграммы первого уровня для бизнес-процесса «Работа туристического агентства»

Наименование процесса

Исполнитель

Управление

Вход

Выход

А1

Администриро-вание базы данных

Администратор

Формат базы данных

Информация о странах, отелях, турах

Рабочая база данных по турам, отелям, странам

А2

Поиск тура

Клиент

Возможности сайта, занесенные в базу данных

Личные требования клиента на тур (цена, страна), информация о странах, отелях, турах

Выбранный клиентом тур

А3

Составление списка документов

Турагент

Законодательство Украины, Законодательство выбранной страны

Выбранный тур, сведения о клиенте (ФИО)

Список документов клиента, необходимых для тура

А4

Подача документов

Клиент

Список необходимых документов, который выдал турагент

Список документов клиента

Документы клиента

А5

Формирование пакета документов для тура

Клиент, турагент

Список документов клиента

Документы клиента

Поданы не все документы клиента, зарегистрированный пакет документов

А6

Заключение договора и оплата

Клиент, Турагент

Требования к документам

Зарегистрированный пакет документов

Документы на тур, данные о туре

А7

Оформление документов для туроператора

Турагент

Правила оформления

Документы на тур

Заявка на бронирование тура


-       «Откуда вылет» - клиент должен выбрать город в котором есть аэропорт и из которого будет осуществлена его отправка, входом являются требования клиента и данные по турам, странам, отелям, исполнителем есть клиент, который выбирает откуда вылет с ограничением на возможности поиска. По окончанию этого этапа клиент уже подобрал себе город, из которого будет осуществлен вылет.

-       «Приблизительная цена» - на этом этапе клиент набирает цену, которую он может заплатить за эту поездку, согласно своим требованиям, на вход требования клиента и данные по турам, странам, отелям, исполнитель этого процесса на этом этапе клиент, его выбор ограничен возможностями поиска. В результате выполнения этапа клиент определился с ценой.

-       «Подбор тура по выбранным критериям» - входом на этом этапе является выбранный отель, сроки поездки, место вылета, цена, питание. Исполнителем является клиент, который нажал кнопку поиск тура, ограничение на возможности поиска. В результате выполнения этапа клиенту будет предложено перечень выбранных им туров.

-       «Пересмотр требований» - этот этап существует, если туров по таким критериям как выбрал клиент нет, входом является тура нет, исполнитель клиент, ограничения - возможности поиска. Выходом этого этапа является пересмотренные требования клиента.

-       «Выбор питания» - каждый отель в зависимости от его категории предлагает свои типы питания, но есть общепринятые стандарты:- без питания, BB - в стоимость проживания включен завтрак, HB - в стоимость проживания включен завтрак и ужин, бесплатный чай, кофе, вода на завтрак, FB - в стоимость проживания включен завтрак, обед и ужин, Al - всё включено: завтрак, обед и ужин, UAI - ультра всё включено. Завтрак, поздний завтрак, обед, полдник и ужин. Большинство отелей, работающих по системе UAI, предлагают гостям дополнительное бесплатное питание.

Входом этого этапа являются требования клиента и данные по турам, странам, отелям из базы данных, исполнитель этого этапа клиент, который выбирает предложенные ему типы питания с ограничением на возможности поиска. Выходом этого этапа является выбранное питание. Описание детализирующей SADT-диаграммы второго уровня бизнес-процесса «Поиск тура» представлено в таблице 5.

Рисунок 15 - Детализирующая SADT-диаграмма второго уровня бизнес-процесса «Поиск тура»

Таблица 5 - Описание детализирующей структурно-функциональной диаграммы второго уровня для бизнес-процесса «Поиск тура»

Наименование процесса

Исполнитель

Управление

Вход

Выход

А2.1

Выбор страны

Клиент

Возможности поиска

Требования клиента

Страна

А2.2

Выбор региона

Возможности поиска

Требования клиента

Регион

А2.3

Выбор категории отеля

Клиент

Возможности поиска

Требования клиента

Категория отеля

А2.4

Выбор отеля

Клиент

Возможности поиска

Страна, регион, категория отеля

Выбранный отель

А2.5

Выбор сроков поездки

Клиент

Возможности поиска

Требования клиента

Сроки поездки

А2.6

Откуда вылет

Клиент

Возможности поиска

Требования клиента

Место вылета

А2.7

Приблизительная цена

Клиент

Возможности поиска

Требования клиента

Цена

А2.8

Выбор питания

Клиент

Возможности поиска

Требования клиента

Питание

А2.9

Подбор тура по выбранным критериям

Клиент

Возможности поиска

Выбранный отель, сроки поездки, место вылета, цена, питание

Выбранный тур

А2.10

Пересмотр требований

Клиент

Возможности поиска

Тура нет

Требования клиента


.4 Разработка технического задания для создания программного модульного комплекса для автоматизации поисково-информационного сервиса турагентства

1.4.1 Введение

ПК для автоматизации поисково-информационного сервиса турагентства имеет название «SKY». Проект представляет собой сайт туристического агентства, в котором можно просмотреть интересующие страны, отели, почитать и оставить комментарии. Имеется возможность подобрать тур онлайн - поиск тура по определенным условиям, заданным пользователем. По желанию любой пользователь сайта может бесплатно подать заявку на тур.

.4.2 Основание для разработки

Разработка ПК информационно-поискового сервиса ведется на основании задания на дипломную работу, утвержденного приказом ректора по академии от 03.01.2012 г. № 07-1.

Тема работы: Проект программного комплекса для автоматизации поисково-информационного сервиса турагентства.

Спецчасть: Разработка программного обеспечения сайта поисково-информационного сервиса турагенства.

.4.3 Назначение разработки

Разработанный сайт предназначен для того, чтобы пользователь, сидя дома мог получить всю необходимую информацию о странах, отелях, турах, а также мог в соответствие со своими требованиями подобрать себе тур. Некоторые пользователи, зная страну, в которую хотят поехать, не могут выбрать отель, но когда есть комментарии других пользователей на отели, намного легче сделать выбор. Если клиенту понравился тур, он может не ехать в турагентство, а бесплатно оставить заявку на этот тур. Позже с ним свяжется турагент.

1.4.4 Требования к приложению


1.4.4.1 Требования к функциональным характеристикам

Сайт делится на 2 части: backend и frontend. На backend размещены элементы управления, которыми пользуется администратор сайта, на frontend просматривается информация, нужная для пользователя.

Функциональные составляющие backend:

-       просмотр, удаление, добавление стран (одновременно одна запись);

-       просмотр, удаление, добавление отелей (одновременно одна запись);

-       просмотр, удаление, добавление городов и их фотографий (одновременно одна запись);

-       просмотр, удаление, добавление заявок клиентов (одновременно одна запись);

-       просмотр комментариев и их редактирование (одновременно одна апись);

-       просмотр подписчиков - «subscription - list» (одновременно одна запись);

-       просмотр статуса подписчиков «active/inactive»;

-       просмотр, удаление, добавление тура вручную (одновременно одна апись);

-       добавление тура импортируя из excel (одновременно множество записей);

-       поиск тура по стране и по дате отправления (0,2 с.).

Функциональные составляющие frontend:

-       просмотр списка туров и детальной информации о странах, отелях;

-       функциональный поиск;

-       возможность подписки на обновления (отказ) поступления новой информации (один раз);

-       добавление заявки на тур (множество раз);

-       связь с администратором;

-       добавление комментариев к отелю (множество раз).

1.4.4.2        Требования к надежности

-       ПК не должен приводить к сбоям в работе операционной системы;

-       сайт должен обеспечить обработку информации, которая вводится пользователем или выдать сообщение о его ошибочных действиях;

За сайтом постоянно ведет наблюдение администратор потому в случае отказа роботы, администратор сразу начинает искать проблемы.

 

1.4.4.3 Условия эксплуатации

Условия эксплуатации ПП определяются СанПиН 2.2.2 545-96 «Гигиенические требования к видеодисплейным терминалам, персональным вычислительным машинам и организации работы».

 

1.4.4.4 Требования к составу и параметрам технических средств

Минимальные требования к техническим средствам:

а) со стороны администратора:

-       процесор AMD Sempron 2800+ 1.6 MHz;

-       RAM 256 Mb;

-       Video RAM 128 Mb;

б) со стороны пользователя:

-       процесор AMD Sempron 2800+ 1.6 MHz;

-       RAM 256 Mb;

-       Video RAM 128 Mb;

 

1.4.4.5 Требования к информационной и программной совместимости

ПК может работать под управлением серии операционных систем Win32, Win64 (Windows 95, Windows 98, Windows 2000, Windows NT и т.д.), обязательное условие установленный сервер Apache.

При разработке программного модульного комплекса использовались:

-       система управления базами данных (СУБД) - MySQL;

-       языки программирования - PHP, HTML, JavaScript, CSS;

-       фреймворк YII.

 

1.4.5 Требования к программной документации

Разрабатываемый программно модульный комплекс должен иметь комментарии и дополнительную информацию, облегчающую работу специалиста с программой.

Справка к программному комплексу должна быть в формате *.html.

В состав сопроводительной документации должно входить:

-       руководство пользователя;

-       руководство разработчика;

-       описание кода.

1.4.6 Технико-экономические показатели

Создание сайта туристического агентства позволит сократить время поиска клиентом тура. Использование системы обслуживания клиентов позволит круглосуточно принимать заказы, параллельно с работой самого турагентства. Такой механизм привлекает больше покупателей и увеличивает эффективность работы сайта. Также с помощью автоматизации экономиться количество рабочих и деньги, которые необходимо потратить на рекламу о турагентстве.

1.4.7 Стадии и этапы разработки

Стадии и этапы разработки ПП представлены в таблице 6.

Таблица 6 - Стадии и этапы разработки

Этап/Срок выполнения

Содержание работ

Процентное выполнение, %

1

Техническое задание

Анализ и формализация требований к ПК, планирование работ по разработке для автоматизации поисково-информационного сервиса турагентства

20

2

Эскизный проект

Предварительная разработка проекта прог-раммного модульного комплекса для авто-матизации поисково-информационного сер-иса турагентства с использованием UML методологий. Разработка математической

30

Этап/Срок выполнения

Содержание работ

Процентное выполнение, %



модели


3

Технический проект

Реализация рабочей версии ПК с ос-новной функциональность. Создание БД, ее заполнение, создание клиентской и администраторской части. Создание связей между базой данных и интер-фейсом клиента и администратора

30

4

Рабочий проект

Корректировка и доработка программно-го обеспечения, разработка документации

15

5

Внедрение

Разработка мероприятий по внедрению и сопровождению ПП

5


.4.8 Порядок контроля и приемки

Для проверки правильности работы системы необходимо провести тестирование всех функций системы. Введение в эксплуатацию программно модульного комплекса должно проводиться после подтверждения работоспособности системы и выполнения системой указанных функций. Во время приема информационной автоматизированной системы подписывается акт приема-передачи и передается техническая документация на систему. Тестирование и прием осуществляется комиссией.

.5 Разработка средств моделирования программно комплекса для автоматизации поисково-информационного сервиса турагентства

.5.1 Разработка логической модели программно комплекса для автоматизации поисково информационного сервиса турагентства

Администратор осуществляет управление сайтом. В его обязанности входит вся работа с турами (удаление, создание, редактирование), работа с отелями и комментариями на них, управление заявками. Кроме администратора никто не видит данные аутентификации и не может управлять ими.

Права турагента не велики с точки зрения сайта. Турагент осуществляет постоянный поиск туров, на которые возможно уже оставили заявки клиенты. В обязанности турагента входит обработка заявок клиентов, он должен перезванивать клиентам и уточнять подробности заказа тура. У заявки есть статус, если турагент обработал заявку, он меняет ее статус.

Клиент может просматривать информацию о турах, странах, отелях, читать комментарии и если он захочет, то оставить свой комментарий на отель. Клиент может осуществить поиск тура, а если ему понравится конкретный тур, то он может оставить на него заявку и после этого с ним свяжется турагент. Турагент и клиент могут осуществлять поиск тура по различным критериям по дате начала тура, по стоимости тура, по стране.

Клиент с турагентом связан, через поиск тура, потому как клиент оставляет заявку на тур, а турагент ее обрабатывает. Администратор с турагентом связан через аутентификацию, потому что турагент не может приступить к своей работе, не пройдя аутентификацию, за которой следит администратор.

На рисунке 16 представлена диаграмма прецедентов Работа сайта туристического агентства. Детальное описание прецедентов «Информация о странах, отелях, турах» и «Поиск тура» представлены в таблицах 8, 9.

Таблица 8 - Описание прецедента «Информация о странах, отелях, турах»

Основной исполнитель - Клиент

Входные данные: - требования клиента;

Основной успешный сценарий (основной процесс): - Клиент просмотрел информацию, просмотрел комментарии, возможно, добавил комментарий

Частота выполнения: - при каждом запросе от клиента

Постусловия (результаты): - информация просмотрена, возможно, добавлен комментарий

Выходные данные: - новые комментарии к турам.


Рисунок 16 - Диаграмма прецедентов «Работа сайта туристического агентства»

Таблица 9 - Описание прецедента «Поиск тура»

Основной исполнитель - Клиент

Входные данные: - требования клиента к желаемому туру;

Основной успешный сценарий (основной процесс): - Клиент подобрал параметры тура, осуществил поиск, возможно, добавил заявку на тур

Частота выполнения: - при каждом запросе от клиента

Постусловия (результаты): - тур найден, возможно, добавлена заявка в базу данных

Выходные данные: - добавлена заявка на тур в базу данных.


Диаграмма классов служит для представления статической структуры модели системы в терминологии классов объектно-ориентированного программирования. Диаграмма классов может отражать, в частности, различные взаимосвязи между отдельными сущностями предметной области, такими как объекты и подсистемы, а также описывает их внутреннюю структуру и типы отношений. Диаграмма классов состоит из множества элементов, которые в совокупности отражают декларативные знания о предметной области [25, 26].

В турагентстве работают работники, которые делятся на две роли: администратор и турагент. Турагент работает с клиентом, а также в его обязанности входит работа с документами: для клиента, заявка на бронирование, отчет о туре. Турагентство содержит туры, а также документы на эти туры. Тур содержит страну, которая имеет свои отели. Отели содержат свои изображения.

Клиент выбирает тур, если тур ему понравился он оставляет на него заявку. После подачи заявки турагент связывается с клиентом и уточняет подробности тура. Если клиент согласен с условиями тура, то турагент составляет список необходимых документов для клиента на тур. Когда клиент соберет все необходимые документы, он приносит их в турагентство для подачи на тур.

Администратор управляет турами, и всем что касается тура: страны, отели, изображения.

Каждый раз в турагентстве оформляются похожие туры, и когда их накапливается много, турагент подает заявку на бронирование для туроператора, который ответственный за эту заявку в стране, на которую оформлен тур.

Рассмотрим структуру классов в разрабатываемой дипломной работе. Прежде всего, нужно выделить класс «Турагентство», в котором содержится класс «Работник» и класс «Документ». Для ведения и поддержания сайта необходимо несколько работников разных специальностей, таких как «Администратор», «Турагент».

Класс «Тур», один из центральных, к нему относятся: класс «Страна», класс «Отель», класс «Заявка», класс «Изображение».

В любом турагентстве существует ведение документации, поэтому нужен класс «Документ», который является классом предком для классов: «Документ клиента», «Заявка на бронирование», «Отчет о туре».

Выделим класс «Клиент», который выбирает для себя тур и при желании может оставить на него заявку. Диаграмма классов представлена на рисунке 17, а ее описание представлено в таблице 10.

Таблица 10 - Описание диаграммы классов для предметной области «Поисково-информационный сервис турагентства»

Наименование класса

Обязанности класса

Работник

Отвечает за сохранение данных о работниках

Администратор

Содержит информацию администратора

Турагент

Содержит информацию турагента

Клиент

Содержит информацию, связанную с пользователем

Тур

Содержит информацию о туре

Страна

Содержит информацию о стране

Отель

Содержит информацию по отелям

Заявка

Отвечает за сохранение данных о заявки

Документ

Отвечает за сохранения данных о документах

Документ клиента

Содержит документы клиента

Заявка на бронирование

Содержит информацию о заявках клиентов на бронирование

Отчет о туре

Содержит информацию о туре

Отчет для начальства

Содержит информацию о проделанной работе работников


Диаграмма последовательности является одной из разновидности диаграмм взаимодействия и предназначена для моделирования взаимодействия объектов Системы во времени, а также обмена сообщениями между ними [27].

Одним из основных принципов ООП является способ информационного обмена между элементами Системы, выражающийся в отправке и получении сообщений друг от друга. Таким образом, основные понятия диаграммы последовательности связаны с понятием Объект и Сообщение [28]. На диаграмме последовательности изображаются исключительно те объекты, которые непосредственно участвуют во взаимодействии и не показываются возможные статические ассоциации с другими объектами.

Рисунок 17 - Диаграмма классов для предметной области «Поисково-информационный сервис турагентства»

Для диаграммы последовательности ключевым моментом является именно динамика взаимодействия объектов во времени. При этом диаграмма последовательности имеет как бы два измерения [29]. Одно - слева направо в виде вертикальных линий, каждая из которых изображает линию жизни отдельного объекта, участвующего во взаимодействии. Графически каждый объект изображается прямоугольником и располагается в верхней части своей линии жизни. Внутри прямоугольника записываются имя объекта и имя класса, разделенные двоеточием.

В ПК существует вкладка «Поиск тура» на которой клиент может подобрать тур по интересующим его критериям: страна, город, отель, категория звезды отеля, дата начала тура, дата окончания тура, город вылета.

После того, как клиент выбрал критерии поиска тура, он нажимает на кнопку «Поиск» и ниже под кнопкой высвечивается таблица. В этой таблице есть отдельная колонка «Подача заявки», в которой содержится ссылка на определённую заявку к туру.

Если клиенту понравился какой-либо тур, и он хочет чтоб с ним связался туроператор, он может подать на тур заявку. Приложение создает новую заявку и уточняет, на какой именно тур подана заявка. После уточнения приложение выдает клиенту форму заполнения заявки, в которой два обязательных поля «email» и «telephone». Клиент заполняет форму заявки и нажимает на кнопку «Сохранить». Приложение сохраняет заявку и добавляет ее в таблицу «Заявка» к другим поданным заявкам.

Диаграмма последовательности действий подачи заявки клиентом на определенный тур изображена на рисунке 18.

Основными понятиями ER-модели являются сущность, связь и атрибут [30].

Сущность - это реальный или представляемый объект, информация о котором должна сохраняться и быть доступна [31].

В ПК Клиент осуществляет поиск тура, и если тур клиенту понравился он может подать на него заявку. Тур в себе содержит страну, которая содержит город. В городе есть свои отели, которые содержат свои изображения и описание отеля.

На любой отель клиент при желание может оставить комментарий.

В процессе анализа предметной области были выделены такие сущности

Рисунок 18 - Диаграмма последовательностей действий для подачи заявки на тур

-       клиент;

-       страна;

-       тур;

-       город;

-       отель;

-       изображения;

-       заявка.

Сущность «Клиент» создана для регистрации клиентов и содержит атрибуты: id клиента, имя, @mail, пароль. Сущность «Заявка» предоставляет подачу клиентом заявки на желаемый тур и содержит атрибут id заявки, @mail, № телефона, дата. Сущность «Тур» содержит атрибуты: id тура, дата начала, дата конца, город вылета, цена, название, количество ночей. Сущность «Страна» хранит перечень стран и содержит атрибуты: id страны, название, описание. Сущность «Город» хранит перечень городов и содержит атрибуты: id города, название, описание. Сущность «Отель» хранит перечень отелей и содержит атрибуты: id отеля, название, описание, звезда. Сущность «Изображения» содержит атрибуты: id изображения, название. Связь «Ставит комментарии» необходима для клиента, который желает прокомментировать отель и содержит атрибуты: id комментария, содержание, дата, имя комментатора.

Степень связь между «Клиент» и «Заявка» многие ко многим. Степень связи между «Тур» и «Страна» один к одному. Степень связь между «Страна» и «Город» один ко многим. Степень связь между «Город» и «Отель» один ко многим. Степень связь между «Отель» и «Изображения» один ко многим. Степень связь между «Клиент» и «Отель» многие ко многим.

На рисунке 19 представлена ER-диаграмма для сайта туристического агентства.

Ниже представлен окончательный набор отношений:

R1 (Страна) = (id страны);

R2 (Тур) = (id тура, id страны);

R3 (Город) = (id города, id страны);

R4 (Отель) = (id отеля, id города);

R5 (Комментарии) = (id клиента, id отеля, id комментария, дата);

R6 (Заявка) = (id заявки, id тура, @mail клиента);

R7 (Изображения) = (id изображения, id отеля);

R8 (Клиент) = (id клиента).

 

1.5.2 Разработка физической модели проекта ПК для автоматизации поисково-информационного сервиса турагентства

На этапе физического проектирования баз данных превращаются отношения, созданные на основе логической модели данных, в форму, которая может быть реализована в среде написания БД [32]. При этом надо помнить о таких важных деталях БД как, не переполненность сохранения данных и их целостность. Для этого в приложении реализована проверка данных, которые вводятся, на соответствие ввода в определенные поля (формат, длина записи). Это позволяет избегать появлению пустых строк в БД и несоответствие данных [33].

Рисунок 19 - ER-диаграмма для сайта туристического агентства

На этапе создания заполнения таблиц, точно были определены поля по которым необходимо проводить поиск в БД. При разработке физической структуры БД были получены таблицы (таблицы 11 - 18) для сохранения данных на основе построения отношений к ER-диаграмме в логической модели. Данные таблицы необходимы для сохранения всех данных, которые необходимы для полноценного функционирования сайта турагентства. В таблицах указано название поля, при этом можно понять, что в нем хранится, а также тип данных и максимальный размер записи.

Таблица 11 - «Город»

№ п/п

Поле

Тип

Размер

1

ID_города

Целочисленный

11

2

ID_страны

Целочисленный

11

3

Название

Символьный

255

4

Описание

Текстовый


Таблица 12 - «Страна»

№ п/пПолеТипРазмер




1

ID_страны

Целочисленный

11

2

Название

Символьный

255

3

Описание

Текстовый



Таблица 13 - «Комментарии»

№ п/п

Поле

Тип

Размер

1

ID_комментария

Целочисленный

11

2

ID_отеля

Целочисленный

11

3

Название отеля

Текстовый


4

Контент

Текстовый


5

Дата создание

Целочисленный

11

6

Имя комментатора

Символьный

20


Таблица 14 - «Заявка»

№ п/п

Поле

Тип

Размер

1

ID_заявки

Целочисленный

11

2

ID_тура

Целочисленный

11

3

E-mail

Символьный

255

4

Телефон

Целочисленный

11

5

Дата создания

Дата



Таблица 15 - «Отель»

№ п/п

Поле

Тип

Размер

1

ID_отеля

Целочисленный

11

2

ID_города

Целочисленный

11

3

Название

Символьный

255

4

Описание

Текстовый


5

Звезда

Целочисленный


Таблица 16 - «Изображение»

№ п/п

Поле

Тип

Размер

1

ID_изображения

Целочисленный

11

2

ID_отеля

Целочисленный

11

3

Название

Символьный

255

4

Разширение

Символьный

255

Таблица 17 - «Клиент»

№ п/п

Поле

Тип

Размер

1

ID_клиента

Целочисленный

11

2

Имя

Символьный

255

3

E-mail

Символьный

255

4

Пароль

Символьный

255

5

Дата создания

Дата/Время



Таблица 18 - «Тур»

№ п/п

Поле

Тип

Размер

1

ID_тура

Целочисленный

11

2

ID_отеля

Целочисленный

11

3

ID_заявки

Текстовый


4

Дата начальная

Дата


5

Дата конечная

Дата


6

Город вылета

Символьный

255

7

Стоимость

Целочисленный

11

8

Название

Символьный

255

9

Количество ночей

Целочисленный

11


1.5.3 Виды обеспечения функционирования для создания проекта ПК для автоматизации поисково-информационного сервиса турагентства

Для создания ПК для автоматизации поисково-информационного сервиса турагентства необходимо выбрать фреймворк. Одно из основных преимуществ использования каркасных методов - это то, что такие программы имеют стандартную структуру.

Каркасы стали популярными с появлением элементов интерфейса, которые имели тенденцию к реализации стандартной структуры для приложений [34]. С их использованием стало намного проще создавать средства для автоматического создания графических интерфейсов, так как структура внутренней реализации кода программы стала известна заранее.

Для использования каркаса обычно используют подходы обьектно-ориентированного программирования, например, части программы могут наследоватся от базовых класссов фреймворка. На данный момент существует достаточно много фреймворков, поэтому опишем несколько наиболее популярных и сравним их (таблица 19).

Таблица 19 - Сравнение фреймворков

Параметр сравнения

Zend framework

Code igniter 2

Kohana 3

Yii 1.1

Описание

Грамотный код, гибкий, требует хорошего знания PHP и ООП. Понадобится настраивать под. себе перед тем как использовать

Почти микрофрейиворк. Легко изучить. Отличная документация. Гибкий. Легко использует сторонний код

Быстрый, гибкий. Свой поход к модульности. Мало документации

Легкий в изучении, собрат все лучшее от Rails, хорошая система view, генераторы кода, тесная интеграция

Необходимый уровень знаний

PHP5, ООП, шаблоны проектирования

PHP, основы ООП.

PHP5, ООП

PHP5, ООП

Проекты

Среднии - большие

Маленькие - большие

Маленькие - большие

Маленькие - большие

PHP 5.2

Да

Да

Да

Да

Жесткая структура каталогов

Нет

Да

Да

Нет

Официальная поддержка интернационализации

Да

Да

Да

Да

Сложность установки

Высокая

Низкая

Низкая

Средняя

Требует установки

Много

Немного

Немного

Немного

Полная поддержка ORM

Нет

Нет

Да

Active Record

Документация и примеры

Хорошая

Отличная

Плохая

Отличная

Англоязычное сообщество

Да

Форум, Wiki, туториалы, блоги

Форум, блоги

Да

Русскоязычное сообщество

Да

Документация, форум, блоги

Нет

Документация, форум, блоги

Лицензия

New BSD

Своя

BSD-style

New BSD


В ходе сравнения явно видно, что лучше всего подходит фреймворк YII 1.1 потому, что он довольно легкий в изучении, предназначен как для создания маленьких так и больших проектов и имеет отличную документацию.

2. СПЕЦИАЛЬНАЯ ЧАСТЬ. РАЗРАБОТКА ПРОГРАММНОГО ОБЕСПЕЧЕНИЯ САЙТА ПОИСКОВО-ИНФОРМАЦИОННОГО СЕРВИСА ТУРАГЕНТСТВА

.1 Структура и функциональное предназначение модулей программного комплекса «ПК для автоматизации проектирования поисково-информационного сервиса турагентства»

Диаграмма модулей отражает функциональные модули и связь между ними [35, 36]. Главная страница сайта (модуль index.php) представляет информацию о горящих турах, последних новостях туристического агентства. Модуль about.php реализует информацию об описании турагентства и его контактных данных. Модуль сountries and hotels.php выводит информацию о существующих странах, городах, отелях, также можно просмотреть фотографии и комментарии, добавить свои комментарии к отелям. Модуль search.php осуществляет подбор тура по выбранным критериям (выбор страны, выбор города, выбор категории отеля, выбор отеля, выбор сроков поездки). Модуль comments.php реализует добавление и просмотр комментариев к отелю, которые будут показаны на вкладке сountries and hotels. Модуль entry.php осуществляет добавление заявки клиента на тур, после того как клиент оставляет заявку турагент с ним связывается чтобы уточнить подробности тура. Модуль entry.php отображается на вкладке search.php.

Каждый модуль связан с базой данных. Модуль comments.php получает у БД id_отеля, на который клиент желает оставить комментарий. Модуль сountries and hotels.php получает у БД полную информацию о странах, городах, отелях. Модуль entry.php из БД получает id_тура и клиент оставляет заявку на желаемый тур. К модулю index.php построен в БД запрос на выборку горящих туров, значит, этот модуль получает от БД список горящих туров.

Диаграмма модулей «Работа сайта туристического агентства» представлена на рисунке 20. Табличное описание диаграммы модулей Работа сайта туристического агентства представлено в таблице 20.

Рисунок 20 - Диаграмма модулей «Работа сайта туристического агентства»

Таблица 20 - Описание модулей ПМК Работа сайта туристического агентства

Модуль

Описание

index.php

главная страница сайта, представляет информацию о горящих турах

about.php

реализует информацию об описании турагентства и его контактных данных

сountries and hotels.php

выводит информацию о существующих странах, отелях, также можно просмотреть фотографии и комментарии к отелям

search.php

осуществляет подбор тура по выбранным критериям (Выбор страны, выбор региона, выбор категории отеля, выбор отеля, выбор сроков поездки, откуда вылет, приблизительная цена, выбор питания)

comments.php

реализует добавление и просмотр комментариев к отелю

entry.php

осуществляет добавление заявки клиента на тур


.2 Результаты углубленной разработки отдельных модулей

Рассмотрим модуль index.php (главная страница) [37, 38, 39]. Запрос и вывод горящих туров представлен на рисунке 21.

public function getHotTurList() {

 $connection=Yii::app()->db; //подключение к бд

 $sql='SELECT * FROM tur WHERE (DATEDIFF(start_date, CURDATE()) <= 5) AND (DATEDIFF(start_date, CURDATE()) > 0) '; //текст запроса

 $command=$connection->createCommand($sql);

 $c = $command->queryAll(); //вывести все записи

 foreach($c as $one)

 {?>

 <b>Название тура - <?php echo $one['title'],'<br>';?></b>

 <b>Дата начала - <?php echo $one['start_date'],'<br>';?></b>

 <b>Город вылета - <?php echo $one['gorod_vileta'],'<br>';?></b>

 <b>Стоимость - <?php echo $one['cost'],' грн<br>';?> </b>

 <b>Количество ночей - <?php echo $one['nights'],'<br>';?></b><br />

 <?php

 }

}

Рисунок 21 - Фрагмент кода вывода горящих туров

Запрос на горящие туры состоит в том, что берется дата начала тура и текущая дата, и сравнивается если текущая дата меньше даты начала тура на 5 дней, то выводим запрос [40, 41].

На рисунке 22 представлен вывод списка всех стран, городов, отелей (модуль сountries and hotels.php).

$Countries = Countries::model()->findAll(); //обьявление модели

            foreach ($Countries as $country): $country->title //вывод названия стран($country->cities as $city) {

php echo $city->title //вывод названия городов

 foreach ($city->hotels as $hotel)

{$hotel->title //вывод названия отелейendforeach;

Рисунок 22 - Фрагмент кода вывода стран, городов, отелей

Горящие туры составляются из таблицы тур путем запроса. На рисунке 23 представлено вывод списка туров (модуль search.php). Туры занесены в таблицу, в которой последнее поле это ссылка на заявку, которую может оставить клиент [42, 43, 44].

$this->widget('zii.widgets.grid.CGridView', array(

'id'=>'record-grid',

'dataProvider'=>$_dataProvider,

'ajaxUpdate'=>false,

'pager' => array(

 'class'=>'CLinkPager',

),

'emptyText' => Yii::t('content', 'No result found'),

'columns'=>array(

array(  

  'name'=>'Название',

  'type'=>'raw',

  'value'=>'$data->title',

 ),

array(

  'header' => 'Отель',

  'name'=> 'hotel_id',

            'value' => '$data->hotels->title',

),

 'start_date:strdate',

 'end_date:strdate',

 'gorod_vileta',

 'cost',

 'nights',

array(

'name' => 'Оставить заявку',

'type' => 'raw',

'value' => 'CHtml::link(\'Оставить заявку\', Yii::app()->createUrl( "entry/entry_form/".$data->id ) );',

 ),

Рисунок 23 - Вывод списка туров

Если клиенту понравился какой либо тур он может оставить на него заявку, путем заполнения своих контактных данных [45, 46]. После того как он заполнил свои данные заявка заносится в таблицу ко всем остальным и турагент увидя заявку с админ части должен связатся с клиентом для уточнения выбранного тура. На рисунке 24 представлено занесение заявки в таблицу (модуль entry.php).

<?php EntryController extends IndexController{

public function actionEntry_form($id){ //передача id тура

 $modelEntry=new Entry;(isset($_POST['Entry'])){

$modelEntry->attributes=$_POST['Entry']; //присваеваем моделе заявка данные из post

 $modelEntry->attributes=array('tur_id'=>$id);

  if($modelEntry->save()) //сохранение заявки в таблицу

  Yii::app()->user->setFlash('success',"Заявка отправлена");

  $this->refresh();

 }

 $this->render('entry_form',array('model'=>$modelEntry)); //перенаправление на форму заявка

}

}

?>

Рисунок 24 - Занесение заявки клиента в таблицу заявка

Поиск тура осуществляется по некоторым критериям, один из них отель [47, 48]. На рисунке 25 представлен вывод отелей для поиска (модуль search.php).

<?php echo $form->labelEx($model,'Hotels'); ?>

<?php echo $form->dropDownList($model,'hotel_id', array(),array(

   'empty'=>Yii::t('default','Select hotel'),

   'id' => 'Address_hotel'

  ));?>

Рисунок 25 - Фрагмент кода вывода списка отелей для поиска тура

Отель выбирается из выпадающего списка по имени, а в базе данных хранится «hotel_id»

2.3 Отдельные виды обеспечения поисково-информационного сервиса работы турагентства


При разработке программного обеспечения большую роль играет аппаратная платформа, на которой оно будет использоваться. Для нормальной работы ПК для автоматизации поисково-информационного сервиса турагентства минимальная конфигурация персонального компьютера указана в таблице 21.

Таблица 21 - Минимальные системные требования к ПК

Вид

Наименование

Процессор

AMD Sempron 2800+ 1.6 MHz;

Оперативная память

512 Мб

Видеокарта

Не менее 64Мб памяти

Объем памяти на жестком диске

2 ГБ памяти на жестком диске

Монитор

Разрешение не менее 1024х768

Устройства взаимодействия с пользователем

Клавиатура, мышь


Информационное обеспечение - создание информационных условий функционирования системы, обеспечение необходимой информацией, включение в систему средств поиска, получения, хранения, накопления, передачи, обработки информации. Создание информационного обеспечения это непременное условие построения и функционирования автоматизированных систем управления.

Информационное обеспечение ПК представлено базой данных, которая была создана с помощью веб-средства phpMyAdmin.

РhpMyAdmin - веб-средство с открытым кодом, написанное на языке PHP <#"791938.files/image028.gif">

Рисунок 26 - Структура таблицы страны

Рисунок 27 - Структура таблицы город

Рисунок 28 - Структура таблицы отели

Рисунок 29 - Структура таблицы изображения

Рисунок 30 - Структура таблицы комментарии

Рисунок 31 - Структура таблицы заявка

Рисунок 32 - Структура таблицы тур

Рисунок 33 - Структура таблицы клиент

2.4 Элементы интерфейса ПК для поисково-информационного сервиса турагентства

Зайдя на сайт турагентства, пользователь попадает на главную страницу сайта, на которой расположены горящие туры (рисунок 34). В верхней части сайта его название, ниже перечень вкладок. Перейдя на вкладку «Countries and Hotels» пользователь видит справа меню по которому он может выбрать интересующую ему страну, город и отель и просмотреть фотографии, описание, комментарии отеля, также при желание может оставить комментарий (рисунок 35). Если пользователя интересует конкретный тур, он может перейти на вкладку «Search» и выбрать критерии поиска тура (рисунок 36). После того как поиск осуществлен и пользователю понравился конкретный тур, он может оставить на него заявку, заполнив свои контактные данные (рисунок 37).

Рисунок 34 - Главная страница сайта

Рисунок 35 - Вкладка «Countries and Hotels»

Рисунок 36 - Вкладка «Search»

Рисунок 37 - Добавление заявки

2.5 Инструкция пользователя ПК для автоматизации проектирования поисково-информационного сервиса турагентства

Для управления сайтом нужно перейти в администраторскую часть . Для этого переходим по адресу example/admin.php, вводим свой пароль и логин (рисунок 38). После этого перед нами слева меню, из которого мы можем выбрать любую страницу и управлять ей. Выберем страницу «Countries» и действие «Create country», заполнив поля новая страна добавится в БД (рисунок 39).

Рисунок 38 - Регистрация администратора

Рисунок 39 - Создание новой страны

Кроме создания существуют действия: удаления, обновления, просмотра. Администратор может выполнять все эти действия без ограничения. Администраторская часть полностью автоматизирована, все что видит и вводит пользователь, администратор может просмотреть, изменить или удалить со страниц сайта. Любой плохой комментарий администратор сразу удалит, и пользователю отправить на email предупреждающее письмо.

3. ЭКОНОМИЧЕСКАЯ ЧАСТЬ

3.1 Расчёт капитальных затрат на создание проекта программного комплекса для автоматизации поисково-информационного сервиса турагентства

Капиталовложения в создание ПМК носят единовременный характер. Капиталовложения находят по формуле [49]:

,                                      (6)

где К1 - затраты на оборудование, грн.;

К2 - затраты на лицензионные программные продукты, грн;

К3 - затраты на создание ПО, грн.

Для приобретения одного компьютера, на котором будет использоваться разрабатываемый программный продукт требуется затратить К1=4000 грн. Стоимость одного ноутбука Acer TravelMate 5740z =4000грн.

В связи с тем, что данная компьютерная техника не покупалась непосредственно для данной разработки, то определим ее остаточную стоимость через 3 года эксплуатации.

Годовая норма амортизации составляет 15% от стоимости техники:

АВ = K × Na = 4000 × 0,15 = 600 грн.

= 4000 - 600 = 3400 грн.

АВ = K × Na = 3400 × 0,15 = 510 грн.

K = 3400 - 510 = 2890 грн.

АВ = K × Na = 2890 × 0,15 = 433,5 грн.

K1 = 2890 - 433,5 = 2456,5 грн.

Затраты на лицензионные программные продукты находят по формуле:

,                                      (7)

где Ni - количество единицы i-го оборудования, необходимого для реализации ПК, шт.; i - цена единицы i-го оборудования, грн.

Для реализации ПК необходимо следующие лицензионные программные продукты:

- Microsoft Office Home (650 грн.), 1 шт.;

- ОС Windows 7 Home Basic <#"791938.files/image044.gif">,                   (8)

где З1 - затраты труда программистов-разработчиков, грн.;

З2 - затраты компьютерного времени, грн.;

З3 - косвенные (накладные) расходы, грн.

Затраты труда программистов найдем по формуле 8:

,               (9)

где Nk - количество разработчиков k-й профессии, чел; k - часовая зарплата разработчика k-й профессии, грн.;зар - коэффициент начислений на фонд заработной платы, доли; к - общая трудоемкость, ч.

Принимаем Nk=1 человек. Принимаем Kзар = 1,425.

Расчет трудоемкости разработки для каждого разработчика определяется по формуле (10):

k = t1k+ t2k+ t3k + t4k + t5k + t6k,                 (10)

где t1k, t2k, t3k, t4k, t5k, t6k - время, потраченное на каждом этапе разработки k-м разработчиком, час.

Часовая зарплата разработчика определяется по формуле (11).

,                               (11)

где Мк - месячная зарплата k-го разработчика, грн.;месk- месячный фонд времени его работы, час.

Принимаем:

Мk =3000 грн.

 =160 часов (20 раб дн.*8 часов). k =3000/160=18,75 грн/час.


Таблица 22 - Длительность этапов разработки проекта ПК для автоматизации поисково-информационного сервиса турагентства

Этап

Содержание работ

Трудоемкость, часов

Анализ требований

Документирование бизнес-процесса «Работа сайта турагентства» на основе SADT

70

Техническое задание

Документирование анализа и формализация требований к ПК в виде технического задания на разработку ПК для автоматизации поисково-информационного сервиса турагентства

90

Эскизный проект

Предварительная разработка проекта ПК для автоматизации поисково-информаци-онного сервиса турагентства с использо-ванием UML: диаграммы прецедентов, диаграммы классов и последовательности

120

Этап

Содержание работ

Трудоемкость, часов

Технический проект

Реализация рабочей версии ПК для автоматизации поисково-информацион-ного сервиса турагентства с реализацией всех функций приведенных в пункте 1.4.4.1 технического задания

130

Рабочий проект

Исправление и доработка программного обеспечения ПК для автоматизации поисково-информационного сервиса турагентства, разработка документации

130

Внедрение

Разработка мероприятий для внедрения и сопровождения ПК для автоматизации поисково-информационного сервиса турагентства

40

Итого:


580


Значит, Tk=580 часов.

Тогда по формуле 9 вычислим:

З1 = 1 × 18,75 × 580 × 1,425 = 15496,87 грн.

Расчет затрат компьютерного времени выполним по формуле 12:

З2 = Ск ×F0 ,                         (12)

где Ск - стоимость компьютерного часа, грн.;0 - затраты компьютерного времени на разработку программы, час.

Стоимость компьютерного часа вычисляется по формуле:

СК= СА + СЭ + СТО ,                         (13)

где СА - амортизационные отчисления, грн.;

СЭ - затраты на электроэнергию, грн.;

СТО - затраты на техобслуживание, грн.

Амортизационные отчисления найдем по формуле:

,                                  (14)

где Сi = 2456,5 - балансовая стоимость i-го оборудования, которое использовалось для создания ПК, грн.; А - годовая норма амортизации i-го оборудования, доли;год - годовой фонд времени работы i-го оборудования, час.

Для компьютерной техники NA =0,15.

Принимаем: Fгод 1 =1920 часов (160 часов * 12 месяцев) для ПК.

По формуле 14 получим:

СА =2456,5*0,15/1920 = 0,19 грн.

Энергозатраты найдем по формуле:

СЭ= РЭ×СкВт ,            (15)

где РЭ - расход электроэнергии, потребляемой компьютером. РЭ=0,1кВт/ч;

СкВт = - стоимость 1 кВт/ч электроэнергии, грн. СкВт = 0,95грн.

Тогда по формуле 15 получим:

СЭ =0,1*0,95 = 0,09 грн.

Затраты на техобслуживание найдем по формуле:

СТО= rТО·l ,                                      (16)

где rТО - часовая зарплата работника обслуживающего оборудование, грн.;

l - периодичность обслуживания.

Принимаем rто =1700/160 =10,63 грн./час.

Периодичность обслуживания - l, определяется по формуле:

l= Nто / Fмеc ,                                   (17)

где Nто - количество обслуживаний оборудования в месяц;мес - месячный фонд времени работы оборудования, час.

Принимаем Nто=1 и Fмес = 160 часов.

Тогда по формуле (17) вычислим:

λ=1/160 = 0,00625.

Используя формулу 16, получим:

СТО =0,00625*10,63 = 0,07 грн.

Тогда по формуле 13 найдем:

Ск А ЭТО = 0,19 + 0,09 + 0,07 = 0,35 грн.

Таким образом, по формуле 12 определим:

З2 = Ск F0 = 0,35*580=203 грн.

Косвенные расходы З3 определяются по формуле (18).

,                          (18)

где С1 - расходы на содержание помещений, грн.;

С2 - расходы на освещение, отопление, охрану и уборку помещения, грн.;3 - прочие расходы (стоимость различных материалов, используемых при разработке проекта,услуги сторонних организаций и т.п.), грн.

Площадь помещения составляет 20 м2, значит, стоимость аренды помещения составляет 1800 грн. (90 грн/м2).

С1 - затраты на содержание помещений составляют 2% от стоимости здания.

С1 = 1800*0,02=36 грн.

С2 - расходы на освещение, отопление, охрану и уборку помещения, составляют 0.2-0.5% от стоимости дома.

С2 =1800*0,004 = 7,2 грн. 3 - прочие расходы (стоимость различных материалов, используемых при разработке проекта, услуги сторонних организаций и т.п.) составляют 100% от стоимости вычислительной техники. 3 = 1*2456,5 = 2456,5 грн.

Тогда, используя формулу (18), получим:

З3 = 36+7,2+2456,5 =2499,7 грн.

Таким образом, по формуле (3.3) рассчитаем затраты на создание ПК:

К3 = 15496,87 + 203 + 2499,7=18199,57 грн.

По формуле (6) капитальные затраты на выполнение и реализацию ПК составят:

К= 2456,5 + 1370 + 18199,57=22026,07 грн.

3.2 Расчёт годовой экономии от создания ПК для автоматизации поисково-информационного сервиса турагентства

Годовая экономия от создания ПК для автоматизации поисково-информационного сервиса турагентства рассчитывается по формуле [49]:

,                (19)

где tip, tia - трудоёмкость выполнения i-й операции соответственно в ручном и автоматизированном варианте, час;ip, kia - повторяемость выполнения i-й операции в ручном и автоматизированном вариантах в течении года, шт.;p, Ca - часовая себестоимость выполнения операций в ручном и автоматизированном вариантах, грн.;- количество различных операций, выполнение которых автомати-зируется.

Трудоемкость разработки проекта ПК в ручном и автоматизированном варианте представлена в таблице 23.

Расчет себестоимости выполнения работ для информационно-поискового сервиса турагентства в ручном варианте определяется по формуле:

,                         (20)

где C1p - затраты на оплату труда персонала, грн.;2p - косвенные расходы, грн.

Таблица 23 - Трудоемкость разработки проекта ПК в ручном и автоматизированном варианте

Содержание операций вручную и автоматически

Ежедневная трудоемкость выполнения операций, час

Повторяемость (раз/час)


До автоматизации Р (час)

После автоматизации А (час)


Оформление туров

1,5

0,015

25

Выбор тура

2

0,015

20

Заполнение БД

1

0,008

15

Аутентификацией

3

0,01

30


Затраты на оплату труда персонала найдем по формуле:

=* kзар ,                      (21)

Принимаем: Mk =3000 грн.;  =160 часов (20 раб дн.*8 часов);зар = 1,425.

Тогда по формуле (11), получим:k = 3000 /160 =18,75 грн./год.

 = 1*18,75*1,425 = 26,71 грн.

Рассчитаем косвенные расходы по формуле 22:

2p = C1 + C2 + C3                                       (22)

где С1 - затраты на содержание помещений, грн.;

С2 - расходы на освещение,отопление охрану и уборку помещений, грн.;3 - прочие расходы.

Площадь помещения составляет 20 м2, значит, стоимость аренды помещения составляет 1800 грн. (90 грн./м2).

С1 = 1800*0,02=36 грн. - затраты на содержание помещений составляют 2% от стоимости здания.

С2 =1800*0,004 = 7,2 грн. - расходы на освещение, отопление охрану и уборку помещений составляют 0,4% от стоимости здания.3 = 1*26,71 = 26,71 грн. - прочие расходы составляют 100% от стоимости вычислительной техники.

Тогда, используя формулу (22), получим:

 = 36+7,2+26,71 = 69,91 грн.

Исходя из формулы (20), получим:

 = 26,71 + 69,91 = 96,62 грн.

Расчёт себестоимости выполнения операций для автоматизации поисково-информационного сервиса турагентства в автоматизированном варианте определяется по формуле:

,                       (23)

где C1a - затраты на оплату труда персонала, грн.;2a - стоимость компьютерного времени, грн.;3a - косвенные расходы, грн.

Принимаем:

Мk =3000 грн.;

 =160 часов (20 раб дн.*8 часов); зар = 1,425.

Тогда по формуле (11), получим:k = 3000/160 =18,75 грн./час.

Затраты на оплату труда персонала найдем по формуле 24:

                                            (24)

где Np - количество работников p-й профессии, выполнявших работу после автоматизации, чел.;p - часовая зарплата одного работника p-й профессии, грн.;зар - коэффициент начислений на фонд заработной платы, доли ; - число различных профессий, используемых в автоматизированном варианте.

 = 1*18,75 *1,425 = 26,71 грн.

Стоимость компьютерного времени найдем по формуле:

 = Ск ×F0 ,                                           (25)

где Сk - себестоимость компьютерного часа, грн.;0 - расход компьютерного времени на разработку программы, час.

Для компьютерной техники NA1 = 0,15.год i - годовой фонд времени роботы i-го оборудования, час.

Принимаем Fгод 1 =1920 часов (160 часов * 12 месяцев) для ПК.

По формуле (14) получим:

СА =2456,5*0,15/1920 = 0,19 грн.

Энергозатраты определяются по формуле (15):

Рe =0,1кВт/ч; СкВт = 0,95 грн.

Тогда по формуле (15) получим:

СЭ=0,1*0,95 = 0,09 грн.

Затраты на техобслуживание определяются по формуле (16):

Принимаем:ТО =1700/160 =10,63 грн./год. ТО=1; Fмес = 160 часов.

Тогда по формуле 17: λ=1/160 = 0,00625.

Используя формулу (15), получим:

СТО =0,00625*10,63 = 0,07 грн.

Исходя из формулы (3.8) получим:

Ск А ЭТО = 0,19 + 0,09 + 0,07 = 0,35 грн.

Таким образом, по формуле (12) определим:

 = Ск *F0 = 0,35*580=203 грн.

Косвенные расходы определяются по формуле (18).

Площадь помещения составляет 20 м2, значит, стоимость аренды помещения составляет 1800 грн. (90 грн./м2).

С1 = 1800*0,02=36 грн. - затраты на содержание помещений составляют 2% от стоимости здания.

С2 =1800*0,004 = 7,2 грн. - расходы на освещение, отопление охрану и уборку помещений составляют 0,4% от стоимости здания.3 = 1*2456,5 = 2456,5 грн. - прочие расходы составляют 100% от стоимости вычислительной техники.

Тогда, используя формулу (18), получим:

 = 36+7,2+2456,5 =2499,7 грн.

Тогда по формуле (23):

 = 26,71 + 203 + 2499,7 = 2729,41 грн.

Тогда, используя формулу (19), получим:

Эг = 96,62 × (25 × 1,5 + 20 × 2 + 15 × 1 + 30 × 3) - 2729,41 × (25 × 0,015 + 20 × 0,015 + 15 × 0,008 + 30 × 0,01) = 14644,45 грн.

.3 Расчет годового экономического эффекта

При создании проекта ПК экономический эффект определяется по формуле [49]:

                        (26)

где Эг - годовая экономия текущих затрат, грн.;

К - капитальные затраты на создание ПК, грн.;

Ен - нормативный коэффициент экономической эффективности капита-ловложений, доли.

Он зависит от особенностей употребления средств автоматизации в разных сферах, для данного случая Ен = 0,42.

= 14644,45 - 0,42*22026,07 = 5393,5 грн.

3.4 Расчет коэффициента экономической эффективности и срока окупаемости капиталовложений

Коэффициент экономической эффективности отображает величину годового прироста прибыли. Коэффициент экономической эффективности рассчитаем по формуле [49]:

,                                              (27)

 = 14644,45 / 22026,07 = 0,66

Разработанная программа является экономически эффективной, так как выполняется неравенство:

, 0,66 ˃ 0,42.

Срок окупаемости капиталовложений - период времени на протяжении которого окупаются затраты на ПК. Определим по формуле:

,                  (28)

Определим, что

Так как ТР =1,52 года, а Тн = 2,4 года, то ТР < Тн (срок окупаемости капиталовложений меньше нормативного), и можно утверждать, что капиталовложения используются эффективно.

3.5 Экономическое обоснование целесообразности внедрения проекта ПК для автоматизации работы поисково-информационного сервиса турагентства


Во время проведения расчетов были рассчитаны экономические показатели разработанного проекта ПК для автоматизации работы поисково-информационного сервиса турагентства. Экономические показатели являются экономически оправданными и целесообразными. Об этом свидетельствуют следующие данные, приведенные дальше. Годовая экономия составляет 14644,45 грн. Экономический эффект от внедрения проекта ПК составляет 5393,5 грн. в год. Коэффициент экономической эффективности разработанного ПК равен 0,66. Коэффициент экономической эффективности определяет срок окупаемости капиталовложений и равен 1,52 года. При внедрении разработанного проекта ПК основным источником экономии будет снижение затрат на обработку информации и вследствие этого увеличение объемов и сокращение сроков обработки информации.

Для наглядности, основные экономические показатели представлены в таблице 24.

Таблица 24 - Основные экономические показатели

Показатели

Обозначения

Единица измерения

Значение

Капитальные затраты на выполне-ние и реализацию ПК

К

грн.

22026,07

Годовая экономия

грн.

14644,45


Годовой экономический эффект

грн.

5393,5


Коэффициент экономической эффективности

--

0,66


Срок окупаемости капиталовло-жений

год

1,52



4. ОХРАНА ТРУДА

Охрана труда - это система правовых, социально-экономических, организационно-технических, санитарно-гигиенических и лечебно-профилактических мер и средств, направленных на сохранение здоровья, работоспособности человека в процессе его работы.

Условия труда - совокупность факторов производственной среды и трудового процесса, которые влияют на здоровье и работоспособность человека во время выполнения им трудовых обязанностей.

В соответствии с ГОСТ 12.0.003-74 ССБТ «Опасные и вредные производственные факторы. Классификация» все производственные факторы делятся на опасные и вредные факторы.

На пользователя ПЭВМ воздействуют 4 группы факторов трудовой среды: физические, эргономические, информационные и социально-психологические.

При работе пользователя на ПЭВМ существует возможность воздействия следующих опасных производственных факторов:

-       повышенный или пониженный уровень освещенности;

-       повышенный уровень шума на рабочем месте (от вентиляторов блока питания);

-       пониженная или повышенная влажность и подвижность воздуха рабочей зоны;

-       повышенный уровень электромагнитного излучения;

Химические производственные факторы определяются характеристикой соответствующего рабочего окружения (тонер, озон при работе лазерных принтеров).

К психофизиологическим производственным факторам относятся:

-       напряжение зрения;

-       напряжение внимания;

-       интеллектуальные и эмоциональные нагрузки;

-       длительные статические нагрузки;

-       монотонность труда;

-       большие информационные нагрузки;

-       нерациональная организация рабочего места (эргономические факторы).

Вероятность воздействия биологических факторов (повышенное содержание в воздухе рабочей зоны микроорганизмов) возрастает в переполненных и неправильно вентилируемых помещениях. Пользователи ПЭВМ в основном подвергаются воздействию физических и психофизиологических производственных факторов.

Все перечисленные факторы, так или иначе, воздействуют на здоровье человека - появляется головная боль, быстрая утомляемость, повышается давление, меняется ритм сердца, портится слух и зрение, провоцируют заболевания кожи, негативно действуют на центральную нервную систему. Работа является малоподвижной (сидячей) и связана с большими нагрузками на зрение и мозг человека. Значит необходимо рационально строить режим труда и отдыха [50].

Рассмотрим условия труда пользователя ПЕОМ, который является разработчиком программного продукта. Для работы используется следующее оборудование: ноутбук Acer TravelMate 5740Z. Рабочее место находится в помещение, длина которого - 6 м, ширина - 3 м, высота - 4,5 м. Общее количество помещений - 2, рабочих мест - 4. Уровень шума в помещение 60 дБ, освещение рабочего места 300 лк. Воздух рабочей зоны имеет следующие параметры: температура - 29° с, скорость движения воздуха - 0,2 м/с, влажность - 60%. Длительность сосредоточенного наблюдения составляет 30%.

Выполним количественную оценку условий труда на рассматриваемом рабочем месте. Каждый элемент условий труда оценим по шести бальной шкале. Результаты оценки приведены в таблице 25.

Наиболее значащими факторами, которые воздействуют на формирование условий труда, является скорость движения воздуха - 0,2 м/c, (2 балла), и длительность сосредоточенного наблюдения - 30% (2 балла). Эти факторы являются неприемлемыми для работы.

Таблица 25 - Балльная оценка элементов условий труда

Элемент условий труда, единицы измерения

Обозначение

Значение

Оценка фактора, баллы

1

Температура, оС

Х1

29

4

2

Скорость воздуха, м/c

Х2

0,2

2

3

Влажность воздуха, %

Х3

60

2

4

Освещенность, лк

Х4

300

2

5

Продолжительность сосредоточенного наблюдения, %

Х5

30

2

6

Уровень шума, дБ А

Х6

60

4


Интегральная балльная оценка тяжести труда Ит рассчитывается по формуле:

   (29)

где Хоп - определяющий элемент условий труда, то есть элемент, получивший наибольшую оценку;

 - средний балл всех элементов условий труда, кроме определяющего элемента.

Средний балл всех элементов рассчитывают по формуле:

,  (30)

где  - сумма всех элементов, кроме определяющего элемента; - количество учтенных элементов условий труда.

Элемент условий труда, получивший наибольшую оценку есть Хоп = 4. Найдем по формуле 30:

;

Отсюда по (29):

Интегральная балльная оценка тяжести труда в 47,2 балла отвечает 4 категории тяжести труда - это работы в неприемлемых условиях труда.

Степень утомления человека в условных единицах рассчитывают по формуле 31:

             (31)

где Y - уровень утомления, условные единицы;

где 15,6 и 0,64 - коэффициенты регрессии.

Уровень утомления по формуле 31:

Работоспособность человека определяется как величина, противоположная утомлению по формуле 32:

,       (32)

Рассчитаем работоспособность по формуле 32:

Все факторы, бальная оценка которых больше 2, подлежат проведению мероприятий, которые улучшают условия труда. Такими факторами являются: температура воздуха (4 балла), уровень шума (4 балла).

Основными направлениями обеспечения безопасных и комфортных условий труда при работе на ПЭВМ являются:

-       обеспечение соответствия параметров микроклимата требованиям ДСанПіН 3.3.2-007-98 «Державні санітарні правила і норми роботи з візуальними дисплейними терміналами електронно-обчислювальних машин», ГОСТ 12.1.005-88 ССБТ «Общие санитарно-гигиенические требования к воздуху рабочей зоны», ДСН 3.3.6.042-99 «Державні санітарні норми мікроклімату виробничих приміщень»;

-       обеспечение соответствия чистоты воздуха требованиям ГОСТ 12.1.005-88 ССБТ «Общие санитарно-гигиенические требования к воздуху рабочей зоны»;

-       обеспечение соответствия уровня ионизации воздуха требованиям ДСанПіН 3.3.2-007-98 «Державні санітарні правила і норми роботи з візуальними дисплейними терміналами електронно-обчислювальних машин»;

-       обеспечение соответствия освещения рабочей зоны требованиям ДБН В.2.5-28-2006 «Природне та штучне освітлення», ДСанПіН 3.3.2-007-98 «Державні санітарні правила і норми роботи з візуальними дисплейними терміналами електронно-обчислювальних машин»;

-       обеспечение соответствия уровня шума и вибрации на рабочем месте требованиям ДСанПіН 3.3.2-007-98 «Державні санітарні правила і норми роботи з візуальними дисплейними терміналами електронно-обчислювальних машин»;

-       обеспечение соответствия уровня электромагнитных и электростатических полей и излучений требованиям ДСН 3.3.6.096-2002 «Державні санітарні норми і привила при роботі з джерелами електромагнітних полів», ДСанПіН 3.3.2-007-98 «Державні санітарні правила і норми роботи з візуальними дисплейними терміналами електронно-обчислювальних машин»;

-       обеспечение электробезопасности в соответствии с требованиями ГОСТ 12.1.019-79 ССБТ «Электробезопасность. Общие требования», НПАОП 0.00-1.28-10 «Правила охорони праці під час експлуатації електронно-обчислювальних машин», НПАОП 40.1-1.01-97 «Правила безпечної експлуатації електроустановок»;

-       обеспечение пожарной безопасности в соответствии с требованиями ГОСТ 12.1.004-91 ССБТ «Пожарная безопасность. Общие требования», НПАОП 0.00-1.28-10 «Правила охорони праці під час експлуатації електронно-обчислювальних машин», НАПБ А.01.001-2004 «Правила пожежної безпеки України»;

-       обеспечение организации рабочего места в соответствии с требованиями ГОСТ 12.2.032-78 ССБТ «Общие эргономические требования. Рабочее место, при выполнении работ сидя», ДСанПіН 3.3.2-007-98 «Державні санітарні правила і норми роботи з візуальними дисплейними терміналами електронно-обчислювальних машин»;;

-       обеспечение соответствия режима труда и отдыха требованиям ДСанПіН 3.3.2-007-98 «Державні санітарні правила і норми роботи з візуальними дисплейними терміналами електронно-обчислювальних машин».

ОБЩИЕ ВЫВОДЫ

В ходе выполнения дипломной роботы был разработан программный продукт для автоматизации поисково-информационного сервиса турагентства, который позволяет просматривать туры на своем ПК, а также отправлять заявку на желаемый тур, что экономит время клиента и увеличивает продуктивность труда работников. В ходе выполнения дипломной работы были решены следующие задачи:

-       проведен анализ поисково-информационных сервисов тур агентств;

-       проведен анализ работы тур агентств;

-       разработано техническое задание для создания ПК для автоматизации проектирования поисково-информационного сервиса тур агентства;

-       разработана логическая и физическая модели на основе UML диаграмм для работы сайта туристического агентства;

-       проведена сравнительная характеристика фреймворков и выбран наиболее подходящий;

-       разработан ПК для автоматизации проектирования поисково-информационного сервиса турагентства;

-        экономические показатели отображают смысл использования разработанного ПК для автоматизации проектирования поисково-информационного сервиса турагентства. Годовая экономия составляет 14644,45 грн., срок окупаемости капиталовложений равен 1,5 года;.

-        в разделе «Охрана труда» были проанализированы небезопасные и вредные производственные факторы, а также был предложен ряд мер безопасности для устранения.

СПИСОК ЛИТЕРАТУРЫ

1 [Электронный ресурс] - Информационные технологии в управлении предприятием http:// www.olimp-ig.com.ua

2 Ландэ Д. В. Профессиональная работа. Поиск знаний в Интернет. - М.: Компьютерное Издательство диалектика, 2005. - 271 с.

Сергей Ватутин, Михаил Дашкиев. Прибыльная турфирма. - СПб.: Питер, 2009. - 208 с.

4 [Электронный ресурс] - Андрей Озолинь. Статья. Турагентство как бизнес. http://www.tonkosti.ru

Дейнеко Д. А. Раскрутка и оптимизация сайта. Краткий курс. - М.: Экономика, 2007. - 208 с.

6 Нільсен Якоб « Web-Дизайн. Удобство использования и построения качественных Web-Сайтов» / Нільсен Якоб, Лоранджер Хоа. 2-е изд «Вильямс» 2007г. - 376 с.

[Электронный ресурс] - Туристические поисковые системы

<http://www.exiterra.ru/tree/saite_touroperator.htm/>

[Электронный ресурс] - Туристические поисковые системы. Tourindex http://www.tourindex.ru

[Электронный ресурс] - Туристические поисковые системы. http://www.exat.ru

[Электронный ресурс] - Туристические поисковые системы.  http://www.tury.ru

[Электронный ресурс] - Туристические поисковые системы.< http://www.ittour.com.ua>

[Электронный ресурс] - Sergey Brin and Larry Page. The Anatomy of a Search Engine. http://www-db.stanford.edu/pub/papers/google.pdf

13 [Электронный ресурс] - И. В. Сегалович Как работают поисковые системы. http://company.yandex.ru/articles/article10.html

[Электронный ресурс] - Шарапов Р. В., Шарапова Е. В., Саратовцева О. А. Модели информационного поиска. http://www.vuz.exponenta.ru/sharapov1.pdf

15 Ланкастер Ф. У. Информационно-поисковые системы: пер. с англ. - М.: Мир, 2007. - 308 c.

. Гасанов Э.Э., Кудрявцев В.Б. Теория Хранения и поиска информа-ции. - М.: Физматлит, 2002. - 73 с.

17 Кристофер Д., Рагхаван, Прабхакар, Шютце, Хайнрих Введение в информационный поиск. : Пер. с анг. - М.: ООО «И.Д. Вильямс», 2011. - 528 с.

18 Некрестьянов И.С. Тематико-ориентированные методы информационного поиска. Диссертационная работа к.т.н. 05.13.11 /Санкт-Петербурзкий государственный университет. - СПб., 2000.

Дубинский А.Г. Некоторые вопросы применения векторной модели представления документов в информационном поиске //Управляющие системы и машины - Днепропетровский государственный университет, 2005. - 83 с.

20 [Электронный ресурс] - Norbert Fuhr. Probabilistic Models in Information Retrieval. <http://www.is.informatik.uni-duisburg.de>/bib/fulltext/ir/ Fuhr:92.pdf

21 [Электронный ресурс] - Юрий Лифшиц Модели информационного поиска. Лекция № 3 курса «Алгоритмы для Интернета» http://www.logic.pdmi.ras.ru/yura/internet/03ianote.pdf

Сэлтон Г. Автоматическая обработка, хранение и поиск информации: Пер. с англ. / Под ред. А.И. Китова. - М. : Компания АйТи, 2007. - 560 c.

23 Дэвид А. Марка, Клемент Л. МакГоуэн Методология структурного анализа и проектирования SADT. - М.: 1993. - 242 с.

24 Орлов С.А. Технологии разработки программного обеспечения. Учебник для вузов - СПб.: Питер, 2004. - 527с.

Джим Коналлен Разработка Web-приложений с использованием UML. - М.: Издательский дом Вильямс, 2001.- 285 с.

26 Г. Буч, Д. Рамбо, А. Джекобсон. Язык UML Руководство пользователя.

Леоненко А. Самоучитель UML. - СПб.: Издательство БХВ - Питер, 2007. - 500с.

Фаулер М. UML: Основы. - СПб.: Символ-Плюс, 2002. - 192 с.

Новиков Ф.А. Анализ и проектирование на UML. Учебно-методи-ческое пособие. - СПб.: СПбГУ ИТМО, 2008. - 286 с.

Кузнецов С.Д. Основы современных баз данных. - М.: БИНОМ, 2007. - 484 с.

Гарсиа-Молина Г., Ульман Дж., Уидом Дж. Системы баз данных. Полный курс.: пер. с англ. - М.: Издательский дом «Вильямс», 2004. - 1088 с.

32 Сагайда П.І. Розробка та організація баз даних у системах автоматизації проектування та управління: Навчальний посібник для студентів спеціальності 7.080402. - Краматорськ: ДДМА, 2003. - 160 с.

Джексон «Проектирование реляционных баз данных» - М.: Мир, 1991.- 278 с.

35. Леоненко А. Самоучитель UML. - СПб.: Издательство БХВ - Питер, 2007.- 500с.

Бабич А.В. UML/Первое знакомство. Пособие для подготовки к сдаче теста. Издательство Бином. Лаборатория знаний, 2008. - 176 с.

37 [Электронный ресурс] - Документація по фреймворку <http://www.yiiframework.com/wiki/>

38 Agile Web Application Development with Yii 1.1 and PHP5, Jeffrey Winesett <http://www.amazon.com/s/ref=ntt_athr_dp_sr_1?_encoding=UTF8&sort=relevancerank&search-alias=books&ie=UTF8&field-author=Jeffrey%20Winesett>, Packt Publishing, 2010, 368 c.

39 Yii 1.1 Application Development Cookbook, Alexander Makarov, Packt Publishing, 2011, 392 c.

40 [Электронный ресурс] - Создание блога с использованием Yii.

<http://yiiframework.ru/doc/blog/ru/start.overview/>

41 [Электронный ресурс] - Полное руководство по Yii.

<http://yiiframework.ru/doc/guide/ru/index />

42 [Электронный ресурс] - Создание представления. <http://www.yiiframework.com/doc/guide/1.1/ru/basics.view >

43 [Электронный ресурс] - Как задать путь к view. http://yiiframework.ru/forum/viewtopic.php?f=3&t=6688 <http://habrahabr.ru/qa/16148/>

[Электронный ресурс] - Обработка нажатия кнопки в yii. <http://hashcode.ru/questions/128616/>

45 [Электронный ресурс] - Обновление содержимого через AJAX. <http://www.dbhelp.ru/ajax-partialrender-update/page/>

46 [Электронный ресурс] - Обновление содержимого через AJAX < http://yiiframework.ru/forum/viewtopic.php?f=3&t=2662/>

[Электронный ресурс] - Как работает валидация.< http://yiiframework.ru/doc/cookbook/ru/form.validation.reference/>

[Электронный ресурс] - Как написать relations. http://habrahabr.ru/qa/21569 < http://yiiframework.ru/doc/cookbook/ru/form.validation.reference/>

49 Методичні вказівки до виконання економічної частини дипломних проектів студентами спеціальності "Комп'ютерні системи проектування" / Сост. А В. Скибіна, Е.А. Підгора - Краматорськ: ДДМА, 1998. - 22с.

50 Методичні вказівки до виконання розділу "Охорона праці та навколишнього середовища" в дипломних проектах. - Краматорськ: КІІ, 1990.-35с

ПРИЛОЖЕНИЕ

ВЕДОМОСТЬ РАБОТЫ

Название

Шифр

Кол-во листов

Формат

1

Пояснительная записка

КИТ 091.00.00.00.ДР.ПЗ


А4

2

Контекстная структурно-функциональная диаграм-ма нулевого уровня для бизнес-процесса «Работа туристического агентства»

КИТ.091.01.00.00.ДР.ПЛ

1

А4

3

Контекстная структурно-функциональная диаграмма первого уровня для бизнес-процесса «Работа туристического агентства»

КИТ.091.02.00.00.ДР.ПЛ

1

А3

4

Детализирующая структурно-функциональная диаграмма второго уровня для активности «Поиск тура» бизнес-процесса

КИТ.091.03.00.00.ДР.ПЛ

1

3

Название

Шифр

Кол-во листов

Формат


«Работа туристического агентства»




 5

Диаграмма прецедентов «Работа туристического агентства»

КИТ.091.05.00.00.ДР.ПЛ

1

А4

 6

Диаграмма классов для предметной области «Поисково-информационный сервис турагентства»

КИТ.091.06.00.00.ДР.ПЛ

1

А4

7

Диаграмма последовательности для подачи заявки на тур

КИТ.091.07.00.00.ДР.ПЛ

1

А4

8

ER-диаграмма для сайта туристического агенства

КИТ.091.08.00.00.ДР.ПЛ

1

А4

9

Диаграмма модулей «Работа сайта туристического агентства»

КИТ.091.09.00.00.ДР.ПЛ

1

А4

10

CD-R(RW)


1




Не нашли материал для своей работы?
Поможем написать уникальную работу
Без плагиата!
Без нейросетей!