Характеристика процесса альтернативного сплайсинга МРНК эукариот
Введение
сплайсинг
канонический эукариот
Процесс сплайсинга мРНК эукариот долгое время привлекает к
себе внимание ученых по всему миру. Он представляет собой часть сложного
многоступенчатого преобразования незрелых молекул РНК для их дальнейшей работы.
В такой молекуле находятся кодирующие (экзоны) и не кодирующие (интроны) белок
нуклеотидные последовательности. Функционально интроны не несут информации,
необходимой для дальнейшей трансляции. В процессе эволюции у эукариот
выработались механизмы для избавления от неинформативных участков. Целью их
было сокращение длины и максимальное увеличение функциональности РНК.
Сплайсингом называется вырезание некодирующих последовательностей из
предшественника матричной РНК - пре-мРНК, - за которым следует сшивание экзонов.
Этот процесс имеет большое значение для жизнедеятельности клеток и влияет на
возможности экспрессии генов. Также с его помощью может увеличиваться
количество белков, производимых одним геном. Это оказывает огромное влияние на
процесс эволюции генов и организмов в целом.
Целью работы является характеристика процессов канонического
и альтернативного сплайсинга, факторов и цис-элементов, обеспечивающих его
прохождение. Также она включает в себя описание биологических эффектов, к
которым могут привести нарушения в определенных стадиях его прохождения.
1.
Процессинг молекул первичных РНК в ядре клеток человека
Процессинг - совокупность преобразований предшественников
РНК, которые превращают их в зрелую форму. После синтеза первичные транскрипты
недостаточно активны и претерпевают ряд изменений. У эукариот процессингу
подвергаются все виды РНК, у прокариот - рРНК и тРНК.
Молекулы РНК выполняют различные задачи в клетках. Они
функционируют как мессенджеры для передачи генетической информации от ДНК к
белкам, как основной генетический материал в клетках многих вирусов, в качестве
катализаторов (например, рибозимов), имеют большое значение для синтеза белка,
существуют как регуляторы экспрессии генов в живых организмах. Понимание
молекулярных механизмов, посредством которых белки распознают и связывают РНК,
является существенным для понимания функциональных последствий этих
взаимодействий.
В зависимости от типа РНК (рибосомальная, транспортная или
матричная) процессинг может проходить по-разному.
На примере матричной РНК процессинг включает следующие
стадии:
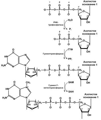
. Кэпирование
Этот процесс состоит в присоединении особой структуры,
называемой кэп, на 5’ - конец пре-мРНК.
С помощью экзонуклеаз от иРНК могут отделяться нуклеотиды и
разрушать молекулу. Для защиты заключенной в ней информации формируется 5’ -
кэп. Он состоит из одного или нескольких модифицированных нуклеотидов. Его
наличие является отличительной чертой эукариот. Прокариоты имеют лишь трифосфат
на 5’ - конце. Эта структура состоит из остатков 7-метилгуанозинтрифосфата и
определенных белков. Кэпирование осуществляется с помощью РНК-трифосфатазы,
гуанилтрансферазы и гуанил-N7-метилтрансферазы. Эти ферменты имеют связь с транскрипцией,
участвуют в сплайсинге и процессинге 3’ - конца и стимуляции трансляции. (Schoenberg
D.R., Maquat L.E., 2009)
Рисунок 1.1 Механизм кэпирования
. Полиаденилирование
Процесс защиты 3’ - конца пре-мРНК состоит в прикреплении
большого количества молекул аденозинмонофосфата, образующих поли-А-хвост.
Азотистые основания этой структуры представлены аденином.
Полиаденилирование является неотъемлемой частью процессинга эукариот. Процесс
начинается после завершения транскрипции гена. Перед началом полиаденилирования
мультисубъединичный белковый комплекс отщепляет 3'-концевой участок первичного
транскрипта. Место расщепления определяется положением универсальных сигнальных
последовательностей в первичном транскрипте. Иногда расщепление может
происходить в нескольких альтернативных сайтах. Полиаденилирование даёт
возможность для образования различных мРНК на основе одного гена
(альтернативное полиаденилирование).
После формирования нового 3'-конца транскрипта компонент
белкового комплекса - поли(А) - полимераза - осуществляет синтез поли(А) -
хвоста, используя 3'-концевой нуклеотид в качестве затравки (Proudfoot N.J. et al, 2002) Поли-А-хвост
защищает мРНК от разрушения, участвует в окончании транскрипции, процессах
трансляции и переноса мРНК из ядра. (Hunt A.G. et al, 2008) Однако, например,
у гистоновых белков эта структура отсутствует и заменена так называемой
шпилькой, за которой находится гистоновый нисходящий элемент - пуриновая
последовательность. (Marzluff W.F. et al, 2002)
. Сплайсинг
Белок-кодирующие последовательности эукариотических генов
(экзоны) обычно прерываются некодирующими (интронами), которые занимают большую
часть длины гена. И интроны, и экзоны транскрибируются в мРНК. После этого
некодирующие последовательности вырезаются из пре-мРНК через процесс
сплайсинга. Только после преобразования 5’ - и 3’ - концов РНК может называться
зрелой. Каждый акт сплайсинга удаляет один интрон, проходя через
последовательность фосфорил-транспортных реакций. Они соединяют два экзона,
удаляя интрон как «лариат». Механизм, который катализирует сплайсинг пре-мРНК,
достаточно подвижен для того, чтобы охватывать все разнообразие интронов,
которые присутствуют в обычной эукариотической клетке.
Присутствие крупных некодирующих последовательностей в ДНК
позволяет скомбинировать экзоны различных генов. Это облегчает процесс создания
новых белков. Подтверждением является факт, что многие белки современных клеток
состоят из одинаковых протеиновых доменов.
Транскрипты многих эукариотических генов проходят сплайсинг в
нескольких точках, позволяя одному гену производить набор различных белков. В
результате РНК-сплайсинг позволяет эукариотам увеличить кодирующий потенциал
своих геномов. (Alberts В. еt al, 2007)
Рисунок 1.2 Схема сплайсинга
. Редактирование
На протяжении процессинга преобразовываемая РНК подвергается
редактированию. Оно чаще всего проходит путем химической модификации оснований
и описано во всех типах РНК эукариот. Этот процесс обычно происходит в ядре
клетки, цитозоле, митохондриях и пластидах.
Механизмы редактирования РНК включают в себя модификацию
нуклеозидов (например, дезаминирование цитидина в уридин или аденозина в
инозин) и вставки нуклеотидов без матрицы. Редактирование РНК в случае мРНК
значительно изменяет последовательность кодируемого полипептида. Транслируемый
белок может сильно отличаться от закодированного в ДНК генома. (Brennicke A. et al, 1999)
Редактирование РНК начинается со спаривания первичного
неотредактированного транскрипта с guide RNA (ведущей РНК), которая
содержит комплементарные последовательности около сайтов встраивания или
удаления. Образующийся двуцепочечный участок покрывается эдитосомой - крупным
многобелковым комплексом, катализирующим редактирование РНК. (Alfonzo J.D. et al, 1997) Эдитиосомный
комплекс начинает встраивание уридинов по первому положению неспаренных
нуклеотидов. Образуются комплементарные связи с guide RNA. Встраивание
продолжается до того момента, когда в ведущей РНК встречаются A или G и останавливается при
появлении C
или U.
(Blum B. et al, 1990)
В ходе редактирования происходит разрезание по сайту, где не
образуются комплементарные пары между guide RNA и нередактированным
транскриптом. Следующая стадия катализируется ферментом (концевой U-трансферазой), который
добавляет U
из 3’ - UTP. (Simpson L., Thiemann O.H., 1995) «Открытые» концы удерживаются
другими белками эдитосомного комплекса. U-специфичная
экзорибонуклеаза, удаляет неспаренные уридины. Эдитосомный комплекс способен
редактировать мРНК лишь в направлении от 3'-конца к 5'-концу. (Hajduk S.L., Sabatini R.S., 1998)
. Полиметилирование
После окончания транскрипции метилтрансферазы производят
ферментативный перенос метильных групп на молекулы РНК. Метилирование
некодирующих РНК на 3'-конце стабилизирует эти молекулы. Наиболее
распространённой модификацией является метилирование остатков аденозина по
положению N6 с образованием N6-метиладенозина. Предполагается, что
метилирование имеет регуляторную функцию. (Wang X. et al, 2014)
2.
Канонический и альтернативный сплайсинг РНК в клетках человека
2.1
Канонический сплайсинг
Механизм сплайсинга пре-мРНК распознает три порции
РНК-молекул: 5’ - сплайс-сайт, 3’ - сплайс-сайт и разветвление интронной
последовательности, которое формирует основу выделяемого лариата. Каждая из
этих точек имеет универсальную нуклеотидную последовательность, которая
остается одинаковой от интрона к интрону и позволяет клетке понять, где
начаться сплайсингу.
При сплайсинге ключевые события осуществляются с помощью РНК.
Эти молекулы обычно короче 200 нуклеотидов, и 5 из них вовлечены в главные
формы пре-мРНК сплайсинга. Они известны как snRNA (от англ. small nuclear RNA). Каждая из них
усложняется не менее чем семью белковыми субъединицами, формируя snRNP (small nuclear ribonucleic protein). Эти snRNP формируют
основу сплайсосомы.
Сплайсосома - сложный механизм. Многие ученые считают, что
она существует в клетке еще до начала процесса сплайсинга. В процессе вырезания
интронов, распознавание 5’ и 3’ - cплайс-узлов и разветвления интронной
последовательности происходит благодаря парности snRNA и универсальных
РНК-последовательностей.
Рисунок
2.1 Схема строения и работы сплайсосомы
Гидролиз АТФ не требуется непосредственно в процессе
сплайсинга. Однако он необходим для объединения и преобразования сплайсосомы.
Некоторые дополнительные белки используют высвободившуюся энергию для
разрушения существующих РНК-РНК связей и образования новых.
АТФ-зависимые РНК-РНК преобразования происходят как внутри
snRNP, так и между snRNP и пре-мРНК субстратом. Одна из важнейших их функций -
создание активной каталитической точки сплайсосомы. Стратегия образования
активной точки только после объединения и преобразования сплайсосомы -
эффективный путь предотвращения ошибок.
Каталитическая точка формируется из молекул РНК, а не белков.
Благодаря этому, некоторые snRNA формируют трехмерную структуру, которая
сопоставляет 5’ - конец пре-мРНК с разветвленной интронной последовательностью
и производит первую трансэтерификационную реакцию. Подобным образом 3’ - и 5’ -
сплайс-сайты соединяются вместе, осуществляя вторую трансэтерификационную
реакцию.
Когда химический акт сплайсинга завершен, snRNP остаются
прикрепленными к лариату. Их отделение от него и друг от друга требует еще
одной серии РНК-РНК переходов и гидролиза АТФ. Это возвращает snRNA в их
первоначальное состояние, и они могут быть использованы снова. После окончания
сплайсинга сплайсосома направляет ряд протеинов к мРНК возле места, к которому
был прикреплен интрон. Формируя экзонный узловой комплекс, эти белки помечают
место успешного акта сплайсинга и влияют на последующую судьбу мРНК.
Интронные последовательности сильно различаются по размеру.
Если бы выбор точек сплайсинга обеспечивался только действием snRNP, следовало
бы ожидать ошибок, таких, как выпадение экзонов или возникновение неверных
сплайс-сайтов. Особые механизмы, встроенные в сплайсосому, дополняются двумя
дополнительными стратегиями, которые увеличивают точность ее работы.
Первая - это последовательность ранних стадий сплайсинга,
которые происходят еще при синтезе пре-мРНК. В процессе транскрипции
фосфорилированный хвост РНК-полимеразы несет компоненты сплайсосомы, которые
переносятся точно от фермента к РНК в процессе синтеза. Эта стратегия позволяет
сохранить четкое чередование интронов и экзонов, так как snRNP,
присоединяющаяся к 5’ - сайту сплайсинга, первоначально представлена лишь одним
3’ - сайтом сплайсинга, в то время как остальные такие точки ниже по цепи еще
не были синтезированы. Координация транскрипции и сплайсинга очень важна для
предотвращения нежелательного выпадения экзонов.
Стратегия, называемая «уточнение экзонов», - еще один способ
выбора верных точек сплайсинга. Размер экзона считается гораздо более
стандартизированным, чем интрона (150 пар нуклеотидов у многих эукариот). В
соответствии с этой стратегией, механизм сплайсинга первоначально отыскивает
родственные и сходные по размеру кодирующие последовательности. При продолжении
синтеза РНК, группа дополнительных компонентов (в основном, SR-белки) присоединяется к
экзону и отмечает 5’ - и 3’ - сайты сплайсинга начиная с 5’ - конца РНК. Эти
протеины пополняют snRNA U1, которая отмечает границы экзона, и U2AF, которая уточняет
вышележащие. Отмечая экзоны и пользуясь преимуществом их одинакового размера,
клетка увеличивает точность привнесения начальных сплайс-компонентов
возникающей РНК и тем самым позволяет избежать появления неверных мест
сплайсинга. Как конкретно SR-белки отличают экзонные последовательности от
интронных, пока детально неизвестно. Однако обнаружено, что эти белки
прикрепляются преимущественно к особым РНК в экзонах.
Так как несколько разных кодонов могут кодировать
определенную аминокислоту, имеется свобода модификации экзонной
последовательности таким образом, чтобы сформировать прикрепительную точку для SR-белков без необходимости
влияния на аминокислотную последовательность, которая ею определяется.
И мечение границ экзонов и интронов, и соединение сплайсосомы
начинается на молекуле РНК, когда она еще удлиняется с помощью РНК-полимеразы
на 3’ - конце. Однако настоящий химизм сплайсинга может начинаться гораздо
позже. Это означает, что интроны не обязательно вырезаются из молекулы пре-мРНК
в том же порядке, в котором они располагаются в цепи. (Alberts B. et al, 2007)
Рисунок
2.2 Другие возможности сплайсинга
2.2
Альтернативный сплайсинг
Механизмы
альтернативного сплайсинга
Существует несколько механизмов альтернативного сплайсинга:
1. Пропуск экзона.
Кодирующая последовательность может вырезаться из первичного
транскрипта.
2. Взаимоисключающие экзоны.
Из двух экзонов в конечном транскрипте сохраняется только
один.
3. Использование альтернативного донорного сайта.
Может возникать несколько 5'-участков сплайсинга, которые
изменяют 3'-границу вышележащего экзона.
4. Использование альтернативного акцепторного сайта
Используются разные 3'-участки сплайсинга (акцепторные
сайты), что изменяет 5'-границы нижележащего экзона.
5. Удержание интрона
Некодирующая последовательность сохраняется в транскрипте
после процессинга. Если интрон обнаруживается в пределах кодирующей
последовательности, то он может участвовать в кодировании стоп-кодона или
сдвигать рамку считывания. Это может привести к потере функциональности белка.
(Hadas Keren et al, 2010)
Помимо описанных механизмов альтернативного сплайсинга
существует ещё два, благодаря которым разные мРНК могут получаться из одного
гена: множественные промоторы и множественные сайты полиаденилирования. Транскрипция
может начинаться с разных точек. В результате возникают транскрипты с разными
экзонами на 5’
- конце
(множественные промоторы). Множественные сайты полиаденилирования, в свою
очередь, обеспечивают разные 3’ - концы для транскрипта. (Qun Pan et al, 2008)
Процесс
альтернативного сплайсинга
Сплайсинг осуществляется с помощью сплайсосомы. Ее сборка
начинается с распознавания U1 5’ - сайта сплайсинга. После этого фактор
сплайсинга 1 (SF1) связывается в точке ветвления, образуя комплекс E’. Затем
большая субъединица вспомогательного фактора U2 (U2AF) образует комплекс с
полипиримидиновой частью, а его малая субъединица связывается с 3’ -
терминальным AG-между интроном и экзоном. Образовавшийся комплекс является
АТФ-независимым комплексом E. После замены SF1 на U2 в точке ветвления,
комплекс Е превращается в АТФ-зависимый комплекс А.
Дальнейшее образование тройного U4/U6-U5 комплекса приводит к
формированию комплекса В, который после конформационных изменений и перестроек
превращается в каталитически активный комплекс С. (Hadas Keren et al,
2010).занимает позицию U1. U1 и U4 удаляются из транскрипта. В оставшемся
комплексе осуществляется 2 реакции переэтерификации. В процессе первой реакции,
5’ - конец интрона отщепляется от предшествующего экзона и присоединяется к
точке ветвления через 2’, 5’ - фосфодиэфирную связь. Во второй реакции
переэтерификации, 3’ - конец интрона отщепляется от нижележащей кодирующей
последовательности, и два экзона объединяются. Образовавшийся интрон
высвобождается в форме лариата и деградирует. (Douglas L. Black, 2003)
2.3
Высокая пластичность сплайсинга РНК
Мы никогда не сможем узнать, насколько точно проходит
сплайсинг в пределах нормы. В клетке существуют механизмы, которые быстро
уничтожают молекулы РНК, у которых он прошел с отклонениями. Однако, в
сравнении с другими шагами в экспрессии генов, сплайсинг необыкновенно
подвижен. Например, мутация в нуклеотидной последовательности, критическая для
сплайсинга в определенной точке, не обязательно нарушает его для всего интрона.
Вместо этого она обычно создает новую сплайс-модель. В большинстве таких
случаев выпадает экзон. Иногда мутация создает нестандартные места
присоединения. Очевидно, механизм сплайсинга настроен на выбор лучшей из
возможных моделей места присоединения. В том случае, если оптимальная
повреждена мутацией, будет выбрана лучшая из последующих. Лабильность процесса
сплайсинга РНК предполагает, что производимые случайными мутациями изменения
являются важным путем эволюции генов и организмов.
Альтернативный сплайсинг позволяет нескольким типам белков
возникать из одного гена. Некоторые его примеры довольно консервативны. Однако
в большинстве случаев клетка, таким образом, выбирает модель сплайсинга, чтобы
позволить различным формам белка образовываться в разных типах тканей и
раздельно по времени. (Alberts B. et al, 2007)
2.4
Связь канонического сплайсинга и само-сплайсинга
Вероятно, ранее клетки использовали РНК, а не белки в
каталитических реакциях и хранили свою генетическую информацию в форме РНК, а
не ДНК. Доказательством этому являются некоторые до сих пор сохранившиеся
механизмы само-сплайсинга, который проходит в отсутствие белков или других
молекул РНК. Примером могут служить гены ядерной рРНК современного ресничного Tetrahymena, T4-гены определенных
бактериофагов и некоторые гены хлоропластов и митохондрий.
Интрон само-сплайсинга может быть идентифицирован путем
добавления чистой молекулы РНК, содержащей некодирующую последовательность, и
наблюдения за реакцией. Таким образом, могут быть обнаружены 2 основных класса
само-сплайсинговых интронных последовательностей.
Интроны первой группы начинают реакцию сплайсинга с
присоединения G-нуклеотида
к нуклеотидной последовательности. Он активируется, чтобы сформировать
атакующую группу, которая разрушает первую из фосфодиэфирных связей, созданных
в процессе сращения (связь находится на 5’ - конце).
Во второй группе, особенно активный A-нуклеотид, оставшийся в
интроне, является атакующей группой, генерируя, таким образом, промежуточный
лариат. В остальном пути реагирования для обоих типов интронов одинаковы и
представляют собой остатки довольно древних механизмов.
РНК интрона изгибается в особую трехмерную структуру, которая
соединяет сплайс-сайты вместе, предоставляя возможность атакующим группам
осуществить химическую реакцию. Благодаря большому сходству химизма обеих
реакций, предполагают, что механизм пре-мРНК сплайсинга (посредством
сплайсосомы) возник из группы механизмов само-сплайсинга. В соответствии с этой
идеей, сплайсосомные snRNP заняли химические роли интронов второй группы. (Alberts B. et al, 2007)
3.
Факторы сплайсинга: разнообразие, строение и функции
Существует множество факторов сплайсинга, весьма
разнообразных по своим строению и функциям. Однако есть несколько факторов,
которые используются чаще всего и в большем количестве.
1. Богатый серином и аргинином фактор сплайсинга 1 (SRSF1),
также известный как фактор альтернативного сплайсинга 1 (ASF1),
пре-мРНК-сплайсинг-фактор SF2 (SF2) или ASF1 / SF2, представляет собой белок,
который у человека кодируется геном SFRS1. (Kim D.J. et al, 2009) Этот ген
находится на хромосоме 17. (Krainer A.R. et al, 1990).
ASF / SF2 необходим для прохождения всех реакций сплайсинга и
влияет на выбор сплайс-сайта в зависимости от концентрации. В результате его
работы может происходить альтернативный сплайсинг. (Zuo P., Manley J.L., 1993)
ASF/SF2 также является посредником пост-сплайсинговых преобразований (экспорт к
ядру и трансляция мРНК). (Michlewski G. et al, 2008)/ SF2 является SR-белком и
содержит два функциональных модуля. В регионе, богатом серином и аргинином
(RS-домен), происходит основная часть регулирования. С помощью двух мест
распознавания РНК (РРС) ASF / SF2 взаимодействует с РНК и другими факторами
сплайсинга. (Hagopian J.C. et al, 2008)/ SF2 требуется для распознавания и
отбора 5'-сплайс-сайта и способен различать криптические и достоверные сайты
сплайсинга. Последующее образование лариата в течение первого этапа сплайсинга
также происходит в присутствии ASF / SF2. (Krainer A.R. et al, 1990) Он
способствует направлению U1 к 5'-сайтусплайсинга и образованию cвязи между 5'-
и 3'-сплайс-сайтами. (Li X., Manley J.L., 2005)/ SF2 также ассоциируется с U2.
(Masuyama K. et al, 2007) Во время реакции ASF / SF2 способствует использованию
интронов проксимальных участков и затрудняет использование интронов дистальных
участков, влияя на процесс альтернативного сплайсинга.
Различные концентрации ASF / SF2 являются механизмом
регулирования альтернативного сплайсинга. Его действие приводит к образованию
различных количеств продукции. Регуляция происходит путем прямых или косвенных
связываний с экзонными усилителями сплайсинга (ESE). (Zhang X. et al, 2008)
Этот фактор сплайсинга может фосфорилироваться по серинам в
своем RS-домене особой SR-протеинкиназой, SRPK1, которая избирательно
фосфорилирует до двенадцати серинов через направленный механизм, двигаясь от
С-конца к N-концу. Мульти-фосфорилирование направляет ASF / SF2 к ядру,
воздействуя на количество белок-белковых взаимодействий, связанных со
сплайсингом. (Hagopian J.C. et al, 2008) Степень функционирования этого фактора
зависит от его фосфорилированности. Последовательное фосфорилирование и
дефосфорилирование помечает места переходов между этапами в процессе
сплайсинга. (Cao W. et al, 1997)/ SF2 участвует в регуляции геномной
стабильности. Считается, что РНК-полимераза набирает ASF / SF2 для растущих
РНК-транскриптов, чтобы препятствовать образованию мутагенных ДНК. Таким
образом, ASF / SF2 защищает клетки от вредного воздействия самого процесса
транскрипции. (Li X., Manley J.L., 2005) Он также участвует в реализации
клеточных механизмов, препятствующих пропуску экзонов и обеспечивающих точное
прохождение сплайсинга. (Krainer A.R. et al, 1990)./ SF2 может выступать в
качестве онкопротеина. (Hagopian J.C. et al, 2008) Он контролирует сплайсинг
различных генов-супрессоров опухолевого роста и киназ, которые способны
преобразоваться путем альтернативного сплайсинга в онкогенные изоформы. (Karni
R. et al, 2007) Таким образом, ASF / SF2 является важной мишенью для лечения
онкозаболеваний. (Hagopian J.C. et al, 2008)/ SF2 участвует в репликации ВИЧ-1.
Для развития этот вирус нуждается в равновесии сплайсированных и
несплайсированных форм его вирусной ДНК. Действие ASF / SF2 в репликации ВИЧ-1
является потенциальной мишенью для ВИЧ-терапии. (Tange T.Ø., Kjems J., 2001)

Рисунок 3.1 Строение ASF / SF2
2. Диспецифичная протеинкиназа CLK1 - фермент, кодируемый
геном CLK1 у человека. Этот ген кодирует член семейства CDC2 (или Lammer) -
диспецифичных белковых киназ. В ядре клетки кодируемый белок фосфорилирует
SR-белки, участвующие в процессинге пре-мРНК и переносит их в нуклеоплазму.
Выбор сайтов сплайсинга во время обработки пре-мРНК может регулироваться
концентрацией в том числе SR-белков. Таким образом, кодируемый белок может
играть косвенную роль в управлении выбором сайтов сплайсинга. (Talmadge CB et
al, 1998) CLK1 работает и на серин-треониновом, и на тирозинсодержащем
субстрате. Она фосфорилирует SR-белки сплайсосомного комплекса и участвует в
сети регуляторных механизмов, позволяющих этим белкам контролировать процесс
сплайсинга. (Moeslein F.M. et al, 1998)
. U2AF2 (большая субъединица U2AF) - белок, кодируемый
геном U2AF2.
Большая субъединица содержит последовательность-зависимый
связывающий РНК регион с тремя мотивами распознавания РНК и RS-доменом,
необходимыми для сплайсинга. U2AF2 прикрепляется к полипиримидиновой
последовательности интронов в начале процесса образования сплайсосомы.
Вместе большая и малая субъединицы принимают участие в
прикреплении snRNP U2 к точке разветвления пре-мРНК. (Lalioti M.D. et al, 1997)
Рисунок 3.2 Строение U2AF
5. Серин-треониновая протеинкиназа SRPK1 - кодируемый геном SRPK1 фермент человека.
Этот ген кодирует протеинкиназы, специфичные для SR-семейства факторов
сплайсинга. Белок расположен в ядре и цитоплазме. Считается, что он регулирует
процесс канонического и альтернативного сплайсинга путем изменения внутриклеточного
расположения факторов сплайсинга.
Некоторые формы онокозаболеваний являются VEGF-зависимыми. SRPK1 путем фосфорилирования
способен активировать фактор сплайсинга VEGF. Ингибиторы SRPK1 могут быть внедрены в
качестве средства для лечения рака простаты. (Gui J.F. et al, 1994).
4.
Цис-элементы сплайсинга: разнообразие и функции
Существуют различные способы регуляции альтернативного
сплайсинга: РНК-белковые взаимодействия, РНК-РНК взаимодействия, взаимодействие
пре-мРНК с некодирующими РНК (в том числе, малыми ядрышковыми РНК) и др.
Несмотря на разнообразие регуляторных механизмов, РНК-белковые взаимодействия
считаются основными способами регуляции сплайсинга. (Danckwardt S. et al, 2002)
Существует 4 категории регуляторов:
1. Энхансеры сплайсинга экзонов (exonicsplicingenhancers,
ESEs);
2. Сайленсеры сплайсинга экзонов (exonic splicing silencers, ESSs);
3. Энхансеры сплайсинга интронов (intronic splicing enhancers, ISEs);
4. Сайленсеры сплайсинга интронов (intronic splicing silencers, ISSs).
Энхансер активирует расположенные рядом сайты сплайсинга или
противодействует сайленсерам, которые могут репрессировать сайты сплайсинга или
энхансеры. Включение или пропуск экзона определяется соотношением этих
факторов. Оно в свою очередь может определяется отношением концентраций
родственных РНК-связывающих белков-активаторов или репрессоров. Большая часть
репрессоров сплайсинга - гетерогенные ядерные рибонуклеопротеины (hnRNPs).
(Matlin A.J. et al, 2005)
Имеются и другие регуляторы. Например, SR-белки играют важную
роль в распознавании сайта сплайсинга. Когда они взаимодействуют с
энхансерамиэкзонов (ESE), они помогают U1 связываться с 5’ - сайтом сплайсинга,
а также U2AF и U2 с 3’ - сайтом сплайсинга. Такие взаимодействия происходят
благодаря наличию RS-доменов. Эти белки могут работать вместе с другими
положительными регуляторами. (Bauer J.A. et al, 2009)белок SRp38 (также
известный как TASR, NSSR, FUSIP1 и SRrp40) в дефосфорилированном состоянии
действует как репрессор сплайсинга. Однако, недавние исследования показали, что
в фосфорилированном состоянии он функционирует в качестве активатора,
зависящего от строения сплайсируемой последовательности. (Berget S.M. et al,
1977)
Отмечено, что эффективность работы факторов сплайсинга часто
зависит от позиции. Например, фактор, действующий, как активатор, будучи
прикрепленным к интронному энхансеру, может выполнять функцию репрессора в
других условиях. (Lim K.H. et al, 2011)
Вторичная структура пре-мРНК-транскрипта также играет роль в
регуляции сплайсинга, соединяя его элементы или маскируя последовательности,
функционирующие как сайты прикрепления для сплайс-факторов. (Reid, D.C. et al,
2009) Вместе эти элементы формируют «код сплайсинга», который определяет
порядок его прохождения в разных условиях. (Wang Z., Burge C.B., 2008)
Присутствие определенной последовательности РНК может
увеличить либо уменьшить возможности сплайсирования ближайших сайтов в
зависимости от контекста. Этот контекст определяется присутствием черт других
последовательностей РНК (цис-активность) или клеточными условиями
(транс-активность). Действие цис-активного элемента может иметь противоположные
эффекты, в зависимости от того, какие белки произодятся в клетке. (Fairbrother
W.G. et al, 2004)
Ингибировать распознавание сайта сплайсинга можно разными способами.
Когда сайленсеры сплайсинга располагаются близко к сайту сплайсинга или к
энхансерам сплайсинга, может происходить стерическое ингибирование. При этом
блокируется доступ к snRNP или положительным регуляторным факторам. Например,
полипиримидин-связывающий белок (PTB; также известный как PTB1 и hnRNP I),
связывается с полипиримидиновым участком и, тем самым, блокирует связывание
U2AF с экзонами. Тканеспецифичные факторы сплайсинга FOX1 и FOX2, связываясь с
интронной последовательностью, могут ингибировать формирование комплекса E',
предотвращая связывание фактора SF1 с точкой ветвления. (Bauer J.A. et al,
2009)
Ингибиторы сплайсинга могут стерически мешать связыванию
активаторов с энхансерами. Семейство белков Hu/ELAV ингибирует связывание U1.
Его действие конкурирует с работой белка TIA1, который взаимодействует с
AU-богатой областью, расположенной далее по последовательности в 5’ - сайте
сплайсингаэкзона 23а нейрофиброматозного типа 1. (Leff S.E. et al, 1986) FOX1 и FOX2 также
ингибируют формирование комплекса Е, связываясь с экзонной последовательностью,
близко расположенной от ESE, где связываются TRA2 и SRp55. Из-за этого U2AF не
может закрепиться. (Chow L.T., Broker T.R., 1978)
Действие цис-регуляторных элементов иногда зависит от позиции
регулируемого экзона. Несколько белков, например, такие как NOVA1, NOVA2, FOX1,
FOX2, hnRNP l, hnRNP l-подобный, hnRNP F и hnRNP H, могут действовать либо как
репрессоры, либо как активаторы в зависимости от положения сайта связывания.
(Rosenfeld MG et al, 1982)
Позиция сплайсинга может определять действие факторов
сплайсинга. Энхансеры могут располагаться таким образом, что, когда факторы
сплайсинга связываются с ними, другой экзон лучше расположен для действия
сплайсосомы. Иногда наоборот, элементы сайленсинга соревнуются с компонентами
сплайсосомы или изменяют структуру мРНК, препятствуя узнаванию сайта
сплайсинга. (Bauer JA et al, 2009)
5.
Биологическое значение сплайсинга
Процессы созревания и преобразования РНК чрезвычайно важны
для жизнедеятельности клеток и целых организмов.
С помощью альтернативного сплайсинга можно получить множество
транскриптов и производных от них белков. Объединение различных сайтов
сплайсинга позволяет генам экспрессировать несколько разновидностей мРНК.
Разные варианты сплайсинга могут приводить к образованию разных изоформ одного
и того же белка. Предполагают, что у эукариот альтернативный сплайсинг может
быть эволюционным достижением. Его наличие повышает эффективность хранения
информации. Недавно было показано, что у примерно 95% мультиэкзонных генов
человека наблюдается альтернативный сплайсинг. (Qun Pan et al, 2008)
Геном круглого червя Caenorhabditis elegans по количеству
генов практически не отличается от генома человека, однако альтернативному
сплайсингу подвергаются только 15% генов. Альтернативный сплайсинг позволяет
увеличить разнообразие кодируемых геном белков, сохраняя небольшое количество
различных генов в геноме и не создавая их избыточных копий. Разные варианты
альтернативного сплайсинга одной пре-мРНК могут осуществляться в разные периоды
развития организма и / или в разных тканях, а также у разных особей одного
вида. Альтернативный сплайсинг является ключевым механизмом увеличения
разнообразия белков и осуществления системы регуляции экспрессии генов, в том
числе тканеспецифической. (Li X., Manley J.L., 2005)
Изменения в процессе альтернативного сплайсинга могут
вызывать разные заболевания: нейродегенеративные, сердечно-сосудистые,
дыхательные заболевания, а также рак и болезнь Альцгеймера. В тканях,
обеспечивающих множество различных процессов, требуется большое количество
белков для выполнения различных функций. Любой дефект в альтернативном
сплайсинге может резко изменить состав белков в клетке. По этой причине
возникают многие неврологические заболевания. Эти дефекты могут быть разделены
на две основные группы: первичные и вторичные дефекты сплайсинга.
5.1
Первичные дефекты сплайсинга
При первичных дефектах сплайсинга мутация происходит в
последовательности, которая важна для правильного его прохождения. Многие мутации,
приводящие к заболеваниям, вызваны нарушениями в процессе сплайсинга пре-мРНК.
Примерами могут быть синдром Луи-Бара и нейрофиброматоз. Многие пациенты,
страдающие этими заболеваниями, несут мутации, которые влияют на прохождение
сплайсинга пре-мРНК. Дефекты приводят к изменению транскриптов тау-белков,
ассоциированных с микротрубочками, - MAPT. Изменения в сплайсинге MAPT могут
приводить к другим заболеваниям, таким, как болезнь Альцгеймера, мышечная
дистрофия, дисфункция глии и дегенерация спинного мозга. Мышечная дистрофия
Дюшена (МДД) - это результат мутаций в гене, кодирующем белок дистрофин.
Мутации вызывают нарушения в сплайсинге и продукцию неправильных мРНК. Разные
мутации в пре-мРНК дистрофина вызывают промежуточный вариант МДД, мышечную дистрофию
Беккера (МДБ).
5.2
Вторичные дефекты сплайсинга
Под вторичными дефектами сплайсинга понимаются мутации в
регуляторных факторах, важных для процесса сплайсинга. Действие различных
активаторов и / или репрессоров может определять пути прохождения альтернативного
сплайсинга. В зависимости от того, какой регулятор действует, пре-мРНК
меняется. В некоторых случаях, это может привести к серьёзным нарушениям.
Примером таких нарушений является Синдром Прадера-Вилли, генетическая болезнь,
характеризующаяся интеллектуальными и поведенческими отклонениями.
Фермент ацетилхолинэстераза (AChE) собирается из серии
белков. В ходе его альтернативного сплайсинга могут получаться три изоформы
белка, которые вызывают такие заболевания, как болезнь Альцгеймера и болезнь
Паркинсона. Разбалансировка регуляторов сплайсинга может приводить к избытку
AChE-R, изоформе AChE, найденной у пациентов, страдающих болезнью Альцгеймера.
(Eric T. Wang et al, 2008)
Заключение
Альтернативный
сплайсинг - сложный многоступенчатый процесс. Его прохождение обеспечивается
множеством различных факторов и цис-элементов. От правильности их работы
зависит качественный и количественный состав получаемых транскриптов и
производных от них белков. Строение образующихся в организме белков очень важно
для правильного функционирования тканей и органов. Особенное значение это имеет
для тех систем, которые активно используют продукты трансляции в своей работе
(например, нервная система). При нарушениях в процессе альтернативного
сплайсинга могут возникать различные заболевания, такие, как мышечная дистрофия
Дюшена, болезнь Альцгеймера и другие нейродегенеративные заболевания.
В
работе были охарактеризованы процесс сплайсинга и факторы, обеспечивающие его
прохождение. Также описано влияние альтернативного сплайсинга на процесс
эволюции, изменчивость организмов; перечислены основные заболевания человека,
возникающие в результате нарушения некоторых стадий прохождения сплайсинга.
Список
литературы
1. Molecular biology of the cell / Bruce Alberts [et al]. - 5-th
edition. - 2007. - 1392 p / p. 347-357.
2. Schoenberg D.R. Re-capping the message / Schoenberg D.R.,
Maquat L.E. // Trends Biochem Sci. - 2009. - №34. - P.435-442.
. Proudfoot N.J. Integrating mRNA processing with
transcription. / Proudfoot N.J., Furger A., Dye M. J // Cell. - 2002. - Vol.
108. - №4. - P.501-512.
. Marzluff W.F. The human and mouse replication-dependent
histone genes. /Marzluff W.F., Gongidi P., Woods K.R., Jin J., Maltais L.J. //
Genomics. - 2002. - Vol.80. - №5. - P.487-498
. Hunt A.G. Arabidopsis mRNA polyadenylation machinery:
comprehensive analysis of protein-protein interactions and gene expression
profiling. / Hunt A.G., Xu R., Addepalli B., Rao S., Forbes K.P., Meeks L.R.,
Xing D., Mo M., Zhao H., Bandyopadhyay A., Dampanaboina L., Marion A., Von
Lanken C., Li Q.Q. // BMC genomics. - 2008. - Vol. 9. - P. 220.
. Brennicke A. RNA editing. / Brennicke A, Marchfelder A,
Binder S. // FEMS Microbiol Rev. - 1999. - №23. - P.297-316.
. Alfonzo, J.D. The mechanism of U insertion/deletion RNA
editing in kinetoplastid mitochondria. /Alfonzo, J.D., Thiemann, T. and
Simpson, L. // Nucleic Acids Research. - №25. - P.3751-3759.
. Blum, B A model for RNA editing in kinetoplastid
mitochondria: 'Guide' RNA molecules transcribed from maxicircle DNA provide the
edited information. /Blum, B., Bakalara, N., Simpson, L. // Cell. - 1990. - 60.
- P.189-198
. Simpson, L Sense from nonsense: RNA editing in mitochondria
of kinetoplastid protozoa and slime molds. / Simpson, L., Thiemann, O.H. //
Cell. - 1995. - 81. P.837-840.
10. Hajduk, S.L. Mitochondrial mRNA editing in kinetoplastid
protozoa. / Hajduk, S.L., Sabatini, R.S. // Modification and Editing of RNA -
1998. - P. 377-394.
11. Banerjee A.K. 5'-terminal cap structure in eucaryotic
messenger ribonucleic acids. / Banerjee A.K. // Microbiology Review. - 1980. -
№44 - P.175-205.
. Belasco J.G. All things must pass: contrasts and
commonalities in eukaryotic and bacterial mRNA decay. / Belasco J.G. // Nature
Reviews Molecular Cell Biology - 2010 - №11 - P.467-78.
. Deep surveying of alternative splicing complexity in the
human transcriptome by high-throughput sequencing // Nature Genetics - №40. -
P.1413-1415.
. Function of alternative splicing. [Gene. 2005]
. Alternative splicing and evolution: diversification, exon
definition and function // Nature Reviews Genetics - 2010. - №11. - P.345-355
. Mechanisms of alternative pre-messenger RNA splicing //
Annual Review of Biochemistry - 2003. - Vol. 72 - P.291-336
. Nucleic acids research - 2004. - vol.32 No.13 -
P.3977-3983
. Kim DJ Splicing factor ASF/SF2 and transcription factor
PPAR-gamma cooperate to directly regulate transcription of uncoupling
protein-3. / Kim DJ, Oh B, Kim YY // Biochem. Biophys. Res. Commun. - 2009. -
378 (4) - P.877-82.
. Zuo P Functional domains of the human splicing factor
ASF/SF2 / Zuo P, Manley JL // EMBO J. - 1993. - 12 (12). - P.4727-37.
. Li X Inactivation of the SR protein splicing factor ASF/SF2
results in genomic instability. / Li X, Manley JL // Cell. - 2005. - 122 (3). -
P.365-378.
. KrainerAR The essential pre-mRNA splicing factor SF2
influences 5' splice site selection by activating proximal sites. / Krainer AR,
Conway GC, Kozak D // Cell - 1990. - 62 (1). - P.35-42.
. Michlewski G The splicing factor SF2/ASF regulates translation initiation by enhancing phosphorylation of
4E-BP1. / Michlewski G, Sanford JR, Cáceres JF // Cell - 2008. - 30
(2). - P.179-89.
. Hagopian JC Adaptable molecular interactions guide
phosphorylation of the SR protein ASF/SF2 by SRPK1. / Hagopian JC, Ma CT, Meade
BR, Albuquerque CP, Ngo JC, Ghosh G, JenningsPA, Fu XD, Adams JA // J. Mol.
Biol. - 2008. - 382 (4) - P.894-909.
. Masuyama K Factors associated with a purine-rich exonic
splicing enhancer sequence in Xenopus oocyte nucleus. / Masuyama K, Taniguchi
I, Okawa K, Ohno M // Biochem. Biophys. Res. Commun. - 2007. - 359 (3) -
P.580-585.
. Zhang X Characterization of regulatory intronic and
exonic sequences involved in alternative splicing of scavenger receptor class B
gene. / Zhang X, Merkler KA, McLean MP // Biochem. Biophys. Res. Commun. -
2008. - 372 (1) - P.173-178.
. MaCT Ordered multi-site phosphorylation of the splicing
factor ASF/SF2 by SRPK1. / Ma CT, Velazquez-Dones A, Hagopian JC, Ghosh G, Fu
XD, Adams JA // J. Mol. Biol. - 2008. - 376 (1) - P.55-68.
. Cao W Both phosphorylation and dephosphorylation of
ASF/SF2 are required for pre-mRNA splicing in vitro. / Cao W, Jamison SF,
Garcia-Blanco MA // RNA - 1997. - 3 (12) - P.1456-1467.
. Karni R The gene encoding the splicing factor SF2/ASF is
a proto-oncogene. / Karni R, de Stanchina E, Lowe SW, Sinha R, Mu D, Krainer AR
// Nat. Struct. Mol. Biol. - 2007. - 14 (3) - P.185-193.
. Tange TО SF2/ASF binds to a splicing enhancer in the
third HIV-1 tat exon and stimulates U2AF binding independently of the RS
domain. / Tange TО, Kjems J // J. Mol. Biol. - 2001. - 312 (4) - P.649-62.
. Talmadge CB Chromosomal mapping of three human LAMMER
protein-kinase-encoding genes. / Talmadge CB, Finkernagel S, Sumegi J, Sciorra
L, Rabinow L // Hum Genet. - 1998. - 103 (4) - P.523-524.
. Lalioti MD The gene for human U2 snRNP auxiliary factor
small 35-kDa subunit (U2AF1) maps to the progressive myoclonus epilepsy (EPM1)
critical region on chromosome 21q22.3. / Lalioti MD, Gos A, Green MR, Rossier
C, Morris MA, Antonarakis SE // Genomics - 1997. - 33 (2) - P.298-300.
. Gui JF A serine kinase regulates intracellular
localization of splicing factors in the cell cycle. / Gui JF, Lane WS, Fu XD //
Nature - 1994. - 369 (6482) - P.678-682.
. Bernstein HS Pombe Cdc5-related protein. A putative human
transcription factor implicated in mitogen-activated signaling. / Bernstein HS,
Coughlin SR // J BiolChem - 1997. - 272 (9) - P.5833-5837.
. Danckwardt S Abnormally spliced beta-globin mRNAs: a
single point mutation generates transcripts sensitive and insensitive to
nonsense-mediated mRNA decay. / Danckwardt S, Neu-Yilik G, Thermann R, Frede U,
Hentze MW, Kulozik AE // Blood - 2002. - 99 (5) - P.1811-1816.
. Matlin, AJ Understanding alternative splicing: towards a
cellular code. / Matlin, AJ; Clark, F; Smith, CWJ // Nature Reviews. - 2005. -
6 (5) - P.386-398.
. Bauer, Joseph Alan A Global View of Cancer-Specific
Transcript Variants by Subtractive Transcriptome-Wide Analysis. / Bauer, Joseph
Alan; He, Chunjiang; Zhou, Fang; Zuo, Zhixiang; Cheng, Hanhua; Zhou, Rongjia //
PLoS ONE. - 2009. - 4 (3). - e4732
. Berget SM Spliced segments at the 5' terminus of
adenovirus 2 late mRNA. / Berget SM, Moore C, Sharp PA // Proc. Natl. Acad.
Sci. U.S.A. - 1977. - 74 (8) - P.3171-3175.
. Lim, KH Using positional distribution to identify
splicing elements and predict pre-mRNA processing defects in human genes. /
Lim, KH; Ferraris, L; Filloux, ME; Raphael, BJ; Fairbrother, WG // Proc. Natl.
Acad. Sci. USA - 2011. - 108 (27) - P.11093-11098.
. Reid, DC Next-generation SELEX identifies sequence and
structural determinants of splicing factor binding in human pre-mRNA sequence.
/ Reid, DC; Chang, BL; Gunderson, SI; Alpert, L; Thompson, WA; Fairbrother, WG
// RNA. - 2009. - 15 (12) - P.2385-2397.
. Wang, Z Splicing regulation: from a parts list of
regulatory elements to an integrated splicing code. / Wang, Z; Burge, Cb //
RNA. - 2008. - 14 (5) - P.802-813.
. Fairbrother, WG Single nucleotide polymorphism-based
validation of exonic splicing enhancers. / Fairbrother, WG; Holste, D; Burge,
CB; Sharp, PA // PLoSBiol - 2004. - 2 (9) - e268.
. Leff SE Complex transcriptional units: diversity in gene
expression by alternative RNA processing. / Leff SE, Rosenfeld MG, Evans RM //
Annu. Rev. Biochem. - 1986. - 55 (1) - P.1091-1117.
. Chow LT The spliced structures of adenovirus 2 fiber
message and the other late mRNAs. / Chow LT, Broker TR // Cell. - 1978. - 15
(2) - P.497-510.
. Rosenfeld MG Calcitonin mRNA polymorphism: peptide
switching associated with alternative RNA splicing events. / Rosenfeld MG, Lin
CR, Amara SG et al. // Proc. Natl. Acad. Sci. U.S.A. - 1982. - 79 (6) -
P.1717-1721.
. Eric T. Wang Alternative isoform regulation in human
tissue transcriptomes. / Eric T. Wang, Rickard Sandberg, Shujun Luo, Irina
Khrebtukova, Lu Zhang, Christine Mayr, Stephen F. Kingsmore, Gary P.
Schroth& Christopher B. Burge // Nature. - 2008. - P.456, 470-476
. Sato, T Anti-U1 RNP antibodies in cerebrospinal fluid are
associated with central neuropsychiatric manifestations in systemic lupus
erythematosus and mixed connective tissue disease. / Sato, T; Fujii, T; Yokoyama,
T; Fujita, Y; Imura, Y; Yukawa, N; Kawabata, D; Nojima, T; Ohmura, K; Usui, T;
Mimori, T // Arthritis and rheumatism - 2010. - 62 (12) - P.3730-3740.