Содержание и анализ отчета о движении денежных средств на примере ОАО 'Энергострой-Холдинг'
Курсовая работа
по дисциплине «Бухгалтерская
(финансовая) отчетность»
Содержание и анализ отчета о движении
денежных средств на примере ОАО «Энергострой-Холдинг»
Введение
денежный отчетность бухгалтерский
Бухгалтерская отчетность - это единая система данных о финансовом
положении организации, результатах ее деятельности и изменениях в ее финансовом
положении, составляемая на основе данных бухгалтерского учета.
Отчет о движении денежных средств является одной из обязательных форм
финансовой отчетности организации. Он дает возможность пользователю оценить
способность активов компании генерировать денежные средства при осуществлении
хозяйственных операций, что является одним из важнейших критериев при анализе
успешности и стабильности ее работы. Цель формирования отчета о движении
денежных средств - дать пользователям информацию об источниках притока денежных
средств и направлениях их расходования, остатках средств на счете, то есть
фактически произошедших событиях, причем данные за период только суммируются на
конкретную отчетную дату и какая-либо корректировка не предполагается.
Отчет о движении денежных средств стал одним из основных документов
бухгалтерской отчетности. Данные содержащиеся в отчете, дополняют информацию
бухгалтерского баланса и отчета о прибылях и убытках. Если баланс отражает
финансовое положение организации на определенный момент, как правило, на конец
отчетного периода, то отчет о движении денежных средств поясняет изменения,
произошедшие с денежными средствами и эквивалентами за отчетный период.
Информация о движении денежных средств полезна в качестве базы оценки
способности организации, привлекать и использовать денежные средства.
Подготовка финансовой отчетности - один из важнейших этапов
учетно-аналитической работы. На основе открытых данных все партнеры и
предприятия получают возможность оценить доходность и риск взаимоотношений с
ней, выявить наиболее эффективные и платежеспособные, привлекательные для
инвестиций компании. Но не всегда отчетность, подготовленная в соответствии с
Российскими стандартами, являлась открытой, прозрачной и понятной не только для
иностранных инвесторов, но и для других заинтересованных пользователей. Поэтому
весьма актуальным является переход России на международные стандарты финансовой
отчетности, так как часто привлечение именно иностранных инвестиций в
российскую экономику является наиболее важным.
Это и делает данную тему необходимой к изучению и актуальной в настоящее
время. Исходя из выше сказанного, цель работы заключается в определении сущности
такого элемента финансовой отчетности, как отчета о движении денежных средств,
а также особенностей его составления в составления в соответствии с российскими
и международными стандартами финансовой отчетности на примере ОАО
«Энергострой-Холдинг». В качестве предмета исследования рассматривается - отчет
о движении денежных средств, в качестве объекта - движение денежных средств и
эквивалентов на предприятии ОАО «Энергострой-Холдинг».
При выполнении курсовой работы рассматриваются следующие задачи:
. изучение нормативной документации, состава, методов составления и
порядка заполнения отчета о движении денежных средств;
. сравнение российских стандартов бухгалтерской отчетности с отчетностью
МСФО в разрезе отчета о движении денежных средств;
. анализ отчета о движении денежных средств за 2011 год на примере ОАО
«Энергострой-Холдинг».
1. ОТЧЕТ О
ДВИЖЕНИИ ДЕНЕЖНЫХ СРЕДСТВ: ЕГО СОДЕРЖАНИЕ, СОСТАВ, ТЕХНИКА СОСТАВЛЕНИЯ
денежный отчетность бухгалтерский
1.1
Нормативное регулирование
Первоначальным законодательным актом является Федеральный закон от
21.11.1996г. № 129-ФЗ «О бухгалтерском учете». В законе дается определение
бухгалтерской отчетности как единой системы данных об имущественном и
финансовом положении организации и результатах ее хозяйственной деятельности,
составляемой на основе данных бухгалтерского учета по установленным формам.
Важным нормативным актом является Гражданский кодекс РФ, принятый
21.10.1995г., в первой части которого законодательно закреплены многие вопросы
учета и отчетности.
Базовым документом системы бухгалтерского учета является Приказ Минфина
РФ от 31.10.2000 № 94н «Об утверждении плана счетов бухгалтерского учета
финансово-хозяйственной деятельности и инструкции по его применению».
До 2011 года при составлении отчета о движении денежных средств
организации руководствовались п.29 Приказа Минфина № 43н от 06.07.1999 г. «Об
утверждении положения по бухгалтерскому учету «Бухгалтерская отчетность
организации» ПБУ 4/99», а также п.п.15,16 Указаний о порядке составления и
представления бухгалтерской отчетности, утвержденных Приказом Минфина России от
22.07.2003 № 67н. Начиная с отчетности за 2011 год ситуация изменилась.
Организации обязаны применять единые формы бухгалтерской отчетности,
утвержденные Приказом Минфина России от 02.07.2010 год № 66н «О формах
бухгалтерской отчетности организации», а отчет о движении денежных средств
должны формировать в соответствии с нормативными предписаниями одноименного
стандарта - ПБУ 23/2011 - Приказ Минфина от 02.02.2011г. «Отчет о движении денежных
средств». Нужно также отметить, что ПБУ 23/2011 разработано на основе МСФО
(IAS) 7 «Отчеты о движении денежных средств».
Налог на прибыль декларируется и уплачивается единым платежом. Однако
часть суммы налога, непосредственно связанная с денежными потоками от
инвестиционных или финансовых операций, нужно в эти же потоки и включить (п.9
«д» ПБУ 23/2011). Тем самым платеж по данному налогу предстоит распределять
(п.13 ПБУ 23/2011). Но при этом не нужно забывать о критерии существенности
показателей (п.17 ПБУ 1/2008).
Остатки денежных средств и денежных эквивалентов в иностранной валюте на
начало и конец отчетного периода отражаются в отчете о движении денежных
средств в рублях в сумме, которая определяется в соответствии с Положением по
бухгалтерскому учету "Учет активов и обязательств, стоимость которых
выражена в иностранной валюте" (ПБУ 3/2006), утвержденным Приказом
Министерства финансов Российской Федерации от 27 ноября 2006 г. N 154н «Учет
активов и обязательств, стоимость которых выражена в иностранной валюте».
1.2
Содержание и состав отчета о движении денежных средств
Отчет о движении денежных средств входит в состав бухгалтерской
отчетности организации. Он представляет собой обобщение данных о денежных
средствах, а также высоколиквидных финансовых вложениях, которые могут быть
легко обращены в заранее известную сумму денежных средств и которые подвержены
незначительному риску изменения стоимости.
Отчет о движении денежных средств содержит информацию, в которой
заинтересованы как собственники, так и кредиторы.
Собственники, имея информацию о денежных потоках, имеют возможность более
обоснованно подойти к разработке политики распределения и использования
прибыли.
Кредиторы могут составить заключение о достаточности средств у
потенциального заемщика и его способности зарабатывать денежные средства,
необходимые для погашения обязательств. В отчете представляются данные о
составе и структуре денежных средств на текущую и предыдущую отчетную дату.
Итогом отчета о движении денежных средств должна быть разница между суммарными
денежными средствами и их эквивалентами на эти даты. Перечень, который должен
быть представлен и раскрыт в отчете о движении денежных средств организации,
установлен ПБУ 4/99 «Бухгалтерская отчетность организации»:
. Остаток денежных средств на начало отчетного периода;
. Поступило денежных средств - всего;
в том числе:
от продажи продукции, товаров, работ и услуг;
от продажи основных средств и иного имущества;
авансы, полученные от покупателей (заказчиков);
бюджетные ассигнования и иное целевое финансирование;
кредиты и займы полученные;
дивиденды, проценты по финансовым вложениям;
прочие поступления;
.Направлено денежных средств - всего;
в том числе:
на оплату товаров, работ, услуг;
на оплату труда;
на отчисления в государственные внебюджетные фонды;
на выдачу авансов;
на финансовые вложения;
на выплату дивидендов, процентов по ценным бумагам;
на расчеты с бюджетом;
на оплату процентов по полученным кредитам, займам;
прочие выплаты, перечисления;
. Остаток денежных средств на конец отчетного периода.
Объектом обобщения в отчете о движении денежных средств являются денежные
средства организации на счетах в банках и кассе, которыми организация может
свободно распоряжаться. К денежным средствам приравниваются денежные
эквиваленты - краткосрочные высоколиквидные инвестиции предприятия, свободно
обратимые в денежные средства и незначительно подверженные риску изменения
рыночной цены. Таким образом, конкретный вид краткосрочных финансовых вложений
организации может быть признан эквивалентом денежных средств при условии, что у
составителя отчета есть уверенность в свободном обращении данной ценной бумаги
в деньги без существенной потери в сумме, отраженной в бухгалтерском балансе.
Принципиальным различием отчетов за 2011 и 2010 года является: в денежные
потоки не включаются косвенные налоги, то есть акцизы и НДС. Результирующий
поток таких налогов за год (входящий от покупателей минус исходящий продавцам
минус, уплаченный в бюджет плюс, возмещенный из бюджета) нужно будет показать в
текущем потоке.
Денежные потоки отражаются в отчете о движении денежных средств свернуто
в случаях, когда они характеризуют не столько деятельность организации, сколько
деятельность ее контрагентов, и (или) когда поступления от одних лиц
обусловливают соответствующие выплаты другим лицам. Примерами таких денежных
потоков являются:
а) денежные потоки комиссионера или агента в связи с осуществлением ими
комиссионных или агентских услуг (за исключением платы за сами услуги);
б) косвенные налоги в составе поступлений от покупателей и заказчиков,
платежей поставщикам и подрядчикам и платежей в бюджетную систему Российской
Федерации или возмещение из нее;
в) поступления от контрагента в счет возмещения коммунальных платежей и
осуществление этих платежей в арендных и иных аналогичных отношениях;
г) оплата транспортировки грузов с получением эквивалентной компенсации
от контрагента.
Денежные потоки отражаются в отчете о движении денежных средств свернуто
в случаях, когда они отличаются быстрым оборотом, большими суммами и короткими
сроками возврата. Примерами таких денежных потоков являются:
а) взаимно обусловленные платежи и поступления по расчетам с
использованием банковских карт;
б) покупка и перепродажа финансовых вложений;
в) осуществление краткосрочных (как правило, до трех месяцев) финансовых
вложений за счет заемных средств.
Показатели отчета о движении денежных средств организации отражаются в
валюте Российской Федерации - рублях.
Величина денежных потоков в иностранной валюте пересчитывается в рубли по
официальному курсу этой иностранной валюты к рублю, устанавливаемому
Центральным банком Российской Федерации на дату осуществления или поступления
платежа. При несущественном изменении официального курса иностранной валюты к
рублю, устанавливаемого Центральным банком Российской Федерации, пересчет в
рубли, связанный с совершением большого числа однородных операций в такой
иностранной валюте, может производиться по среднему курсу, исчисленному за
месяц или более короткий период.
В случае если незамедлительно после поступления в иностранной валюте
организация в рамках своей обычной деятельности меняет полученную сумму
иностранной валюты на рубли, то денежный поток отражается в отчете о движении
денежных средств в сумме фактически полученных рублей без промежуточного
пересчета иностранной валюты в рубли. В случае если незадолго до платежа в
иностранной валюте организация в рамках своей обычной деятельности меняет рубли
на необходимую сумму иностранной валюты, то денежный поток отражается в отчете
о движении денежных средств в сумме фактически уплаченных рублей без
промежуточного пересчета иностранной валюты в рубли.
Разница, возникающая в связи с пересчетом денежных потоков организации и
остатков денежных средств и денежных эквивалентов в иностранной валюте по
курсам на разные даты, отражается в отчете о движении денежных средств отдельно
от текущих, инвестиционных и финансовых денежных потоков организации как
влияние изменений курса иностранной валюты по отношению к рублю.
Существенные денежные потоки организации между ней и хозяйственными
обществами или товариществами, являющимися по отношению к организации
дочерними, зависимыми или основными, отражаются отдельно от аналогичных
денежных потоков между организацией и другими лицами.
.3
Классификация денежных потоков
Все денежные потоки дифференцируются по трем направлениям деятельности, а
именно на денежные потоки от текущей, инвестиционной и финансовой деятельности.
Текущая деятельность - основная деятельность, направленная на получение
дохода, а также иная деятельность организации, которая не относится к
инвестиционной и финансовой деятельности.
Информация о денежных потоках от текущих операций показывает
пользователям бухгалтерской отчетности организации уровень обеспеченности
организации денежными средствами, достаточными для погашения кредитов,
поддержания деятельности организации на уровне существующих объемов
производства, выплаты дивидендов и новых инвестиций без привлечения внешних
источников финансирования. Информация о составе денежных потоков от текущих
операций в предыдущих периодах в сочетании с другой информацией, представляемой
в бухгалтерской отчетности организации, обеспечивает основу для прогнозирования
будущих денежных потоков от текущих операций.
Примерами денежных потоков от текущих операций являются:
а) поступления от продажи покупателям (заказчикам) продукции и товаров,
выполнения работ, оказания услуг;
б) поступления арендных платежей, роялти, комиссионных и иных аналогичных
платежей;
в) платежи поставщикам (подрядчикам) за сырье, материалы, работы, услуги;
г) оплата труда работников организации, а также платежи в их пользу
третьим лицам;
д) платежи налога на прибыль организаций (за исключением случаев, когда
налог на прибыль организаций непосредственно связан с денежными потоками от
инвестиционных или финансовых операций);
е) уплата процентов по долговым обязательствам, за исключением процентов,
включаемых в стоимость инвестиционных активов;
ж) поступление процентов по дебиторской задолженности покупателей
(заказчиков);
з) денежные потоки по финансовым вложениям, приобретаемым с целью их
перепродажи в краткосрочной перспективе (как правило, в течение трех месяцев).
Инвестиционная деятельность связана с приобретением (созданием) основных
средств, приобретением нематериальных активов, осуществлением долгосрочных финансовых
вложений, а также реализацией долгосрочных (внеоборотных) активов.
Информация о денежных потоках от инвестиционных операций показывает
пользователям бухгалтерской отчетности организации уровень затрат организации,
осуществленных для приобретения или создания внеоборотных активов,
обеспечивающих денежные поступления в будущем.
Примерами денежных потоков от инвестиционных операций являются:
а) платежи поставщикам (подрядчикам) и работникам организации в связи с
приобретением, созданием, модернизацией, реконструкцией и подготовкой к
использованию внеоборотных активов, в том числе затраты на
научно-исследовательские, опытно-конструкторские и технологические работы;
б) уплата процентов по долговым обязательствам, включаемым в стоимость
инвестиционных активов в соответствии с ПБУ 15/2008;
в) поступления от продажи внеоборотных активов;
г) платежи в связи с приобретением акций (долей участия) в других
организациях, за исключением финансовых вложений, приобретаемых с целью
перепродажи в краткосрочной перспективе;
д) поступления от продажи акций (долей участия) в других организациях, за
исключением финансовых вложений, приобретенных с целью перепродажи в
краткосрочной перспективе;
е) предоставление займов другим лицам;
ж) возврат займов, предоставленных другим лицам;
з) платежи в связи с приобретением долговых ценных бумаг (прав требования
денежных средств к другим лицам), за исключением финансовых вложений,
приобретаемых с целью перепродажи в краткосрочной перспективе;
и) поступления от продажи долговых ценных бумаг (прав требования денежных
средств к другим лицам), за исключением финансовых вложений, приобретенных с
целью перепродажи в краткосрочной перспективе;
к) дивиденды и аналогичные поступления от долевого участия в других
организациях;
л) поступления процентов по долговым финансовым вложениям, за исключением
приобретенных с целью перепродажи в краткосрочной перспективе.
Финансовая деятельность - деятельность, приводящая к изменениям в
собственном капитале и заемном капитале организации в результате привлечения
финансовых средств.
Информация о денежных потоках от финансовых операций обеспечивает основу
для прогнозирования требований кредиторов и акционеров (участников) в отношении
будущих денежных потоков организации, а также будущих потребностей организации
в привлечении долгового и долевого финансирования.
Примерами денежных потоков от финансовых операций организации являются:
а) денежные вклады собственников (участников), поступления от выпуска
акций, увеличения долей участия;
б) платежи собственникам (участникам) в связи с выкупом у них акций
(долей участия) организации или их выходом из состава участников;
в) уплата дивидендов и иных платежей по распределению прибыли в пользу
собственников (участников);
г) поступления от выпуска облигаций, векселей и других долговых ценных
бумаг;
д) платежи в связи с погашением (выкупом) векселей и других долговых
ценных бумаг;
е) получение кредитов и займов от других лиц;
ж) возврат кредитов и займов, полученных от других лиц.
Денежные потоки организации, которые не могут быть однозначно
классифицированы, классифицируются как денежные потоки от текущих операций.
Платежи и поступления от одной операции могут относиться к разным видам
денежных потоков. Например, уплата процентов является денежным потоком от
текущих операций, а возврат основной суммы долга является денежным потоком от
финансовых операций. При погашении кредита в денежной форме обе указанные части
могут выплачиваться одной суммой. В этом случае организация делит единую сумму
на соответствующие части с последующей раздельной классификацией денежных
потоков и раздельным отражением их в отчете о движении денежных средств.
1.4 Сближение
российских стандартов бухгалтерского учета и отчетности с МСФО
Согласно концепции МСФО целью финансовой отчетности является представление
информации финансового положения (бухгалтерский баланс), финансовых результатах
деятельности компании (отчет о прибылях и убытках, отчет о движении денежных
средств) и изменениях в финансовой позиции (отчет об изменениях капитала),
полезной для широкого круга пользователей при принятии экономических решений.
Развитие российского учета происходит посредством адаптации в среде.
Ключевым отличием новой концепции признается регулирование бухгалтерского учета
на основе принципов.
Установление общих принципов позволяет обеспечить единство учетной
методологии, не игнорируя при этом конкретные особенности функционирования
экономических субъектов.
До утверждения нового положения ПБУ 23/2011 между порядком составления
отчета о движении денежных средств по российским правилам и по правилам,
установленным МСФО 7 «Отчет о движении денежных средств», имелись значительные
различия (табл. 1.1).
Таблица 1.1 - Требования к составлению отчета о движении денежных средств
|
Требования российского
законодательства до принятия ПБУ 23/2011
|
Требования МСФО 7
|
|
Не учитываются поступления
и выбытие денежных эквивалентов
|
Инвестиция, чтобы
квалифицироваться в качестве эквивалента денежных средств, должна быть легко
обратимой в определенную сумму денежных средств и подвергаться незначительному
риску изменения стоимости (п.п.7 и 15)
|
|
Банковские овердрафты
учитываются при составлении отчета о движении денежных средств
|
Банковские овердрафты могут
включаться в состав денежных эквивалентов, если они возмещаются по требованию
и имеют отрицательное сальдо с противоположным знаком (п.8)
|
|
Продолжение таблицы 1.1
|
|
Не допускается зачет между
статьями отчета о движении денежных средств
|
Организации могут свернуто
отражать поступления и выбытия денежных средств (нетто-оценка) (п.22)
|
|
Дивиденды, выплаченные
акционерам, отражаются в составе платежей по текущей деятельности
|
Выплаченные дивиденды могут
классифицироваться как финансовые потоки денежных средств, так как они
являются затратами на привлечение финансовых ресурсов (п.34)
|
|
Платежи по налогам и сборам
отражаются в составе платежей по текущей деятельности
|
Денежные потоки,
возникающие в связи с налогом на прибыль, должны раскрываться отдельно и
классифицироваться как денежные потоки от операционной (текущей)
деятельности, если только они не могут быть конкретно увязаны с финансовой
или инвестиционной деятельностью (п.п.35,36)
|
|
Денежные средства в
иностранной валюте пересчитываются в рубли по курсу ЦБ РФ на дату составления
бухгалтерской отчетности
|
Денежные средства в
иностранной валюте пересчитываются в рубли по курсу ЦБ РФ на дату совершения
операции (п.25)
|
|
Обязанность раскрывать
недоступные для использования остатки денежных средств не предусмотрена
|
Компания должна раскрывать
в пояснениях сумму значительных остатков денежных средств, имеющихся у нее,
но недоступных для использования (п.48)
|
|
Обязанность раскрывать
дополнительную информацию о денежных потоках по географическим сегментам не
установлена
|
Поощряется раскрытие
дополнительной информации о сумме денежных потоков, возникающих от операционной,
инвестиционной и финансовой деятельности отраженной в отчетах отрасли или
географического сегмента (п.п.50,62)
|
При подготовке ПБУ 23/2011 означенные различия были устранены.[8]
.5 Методы
составления отчета о движении денежных средств
Международным стандартом финансовой отчетности, установлено, что
информация о денежных потоках может быть представлена двумя методами:
. Прямым - основанным на раскрытии основных видов валовых денежных
поступлений и валовых выплат;
. Косвенным - основанным на корректировке величины чистой прибыли до
налогообложения за отчетный период путем исключения влияния на нее не денежных
операций, отсрочек и начислений, инвестиционных или финансовых потоков денежных
средств.
Прямой метод учитывает основные категории денежных поступлений и платежей
от основной деятельности, причем предполагается отсутствие взаимозачетов,
прямого обмена продукцией, хищений, списание кредиторской и дебиторской
задолженности по сроку исковой давности. МСФО 7 рекомендует прямой метод
составления отчета о движении денежных средств, поскольку он обеспечивает
информацию, необходимую для оценки будущих потоков денежных средств, которая
отсутствует при использовании косвенного метода.
В РФ составление отчета о движении денежных средств осуществляется с
использованием прямого метода, главным недостатком которого является то, что он
не показывает взаимосвязи полученного финансового результата и изменения
денежных средств на счетах организации.
Прямой метод заключается в группировке и анализе данных бухгалтерского
учета денежных средств организации. Он считается более информативным, так как
основан на изучении всех денежных операций и определении, к какому виду
деятельности организации они относятся. данный метод считается более сложным,
но позволяет делать оперативные выводы относительно достаточности денежных
средств для платежей в разрезе видов деятельности организации. По существу,
отчет о движении денежных средств, составленный прямым методом, приобретет
черты аналога отчета о прибылях и убытках с той лишь разницей, что раскрывает
не формирование результата, а изменение денежных средств за период. В то же
время в случае расхождения изменения денежной наличности на счетах организации
с финансовым результатом за период деятельности, данный метод не раскрывает причин
таких расхождений.
2.
ХАРАКТЕРИСТИКА ОРГАНИЗАЦИИ ОАО «ЭНЕРГОСТРОЙ-ХОЛДИНГ»
.1 Краткая
характеристика ОАО «Энергострой-Холдинг»
Общество создано 19 июня 2002 года. Уставный капитал равен 1000000 (Один
миллион) рублей. Уставный капитал разделен на 1000 (Одна тысяча) обыкновенных
акций. Номинальная стоимость одной обыкновенной акции составляет 1000 (Одна
тысяча) рублей.
Общество зарегистрировано по адресу: 121165, г.Москва, ул.Киевская, д.22,
стр.2.
Органами управления Обществом являются:
Общее собрание акционеров;
Совет директоров;
Генеральный директор - единоличный исполнительный орган;
Правление - коллегиальный исполнительный орган.
Компания имеет в своем составе одно территориально - обособленное
структурное подразделение, не выделенное на отдельный баланс в
г.Санкт-Петербурге.
Среднесписочная численность персонала компании составила 134 человека
(2010 г.) и 133 человека за 2011 год.
Существенные аспекты Учетной политики в разрезе денежных средств. Данные
отчета о движении денежных средств отражаются в отчете о движении денежных
средств в разрезе денежных потоков от текущих, инвестиционных и финансовых
операций. Данные о наличии и движении денежных средств в иностранной валюте
пересчитываются по курсу иностранной на дату составления бухгалтерской отчетности
Компании.
Основными видами деятельности общества является оказание услуг по
исполнению полномочий единоличного исполнительного органа, сдача в субаренду
офисных помещений, поставка строительных материалов, оказание консалтинговых и
консультационных услуг.
.2 Раскрытие
финансовой информации ОАО «Энергострой-Холдинг»
Для раскрытия информации представлены показатели доходов, расходов и
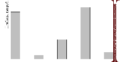
прибыли, составленные за последние 5 лет (таблица 2.1, рис.2.1)
Таблица 2.1 - Динамика доходов, расходов и прибыли в 2007-2011 гг.
(тыс.руб.)
|
Наименование
|
2011г.
|
2010г.
|
2009г.
|
2008г.
|
2007г.
|
|
Доходы
|
1 084 003
|
814 195
|
798 703
|
746 512
|
901 394
|
|
Продолжение таблицы 2.1
|
|
Расходы
|
1 069 669
|
695 020
|
756 947
|
738 618
|
101 250
|
|
Прибыль
|
14 334
|
110 967
|
41 756
|
7 894
|
101 250
|
Рисунок 2.1 - Изменение прибыли в 2007-2011 гг.
Основные источники доходов в разрезе основной деятельности представлены в
таблице 2.2.
Таблица 2.2 - Доходы в разрезе видов основной деятельности
|
Статьи доходов
|
Выручка (без НДС), тыс.руб.
|
Доля от выручки, %
|
|
Услуги по исполнению
полномочий исполнительного органа
|
800 011
|
84,69
|
|
Услуги по сдаче в аренду
офисных помещений
|
72 151
|
7,64
|
|
Посредническая
деятельность, услуги агента
|
1 316
|
0,14
|
|
Поставка строительных
материалов
|
69 539
|
7,36
|
|
Информационно-консультационные
услуги
|
1 590
|
0,17
|
|
Итого
|
944 607
|
100
|
Компания осуществляет свою деятельность на территории РФ и не выделяет
отдельных географических сегментов, поскольку источники и характер рисков на
всей территории РФ примерно одинаков.[12]
.3 Структура
компании
Структура
«Энергострой-Холдинга» позволяет эффективно управлять проектами
<#"790088.files/image002.gif">
3.
СОСТАВЛЕНИЕ ОТЧЕТА О ДВИЖЕНИИ ДЕНЕЖНЫХ СРЕДСТВ НА ПРИМЕРЕ ОАО
«ЭНЕРГОСТРОЙ-ХОЛДИНГ»
3.1 Техника
заполнения отчета о движении денежных средств
.1.1 Раздел
«Денежные потоки от текущих операций»
В разделе «Денежные потоки от текущих операций» учитывается сумма
денежных средств и денежных эквивалентов, поступивших и выбывших с начала года
от операций, связанных с текущей деятельностью. В нижерасположенных строках
приводится расшифровка движения денежных средств:
Поступления от текущих операций.
Строка 4110 «Поступления всего» - отражает общее поступление денежных
средств и эквивалентов по текущей деятельности (обороты по Д 50, 51, 52, 55, 58
(в части учета д.э., относящихся к финансовым вложениям), 76 (в части учета
прочих д.э.)). Рассчитывается как сумма строк 4111-4119.
В нижерасположенных строках приводится расшифровка таких поступлений:
строка 4111 «от продажи продукции, работ и услуг» - отражается выручка от
продажи товаров, продукции, работ и услуг (обороты по Д 50, 51, 52, 55, 58, 76
в корреспонденции с К 90). Суммы указываются за минусом НДС и акцизов;
строка 4112 «арендные платежи, лицензионные платежи, роялти, комиссионных
и иных аналогичных платежей» - отражается сумма поступивших денежных средств и
эквивалентов в счет арендной платы, если организация признает сдачу имущества
основным видом деятельности, а также лицензионные платежи, роялти и
комиссионные поступления (обороты по Д 50, 51, 52, 55, 58, 76 в корреспонденции
с К 62, 76);
строка 4113 «от перепродажи финансовых вложений» - указывается сумма
поступивших денежных средств и эквивалентов по финансовым вложениям,
приобретаемым с целью их перепродажи в краткосрочной перспективе (как правило,
в течение трех месяцев). Поступления от финансовых вложений показываются только
в сумме экономической выгоды, полученной организацией (общая сумма поступлений
за вычетом сумм потраченных на приобретение реализованных финансовых вложений);
строка 4119 «прочие поступления» - указывается сумма прочих поступлений
от текущей деятельности: сумма выгод от продажи/покупки валюты; положительное
сальдо расчетов НДС; суммы возмещений; проценты, причитающиеся к получению по
дебиторской задолженности покупателей; поступления от реализации прочего
имущества (за исключением продажи ОС). Суммы косвенных налогов, полученные
организацией из бюджета, отражаются по данной строке «свернуто».
Платежи по текущим операциям.
Строка 4120 «платежи всего» - указывается сумма платежей по текущим
операциям. Рассчитывается, как сумма строк 4121-4129, показатели указываются в
круглых скобках;
строка 4121 «поставщикам (подрядчикам) за сырье, материалы, работы,
услуги» - указывается сумма платежей за полученные ТМЦ, работы и услуги (Д 60,
76 в корреспонденции с К 50, 51, 52, 55, 58, 76);
строка 4122 «в связи с оплатой труда работников» - сумма платежей,
связанная с оплатой труда сотрудникам организации (Д 70 К 50, 51, 52, 55, 58,
76);
строка 4123 «проценты по долговым обязательствам» - сумма платежей,
связанных с оплатой процентов по долговым обязательствам, за исключением
процентов, включаемых в стоимость инвестиционного актива (Д 76, 66, 67 К 50,
51, 52, 55);
строка 4124 «налог на прибыль организации» - сумма платежей, связанных с
оплатой налога на прибыль, включая авансовые платежи налога, за исключением
налога на прибыль организации непосредственно связанного с инвестиционными и
финансовыми операциями (Д 68, 69 К 51);
строка 4129 «прочие платежи» - указывается сумма прочих платежей,
связанных с текущей деятельностью: сумма убытка от продажи/покупки валюты;
сумма убытка, полученного при обмене д.э.; отрицательное сальдо расчетов по
НДС; уплаченные организацией пени, штрафы и санкции по договорам с
контрагентами;
строка 4100 «сальдо денежных потоков от текущих операций» - отражается
сумма разницы между поступлениями и платежами по текущим операциям (стр.4110 -
стр.4120). Если полученный результат отрицателен, то он указывается в круглых
скобках.
.1.2 Раздел
«Денежные потоки от инвестиционных операций»
В этом разделе организация отражает движение денежных средств и
эквивалентов, связанные с инвестиционной деятельностью - приобретением,
созданием или выбытием внеоборотных активов.
Поступления от инвестиционных операций.
Строка 4210 «поступления всего» - указывается общая сумма поступлений от
инвестиционных операций. Рассчитывается, как сумма строк 4211-4219;
строка 4211 «от продажи внеоборотных активов (кроме финансовых вложений)»
- указывается сумма поступлений денежных средств и их эквивалентов, связанных с
реализацией внеоборотных активов: основные средства; нематериальных активов;
капитальных вложений во внеоборотные активы (в т.ч. в виде незавершенного
строительства); результатов НИОКР (Д 50, 51, 52, 55, 58, 76 К 62, 76);
строка 4212 «от продажи акций других организаций (долей участия)» -
указывается сумма поступлений от продажи акций и долей в уставных капиталах
других организаций;
строка 4213 «от возврата предоставленных займов, от продажи долговых
ценных бумаг (прав требования денежных средств к другим третьим лицам)» -
указывается сумма поступлений: от возвратов ранее предоставленных процентных
займов (без учета полученных процентов); от реализации векселей и облигаций
(без учета полученных процентов); от переуступки ранее приобретенных прав
требования к третьим лицам;
строка 4214 «дивидендов, процентов по долговым финансовым вложениям и
аналогичных поступлений от долевого участия в других организациях» -
указывается сумма поступлений дивидендов, других видов выплат в связи с долевым
участием в других организациях, а так же суммы полученных процентов по долговым
ценным бумагам и предоставленных другим организациям займам (Д 50, 51, 52, 55,
58, 76 К 76, 91);
строка 4219 «прочие поступления» - указывается сумма прочих поступлений,
связанных с инвестиционной деятельностью организации: доходы от участия в
совместной деятельности.
Платежи по инвестиционным операциям.
Строка 4220 «платежи всего» - указывается сумма платежей по
инвестиционным операциям. Рассчитывается, как сумма строк 4221-4229. Показатели
по строке 4220 и по строкам 4221-4229 указываются в круглых скобках;
строка 4221 «в связи с приобретением, созданием, модернизацией,
реконструкцией и подготовкой к использованию внеоборотных активов» - сумма
платежей контрагентам, а так же выплаты сотрудникам организации, связанным с
операциями по приобретению, созданию, модернизацией, реконструкцией и
подготовке к использованию внеоборотных активов (Д 50, 51, 52, 55, 58, 76 К 60,
76);
строка 4222 «в связи с приобретением акций других организаций (долей
участия)» - сумма платежей, связанных с приобретением акций и долей в уставных
капиталах других организаций;
строка 4223 «в связи с приобретением долговых ценных бумаг (прав
требования денежных средств к другим лицам), предоставление займов другим
лицам» - указывается сумма платежей, направленных: на приобретение процентных
займов; на приобретение векселей и облигаций; на приобретение прав требования к
третьим лицам(Д 50, 51, 52 К 76, 58);
строка 4224 «процентов по долговым обязательствам, включаемым в стоимость
инвестиционного актива» - указывается сумма уплаченных процентов, относящихся
на увеличение стоимости инвестиционного актива;
строка 4229 «прочие платежи» - указывается сумма платежей: по налогу на
прибыль с инвестиционных операций (в случае возможности ее корректного
определения); направленных вклады в совместную деятельность; прочих платежей,
связанных с инвестиционными операциями организации;
строка 4200 «сальдо денежных потоков от инвестиционных операций» -
указывается сумма разницы между поступлениями от инвестиционных операций и
платежами по инвестиционным операциям (стр.4210 - стр.4220). если полученный
результат отрицателен, то он указывается в круглых скобках.
.1.3 Раздел
«Денежные потоки от финансовых операций»
В разделе «Денежные потоки от финансовых операций» отражаются суммы
денежных потоков, связанных с привлечением финансирования на долговой или
долевой основе. Такие операции влекут за собой изменение структуры и величины:
капитала организации; заемных средств организации.
Поступления от финансовых операций.
Строка 4310 «поступления всего» - указывается общая сумма от финансовых
операций (Д 50, 51, 52). Рассчитывается, как сумма строк 4311-4319;
строка 4311 «получение кредитов и займов» - указывается сумма поступлений
денежных средств и их эквивалентов в качестве кредитов и займов (включая
поступления по беспроцентным займам) (Д 50, 51, 52 К 66, 67);
строка 4312 «денежных вкладов собственников (участников)» - указывается
сумма денежных вкладов собственников (участников) организации, не приводящих к
увеличению долей участия (Д 50, 51, 52 К 75);
строка 4313 «от выпуска акций, увеличения долей участия» - указывается
сумма поступлений от оплаты: акций организации (ее акционерами); долей в
уставном капитале организации (ее учредителями); дополнительно размещенных
акций; дополнительных денежных вкладов, приводящих к увеличению доли участия (Д
50, 51, 52 К 75, 83);
строка 4314 «от выпуска облигаций, векселей и других долговых ценных
бумаг» - указывается сумма поступлений от оплаты: выданных организацией
векселей; эмиссии облигаций; иных долговых ценных бумаг;
строка 4319 «прочие поступления» - указывается сумма прочих поступлений,
связанных с финансовыми операциями организации.
Платежи по финансовым операциям.
Строка 4320 «платежи всего» - указывается сумма платежей по финансовым
операциям. Рассчитывается как сумма строк 4321-4329. Показатели по строке 4320
и по строкам 4321-4329 указываются в круглых скобках;
строка 4321 «собственникам (участникам) в связи с выкупом у них акций
(долей участия) организации или их выходом из состава участников» - указывается
сумма выплат: действительной стоимости доли (части доли) участнику/ его
кредиторам/ наследникам/ правопреемникам; за собственные акции, выкупленные у
акционеров (их кредиторов, наследников, правопреемников);
строка 4322 «на выплату дивидендов и иных платежей по распределению
прибыли в пользу собственников (участников)» - указывается сумма фактических
выплат дивидендов и иных сумм, связанных с распределением прибыли в пользу
собственников (участников) (Д 75 К50, 51, 52, 55);
строка 4323 «в связи с погашением (выкупом) векселей и других долговых
ценных бумаг, возврата кредитов и займов» - указывается сумма платежей,
направленных на погашение долговых обязательств, за исключением сумм уплаченных
процентов (Д 66, 67 К 50, 51, 52, 55);
строка 4329 «прочие платежи» - указывается сумма прочих платежей,
связанных с финансовыми операциями организации. В этой строке могут отражаться,
например, лизинговые платежи, уплачиваемые организацией (Д 76 К 51);
строка 4300 «сальдо денежных потоков от финансовых операций» -
указывается сумма разницы между поступлениями и платежами по финансовым
операциям (стр. 4310 - стр.4320). Если полученный результат отрицателен, то он
указывается в круглых скобках.
.1.4
Результирующие данные
Строка 4400 «сальдо денежных потоков за отчетный период» - указывается
сумма, полученная путем сложения строка 4400 = строка 4100 + строка 4200 +
строка 4300;
строка 4450 «остаток денежных средств и денежных эквивалентов на начало
отчетного периода» - указывается сумма остатка денежных средств и эквивалентов
на начало года;
строка 4500 «остаток денежных средств и денежных эквивалентов на конец
отчетного периода» - указывается сумма остатка денежных средств и эквивалентов
на конец года;
строка 4490 «величина влияния изменения курса иностранной валюты по
отношению к рублю» - указывается «свернуто» итоговая сумма курсовых разниц,
возникших в связи с пересчетом в рубли валютных денежных средств и
эквивалентов.
3.2 Анализ
отчета о движении денежных средств
Отчет о движении денежных средств компании представлен в приложении 1. На
основании этого отчета проведем анализ движения денежных средств прямым
методом. Он позволяет изучить:
Ø динамику денежных потоков (в форме №
4 денежный поток представлен за два года - отчетный и предыдущий);
Ø состав и структуру денежных потоков в
разрезе видов деятельности источников поступления и направлений использования
денежных средств;
Ø состав и структуру чистого денежного
потока по видам деятельности.
Данный анализ представлен в таблицах 3.1, 3.2, 3.3.
Таблица 3.1 - Анализ движения денежных средств
|
Наименование показателя
|
2010 год
|
2011 год
|
Абсолютное отклонение,
тыс.руб.
|
Относительное отклонение, %
|
Темп роста, %
|
|
Денежные потоки от текущих
операций
|
|
Поступления - всего, в
т.ч.:
|
727250
|
895295
|
168045
|
123,1
|
23,1
|
|
от продажи продукции,
товаров, работ и услуг
|
712924
|
783798
|
70874
|
109,9
|
9,9
|
|
арендных, лицензионных,
комиссионных и иных аналогичных платежей
|
-
|
60846
|
60846
|
-
|
-
|
|
прочие поступления
|
14326
|
50651
|
36324
|
353,5
|
253,5
|
|
Платежи всего, в т.ч.:
|
705805
|
860853
|
155048
|
122
|
22
|
|
поставщикам (подрядчикам)
за сырье, материалы, работы, услуги
|
190204
|
314594
|
124390
|
165,4
|
65,4
|
|
Продолжение таблицы 3.1
|
|
в связи с оплатой труда
работников
|
370734
|
461874
|
91140
|
124,6
|
24,6
|
|
процентов по долговым
обязательствам
|
1006
|
-
|
-1006
|
-
|
-
|
|
налога на прибыль
организации
|
31316
|
34307
|
2991
|
109,6
|
9,6
|
|
НДС
|
-
|
27461
|
27461
|
-
|
-
|
|
прочие платежи
|
112545
|
22617
|
-89928
|
20
|
-80
|
|
Денежные потоки от
инвестиционных операций
|
|
Поступления всего, в т.ч.:
|
13780
|
3709
|
-10071
|
26,9
|
-73,1
|
|
от продажи внеоборотных
активов
|
780
|
3469
|
2689
|
444,7
|
344,7
|
|
от возврата предоставленных
займов, от продажи долговых ценных бумаг
|
13000
|
-
|
-13000
|
-
|
-
|
|
дивидендов, процентов по
долговым финансовым вложениям и аналогичных поступлений от долевого участия
|
-
|
128
|
128
|
-
|
|
прочие поступления
|
-
|
112
|
112
|
-
|
-
|
|
Платежи всего, в т.ч.:
|
6091
|
30516
|
24425
|
501
|
401
|
|
в связи с приобретением,
созданием, модерниза-цией, реконструкцией, и подготовкой к использованию внеоборотных
активов
|
6091
|
2848
|
-3243
|
46,8
|
-53,2
|
|
в связи с приобретением
акций других организа-ций (долей участия)
|
-
|
27668
|
27668
|
-
|
-
|
|
Денежные потоки от
финансовых операций
|
|
Поступления всего, в т.ч.:
|
-
|
125000
|
125000
|
-
|
-
|
|
прочие поступления
|
-
|
125000
|
125000
|
-
|
-
|
|
Платежи всего, в т.ч.
|
58500
|
125000
|
66500
|
213,7
|
113,7
|
|
в связи с погашением
векселей и других долговых ценных бумаг, возврат кредитов и займов
|
58500
|
125000
|
66500
|
213,7
|
113,7
|
|
Остаток денежных средств и
эквивалентов на начало отчетного периода
|
38720
|
9354
|
-29366
|
24,2
|
-75,8
|
|
Остаток денежных средств и
эквивалентов на конец отчетного периода
|
9354
|
16989
|
7635
|
181,6
|
81,6
|
Таблица 3.2 - Структура денежных поступлений в разрезе видов деятельности
|
Наименование показателя
|
2010
|
Доля, %
|
2011
|
Доля, %
|
Отклонение от предыдущего
года, +/-
|
|
Денежные потоки от текущих
операций
|
727250
|
98,14
|
895295
|
87,43
|
-10,71
|
|
Денежные потоки от
инвестиционных операций
|
13780
|
1,86
|
3709
|
0,36
|
-1,5
|
|
Денежные потоки от
финансовой деятельности
|
-
|
-
|
125000
|
12,21
|
12,21
|
|
Итого:
|
741030
|
100
|
1024004
|
100
|
|
Таблица 3.3 - Структура денежных платежей в разрезе видов деятельности
|
Наименование
показателя2010Доля, %2011Доля, %Отклонение от предыдущего года, +/-
|
|
|
|
|
|
|
Денежные потоки от текущих
операций
|
705805
|
91,62
|
860853
|
84,7
|
-6,92
|
|
Денежные потоки от инвестиционных
операций
|
6091
|
0,8
|
30516
|
3,0
|
2,2
|
|
Денежные потоки от
финансовой деятельности
|
58500
|
7,58
|
125000
|
12,3
|
4,72
|
|
Итого:
|
770396
|
100
|
1016369
|
100
|
|
Коэффициентный метод анализа представляет собой расчет четырех основных
коэффициентов, используемых при финансовом анализе отчета о движении денежных
средств:
. Коэффициенты денежного покрытия. При расчете этих коэффициентов
способность компании в денежном покрытии оценивается по денежному потоку от
текущей деятельности. Рекомендуемое значение показателей должно быть больше 1.
а) Коэффициент денежного покрытия процентов за кредит (формула 3.1)

,
(3.1)
б)
Коэффициент денежного покрытия долгосрочных обязательств (формула 3.2)

,
(3.2)
в)
Коэффициент денежного покрытия дивидендных выплат (формула 3.3)

,
(3.3)
где:
CFFO - денежный
поток от текущей деятельности;
IP -
проценты уплаченные;
DP -
дивиденды уплаченные;
TP -
налоги уплаченные;
LTDP -
долгосрочные обязательства.
.
Коэффициент денежного покрытия выручки (формула 3.4) показывает степень
расхождения между начисленной прибылью и полученной в деньгах прибылью.

,
(3.4)
где:
CFS - выручка
поступившая;
S - выручка
начисленная.
.
Коэффициенты денежного покрытия капитальных затрат раскрывают инвестиционную
политику компании в финансировании капитальных вложений в свое развитие.
а)
Коэффициент денежного покрытия капитальных затрат (формула 3.5)

,
(3.5)
б)
Коэффициент инвестиционного притока (формула 3.6)

,
(3.6)
в)
Коэффициент финансового притока (формула 3.7)

,
(3.7)
где:
CFFO - денежный
поток от текущих операций;
DP -
дивиденды выплаченные;
ACO -
капитальные денежные расходы в активы других компаний;
CIFI - приток
денежных средств от инвестиционной деятельности;
CIFF - приток
денежных средств от финансовой деятельности.
.
Коэффициенты рентабельности денежных потоков оценивают способность компании
создавать денежные потоки.
а)
Коэффициент рентабельности активов по денежному потоку (формула 3.8)

,
(3.8)
б)
Коэффициент рентабельности собственного капитала по денежному потоку (формула
3.9)

,
(3.9)
где:
CFFO - денежный
поток от текущей деятельности;
IP -
проценты уплаченные;
TP -
налоги уплаченные;
TA - среднее
значение всех активов;
TE - среднее
значение собственного капитала.
Расчет
данных коэффициентов представим в таблице 3.4.
Таблица
3.4 - Финансовые коэффициенты
|
Наименование коэффициента
|
2010 год
|
2011 год
|
Отклонение, +/-
|
|
Коэффициент денежного
покрытия процентов за кредит
|
2,5
|
5,2
|
2,7
|
|
Коэффициент денежного
покрытия долгосрочных обязательств
|
1,05
|
1,1
|
0,05
|
|
Коэффициент денежного
покрытия выручки
|
0,92
|
0,94
|
0,02
|
|
Коэффициент денежного
покрытия капитальных затрат
|
1
|
1,24
|
0,24
|
|
Продолжение таблицы 3.4
|
|
Коэффициент инвестиционного
притока
|
1,2
|
-
|
-
|
|
Коэффициент финансового притока
|
4,5
|
-
|
-
|
|
Коэффициент рентабельности
активов по денежному потоку
|
0,81
|
0,67
|
-0,14
|
|
Коэффициент рентабельности
собственного капитала по денежному потоку
|
0,81
|
0,67
|
-0,14
|
На основе отчета о движении денежных средств можно сделать вывод, что
предприятие улучшило свою платежеспособность по сравнению с предыдущим годом: в
2011 году получен приток денежных средств в размере 16989 тыс.руб., что на 7635
тыс.руб. больше, чем в предыдущем году. Это увеличение было вызвано
поступлением денежных потоков от текущих операций в сумме 34442 тыс.руб., в
результате инвестиционной деятельности получен отток денежных средств в сумме
26807 тыс.руб..
Приток денежных средств произошел за счет увеличения выручки от продажи
продукции, работ, услуг, а также увеличились поступления от сдачи в аренду и
оказания консультационных услуг.
Отток денежных средств произошедший от инвестиционной деятельности,
связан с приобретением акций других компаний. Денежные потоки от финансовой
деятельности не привели к изменению денежных средств предприятия.
Исходя, из движения денежных средств поступления от текущих операций
увеличились на 23%, что также повлекло увеличение платежей по данному виду
деятельности на 22%. По инвестиционной деятельности поступления снизились на
73%, а платежи в свою очередь, увеличились в 5 раз. По финансовой деятельности
произошло увеличение платежей в 2 раза. Что свидетельствует об увеличении
операций связанных с финансовой и инвестиционной деятельностью. Среди
финансовых коэффициентов также наблюдается положительная тенденция, данные
коэффициенты свидетельствуют об эффективном управлении компанией, о способности
компании финансировать капитальные вложения без привлечения внешних источников.
Коэффициенты рентабельности подверглись снижению на 14%, они показывают, что в 2011
году 67% денежного потока от текущей деятельности приходится на объем
инвестированных денежных средств.
3.3
Рекомендации по сближению российских стандартов бухгалтерского учета и
отчетности с МСФО
Проблематика реформирования отечественной системы бухгалтерского учета в
соответствии с требования рыночной экономики и международных стандартов
финансовой отчетности, является предметом научных дискуссий более десяти лет.
Критическое рассмотрение процесса реформирования системы бухгалтерского учета
России, с точки зрения методов преобразования национальных стандартов
бухгалтерского учета приведет к изучению общемирового опыта: активно
обсуждающиеся в мире процессы конвергенции максимального сближения российской
системы бухгалтерского учета с МСФО выявили несостоятельность методов
постепенной адаптации отечественных стандартов к МСФО. Данные обстоятельства
обуславливают необходимость максимального сближения российской системы учета с
МСФО.
Однако на данном этапе развития страны указанная концепция нуждается в
ускоренной и комплексной реализации, поскольку сложившаяся система
бухгалтерского учета и отчетности на обеспечивает в полной мере надлежащее
качество и надежность формируемой в ней информации, а также существенно
ограничивает возможности полезного использования этой информации.
Согласно концепции МСФО целью финансовой отчетности является
представление информации о финансовом положении, финансовых результатах
деятельности компании и изменениях в финансовой позиции, полезной для широкого
круга пользователей при принятии экономических решений.
Развитие российского учета происходит посредством адаптации в среде.
Ключевым отличием новой концепции признается регулирование бухгалтерского учета
на основе принципов. Установление общих принципов позволит обеспечить единство
учетной методологии, не игнорируя при этом конкретные особенности
функционирования экономических субъектов.
Принципы составления финансовой отчетности в соответствии с МСФО
подразделяются на 2 группы:
основополагающие допущения;
качественные характеристики финансовой отчетности.
Актуальной проблемой развития бухгалтерского учета в России является
сближение его с практикой принятой в странах с рыночной экономикой. Сближение с
мировой практикой ведения бухгалтерского учета - необходимое условие для
активного вхождения России в международные рынки капитала. Для всех зарубежных
моделей бухгалтерского учета в качестве ориентира выбраны МСФО. В настоящее
время в России уже много сделано для перехода на принятую в международной
практике систему учета и отчетности.
Наиболее важным для приведения отечественной отчетности в соответствие с
международной является наличие достоверности отчетности.
По международным стандартам достоверность информации отчетности
рассматривается, как возможность дать правильное принятие ими решений. В
российской же практике достоверность отчетности связана с соблюдением
требований нормативных актов, то есть достоверность понимается как соответствие
правилам, установленным законодательством, а не правдивое отражение
хозяйственной деятельности. Принципы, сформулированные в концепции
бухгалтерского учета, в целом соответствуют МСФО. Практическая же реализация
этих принципов требует решения многих вопросов. И в первую очередь должна быть
решена проблема достоверности отчетности. Но решение этой проблемы невозможно,
пока в правилах составления отчетности доминируют интересы регулирующих
органов, а пока до тех пор, пока пользователи отчетности не будут иметь
реальную возможность оценить подлинное финансовое состояние предприятия,
отчетность не будет выполнять своей главной цели - быть полезной для
пользователей, какие бы принципы при этом не провозглашались.
Переход российских компаний на МСФО важен и инвесторам, и руководству
компаний, и государству. Интерес государства, предприятий государства,
применяющих МСФО, имеется возможность получить денежные средства на более
льготных условиях и в более сжатые сроки. Общепринятые стандарты финансовой
отчетности необходимы для стран, заинтересованных в привлечении иностранного
капитала. Это поможет оживить российскую экономику и увеличить поступления в
бюджет.
Интерес инвесторов и собственников компаний. При отсутствии единой
бухгалтерской отчетности международные инвесторы, заинтересованные в сохранении
капитала и уменьшении инвестиционных рисков, вынуждены проводить дополнительные
аналитические исследования, направленные на выявление истинного финансового
положения конкретных предприятий или компаний, в результате чего капитал
становится дороже. Введение МСФО в РФ сократит затраты на трансформацию отчетности
и таким образом уменьшат издержки. Интерес менеджмента предприятий. Руководство
предприятия, использующего МСФО, получает отчетность, которая максимально
объективно отражает действительность и на основе которой можно принимать
обоснованные управленческие решения.[11]
Заключение
Курсовая работа посвящена раскрытию теоретических и практических аспектов
заполнения отчета о движении денежных средств. На основании этого, можно
сделать ряд выводов.
Начиная с отчетности 2011 года, изменился стандарт составления отчета о
движении денежных средств. Впервые в российской практике появился стандарт о
том, как отражать денежные средства и их потоки в отчете о движении денежных
средств. Стандарт в основном направлен на более детальное рассмотрение
принципов классификации денежных потоков, в нем даны более детальные пояснения
и определения. Принципиальным различием отчетов за 2011 и 2010 года является: в
денежные потоки не включаются косвенные налоги, то есть акцизы и НДС.
Результирующий поток таких налогов за год (входящий от покупателей минус
исходящий продавцам минус, уплаченный в бюджет плюс, возмещенный из бюджета)
нужно будет показать в текущем потоке.
Таким образом, отчет о движении денежных средств, предназначен для
формирования информации о фактических денежных потоках организации, что в свою
очередь позволяет пользователям бухгалтерской отчетности обеспечить контроль
движения денежных потоков и наличия остатков денежных средств в организации.
Кроме того, реализуется возможность осуществления анализа, как уровня платежной
дисциплины, так и удельного веса денежных расчетов в общем объеме выручки и
других поступлений организации.
В первой главе курсовой работы раскрыто нормативное регулирование,
содержание и состав отчета о движении денежных средств, классификация денежных
потоков включаемых в отчет о движении денежных средств, а также рассмотрено
сближение российских стандартов отчетности с МСФО.
Во второй главе рассмотрена краткая характеристика предприятия и его
финансовое состояние за последние пять лет.
В третьей главе представлена техника заполнения отчета о движении
денежных средств и составлен отчет за 2011 год на примере ОАО
«Энергострой-Холдинг».
На основе составленного отчета о движении денежных средств можно сделать
вывод, что предприятие улучшило свою платежеспособность по сравнению с
предыдущим годом: в 2011 году получен приток денежных средств в размере 16989
тыс.руб., что на 7635 тыс.руб. больше, чем в предыдущем году. Это увеличение
было вызвано поступлением денежных потоков от текущих операций в сумме 34442
тыс.руб., в результате инвестиционной деятельности получен отток денежных
средств в сумме 26807 тыс.руб.
Приток денежных средств произошел за счет увеличения выручки от продажи
продукции, работ, услуг, а также увеличились поступления от сдачи в аренду и
оказания консультационных услуг.
Отток денежных средств, произошедший от инвестиционной деятельности,
связан с приобретением акций других компаний. Денежные потоки от финансовой
деятельности не привели к изменению денежных средств предприятия.
Принятие новой формы отчета о движении денежных средств устранило
некоторые разногласия с ПБУ 23/2011 и еще на один шаг приблизило бухгалтерский
учет к международным стандартам. Однако кардинального изменения порядка
заполнения отчета о движении денежных средств не произошло, логика показателей
осталась прежней. Отчет о движении денежных средств, как и раньше, является
формой отчетности, в которой отражается информация о наличии денежных средств
организации. При этом денежными средствами организации считаются не только
деньги, но и денежные эквиваленты.
Список
использованных источников
1. Гражданский кодекс РФ (часть 1) от 30.11.1994г. № 51-ФЗ;
. Федеральный закон «О бухгалтерском учете» от 21.11.1996 г.
№ 129-ФЗ;
. Приказ Минфина РФ № 11 от 02.02.2011 г. Положение по
бухгалтерскому учету «Отчет о движении денежных средств». ПБУ 23/2011;
. Приказ Минфина РФ № 43 от 06.07.1999г. Положение по
бухгалтерскому учету «Бухгалтерская финансовая отчетность» ПБУ 4/99;
. Приказ Минфина РФ № 94н от 31.10.2000г. «Об утверждении
плана счетов бухгалтерского учета финансово-хозяйственной деятельности
организации и инструкции по его применению»;
. Т.В.Терентьева /учебное пособие/ ВГУЭС. «Бухгалтерская
финансовая отчетность», 2011 г.;
7. www.kvantex.ru <#"790088.files/image012.gif">