Методы решения задач олимпиадного характера на факультативных занятиях по математике в девятом классе

  • Вид работы:
    Курсовая работа (т)
  • Предмет:
    Педагогика
  • Язык:
    Русский
    ,
    Формат файла:
    MS Word
    81,68 Кб
  • Опубликовано:
    2014-10-16
Вы можете узнать стоимость помощи в написании студенческой работы.
Помощь в написании работы, которую точно примут!

Методы решения задач олимпиадного характера на факультативных занятиях по математике в девятом классе

МИНИСТЕРСТВО ОБРАЗОВАНИЯ РЕСПУБЛИКИ БЕЛАРУСЬ

Учреждение образования

«Брестский государственный университет имени А.С. Пушкина»

Физико-математический факультет

Кафедра методики преподавания математики и информатики

 

 

 

 

 

 

 

Курсовая работа

Методы решения задач олимпиадного характера на факультативных занятиях по математике в девятом классе

 

 

Студент 5 курса

Ошмяна Александр Александрович

Селивоник Светлана Викторовна

кандидат педагогических наук, доцент

Селивоник Светлана Викторовна







Брест 2014


ВВЕДЕНИЕ

Основные направления реформы школы предусматривают: повышение качества школьного образования, обеспечение более высокого уровня проведения каждого предмета, прочное овладение основами знаний. При этом должна быть решена задача, которая с одной стороны, позволит обеспечить овладение всеми учащимися твердо установленным и четко очерченным объемом знаний и умений, необходимых каждому члену современного общества, а с другой стороны создать возможности углубленного изучения школьных курсов для тех учащихся, которые проявляют повышенный интерес и склонность к тем или иным предметам.

Кроме того, круг вопросов, выходящих за рамки школьной программы, которыми интересуются учащиеся и которыми учитель владеет в совершенстве, обычно не слишком велик. Это, конечно, создает большую трудность в проведении занятий по математике на таком научно-методическом уровне, который мог бы удовлетворить и учителя, и учащихся.

С другой стороны, в совершенных условиях возникла необходимость непрерывного притока в различные отрасли производства, хорошо подготовленной молодежи.

Таким образом, движение за создание новых, более эффективных форм внеклассной работы с учащимися по математике явилось двусторонним движением: со стороны учащихся и со стороны общества, и в первую очередь вузов (заинтересованных в высокой подготовке в нужном направлении своих студентов).

Важное место, занимаемое математикой в системе наук, делает образование значительным средством повышения уровня подготовки по большинству естественнонаучных, технических и даже гуманитарных специальностей.

Факультативные занятия играют особую роль в деле повышения уровня развития учащихся средней школы, проявляющих интерес и склонности к любой науке, в том числе и математике. Целью организации факультативных занятий является расширение кругозора учащихся, развитие логического и структурного мышления, формирование активного познавательного интереса к предмету, воспитание мировоззрения и ряда личностных качеств средствами углубленного изучения предмета.

Изучение четырехугольников в курсе геометрии основной школы является разделом традиционным и достаточно важным во всех периодах школьного образования. В курсе геометрии 9-го класса данная тема является весьма актуальной, так как на рассмотренном материале, как на фундаменте, строят и изучают другие разделы геометрии: преобразование фигур, площади, многоугольники. Кроме того, изучение многогранников, площадей и объемов также базируется на этой теме.

Между тем при изучении темы «Четырехугольники» возникают определенные трудности:

-       при решении задач на построение;

-       при применении определений, свойств и признаков четырехугольников к решению практических задач, к доказательству теорем и т.п.

Соответственно возникает необходимость в поиске наиболее эффективных форм и методов работы с теоретическим и задачным материалом по данной теме.

В условиях современной информатизации, когда общество вступает в глубокий социум, а персональные компьютеры становятся неотъемлемыми формами и играют все более важную роль в нашем существовании, более глубокое рассмотрение темы «Четырехугольники на плоскости» является довольно актуальным вопросом. Поэтому и сама тема курсовой работы актуальна, и как следствие, целесообразно рассматривать ее на факультативных занятиях для 9 классов средней школы.

Цель работы - разработать факультативный курс «Готовимся к олимпиаде по математике» для учащихся 9 классов общеобразовательной школы.

Для достижения цели работы были поставлены следующие задачи:

.        Провести анализ задач по математике, предлагаемых на олимпиадах различных уровней сложности за последние 5 - 6 лет;

.        Разработать конкретные занятия в соответствии с выбранной тематикой и программой, содержащие цели, содержание, формы и методы работы со школьниками.

3.     

ГЛАВА I. ТЕОРЕТИЧЕСКАЯ ЧАСТЬ

.1      Олимпиадное движение по математике

1.1.1 История развития олимпиадного движения

Олимпиада, по сути, представляет собой соревнование между несколькими людьми. Как нам известно, первая олимпиада проходила в Древней Греции в 776 году до нашей эры и носила спортивный характер. Однако со временем люди начали показывать не только свои физические умения, но и интеллектуальные.

Таким образом начали появляться турниры и соревнования по различным научным дисциплинам. Так, еще Архимед рассылал для решения задачи своим коллегам и соперникам в Александрию.

В истории решения алгебраических уравнений 3-го и 4-го порядков большое место занимали «Математические соревнования». Эти соревнования можно назвать математическими дуэлями, так как в состязаниях участвовали Иоганн Палермский и Леонардо Пизанский (XIII век) или Никколо Тараталья и Антонио Фиори (XVI век).

В XVIII веке стали популярны «Соревнования по переписке», в которых принимали участие Бернулли, Лейбниц, Ньютон, Эйлер и др. Позже систематически проводились состязания на приз французской Академии наук.

В России конкурсы по решению задач начали проводиться только в конце XIX века. В «Вестнике опытной физики и элементарной математики» ежегодно с 1885 года публиковались «задачи на премию». Этот конкурс по праву можно считать прообразом современных заочных олимпиад.

На территории СССР первая математическая олимпиада была проведена в 1933 году в Грузии, затем в 1934 году в Ленинградском университете. С 1935 года математические олимпиады стали проводиться в Москве.

Успех первых математических олимпиад способствовал перестройке работы с интеллектуально одаренными школьниками. Стали возникать школьные математические кружки при вузах.

После Великой Отечественной войны олимпиадное движение получило резкий подъем, в проведение олимпиад начали включаться высшие учебные заведения многих городов СССР. С 1950 года математические олимпиады стали проводиться в Минске. В 1959 году в Брашове состоялась первая международная олимпиада по математике, в которой участвовала команда из СССР.

С 1992 года Белорусская математическая олимпиада школьников перестала быть составной частью Всесоюзной олимпиады.

Таким образом, математическая олимпиада - одна из наиболее значимых и эффективных форм повышенной математической подготовки учащихся, действенное средство формирования мотивации к учению, развитие творческих способностей, повышение познавательной активности, углубления и расширения знаний школьников по предмету и т.д. [1].

1.1.2 Олимпиады по математике. Уровни олимпиад по математике

Математические олимпиады в Республике Беларуси проводятся в 5 туров:

-й тур - школьные олимпиады.

Эти олимпиады проводятся по текстам, составленным учителем математики и утвержденном на методическом объединении учителей математики. В ней принимают участие все желающие, учащиеся 5 - 11 классов. Проведение олимпиады назначается приказом директора учебного заведения. Задания для данной олимпиады составляются на основе программы по математике для общеобразовательных учебных учреждений.

-й тур - районные (городские) олимпиады.

Эти олимпиады проводятся по текстам, составленным областным оргкомитетом (методистом ИРО, преподавателями вузов). В ней принимают участие учащиеся 8 - 11 классов - победители 1-го тура.

-й тур - областные олимпиады.

Тексты задач подбираются республиканским оргкомитетом. В ней принимают участие учащиеся 8 - 11 классов - победители 2-го тура.

-й тур - республиканская олимпиада.

Тексты заданий подготавливаются членами жюри республиканского оргкомитета. Практически все задачи являются авторскими. В республиканской олимпиаде принимают участие учащиеся 8 - 11 классов - победители областной олимпиады.

В содержание олимпиадных задач 3-го и 4-го туров включаются задачи, решение которых требует теоретических знаний, выходящих за рамки школьного курса математики.

-й тур - Международная олимпиада [1], [2].

1.2    Факультативные занятия по математике. Основные цели, задачи факультативов

1.2.1 Сущность факультативной работы в школе

Еще на рубеже XIX-XX веков некоторые педагоги поняли, что преподавание в школе любого предмета по обязательной программе становится существенно более успешным, если его дополнить циклом необязательных для учащихся, предназначенных только для желающих, внепрограммных занятий.

Такие занятия должны были, прежде всего, учитывать реальные и потенциальные запросы и интересы конкретного коллектива учащихся данного класса, реальные возможности конкретного учителя вызвать и развить интерес учащихся к важным аспектам данного предмета, не охваченным обязательной программой.

Факультативный курс - необязательный учебный предмет, изучаемый по желанию для расширения общекультурного и теоретического кругозора или получения дополнительной специальности. Факультативные курсы в средней школе направлены на удовлетворение индивидуальных склонностей и запросов учащихся, их интересов в области науки, техники, искусства и спорта.

На сегодняшний день существующие программы факультативных курсов носят рекомендательный характер, предоставляя учителю выбирать темы для проведения факультативных курсов и составлять программы самостоятельно. Запись учащихся на факультативные занятия проводятся на добровольных началах в соответствии с их интересами [3], [4].

1.2.2 Методика проведения факультативных занятий по математике

Требования, предъявляемые программой по любому предмету, школьными учебниками и сложившейся методикой обучения, рассчитаны на так называемого «среднего» ученика. Однако уже с первых классов начинается резкое расслоение коллектива учащихся: на тех, кто легко и с интересом усваивают программный материал по предмету, на тех, кто добивается при изучении лишь удовлетворительных результатов, и тех, кому успешное изучение материала дается с большим трудом.

Все это приводит к необходимости индивидуализации обучения математике, в частности ее разделов связанных с геометрическими фигурами, одной из форм которой является внеклассная, а в частности, факультативная работа.

Следует различать два вида факультативной работы по любому предмету:

работа с учащимися, отстающими от других в изучении программного материала (дополнительные внеклассные занятия);

работа с учащимися, проявляющими к изучению предмета повышенный, по сравнению с другими, интерес и способности (собственно внеклассная работа в традиционном понимании смысла этого термина).

Говоря о первом направлении факультативной работы, можно отметить следующее: этот вид внеклассной работы с учащимися по математике в настоящее время имеет место не в каждой школе. Однако даже в этом случае повышение эффективности обучения с необходимостью должно привести к снижению значения дополнительной учебной работы с отстающими. В идеальном случае первый вид внеклассной работы должен иметь ярко выраженный индивидуальный характер и проявляться лишь в исключительных случаях (например, в случае продолжительной болезни учащегося, перехода из школы другого типа т. п.). Однако в настоящее время эта работа требует еще значительного внимания со стороны учителя.

Основной целью ее является своевременная ликвидация (и предупреждение) имеющихся у учащихся пробелов в знаниях и умениях по основному курсу информатики.

Передовой опыт работы учителей свидетельствует об эффективности следующих положений, связанных с организацией и проведением внеклассной работы с отстающими.

. Дополнительные (внеклассные) занятия по любому предмету целесообразно проводить с небольшими группами отстающих (по 3-4 человека в каждой); эти группы учащихся должны быть достаточно однородны как с точки зрения имеющихся у школьников пробелов в знаниях, так и с точки зрения способностей к обучаемости.

. Следует максимально индивидуализировать эти занятия (например, предлагая каждому из таких учащихся заранее подготовленное индивидуальное задание и оказывая в процессе его выполнения конкретную помощь каждому).

. Занятия с отстающими в школе целесообразно проводить не чаще одного раза в неделю, сочетая эту форму занятий с домашней работой учащихся по индивидуальному плану.

. После повторного изучения того или иного раздела изучаемого предмета на дополнительных занятиях необходимо провести итоговый контроль с выставлением оценки по теме.

. Дополнительные занятия, как правило, должны иметь обучающий характер; при проведении занятий полезно использовать соответствующие варианты самостоятельных или контрольных работ из «Дидактических материалов», а также учебные пособия (и задания) программированного типа.

. Учителю необходимо постоянно анализировать причины отставания отдельных учащихся при изучении ими предмета, изучать типичные ошибки, допускаемые учащимися при изучении той или иной темы. Это делает дополнительные занятия, в частности, по информатике более эффективными.

Второе из указанных выше направлений факультативной работы по математике - занятия с учащимися, проявляющими к ее изучению повышенный интерес, отвечает следующим основным целям:

. Пробуждение и развитие устойчивого интереса учащихся к информатике и ее приложениям.

. Расширение и углубление знаний учащихся по программному материалу.

. Оптимальное развитие логических способностей у учащихся и привитие учащимся определенных навыков научно-исследовательского характера.

. Развитие у учащихся умения самостоятельно и творчески работать с учебной и научно-популярной литературой.

. Расширение и углубление представлений учащихся о практическом значении предмета в современном информационном обществе.

. Воспитание учащихся чувства коллективизма и умения сочетать индивидуальную работу с коллективной.

. Установление более тесных деловых контактов между учителем и учащимися и на этой основе более глубокое изучение познавательных интересов и запросов школьников.

. Создание актива, способного оказать учителю помощь в организации эффективного обучения предмету всего коллектива данного класса (помощь в изготовлении наглядных пособий, занятиях с отстающими, в пропаганде знаний среди других учащихся) [1], [6].

Предполагается, что реализация этих целей частично осуществляется на уроках. Однако в процессе классных занятий, ограниченных рамками учебного времени и программы, это не удается сделать с достаточной полнотой. Поэтому окончательная и полная реализация этих целей переносится на внеклассные занятия этого вида, а в частности на факультативы.

Вместе с тем между учебно-воспитательной работой, проводимой на уроках, и факультативной работой существует тесная взаимосвязь: учебные занятия, развивая у учащихся интерес к знаниям, содействуют развертыванию факультативной работы, и, наоборот, факультативные занятия, позволяющие учащимся применить знания на практике, расширяющие и углубляющие эти знания, повышают успеваемость учащихся и их интерес к учению. Однако внеклассная работа, а в частности, факультативная работа не должна дублировать учебную работу, иначе она превратится в обычные дополнительные занятия.

Говоря о содержании факультативной работы с учащимися, интересующимися отдельным предметом, можно отметить следующее: традиционная тематика таких занятий ограничивалась обычно рассмотрением таких вопросов, которые хотя и выходили за рамки официальной программы, но имели много точек соприкосновения с рассматриваемыми в ней вопросами.

За последние десятилетия в информатике возникли новые направления, имеющие не только большое практическое значение, но и большой познавательный интерес. Н.Я. Виленкин рекомендует обращать внимание и на практическую направленность внеклассных занятий и ее занимательность, которые можно реализовать рассмотрением соответствующих заданий.

Происходящее сейчас обновление содержания основного курса информатики привело к возникновению тенденции обновления содержания внеклассных занятий по математике, однако это не означает, что следует полностью отказаться от тех или иных традиционных вопросов, которые составляли до сих пор содержание внеклассных занятий и вызывают у учащихся неизменный интерес [1], [4].

Говоря об олимпиаде, следует отметить, что до сих пор эта форма внеклассной работы с учащимися являлась своеобразным итогом проделанной работы (например, факультатива). Олимпиада - соревнование, которое, несомненно, стимулирует рост учащихся в смысле их образования, воспитывает у них алгоритмическое, логическое и творческое мышление, интерес к информатике, настойчивость - желание не отстать от тех, которые успешно справляются с олимпиадным заданием; часто именно участие в олимпиаде и подготовка к ней побуждает учащихся к самостоятельной работе, вырабатывает умение работать с научно-популярной литературой и т.д.

Предметные олимпиады проводятся на различных уровнях: школьные, районные, городские, областные, республиканские, общероссийские и международные. В проведении областных и республиканских олимпиад активно участвуют педагогические институты и университеты; общероссийская олимпиада проводится под эгидой Московского государственного университета им. М.В. Ломоносова.

Олимпиады также оказывают положительное влияние и на общий уровень преподавания информатики, во многом позволяют выявить качество знаний учащихся и, кроме того, в какой-то степени ориентируют учителя, характеризуя уровень той предметной подготовки, которая считается высокой.

Однако следует обратить внимание на то немаловажное обстоятельство, что олимпиады не являются серьезным источником новой, интересующей учащихся информации и потому не могут считаться основной формой углубленной подготовки молодежи [4], [5].

1.3 Анализ программ факультативных занятий по математике для девятого класса

На сайте Министерства образования Республики Беларусь мною были рассмотрены следующие программы факультативных занятий по математике для девятых классов:

1.      Н. М. Рогановский, Е. Н. Рогановская, О. И. Тавгень «Школьная геометрия: многообразие идей и методов»;

2.      Т. О. Пучковская «Угадай и докажи»;

.        И. И. Воронович, Г. В. Ламинская «Избранные темы школьного курса математики»;

.        И. Г. Арефьева, И. Ю. Семина, Т. В. Ячейко «Повторяем математику»;

.        И. И. Воронович, Г. В. Ламинская «Готовимся к олимпиаде по математике».

1.3.1 Анализ программы факультативного занятия по математике «Школьная геометрия: многообразие идей и методов»

Авторы: Н. М. Рогановский, Е. Н. Рогановская, О. И. Тавгень. Научный руководитель: О. И. Тавгень.

Целями данной программы являются:

o   Педагогические цели:

ознакомление учащихся с основными математическими методами в процессе систематического изучения геометрических фигур и их свойств, систематизации и углубления знаний об измерении геометрических величин, углублённого изучения геометрических построений и преобразований, координат и векторов, приобретения умений и навыков в решении задач повышенной сложности.

o   Развивающие цели:

- развитие познавательного интереса;

- развитие логического мышления, наблюдательности, воображения, математической интуиции, математической речи;

развитие умственных способностей: гибкости, критичности и глубины ума, самостоятельности и широты мышления, памяти, способности к цельности восприятия, генерированию идей, укрупнению информации и др.

формирование исследовательских навыков применения методов научного познания: анализа и синтеза, абстрагирования, обобщения и конкретизации, индукции и дедукции, классификации, аналогии и моделирования и др.;

развитие общих учебных умений: постановки учебной цели, выбора средств её достижения, структурирования информации, выделения главного и т. д.

o   Воспитательные цели:

в формировании мировоззренческих представлений о математике как части общечеловеческой культуры, о роли математики в общественном прогрессе;

развитии и углублении познавательного интереса к математике, стимулировании самостоятельности учащихся в изучении теоретического материала и решении задач повышенной сложности, создании ситуаций успеха по преодолению трудностей, воспитании трудолюбия, волевых качеств личности;

стимулировании исследовательской деятельности учащихся, активного участия их во внеклассной работе по математике, в математических олимпиадах;

- воспитании нравственных качеств личности: настойчивости, целеустремлённости, творческой активности и самостоятельности, трудолюбия и критичности мышления, дисциплинированности, способности к аргументированному отстаиванию своих взглядов и убеждений;

эстетическом воспитании (раскрытии красоты математической теории, совершенства математического доказательства, точности в постановке математической задачи, рациональности её решения, раскрытии связи курса математики с архитектурой, живописью, музыкой, скульптурой).

Программа включает в себя следующие темы:

Замечательные точки треугольника. Вписанные и описанные четырёхугольники. Новые сведения о тригонометрическом методе: решение произвольного треугольника;

-       Метод геометрических преобразований;

-       Правильные многоугольники. Длина окружности. Площадь круга;

Каждая тема направлена на углубление знаний учащихся по предмету математики, обучение новым методам решения задач, развитие интереса к предмету и познавательной активности.

В программе представлены основные формулы и тезисы, которые должны усвоить учащиеся.

Также имеется список рекомендуемой литературы, который разделен на основную и дополнительную.

.3.2 Анализ программы факультативного занятия по математике «Угадай и докажи» Автор: Т.О. Пучковская

В пояснительной записке автор формулирует цель организации факультативных занятий: расширение кругозора учащихся, развитие математического мышления и математической интуиции, формирование активного познавательного интереса к предмету. Также формулируются задачи факультативных занятий.

Рекомендуемые формы проведения занятий: небольшие лекции, семинары, дискуссии, решение задач, рефераты и доклады учащихся. При этом самостоятельная работа учащихся должна занять ведущее положение. Заключительное занятие автор предлагает провести в форме брейн-ринга.

Программа рассчитана на 35 часов.

В нее входят 10 тем, вводное и заключительное занятие.

Рассматриваются такие темы, как: «Текстовые задачи для устного решения», «Диафантовы уравнения», ««Маленькие» задачи на делимость целых чисел», «Устные задачи на тождественные преобразования», «Корни, дроби и степени без громоздких вычислений», «Как выглядит функция», «Уравнения и неравенства наглядно», «Геометрические фигуры», «Гипотезы на основе индукции» и «Догадки по аналогии».

В результате изучения курса у учащихся будут сформированы представления:

-   о предварительной оценке ситуации и анализе ответа при решении задач;

-   решении уравнений в целых числах;

-   методе математической индукции и аналогии;

-   признаках делимости и их применении;

-   методе выделения полного квадрата;

-   оценке и нахождении целой части корней;

-   приложениях математики на практике.

Учащиеся овладеют следующими способами деятельности:

-  выдвигать гипотезы и доказывать их;

-   выполнять прикидку ответа;

-   использовать графические представления при решении уравнений и неравенств;

-   представлять образ модели геометрической фигуры;

-   предвидеть верные результаты, выбирать пути их получения;

-   замечать явно ошибочные выводы.

Изучение данного курса по выбору предполагает:

·   развитие математической интуиции учащихся;

·   развитие интереса и познавательных способностей учащихся;

·   формирование опыта творческой деятельности;

Также автором представлен список литературы, рекомендуемый для подготовки к занятиям.

.3.3 Анализ программы факультативного занятия по математике «Избранные темы школьного курса математики»

Авторы-составители: Воронович Игорь Иванович, кандидат физико-математических наук, преподаватель математики Лицея БГУ, Ламинская Галина Васильевна, преподаватель математики высшей категории гимназии № 29.

Целями данной программы являются:

-       Дополнить школьную программу по отдельным темам, не нарушая ее целостности.

-       Углубить знания учащихся по этим темам.

-       Дать возможность реализовать свои потребности школьникам, интересующимся решением задач.

-       Показать школьникам красоту и разнообразие математических идей, с которыми они не сталкивались на уроках.

-       Развивать и сохранять интерес школьников к занятиям математикой.

-       Развивать логическое мышление.

-       Развивать самостоятельность.

Для реализации целей учителем будут применяться различные формы занятий: лекции, семинары, тесты, контрольные работы, математические конкурсы, мини-турниры. Также на занятиях предлагается проводить экскурсы в историю математики: биография известных математиков, история математических символов, старинные задачи.

Программа рассчитана на 70 часов, из них 36 часов посвящены изучению алгебры и 34 часа - изучению геометрии.

Программа включает в себя 8 тем: 5 по алгебре и 3 по геометрии.

По алгебре рассматриваются квадратные уравнения; функции; текстовые задачи на составление уравнений, систем уравнений и неравенств; нестандартные методы решения уравнений.

В геометрию же входит изучение треугольников, четырехугольников, а также рассмотрение методов решения задач по планиметрии.

По прохождению данного курса ожидаются следующие результаты:

-       развитие интереса и познавательных способностей учащихся;

-       углубление их знаний;

-       овладение стандартными методами решения нестандартных задач;

-       создание условий для подготовки к вступительным испытаниям по математике в ВУЗы;

-       получение опыта творческой и исследовательской деятельности.

Авторами программы также предложен список литературы, рекомендуемый для подготовки занятий.

1.3.4 Анализ программы факультативного занятия по математике «Повторяем математику»

Авторы-составители: Арефьева Ирина Глебовна, преподаватель математики высшей категории УО «Минское суворовское военное училище»; Семина Ирина Юрьевна, учитель математики высшей категории УО «МГЛ гимназия-колледж № 24»; Ячейко Таиса Владимировна, учитель математики высшей категории УО «МГЛ гимназия-колледж № 24».

Курс факультативных занятий позволяет начать системную подготовку к тестированию по математике.

Данный факультативный курс направлен на усвоение основных теоретических вопросов и отработку учебных умений.

Программа рассчитана на 35 учебных часов.

В программу входит 25 тем:

-       «Действия над рациональными числами»,

-       «Делимость»,

-       «Пропорции и проценты»,

-       «Степени и их свойства»,

-       «Одночлены, многочлены. Формулы сокращенного умножения»,

-       «Алгебраические дроби»,

-       «Квадратный корень»,

-       «Линейные уравнения»,

-       «Квадратные уравнения»,

-       «Уравнения, содержащие переменную в знаменателе»,

-       «Линейные неравенства и их системы»,

-       «Квадратные неравенства», «Функции и их свойства»,

-       «Квадратная функция»,

-       «Системы уравнений»,

-       «Прогрессии»,

-       «Текстовые задачи»,

-       «Начальные геометрические сведения»,

-       «Прямоугольный треугольник»,

-       «Равнобедренный треугольник»,

-       «Произвольный треугольник»,

-       «Параллелограмм, прямоугольник, ромб, квадрат»,

-       «Трапеция. Произвольный четырехугольник»,

-       «Углы в окружности»,

-       «Правильные многоугольники. Длинна окружности и площадь круга».

На последних трех занятиях предлагается обобщить и систематизировать знания.

Ожидаемые результаты: углубление и расширение знаний учащихся; овладение навыками решения тестовых заданий; изучение рациональных методов решения задач; Приобретение опыта планирования «тестовой стратегии»; создание условий для эффективной подготовки к сдаче централизованного тестирования по математике.

Также в программе представлен список литературы, рекомендуемый авторами для подготовки факультативных занятий.

1.3.5 Анализ программы факультативного занятия по математике «Готовимся к олимпиаде по математике»

Для работы мною была выбрана программа факультативного занятия «Готовимся к олимпиаде по математике». Авторы-составители: Воронович Игорь Иванович, кандидат физико-математических наук, преподаватель математики Лицея БГУ, Ламинская Галина Васильевна, преподаватель математики высшей категории гимназии № 29.

Программа рассчитана на 70 часов.

Целями данной программы являются:

-       расширение знаний учащихся через изучение дополнительных тем школьного курса математики;

-       углубление знаний учащихся по математике;

-       развитие логического мышления;

-       развитие творческих способностей и исследовательских умений;

-       воспитание настойчивости, инициативы, самостоятельности.

Для реализации целей учащимся будет предложено изучить дополнительные темы школьного курса математики. Также учителем будут показаны методы решения нестандартных задач. Занятия проводятся в различных формах: лекции, семинары, мини-олимпиады.

Программа включает в себя 14 тем, которые включают в себя основы теории чисел, метод математической индукции, методы решения олимпиадных задач, элементы теории множеств, комбинаторики, планиметрию, теорию графов, синтетические методы в геометрии, уравнения, неравенства, многочлены, функции, аналитические методы в геометрии.

По окончанию работы ожидаются следующие результаты:

-       развитие интереса и познавательных способностей учащихся, углубление их знаний;

-       овладение стандартными методами решения нестандартных задач;

-       получение опыта творческой и исследовательской деятельности.

Авторами также был предложен список литературы, который может быть использован при подготовке к занятиям.

1.4 Возможность использования задач олимпиадного характера на факультативных занятиях

В связи с тем, что задачи олимпиадного характера являются задачами повышенного уровня сложности, для решения которых не достаточно знаний, полученных на уроках математики, а главная цель факультативных занятий - углубить знания по предмету, целесообразно использовать олимпиадные задачи на факультативных занятиях.

Однако для факультативных занятий нужно тщательно отбирать задачи олимпиадного характера. Связанно это с тем, что не все учащиеся, посещающие занятия, способны решить или понять решение некоторых сложных олимпиадных задач. Поэтому далеко не все задачи можно использовать на занятиях. При этом полное исключение олимпиадных задач из факультативного курса превратит его в простое повторение изученного на уроках материала, что не даст в полной мере достичь целей факультативных занятий.

Поэтому на занятиях должны в обязательном порядке присутствовать как задачи повышенного уровня сложности из школьного курса математики, так и задачи олимпиадного характера.

Программа факультативных занятий, выбранная мной для работы, предполагает решение олимпиадных задач различного уровня сложности. Для этого на занятиях учащимся будут предоставляться теоретические материалы, выходящие за рамки школьной программы. Используя данные материалы, учащиеся смогут решать даже сложные задачи.

Возможность предлагать учащимся для решения даже самых сложных задач олимпиадного характера связана с тем, что основной целью данной программы является подготовка учащихся к олимпиадам различных уровней.

олимпиада математика школа факультатив

ГЛАВА II. ПРАКТИЧЕСКАЯ ЧАСТЬ

2.1    Анализ олимпиадных задач по математике

В ходе работы нами были рассмотрены и проанализированы задачи, предлагаемые на втором этапе республиканской олимпиады по математике для девятых классов за последние три года. В последующей таблице представлены результаты анализа данных задач:

II этап республиканской олимпиады

Год

Критерии оценивания

Выводы

2008/2009

Наличие задач по геометрии.

На олимпиаде этого года предлагается две геометрические задачи.


Наличие задач по алгебре.

Из пяти задач, предложенных на олимпиаде, три посвящены темам из алгебры.


Тематика задач.

Делимость выражения на число; Нахождение наименьшего значения многочлена; Преобразование алгебраического выражения; Планиметрическая задача на доказательство равенства отрезков; Планиметрическая задача на доказательство количества возможных вариантов построения.


Возможность использования задач на факультативных занятиях.

Все задачи имеют довольно простое и понятное решение, которое способно усвоить основная масса учащихся девятых классов.


На что необходимо обратить внимание учащихся при решении данных задач.

При объяснении данных задач внимание учащихся необходимо обратить на способы разложения многочленов на множители, а также на свойства биссектрисы треугольника. Кроме этого необходимо напомнить школьникам о таком методе доказательства, как «от противного». Вдобавок необходимо показать учащимся важность правильного построения рисунка в геометрии.

2010/2011

Наличие задач по геометрии.

На олимпиаде этого года представлена одна планиметрическая задача.


Наличие задач по алгебре.

Из пяти задач, предложенных на олимпиаде, четыре посвящены темам из алгебры.


Тематика задач.

Текстовая задача на движение; Алгебраическая задача на нахождение суммы дробей с иррациональностью в знаменателе; Решить уравнение четвертой степени. Планиметрическая задача на нахождение отношения длин отрезков; Логическая задача на нахождение загаданных чисел.


Возможность использования задач на факультативных занятиях.

Все задачи имеют довольно простое и понятное решение, которое способно усвоить основная масса учащихся девятых классов. Кроме этого третья задача показывает, что знание формул сокращенного умножения позволяет нам находить корни уравнений, степень которых больше двух.


На что необходимо обратить внимание учащихся при решении данных задач.

При решении данных задач необходимо обратить внимание учащихся на способы разложения многочлена на множители, кроме этого необходимо вспомнить, каким образом в математике избавляются от иррациональности в знаменателе. Также нужно напомнить о том, как находится средняя скорость.

2011/2012

Наличие задач по геометрии.

На олимпиаде этого года представлена одна планиметрическая задача.


Наличие задач по алгебре.

Из пяти задач, предложенных на олимпиаде, четыре посвящены темам из алгебры.


Тематика задач.

Алгебраическая задача на нахождение суммы дробей с иррациональностью в знаменателе. Данная задача была представлена на II этап республиканской олимпиады в 2010/2011 учебном году; Планиметрическая задача на доказательство равенства отрезков; Задача на раскраску; Логическая задача; Алгебраическая задача на определение вида треугольника по заданному соотношению сторон.


Возможность использования задач на факультативных занятиях.

В этом году на олимпиаде были представлены довольно сложные задачи. Третья и четвертая задача решаются методами, которые не включены в школьную программу, поэтому при их объяснении у школьников могут возникнуть некоторые трудности. Решение же остальных задач способно усвоить большинство учащихся.


На что необходимо обратить внимание учащихся при решении данных задач.

При объяснении решения данных задач необходимо обратить внимание учащихся на новый метод решения некоторых задач - метод вспомогательной раскраски. Кроме этого необходимо вспомнить, как избавляться от иррациональности в знаменателе, а также способы преобразования алгебраических выражений и способы разложения многочлена на множители.

2012/2013

Наличие задач по геометрии.

На олимпиаде этого года представлена одна планиметрическая задача.


Наличие задач по алгебре.

Из пяти задач, предложенных на олимпиаде, четыре посвящены темам из алгебры.


Тематика задач.

Алгебраическая задача на нахождение такого числа, при котором представленные выражения являются целыми числами; Планиметрическая задача на доказательство принадлежности некоторых точек одной окружности; Логическая задача на нумерацию с заданным условием; Алгебраическая задача на доказательство существования корня квадратного уравнения; Задача на преобразование алгебраического выражения и нахождения его значения при заданном условии.


Возможность использования задач на факультативных занятиях.

На олимпиаде этого года задачи значительно сложнее тех, которые были представлены в предыдущие годы. Однако при объяснении третьей и четвертой задач у учащихся не должно возникнуть особых трудностей. При этом первая, вторая и третья задачи довольно сложные, поэтому использовать их на факультативных занятиях возможно только в случае довольно хорошей подготовленности учащихся к олимпиадам по математике.


На что необходимо обратить внимание учащихся при решении данных задач.

При решении данных задач с классом необходимо вспомнить, как доказать, что число является целым. Кроме этого необходимо вспомнить о вписанной и описанной окружностях около четырехугольника. Также полезно еще раз обратить внимание учащихся на существование такого метода доказательства, как метод от противного.


В результате анализа олимпиадных задач второго этапа республиканской олимпиады по математике можно отметить, что за последние пять лет сложность задач значительно повысился и решить их, опираясь только на материал, изучаемый по школьной программе очень сложно. Поэтому возникает необходимость заниматься с учащимися решением задач олимпиадного характера на факультативных занятиях, что в свою очередь вынуждает учителя выходить за пределы школьной программы и демонстрировать учащимся новые методы решения задач.

При этом на факультативных занятиях необходимо обратить внимание учащихся на следующее:

-       различные способы разложения многочлена на множители;

-       методы решения уравнений степени, выше второй;

-       метод вспомогательной раскраски;

-       метод «от противного»;

-       решение основных типов текстовых задач;

-       способы решения логических задач;

-       способы преобразования алгебраических выражений;

-       признаки делимости;

Таким образом, можно сделать следующий вывод: для решения задач олимпиадного характера школьникам не достаточно знаний, которые они получают на уроках, так как зачастую олимпиадные задачи выходят далеко за рамки школьной программы. Поэтому необходимо познакомить учащихся с теоретическими сведениями, которые очень часто применяются при решении олимпиадных задач, но не изучаются в школе.

2.2    Разработка факультативных занятий по математике

При написании работы нами были сформулированы конкретные цели, одна из которых - разработка конкретных занятий в соответствии с выбранной тематикой и программой, содержащих цели, содержание, формы и методы работы со школьниками.

Изучив выбранную программу факультативных занятий, нами были выделены темы, при изучении которых у школьников возникают довольно большие трудности. Среди этих тем: задачи на вспомогательные раскраски и текстовые задачи различной тематики.

При работе школьников с задачами на вспомогательную раскраску у учащихся основная проблема связанна именно с выбором способа раскраски и последующая реализация решения с опорой на полученную схему. Текстовым же задачам в школе отводится мало времени, поэтому возникает необходимость улучшить изучать их на факультативных занятиях.

В процессе написания работы нами были разработаны факультативные задания по темам: «Вспомогательная раскраска» и «Текстовые задачи».

Цели занятий:

-  развитие интереса к математике, любознательности;

-   углубить знания учащихся по математике;

-   учить учащихся решать задачи повышенной сложности с использованием методов, выходящих за рамки программы;

-   подготовить учащихся к олимпиадам по математике различных уровней.

Задачи занятий:

-  способствовать формированию у учащихся навыков самостоятельной работы;

-   создать условия для плодотворной работы учащихся по изучению нового материала;

-   выявить и развивать потенциальные способности учащихся.

Далее представлены разработки факультативных занятий по данным темам.

2.2.1 Факультативные занятия на тему: «Вспомогательная раскраска»

Так как данная тема выходит за пределы школьной программы, на первом занятии необходимо подробно рассказать учащимся о задачах на раскраску и замощение. После этого необходимо как можно подробнее рассказать и оформить типичные задачи по данной теме.

Пример 1. На двух клетках шахматной доски стоят черная и белая фишки. За один ход можно передвинуть любую из них на соседнюю по вертикали или горизонтали клетку (две фишки не могут стоять на одной клетке). Могут ли в результате таких ходов встретиться все возможные варианты расположения этих двух фишек, причем ровно по одному разу?

Решение: не могут. Назовем расположение фишек одноцветным, если они стоят на клетках одного цвета, разноцветным - если на клетках разного цвета. Заметим, что при перемещениях фишек одноцветные и разноцветные расположения чередуются, значит их должно быть поровну. Однако общее количество разноцветных расположений равно , а одноцветных - , так как две фишки не могут стоять на одной клетке. Значит, все возможные расположения встретиться не могут.

При решении данной задачи очень удобно использовать интерактивную доску, чтобы наглядно показать шахматную доску и во время объяснения нанести необходимые данные.

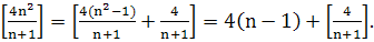
Пример 2. Школьник хочет вырезать из квадрата размером  наибольшее количество прямоугольников размером . Найти это количество для каждого натурального .

Решение: площадь квадрата - , а площадь прямоугольника - . Следовательно, число вырезанных прямоугольников не превосходит

 

Преобразуем выражение

 

Следовательно, при  количество прямоугольников, которые может вырезать школьник, не превосходит .

В качестве примера, на рисунке 1 изображен способ вырезать  прямоугольников для .

Рисунок 1. Способ разрезать квадрат  на прямоугольники

Осталось рассмотреть случаи при .

При  необходимо из квадрата  вырезать прямоугольники . Очевидно, что в этом случае ответ - 2.

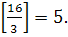
При  из квадрата  необходимо вырезать прямоугольники .

Так как , то

 

Таким образом, можно вырезать не более пяти прямоугольников (пример на рисунке 2).

Рисунок 2. Способ разрезать квадрат  на прямоугольники .

При  школьник хочет из квадрата  вырезать наибольшее количество прямоугольников, размером

 

Получаем, что число вырезанных прямоугольников не превосходит девяти.

Допустим, школьник смог вырезать девять прямоугольников. Это означает, что ему удалось разрезать квадрат  на прямоугольники . Ясно, что линии разреза параллельны сторонам квадрата, то есть каждая клетка полностью лежит в каком-нибудь прямоугольнике. Пронумеруем клетки доски , как показано на рисунке 3.

Рисунок 3. Нумерация клеток доски .

Так как число клеток под номером 1 не равно числу клеток под номером 2, а каждый прямоугольник  содержит по одной клетке каждого номера, то квадрат  нельзя разрезать на прямоугольники .

Следовательно, число прямоугольников не больше восьми (рисунок 4).

Рисунок 4. Способ разрезать квадрат  на прямоугольники .

Пример 3. Доска  разбита на  единичных квадратиков. Один из них вырезали так, что образовалась дырка. Можно ли оставшуюся часть доски покрыть равнобедренными прямоугольными треугольниками с гипотенузой длинны 2 так, чтобы их гипотенузы шли по сторонам квадратиков, а катеты - по диагоналям, и чтобы треугольники не налегали друг на друга и не свисали с доски?

Решение: раскрасим доску черной и белой краской в шахматном порядке. Допустим, что нам удалось покрыть оставшиеся 99 единичных квадратов треугольниками (рисунок 5).

Рисунок 5. Квадрат  с вырезанным единичным квадратом

Заметим, что тогда одна половина каждого треугольника белая, а другая - черная. Таким образом, покрытая площадь белого цвета равна покрытой площади черного цвета. Но с другой стороны, одна из этих площадей на 1 больше другой (в силу того, что по условию у нас один квадратик вырезали).

Получаем противоречие, которое показывает, что подобное покрытие невозможно.

В качестве домашнего задания можно предложить задачи, аналогичные решенным в классе, а также задачу на размышление, похожие на которую учащиеся еще не решали.

Домашнее задание:

Задача 1. Дан лист клетчатой бумаги. Каждый узел сетки обозначается некоторой буквой. Каким наименьшим числом различных букв нужно обозначить эти узлы, чтобы на отрезке, идущем по сторонам клетки, соединяющем два узла, обозначенных одинаковыми буквами, находился, по крайней мере, один узел, обозначенный одной из других букв?

Решение: Наименьшее число букв - две. Эти буквы необходимо расставить в шахматном порядке, как показано на рисунке 6.

Рисунок 6. Пример решения задачи 1

Задача 2. Квадрат  клеток выкрашен в белый цвет. Разрешается выбрать в нем любой прямоугольник из трех клеток, и перекрасить все их в противоположный цвет (белые в черные, черные в белые).

Удастся ли несколькими такими операциями перекрасить весь квадрат в черный цвет? Решение: впишем во все клетки доски буквы, как показано на рисунке 7.

Рисунок 7. Квадрат  с нанесенной нумерацией

На рисунке 5 видно, что первоначально белых клеток с буквой А больше, чем клеток с буквой В (А - 22, В - 21), а каждым ходом можно перекрасить ровно одну клетку с буквой А, и одну - с В.

В итоге, после раскраски, одна клетка с буквой А будет оставаться белой. Таким образом получаем, что перекрасить весь квадрат в черный цвет не удастся.

2.2.2 Факультативные занятия на тему: «Текстовые задачи»

На первом этапе необходимо объяснить цель занятия и предложить теоретические сведения по данной теме. Для развития умения работать с литературой можно заранее предложить учащимся найти сведения по данной теме и изучить их дома самостоятельно.

При объяснении данной темы необходимо обратить внимание учащихся на то, что выделяют всего пять видов текстовых задач:

- задачи «на движение»;

-   задачи «на работу»;

-   задачи «на смеси»;

-   задачи «на числа».

Данное факультативное занятие будет посвящено задачам «на проценты».

При объяснении нового материала, а также при решении задач, удобно пользоваться интерактивной доской.

Пример 1. Цена на хлеб увеличилась на 10%, после чего увеличилась еще на 20%. На сколько процентов увеличилась после всех подорожаний?

Для начала можно предложить данную задачу решить учащимся самостоятельно, после чего объяснить решение учителю. Вся проблема состоит в том, что учащиеся, в большинстве своем, складывают проценты, что недопустимо.

Решение: Пусть первоначальная цена на хлеб равна . Тогда после первого подорожания ее цена увеличится на  и станет равна . После второго подорожания цена увеличится на  и станет равна . То есть мы получили, что после двух подорожаний цена на хлеб увеличилась на 32%.

После решения данной задачи на интерактивной доске можно наглядно показать, почему нельзя складывать проценты, чтобы учащиеся лучше это усвоили.


Пример 2. Царь выделял на содержание писарского приказа 1000 рублей в год (все писари получали поровну). Царю посоветовали сократить численность писарей на 50%, а оставшимся писарям повысить жалование на 50%. На сколько при этом изменятся затраты царя на писарский приказ?

Решение: Пусть у царя было  писарей. Каждый из писарей получал по  рублей в год. После принятия совета количество писарей уменьшилось на 50%, т.е. уменьшилось в два раза, и стало . Жалование каждого писаря увеличилось на 50%, т.е. на  рублей, и стало  рублей. Таким образом получаем, что затраты царя на писарей стали равны  рублей в год, то есть за год царь экономит 250 рублей.

При решении данной задачи нужно обратить внимание учащихся на то, что если какая-то величина уменьшилась на 50%, то это значит, что она уменьшилась в два раза, а если она увеличилась на 50 %, то это значит, что она увеличилась в полтора раза.

После того, как учитель разобрал с учащимися данные задачи, можно предложить следующую задачу для самостоятельного решения.

Пример 3. Курс акций компании «Рога и копыта» каждый день в 12:00 повышается или понижается на  ( - фиксированное натуральное число меньше 100). При условии, что курс не округляется, существует ли , для которого курс акций может дважды принять одно и то же значение? Если существует, то укажите его.

Решение: так как курс акций повышается или понижается на одно и то же число процентов, мы получаем, что нет такого , для которого выполнялось бы условие. Связанно это с тем, что при одновременном повышении и понижении курса акций на одно и то же количество процентов мы не придем к первоначальному значению, а будем получать все время различные значения курса акций. В связи с этим можно заявить, что такого  не существует.

Далее необходимо познакомить учащихся со сложными процентами и закрепить полученные знания при решении конкретных задач.

Пример 4. Предприятие работало 3 года. Выработка продукции за второй год работы возросла на p%, а на следующий год она возросла на 10% больше, чем в предыдущий. Определите, на сколько процентов увеличилась выработка за второй год, если известно, что за 2 года она увеличилась в общей сложности на 48,59%.

Для начала нужно предложить решить данную задачу без использования сложных процентов, после чего предоставить данную задачу в качестве домашнего задания, при условии, что дома они должны будут решить ее с помощью сложных процентов (ход решения кратко рассказать).

В конце урока можно сказать, что на следующем занятии мы перейдем к решению нового типа текстовых задач, поэтому вдобавок к этой задаче им нужно будет познакомиться с теоретическими сведениями по следующей теме.

ЗАКЛЮЧЕНИЕ

В процессе выполнения данной работы нами были изучены планирования факультативных занятий, представленные на сайте Министерства образования Республики Беларусь. Кроме этого были рассмотрены и проанализированы олимпиадные задания, предлагаемые на олимпиадах различных уровней. Более подробно мы остановились на задачах, представленных на втором этапе республиканской олимпиады по математике за последние пять лет. Изучив их, мы пришли к выводу, что для решения олимпиадных задач учащимся необходимо знать материал, выходящий далеко за рамки школьной программы. Поэтому на факультативных занятиях необходимо уделить не мало времени решению задач олимпиадного характера.

Также нами была выбрана одна из программ факультативных занятий по математике. Опираясь на ее, было разработано несколько факультативных занятий на темы, которые показались нам наиболее интересными и при изучении которых у школьников возникают наибольшие трудности.

В результате, мы считаем, что поставленные перед нами задачи были выполнены в полной мере и мы максимально приблизились к поставленным целям.

ЛИТЕРАТУРА

1.      Гринько, Е.П. Основные направления работы с интеллектуально одаренными детьми / Е.П. Гринько; под общ. ред. И.Л. Сохор; редкол.: В.Ф. Савчук, А.Ф. Ревинский; Брест. гос. ун-т имени А.С. Пушкина // Электронное учебно-методическое пособие для студентов педагогических специальностей ВУЗов, учителей общеобразовательных школ, слушателей курсов повышения квалификации; Брест, 2012 г. - С. 227-345.

.        Пивоварук, Т.В. Методика проведения внеклассной работы по математике в общеобразовательной школе: учеб.-метод. пособие / Т.В. Пивоварук - Брест: БрГУ, 2009 - 105 стр.

.        Богданова, Т.Г. Диагностика познавательной сферы ребенка / Т.Г. Богданова, Т.В. Корнилова. - М.: Роспедагентство, 1994. - 148 с.

.        Коджаспирова, Г.М. Педагогический словарь: для студ. высш. и сред. пед. учеб. заведений / Г.М. Коджаспирова, А.Ю. Коджаспиров. - М. : Изд. центр Академия, 2001. - 176 с.

.        Столяр, А.А. Как математика ум в порядок приводит / А.А. Столяр. - Минск: Высш. школа, 1991. - 206 с.

.        Современный словарь по педагогике / сост. Рапацевич Е.С. - Минск: Современное слово, 2001. - 928 с.

.        Районный учебно-методический кабинет отдела образования Кормянского районного исполнительного комитета «Факультатив как форма организации дифференцированного обучения». - Корма, 2010.

.        Селивоник, С.В. Обучение школьников методам решения задач «на раскраски» / С.В. Селивоник, А.А. Ошмяна // Математические и физические методы исследований: научный и методический аспекты : тезисы докл. респ. науч.-практ. конф., посвящ. 450-летию со дня рождения Г. Галилея, Брест, 17-18 апреля 2014 г. / Брест. гос. ун-т имени А.С. Пушкина ; под общ. ред. Н.Н. Сендера. - Брест : БрГУ, 2014. - С. 44.

.        Селивоник, С.В. Обучение школьников методам решения задач «на раскраски» / С.В. Селивоник, А.А. Ошмяна // Математические и физические методы исследований: научный и методический аспекты : матер. респ. науч.-практ. конф., посвящ. 450-летию со дня рождения Г. Галилея, Брест, 17-18 апреля 2014 г. / Брест. гос. ун-т имени А.С. Пушкина ; под общ. ред. Н.Н. Сендера. - Брест : БрГУ, 2014. - С. 214-215.

.        Селивоник, С.В. Обучение учащихся решению задач «на раскраски» (на факультативных занятиях в девятом классе) / С.В. Селивоник, А.А. Ошмяна // Формирование готовности будущего учителя математики к работе с одаренными учащимися : матер. респ. заоч. науч.-практ. конф., Брест, 15-16 апреля 2014 г. / Брест. гос. ун-т им. А.С. Пушкина ; редкол. : Н.А. Каллаур [и др.] ; под общ. ред. Е.П. Гринько. - Брест : БрГУ, 2014. - С. 63-66.

.        Селивоник, С.В. Использование интерактивных средств при обучении школьников решению текстовых задач / С.В. Селивоник, А.А. Ошмяна // Вычислительные методы, модели и образовательные технологии : матер. междунар. науч.-практ. конф., Брест, 14-15 октября 2014 г. / Брест. гос. ун-т имени А.С. Пушкина ; под общ. ред. О.В. Матысика. - Брест : БрГУ, 2014. - С. 201-203.

.        Ошмяна, А.А. Олимпиадные задачи как средство развития творческих способностей школьников / А.А. Ошмяна // От идеи - к инновации : материалы XXI Респ. cтуд. науч.-практ. конф., Мозырь, 24 апреля 2014 г. : в 2 ч. / УО МГПУ им. И.П. Шамякина ; редкол. : Н.Н. Кралевич (отв. ред) [и др.]. Мозырь 2014. - Ч. 1. - С. 146-147.

.        Селивоник, С.В. Обучение школьников методам решения задач «на раскраски» / С.В. Селивоник, А.А. Ошмяна // Математические и физические методы исследований: научный и методический аспекты : тезисы докл. респ. науч.-практ. конф., посвящ. 450-летию со дня рождения Г. Галилея, Брест, 17-18 апреля 2014 г. / Брест.гос. ун-т имени А.С. Пушкина ; под общ. ред. Н.Н. Сендера. - Брест : БрГУ, 2014. - С. 44.

.        Селивоник, С.В. Обучение школьников методам решения задач «на раскраски» / С.В. Селивоник, А.А. Ошмяна // Математические и физические методы исследований: научный и методический аспекты : матер. респ. науч.-практ. конф., посвящ. 450-летию со дня рождения Г. Галилея, Брест, 17-18 апреля 2014 г. / Брест.гос. ун-т имени А.С. Пушкина ; под общ. ред. Н.Н. Сендера. - Брест : БрГУ, 2014. - С. 214-215.

.        Селивоник, С.В. Обучение учащихся решению задач «на раскраски» (на факультативных занятиях в девятом классе) / С.В. Селивоник, А.А. Ошмяна // Формирование готовности будущего учителя математики к работе с одаренными учащимися : матер. респ. заоч. науч.-практ. конф., Брест, 15-16 апреля 2014 г. / Брест. гос. ун-т им. А.С. Пушкина ; редкол. : Н.А. Каллаур [ и др] ; под общ. ред. Е.П. Гринько. - Брест : БрГУ, 2014. - С. 63-66.

.        Селивоник, С.В. Использование интерактивных средств при обучении школьников решению текстовых задач / С.В. Селивоник, А.А. Ошмяна // Вычислительные методы, модели и образовательные технологии : матер. междунар. науч.-практ. конф., Брест, 14-15 октября 2014 г. / Брест. гос. ун-т имени А.С. Пушкина ; под общ. ред. О.В. Матысика. - Брест : БрГУ, 2014. - С. 201-203.

Похожие работы на - Методы решения задач олимпиадного характера на факультативных занятиях по математике в девятом классе

 

Не нашли материал для своей работы?
Поможем написать уникальную работу
Без плагиата!
Без нейросетей!