Методические приемы формирования вычислительных навыков письменного сложения и вычитания в начальном курсе математики

  • Вид работы:
    Дипломная (ВКР)
  • Предмет:
    Педагогика
  • Язык:
    Русский
    ,
    Формат файла:
    MS Word
    813,41 Кб
  • Опубликовано:
    2015-01-12
Вы можете узнать стоимость помощи в написании студенческой работы.
Помощь в написании работы, которую точно примут!

Методические приемы формирования вычислительных навыков письменного сложения и вычитания в начальном курсе математики

Министерство образования и науки РФ

ФГБОУ ВПО «Тверской государственный университет»

Педагогический факультет

Кафедра Математики с методикой начального обучения

Специальность 050708 «Педагогика и методика начального образования»








ДИПЛОМНАЯ РАБОТА

методические приемы формирования вычислительных навыков письменного сложения и вычитания в начальном курсе математики

Автор:

Курбанова Алия Элдилак кызы,

VI курс, 62 группа, ОЗО

Научный руководитель:

ст. преподаватель

Журавлева Татьяна Александровна


Тверь 2014

Содержание

Введение

Глава 1. Теоретические основы формирования навыков письменного сложения и вычитания у младших школьников

.1 Сложение и вычитание с позиций аксиоматической теории и теоретико-множественного подхода к построению множества целых неотрицательных чисел

.2 Понятие вычислительных навыков в начальном обучении математике и критерии их сформированности

.3 Методические приемы формирования вычислительных навыков письменного сложения и вычитания в начальном курсе математики

.3.1 Методика формирования письменных приемов сложения и вычитания, подготовительная работа

1.3.2 Типичные ошибки при выполнении письменного сложения и вычитания и работа по их устранению и предупреждению

.3.3 Приемы самоконтроля, занимательные задания, тренировочные упражнения как способы устранения и предупреждения типичных вычислительных ошибок учащихся

Глава 2. Экспериментально-практическая работа по формированию навыков письменного сложения и вычитания у учащихся 3 «Б» класса

.1 Диагностика сформированности вычислительных навыков письменного сложения и вычитания у младших школьников на констатирующем этапе

.2 Формирование навыков письменного сложения и вычитания у учащихся 3 «Б» класса

.3 Анализ результатов формирующего этапа

Заключение и рекомендации для учителей

Список литературы

Приложения

ВВЕДЕНИЕ

Концепция модернизации российского образования на период до 2015 года определяет цели общего образования на современном этапе. Она подчеркивает необходимость «ориентации образования не только на усвоение обучающимися определенной суммы знаний, но и на развитие его личности, его познавательных и созидательных способностей». Одной из основных задач обучения математике в школе является формирование у школьников сознательных и прочных вычислительных навыков, которые являются основополагающим элементом вычислительной культуры человека.

Сегодня всё меньше и меньше внимания в новых экспериментальных и вариативных учебниках по математике уделяется формированию у учащихся вычислительных навыков, как устных, так и письменных. Постепенно снижается подготовленность детей в данном направлении: возрастает число ошибок в определении порядка действий в выражениях, снижается уровень сформированности умения решать текстовые задачи (в частности за счёт ухудшения техники чтения, вычислительных умений). В связи с этим, одной из основных задач обучения школьников математике является повышение вычислительной культуры учащихся на всех ступенях обучения в образовательном учреждении и в первую очередь в начальной школе [6].

Проблема формирования у учащихся вычислительных умений всегда привлекала особое внимание психологов, дидактов, методистов, учителей. В методике математики известны исследования Е.С. Дубинчук, А.А. Столяра, С.С. Минаевой, Н.Л. Стефановой, Я.Ф. Чекмарева, М.А. Бантовой, М.И. Моро, Н.Б. Истоминой, С.Е. Царевой и др.) [1, 4, 6, 8].

Задача формирования вычислительных навыков является центральной в курсе преподавания математики в начальной школе. Однако не всегда вычислительные навыки у учащихся сформированы на высоком уровне. Вследствие чего, выпускники начальной школы могут испытывать затруднения в обучении.

Учителя начальных классов сталкиваются в своей деятельности с такими проблемами, как:

 Низкий уровень усвоения учебного материала на уроках изучения нового материала и в проверочных работах на первичное закрепление.

 Большое количество вычислительных ошибок при решении задач.

 Неумение учащимися выполнять задания «устного счета» [12].

Начало изучения темы «Письменное сложение и вычитание» в начальном курсе математики предусмотрено во втором классе по всем программам. Авторы программ по-разному подходят к введению данного материала, используют различные задания, но алгоритм письменного сложения и вычитания во всех программах остается единым.

Формирование вычислительных навыков письменного сложения и вычитания - одна из главных задач, которая должна быть решена в ходе обучения детей в начальной школе. Сформировать навыки письменного сложения и вычитания - сложная задача в начальном курсе математики. Это и основная задача, так как без сформированных навыков невозможно дальнейшее обучение письменному умножению и делению.

Выбор темы обусловила необходимость проанализировать приемы, которые используют методисты, учителя-практики в своей работе по различным программам для формирования навыков письменного сложения и вычитания.

Все вышесказанное обуславливает актуальность выбранной темы дипломной работы.

Объект исследования: процесс формирования вычислительных навыков письменного сложения и вычитания.

Предмет исследования: методические приёмы формирования вычислительных навыков письменного сложения и вычитания у младших школьников.

Цель дипломной работы: на основе анализа психолого-педагогической и методической литературы разработать и апробировать методику формирования вычислительных навыков письменного сложения и вычитания у учащихся 3 «Б» класса и оценить её эффективность.

В качестве гипотезы исследования было выдвинуто предположение о том, что применение учителем разнообразных тренировочных упражнений, занимательных задач, использование приемов самоконтроля на уроках по математике способствует прочному формированию вычислительных навыков письменного сложения и вычитания младших школьников.

Задачи исследования:

. Изучить и проанализировать учебно-методическую и психолого-педагогическую литературу по данной теме исследования:

рассмотреть сложение и вычитание с позиций аксиоматической теории и теоретико-множественного подхода;

уточнить понятие вычислительного навыка и условия его формирования в начальном курсе математики;

проанализировать программы, школьные учебники и методические разработки учителей-практиков с целью выделения эффективных приёмов по формированию навыков письменного сложения и вычитания.

. Провести диагностику уровня обученности учащихся 3-го «Б» класса по теме «Письменное сложение и вычитание».

. Разработать и апробировать фрагменты уроков по формированию вычислительных навыков письменного сложения и вычитания в 3-ем «Б» классе с использованием различных занимательных заданий, тренировочных упражнений, приемов самоконтроля.

. Проанализировать результаты экспериментального исследования и разработать рекомендации учителям начальных классов по использованию разнообразных приемов формирования вычислительных навыков письменного сложения и вычитания на уроках по математике.

Методы исследования:

·        анализ литературы;

·        изучение передового педагогического опыта;

·        изучение педагогической документации;

·        педагогический эксперимент;

·        анализ работы учащихся;

·        диагностирующие самостоятельные и контрольные работы;

База исследования: МОУ СОШ № 36 г. Твери, 3 «Б» класс.

Продолжительность: в течение февраля - апреля 2012/13 уч. года

Дипломная работа включает введение, две главы, заключение, рекомендации для учителей, список литературы и приложения.

Во введении обосновывается актуальность дипломной работы, определяется аппарат исследования, методы и база проведения.

В главе I «Теоретические основы формирования навыков письменного сложения и вычитания у младших школьников» раскрываются понятия сложения и вычитания, вычислительного навыка, методические приемы формирования вычислительных навыков письменного сложения вычитания у младших школьников.

В главе II «Экспериментально-практическая работа по формированию навыков письменного сложения и вычитания у учащихся 3 «Б» класса» излагается программа экспериментально-практического исследования, и анализируются её результаты. Состоит из трех этапов: констатирующий, формирующий и контрольный.

В заключении обобщается глава I, результаты экспериментального исследования, предложены рекомендации для учителей начальной школы.

Список литературы включает 61 источник.

В приложении содержатся таблицы, фрагменты уроков, контрольные работы учащихся.

ГЛАВА 1. ТЕОРЕТИЧЕСКИЕ ОСНОВЫ ФОРМИРОВАНИЯ НАВЫКОВ ПИСЬМЕННОГО СЛОЖЕНИЯ И ВЫЧИТАНИЯ У МЛАДШИХ ШКОЛЬНИКОВ

1.1 Сложение и вычитание с позиций аксиоматической теории и теоретико-множественного подхода к построению множества целых неотрицательных чисел

Перед тем, как перейти к рассмотрению методики изучения приемов письменного сложения и вычитания в начальных классах, необходимо выявить математические основы изучения арифметических действий, установить их важнейшие законы и правила, также взаимосвязь их компонентов и результатов.

Понятие действия сложения и вычитания в математике можно рассмотреть с двух точек зрения: с позиций аксиоматической теории и теоретико-множественного подхода.

По правилам аксиоматической теории построения множества N определить сложение натуральных чисел можно, используя отношение «непосредственно следовать за». Дадим определение с позиций этой теории: сложением натуральных чисел называется алгебраическая операция, определенная на множестве натуральных чисел N и обладающая свойствами:

1)

)  [25, с.232]

Число a+ b называется суммой натуральных чисел чисел a и b , а сами числа a и b - слагаемыми.

При построении множества Z0 используется тоже определение сложения, в котором меняется только первое свойство

Доказано, что алгебраическая операция, обладающая указанными свойствами единственна и она существует [52, C. 233]

Сложение натуральных чисел обладает свойствами коммутативности и ассоциативности. Раскроем их определения без доказательства.

I. Коммутативный закон сложения (переместительный):

. Ассоциативный закон сложения (сочетательный):


Остановимся на теоретико-множественном смысле суммы nZ0, Раскроем смысл определения сложения [52, с. 128].

Рассмотрим задачу, которую решают первоклассники: «Петя нашел 4 гриба, а Нина - 3. Сколько всего грибов нашли ребята?» Задача решается при помощи действия сложения: 4+3 = 7. Но как объяснить почему использовано сложение, а не другое действие?

Представим условие задачи наглядно, изобразив каждый гриб, который нашел Петя кружком, а каждый гриб, найденный Ниной, квадратом (рис. 1).

рис. 1

Чтобы ответить на вопрос задачи, надо к грибам Пети добавить (присоединить) грибы Нины, т.е. объединить два множества грибов (рис. 2), и сосчитать, сколько в этом объединении оказалось элементов.

рис. 2

Видим, что сложение целых неотрицательных чисел тесно связано с операцией объединения множеств.

Поэтому с точки зрения теоретико-множественного подхода сумму определяют через объединение непересекающихся множеств.

Определение: суммой целых неотрицательных чисел a и b называют число в объединении непересекающихся множеств A и B, таких, что n (A) = a, n (B) = b:

 

Объясним, пользуясь данным определением, что 5+2=7. 5- это число элементов некоторого множества А, 2 - число элементов некоторого множества В, причем их пересечение должно быть пусто. Возьмем, например, множества , B={a,b}. Объединим их: . Путем пересчета устанавливаем, что n = 7.Следовательно, 5+2 =7.

Действие, при помощи которого находят сумму, называется сложением, а числа, которые складывают, называют слагаемыми.

В начальном курсе математики сложением неотрицательных чисел вводится на основе практических упражнений, связанных с объединением двух множеств предметов (теоретико-множественная терминология и символика при этом не используется). Главным средством раскрытия теоретико-множественного смысла сложения является решение простых арифметических задач. Суть решения одной такой задачи проанализирована выше.

Остановимся на определении вычитания натуральных чисел с точки зрения вышеуказанных теорий.

При аксиоматическом построении теории натуральных чисел сначала дается определение разности, затем вычитания.

Разностью натуральных чисел a и b называется такое натуральное число с, что b +с = a. [52, C.136].

Действие, с помощью которого находится разность чисел a и b называется вычитанием.

Из определения видно, что вычитание - это действие, обратное сложению.

Число a - b называется разностью чисел а и b, число а - уменьшаемым, число в - вычитаемым.

Известно, что алгебраическая операция, удовлетворяющая указанному условию на множестве натуральных чисел, существует не всегда. Есть только необходимое условие существования разности и оно единственно: разность натуральных чисел а и b существует тогда и только тогда, когда b<a. Если разность существует, то она единственна [52, C. 136].

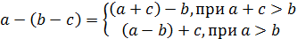
Исходя из определения разности натуральных чисел и условия его существования, можно обосновать известные правила, связывающие сложение и вычитание натуральных чисел [56, C. 140-141].

1.      Âû÷èòàíèå ÷èñëà èç ñóììû: ÷òîáû âû÷åñòü ÷èñëî èç ñóììû

äîñòàòî÷íî âû÷åñòü ýòî ÷èñëî èç îäíîãî ñëàãàåìîãî ñóììû è ê ïîëó÷åííîìó ðåçóëüòàòó ïðèáàâèòü äðóãîå ñëàãàåìîå.

, b, c,

(a + b) - c =         1)

)

)

Ïðèìåð: (5768 + 929)668=(5768668) + 929 = 6029.

.       

.        Âû÷èòàíèå ñóììû èç ÷èñëà: ÷òîáû âû÷åñòü ñóììó èç ÷èñëà, äîñòàòî÷íî èç ýòîãî ÷èñëà ïîñëåäîâàòåëüíî âû÷åñòü êàæäîå ñëàãàåìîå îäíî çà äðóãèì.

 

Ïðèìåð:

.        Âû÷èòàíèå ÷èñëà èç ðàçíîñòè: ÷òîáû âû÷åñòü ÷èñëî èç ðàçíîñòè äîñòàòî÷íî èç óìåíüøàåìîãî a âû÷åñòü ñóììó äâóõ äðóãèõ ÷èñåë.

 

Ïðèìåð:

.        Âû÷èòàíèå ðàçíîñòè èç ÷èñëà:

 

Ïðèìåðû:

 

.        Ïðèáàâëåíèå ðàçíîñòè ê ÷èñëó:

 

Ïðèìåðû:

.        Ïðèáàâëåíèå ÷èñëà ê ðàçíîñòè: ÷òîáû ïðèáàâèòü ÷èñëî ê ðàçíîñòè äîñòàòî÷íî ýòî ÷èñëî ïðèáàâèòü ê óìåíüøàåìîìó è èç ïîëó÷åííîãî ðåçóëüòàòà âû÷åñòü âû÷èòàåìîå.

 

Ïðèìåð:

Ðàñêðîåì òåîðåòèêî-ìíîæåñòâåííûé ñìûñë ðàçíîñòè íàòóðàëüíûõ ÷èñåë.

Ðàñêðûòèå ñìûñëà ñíîâà íà÷íåì ñ ïðîñòîé àðèôìåòè÷åñêîé çàäà÷è, êîòîðóþ ìû äàåì ó÷àùèìñÿ ïåðâîãî êëàññà:

«Îêîëî øêîëû ïîñàäèëè 8 äåðåâüåâ - áåðåç è ðÿáèí. Áåðåç 3. Ñêîëüêî ðÿáèí ïîñàäèëè îêîëî øêîëû?»

×òîáû îòâåòèòü íà âîïðîñ çàäà÷è, íàäî . Íî êàê îáúÿñíèòü, ïî÷åìó çäåñü èñïîëüçîâàíî âû÷èòàíèå ÷èñåë, à íå äðóãîå äåéñòâèå?

Êàê è ïðè ðåøåíèè çàäà÷è íà ñëîæåíèå, ðàññìîòðåííîé íàìè âûøå, ïðåäñòàâèì óñëîâèå äàííîé çàäà÷è íàãëÿäíî, èçîáðàçèâ êàæäîå äåðåâî, ïîñàæåííîå îêîëî øêîëû, êðóæêîì (ðèñ. 3). Ñðåäè ïîñàæåííûõ äåðåâüåâ 3 áåðåçû - íà ðèñóíêå âûäåëèì èõ, çà÷åðêíóâ êàæäûé êðóæîê, èçîáðàæàþùèé áåðåçó. Òîãäà îñòàëüíûå äåðåâüÿ - ðÿáèíû. Èõ ñòîëüêî, ñêîëüêî áóäåò, åñëè èç 8 âû÷åñòü 3, ò.å.5 [52 ,Ñ. 135].

Ðèñ. 3

Âèäèì, ÷òî ðåøåíèå äàííîé çàäà÷è òåñíî ñâÿçàíî ñ âûäåëåíèåì èç äàííîãî ìíîæåñòâà ïîäìíîæåñòâà è íàõîæäåíèåì ÷èñëà ýëåìåíòîâ â äîïîëíåíèè ýòîãî ìíîæåñòâà, ò.å. âû÷èòàíèå ÷èñåë îêàçûâàåòñÿ ñâÿçàííûì ñ îïåðàöèåé äîïîëíåíèÿ ïîäìíîæåñòâà.

Îïðåäåëåíèå: Ðàçíîñòüþ öåëûõ íåîòðèöàòåëüíûõ ÷èñåë a è b íàçûâàåòñÿ ÷èñëî ýëåìåíòîâ â äîïîëíåíèè ìíîæåñòâà  äî À ïðè óñëîâèè, ÷òî :

 

×àñòî, ÷òîáû ïðîâåðèòü ïðàâèëüíîñòü âûïîëíåíèÿ äåéñòâèÿ âû÷èòàíèÿ ìû îáðàùàåìñÿ ê ñëîæåíèþ. Ïî÷åìó? Î÷åâèäíî ïîòîìó, ÷òî ñóùåñòâóåò ñâÿçü ìåæäó äåéñòâèÿìè âû÷èòàíèÿ è ñëîæåíèÿ. Ïóñòü äàíû öåëûå íåîòðèöàòåëüíûå ÷èñëà a è b, òàêèå, ÷òî , è ïóñòü ðàçíîñòü ýòèõ ÷èñåë åñòü ÷èñëî ýëåìåíòîâ äîïîëíåíèÿ ìíîæåñòâà B äî ìíîæåñòâà A, ò.å.

Èçâåñòíî, ÷òî  Ñëåäîâàòåëüíî, ïîëó÷àåì, ÷òî

Îòñþäà ìû ïîëó÷àåì îïðåäåëåíèå ðàçíîñòè ñ òî÷êè çðåíèÿ àêñèîìàòè÷åñêîé òåîðèè ïîñòðîåíèÿ ÷èñëà, êîòîðàÿ îïèñûâàëàñü âûøå.

Äàííîå îïðåäåëåíèå íåîáõîäèìî õîðîøî óñâîèòü ó÷àùèìñÿ, òàê êàê ïðîâåðêà ñëîæåíèÿ âû÷èòàíèåì, à òàêæå âû÷èòàíèÿ ñëîæåíèåì ÿâëÿåòñÿ îäíèì èç ïðèåìîâ ñàìîêîíòðîëÿ, ïîçâîëÿþùèì èçáåæàòü îøèáîê ïðè âû÷èñëåíèÿõ. Îïðåäåëåíèå ïîíÿòèÿ âû÷èòàíèÿ êàê äåéñòâèÿ, îáðàòíîãî ñëîæåíèþ, â ÿâíîì âèäå íå äàåòñÿ, íî ïîä÷åðêèâàåòñÿ, ÷òî «âû÷èòàíèå ñâÿçàíî ñî ñëîæåíèåì: âû÷åñòü èç ÷èñëà 40 ÷èñëî 16 - çíà÷èò íàéòè òàêîå ÷èñëî, êîòîðîå ïðè ñëîæåíèè åãî ñ ÷èñëîì 16 äàåò â ñóììå 40. Ýòî ÷èñëî 24. Çíà÷èò, 40-16 = 24».

Òàêèì îáðàçîì, â äàííîì ïàðàãðàôå ìû ðàññìîòðåëè è ðàñêðûëè ïîíÿòèå ñëîæåíèÿ è âû÷èòàíèÿ ñ òî÷êè çðåíèÿ àêñèîìàòè÷åñêîé òåîðèè è òåîðåòèêî-ìíîæåñòâåííîãî ïîäõîäà.  íà÷àëüíîì êóðñå ìàòåìàòèêè ïåðâîíà÷àëüíîå ïðåäñòàâëåíèå î äåéñòâèÿõ óìíîæåíèÿ è äåëåíèÿ ôîðìèðóåòñÿ ñ ïîçèöèé òåîðåòèêî-ìíîæåñòâåííîãî ïîäõîäà íà îñíîâå ïðàêòè÷åñêèõ óïðàæíåíèé ÷åðåç ìîäåëèðîâàíèå ñèòóàöèé íà ïðåäìåòíûõ ñîâîêóïíîñòÿõ, íî áåç ââåäåíèÿ ñîîòâåòñòâóþùåé òåðìèíîëîãèè è ñèìâîëèêè.

1.2 Ïîíÿòèå âû÷èñëèòåëüíûõ íàâûêîâ â íà÷àëüíîì îáó÷åíèè ìàòåìàòèêå è êðèòåðèè èõ ñôîðìèðîâàííîñòè

ñëîæåíèå âû÷èòàíèå íàâûê ïèñüìåííûé

Äåÿòåëüíîñòü ïî îâëàäåíèþ âû÷èñëèòåëüíûìè ïðèåìàìè ìîæíî ðàññìàòðèâàòü êàê ó÷åáíóþ äåÿòåëüíîñòü, âàæíåéøèì êîìïîíåíòîì êîòîðîé ÿâëÿåòñÿ äåéñòâèå êîíòðîëÿ. Ïîä êîíòðîëåì ïðè ïðàâèëüíîñòè âû÷èñëèòåëüíûõ ïðèåìîâ ñëåäóåò ïîíèìàòü êàê ïðîâåðêó âñåé äåÿòåëüíîñòè, íàïðàâëåííîé íà âûïîëíåíèå âû÷èñëèòåëüíûõ ïðèåìîâ, òàê è ïðîâåðêó êîíå÷íîãî ðåçóëüòàòà [31].

 âåê êîìïüþòåðíîé ãðàìîòíîñòè çíà÷èìîñòü íàâûêîâ ïèñüìåííûõ âû÷èñëåíèé, íåñîìíåííî, óìåíüøèëàñü. Âìåñòå ñ òåì, íàó÷èòüñÿ áûñòðî è ïðàâèëüíî âûïîëíÿòü ïèñüìåííûå âû÷èñëåíèÿ âàæíî äëÿ ìëàäøèõ øêîëüíèêîâ êàê â ïëàíå ïðîäîëæàþùåéñÿ ðàáîòû ñ ÷èñëàìè, òàê è â ïëàíå ïðàêòè÷åñêîé çíà÷èìîñòè ýòèõ íàâûêîâ äëÿ äàëüíåéøåãî îáó÷åíèÿ â øêîëå.

Ïðîáëåìà ôîðìèðîâàíèÿ ó ó÷àùèõñÿ âû÷èñëèòåëüíûõ óìåíèé âñåãäà ïðèâëåêàëà îñîáîå âíèìàíèå ïñèõîëîãîâ, äèäàêòîâ, ìåòîäèñòîâ, ó÷èòåëåé.  ìåòîäèêå ìàòåìàòèêè èçâåñòíû èññëåäîâàíèÿ Å.Ñ. Äóáèí÷óê, À.À. Ñòîëÿðà, Ñ.Ñ. Ìèíàåâîé, Í.Ë. Ñòåôàíîâîé, ß.Ô. ×åêìàðåâà, Ì.À. Áàíòîâîé, Ì.È. Ìîðî, Í.Á. Èñòîìèíîé, Ñ.Å. Öàðåâîé è äð.

Êàæäîå èç ýòèõ èññëåäîâàíèé âíåñëî îïðåäåëåííûé âêëàä â ðàçðàáîòêó è ñîâåðøåíñòâîâàíèå òîé ìåòîäè÷åñêîé ñèñòåìû, êîòîðàÿ èñïîëüçîâàëàñü â ïðàêòèêå îáó÷åíèÿ è íàøëî îòðàæåíèå â ó÷åáíèêàõ ìàòåìàòèêè (Ì.È. Ìîðî, Ì.À. Áàíòîâà, Ã.Â. Áåëüòþêîâà, À.Ì. Ïûøêàëî è äð.) [1, 4, 6, 8].

Äåéñòâóþùèå íà ñåãîäíÿøíèé äåíü ïðîãðàììû ïî ìàòåìàòèêå îáåñïå÷èâàþò äîñòàòî÷íûé óðîâåíü ôîðìèðîâàíèÿ âû÷èñëèòåëüíûõ íàâûêîâ øêîëüíèêîâ. Èçó÷åíèå âû÷èñëèòåëüíîãî ïðèåìà ïðîèñõîäèò ïîñëå òîãî, êàê øêîëüíèêè óñâîÿò åãî òåîðåòè÷åñêóþ îñíîâó (îïðåäåëåíèÿ àðèôìåòè÷åñêèõ äåéñòâèé, ñâîéñòâà äåéñòâèé è ñëåäñòâèÿ, âûòåêàþùèå èõ íèõ). Ïðè÷åì â êàæäîì êîíêðåòíîì ñëó÷àå ó÷àùèåñÿ îñîçíàþò ñàì ôàêò èñïîëüçîâàíèÿ ñîîòâåòñòâóþùèõ òåîðåòè÷åñêèõ ïîëîæåíèé, ëåæàùèõ â îñíîâå âû÷èñëèòåëüíîãî ïðèåìà, êîíñòðóèðóþò ðàçëè÷íûå ïðèåìû äëÿ îäíîãî ñëó÷àÿ âû÷èñëåíèé, èñïîëüçóÿ ðàçëè÷íûå òåîðåòè÷åñêèå ïîëîæåíèÿ.

Îñîáåííîñòü èçó÷åíèÿ ïèñüìåííûõ âû÷èñëåíèé îáóñëîâëåíà òåì, ÷òî ó äåòåé áûñòðî ðàçâèâàåòñÿ óñòàëîñòü ïðè ðàáîòå ñ ÷èñëàìè. Ýòî îáúÿñíÿåòñÿ áîëüøèì êîëè÷åñòâîì îïåðàöèé êàê ïèñüìåííîãî ñëîæåíèÿ è âû÷èòàíèÿ, òàê è ïèñüìåííîãî óìíîæåíèÿ è äåëåíèÿ. Èçáåæàòü áûñòðîé óòîìëÿåìîñòè è ñíèæåíèÿ âíèìàíèÿ ïðè èçó÷åíèè ïèñüìåííûõ âû÷èñëåíèé ïîìîæåò ÷åðåäîâàíèå ðàçëè÷íûõ âèäîâ äåÿòåëüíîñòè, îòêàç îò îäíîîáðàçíûõ òðåíèðîâî÷íûõ óïðàæíåíèé, îáó÷åíèå ïðè¸ìàì äåéñòâèÿ êîíòðîëÿ. Ôîðìèðîâàíèå ó ìëàäøèõ øêîëüíèêîâ âû÷èñëèòåëüíûõ íàâûêîâ îñòà¸òñÿ îäíîé èç ãëàâíûõ çàäà÷ íà÷àëüíîãî îáó÷åíèÿ ìàòåìàòèêå, ïîñêîëüêó âû÷èñëèòåëüíûå íàâûêè íåîáõîäèìû ïðè èçó÷åíèè àðèôìåòè÷åñêèõ äåéñòâèé.

Ðàññìîòðèì íåêîòîðûå îïðåäåëåíèÿ ïîíÿòèÿ «íàâûê».

È.Ï. Ïîäëàñûé â [22, ñ.295] îïðåäåëÿåò íàâûê êàê «óìåíèÿ, äîâåäåííûå äî àâòîìàòèçìà, âûñîêîé ñòåïåíè ñîâåðøåíñòâà».

 «Ïåäàãîãè÷åñêîì ýíöèêëîïåäè÷åñêîì ñëîâàðå» [21, ñ.156] «íàâûê - äåéñòâèå, ñôîðìèðîâàííîå ïóòåì ïîâòîðåíèÿ, õàðàêòåðèçóþùååñÿ âûñîêîé ñòåïåíüþ îñâîåíèÿ è îòñóòñòâèåì ïîýëåìåíòíîé ñîçíàòåëüíîé ðåãóëÿöèè è êîíòðîëÿ. Ðàçëè÷àþò íàâûêè ïåðöåïòèâíûå, èíòåëëåêòóàëüíûå, äâèãàòåëüíûå. Èíòåëëåêòóàëüíûé íàâûê - àâòîìàòèçèðîâàííûé ïðèåì, ñïîñîá ðåøåíèÿ âñòðå÷àâøåéñÿ ðàíåå çàäà÷è».

Êóçíåöîâ Â.È. äàåò òàêîå îïðåäåëåíèå â [41, ñ.37]: «ïîä íàâûêàìè ïîíèìàþò àâòîìàòèçèðîâàííûå êîìïîíåíòû ñîçíàòåëüíîé äåÿòåëüíîñòè, âûðàáàòûâàþùèåñÿ â ïðîöåññå å¸ âûïîëíåíèÿ. Íàâûêè ñòàíîâÿòñÿ àâòîìàòè÷åñêèìè â ðåçóëüòàòå áîëåå èëè ìåíåå äëèòåëüíîãî óïðàæíåíèÿ».

Èç âûøå ïåðå÷èñëåííûõ îïðåäåëåíèé ìîæíî ñäåëàòü âûâîä, ÷òî íàâûê - ýòî äåéñòâèå, äîâåäåííîå äî àâòîìàòèçìà â ðåçóëüòàòå ìíîãîêðàòíûõ óïðàæíåíèé.

 ðÿäå èññëåäîâàíèé [6], [12] ðàñêðûâàþòñÿ îñíîâíûå ïîëîæåíèÿ ñèñòåìû ôîðìèðîâàíèÿ âû÷èñëèòåëüíîãî íàâûêà. Îñîáîå âíèìàíèå áûëî óäåëåíî ðàáîòå Ì.À. Áàíòîâîé, ïîñâÿù¸ííîé èçó÷åíèþ äàííîé òåìû.

Ðàñêðîåì ñóòü âû÷èñëèòåëüíîãî ïðè¸ìà. Ïóñòü íàäî ñëîæèòü ÷èñëà 8 è 6. Ïðè¸ì âû÷èñëåíèÿ äëÿ ýòîãî ñëó÷àÿ áóäåò ñîñòîÿòü èç ðÿäà îïåðàöèé:

1.  çàìåíà ÷èñëà 6 ñóììîé óäîáíûõ ñëàãàåìûõ 2 è 4;

2.      ïðèáàâëåíèå ê ÷èñëó 8 ñëàãàåìîãî 2;

.        ïðèáàâëåíèå ê ïîëó÷åííîìó ðåçóëüòàòó, ê ÷èñëó 10, ñëàãàåìîãî 4.

Çäåñü âûáîð îïåðàöèé è ïîðÿäîê èõ âûïîëíåíèÿ îïðåäåëÿåòñÿ ñîîòâåòñòâóþùåé òåîðåòè÷åñêîé îñíîâîé ïðè¸ìà - ïðèìåíåíèåì ñâîéñòâà ïðèáàâëåíèÿ ê ÷èñëó ñóììû (ñî÷åòàòåëüíîå ñâîéñòâî): çàìåíà ÷èñëà 6 ñóììîé óäîáíûõ ñëàãàåìûõ, çàòåì ïðèáàâëåíèå ê ÷èñëó 8 ïîñëåäîâàòåëüíî êàæäîãî ñëàãàåìîãî. Êðîìå òîãî, çäåñü èñïîëüçóþòñÿ è äðóãèå çíàíèÿ, íàïðèìåð, ïðè âûïîëíåíèè ïåðâîé îïåðàöèè èñïîëüçóåòñÿ çíàíèå ñîñòàâà ÷èñåë ïåðâîãî äåñÿòêà: 10=8+2 è 6=2+4.

Äëÿ áîëüøåé íàãëÿäíîñòè ñòðóêòóðó âû÷èñëèòåëüíîãî ïðèåìà ìû ïðåäñòàâèëè â âèäå ñõåìû:


Òàêèì îáðàçîì, ìîæíî ñêàçàòü, ÷òî ïðè¸ì âû÷èñëåíèÿ íàä äàííûìè ÷èñëàìè ñêëàäûâàåòñÿ èç ðÿäà ïîñëåäîâàòåëüíûõ îïåðàöèé, âûïîëíåíèå êîòîðûõ ïðèâîäèò ê íàõîæäåíèþ ðåçóëüòàòà òðåáóåìîãî àðèôìåòè÷åñêîãî äåéñòâèÿ íàä ýòèìè ÷èñëàìè; ïðè÷¸ì âûáîð îïåðàöèé â êàæäîì ïðè¸ìå îïðåäåëÿåòñÿ òåìè òåîðåòè÷åñêèìè ïîëîæåíèÿìè, êîòîðûå èñïîëüçóþòñÿ â êà÷åñòâå òåîðåòè÷åñêîé îñíîâû.

 áîëüøèíñòâå ñëó÷àåâ óæå â íà÷àëüíûõ êëàññàõ øêîëû äëÿ íàõîæäåíèÿ ðåçóëüòàòà àðèôìåòè÷åñêîãî äåéñòâèÿ ìîæíî èñïîëüçîâàòü â êà÷åñòâå òåîðåòè÷åñêîé îñíîâû ðàçëè÷íûå òåîðåòè÷åñêèå ïîëîæåíèÿ, ÷òî ïðèâîäèò ê ðàçíûì ïðè¸ìàì âû÷èñëåíèé.

Íàïðèìåð:

1.  15×6=15+15+15+15+15+15=90;

2.      15×6=(10+5)×6=10×6+5×6=90;

.        15×6=15×(2×3)=(15×2)×3=90.

Òåîðåòè÷åñêîé îñíîâîé äëÿ âûáîðà îïåðàöèé, ñîñòàâëÿþùèõ ïåðâûé èç ïðèâåä¸ííûõ ïðè¸ìîâ, ÿâëÿåòñÿ êîíêðåòíûé ñìûñë äåéñòâèÿ óìíîæåíèÿ; òåîðåòè÷åñêîé îñíîâîé âòîðîãî ïðè¸ìà - ñâîéñòâî óìíîæåíèÿ ñóììû íà ÷èñëî, à òðåòüåãî ïðè¸ìà - ñâîéñòâî óìíîæåíèÿ ÷èñëà íà ïðîèçâåäåíèå. Îïåðàöèè, ñîñòàâëÿþùèå ïðè¸ì âû÷èñëåíèÿ, èìåþò ðàçíûé õàðàêòåð. Ìíîãèå èç íèõ ñàìè ÿâëÿþòñÿ àðèôìåòè÷åñêèìè äåéñòâèÿìè. Ýòè îïåðàöèè èãðàþ îñîáóþ ðîëü â ïðîöåññå îâëàäåíèÿ âû÷èñëèòåëüíûìè ïðè¸ìàìè: âûïîëíåíèå ïðè¸ìà â ñâ¸ðíóòîì ïëàíå ñâîäèòñÿ ê âûäåëåíèþ è âûïîëíåíèþ èìåííî îïåðàöèé, ÿâëÿþùèõñÿ àðèôìåòè÷åñêèìè äåéñòâèÿìè. Ïîýòîìó îïåðàöèè, ÿâëÿþùèåñÿ àðèôìåòè÷åñêèìè äåéñòâèÿìè, ìîæíî íàçâàòü îñíîâíûìè. Íàïðèìåð, äëÿ ñëó÷àÿ 16×4 îñíîâíûìè áóäóò îïåðàöèè: 10×4=40, 6×4=24, 40+24=64. Âñå äðóãèå îïåðàöèè - âñïîìîãàòåëüíûå.

×èñëî îïåðàöèé, âûïîëíÿåìûõ ïðè íàõîæäåíèè ðåçóëüòàòà àðèôìåòè÷åñêîãî äåéñòâèÿ, ìîæåò ñîêðàùàòüñÿ ïî ìåðå îâëàäåíèÿ ïðèåìîì. Íàïðèìåð, äëÿ ñëó÷àåâ âèäà 8+2 íà íà÷àëüíîé ñòàäèè ôîðìèðîâàíèÿ íàâûêà ó÷åíèê âûïîëíÿåò òðè îïåðàöèè: çàìåíà ÷èñëà 2 ñóììîé 1 è 1, ïðèáàâëåíèå ÷èñëà 1 ê 8 , ïðèáàâëåíèå ÷èñëà 1 ê ðåçóëüòàòó, ê 9. Îäíàêî ïîñëå çàó÷èâàíèÿ òàáëèöû ñëîæåíèÿ ó÷åíèê âûïîëíÿåò îäíó îïåðàöèþ - îí ñðàçó ñâÿçûâàåò ÷èñëà 8 è 2 ñ ÷èñëîì 10. Êàê âèäèì, çäåñü ïðèåì êàê áû ïåðåðàñòàåò â äðóãîé.

Îáùåèçâåñòíî, ÷òî òåîðåòè÷åñêîé îñíîâîé âû÷èñëèòåëüíûõ ïðè¸ìîâ ñëóæàò îïðåäåëåíèÿ àðèôìåòè÷åñêèõ äåéñòâèé, ñâîéñòâà äåéñòâèé è ñëåäñòâèÿ, âûòåêàþùèå èç íèõ. Èìåÿ ýòî â âèäó è ïðèíèìàÿ âî âíèìàíèå ìåòîäè÷åñêèé àñïåêò, ìîæíî âûäåëèòü ãðóïïû ïðè¸ìîâ â ñîîòâåòñòâèè ñ èõ îáùåé òåîðåòè÷åñêîé îñíîâîé. Ñóùåñòâóþò ðàçëè÷íûå êëàññèôèêàöèè âû÷èñëèòåëüíûõ ïðè¸ìîâ. Ðàññìîòðèì áîëåå äåòàëüíî êëàññèôèêàöèþ âû÷èñëèòåëüíûõ ïðè¸ìîâ, ïðåäëîæåííóþ Áàíòîâîé Ì.À., îñíîâàíèåì êîòîðîé ÿâëÿåòñÿ îáùíîñòü òåîðåòè÷åñêîé îñíîâû âû÷èñëèòåëüíûõ ïðè¸ìîâ, èçó÷àåìûõ â íà÷àëüíûõ êëàññàõ. Äàííóþ êëàññèôèêàöèþ ìû ïðåäñòàâèëè â âèäå òàáëèöû [6].

Òàáëèöà 1.

Êëàññèôèêàöèÿ âû÷èñëèòåëüíûõ ïðè¸ìîâ ïî îáùíîñòè òåîðåòè÷åñêîé îñíîâû

Ãðóïïû âû÷èñëèòåëüíûõ ïðè¸ìîâ Òåîðåòè÷åñêàÿ îñíîâà

Óñòíûå

Ïèñüìåííûå


Òàáëè÷íûå

Âíåòàáëè÷íûå


1. êîíêðåòíûé ñìûñë àðèôìåòè÷åñêèõ äåéñòâèé

à±2,3,4; 24:8; 6·5 è ò.ä.



2. çàêîíû è ñâîéñòâà àðèôìåòè÷åñêèõ äåéñòâèé

à+5,6,7,8,9 è ò.ä.

67±4; 67±40; 27±3; 17·3; 96:8; 120:45; 18×40 è ò.ä.

49+23; 90-36, è ò.ä. ïèñüìåííûå ïðèåìû ñëîæåíèÿ è âû÷èòàíèÿ.

3. ñâÿçè ìåæäó êîìïîíåíòàìè è ðåçóëüòàòàìè àðèôìåòè÷åñêèõ äåéñòâèé

à-5,6,7,8,9; 36:9 è ò.ä.

9-7; 60:3; 54:18 è ò.ä.

Ïèñüìåííûå ïðè¸ìû ñëîæåíèÿ è âû÷èòàíèÿ

4. èçìåíåíèå ðåçóëüòàòîâ àðèôìåòè÷åñêèõ äåéñòâèé


46+19; 25×5; 300:50 è ò.ä.

512-298 è ò.ä

5. âîïðîñû íóìåðàöèè ÷èñåë

à±1

10+6;16-10; 1200:100; 40±20 è ò.ä.

Ïèñüìåííûå ïðè¸ìû ñëîæåíèÿ è âû÷èòàíèÿ

6. ïðàâèëà

à±0

à×1; à:1; à×0; à:0; 0:à



Êàê âèäèì, âñå âû÷èñëèòåëüíûå ïðè¸ìû ñòðîÿòñÿ íà òîé èëè èíîé òåîðåòè÷åñêîé îñíîâå, ïðè÷¸ì â êàæäîì ñëó÷àå ó÷àùèéñÿ îñîçíàþò ñàì ôàêò èñïîëüçîâàíèÿ ñîîòâåòñòâóþùèõ òåîðåòè÷åñêèõ ïîëîæåíèé, ëåæàùèõ â îñíîâå âû÷èñëèòåëüíûõ ïðè¸ìîâ.

Ýòî ðåàëüíàÿ ïðåäïîñûëêà îâëàäåíèÿ ó÷àùèìèñÿ îñîçíàííûìè âû÷èñëèòåëüíûìè íàâûêàìè.

Îáùíîñòü ïîäõîäîâ êàæäîé ãðóïïû - åñòü çàëîã îâëàäåíèÿ ó÷àùèìèñÿ îáîáù¸ííûìè âû÷èñëèòåëüíûìè íàâûêàìè.

Âû÷èñëèòåëüíûé íàâûê - ýòî âûñîêàÿ ñòåïåíü îâëàäåíèÿ âû÷èñëèòåëüíûìè ïðè¸ìàìè. Ïðèîáðåñòè âû÷èñëèòåëüíûé íàâûê - çíà÷èò, äëÿ êàæäîãî ñëó÷àÿ çíàòü êàêèå îïåðàöèè è â êàêîì ïîðÿäêå ñëåäóåò âûïîëíÿòü, ÷òîáû íàéòè ðåçóëüòàò àðèôìåòè÷åñêîãî äåéñòâèÿ, è âûïîëíÿòü ýòè îïåðàöèè äîñòàòî÷íî áûñòðî.  êà÷åñòâå ñôîðìèðîâàííîñòè ïîëíîöåííîãî âû÷èñëèòåëüíîãî íàâûêà ìîæíî âûäåëèòü ñëåäóþùèå êðèòåðèè: ïðàâèëüíîñòü, îñîçíàííîñòü, ðàöèîíàëüíîñòü, îáîáù¸ííîñòü, àâòîìàòèçì è ïðî÷íîñòü. Âìåñòå ñ òåì, ó÷èòûâàÿ, ÷òî ó÷åíèê ïðè âûïîëíåíèè âû÷èñëèòåëüíîãî ïðè¸ìà äîëæåí îòäàâàòü îò÷¸ò â ïðàâèëüíîñòè è öåëåñîîáðàçíîñòè êàæäîãî âûïîëíåííîãî äåéñòâèÿ, òî åñòü ïîñòîÿííî êîíòðîëèðîâàòü ñåáÿ, ñîîòíîñÿ âûïîëíÿåìûå îïåðàöèè ñ îáðàçöîì - ñèñòåìîé îïåðàöèé, ìû îòíîñèì ê îñíîâíûì êðèòåðèÿì è ñòåïåíü îâëàäåíèÿ óìåíèåì êîíòðîëèðîâàòü ñåáÿ ïðè âûïîëíåíèè âû÷èñëèòåëüíîãî ïðè¸ìà.

Î ñôîðìèðîâàííîñòè ëþáîãî óìñòâåííîãî äåéñòâèÿ ìîæíî ãîâîðèòü ëèøü òîãäà, êîãäà ó÷åíèê ñàì, áåç âìåøàòåëüñòâà ñî ñòîðîíû, âûïîëíÿåò âñå îïåðàöèè ïðèâîäÿùèå ê ðåøåíèþ.

Íàìè áûëè âûäåëåíû è ïðåäñòàâëåíû â òàáëèöå óðîâíè è êðèòåðèè ñôîðìèðîâàííîñòè âû÷èñëèòåëüíîãî íàâûêà [19, Ñ. 7-9].

Òàáëèöà 2.

Êðèòåðèè è óðîâíè ñôîðìèðîâàííîñòè âû÷èñëèòåëüíîãî íàâûêà

óðîâíè êðèòåðèè

âûñîêèé

ñðåäíèé

íèçêèé

1. ïðàâèëüíîñòü

Ó÷åíèê ïðàâèëüíî íàõîäèò ðåçóëüòàò àðèôìåòè÷åñêîãî äåéñòâèÿ íàä äàííûìè ÷èñëàìè.

Ðåá¸íîê èíîãäà äîïóñêàåò îøèáêè â ïðîìåæóòî÷íûõ îïåðàöèÿõ.

Ó÷åíèê ÷àñòî íåâåðíî íàõîäèò ðåçóëüòàò àðèôìåòè÷åñêîãî äåéñòâèÿ, ò.å. íå ïðàâèëüíî âûáèðàåò è âûïîëíÿåò îïåðàöèè.

2. îñîçíàííîñòü

Ó÷åíèê îñîçíà¸ò, íà îñíîâå êàêèõ çíàíèé âûáðàíû îïåðàöèè. Ìîæåò îáúÿñíèòü ðåøåíèå ïðèìåðà.

Ó÷åíèê îñîçíà¸ò íà îñíîâå êàêèõ çíàíèé âûáðàíû îïåðàöèè, íî íå ìîæåò ñàìîñòîÿòåëüíî îáúÿñíèòü, ïî÷åìó ðåøàë òàê, à íå èíà÷å

Ðåá¸íîê íå îñîçíà¸ò ïîðÿäîê âûïîëíåíèÿ îïåðàöèé.

3. ðàöèîíàëüíîñòü

Ó÷åíèê, ñîîáðàçóÿñü ñ êîíêðåòíûìè óñëîâèÿìè, âûáèðàåò äëÿ äàííîãî ñëó÷àÿ áîëåå ðàöèîíàëüíûé ïðè¸ì. Ìîæåò ñêîíñòðóèðîâàòü íåñêîëüêî ïðè¸ìîâ è âûáðàòü áîëåå ðàöèîíàëüíûé.

Ó÷åíèê, ñîîáðàçóÿñü ñ êîíêðåòíûìè óñëîâèÿìè, âûáèðàåò äëÿ äàííîãî ñëó÷àÿ áîëåå ðàöèîíàëüíûé ïðè¸ì, íî â íåñòàíäàðòíûõ óñëîâèÿõ ïðèìåíèòü çíàíèÿ íå ìîæåò.

Ðåá¸íîê íå ìîæåò âûáðàòü îïåðàöèè, âûïîëíåíèå êîòîðûõ áûñòðåå ïðèâîäèò ê ðåçóëüòàòó àðèôìåòè÷åñêîãî äåéñòâèÿ.

4. îáîáù¸ííîñòü 

Ó÷åíèê ìîæåò ïðèìåíèòü ïðè¸ì âû÷èñëåíèÿ ê áîëüøåìó ÷èñëó ñëó÷àåâ, òî åñòü îí ñïîñîáåí ïåðåíåñòè ïðè¸ì âû÷èñëåíèÿ íà íîâûå ñëó÷àè.

Ó÷åíèê ìîæåò ïðèìåíèòü ïðè¸ì âû÷èñëåíèÿ ê áîëüøåìó ÷èñëó ñëó÷àåâ òîëüêî â ñòàíäàðòíûõ óñëîâèÿõ.

Ó÷åíèê íå ìîæåò ïðèìåíèòü ïðè¸ì âû÷èñëåíèÿ ê áîëüøåìó ÷èñëó ñëó÷àåâ.

5. àâòîìàòèçì

Ó÷åíèê âûäåëÿåò è âûïîëíÿåò îïåðàöèè áûñòðî è â ñâ¸ðíóòîì âèäå.

Ó÷åíèê íå âñåãäà âûïîëíÿåò îïåðàöèè áûñòðî è â ñâ¸ðíóòîì âèäå.

Ó÷åíèê ìåäëåííî âûïîëíÿåò ñèñòåìó îïåðàöèé, îáúÿñíÿÿ êàæäûé øàã ñâîèõ äåéñòâèé.

6. ïðî÷íîñòü

Ó÷åíèê ñîõðàíÿåò ñôîðìèðîâàííûå âû÷èñëèòåëüíûå íàâûêè íà äëèòåëüíîå âðåìÿ.

Ó÷åíèê ñîõðàíÿåò ñôîðìèðîâàííûå âû÷èñëèòåëüíûå íàâûêè íà êîðîòêèé ñðîê.

Ðåá¸íîê íå ñîõðàíÿåò ñôîðìèðîâàííûå âû÷èñëèòåëüíûå íàâûêè.


Ìåòîäèêà ðàáîòû íàä êàæäûì îòäåëüíûì ïðèåìîì ïðåäóñìàòðèâàåò ðÿä ýòàïîâ [19, Ñ.10-13].

.        Ïîäãîòîâêà ê ââåäåíèþ íîâîãî ïðèåìà. Íà ýòîì ýòàïå îáåñïå÷èâàåòñÿ ãîòîâíîñòü ê óñâîåíèþ âû÷èñëèòåëüíîãî ïðèåìà. Ó÷àùèåñÿ äîëæíû ïîíÿòü òå òåîðåòè÷åñêèå ïîëîæåíèÿ, íà êîòîðûõ îñíîâûâàåòñÿ âû÷èñëèòåëüíûé ïðèåì, à òàêæå îâëàäåòü êàæäîé îïåðàöèåé ñîñòàâëÿþùåé åãî. ×òîáû îáåñïå÷èòü ñîîòâåòñòâóþùóþ ïîäãîòîâêó, íàäî ïðîàíàëèçèðîâàòü ïðèåì è óñòàíîâèòü, êàêèìè çíàíèÿìè äîëæåí îâëàäåòü ó÷åíèê è êàêèå âû÷èñëèòåëüíûå íàâûêè îí óæå ïðèîáðåë.

.        Îçíàêîìëåíèå ñ âû÷èñëèòåëüíûì ïðèåìîì. Íà ýòîì ýòàïå ó÷åíèêè îñâàèâàþò âû÷èñëèòåëüíûé ïðèåì: êàêèå îïåðàöèè íàäî âûïîëíÿòü, â êàêîì ïîðÿäêå è ïî÷åìó èìåííî òàê è ìîæíî íàéòè ðåçóëüòàò àðèôìåòè÷åñêîãî äåéñòâèÿ. Ïðè ââåäåíèè áîëüøèíñòâà âû÷èñëèòåëüíûõ ïðèåìîâ öåëåñîîáðàçíî èñïîëüçîâàòü íàãëÿäíîñòü.

.        Çàêðåïëåíèå ïðèåìà è âûðàáîòêà âû÷èñëèòåëüíîãî íàâûêà. Íà ýòîì ýòàïå ó÷èòåëþ âàæíî ïðåäóñìîòðåòü ðÿä ñòàäèé ñòàíîâëåíèÿ ó äåòåé âû÷èñëèòåëüíûõ íàâûêîâ.

à) çàêðåïëåíèå çíàíèÿ ïðèåìà: ó÷àùèåñÿ ñàìîñòîÿòåëüíî âûïîëíÿþò âñå îïåðàöèè, ñîñòàâëÿþùèå åãî, êîììåíòèðóÿ êàæäîå äåéñòâèå âñëóõ è îäíîâðåìåííî ïðîèçâîäÿ ðàçâåðíóòóþ çàïèñü, åñëè îíà áûëà ïðåäóñìîòðåíà íà ïðåäûäóùåì ýòàïå.

á) ÷àñòè÷íîå ñâåðòûâàíèå âûïîëíåíèÿ îïåðàöèé: ó÷àùèåñÿ ïðî ñåáÿ âûäåëÿþò èõ, îáîñíîâûâàþò âûáîð è ïîðÿäîê ðàáîòû, âñëóõ æå ïðîãîâàðèâàþò âûïîëíåíèå îñíîâíûõ äåéñòâèé, ò.å. ïðîìåæóòî÷íûõ âû÷èñëåíèé.

â) ïîëíîå ñâåðòûâàíèå âûïîëíåíèÿ îïåðàöèé: ó÷àùèåñÿ ïðî ñåáÿ âûäåëÿþò è âûïîëíÿþò âñå äåéñòâèÿ, ò.å. ïðîèñõîäèò ñâåðòûâàíèå îñíîâíûõ îïåðàöèé.

ã) ïðåäåëüíîå ñâåðòûâàíèå âûïîëíåíèÿ îïåðàöèé: ó÷àùèåñÿ ïðîèçâîäÿò âñå äåéñòâèÿ â ñâåðíóòîì âèäå, ïðåäåëüíî áûñòðî, ò.å. îâëàäåâàþò âû÷èñëèòåëüíûìè íàâûêàìè. Ýòî äîñòèãàåòñÿ â ðåçóëüòàòå âûïîëíåíèÿ äîñòàòî÷íîãî ÷èñëà òðåíèðîâî÷íûõ óïðàæíåíèé.

Ñòîèò îòìåòèòü, ÷òî íà âñåõ ñòàäèÿõ ôîðìèðîâàíèÿ âû÷èñëèòåëüíîãî íàâûêà ðåøàþùóþ ðîëü èãðàþò óïðàæíåíèÿ íà ïðèìåíåíèå âû÷èñëèòåëüíûõ ïðèåìîâ, ïðè÷åì ñîäåðæàíèå çàäàíèé äîëæíî ïîä÷èíÿòüñÿ öåëÿì, êîòîðûå ñòàâÿòñÿ íà ñîîòâåòñòâóþùèõ ñòàäèÿõ. Âàæíî, ÷òîáû:

·        áûëî äîñòàòî÷íîå ÷èñëî óïðàæíåíèé ïðè îòðàáîòêå âû÷èñëèòåëüíîãî íàâûêà;

·        îíè áûëè ðàçíîîáðàçíûìè êàê ïî ÷èñëîâûì äàííûì, òàê è ïî ôîðìå;

·        â çàäàíèÿõ ïðåäóñìàòðèâàëèñü àíàëîãèè è ïðåäëàãàëèñü óïðàæíåíèÿ íà ñðàâíåíèå ïðèåìîâ, ñõîäíûõ â òîì èëè èíîì îòíîøåíèè. [19, C. 13].

Íàçâàííûå ñòàäèè íå èìåþò ÷åòêèõ ãðàíèö: îäíà ïîñòåïåííî ïåðåõîäèò â äðóãóþ. Íàäî èìåòü ââèäó, ÷òî ñâåðòûâàíèå âûïîëíåíèÿ îïåðàöèé íå ó âñåõ ó÷àùèõñÿ ïðîèñõîäèò îäíîâðåìåííî, ïîýòîìó âàæíî âðåìÿ îò âðåìåíè âîçâðàùàòüñÿ ê ïîëíîìó îáúÿñíåíèþ è ðàçâåðíóòîé çàïèñè. Ïðîäîëæèòåëüíîñòü êàæäîé ñòàäèè îïðåäåëÿåòñÿ ñëîæíîñòüþ ïðèåìà, ïîäãîòîâëåííîñòüþ ó÷àùèõñÿ è ïîñòàâëåííûìè öåëÿìè.

Íàâûê ñêëàäûâàåòñÿ íåðàâíîìåðíî (äëÿ íåãî õàðàêòåðíà îñòàíîâêà, çàäåðæêà). Ýòî ñâÿçàíî ñ óòîìëåíèåì, ïîòåðåé èíòåðåñà, óõóäøåíèåì ìåòîäè÷åñêèõ ïðèåìîâ, èçìåíåíèåì îáñòàíîâêè, íîâûìè òðóäíîñòÿìè. Íà ôîðìèðîâàíèå íàâûêà âëèÿþò èíäèâèäóàëüíûå îñîáåííîñòè øêîëüíèêà. Áîëüøîå çíà÷åíèå èìååò åãî îòíîøåíèå ê äàííîé äåÿòåëüíîñòè. Òðóäíî âûðàáîòàòü íàâûê ó ðåáåíêà, åñëè îí ñ÷èòàåò, ÷òî ñîîòâåòñòâóþùàÿ äåÿòåëüíîñòü åìó ñîâåðøåííî íå íóæíà. Òàêæå âëèÿåò èçìåíåíèå ðàáîòîñïîñîáíîñòè â òå÷åíèå íåäåëè (â êàêîé äåíü ïðîâîäÿòñÿ óïðàæíåíèÿ), âðåìåíè ñóòîê (óòðîì, äíåì èëè âå÷åðîì). Ïîýòîìó îâëàäåíèå íîâûìè è ñëîæíûìè íàâûêàìè ëó÷øå íà÷èíàòü â ïåðâîé ïîëîâèíå äíÿ ñðåäíèõ äíåé íåäåëè, à ïîâòîðåíèå ïðîâîäèòü â äðóãîå âðåìÿ.

Íàâûêè ìîãóò îñëàáëÿòüñÿ, ÷òî ïðîèñõîäèò âñëåäñòâèå èõ íå èñïîëüçîâàíèÿ íà ïðàêòèêå, îòñóòñòâèÿ ñèñòåìàòè÷íîñòè, èç-çà äëèòåëüíûõ ïåðåðûâîâ â ïîâòîðåíèÿõ, áîëåçíè, ïåðåóòîìëåíèÿ. Áûñòðî óòðà÷èâàþòñÿ ñëîæíûå, íåäîñòàòî÷íî çàêðåïëåííûå íàâûêè. Ïåäàãîãó ñëåäóåò ó÷èòûâàòü ýòî ïðè ðåøåíèè âîïðîñà î ïîääåðæàíèè è ñîõðàíåíèè íàâûêà. Äëÿ âîññòàíîâëåíèÿ íàâûêà òðåáóåòñÿ âíîâü ïîâòîðèòü ñîîòâåòñòâóþùèå óïðàæíåíèÿ.

Íå ñëåäóåò ñ÷èòàòü, ÷òî îâëàäåíèå íàâûêîì äîñòèãàåòñÿ ïóòåì ïðîá è îøèáîê íà îñíîâå ìåõàíè÷åñêîé òðåíèðîâêè. Íàó÷íûå äàííûå è ïðàêòèêà ïîêàçûâàþò, ÷òî ìåõàíè÷åñêàÿ âûðàáîòêà íàâûêà èäåò â íåñêîëüêî ðàç ìåäëåííåå, ÷åì ñîçíàòåëüíàÿ (ñ óïîðîì íà ïîíèìàíèå ñóòè äåéñòâèé, õàðàêòåðà äîïóñêàåìûõ îøèáîê, èõ ïðè÷èí è òàê äàëåå). Ïî íàøåìó ìíåíèþ, âû÷èñëèòåëüíûé íàâûê ìîæíî ñ÷èòàòü ýôôåêòèâíûì, åñëè â ðàìêàõ äàííîãî ñïîñîáà âû÷èñëåíèé ïîëó÷åíèå ïðàâèëüíîãî ðåçóëüòàòà äîñòèãàåòñÿ ìèíèìèçàöèåé çàòðàò óìñòâåííûõ ðåñóðñîâ. Ò.å. ó÷åíèê, èñïîëüçóÿ ðàçëè÷íûå çíàíèÿ, ìîæåò âûáðàòü íå îáÿçàòåëüíî áîëåå ðàöèîíàëüíûé âû÷èñëèòåëüíûé ïðèåì ñ òî÷êè çðåíèÿ ìåòîäèêè, à áîëåå óäîáíûé (ëåãêèé) äëÿ íåãî â êîíêðåòíîé ñèòóàöèè, áûñòðåå äðóãèõ ïðèâîäÿùèé ê ðåçóëüòàòó. Ôîðìèðîâàíèå âû÷èñëèòåëüíûõ óìåíèé è íàâûêîâ - ñëîæíûé äëèòåëüíûé ïðîöåññ, ýôôåêòèâíîñòü êîòîðîãî âî ìíîãîì çàâèñèò îò èíäèâèäóàëüíûõ îñîáåííîñòåé ðåáåíêà, óðîâíÿ åãî ïîäãîòîâêè è ñïîñîáîâ îðãàíèçàöèè âû÷èñëèòåëüíîé äåÿòåëüíîñòè. Íåîáõîäèìî âûáèðàòü òàêèå ñïîñîáû îðãàíèçàöèè âû÷èñëèòåëüíîé äåÿòåëüíîñòè ìëàäøèõ øêîëüíèêîâ, êîòîðûå ñïîñîáñòâóþò íå òîëüêî ôîðìèðîâàíèþ ïðî÷íûõ îñîçíàííûõ âû÷èñëèòåëüíûõ óìåíèé è íàâûêîâ, íî è âñåñòîðîííåìó ðàçâèòèþ ëè÷íîñòè ðåáåíêà. Íà ñåãîäíÿøíèé äåíü, ðàáîòàÿ â ëþáîé ñèñòåìå îáó÷åíèÿ, ó÷èòåëü ìîæåò è äîëæåí îðãàíèçîâàòü ðàáîòó ïî ôîðìèðîâàíèþ âû÷èñëèòåëüíûõ óìåíèé è íàâûêîâ ó ó÷àùèõñÿ òàêèì îáðàçîì, ÷òîáû óäîâëåòâîðèòü âñåì âûøåïåðå÷èñëåííûì òðåáîâàíèÿì ñîâðåìåííîé øêîëû [5, C. 68].

Òàêèì îáðàçîì, â äàííîì ïàðàãðàôå ìû ðàññìîòðåëè ïîíÿòèå íàâûêà, âûäåëèëè âû÷èñëèòåëüíûå, îõàðàêòåðèçîâàëè èõ êà÷åñòâà, îñîáåííîñòè ôîðìèðîâàíèÿ. Ðàññìîòðåëè âû÷èñëèòåëüíûå ïðèåìû êàê òåîðåòè÷åñêóþ îñíîâó ôîðìèðîâàíèÿ âû÷èñëèòåëüíûõ íàâûêîâ, îïèñàëè êðèòåðèè èõ ñôîðìèðîâàííîñòè.

1.3 Ìåòîäè÷åñêèå ïðèåìû ôîðìèðîâàíèÿ âû÷èñëèòåëüíûõ íàâûêîâ ïèñüìåííîãî ñëîæåíèÿ è âû÷èòàíèÿ â íà÷àëüíîì êóðñå ìàòåìàòèêè

.3.1 Ìåòîäèêà ôîðìèðîâàíèÿ ïèñüìåííûõ ïðèåìîâ ñëîæåíèÿ è âû÷èòàíèÿ, ïîäãîòîâèòåëüíàÿ ðàáîòà

Ñëîæåíèå îäíîçíà÷íûõ ÷èñåë ìîæíî âûïîëíèòü, îñíîâûâàÿñü íà îïðåäåëåíèè ýòîãî äåéñòâèÿ, íî ÷òîáû âñÿêèé ðàç íå îáðàùàòüñÿ ê îïðåäåëåíèþ, âñå ñóììû, êîòîðûå ïîëó÷àþòñÿ ïðè ñëîæåíèè îäíîçíà÷íûõ ÷èñåë, çàïèñûâàþò â îñîáóþ òàáëèöó, íàçûâàåìóþ òàáëèöåé îäíîçíà÷íûõ ÷èñåë, è çàïîìèíàþò.

Åñòåñòâåííî, ñìûñë ñëîæåíèÿ ñîõðàíÿåòñÿ è äëÿ ìíîãîçíà÷íûõ ÷èñåë, íî ïðàêòè÷åñêîå âûïîëíåíèå ñëîæåíèÿ ïðîèñõîäèò ïî îñîáûì ïðàâèëàì. Ñóììó ìíîãîçíà÷íûõ ÷èñåë îáû÷íî íàõîäÿò, âûïîëíÿÿ ñëîæåíèå ñòîëáèêîì.

Ïðè ñëîæåíèè è âû÷èòàíèè ìíîãîçíà÷íûõ ÷èñåë â îñíîâå äåéñòâèé ó÷àùèõñÿ ëåæèò àëãîðèòì ñëîæåíèÿ, è, ñîîòâåòñòâåííî, âû÷èòàíèÿ [52, Ñ.176]

Ðàññìîòðèì òåîðåòè÷åñêèå îñíîâû âûïîëíåíèÿ ïèñüìåííîãî ñëîæåíèÿ è âû÷èòàíèÿ.

Âûÿñíèì, êàêèì îáðàçîì âîçíèêàåò ýòîò àëãîðèòì, êàêèå òåîðåòè÷åñêèå ïîëîæåíèÿ ëåæàò â åãî îñíîâå.

Ïðåäñòàâèì ñëàãàåìûå 341 è 7238 â âèäå ñóììû ñòåïåíåé äåñÿòè ñ êîýôôèöèåíòàìè:

 

Ðàñêðîåì ñêîáêè â ïîëó÷åííîì âûðàæåíèè, ïîìåíÿåì ìåñòàìè è ñãðóïïèðóåì ñëàãàåìûå òàê, ÷òîáû åäèíèöû îêàçàëèñü ðÿäîì ñ åäèíèöàìè, äåñÿòêè ñ äåñÿòêàìè è ò.ä. Âñå ýòè ïðåîáðàçîâàíèÿ ìîæíî âûïîëíèòü íà îñíîâàíèè ñîîòâåòñòâóþùèõ ñâîéñòâ ñëîæåíèÿ. Ñâîéñòâî àññîöèàòèâíîñòè ðàçðåøàåò çàïèñàòü âûðàæåíèå áåç ñêîáîê:

 

Íà îñíîâàíèè ñâîéñòâà êîììóòàòèâíîñòè ïîìåíÿåì ìåñòàìè ñëàãàåìûå:

 

Ñîãëàñíî ñâîéñòâó àññîöèàòèâíîñòè ïðîèçâåäåì ãðóïïèðîâêó:

 

Âûíåñåì çà ñêîáêè â ïåðâîé âûäåëåííîé ãðóïïå ÷èñëî 102 , à âî âòîðîé - 10 . Ýòî ìîæíî ñäåëàòü â ñîîòâåòñòâèè ñî ñâîéñòâîì äèñòðèáóòèâíîñòè óìíîæåíèÿ îòíîñèòåëüíî ñëîæåíèÿ:

 

Èòàê, ñëîæåíèå äàííûõ ÷èñåë 341 è 7238 ñâåëîñü ê ñëîæåíèþ îäíîçíà÷íûõ ÷èñåë, èçîáðàæåííûõ öèôðàìè ñîîòâåòñòâóþùèõ ðàçðÿäîâ. Ýòè ñóììû íàõîäèì ïî òàáëèöå ñëîæåíèÿ:

 

Ïîëó÷åííîå âûðàæåíèå åñòü äåñÿòè÷íàÿ çàïèñü ÷èñëà 7579.

Âèäèì, ÷òî â îñíîâå àëãîðèòìà ñëîæåíèÿ ìíîãîçíà÷íûõ ÷èñåë ëåæàò ñëåäóþùèå òåîðåòè÷åñêèå ôàêòû:

ñïîñîá çàïèñè ÷èñåë â äåñÿòè÷íîé ñèñòåìå ñ÷èñëåíèÿ;

ñâîéñòâà êîììóòàòèâíîñòè è àññîöèàòèâíîñòè ñëîæåíèÿ;

äèñòðèáóòèâíîñòü óìíîæåíèÿ îòíîñèòåëüíî ñëîæåíèÿ;

òàáëèöà ñëîæåíèÿ îäíîçíà÷íûõ ÷èñåë.

Íå òðóäíî óáåäèòüñÿ â òîì, ÷òî â ñëó÷àå ñëîæåíèÿ ÷èñåë «ñ ïåðåõîäîì ÷åðåç äåñÿòîê» òåîðåòè÷åñêèå îñíîâû àëãîðèòìà ñëîæåíèÿ áóäóò òåìè æå. Ðàññìîòðèì, íàïðèìåð, ñóììó 748+436.

Ïðåäñòàâèì ñëàãàåìûå â âèäå ñóììû ñòåïåíåé äåñÿòè ñ ñîîòâåòñòâóþùèìè êîýôôèöèåíòàìè:

 

Âîñïîëüçóåìñÿ ñâîéñòâàìè ñëîæåíèÿ è äèñòðèáóòèâíîñòüþ óìíîæåíèÿ îòíîñèòåëüíî ñëîæåíèÿ è ïðåîáðàçóåì ïîëó÷åííîå âûðàæåíèå ê òàêîìó âèäó:

 

Âèäèì, ÷òî â ýòîì ñëó÷àå ñëîæåíèå äàííûõ ÷èñåë òàêæå ñâåëîñü ê ñëîæåíèþ îäíîçíà÷íûõ ÷èñåë, íî ñóììû 7+4, 8+6 ïðåâûøàþò 10 è ïîýòîìó ïîñëåäíåå âûðàæåíèå íå ÿâëÿåòñÿ äåñÿòè÷íîé çàïèñüþ ÷èñëà. Íåîáõîäèìî ñäåëàòü òàê, ÷òîáû êîýôôèöèåíòû ïåðåä ñòåïåíÿìè 10 îêàçàëèñü ìåíüøå 10. Äëÿ ýòîãî âûïîëíèì ðÿä ïðåîáðàçîâàíèé. Ñíà÷àëà ñóììó 8+6 ïðåäñòàâèì â âèäå

 

Çàòåì âîñïîëüçóåìñÿ ñâîéñòâàìè ñëîæåíèÿ è óìíîæåíèÿ è ïðèâåäåì ïîëó÷åííîå âûðàæåíèå ê âèäó:

Ñóòü ïîñëåäíåãî ïðåîáðàçîâàíèÿ òàêîâà: äåñÿòîê, êîòîðûé ïîëó÷èëñÿ ïðè ñëîæåíèè åäèíèö, ïðèáàâèì ê äåñÿòêàì äàííûõ ÷èñåë. È íàêîíåö, çàïèñàâ ñóììó 7+4 â âèäå, ïîëó÷àåì:

Ïîñëåäíåå âûðàæåíèå åñòü äåñÿòè÷íàÿ çàïèñü ÷èñëà 1184.

Ñëåäîâàòåëüíî, 748+436=1184

Âûâåäåì àëãîðèòì ïèñüìåííîãî ñëîæåíèÿ ìíîãîçíà÷íûõ ÷èñåë â îáùåì âèäå:

. Çàïèñûâàþò âòîðîå ñëàãàåìîå ïîä ïåðâûì òàê, ÷òîáû ñîîòâåòñòâóþùèå ðàçðÿäû íàõîäèëèñü äðóã çà äðóãîì.

. Ñêëàäûâàþò åäèíèöû ïåðâîãî ðàçðÿäà. Åñëè ñóììà ìåíüøå äåñÿòè çàïèñûâàþò åå â ðàçðÿä åäèíèö îòâåòà è ïåðåõîäÿò ê ñëåäóþùåìó ðàçðÿäó (äåñÿòêîâ).

. Åñëè ñóììà åäèíèö áîëüøå èëè ðàâíà äåñÿòè, òî ïðåäñòàâëÿþò åå â âèäå: aî+ bî = 1·10 + ñî, ãäå ñî - îäíîçíà÷íîå ÷èñëî;

çàïèñûâàþò ñî â ðàçðÿä åäèíèö îòâåòà è ïðèáàâëÿþò 1 ê äåñÿòêàì ïåðâîãî ñëàãàåìîãî, ïîñëå ÷åãî ïåðåõîäÿò ê ðàçðÿäó äåñÿòêîâ.

. Ïîâòîðÿþò òå æå äåéñòâèÿ ñ äåñÿòêàìè, ïîòîì ñ ñîòíÿìè è ò.ä. Ïðîöåññ çàêàí÷èâàåòñÿ, êîãäà îêàçûâàþòñÿ ñëîæåííûìè öèôðû ñòàðøèõ ðàçðÿäîâ. Ïðè ýòîì, åñëè èõ ñóììà áîëüøå èëè ðàâíà äåñÿòè, òî ïðèïèñûâàåì âïåðåäè îáîèõ ñëàãàåìûõ íóëè, óâåëè÷èâàåì íóëü ïåðåä ïåðâûì ñëàãàåìûì íà 1 è âûïîëíÿåì ñëîæåíèå 1+0=1

Çàìåòèì, ÷òî â ýòîì àëãîðèòìå (êàê è â íåêîòîðûõ äðóãèõ) äëÿ êðàòêîñòè óïîòðåáëÿåòñÿ òåðìèí «öèôðà» âìåñòî «îäíîçíà÷íîå ÷èñëî, èçîáðàæàåìîå öèôðîé» [52, Ñ. 177-179]

Àëãîðèòì âû÷èòàíèÿ.

Âû÷èòàíèå îäíîçíà÷íîãî ÷èñëà b èç îäíîçíà÷íîãî ÷èñëà a, íå ïðåâûøàþùåãî 18, ñâîäèòñÿ ê ïîèñêó òàêîãî ÷èñëà ñ, ÷òî, è ïðîèñõîäèò ñ ó÷åòîì òàáëèöû ñëîæåíèÿ îäíîçíà÷íûõ ÷èñåë [52, Ñ. 180]

Åñëè æå ÷èñëà a è b ìíîãîçíà÷íûå è b < a , òî ñìûñë äåéñòâèÿ âû÷èòàíèÿ îñòàåòñÿ òåì æå , ÷òî è äëÿ âû÷èòàíèÿ â ïðåäåëàõ 20, íî òåõíèêà íàõîæäåíèÿ ðàçíîñòè ñòàíîâèòñÿ èíîé: ðàçíîñòü ìíîãîçíà÷íûõ ÷èñåë ÷àùå âñåãî íàõîäÿò, ïðîèçâîäÿ âû÷èñëåíèÿ ñòîëáèêîì, ïî îïðåäåëåííîìó àëãîðèòìó. Âûÿñíèì, êàêèì îáðàçîì âîçíèêàåò ýòîò àëãîðèòì, êàêèå òåîðåòè÷åñêèå ôàêòû ëåæàò â åãî îñíîâå.

Ðàññìîòðèì ðàçíîñòü ÷èñåë 485 è 231. Âîñïîëüçóåìñÿ ïðàâèëîì çàïèñè ÷èñåë â äåñÿòè÷íîé ñèñòåìå ñ÷èñëåíèÿ è ïðåäñòàâèì äàííóþ ðàçíîñòü â òàêîì âèäå:

×òîáû âû÷åñòü èç ÷èñëà  ñóììó , äîñòàòî÷íî âû÷åñòü èç íåãî êàæäîå ñëàãàåìîå ýòîé ñóììû îäíî çà äðóãèì, è òîãäà:

×òîáû âû÷åñòü ÷èñëî èç ñóììû, äîñòàòî÷íî âû÷åñòü åãî èç êàêîãî-ëèáî îäíîãî ñëàãàåìîãî (áîëüøåãî èëè ðàâíîãî ýòîìó ÷èñëó). Ïîýòîìó ÷èñëî 2×102 âû÷òåì èç ñëàãàåìîãî 4×102 , ÷èñëî 3×10 - èç ñëàãàåìîãî 8×10 , à ÷èñëî 1 -èç ñëàãàåìîãî 5, òîãäà:

Âîñïîëüçóåìñÿ äèñòðèáóòèâíîñòüþ óìíîæåíèÿ îòíîñèòåëüíî âû÷èòàíèÿ è âûíåñåì çà ñêîáêè 102 è 10. Òîãäà âûðàæåíèå áóäåò èìåòü âèä:

(4 - 2 )×+ (8 - 3)×10 + (5-1)

Âèäèì, ÷òî âû÷èòàíèå òðåõçíà÷íîãî ÷èñëà 231 èç òðåõçíà÷íîãî ÷èñëà 485 ñâåëîñü ê âû÷èòàíèþ îäíîçíà÷íûõ ÷èñåë, èçîáðàæåííûõ öèôðàìè ñîîòâåòñòâóþùèõ ðàçðÿäîâ â çàïèñè çàäàííûõ òðåõçíà÷íûõ ÷èñåë. Ðàçíîñòè íàõîäèì ïî òàáëèöå ñëîæåíèÿ è ïîëó÷àåì âûðàæåíèå: , êîòîðîå ÿâëÿåòñÿ çàïèñüþ ÷èñëà 254 â äåñÿòè÷íîé ñèñòåìå ñ÷èñëåíèÿ. Òàêèì îáðàçîì, 485 - 231 = 254. Âûðàæåíèå  çàäàåò ïðàâèëî âû÷èòàíèÿ, êîòîðîå îáû÷íî âûïîëíÿåòñÿ ñòîëáèêîì:

Âèäèì, ÷òî âû÷èòàíèå ìíîãîçíà÷íîãî ÷èñëà èç ìíîãîçíà÷íîãî îñíîâûâàåòñÿ íà:

ñïîñîáå çàïèñè ÷èñëà â äåñÿòè÷íîé ñèñòåìå ñ÷èñëåíèÿ;

ïðàâèëàõ âû÷èòàíèÿ ÷èñëà èç ñóììû è ñóììû èç ÷èñëà;

ñâîéñòâå äèñòðèáóòèâíîñòè óìíîæåíèÿ îòíîñèòåëüíî âû÷èòàíèÿ;

òàáëèöå ñëîæåíèÿ îäíîçíà÷íûõ ÷èñåë.

Íåòðóäíî óáåäèòüñÿ â òîì, ÷òî åñëè â êàêîì-íèáóäü ðàçðÿäå óìåíüøàåìîãî ñòîèò îäíîçíà÷íîå ÷èñëî, ìåíüøå ÷èñëà â òîì æå ðàçðÿäå âû÷èòàåìîãî, òî â îñíîâå âû÷èòàíèÿ ëåæàò òå æå òåîðåòè÷åñêèå ôàêòû è òàáëèöà ñëîæåíèÿ îäíîçíà÷íûõ ÷èñåë. Íàéäåì, íàïðèìåð, ðàçíîñòü ÷èñåë 760 - 326. Âîñïîëüçóåìñÿ ïðàâèëîì çàïèñè ÷èñåë â äåñÿòè÷íîé ñèñòåìå ñ÷èñëåíèÿ è ïðåäñòàâèì ýòó ðàçíîñòü â òàêîì âèäå:

 

Ïîñêîëüêó èç ÷èñëà 0 íåëüçÿ âû÷åñòü 6, òî âûïîëíèòü âû÷èòàíèå àíàëîãè÷íîå òîìó, êàê áûëî ñäåëàíî â ïåðâîì ñëó÷àå, íåâîçìîæíî. Ïîýòîìó âîçüìåì èç ÷èñëà 760 îäèí äåñÿòîê è ïðåäñòàâèì åãî â âèäå 10 åäèíèö - äåñÿòè÷íàÿ ñèñòåìà ñ÷èñëåíèÿ ïîçâîëÿåò ýòî ñäåëàòü - òîãäà áóäåì èìåòü âûðàæåíèå:

 

Åñëè òåïåðü âîñïîëüçîâàòüñÿ ïðàâèëàìè âû÷èòàíèÿ ñóììû èç ÷èñëà è ÷èñëà èç ñóììû, à òàêæå äèñòðèáóòèâíîñòüþ óìíîæåíèÿ îòíîñèòåëüíî âû÷èòàíèÿ, òî ïîëó÷èì âûðàæåíèå

 

Ïîñëåäíÿÿ ñóììà åñòü çàïèñü ÷èñëà 434 â äåñÿòè÷íîé ñèñòåìå ñ÷èñëåíèÿ. Çíà÷èò, 760 - 326 = 434 [52, Ñ. 180-182].

Îïèñàííûé ïðîöåññ ïîçâîëÿåò ñôîðìóëèðîâàòü â îáùåì âèäå àëãîðèòì âû÷èòàíèÿ ÷èñåë â äåñÿòè÷íîé ñèñòåìå ñ÷èñëåíèÿ.

. Çàïèñûâàåì âû÷èòàåìîå ïîä óìåíüøàåìûì òàê, ÷òîáû ñîîòâåòñòâóþùèå ðàçðÿäû íàõîäèëèñü äðóã ïîä äðóãîì.

. Åñëè öèôðà â ðàçðÿäå åäèíèö âû÷èòàåìîãî íå ïðåâîñõîäèò ñîîòâåòñòâóþùåé öèôðû óìåíüøàåìîãî, âû÷èòàåì åå èç öèôðû óìåíüøàåìîãî, çàïèñûâàåì ðàçíîñòü â ðàçðÿä åäèíèö èñêîìîãî ÷èñëà, ïîñëå ÷åãî ïåðåõîäèì ê ñëåäóþùåìó ðàçðÿäó.

. Åñëè æå öèôðà åäèíèö âû÷èòàåìîãî áîëüøå åäèíèö óìåíüøàåìîãî, ò.å b0 > a0 , à öèôðà äåñÿòêîâ îòëè÷íà îò íóëÿ, òî óìåíüøàåì öèôðó äåñÿòêîâ óìåíüøàåìîãî íà 1, îäíîâðåìåííî óâåëè÷èâ öèôðó åäèíèö óìåíüøàåìîãî íà 10, ïîñëå ÷åãî âû÷èòàåì èç ÷èñëà 10 + a0 ÷èñëî b0 è çàïèñûâàåì ðàçíîñòü â ðàçðÿäå åäèíèö èñêîìîãî ÷èñëà, äàëåå ïåðåõîäèì ê ñëåäóþùåìó ðàçðÿäó.

. Åñëè öèôðà åäèíèö âû÷èòàåìîãî áîëüøå öèôðû åäèíèö óìåíüøàåìîãî, ñòîÿùèå â ðàçðÿäå äåñÿòêîâ, ñîòåí è ò.ä. óìåíüøàåìîãî, ðàâíû íóëþ, òî áåðåì ïåðâóþ îòëè÷íóþ îò íóëÿ öèôðó â óìåíüøàåìîì (ïîñëå ðàçðÿäà åäèíèö), óìåíüøàåì åå íà 1, âñå öèôðû â ìëàäøèõ ðàçðÿäàõ äî ðàçðÿäà äåñÿòêîâ âêëþ÷èòåëüíî óâåëè÷èâàåì íà 9, à öèôðó â ðàçðÿäå åäèíèö íà 10: âû÷èòàåì âî èç 10 + a0 , çàïèñûâàåì ðàçíîñòü â ðàçðÿäå åäèíèö èñêîìîãî ÷èñëà è ïåðåõîäèì ê ñëåäóþùåìó ðàçðÿäó.

. Â ñëåäóþùåì ðàçðÿäå ïîâòîðÿåì îïèñàííûé ïðîöåññ.

6. Âû÷èòàíèå çàêàí÷èâàåòñÿ, êîãäà ïðîèçâîäèòñÿ âû÷èòàíèå èç ñòàðøåãî ðàçðÿäà óìåíüøàåìîãî [24, Ñ. 119-121].

Áåçóñëîâíî, ìëàäøèå øêîëüíèêè íå ìîãóò óñâîèòü àëãîðèòìû ïèñüìåííîãî ñëîæåíèÿ è âû÷èòàíèÿ â îáùåì âèäå. Íî ó÷èòåëþ õ çíàòü íåîáõîäèìî. Ýòî ïîçâîëèò åìó:)    ïðè îçíàêîìëåíèè ó÷àùèõñÿ ñ àëãîðèòìîì ïðàâèëüíî îðãàíèçîâàòü ïîäãîòîâèòåëüíóþ ðàáîòó;)    óïðàâëÿòü äåÿòåëüíîñòüþ øêîëüíèêîâ, íàïðàâëåííîé íà óñâîåíèå àëãîðèòìà;)     â óïðàæíåíèÿõ íà çàêðåïëåíèå àëãîðèòìà ó÷èòûâàòü âñå âîçìîæíîñòè åãî èñïîëüçîâàíèÿ.

Äåÿòåëüíîñòü ó÷àùèõñÿ, íàïðàâëåííàÿ íà ôîðìèðîâàíèå íàâûêîâ ïèñüìåííîãî ñëîæåíèÿ è âû÷èòàíèÿ, ìîæåò áûòü îðãàíèçîâàíà ïî-ðàçíîìó. Íàïðèìåð, â ó÷åáíèêå Ìàòåìàòèêè ïîä ðåäàêöèåé Ì.È. Ìîðî è ò.ä. (èçäàíèÿ äî 1987 ã.) ó÷àùèåñÿ çíàêîìÿòñÿ ñ ïðèåìàìè ïèñüìåííîãî ñëîæåíèÿ è âû÷èòàíèÿ â êîíöåíòðå «Òûñÿ÷à», à â ó÷åáíèêàõ, íà÷àâøèõ èçäàâàòüñÿ ïîñëå 1987 ã., èì ïîêàçûâàëè, êàê ñêëàäûâàòü è âû÷èòàòü «â ñòîëáèê» óæå äâóçíà÷íûå ÷èñëà. Äëÿ ýòîé öåëè èñïîëüçîâàëñÿ îáðàçåö äåéñòâèé.

Íàïðèìåð,

Îáúÿñíè ðåøåíèå ïðèìåðà:

+23=49+(20+3)=69+3=72.

Ðåøåíèå ìîæíî çàïèñàòü â ñòîëáèê.


Îáúÿñíåíèå:

.        Ïèøó…

.        Ñêëàäûâàþ åäèíèöû: 9+3=12. 12- ýòî 1 äåñ. è 2 åä.: ïèøó ïîä åäèíèöàìè2, à 1 äåñ. çàïîìèíàþ è ïðèáàâëÿþ ê äåñÿòêàì.

.        Ñêëàäûâàþ äåñÿòêè: 4+2=6; 6 6 äà åùå 1, ïîëó÷èòñÿ 7. Ïèøó 7 ïîä äåñÿòêàìè.

.        ×èòàþ îòâåò: ñóììà ðàâíà 72.

Àíàëîãè÷íûé êîììåíòàðèé äàí ê çàïèñè âû÷èòàíèÿ «â ñòîëáèê». Ââåäåíèå ïèñüìåííîãî ñëîæåíèÿ è âû÷èòàíèÿ äâóçíà÷íûõ ÷èñåë áûëî ïî-ðàçíîìó âîñïðèíÿòî ó÷èòåëÿìè. Îäíè ñ÷èòàëè, ÷òî âûïîëíåíèå äåéñòâèé «â ñòîëáèê» îêàæåò íåãàòèâíîå âëèÿíèå íà ôîðìèðîâàíèå íàâûêîâ óñòíûõ âû÷èñëåíèé. Äðóãèå îòíåñëèñü ê ýòîìó ïîëîæèòåëüíî, òàê êàê ïðè óñòíîì ñëîæåíèè è âû÷èòàíèè äâóçíà÷íûõ ÷èñåë ñ ïåðåõîäîì ÷åðåç ðàçðÿä ó÷àùèìñÿ ïðèõîäèòñÿ ïîëüçîâàòüñÿ ïðèåìàìè âû÷èñëåíèé, ñîäåðæàùèõ áîëüøîå êîëè÷åñòâî îïåðàöèé. Ýòî òðåáóåò íàïðÿæåíèÿ ïàìÿòè è âíèìàíèÿ, èç-çà ÷åãî íå âñå ìîãóò ñïðàâèòüñÿ ñ âû÷èñëèòåëüíîé çàäà÷åé.  ñëó÷àå æå ïèñüìåííîãî ñëîæåíèÿ àëãîðèòìè÷åñêîå ïðåäïèñàíèå íå èìååò ÷åòêóþ è êðàòêóþ ôîðìó, à çíà÷èò, áîëåå äîñòóïíóþ äåòÿì. Âðÿä ëè ìîæíî ñîãëàñèòüñÿ ñ òî÷êîé çðåíèÿ òåõ ó÷èòåëåé, êîòîðûå ñ÷èòàþò, ÷òî çàïèñü ñëîæåíèÿ è âû÷èòàíèÿ «â ñòîëáèê» îêàçûâàåò íåãàòèâíîå âëèÿíèå íà ôîðìèðîâàíèå âû÷èñëèòåëüíûõ íàâûêîâ, òàê êàê ïðè âûïîëíåíèè ïèñüìåííûõ âû÷èñëåíèé ó÷àùèåñÿ ïîñòîÿííî èñïîëüçóþò íàâûêè ñëîæåíèÿ (âû÷èòàíèÿ) â ïðåäåëàõ 10 è 20.

Ïîýòîìó ïðîáëåìà íå â òîì, êîãäà ïîçíàêîìèòü øêîëüíèêîâ ñ àëãîðèòìîì ïèñüìåííîãî ñëîæåíèÿ è âû÷èòàíèÿ, à â òîì, êàê ïðîäóêòèâíåå îðãàíèçîâàòü èõ äåÿòåëüíîñòü, íàïðàâëåííóþ íà óñâîåíèå àëãîðèòìà [24, Ñ. 122].

Óñâîåíèå ïèñüìåííûõ ïðèåìîâ ñëîæåíèÿ è âû÷èòàíèÿ â ïðåäåëàõ 1000 ÿâëÿåòñÿ óñëîâèåì óñïåøíîãî ïðèìåíåíèÿ èõ ê ÷èñëàì ëþáîé âåëè÷èíû. Ñíà÷àëà èçó÷àþò ïèñüìåííûå ïðèåìû ñëîæåíèÿ, à çàòåì âû÷èòàíèÿ. Ïîäãîòîâèòåëüíóþ ðàáîòó ê èçó÷åíèþ òåìû íà÷èíàþò åùå ïðè èçó÷åíèè íóìåðàöèè â êîíöåíòðå «Òûñÿ÷à»: ïîâòîðÿþò óñòíûå ïðèåìû ñëîæåíèÿ è âû÷èòàíèÿ è ñâîéñòâà äåéñòâèé, íà êîòîðûå îíè îïèðàþòñÿ, ñëîæåíèå è âû÷èòàíèå ðàçðÿäíûõ ÷èñåë ñ ïîÿñíåíèÿìè (3 ñîò. 5 äåñ. +4 ñîò. 7 äåñ. = 7 ñîò. 12 äåñ. = 8 ñîò. 2 äåñ.). Ðàññìîòðåíèå ñëó÷àåâ ïèñüìåííîãî ñëîæåíèÿ è âû÷èòàíèÿ ñòðîèòñÿ ïî ïðèíöèïó «îò ïðîñòîãî ê ñëîæíîìó». Ñíà÷àëà àëãîðèòì ñëîæåíèÿ ïðèìåíÿåòñÿ äëÿ ñëó÷àåâ ñëîæåíèÿ áåç ïåðåõîäà ÷åðåç ðàçðÿä:

+ 34


+ 534


+ 320

53


450


Çàòåì ðàññìàòðèâàþòñÿ ñëó÷àè, êîãäà ïðè ñëîæåíèè ðàçðÿäíûõ åäèíèö ïîëó÷àåòñÿ ÷èñëî, ðàâíîå 10 åäèíèöàì, èëè ïðè ñëîæåíèè ðàçðÿäíûõ äåñÿòêîâ - ÷èñëî, ðàâíîå 10 äåñÿòêàì:

+ 264


+ 264


+ 446

542


305


160







Çàòåì ñëó÷àè ñ ïåðåõîäîì ÷åðåç ðàçðÿä, ÷åðåç 2 ðàçðÿäà. Íàïðèìåð:

+ 237


+ 453


+ 529

526


341


299


Àíàëîãè÷íûé ïðèíöèï ñîáëþäàåòñÿ ïðè èñïîëüçîâàíèè àëãîðèòìà âû÷èòàíèÿ. Íàïðèìåð:

- 426


- 540


- 542


- 909


- 512

246


126


126


714


126











Ïðèåìû ïèñüìåííîãî ñëîæåíèÿ è âû÷èòàíèÿ ìíîãîçíà÷íûõ ÷èñåë èçó÷àþòñÿ îäíîâðåìåííî. Ïîäãîòîâèòåëüíóþ ðàáîòó íà÷èíàþò åùå ïðè èçó÷åíèè íóìåðàöèè ìíîãîçíà÷íûõ ÷èñåë: ïîâòîðÿþò óñòíûå ïðèåìû ñëîæåíèÿ è âû÷èòàíèÿ è ñâîéñòâà äåéñòâèé, íà êîòîðûå îíè îïèðàþòñÿ (8 400+600, 9 800-700, 2 000-1700, 740 000-160 000 è ò.ï.); ïîâòîðÿþò ïèñüìåííûå ïðèåìû ñëîæåíèÿ è âû÷èòàíèÿ òðåõçíà÷íûõ ÷èñåë ñ ïîÿñíåíèÿìè (6 ñîò. + 7 ñîò. = 13 ñîò. = 1 òûñ. 3 ñîò.) [24, Ñ. 12].

Ïðè îçíàêîìëåíèè ñ ïèñüìåííûì ñëîæåíèåì è âû÷èòàíèåì ìíîãîçíà÷íûõ ÷èñåë ó÷àùèåñÿ ðåøàþò ïðèìåðû, ãäå êàæäûé ïîñëåäóþùèé âêëþ÷àåò â ñåáÿ ïðåäûäóùèé, íàïðèìåð:

+ 752


+ 4752


+ 54752


- 837


- 6837


- 76837


- 376837

246


3246


43246


425


2425


52425


152425


Ïîñëå ðåøåíèÿ òàêèõ ïðèìåðîâ ó÷àùèåñÿ äåëàþò âûâîä, ÷òî ïèñüìåííîå ñëîæåíèå è âû÷èòàíèå ìíîãîçíà÷íûõ ÷èñåë âûïîëíÿþò òàê æå, êàê è ïèñüìåííîå ñëîæåíèå è âû÷èòàíèå òðåõçíà÷íûõ ÷èñåë.

Äàëåå ñëó÷àè ñëîæåíèÿ è âû÷èòàíèÿ ââîäÿòñÿ ñ íàðàñòàþùåé òðóäíîñòüþ, ïîñòåïåííî óâåëè÷èâàåòñÿ ÷èñëî ïåðåõîäîâ ÷åðåç ðàçðÿäíóþ åäèíèöó; âêëþ÷àþòñÿ ñëó÷àè âû÷èòàíèÿ, êîãäà â óìåíüøàåìîì ñîäåðæàòñÿ íóëè; èçó÷àåòñÿ ñëîæåíèå è âû÷èòàíèå èìåíîâàííûõ ÷èñåë. Çíàêîìÿñü ñ íîâûìè ñëó÷àÿìè, äåòè ñíà÷àëà äàþò ïîäðîáíûå ïîÿñíåíèÿ âû÷èñëåíèé. Ïîñëå òîãî, êàê äåòè óñâîÿò ïðèåì âû÷èñëåíèÿ, ïåðåõîäÿò ê ñîêðàùåííûì ïîÿñíåíèÿì ðåøåíèÿ. Êðàòêèå ïîÿñíåíèÿ ñïîñîáñòâóþò âûðàáîòêå íàâûêîâ áûñòðûõ âû÷èñëåíèé [4, Ñ. 78-79].

Íåîáõîäèìî óäåëèòü âíèìàíèå ñëó÷àÿì âû÷èòàíèÿ, â êîòîðûõ ïîñëåäîâàòåëüíîå ðàçäðîáëåíèå âûñøåãî ðàçðÿäà âûïîëíÿåòñÿ íåîäíîêðàòíî.

400 000

205 708



 äàííîì ñëó÷àå, ó÷åíèê áóäåò ðàññóæäàòü òàê: èç íóëÿ åäèíèö íå ìîæåì âû÷åñòü 8 åäèíèö. Áåðåì 1 ñîòíþ (òî÷êó íàä ñîòíÿìè) è ðàçäðîáëÿåì ñîòíþ â äåñÿòêè.  1 ñîòíå 10 äåñÿòêîâ, áåðåì èç 10 äåñÿòêîâ 1 äåñÿòîê. Ðàçäðîáëÿåì äåñÿòîê â åäèíèöû (10 åäèíèö). Èç 10 åäèíèö âû÷èòàåì 8, ïîëó÷àåòñÿ 2 åäèíèöû. Èç 9 äåñÿòêîâ âû÷èòàåì 0 äåñÿòêîâ, ïîëó÷àåòñÿ 9 äåñÿòêîâ. Èç íóëÿ ñîòåí íå ìîæåì âû÷åñòü 7 ñîòåí. Áåðåì 1 ñîòíþ òûñÿ÷, ðàçäðîáëÿåì åå â äåñÿòêè òûñÿ÷, ïîëó÷àåì 10 äåñÿòêîâ òûñÿ÷, èç íèõ áåðåì 1 äåñÿòîê òûñÿ÷ è ðàçäðîáëÿåì åãî â åäèíèöû òûñÿ÷ è ò.ä.

Ïîçäíåå ïðèâîäèì êðàòêîå ñîêðàùåííîå ïîÿñíåíèå: áåðåì 1 ñîòíþ, èç 10 âû÷èòàåì 8 ïîëó÷èòñÿ 2; èç 9 âû÷èòàåì íîëü, ïîëó÷èòñÿ 9; áåðåì 1 ñîòíþ òûñÿ÷, èç 10 âû÷èòàåì 7, ïîëó÷èòñÿ 3; èç 9 âû÷òåì 5, ïîëó÷èòñÿ 4; èç 9 âû÷òåì 0, ïîëó÷èòñÿ 9; èç 3 âû÷òåì 2, ïîëó÷èòñÿ 1; ðàçíîñòü 194 392.

Ïîìèìî óïðàæíåíèé, äàííûõ â ó÷åáíèêå, íåîáõîäèìî ïðîâîäèòü ïîäãîòîâèòåëüíóþ ðàáîòó. Ñîäåðæàíèå åå ìîæåò áûòü ïðåäñòàâëåíî óïðàæíåíèÿìè âèäà:

. Îòñ÷èòàéòå îò ñîòíè ïàëî÷åê îäíó ïàëî÷êó, äâå ïàëî÷êè.

. Çàìåíèòå ñîòíþ äåñÿòêàìè è åäèíèöàìè .

. Óìåíüøèòå 100, 300, 700 íà 1, íà 2, íà 3.

. Êàêîå ÷èñëî ïðåäøåñòâóåò ïðè ñ÷åòå ÷èñëó 200, ÷èñëó 700?

. Çàìåíèòå 1000 ñîòíÿìè è äåñÿòêàìè; ñîòíÿìè, äåñÿòêàìè è åäèíèöàìè.

. Çàìåíèòå äåñÿòîê òûñÿ÷ òûñÿ÷àìè è ñîòíÿìè, òûñÿ÷àìè, ñîòíÿìè è äåñÿòêàìè; òûñÿ÷àìè, ñîòíÿìè, äåñÿòêàìè è åäèíèöàìè.

. Çàìåíèòå ñîòíþ òûñÿ÷ äåñÿòêàìè òûñÿ÷, òûñÿ÷àìè è ñîòíÿìè.

. Êàêîå ÷èñëî ïðåäøåñòâóåò ïðè ñ÷åòå ÷èñëàì 7000, 20000, 500000?

. Óìåíüøèòå íà 5 åäèíèö 6000, 40000, 600000.

. Âû÷èñëèòå:

à) 1000 - 700

á) 100000 - 3

â) 10000 - 20 1000 - 70 100000 - 30 10000 - 200

ã) 1000 - 7 100000 - 300 10000 - 2

ä) 100000 - 3000

Íàèáîëåå òðóäíûå ñëó÷àè âû÷èòàíèÿ, òàêèå êàê:

- 261 , 70000 - 3257, 700000 - 302007, 701006 - 32057, è ò.ä. èçó÷àþòñÿ â 4-îì êëàññå. Ýòèì îáúÿñíÿåòñÿ öåëåñîîáðàçíîñòü ïðîäîëæåíèÿ è óãëóáëåíèÿ ïîäãîòîâèòåëüíîé ðàáîòû, íà÷àòîé â 3-åì êëàññå.  êà÷åñòâå íàãëÿäíîé îñíîâû èñïîëüçóåì ñ÷åòû.

Äëÿ ïðèìåðà ïîêàæåì îäèí èç âàðèàíòîâ âûïîëíåíèÿ çàäàíèÿ èç ó÷åáíèêà ìàòåìàòèêè, â êîòîðîì òðåáóåòñÿ îòëîæèòü íà ñ÷åòàõ ÷èñëî 100 òûñÿ÷ è îïðåäåëèòü, êàêîå ÷èñëî íåïîñðåäñòâåííî ïðåäøåñòâóåò åìó ïðè ñ÷åòå. Çäåñü óìåñòíî ñî÷åòàòü íàáëþäåíèÿ ó÷àùèõñÿ çà ðàáîòîé ó÷èòåëÿ íà äåìîíñòðàöèîííûõ ñ÷åòàõ ñ èõ ïðàêòè÷åñêîé ðàáîòîé íà èíäèâèäóàëüíûõ.

Ïðåäëàãàåì îòëîæèòü ÷èñëî 100 òûñÿ÷ íà ñ÷åòàõ (íà øåñòîé ïðîâîëîêå ñ÷åòîâ ïîÿâëÿåòñÿ îäíà êîñòî÷êà). Âñïîìèíàåì, êàê íàéòè ÷èñëî, íåïîñðåäñòâåííî ïðåäøåñòâóþùåå êàêîìó-íèáóäü ÷èñëó ïðè ñ÷åòå (îòñ÷èòàòü îò íåãî åäèíèöó). Óòî÷íÿåì, íà êàêîé ïðîâîëîêå ñ÷åòîâ îòêëàäûâàþòñÿ åäèíèöû (íà ïåðâîé). Çàäàåì âîïðîñ, êàê ñ øåñòîé ïðîâîëîêè ïîïàñòü íà ïåðâóþ, ÷òîáû îòñ÷èòàòü åäèíèöó. Ïðè çàòðóäíåíèè ïðåäëàãàåì ó÷àùèìñÿ ñïóñêàòüñÿ ïîñòåïåííî ñ ïðîâîëîêè íà ïðîâîëîêó. ×òîáû ñïóñòèòüñÿ ñ øåñòîé ïðîâîëîêè íà ïÿòóþ, çàìåíÿåì 100 òûñÿ÷, ò.å. 1 ñîòíþ òûñÿ÷ íà 10 äåñÿòêîâ òûñÿ÷, è 10 êîñòî÷åê îòêëàäûâàåì íà ïÿòîé ïðîâîëîêå.

Èç äåñÿòêîâ òûñÿ÷ 9 òûñÿ÷ (ò.å. 9 êîñòî÷åê) îñòàâëÿåì, à 1 äåñÿòîê òûñÿ÷ (ò.å. îäíó êîñòî÷êó) çàìåíÿåì äåñÿòüþ åäèíèöàìè òûñÿ÷ è îòêëàäûâàåì äåñÿòü êîñòî÷åê íà ÷åòâåðòîé ïðîâîëîêå. Ïðîäîëæàÿ àíàëîãè÷íî ðàññóæäàòü è îòêëàäûâàòü êîñòî÷êè íà ñ÷åòàõ, ìû ïîëó÷àåì íà ïåðâîé ïðîâîëîêå 10 êîñòî÷åê (10 åäèíèö). Îáðàùàåì âíèìàíèå íà òî, ÷òî 1 ñîòíþ òûñÿ÷ ìû çàìåíèëè íà 9 äåñÿòêîâ òûñÿ÷ 9 ñîòåí 9 äåñÿòêîâ è 10 åäèíèö. Îòñ÷èòûâàåì 1 åäèíèöó (ñáðàñûâàåì ñ ïåðâîé ïðîâîëîêè ñ÷åòîâ îäíó êîñòî÷êó), îñòàåòñÿ 9. Òåïåðü ÷èòàåì ÷èñëî, êîòîðîå îòëîæèëîñü íà ñ÷åòàõ: äåâÿòüñîò äåâÿíîñòî äåâÿòü òûñÿ÷ äåâÿòüñîò äåâÿíîñòî äåâÿòü. (999999).

Ïðîäîëæåíèåì òàêîé ðàáîòû ÿâëÿåòñÿ âûïîëíåíèå çàäàíèÿ, ãäå òðåáóåòñÿ íàçâàòü è çàïèñàòü, ìåæäó êàêèìè ÷èñëàìè âñòðå÷àåòñÿ ïðè ñ÷åòå êàæäîå èç ñëåäóþùèõ ÷èñåë: 100, 1000, 10000, 100000, 300, 800, 30000, 700000.

Êðîìå òîãî, ñíèçèòü óðîâåíü óêàçàííûõ òðóäíîñòåé ïîìîãàåò îðèåíòàöèÿ íà îñîçíàíèå ó÷àùèìèñÿ, êàê îáùåãî àëãîðèòìà âû÷èòàíèÿ, òàê è îñîáåííîñòåé åãî ïðèìåíåíèÿ â ðàññìàòðèâàåìûõ ÷àñòíûõ ñëó÷àÿõ.

Ïîýòîìó íàäî ó÷èòü äåòåé ñîïðîâîæäàòü âû÷èñëåíèÿ ïîäðîáíûìè ïîÿñíåíèÿìè, ïîêàçûâàþùèìè, ÷òî, â êàêîé ïîñëåäîâàòåëüíîñòè è äëÿ ÷åãî íóæíî äåëàòü. Ïîêàæåì õàðàêòåð òàêèõ ïîÿñíåíèé íà ñëåäóþùåì ïðèìåðå.

Ïóñòü òðåáóåòñÿ èç 701006 âû÷åñòü 32057.

Èç åäèíèö ìû íå ìîæåì âû÷åñòü 7 åäèíèö, ïîýòîìó îáðàòèìñÿ ê âûñøèì ðàçðÿäíûì åäèíèöàì, ÷òîáû, çàìåíèâ èõ íà íèçøèå, ïîëó÷èòü ïðîñòûå åäèíèöû. Òàê êàê â óìåíüøàåìîì äåñÿòêîâ 0 è ñîòåí 0, âîçüìåì 1 òûñÿ÷ó (ñòàâèì íàä ðàçðÿäîì òûñÿ÷ òî÷êó) è çàìåíèì åå äåâÿòüþ ñîòíÿìè äåâÿòüþ äåñÿòêàìè è äåñÿòüþ åäèíèöàìè (âåäü èç òûñÿ÷ íóæíî âûäåëèòü åäèíèöû).

Ê 10 åäèíèöàì ïðèáàâèì 6, ïîëó÷èì 16 åäèíèö. Èç 16 åäèíèö âû÷òåì 7 åäèíèö, ïîëó÷èì 9 åäèíèö, êîòîðûå çàïèñûâàåì ïîä åäèíèöàìè. Äàëåå àíàëîãè÷íî èç 9 äåñÿòêîâ âû÷èòàåì 5 äåñÿòêîâ è èç 9 ñîòåí âû÷èòàåì 0 ñîòåí.

Òåïåðü íóæíî âû÷èòàòü òûñÿ÷è, íî òûñÿ÷ îñòàëîñü 0 (èç 0 òûñÿ÷ íåëüçÿ âû÷åñòü 2 òûñÿ÷è), è äåñÿòêîâ òûñÿ÷ â óìåíüøàåìîì òîæå 0, ïîýòîìó âîçüìåì èç 7 ñîòåí òûñÿ÷ 1 ñîòíþ òûñÿ÷ (ñòàâèì íàä ýòèì ðàçðÿäîì òî÷êó)è çàìåíèì åå äåâÿòüþ äåñÿòêàìè òûñÿ÷ è äåñÿòüþ òûñÿ÷àìè, òàê êàê èç ñîòåí òûñÿ÷ íóæíî âûäåëèòü òûñÿ÷è. Âû÷èòàåì èç 10 òûñÿ÷ 2 òûñÿ÷è, èç 9 äåñÿòêîâ òûñÿ÷ 3 äåñÿòêà òûñÿ÷ è ðåçóëüòàòû ïèøåì ïîä ñîîòâåòñòâóþùèìè ðàçðÿäàìè. Ñîòåí òûñÿ÷ ó íàñ îñòàëîñü 6, èç íèõ íè÷åãî íå âû÷èòàåòñÿ, ïîýòîìó ÷èñëî 6 çàïèñûâàåì ïîä ñîòíÿìè òûñÿ÷.

Ïî ìåðå óñâîåíèÿ ïðèåìà âû÷èòàíèÿ ó÷àùèåñÿ ïîñòåïåííî ïåðåõîäÿò îò ïîäðîáíûõ ðàññóæäåíèé ê áîëåå êðàòêèì. Îíè ïîÿñíÿþò ëèøü òå øàãè àëãîðèòìà, êîòîðûå ìîãóò çàòðóäíèòü èõ ïðè âû÷èòàíèè. Ñîêðàùåíèå ïîÿñíåíèÿ ê åãî ðåøåíèþ òàêîâû: èç 6 åäèíèö ìû íå ìîæåì âû÷åñòü 7, ïîýòîìó áåðåì 1 òûñÿ÷ó è çàìåíÿåì åå äåâÿòüþ ñîòíÿìè äåâÿòüþ äåñÿòêàìè è äåñÿòüþ åäèíèöàìè. Èç 16 âû÷èòàåì 7, ïîëó÷àåì 9, èç 9 äåñÿòêîâ âû÷èòàåì 5, ïîëó÷àåì 4, èç 9 ñîòåí âû÷èòàåì 0, ïîëó÷àåì 9. Èç 0 òûñÿ÷ íåëüçÿ âû÷åñòü 2. Áåðåì 1 ñîòíþ òûñÿ÷ è çàìåíÿåì åå íà 9 äåñÿòêîâ òûñÿ÷ è 10 òûñÿ÷. Èç 10 âû÷èòàåì 2, ïîëó÷àåì 8, èç 9 âû÷èòàåì 3, ïîëó÷àåì 6. Îñòàâøèåñÿ 6 ñîòåí òûñÿ÷ çàïèñûâàåì â ðåçóëüòàò.

È, íàêîíåö, îãðàíè÷èâàåìñÿ ëèøü ñëåäóþùèìè ïîÿñíåíèÿìè: èç 16 âû÷èòàåì 7, ïîëó÷àåì 9, èç 9 âû÷èòàåì 5, ïîëó÷àåì 4 è ò.ï.

Òàêèì îáðàçîì, ïðåäëàãàåìàÿ ñèñòåìà ïîäãîòîâèòåëüíûõ óïðàæíåíèé ñ ìåòîäèêîé èõ âûïîëíåíèÿ è ïîñëåäîâàòåëüíîñòü ðàáîòû ïî èçó÷åíèþ ïðèåìà âû÷èòàíèÿ ìíîãîçíà÷íûõ ÷èñåë ñ íóëÿìè â óìåíüøàåìîì îáåñïå÷èâàåò ôîðìèðîâàíèå íàâûêîâ îñîçíàííûõ è áûñòðûõ âû÷èñëåíèé óêàçàííîãî âèäà.

1.3.2 Òèïè÷íûå îøèáêè ïðè âûïîëíåíèè ñëîæåíèÿ è âû÷èòàíèÿ íàä ìíîãîçíà÷íûìè ÷èñëàìè è ðàáîòà ïî èõ ïðåäóïðåæäåíèþ

Îñâîèâ âñå àðèôìåòè÷åñêèå äåéñòâèÿ, ïîíÿâ è âûó÷èâ òàáëèöó ñëîæåíèÿ, îâëàäåâ òðàäèöèîííûìè ñïîñîáàìè ïðîâåðêè, äåòè âñå æå äîïóñêàþò äîñòàòî÷íî áîëüøîå êîëè÷åñòâî îøèáîê ïðè ðåøåíèè ïðèìåðîâ. Òàêîå ïîëîæåíèå ìîæíî èñïðàâèòü, åñëè ïîñëå èçó÷åíèÿ êàæäîãî àðèôìåòè÷åñêîãî äåéñòâèÿ íåñêîëüêî óðîêîâ ïîñâÿòèòü ðàáîòå, ñîäåðæàùåé ðàçëè÷íûå çàäàíèÿ, â êîòîðûõ áóäóò ôîðìèðîâàòüñÿ íàâûêè ñàìîêîíòðîëÿ, ãäå ðåáåíêó íåîáõîäèìî áóäåò íàéòè òèïè÷íóþ îøèáêó è èñïðàâèòü å¸. Óðîêè æåëàòåëüíî ñòðîèòü òàêèì îáðàçîì, ÷òîáû äåòè íå áîÿëèñü ðàññóæäàòü, äàâàòü ñàìîîöåíêó ñâîèì äåéñòâèÿì, ïîêàçàòü ñâîå íåïîíèìàíèå [60].

Èçó÷èâ ïñèõîëîãî-ïåäàãîãè÷åñêóþ ëèòåðàòóðó ïî äàííîé òåìå, ìû âûäåëèëè ñëåäóþùèå âèäû îøèáîê ïðè ïèñüìåííîì ñëîæåíèè: [9, 12, 15]:

1)      çàìåíà àðèôìåòè÷åñêèõ çíàêîâ ïðè ñïèñûâàíèè ìàòåìàòè÷åñêîãî âûðàæåíèÿ;)          2567 âìåñòî 2657 - ïåðåñòàíîâêà öèôð â ÷èñëå;) 256 âìåñòî 2567 - ïðîïóñê öèôðû;)    25567 âìåñòî 2567 - çàïèñü ëèøíåé öèôðû;)  2557 âìåñòî 2567 - çàìåíà öèôð.

)        Îøèáêà â çàïèñè ÷èñåë â ñòîëáèê:

Íàïðèìåð,

+ 546


- 25678

43


5670


Ñ öåëüþ ïðåäóïðåæäåíèÿ ïîäîáíûõ îøèáîê íàäî îáñóæäàòü ñ ó÷åíèêàìè òàêèå íåâåðíûå ðåøåíèÿ, â ðåçóëüòàòå ÷åãî îíè äîëæíû çàìåòèòü, ÷òî â äàííîì ïðèìåðå íåâåðíî ïîäïèñàíû ÷èñëà, ïîýòîìó ñëîæèëè äåñÿòêè ñ åäèíèöàìè, ñîòíè ñ äåñÿòêàìè, à íàäî ÷èñëà ïîäïèñûâàòü òàê, ÷òîáû åäèíèöû ñòîÿëè ïîä åäèíèöàìè, äåñÿòêè ïîä äåñÿòêàìè è ò.ä., è ñêëàäûâàòü åäèíèöû ñ åäèíèöàìè, äåñÿòêè ñ äåñÿòêàìè è ò.ä. Êðîìå òîãî, íóæíî íàó÷èòü ó÷åíèêîâ ïðîâåðÿòü ðåøåíèå ïðèìåðîâ. Íàçâàííóþ îøèáêó ëåãêî îáíàðóæèòü, âûïîëíèâ ïðîâåðêó ñïîñîáîì ïðèêèäêè ðåçóëüòàòà. Òàê, â îòíîøåíèè ïðèâåäåííîãî ïðèìåðà íà ñëîæåíèå ðàññóæäåíèå ó÷åíèêà áóäåò òàêèì: «Ê 5 ñîòíÿì ïðèáàâèëè ÷èñëî, êîòîðîå ìåíüøå 1 ñîòíè, à â ñóììå ïîëó÷èëè 9 ñîòåí, çíà÷èò â ðåøåíèè äîïóùåíà îøèáêà».

)        Îøèáêà â ïîñòàíîâêå çíàêà: çíàê «ïëþñ», à ó÷åíèê âû÷èòàåò, èëè íàîáîðîò ó÷åíèê ñêëàäûâàåò ïðèìåð ñî çíàêîì «-».

Ýòà îøèáêà îñîáåííî õàðàêòåðíà äëÿ ñëó÷àåâ, êîãäà ó ó÷åíèêà íå ñôîðìèðîâàíî ïîíÿòèå çíàêà è ñîîòâåòñòâóþùåãî åìó àðèôìåòè÷åñêîãî äåéñòâèÿ.  äàííîì ñëó÷àå, ó÷èòåëþ íåîáõîäèìî ïðîâåñòè ðàáîòó ïî ôîðìèðîâàíèþ ýòèõ ïîíÿòèé, îáúÿñíèòü ïîâòîðíî ñóòü àðèôìåòè÷åñêîãî äåéñòâèÿ è çíà÷åíèå çíàêà ìåæäó ÷èñëàìè òîãî èëè èíîãî âûðàæåíèÿ.

)        Îøèáêè ïðè âûïîëíåíèè ïèñüìåííîãî ñëîæåíèÿ, îáóñëîâëåííûå çàáûâàíèåì åäèíèö òîãî èëè èíîãî ðàçðÿäà, êîòîðûå íàäî áûëî çàïîìíèòü, ïðè âû÷èòàíèè - åäèíèö, êîòîðûå çàíèìàëè.

Íàïðèìåð:


Ïðåäóïðåæäåíèþ òàêèõ îøèáîê òàêæå ïîìîãàåò îáñóæäåíèå ñ ó÷åíèêàìè íåâåðíî ðåøåííûõ ïðèìåðîâ. Ïîñëå ýòîãî âàæíî ïîä÷åðêíóòü, ÷òî âñåãäà íàäî ïðîâåðÿòü ñåáÿ - íå çàáûëè ëè ïðèáàâèòü ÷èñëî, êîòîðîå íàäî áûëî çàïîìíèòü, è íå çàáûëè ëè î òîì, ÷òî çàíèìàëè åäèíèöû êàêîãî-òî ðàçðÿäà. Âûÿâëåíèþ òàêèõ îøèáîê ñàìèìè ó÷åíèêàìè ïîìîãàåò âûïîëíåíèå ïðîâåðîê ñëîæåíèÿ âû÷èòàíèåì è âû÷èòàíèÿ ñëîæåíèåì. Ïîëåçíî òàêæå â ïåðâîå âðåìÿ íàäïèñûâàòü ñâåðõó ñîîòâåòñòâóþùåãî ðàçðÿäà ïðè ñëîæåíèè - ÷èñëî, êîòîðîå íàäî áûëî çàïîìíèòü, è ïðè âû÷èòàíèè - ÷èñëî, êîòîðîå îñòàëîñü ïîñëå òîãî, êàê çàíÿëè. Çàìåòèì, ÷òî â íåêîòîðûõ ìåòîäè÷åñêèõ ïîñîáèÿõ è ñòàòüÿõ äëÿ ïðåäóïðåæäåíèÿ íàçâàííûõ îøèáîê â ïèñüìåííîì ñëîæåíèè ñ ïåðåõîäîì ÷åðåç äåñÿòîê ðåêîìåíäóåòñÿ íà÷èíàòü ñëîæåíèå ñ åäèíèö, êîòîðûå çàïîìèíàëè. Íàïðèìåð, ïðè ðåøåíèè ïðèâåäåííîãî ïðèìåðà ó÷åíèê òîãäà äîëæåí ðàññóæäàòü: «Ê äåâÿòè ïðèáàâèòü ïÿòü, ïîëó÷èòñÿ 14, ÷åòûðå ïèøåì, à 1 çàïîìèíàåì: 1 äà 3 - ÷åòûðå, äà 2, âñåãî 6» è ò.ä. Ýòîãî äåëàòü íå ñëåäóåò, ïîòîìó ÷òî íåêîòîðûå ó÷åíèêè ïåðåíîñÿò ýòîò ïðèåì íà ïèñüìåííîå óìíîæåíèå, ÷òî âûçîâåò îøèáêó, íàïðèìåð ïðè óìíîæåíèè ÷èñåë 354 è 6 îíè ðàññóæäàþò òàê: «4 óìíîæèòü íà 6, ïîëó÷èòñÿ 24, ÷åòûðå ïèøåì, äâà çàïîìèíàåì; 2 äà 5 - 7, ñåìü óìíîæèòü íà øåñòü, ïîëó÷èòñÿ 42» è ò.ä.

4)      íåïðàâèëüíî îïðåäåëèëè êîëè÷åñòâî öèôð â ñóììå èëè â ðàçíîñòè:

Äàííàÿ îøèáêà, ñêîðåå âñåãî, áóäåò ñâÿçàíà ñ îøèáêîé, îïèñàííîé ïîä ïóíêòîì 3, òî åñòü ó÷åíèê íåâåðíî ïîäïèñàë êîìïîíåíòû ñëîæåíèÿ èëè âû÷èòàíèÿ â ñòîëáèê. Ñ öåëüþ ïðåäóïðåæäåíèÿ ïîäîáíûõ îøèáîê íàäî îáñóæäàòü ñ ó÷åíèêàìè òàêèå íåâåðíûå ðåøåíèÿ, â ðåçóëüòàòå ÷åãî îíè äîëæíû çàìåòèòü, ÷òî â äàííîì ïðèìåðå íåâåðíî ïîäïèñàíû ÷èñëà. Îøèáêó ëåãêî îáíàðóæèòü, âûïîëíèâ ïðîâåðêó ñïîñîáîì ïðèêèäêè ðåçóëüòàòà.

Êàê ïîêàçûâàþò íàáëþäåíèÿ, óñâîåíèå ó÷àùèìèñÿ àëãîðèòìîâ ïèñüìåííûõ âû÷èñëåíèé ïðîèñõîäèò ñ îïðåäåëåííûìè çàòðóäíåíèÿìè. Àíàëîãè÷íûå çàòðóäíåíèÿ èñïûòûâàþò ó÷àùèåñÿ è ïðè âû÷èòàíèè ìíîãîçíà÷íûõ ÷èñåë. Îíè, êàê ïðàâèëî, óñâàèâàþò îáùèé àëãîðèòì âû÷èòàíèÿ, íî çàòðóäíÿþòñÿ ïðèìåíÿòü åãî â ÷àñòíîì ñëó÷àå, êîãäà óìåíüøàåìîå â çàïèñè ñîäåðæèò íóëè. Íàáëþäàþòñÿ, íàïðèìåð, òàêèå îøèáî÷íûå ðåøåíèÿ:

- 18570


- 25100


- 94028


- 570025

3673


8106


7235


45414

15907


16004


86893


515611


Íåñìîòðÿ íà òî, ÷òî îøèáêè â ïåðâîì è âòîðîì ïðèìåðàõ îòëè÷àþòñÿ îò îøèáîê â òðåòüåì è ÷åòâåðòîì ïðèìåðàõ, ïðè÷èíà èõ âîçíèêíîâåíèÿ îäíà - íåóìåíèå çàìåíÿòü åäèíèöó âûñøåãî ðàçðÿäà åäèíèöàìè áîëåå íèçøåãî ðàçðÿäà, ò.å. ó÷àùèåñÿ çàòðóäíÿþòñÿ ïðåäñòàâëÿòü îäèí äåñÿòîê òûñÿ÷ êàê 9 òûñÿ÷ 9 ñîòåí è 10 äåñÿòêîâ. Îíè æå ðàñêëàäûâàþò 1 äåñÿòîê òûñÿ÷ ëèáî íà 9 òûñÿ÷ 9 ñîòåí è 9 äåñÿòêîâ, ëèáî íà 10 òûñÿ÷ 9 ñîòåí è 10 äåñÿòêîâ, ëèáî íà 10 òûñÿ÷ 10 ñîòåí è 10 äåñÿòêîâ. Ïðåäóïðåäèòü óêàçàííûå îøèáêè ìîæíî, åñëè ïðè èçó÷åíèè òåìû «Íóìåðàöèÿ ìíîãîçíà÷íûõ ÷èñåë» óäåëèòü îñîáîå âíèìàíèå âûïîëíåíèþ óïðàæíåíèé ïî çàìåíå åäèíèö âûñøåãî ðàçðÿäà åäèíèöàìè íèçøèõ ðàçðÿäîâ.

 äàííîì ïàðàãðàôå íàìè áûëè ðàññìîòðåíû è îïèñàíû òèïè÷íûå îøèáêè ó÷àùèõñÿ ïðè âûïîëíåíèè ïèñüìåííîãî ñëîæåíèÿ è âû÷èòàíèÿ, òàêæå ïóòè èõ ïðåäóïðåæäåíèÿ. Îñîáóþ ðîëü â ïðåäóïðåæäåíèè îøèáîê è ôîðìèðîâàíèè íàâûêîâ ïèñüìåííîãî ñëîæåíèÿ è âû÷èòàíèÿ èãðàþò çàíèìàòåëüíûå çàäàíèÿ ñ ýëåìåíòàìè ñàìîêîíòðîëÿ, ïðèåì «ïðèêèäêè ðåçóëüòàòà», òðåíèðîâî÷íûå çàäàíèÿ, à òàêæå ïðè¸ìû ñàìîêîíòðîëÿ. Áîëåå ïîäðîáíî äàííûå ýëåìåíòû ó÷åáíîãî ïðîöåññà îïèñàíû íàìè â ñëåäóþùåì ïàðàãðàôå.

ñëîæåíèå âû÷èòàíèå íàâûê ïèñüìåííûé

1.3.3 Ïðèåìû ñàìîêîíòðîëÿ, çàíèìàòåëüíûå çàäàíèÿ, òðåíèðîâî÷íûå óïðàæíåíèÿ êàê ñïîñîáû óñòðàíåíèÿ è ïðåäóïðåæäåíèÿ òèïè÷íûõ âû÷èñëèòåëüíûõ îøèáîê ó÷àùèõñÿ

Íåñìîòðÿ íà èçìåíåíèå îáðàçîâàòåëüíîé ïàðàäèãìû, îðèåíòàöèþ íà äåÿòåëüíîñòíûé ïîäõîä, íàëè÷èå áîëüøîãî êîëè÷åñòâà ðàçíîîáðàçíûõ ó÷åáíèêîâ è ïîñîáèé, îäíîé èç ãëàâíûõ çàäà÷ îáó÷åíèÿ ìàòåìàòèêå â íà÷àëüíûõ êëàññàõ áûëî è îñòàåòñÿ ôîðìèðîâàíèå ó ó÷àùèõñÿ ïðî÷íûõ îñîçíàííûõ âû÷èñëèòåëüíûõ íàâûêîâ. Èìåííî íè èõ îñíîâå ñòàíîâèòñÿ âîçìîæíûì èçó÷åíèå áàçîâûõ ìàòåìàòè÷åñêèõ ïîíÿòèé â îñíîâíîé øêîëå. Íàëè÷èå õîðîøèõ âû÷èñëèòåëüíûõ íàâûêîâ ó ó÷àùèõñÿ ê 5 êëàññó ÿâëÿåòñÿ çàëîãîì äàëüíåéøåãî óñïåøíîãî îáó÷åíèÿ.  ïîñëåäíåå âðåìÿ âñå ÷àùå çàõîäèò ðå÷ü íå òîëüêî î íàëè÷èè ó ó÷åíèêîâ ïðåäìåòíûõ çíàíèé, óìåíèé è íàâûêîâ, íî è î ðàçâèòèè ýëåìåíòîâ ìàòåìàòè÷åñêîé êóëüòóðû. Ïî ìíåíèþ ñïåöèàëèñòîâ â îáëàñòè ìåòîäèêè ïðåïîäàâàíèÿ ìàòåìàòèêè, î åå õàðàêòåðå ìîæíî ñóäèòü ïî óìåíèÿì:

·        ïðîèçâîäèòü óñòíûå è ïèñüìåííûå âû÷èñëåíèÿ;

·        ðàöèîíàëüíî îðãàíèçîâàòü õîä âû÷èñëåíèé;

·        óáåæäàòü â ïðàâèëüíîñòè ïîëó÷åííûõ ðåçóëüòàòîâ.

Îñîçíàííûå âû÷èñëèòåëüíûå íàâûêè íå òîëüêî ÿâëÿþòñÿ ñîñòàâíîé ÷àñòüþ âû÷èñëèòåëüíîé êóëüòóðû ðåáåíêà. Îíè ñëóæàò íåîáõîäèìûì óñëîâèåì åå ñîâåðøåíñòâîâàíèÿ íà ïðîòÿæåíèè âñåãî ïðîöåññà îñâîåíèÿ ìàòåìàòèêè êàê â øêîëå, òàê è â äàëüíåéøåé ó÷åáíîé äåÿòåëüíîñòè.  ñâÿçè ñ ýòèì íà ïëå÷è ó÷èòåëÿ ëîæèòñÿ òðóäíàÿ è îòâåòñòâåííàÿ çàäà÷à ïî ðàçâèòèþ ïðî÷íûõ âû÷èñëèòåëüíûõ íàâûêîâ [19].

Àëãîðèòìû ñëîæåíèÿ è âû÷èòàíèÿ â ñòîëáèê, óñâîåííûå ó÷àùèìèñÿ â íà÷àëüíûõ êëàññàõ, èñïîëüçóþòñÿ íà ïðîòÿæåíèè âñåõ ëåò îáó÷åíèÿ ìàòåìàòèêå â ñðåäíåé øêîëå. Êà÷åñòâî óñâîåíèÿ ýòèõ àëãîðèòìîâ â çíà÷èòåëüíîé ñòåïåíè çàâèñèò îò òîãî, íàñêîëüêî ÿñíî îíè ïðåäñòàâëåíû ó÷åíèêàì. Âàæíóþ ðîëü ïðè ýòîì èãðàåò èñïîëüçîâàíèå ðàöèîíàëüíûõ ïðèåìîâ ôîðìèðîâàíèÿ íàâûêîâ ïèñüìåííîãî ñëîæåíèÿ è âû÷èòàíèÿ.

À.À. Ñòîëÿð è Â.Ë. Äðîçä ê ïðèåìàì ôîðìèðîâàíèÿ íàâûêîâ ïèñüìåííûõ âû÷èñëåíèé îòíåñëè:

·        òðåíèðîâî÷íûå óïðàæíåíèÿ;

·        çàíèìàòåëüíûå çàäàíèÿ;

·        ïðèåìû ñàìîêîíòðîëÿ (ïðîâåðêà, ïðèêèäêà ðåçóëüòàòà, îñîáåííîñòü çàïèñè ðåçóëüòàòîâ ïðè âû÷èñëåíèÿõ);

Ðàññìîòðèì äàííûå ïðèåìû ïîäðîáíåå.

Èñïîëüçîâàíèå ó÷èòåëåì òðåíèðîâî÷íûõ óïðàæíåíèé, áåçóñëîâíî, ÿâëÿåòñÿ âàæíûì ïðèåìîì ôîðìèðîâàíèÿ ó ó÷àùèõñÿ ïðî÷íûõ âû÷èñëèòåëüíûõ íàâûêîâ. Ïî òåìå «Ïèñüìåííîå ñëîæåíèå è âû÷èòàíèå» àâòîðàìè ó÷åáíèêîâ èñïîëüçóþòñÿ ðàçíîîáðàçíûå óïðàæíåíèÿ, êîòîðûå ïîçâîëÿþò çàêðåïèòü ðàíåå èçó÷åííûé âû÷èñëèòåëüíûé ïðèåì.

 ó÷åáíèêàõ Ì.È. Ìîðî «Ìàòåìàòèêà» â ïåðèîä îáó÷åíèÿ òåìå «Ïèñüìåííîå ñëîæåíèå è âû÷èòàíèå» ïîñëå êàæäîãî èçó÷åííîãî âû÷èñëèòåëüíîãî ïðèåìà äàþòñÿ óïðàæíåíèÿ íà çàêðåïëåíèå íàâûêà. Íàïðèìåð:

Ðåøè ïðèìåðû, çàïèñûâàÿ ñòîëáèêîì.

+ 658;                  487 + 150;           884 - 695;                     536 - 81

Âû÷èñëè:

äåñ. + 8 äåñ.;       65 ñîò. + 7 ñîò.;   8 äåñ. + 5 äåñ. + 3 äåñ.

Âñòàâü ïðîïóùåííûå ÷èñëà:

= …äåñ.+…åä.             73 äåñ. = …ñîò. + …äåñ.

= …äåñ. + … åä. 93 äåñ. = …ñîò. + …äåñ.

 ó÷åáíèêàõ Ò.Å Äåìèäîâîé âñòðå÷àåòñÿ ìíîãî çàäàíèé ñ àëãîðèòìàìè, êîòîðûå òàêæå ìîæíî èñïîëüçîâàòü íà óðîêàõ ôîðìèðîâàíèÿ âû÷èñëèòåëüíûõ íàâûêîâ. Ïðèâåäåì 2 ïðèìåðà òàêèõ çàäàíèé:

Ðàñøèôðóé ñëîâà, ðàñïîëîæèâ ðåçóëüòàòû äåéñòâèé â ïîðÿäêå âîçðàñòàíèÿ.


420

360

200

160





Ö

È

Ë

Á


Òàêèå óïðàæíåíèÿ ïî ôîðìèðîâàíèþ íàâûêà ñàìîêîíòðîëÿ óñèëèâàþò îòâåòñòâåííîñòü ó ó÷àùèõñÿ ïðè âûïîëíåíèè çàäàíèé, ïðèó÷àþò èõ ðàáîòàòü áåç îøèáîê, à ïðè âûÿâëåíèè - òóò æå èõ èñïðàâëÿòü, è àêòèâèçèðóþò ïðîöåññ îáó÷åíèÿ, ïðîáóæäàþò èíòåðåñ ê çàíÿòèÿì.

Îñîáåííîñòüþ ìëàäøåãî øêîëüíîãî âîçðàñòà ÿâëÿåòñÿ íåäîñòàòî÷íàÿ ñôîðìèðîâàííîñòü êà÷åñòâ âíèìàíèÿ, òàêèõ êàê óñòîé÷èâîñòü è ïðîäóêòèâíîñòü. Ó÷èòåëþ íåîáõîäèìî ó÷èòûâàòü äàííóþ îñîáåííîñòü ïðè èçó÷åíèè ó÷åáíîãî ìàòåðèàëà.  ñâÿçè ñ ýòèì, ïðè îðãàíèçàöèè óðîêîâ çàêðåïëåíèÿ èçó÷åííîãî, ó÷èòåëþ íåîáõîäèìî ïîäáèðàòü òàêèå çàäàíèÿ, êîòîðûå ìîãóò çàèíòåðåñîâàòü ó÷àùåãîñÿ, áûòü çàíèìàòåëüíûìè, è â òî æå âðåìÿ âûïîëíÿòü ñâîþ äèäàêòè÷åñêóþ ôóíêöèþ.

Ìíîãî÷èñëåííûå ôàêòû è íàáëþäåíèÿ, ñâÿçàííûå ñ óðîêàìè ìàòåìàòèêè, ñâèäåòåëüñòâóþò, ÷òî â ïåäàãîãè÷åñêîé ïðàêòèêå âûðàáîòêå ó êàæäîãî ó÷åíèêà íåîáõîäèìûõ íàâûêîâ êîíòðîëÿ è ñàìîêîíòðîëÿ óäåëÿåòñÿ êðàéíå íåäîñòàòî÷íîå âíèìàíèå, à íåðåäêî è ïðîñòî èãíîðèðóåòñÿ. Îáó÷åíèå êîíòðîëþ è ñàìîêîíòðîëþ äîëæíî íàéòè ìåñòî ïðè îáúÿñíåíèè íîâîãî ìàòåðèàëà è åãî çàêðåïëåíèè, ÷òî áóäåò ñîîáùàòü ïðîöåññó ôîðìèðîâàíèÿ âû÷èñëèòåëüíûõ íàâûêîâ âûñîêóþ ýôôåêòèâíîñòü, äåëàòü èõ îñîçíàííûìè, ïðî÷íûìè, áåçîøèáî÷íûìè è ñïîñîáíûìè ê øèðîêîìó ïåðåíîñó íà áîëåå ñëîæíûå âû÷èñëèòåëüíûå ïðèåìû.

Íàèëó÷øèõ ðåçóëüòàòîâ â âûðàáîòêå óìåíèé êîíòðîëÿ è ñàìîêîíòðîëÿ ïðè ôîðìèðîâàíèè âû÷èñëèòåëüíûõ íàâûêîâ äîáèâàþòñÿ òå ó÷èòåëÿ, êîòîðûå ïðåäóñìàòðèâàþò è îñóùåñòâëÿþò ýòó ðàáîòó íåïîñðåäñòâåííî íà ñàìîì óðîêå.

Âûïîëíåíèå ðàçëè÷íîãî ðîäà çàäàíèé íà óðîêàõ ìàòåìàòèêè ìîæíî îðãàíèçîâàòü òàê, ÷òî ó÷åíèê, ñäåëàâ îøèáêó, ñàì îáíàðóæèò åå, ñàì (èëè ñ ïîìîùüþ äîïîëíèòåëüíîé èíôîðìàöèè) èñïðàâèò åå è ïîäîéäåò ê ñëåäóþùåìó ýòàïó ðàáîòû òîëüêî ïîñëå ïîëíîãî óñâîåíèÿ ïðåäûäóùåãî ìàòåðèàëà, âûïîëíèâ òàêèì îáðàçîì çàäàíèå òîëüêî ïðàâèëüíî. Ýòî ïðîèçîéäåò â òîì ñëó÷àå, åñëè ó ðåáåíêà ñôîðìèðîâàí íàâûê ñàìîêîíòðîëÿ. Ïîýòîìó ïåäàãîãó î÷åíü âàæíî ïðè îçíàêîìëåíèè ñ âû÷èñëèòåëüíûì íàâûêîì, çàêðåïëåíèè èëè ïîâòîðåíèè äàâàòü çàäàíèÿ ñ ýëåìåíòàìè ñàìîêîíòðîëÿ.

Ê çàäàíèÿì, ôîðìèðóþùèì ñàìîêîíòðîëü, îòíîñÿòñÿ òàêèå, êîòîðûå òðåáóþò îöåíèòü ÷üå-ëèáî ðåøåíèå, íàéòè îøèáêó.

Ïðèìåð çàäàíèÿ:

)        Íåçíàéêà âûïîëíèë ñëîæåíèå òàê:

+ 97062


+ 35678


+ 56706


+ 53628

194


1264


4624


24628

99002


36832


60900


77646


Êàêèå çàìå÷àíèÿ ñäåëàë áû Çíàéêà? Íàéäèòå îøèáêè â ðåøåíèè Íåçíàéêè, åñëè îíè åñòü, è èñïðàâüòå èõ. Ïîñîâåòóéòå Íåçíàéêå, íà ÷òî íóæíî îáðàòèòü îñîáîå âíèìàíèå ïðè ñëîæåíèè ìíîãîçíà÷íûõ ÷èñåë.

Òàêîãî ðàäà çàäàíèÿ ìîæíî èñïîëüçîâàòü íà óðîêå ìàòåìàòèêè íå òîëüêî ïðè ïåðâè÷íîì çàêðåïëåíèè è ñàìîêîíòðîëå, íî è ïðè îòêðûòèè äåòüìè íîâîãî çíàíèÿ.

1)      Ïðèäóìàé çàäàíèÿ ñ «ëîâóøêàìè» äëÿ ñâîåãî ñîñåäà.

Ó÷àùèìñÿ íðàâèòñÿ ïðèäóìûâàòü çàäàíèÿ ñ «ëîâóøêàìè» è ñàìèì íàõîäèòü «ëîâóøêè». Òàêîãî ðîäà çàäàíèå íå òîëüêî ïîçâîëÿåò ñôîðìèðîâàòü âû÷èñëèòåëüíûå íàâûêè, âåäü äëÿ òîãî ÷òîáû ïðèäóìàòü çàäàíèå ñ «ëîâóøêîé», ó÷åíèê äîëæåí çíàòü ïðàâèëüíîå ðåøåíèå ïðèìåðà, ïðåäóãàäàòü âîçìîæíóþ îøèáêó ïðè åãî ðåøåíèè, íî òàêæå ðàçâèâàåò ïîçíàâàòåëüíûå ïðîöåññû ðåáåíêà, â ÷àñòíîñòè, âîîáðàæåíèå è ìûñëèòåëüíûå ïðîöåññû.

Èãðà «×èñëî - êîíòðîëåð».

Ó÷åíèêè ïîëó÷àþò êàðòî÷êè ñ ïðèìåðàìè:

69 890 + 238


69 914+37 080


7895-7856





80 875 - 79056


5648+56245


10169-10042


È ïîäñêàçêó: Ñëîæèòå îòâåòû âñåõ âûðàæåíèé, â ñóììå äîëæíî ïîëó÷èòüñÿ 241000.

Ïñèõîëîãè÷åñêàÿ óñòàíîâêà íà âçàèìíûé êîíòðîëü è ñàìîêîíòðîëü ïðè îáó÷åíèè ìàòåìàòèêå ñòàíåò áîëåå äåéñòâåííîé, åñëè èñïîëüçîâàííûå èãðû, çàäàíèÿ íå òîëüêî ñïîñîáñòâîâàëè ôîðìèðîâàíèþ ó ó÷åíèêîâ îïðåäåëåííûõ óìåíèé è íàâûêîâ, íî è ðàçâèâàëè èõ.

Èãðà «Ëåñåíêà».

Êàæäîé ïàðå ó÷åíèêîâ äàåòñÿ îäíà êàðòî÷êà ñ ïðèìåðàìè:






7 000 - 459





2 886 + 4 114





5 462 - 2576





6 541 - 5 038





1 503 + 3 969





6 541 - 5038







Ïðèìåðû ñîñòàâëåíû òàêèì îáðàçîì, ÷òî îòâåò îäíîãî ÿâëÿåòñÿ íà÷àëîì äðóãîãî. Îòâåò êàæäîãî ïðèìåðà ó÷àùèåñÿ çàïèñûâàþò íà ñîîòâåòñòâóþùåé ñòóïåíüêå. ×òîáû ó÷åíèêè ìîãëè ïðîâåðèòü, ïðàâèëüíî ëè îíè âûïîëíèëè çàäàíèå, ó÷èòåëü, äàâàÿ èíñòðóêöèþ ê åãî âûïîëíåíèþ, ñîîáùàåò ïðèåì ñàìîêîíòðîëÿ. Ýòîò ïðèåì ó÷åíèêè èñïîëüçóþò â ïðîöåññå ñâîåé äåÿòåëüíîñòè (îòâåò îäíîãî ïðèìåðà ÿâëÿåòñÿ íà÷àëîì äðóãîãî, êîíå÷íûé ðåçóëüòàò ðàâåí ïåðâîìó).

Àíàëîãè÷íîé äàííîé èãðå, ÿâëÿåòñÿ çàäàíèå, êîòîðîå ìîæíî äàâàòü ó÷åíèêàì â ïðîöåññå èçó÷åíèÿ ïðèåìàì êàê óñòíûõ, òàê è ïèñüìåííûõ âû÷èñëåíèé. Ýòî òàê íàçûâàåìûå êðóãîâûå ïðèìåðû, ïðåäñòàâëÿþùèå ñîáîé ñåðèþ ïðèìåðîâ (6-12 ïðèìåðîâ), ñîñòàâëÿåìûõ òàê, ÷òî êàæäûé ñëåäóþùèé ïðèìåð íà÷èíàåòñÿ ñ òîãî ÷èñëà, êîòîðîå äîëæíî ïîëó÷èòüñÿ â îòâåòå ïðåäûäóùåãî, à îòâåò ïîñëåäíåãî ïðèìåðà ñîâïàäàåò ñ íà÷àëîì ïåðâîãî.

Ó÷åíèê ìîæåò ðåøàòü ýòó ñåðèþ ïðèìåðîâ ñ ëþáîãî ïðèìåðà. Ðåøèâ ïðèìåð íà âûáðàííîé èì êàðòî÷êå, ó÷åíèê áåðåò ñëåäóþùóþ êàðòî÷êó ñ òàêèì ïðèìåðîì, êîòîðûé íà÷èíàåòñÿ ñ ÷èñëà, ïîëó÷åííîãî â îòâåòå ïðåäûäóùåãî. Åñëè ó÷åíèê ðåøàåò ïðèìåðû ïðàâèëüíî, òî îòâåò ïîñëåäíåãî ïðèìåðà äîëæåí ñîâïàñòü ñ íà÷àëüíûì ÷èñëîì òîãî ïðèìåðà, ñ êîòîðîãî ó÷åíèê íà÷àë ðåøàòü äàííóþ ñåðèþ - êðóã ïðèìåðîâ, òàêèì îáðàçîì, çàìûêàåòñÿ. Åñëè äîïóùåíà ãäå-ëèáî îøèáêà, òî êðóã íå çàìêíåòñÿ, ÷òî ñëóæèò äëÿ ó÷åíèêà ñèãíàëîì î äîïóùåííîé îøèáêå. Êðóãîâûå ïðèìåðû â ðóññêîé ìåòîäè÷åñêîé ëèòåðàòóðå âïåðâûå áûëè îïèñàíû â 1929 ãîäó [17, Ñ. 92]. Äëÿ ðàçâèòèÿ òâîð÷åñêèõ ñïîñîáíîñòåé ìîæíî ïðåäëîæèòü ó÷åíèêàì ñàìèì ñîñòàâèòü òàêèå ïðèìåðû è ïîìåíÿòüñÿ êàðòî÷êàìè, ÷òîáû ñîñåä ïî ïàðòå ðåøèë èõ. Ïîñëå ðåøåíèÿ ïðîâåñòè åùå è âçàèìîïðîâåðêó.

Ïñèõîëîãè÷åñêàÿ óñòàíîâêà íà âçàèìíûé êîíòðîëü è ñàìîêîíòðîëü ïðè îáó÷åíèè ìàòåìàòèêå ñòàíåò áîëåå äåéñòâåííîé, åñëè èñïîëüçîâàííûå èãðû, çàäàíèÿ íå òîëüêî ñïîñîáñòâîâàëè ôîðìèðîâàíèþ ó ó÷åíèêîâ îïðåäåëåííûõ óìåíèé è íàâûêîâ, íî è ðàçâèâàëè èõ.

Íèæå ïðåäëàãàåì íåêîòîðûå èç òàêèõ çàäàíèé:

.        Ñðåäè ÷èñåë 2860, 2875, 20865 èìååòñÿ âåðíîå çíà÷åíèå ñóììû 1568+1307. Âûáåðèòå åãî ñ îáîñíîâàíèåì ñâîåãî ðåøåíèÿ, à ïðîâåðêó ñäåëàéòå âû÷èñëåíèåì äàííîé ñóììû.

.        Íàéäèòå ïðàâèëüíûé îòâåò íà âîïðîñ: «Êàê ìîæíî íàçâàòü ñëåäóþùèå íàòóðàëüíûå ÷èñëà: à) 1000; á)16985; â) 79?»

Âîçìîæíûå îòâåòû:

ìíîãîçíà÷íîå ÷èñëî;

÷åòíîå ÷èñëî;

íå÷åòíîå äâóõçíà÷íîå ÷èñëî.

Ïðè ôîðìèðîâàíèè âû÷èñëèòåëüíûõ íàâûêîâ ìîæíî èñïîëüçîâàòü ïðèìåðû - öåïî÷êè, êàê óïðàæíåíèå äëÿ ðàçâèòèÿ ñàìîêîíòðîëÿ. Èõ ñîñòàâèë Þ.Þ. Áàòèé [31]. Îòâåòû äëÿ ïðèìåðîâ - öåïî÷åê ó÷èòåëü çàïèñûâàåò íà äîñêå â âîçðàñòàþùåì èëè óáûâàþùåì ïîðÿäêå. Ïðèìåðû â äâà ñòîëáèêà ïî âàðèàíòàì çàïèñûâàåòñÿ òîæå íà äîñêå. Íàïðèìåð:

Îòâåòû äëÿ ñàìîêîíòðîëÿ:

; 70; 90; 110; 150; 170; 180; 220; 240; 250; 270; 350; 440; 590.

1 âàðèàíò

2 âàðèàíò

260 - 20 = à

840 - 620 = à

à - 180 + 30 = b

à - 180 +30 = b

b + 120 - 60 = ñ

b +390 - 210 = ñ

ñ + 360 - 70 = d

c -180 +110 = d

d - 120 + 30 = e

d +120 - 250 = e


Ðåøåíèå ïðèìåðîâ èäåò ñëåäóþùèì îáðàçîì:

- 20= 240 (îòâåò åñòü, ïåðåõîäèì ê ñëåäóþùåìó ïðèìåðó);

-180 +30= 90 (îòâåò åñòü, ïåðåõîäèì ê ñëåäóþùåìó ïðèìåðó) è ò.ä.

 ñëó÷àå, åñëè íåïðàâèëüíûé îòâåò ñîâïàäàåò ñ îäíèì èç ïðàâèëüíûõ îòâåòîâ, òî â ñëåäóþùèõ ïðèìåðàõ îí íå íàéäåò ïîäòâåðæäåíèÿ, è ó÷åíèêó ïðèäåòñÿ âåðíóòüñÿ ê ïðèìåðó è èñïðàâèòü îøèáêó. ×òîáû ïðîâåðèòü ïîñëåäíèé ïðèìåð, íóæíî íàéòè ñóììó èëè ðàçíîñòü ñ îòâåòîì ïåðâîãî ïðèìåðà è ñðàâíèòü ðåçóëüòàò ñ îòâåòàìè äëÿ ñàìîêîíòðîëÿ.  äàííîì ñëó÷àå ïîëó÷àåòñÿ: (â ïåðâîì âàðèàíòå) 240 +350 + 590 èëè 350 - 240= 110.

Òàêèì æå îáðàçîì ìîæíî êîíòðîëèðîâàòü ðåøåíèå ïðèìåðîâ íà ïîðÿäîê äåéñòâèé.

Ïðèâåäåì ïðèìåðû çàíèìàòåëüíûõ çàäàíèé, êîòîðûå ìîãóò áûòü èñïîëüçîâàíû ó÷èòåëåì â ïåðèîä îáó÷åíèÿ íàâûêàì «Ïèñüìåííîãî ñëîæåíèÿ è âû÷èòàíèÿ».

Èãðà «Øèôðîâêà». Ðàñøèôðóé íàçâàíèå ñêàçêè. Êòî åå íàïèñàë?


47

15

8

6

15

8


24


49

46

54

8

15

38


18


49

46

54

15

38

























Ðàñøèôðóé è îòãàäàé çàãàäêó.


33

18

15

20

43

20


84

92

87

43

88

5

72
















50

8

15

20

48

50








Ïîìîãèòå ðàêåòå íàáðàòü íóæíóþ ñêîðîñòü.


«Ðåáóñû».


Èãðà «Ñáåæàâøèå öèôðû».


Äëÿ âíåêëàññíîé ðàáîòû èëè êàê âèä äîìàøíåãî çàäàíèÿ ìîæíî èñïîëüçîâàòü ðåøåíèå äåòüìè ìàòåìàòè÷åñêèõ ðàñêðàñîê (ñì. ïðèëîæåíèå 5).

Ñ ïåðâîãî êëàññà íåîáõîäèìî íàöåëèâàòü äåòåé íà òî, ÷òî êîíòðîëèðîâàòü ñåáÿ íóæíî ñðàçó æå, êàê òîëüêî ðåøèëè ñàìîñòîÿòåëüíî õîòÿ áû îäèí ïðèìåð. Ýòèì ðåàëèçóåòñÿ ïðèíöèï íåìåäëåííîé ïðîâåðêè ðåøåíèÿ (ðåøèë ïðèìåð - ïðîâåðü ñåáÿ; óáåäèëñÿ, ÷òî òâîå ðåøåíèå âåðíîå - ïðèñòóïàé ê ðåøåíèþ ñëåäóþùåãî ïðèìåðà).

Ñàìûì ðàñïðîñòðàíåííûì ñïîñîáîì ïðîâåðêè âû÷èñëåíèé ÿâëÿåòñÿ ïðîâåðêà âçàèìîîáðàòíîé îïåðàöèåé - ñëîæåíèå ïðîâåðÿåòñÿ âû÷èòàíèåì, è íàîáîðîò, óìíîæåíèå - äåëåíèåì, äåëåíèå ïðîâåðÿåòñÿ óìíîæåíèåì.

Ñ ïðàâèëàìè ïðîâåðêè ðåçóëüòàòîâ äåéñòâèé ñëîæåíèÿ è âû÷èòàíèÿ äåòè çíàêîìÿòñÿ óæå âî 2 êëàññå.

Ñëîæåíèå ìîæíî ïðîâåðèòü âû÷èòàíèåì:

+ 8 = 84. Ïðîâåðêà: 84 - 8 = 76.

Èç ñóììû âû÷ëè îäíî ñëàãàåìîå, ïîëó÷èëè äðóãîå ñëàãàåìîå. Çíà÷èò ñëîæåíèå âûïîëíåíî âåðíî. Äàííîå ïðàâèëî ïðèìåíèìî ê ïðîâåðêå äåéñòâèÿ ñëîæåíèÿ â ëþáîì êîíöåíòðå (ïðè ïðîâåðêå âû÷èñëåíèé ñ ëþáûìè ÷èñëàìè).

Âû÷èòàíèå ìîæíî ïðîâåðèòü ñëîæåíèåì:

- 25 = 42. Ïðîâåðêà: 42 + 25 = 67

Ê ðàçíîñòè ïðèáàâèëè âû÷èòàåìîå, ïîëó÷èëè óìåíüøàåìîå. Çíà÷èò âû÷èòàíèå âûïîëíåíî âåðíî. Äàííîå ïðàâèëî òàêæå ïðèìåíèìî ê ïðîâåðêå äåéñòâèÿ âû÷èòàíèÿ ñ ëþáûìè ÷èñëàìè.

 3 êëàññå äåòè çíàêîìÿòñÿ ñ ïðàâèëàìè âçàèìîñâÿçè êîìïîíåíòîâ ñëîæåíèÿ è âû÷èòàíèÿ, êîòîðûå ÿâëÿþòñÿ îáîáùåíèåì ïðåäñòàâëåíèé ðåáåíêà î ñïîñîáàõ ïðîâåðêè ñëîæåíèÿ è âû÷èòàíèÿ:

Åñëè èç ñóììû âû÷åñòü îäíî ñëàãàåìîå, òî ïîëó÷èòñÿ äðóãîå ñëàãàåìîå.

+ 8 = 84. Ïðîâåðêà: 84 - 8 = 76, 84 - 76 = 8.

Ñëîæåíèå òàêæå ìîæíî ïðîâåðèòü ñëîæåíèåì, äëÿ ýòîãî ñëåäóåò ïåðåñòàâèòü ñëàãàåìûå è ñíîâà èõ ñëîæèòü.

Íàïðèìåð:

+ 45678

Ïðîâåðêà:

+ 7854


7854


45678


53532


53532

53532=53532 - ñëîæåíèå âûïîëíåíî âåðíî


Ïðîâåðêà äåéñòâèÿ âû÷èòàíèÿ:

Åñëè ñëîæèòü ðàçíîñòü è âû÷èòàåìîå, òî ïîëó÷èòñÿ óìåíüøàåìîå.

Ïðèìåð.                                             Ïðîâåðêà.


Åñëè èç óìåíüøàåìîãî âû÷åñòü ðàçíîñòü, òî ïîëó÷èòñÿ âû÷èòàåìîå.

Ïðèìåð.                                             Ïðîâåðêà.


Òèïè÷íîé îøèáêîé ó÷àùèõñÿ ïðè ñëîæåíèè è âû÷èòàíèè «â ñòîëáèê » ÿâëÿþòñÿ îøèáêè, îáóñëîâëåííûå çàáûâàíèåì åäèíèö òîãî èëè èíîãî ðàçðÿäà, êîòîðûå íàäî áûëî çàïîìíèòü, ïðè âû÷èòàíèè - åäèíèö, êîòîðûå çàíèìàëè.

Íàïðèìåð:


Êàê ìû çíàåì, â îñíîâå âûïîëíåíèÿ ïèñüìåííûõ ñïîñîáîâ âû÷èñëåíèé ëåæèò èñïîëüçîâàíèå ïðàâèëà ñëîæåíèÿ ñóììû ñ ñóììîé.  ÿâíîì âèäå â ñîâðåìåííûõ ó÷åáíèêàõ ìàòåìàòèêè äëÿ íà÷àëüíûõ êëàññîâ äàííîå ïðàâèëî íå èçó÷àåòñÿ, îíî çàìåíåíî óïðîùåííûì âàðèàíòîì ïðàâèëà ïîðàçðÿäíîãî ñëîæåíèÿ: åäèíèöû ñêëàäûâàþò ñ åäèíèöàìè, äåñÿòêè ñ äåñÿòêàìè.

Ðàññìîòðèì îñíîâíûå ïðèåìû ñàìîêîíòðîëÿ, êîòîðûå ðåáåíîê ìîæåò èñïîëüçîâàòü âî èçáåæàíèå âîçìîæíûõ îøèáîê â âû÷èñëåíèÿõ.

Ïèñüìåííûé àëãîðèòì ñëîæåíèÿ è âû÷èòàíèÿ ñîäåðæèò:

.        Ïðàâèëî çàïèñè ñëàãàåìûõ (èëè óìåíüøàåìîãî è âû÷èòàåìîãî) ïðè ïèñüìåííîì ñëîæåíèè (âû÷èòàíèè): ðàçðÿä çàïèñûâàåòñÿ ïîä ñîîòâåòñòâóþùèì ðàçðÿäîì.

Äëÿ âûïîëíåíèÿ äàííîãî ïóíêòà ðåáåíîê äîëæåí âëàäåòü çíàíèÿìè ðàçðÿäíîãî ñîñòàâà ÷èñåë è ñîîòíîøåíèå ðàçðÿäíûõ åäèíèö. Ñàìîêîíòðîëåì ìîæåò ñëóæèòü íà äàííîì ýòàïå íàâîäÿùèå âîïðîñû, íàïðàâëåííûå íà ñàìîãî ñåáÿ: «âåðíî ëè ÿ çàïèñàë âòîðîå ñëàãàåìîå?», ëèáî âíóòðè ïðîãîâàðèâàòü: ïèøó ïåðâîå ñëàãàåìîå (óìåíüøàåìîå), ïîä íèì âòîðîå ñëàãàåìîå (âû÷èòàåìîå) òàê, ÷òîáû åäèíèöû áûëè çàïèñàíû ïîä åäèíèöàìè, äåñÿòêè ïîä äåñÿòêàìè, ñîòíè - ïîä ñîòíÿìè è ò.ä.».

Îñîáåííîå ýòî íåîáõîäèìî ïðè ïèñüìåííûõ âû÷èñëåíèÿõ ÷èñåë ïåðâîé òûñÿ÷è è ìíîãîçíà÷íûõ ÷èñåë.

.        Óêàçàíèå íà ïîðÿäîê âûïîëíåíèÿ äåéñòâèé: ñëîæåíèå (âû÷èòàíèå) íà÷èíàåòñÿ ñ ðàçðÿäà åäèíèö (ñïðàâà íàëåâî).

Ýòî ÿâëÿåòñÿ ãëàâíûì îòëè÷èåì ïèñüìåííûõ âû÷èñëåíèé îò óñòíûõ. Åñëè ïðè óñòíûõ âû÷èñëåíèÿõ âñåãäà íà÷èíàþò ñî ñòàðøèõ ðàçðÿäîâ è âûïîëíÿþò äåéñòâèå, äâèãàÿñü ñëåâà íàïðàâî, òî ïðè ïèñüìåííûõ âû÷èñëåíèÿõ âñåãäà íà÷èíàþò ñ ðàçðÿäà åäèíèö è âûïîëíÿþò äåéñòâèå, äâèãàÿñü ñïðàâà íàëåâî.

 äàííîì ñëó÷àå ðåáåíêó äîñòàòî÷íî óñâîèòü äàííîå ïðàâèëî àëãîðèòìà.

.        Ïðèåì äîáàâëåíèÿ íàêàïëèâàþùèõñÿ åäèíèö ñòàðøèõ ðàçðÿäîâ è ñîîòâåòñòâóþùèé ðàçðÿä ïîñëå âûïîëíåíèÿ îñíîâíîãî ñëîæåíèÿ. Ïðèåì «çà¸ìà» ðàçðÿäíûõ åäèíèö â ñòàðøèõ ðàçðÿäàõ ïðè âû÷èòàíèè â ñëó÷àå íåõâàòêè åäèíèö äëÿ âûïîëíåíèÿ äåéñòâèé

Îñíîâíîé ïðè÷èíîé îøèáîê, äîïóñêàåìûõ äåòüìè ïðè ïèñüìåííûõ âû÷èñëåíèÿõ, ÿâëÿåòñÿ òî, ÷òî îíè çàáûâàþò äîáàâëÿòü íàêàïëèâàþùèåñÿ åäèíèöû ê ñòàðøåìó ðàçðÿäó (ïðè ñëîæåíèè), ëèáî òåðÿþò êîëè÷åñòâî «çàåìíûõ äåñÿòêîâ» (ïðè âû÷èòàíèè).

Ðàññìîòðèì ðàçëè÷íûå ïî ñëîæíîñòè ñëó÷àè ñëîæåíèÿ è âû÷èòàíèÿ ïðèåìû ñàìîêîíòðîëÿ, êîòîðûå ìîæíî ê íèì ïðèìåíèòü äëÿ ïðîôèëàêòèêè îøèáîê.

.        Ñëó÷àè ñëîæåíèÿ ñ îäíèì ïåðåõîäîì ÷åðåç îäèí ðàçðÿä.

Ïðèìåðû: 356 + 272, 338 + 23.

 äàííîì ñëó÷àå ó÷åíèê äîëæåí õîðîøî âëàäåòü òàáëèöåé ñëîæåíèÿ â ïðåäåëàõ 20, à òàêæå íå çàáûòü íåîáõîäèìîñòè ñëîæåíèÿ íàêîïèâøåéñÿ åäèíèöû ê ñîîòâåòñòâóþùåìó ðàçðÿäó.

Äëÿ ñàìîêîíòðîëÿ ìîæåò áûòü èñïîëüçîâàíî ÷èñëî, íàäïèñàííîå íàä ñîîòâåòñòâóþùèì ðàçðÿäîì, ê êîòîðîìó ñëåäóåò ïðèáàâèòü íàêîïèâøóþñÿ åäèíèöó.

Íàïðèìåð:

1

+ 356

272

628


Íà äàííîì ïðèìåðå âèäíî, ÷òî ïðè ñëîæåíèè äåñÿòêîâ ïîëó÷èëîñü ÷èñëî 12, ïî àëãîðèòìó ðåáåíîê ðàññóæäàåò òàê: 5 äåñ. + 7 äåñ. Ïîëó÷àåòñÿ 12 äåñ.; 2 ïèøó, 1 çàïîìèíàþ. ×òîáû íå çàáûòü ïðî íàêîïèâøóþñÿ åäèíèöó 1, ó÷åíèê ìîæåò íàäïèñàòü å¸ íàä åäèíèöåé ñîòåí.

.        Ñëó÷àè ñëîæåíèÿ ñ äâóìÿ ïåðåõîäàìè ÷åðåç ðàçðÿä:

Ïðè¸ì ñàìîêîíòðîëÿ ìîæåò áûòü èñïîëüçîâàí àíàëîãè÷íûé. Ïîêàæåì íà êîíêðåòíîì ïðèìåðå:

1 1

+ 437

95

532


Íà äàííîì ïðèìåðå ìû âèäèì, ÷òî ïðè ñëîæåíèè åäèíèö, ïîëó÷èëîñü ÷èñëî, ïðåâûøàþùåå 10, è ïðè ñëîæåíèè äåñÿòêîâ ïîëó÷èëîñü ÷èñëî áîëüøå 10, ó÷åíèê òàêæå êàê è â ïðåäûäóùåì ïðèìåðå, àíàëîãè÷íî íàäïèñûâàåò íàä ñîîòâåòñòâóþùèì ðàçðÿäîì ÷èñëî, îáîçíà÷àþùåå, ñêîëüêî íåîáõîäèìî áóäåò ïðèáàâèòü ê ðàçðÿäíîé åäèíèöå ïîñëå îñíîâíîãî ñëîæåíèÿ.

.        Ñëó÷àè âû÷èòàíèÿ ñ îäíèì ïåðåõîäîì ÷åðåç ðàçðÿä (ñ îäíèì «çà¸ìîì»).

Ïðèìåð:

·

- 637

273

364



Êàê âèäíî èç äàííîãî ïðèìåðà, ïðè âû÷èòàíèè äåñÿòêîâ âîçíèêëà íåîáõîäèìîñòü çàåìà èç ðàçðÿäà ñîòåí 1 åäèíèöû, ïðè¸ìîì ñàìîêîíòðîëÿ äëÿ ðåáåíêà áóäåò ñëóæèòü òî÷êà, ïîñòàâëåííàÿ íàä òåì ðàçðÿäîì, îòêóäà çàíÿëè ðàçðÿäíóþ åäèíèöó. Ó÷åíèê ïðè âûïîëíåíèè äàííîãî ïðèìåðà ðàññóæäàåò òàê:

.        Ïèøó åäèíèöû ïîä åäèíèöàìè, äåñÿòêè ïîä äåñÿòêàìè, ñîòíè ïîä ñîòíÿìè.

.        Âû÷èòàþ åäèíèöû: 7 - 3 = 4. Ïèøó ïîä åäèíèöàìè 4.

.        Âû÷èòàþ äåñÿòêè: èç 3 íåëüçÿ âû÷åñòü 7. Çàíèìàþ 1 ñîòíþ èç 6 ñîòåí (íàä öèôðîé 6 ó÷åíèê ñòàâèò òî÷êó, ÷òîáû íå çàáûòü, ÷òî îí çàíÿë îòòóäà 1 ñîòíþ). 13 - 7 = 6. Ïèøó ïîä äåñÿòêàìè 6.

.        Âû÷èòàþ ñîòíè. Áûëî 6 ñîòåí, íî 1 ñîòíþ çàíÿëè ïðè âû÷èòàíèè äåñÿòêîâ. Îñòàëîñü 5 ñîòåí. 5 - 2 = 3. Ïèøó 3 ïîä ñîòíÿìè.

.        ×èòàþ îòâåò: ðàçíîñòü ðàâíà 26.

.        Ñëó÷àè âû÷èòàíèÿ ñ äâóìÿ ïåðåõîäàìè ÷åðåç ðàçðÿä (ñ äâóìÿ «çàåìàìè»).

Ïðèìåð:

· ·

-754

687

97


Ïðè¸ì ñàìîêîíòðîëÿ â äàííîì ñëó÷àå àíàëîãè÷åí ïðåäûäóùåìó ïðèìåðó. Ðàññóæäåíèÿ ðåáåíêà òàêèå æå, îòëè÷èå çàêëþ÷àåòñÿ ëèøü â òîì, ÷òî «çà¸ì» áûë ïðîèçâåäåí 2 ðàçà: ïðè âû÷èòàíèè ðàçðÿäà åäèíèö è ïðè âû÷èòàíèè ðàçðÿäà äåñÿòêîâ.

.        Ñëó÷àè âû÷èòàíèÿ ñ ïåðåõîäàìè ÷åðåç ðàçðÿä, òðåáóþùèå «çà¸ìà» ñ ïåðåõîäîì ÷åðåç ðàçðÿä.

Ïðèìåð:

· 9

- 807

239

568


Ïîñëåäíèé ñëó÷àé òðåáóåò «çàåìà» ðàçðÿäíîé åäèíèöû èç ðàçðÿäà ñîòåí, ðàñêëàäûâàíèÿ å¸ íà äåñÿòêè, «çà¸ìà» îäíîãî äåñÿòêà äëÿ âûïîëíåíèÿ äåéñòâèé â ðàçðÿäå åäèíèö, à çàòåì âûïîëíåíèÿ äåéñòâèé ñ îñòàòêîì «çà¸ìíûõ» äåñÿòêîâ â ðàçðÿäå äåñÿòêîâ.

Ýòîò ñëó÷àé ÿâëÿåòñÿ íàèáîëåå ñëîæíûì äëÿ ìíîãèõ äåòåé. Äëÿ òîãî ÷òîáû íå òåðÿòü êîëè÷åñòâî «çà¸ìíûõ» äåñÿòêîâ, ìîæíî ïîäïèñûâàòü íàä íóëåì óìåíüøàåìîãî äåâÿòêó, îáîçíà÷àÿ êîëè÷åñòâî îñòàâøèõñÿ çà¸ìíûõ äåñÿòêîâ. Ïðè ýòîì íàä âîñüìåðêîé ñëåäóåò ïîñòàâèòü «òî÷êó», ëèáî ñåìåðêó, ÷òîáû íå çàáûòü, ÷òî êîëè÷åñòâî ñîòåí íà îäíó óìåíüøèëîñü çà ñ÷åò «çà¸ìà».

Âàæíûì ýëåìåíòîì âû÷èñëèòåëüíîé êóëüòóðû ÿâëÿåòñÿ óìåíèå âûïîëíÿòü ïðèêèäêó è îöåíêó ðåçóëüòàòà, äàííûé ïðèåì ìîæíî èñïîëüçîâàòü è â ñàìîêîíòðîëå ïðè âûïîëíåíèè âû÷èñëèòåëüíûõ íàâûêîâ [22].

Ïðèêèäêà, êàê ïðèåì ñàìîêîíòðîëÿ ïðè ôîðìèðîâàíèè âû÷èñëèòåëüíûõ íàâûêîâ â íà÷àëüíîé øêîëå íà óðîêàõ ìàòåìàòèêè, òàê êàê áîëüøîé ïðîöåíò íåïðàâèëüíî ïîëó÷åííûõ îòâåòîâ ïðè âû÷èñëåíèÿõ çà÷àñòóþ ñâÿçàíî ñ íåâíèìàòåëüíîñòüþ ó÷àùèõñÿ ïðè âû÷èñëåíèÿõ, ïðîïóñêàìè öèôð, íåïðàâèëüíîé çàïèñüþ ÷èñëà ïðè ïèñüìåííûõ âû÷èñëåíèÿõ, êîãäà íàðóøàåòñÿ ïðàâèëüíî ïîðàçðÿäíîãî ïðèïèñûâàíèÿ âòîðîãî ñëàãàåìîãî èëè ìíîæèòåëÿ ïîä ïåðâûì.

Òàêèì îáðàçîì, ñïîñîáíîñòü ìëàäøèõ ó÷àùèõñÿ ê ñàìîêîíòðîëþ ÿâëÿåòñÿ óñëîâèåì ôîðìèðîâàíèÿ âû÷èñëèòåëüíûõ íàâûêîâ íà óðîêàõ ìàòåìàòèêè.

Ðàññìîòðèì èñïîëüçîâàíèå ïðèåìà ïðèêèäêè ïðè ðåøåíèè çàäàíèé.

+ 121346

3502

124848


Ìàøà âûïîëíèëà çàäàíèå òàê:

+ 121346

3502

471546


Ìèøà - òàê:

Äîãàäàéñÿ! Êòî äîïóñòèë îøèáêó è â ÷åì åå ïðè÷èíà? Ïðîâåðü ñâîå ïðåäïîëîæåíèå ñ ïîìîùüþ êàëüêóëÿòîðà [24].

 äàííîì ïðèìåðå ó÷åíèê ñðàçó äîãàäàòüñÿ, ÷òî ðåçóëüòàò íåâåðíûé, çàìåòèâ íåïðàâèëüíóþ çàïèñü âûðàæåíèÿ «â ñòîëáèê».

Íî â ñëó÷àå, åñëè ó ðåáåíêà íå ñôîðìèðîâàí íàâûê ïðàâèëüíîé çàïèñè âûðàæåíèÿ «â ñòîëáèê», åìó ïîìîæåò âûÿâèòü îøèáêó, à â äàëüíåéøåì, èçáåãàòü èõ ïîâòîðåíèÿ ñïîñîá «ïðèêèäêè ðåçóëüòàòà». Ó÷åíèê, èñïîëüçóÿ ïðèêèäêó, íàõîäèò èíòåðâàë âîçìîæíûõ çíà÷åíèé âûðàæåíèÿ. Îêðóãëèâ ÷èñëà 121346 äî 121500, à 3502 äî 3500, çàòåì ñëîæèâ èõ, ïîëó÷àåò ìàêñèìàëüíî äîïóñòèìîå çíà÷åíèå âûðàæåíèÿ - 121500+3500 = 125000. Íå âûïîëíÿÿ âû÷èñëåíèé, ó÷åíèê äîãàäàåòñÿ, ÷òî Ìèøà ðåøèë ïðèìåð â ñòîëáèê íåâåðíî, ò.ê. 471546 > ìàêñèìàëüíî äîïóñòèìîãî çíà÷åíèÿ âûðàæåíèÿ.

Äàëåå âûïîëíèâ âû÷èñëåíèÿ ñ ïîìîùüþ êàëüêóëÿòîðà, ïîëó÷àåò òî÷íîå çíà÷åíèå âûðàæåíèÿ:121346+3502=124848.

Òàêèì îáðàçîì, ïðèêèäêà ÿâëÿåòñÿ âàæíûì ïðèåìîì ñàìîêîíòðîëÿ, áëàãîäàðÿ êîòîðîìó ó÷àùèåñÿ ñìîãóò èçáåæàòü îøèáîê ïðè âû÷èñëåíèÿõ, çíàÿ çàðàíåå êàêîé ïðèáëèçèòåëüíî îòâåò äîëæåí ïîëó÷èòüñÿ. Ýòî îñîáåííî âàæíî â òåõ ñëó÷àÿõ, êîãäà íåïðàâèëüíî ïîëó÷åííûé îòâåò - íå ðåçóëüòàò îòñóòñòâèÿ âû÷èñëèòåëüíîãî íàâûêà, à êàê ñëåäñòâèå íåâíèìàòåëüíîñòè ñî ñòîðîíû ó÷åíèêà. Óñòàíîâëåíèå âîçìîæíûõ ïðåäåëîâ îæèäàåìîãî îòâåòà ïðåäóïðåæäàåò íåäî÷åòû òèïà îïèñîê, ïðîïóñêà öèôð è ò.ä. Âëàäåíèå äåòüìè äàííîãî ïðèåìà áóäåò ïîëåçíî è â ñðåäíåé øêîëå. Ïîýòîìó ó÷èòåëþ íåîáõîäèìî ïîçíàêîìèòü äåòåé ñ äàííûì ïðèåìîì ñàìîêîíòðîëÿ ïðè âû÷èñëåíèÿõ óæå ñ ïåðâûõ óðîêîâ íà ôîðìèðîâàíèå âû÷èñëèòåëüíûõ íàâûêîâ.

Âû÷èñëèòåëüíûå íàâûêè óñïåøíî ôîðìèðóþòñÿ ó ó÷àùèõñÿ ïðè ñîçäàíèè â ó÷åáíîì ïðîöåññå îïðåäåëåííûõ óñëîâèé. Ïðåæäå âñåãî, ýòî çíàíèå ó÷åíèêîì ïîñëåäîâàòåëüíîñòè äåéñòâèé, óìåíèå âûäåëèòü ãëàâíîå, à òàêæå íåçàìåäëèòåëüíàÿ ïðîâåðêà ïîëó÷åííûõ äàííûõ, ñàìîêîíòðîëü. Êðîìå òîãî, íåîáõîäèìî ïîñòîÿííî ïîääåðæèâàòü àêòèâíûé èíòåðåñ ó äåòåé, ïðîäóìûâàòü ïîëîæèòåëüíîå åãî ïîäêðåïëåíèå. Ïðèíöèïèàëüíîå çíà÷åíèå èìååò ïðàâèëüíîå ðàñïðåäåëåíèå óïðàæíåíèé âî âðåìåíè è èõ ðàçíîîáðàçèå. Ïîíÿòíî, ÷òî íà êàæäîì óðîêå ïîñòîÿííî äîëæíû èìåòü ìåñòî è îòðàáàòûâàòüñÿ íàâûêè êîíòðîëÿ, ñàìîêîíòðîëÿ è ñàìîîöåíêè.

Ýôôåêòèâíîñòü äàííîé ðàáîòû âî ìíîãîì áóäåò çàâèñåòü, âî-ïåðâûõ, îò òîãî, íàñêîëüêî ñàì ó÷èòåëü ãîòîâ ïîñëåäîâàòåëüíî è ðåãóëÿðíî âêëþ÷àòü ýòè çàäàíèÿ â õîä óðîêà, êîììåíòèðîâàòü èõ ñ òî÷êè çðåíèÿ âîçìîæíûõ îøèáîê; âî-âòîðûõ, îò òîãî, íàñêîëüêî ó÷åíèêè îñîçíàííî âûïîëíÿþò ýòè çàäàíèÿ, ïîíèìàÿ êîíå÷íóþ öåëü êàê ìîæíî ìåíüøå äîïóñêàòü îøèáîê ïðè âûïîëíåíèè ïèñüìåííûõ âû÷èñëåíèé.

Òàêèì îáðàçîì, â äàííîì ïàðàãðàôå ìû ðàññìîòðåëè îñíîâíûå ñïîñîáû óñòðàíåíèÿ è ïðåäóïðåæäåíèÿ îøèáîê ó÷àùèõñÿ ïðè ñëîæåíèè è âû÷èòàíèè â ñòîëáèê. Îïèñàëè è ïðèâåëè ïðèìåðû ñïåöèàëüíûõ çàäàíèé, ôîðìèðóþùèõ ñàìîêîíòðîëü è ðàçâèâàþùèõ âû÷èñëèòåëüíûå íàâûêè ó÷àùèõñÿ. Ðàññìîòðåëè îñíîâíûå ïðèåìû ñàìîêîíòðîëÿ, êîòîðûå ïîìîãóò ó÷àùèìñÿ íå äîïóñêàòü îøèáêè, ñâÿçàííûå ñ íåâíèìàòåëüíîñòüþ è ïðîïóñêàìè öèôð. Òàêæå íàìè áûë îïèñàí ïðèåì «ïðèêèäêè ðåçóëüòàòà» êàê ñïîñîá ïðåäóïðåæäåíèÿ îøèáêè â âû÷èñëåíèÿõ. Ãðàìîòíûé ïîäáîð è èñïîëüçîâàíèå âûøåïåðå÷èñëåííûõ ïðèåìîâ è ñïîñîáîâ ïðåäóïðåæäåíèÿ îøèáîê íà óðîêàõ ïîìîãàþò ó÷èòåëþ ñôîðìèðîâàòü ó ó÷àùèõñÿ íàâûêè ïèñüìåííûõ âû÷èñëåíèé ñëîæåíèÿ è âû÷èòàíèÿ.

ÃËÀÂÀ 2. ÝÊÑÏÅÐÈÌÅÍÒÀËÜÍÎ-ÏÐÀÊÒÈ×ÅÑÊÀß ÐÀÁÎÒÀ ÏÎ ÔÎÐÌÈÐÎÂÀÍÈÞ ÍÀÂÛÊΠÏÈÑÜÌÅÍÍÎÃÎ ÑËÎÆÅÍÈß È ÂÛ×ÈÒÀÍÈß Ó Ó×ÀÙÈÕÑß 3 «Á» ÊËÀÑÑÀ

Öåëü èññëåäîâàíèÿ - èçó÷èòü âîçìîæíîñòè èñïîëüçîâàíèÿ ïðè¸ìîâ ñàìîêîíòðîëÿ, çàíèìàòåëüíûõ çàäàíèé, òðåíèðîâî÷íûõ óïðàæíåíèé äëÿ ôîðìèðîâàíèÿ âû÷èñëèòåëüíûõ íàâûêîâ ïèñüìåííîãî ñëîæåíèÿ è âû÷èòàíèÿ â 3-åì «Á» êëàññå (ýêñïåðèìåíòàëüíîì).

Ýêñïåðèìåíòàëüíî-ïðàêòè÷åñêàÿ ðàáîòà ïðîâîäèëàñü ñ 28 ÿíâàðÿ ïî 11 àïðåëÿ 2013ãîäà íà áàçå ÌÎÓ ÑÎØ ¹ 36 ã. Òâåðè.  èññëåäîâàíèè ïðèíèìàëè ó÷àñòèå äâà êëàññà 3-é «À» è 3 «Á». Îáà êëàññà çàíèìàþòñÿ ïî òðàäèöèîííîé ïðîãðàììå «Øêîëà Ðîññèè», îáó÷åíèå ìàòåìàòèêå âåäåòñÿ ïî ó÷åáíèêàì Ì.È.Ìîðî. 3-é «À» êëàññ îïðåäåëåí êàê êîíòðîëüíûé, 3-é «Á» − ýêñïåðèìåíòàëüíûé.  êëàññàõ ïî 21 ó÷àùèõñÿ óñïåâàåìîñòü ïî ìàòåìàòèêå ñðåäíÿÿ, îòñòàþùèõ íåò. Èññëåäîâàíèå ïðîâîäèëîñü â òðè ýòàïà:

Òàáëèöà 3

Ýòàïû

Öåëü

Ñîäåðæàíèå ýêñïåðèìåíòàëüíîé ðàáîòû

Ìåòîäû è ìåòîäèêè

1-é êîíñòàòèðóþùèé

Îïðåäåëèòü óðîâåíü îáó÷åííîñòè ó÷àùèõñÿ 3-ãî «À» è 3 «Á» êëàññîâ ïî òåìå «Ïèñüìåííîå ñëîæåíèå è âû÷èòàíèå», ïðîâåñòè àíàëèç ïîëó÷åííûõ ðåçóëüòàòîâ è îøèáîê

Ó÷àùèìñÿ ïðåäëàãàåòñÿ âûïîëíèòü ñàìîñòîÿòåëüíóþ è êîíòðîëüíóþ ðàáîòû. Íà îñíîâå àíàëèçà èõ ðàáîò âûÿâèòü ñôîðìèðîâàíû ëè ó íèõ âû÷èñëèòåëüíûå íàâûêè ïèñüìåííîãî ñëîæåíèÿ è âû÷èòàíèÿ

Ìåòîäèêà Â.Ï. Ñèìîíîâà (îáó÷åííîñòü), ìîíèòîðèíã ÌÎÓ ÑÎØ ¹33 ã. Òàãàíðîãà

2-é ôîðìèðóþùèé

Ðàçðàáîòàòü è àïðîáèðîâàòü ìåòîäèêó ôîðìèðîâàíèÿ âû÷èñëèòåëüíûõ íàâûêîâ ïèñüìåííîãî ñëîæåíèÿ è âû÷èòàíèÿ ó ó÷àùèõñÿ 3-ãî «Á» êëàññà (ýêñïåðèìåíòàëüíîãî)

Ðàçðàáîòêà ôðàãìåíòîâ óðîêîâ ïî ìàòåìàòèêå â 3-ì êëàññå ñ èñïîëüçîâàíèåì ïðè¸ìîâ ñàìîêîíòðîëÿ, òðåíèðîâî÷íûõ óïðàæíåíèé, çàíèìàòåëüíûõ çàäà÷, ïîäãîòîâêà äèäàêòè÷åñêîãî ìàòåðèàëà

Ïåäàãîãè÷åñêèé ýêñïåðèìåíò, ôðàãìåíòû óðîêîâ ñ èñïîëüçîâàíèåì ðàçíîîáðàçíûõ òðåíèðîâî÷íûõ óïðàæíåíèé, çàíèìàòåëüíûõ çàäà÷.

3-é êîíòðîëüíûé

Èçó÷èòü ñôîðìèðîâàííîñòü âû÷èñëèòåëüíûõ íàâûêîâ ïèñüìåííîãî ñëîæåíèÿ è âû÷èòàíèÿ ïîñëå ïðîâåäåíèÿ ôîðìèðóþùåé ðàáîòû

Ïðîâåäåíèå ïîâòîðíûõ ñàìîñòîÿòåëüíûõ è êîíòðîëüíûõ ðàáîò. Íà îñíîâå àíàëèçà ðåçóëüòàòîâ îïðåäåëèòü óðîâåíü îáó÷åííîñòè ó÷àùèõñÿ ïî òåìå «Ïèñüìåííîå ñëîæåíèå è âû÷èòàíèå»

Ìåòîäèêà Â.Ï. Ñèìîíîâà (îáó÷åííîñòü), ìîíèòîðèíã ÌÎÓ ÑÎØ ¹33 ã. Òàãàíðîãà


2.1 Äèàãíîñòèêà ñôîðìèðîâàííîñòè âû÷èñëèòåëüíûõ íàâûêîâ ïèñüìåííîãî ñëîæåíèÿ è âû÷èòàíèÿ ó ìëàäøèõ øêîëüíèêîâ íà êîíñòàòèðóþùåì ýòàïå

Öåëü è çàäà÷è ýòàïà: îïðåäåëèòü ïðè ïîìîùè ðåçóëüòàòîâ ñàìîñòîÿòåëüíîé ðàáîòû è êîíòðîëüíîé ðàáîòû ¹1 ñôîðìèðîâàííîñòü íàâûêîâ ïèñüìåííîãî è âû÷èòàíèÿ ó÷àùèõñÿ 3-ãî «À» è 3-ãî «Á» êëàññîâ, èñïîëüçóÿ ìåòîäèêó Â.Ï. Ñèìîíîâà ïî âûÿâëåíèþ ñòåïåíè óðîâíÿ îáó÷åííîñòè; ïðîâåñòè àíàëèç ïîëó÷åííûõ ðåçóëüòàòîâ è îøèáîê.

Íàìè áûë ïðîâåäåí ìàòåìàòè÷åñêèé äèêòàíò íà çíàíèå íóìåðàöèè â ïðåäåëàõ 100 è ñôîðìèðîâàííîñòü âû÷èñëèòåëüíûõ íàâûêîâ â ïðåäåëàõ 100, ñàìîñòîÿòåëüíàÿ è êîíòðîëüíàÿ ðàáîòà ¹ 1, ñîñòîÿùèå èç 2 âàðèàíòîâ. Ñîäåðæàíèå äàííûõ ðàáîò ïðåäñòàâëåíî íèæå.

Ñîäåðæàíèå ìàòåìàòè÷åñêîãî äèêòàíòà.

.        Íà ñêîëüêî 56 áîëüøå 4?

.        Çàïèøè ÷èñëî, â êîòîðîì 7 äåñÿòêîâ è 4 åäèíèöû. Óâåëè÷ü åãî íà 2 äåñÿòêà.

.        Ñêîëüêî íàäî ïðèáàâèòü ê 18, ÷òîáû ïîëó÷èòü 28?

.        Íàéäè ñóììó è ðàçíîñòü ÷èñåë 57 è 3. Íà ñêîëüêî ñóììà ýòèõ ÷èñåë áîëüøå èõ ðàçíîñòè?

.        Êàêîå ÷èñëî ìåíüøå 40 íà 4?

.        Óìåíüøàåìîå ðàâíî 80, ðàçíîñòü - 20. Íàéäèòå âû÷èòàåìîå.

.        Çàïèøèòå ÷èñëî, êîòîðîå íàõîäèòñÿ ìåæäó ÷èñëàìè 75 è 73. Óìåíüøèòå åãî íà 5.

.        Ê êàêîìó ÷èñëó íàäî ïðèáàâèòü 30, ÷òîáû ïîëó÷èòü 58?

.        Ïåðâîå ñëàãàåìîå - 3 äåñÿòêà, ñóììà - 70. Íàéäèòå âòîðîå ñëàãàåìîå.

.        Èç êàêîãî ÷èñëà âû÷ëè 4, åñëè ïîëó÷èëè 39?

Ñîäåðæàíèå ñàìîñòîÿòåëüíîé ðàáîòû ¹1.

Âàðèàíò 1.

.         øêîëó ïðèâåçëè 66 êîìïüþòåðîâ. Ïîñëå òîãî, êàê íåñêîëüêî êîìïüþòåðîâ óñòàíîâèëè, îñòàëîñü óñòàíîâèòü åùå 48 êîìïüþòåðîâ. Ñêîëüêî êîìïüþòåðîâ óæå óñòàíîâèëè? (âû÷èñëåíèÿ âûïîëíè «ñòîëáèêîì»).

.        Âûïîëíè âû÷èñëåíèÿ «ñòîëáèêîì»:

+9               79-60                   50-34                   27+40         90-4            38+9          62+15

.        Ñðàâíè è ïîñòàâü çíàê >, < èëè =:

+ 3…12      13 - 7…9    15 - 9…7    5 + 6…11   14 - 8…6    8 + 5…12

.        Âìåñòî * âñòàâü öèôðû òàê, ÷òîáû çàïèñè áûëè âåðíûìè:

*8 > 59 - 1  80 + 3 < *2

. Èñïîëüçóÿ ÷èñëà 50, 5, 54, 3, 39, 2, 42, 7, 49 è 5, ñîñòàâü ïðèìåðû íà ñëîæåíèå è âû÷èòàíèå ñ îòâåòîì 42.

Âàðèàíò 2.

.        Ñàøå íàäî ñîñòàâèòü êàðòèíêó èç 82 äåòàëåé. Ïîñëå òîãî, êàê îí ñîåäèíèë íåñêîëüêî äåòàëåé, ó Ñàøè îñòàëîñü åùå 24 äåòàëè. Ñêîëüêî äåòàëåé óæå ñîåäèíèë Ñàøà? (âûïîëíè âû÷èñëåíèÿ «ñòîëáèêîì»)

.        Âûïîëíè âû÷èñëåíèÿ «â ñòîëáèê».

+3               57-40                   70-52                   38+50         80-7            76+9          53+16

.        Ñðàâíè è ïîñòàâü çíàê >, < èëè =:

+ 7…15 16 - 7…9         12 - 4 …8 7 + 4…12            14 - 8…5

.        Âìåñòî * âñòàâü öèôðû òàê, ÷òîáû çàïèñè áûëè âåðíûìè:

*7 > 88 - 1           70 + 6 < *5

. Èñïîëüçóÿ ÷èñëà 50, 5, 54, 3, 39, 2, 42, 7, 49 è 5, ñîñòàâü ïðèìåðû íà ñëîæåíèå è âû÷èòàíèå ñ îòâåòîì 42.

Ñîäåðæàíèå êîíòðîëüíîé ðàáîòû ¹1

I âàðèàíò

.        Ðåøè ïðèìåðû ñ ïðîâåðêîé.

+ 64           88 - 45                16 + 52

.        Ïîñìîòðè, ïðàâèëüíî ëè çàïèñàíû ïðèìåðû â ñòîëáèê. Çà÷åðêíè ïðèìåðû, â çàïèñè êîòîðûõ äîïóùåíû îøèáêè.

+ 26


+ 48


- 68


50


+ 29

33


25


38


12


31











3.      Çàïèøè ïðèìåðû â ñòîëáèê è ðåøè èõ.

+ 54            36 + 28       54 - 32        76 - 39

.        Ïðîâåðü, ïðàâèëüíî ëè ðåøåíû ïðèìåðû, è çà÷åðêíè íåâåðíûå îòâåòû.  ñêîáêàõ çàïèøè ïðàâèëüíûé îòâåò.

+ 32


- 87


+ 26

24


35


38

56 ( )


52 ( )


54( )


5.      Âîññòàíîâè ïðèìåðû. Âìåñòî ìíîãîòî÷èé âñòàâü ïðîïóùåííûå öèôðû.

+ 1…                    + 3…                             +2…

…2             ... 4                              … 7

                    84                                82

II âàðèàíò.

.        Ðåøè ïðèìåðû ñ ïðîâåðêîé.

- 35             23 + 46               54 - 23

.        Ïîñìîòðè, ïðàâèëüíî ëè çàïèñàíû ïðèìåðû â ñòîëáèê. Çà÷åðêíè ïðèìåðû, â çàïèñè êîòîðûõ äîïóùåíû îøèáêè.

+ 75


48


- 39


+ 85


+ 29

43


25


19


47


31











3.      Çàïèøè ïðèìåðû â ñòîëáèê è ðåøè èõ.

54 + 38                68 - 29        67 + 15       93 - 46

.        Ïðîâåðü, ïðàâèëüíî ëè ðåøåíû ïðèìåðû, è çà÷åðêíè íåâåðíûå îòâåòû.  ñêîáêàõ çàïèøè ïðàâèëüíûé îòâåò.

- 84


- 49


+ 46

36


31


19

58 ( )


80 ( )


27( )


5.      Âîññòàíîâè ïðèìåðû. Âìåñòî ìíîãîòî÷èé âñòàâü ïðîïóùåííûå öèôðû.

+ 4…                    + 2…                             +1…

…5             ... 7                              … 2

                    82                                39

Ïî ðåçóëüòàòàì ñàìîñòîÿòåëüíûõ ðàáîò (âûïîëíåííûõ äåòüìè ðàíåå â ïåðèîä îáó÷åíèÿ òåìå «Ïèñüìåííîå ñëîæåíèå è âû÷èòàíèå») è êîíòðîëüíîé ðàáîòû ¹1 ó÷àùèõñÿ 3-ãî «À» è 3-ãî «Á» êëàññà (ðàáîòû ó÷àùèõñÿ ñì. â ïðèëîæåíèè 1) áûëà ïðîâåäåíà äèàãíîñòèêà ñòåïåíè îáó÷åííîñòè ïî ìåòîäèêå Â.Ï. Ñèìîíîâà ïî ôîðìóëå:

ÑÎÓ=(N(5)*100%+N(4)*64%+N(3)*36%+ N(2)*16%+N(í.à.)*7%/N, ãäå N(5), N(4), N(3), N(2), N(í.à.) - êîëè÷åñòâî ðàáîò, âûïîëíåííûõ îäíèì ó÷åíèêîì, íà «5», «4», «3» «2», «í/à» ñîîòâåòñòâåííî. N - îáùåå êîëè÷åñòâî ðàáîò, âûïîëíåííûõ îäíèì ó÷åíèêîì.

Áûëà ñîñòàâëåíà òàáëèöà 7 è 8 ïî ðåçóëüòàòàì âûïîëíåííûõ ðàáîò, â êîòîðûõ ñîîòíåñåíà ñòåïåíü îáó÷åííîñòè ó÷àùèõñÿ ñ óðîâíåì îáó÷åííîñòè.  îñíîâå îïðåäåëåíèÿ êðèòåðèåâ óðîâíåé îáó÷åííîñòè ïî òåìå «Ïèñüìåííîå ñëîæåíèå è âû÷èòàíèå» ëåæèò ìîíèòîðèíã ÌÎÓ ÑÎØ ¹33 ã. Òàãàíðîãà (ïðèëîæåíèå 3 è 4) è ïîêàçàòåëè ñòåïåíè îáó÷åííîñòè ïî Â.Ï. Ñèìîíîâó [50].

Ïîä óðîâíåì îáó÷åííîñòè ïîíèìàåòñÿ óðîâåíü (ñòåïåíü) óñâîåíèÿ ó÷åáíîãî ìàòåðèàëà. Óðîâíè îáó÷åííîñòè ñîîòâåòñòâóþò ñëåäóþùèì ïîêàçàòåëÿì ñôîðìèðîâàííîñòè ïèñüìåííûõ íàâûêîâ ñëîæåíèÿ è âû÷èòàíèÿ ïî Ñ.À. Çàéöåâîé [19]:

Âûñîêèé óðîâåíü - ó÷àùèéñÿ ïðàâèëüíî íàõîäèò çíà÷åíèå âûðàæåíèÿ, ìîæåò ïðèìåíèòü ïîëó÷åííûå òåîðåòè÷åñêèå çíàíèÿ íà ïðàêòèêå â íîâîé, íåñòàíäàðòíîé ñèòóàöèè, «ïåðåíîñèò» â íå¸ èçó÷åííûå è óñâîåííûå ðàíåå ïîíÿòèÿ, çàêîíû è çàêîíîìåðíîñòè.

Âûøå ñðåäíåãî óðîâåíü - ó÷àùèéñÿ ïðàâèëüíî ðåøàåò âûðàæåíèå ïî îáðàçöó, â ïðîñòåéøèõ çàäàíèÿõ: ðåøàåò òèïîâûå, ñòàíäàðòíûå çàäà÷è ñ èñïîëüçîâàíèåì óñâîåííûõ ïðèåìîâ.

Ñðåäíèé óðîâåíü - ó÷àùèéñÿ îñîçíà¸ò, íà îñíîâå êàêèõ çíàíèé âûáðàíû îïåðàöèè ïèñüìåííîãî ñëîæåíèÿ è âû÷èòàíèÿ. Ìîæåò îáúÿñíèòü ðåøåíèå ïðèìåðà.

Íèæå ñðåäíåãî óðîâåíü - ó÷åíèê îñîçíà¸ò íà îñíîâå êàêèõ çíàíèé âûáðàíû îïåðàöèè íàõîæäåíèÿ ñóììû èëè ðàçíîñòè, íî íå ìîæåò ñàìîñòîÿòåëüíî îáúÿñíèòü, ïî÷åìó ðåøàë òàê, à íå èíà÷å.

Íèçêèé óðîâåíü - ó÷åíèê ÷àñòî íåâåðíî íàõîäèò ðåçóëüòàò àðèôìåòè÷åñêîãî äåéñòâèÿ, ò.å. íå ïðàâèëüíî âûáèðàåò è âûïîëíÿåò îïåðàöèè, íå ñîõðàíÿåò ñôîðìèðîâàííûå âû÷èñëèòåëüíûå íàâûêè, íå îñîçíà¸ò ïîðÿäîê âûïîëíåíèÿ îïåðàöèé.

Ïî òàáëèöå 7 (ïðèëîæåíèå 3) áûëî âûÿâëåíî ïðîöåíòíîå ñîîòíîøåíèå óðîâíÿ îáó÷åííîñòè â 3 «À» êëàññå (êîíòðîëüíûé).


Ïî äèàãðàììå 1âèäíî, ÷òî 10% (2 ó÷åíèêà) ó÷àùèõñÿ 3 «À» êëàññà èìååò âûñîêèé óðîâåíü îáó÷åííîñòè ïî òåìå «Ïèñüìåííîå ñëîæåíèå è âû÷èòàíèå», âûøå ñðåäíåãî 35 % (7 ó÷åíèêîâ), ñðåäíèé - 20 % (4 ó÷åíèêîâ), íèæå ñðåäíåãî - 25 % (5 ó÷åíèêîâ), íèçêèé - 10 % (2 ó÷åíèêà).

Àíàëîãè÷íî, ïî òàáëèöå 8 (ïðèëîæåíèå 4) íàìè òàêæå áûë âûÿâëåí â ïðîöåíòíîì ñîîòíîøåíèè óðîâåíü îáó÷åííîñòè â 3 «Á» êëàññå (ýêñïåðèìåíòàëüíîì).


Ïî äèàãðàììå 2 âèäíî, ÷òî 5 % (1 ó÷åíèê) ó÷àùèõñÿ 3 «Á» êëàññà èìååò âûñîêèé óðîâåíü îáó÷åííîñòè ïî òåìå «Ïèñüìåííîå ñëîæåíèå è âû÷èòàíèå», âûøå ñðåäíåãî - 9 % (2 ó÷åíèêà), ñðåäíèé - 29 % (6 ó÷åíèêîâ), íèæå ñðåäíåãî - 24 % (5 ó÷åíèêîâ), íèçêèé - 33 % (7 ó÷åíèêîâ).

Ýòî ñâèäåòåëüñòâóþò î òîì ÷òî, 57 % ó÷àùèõñÿ 3 «Á» êëàññîâ èìåþò íèæå ñðåäíåãî è íèçêèé óðîâåíü îáó÷åííîñòè ïî òåìå «Ïèñüìåííîå ñëîæåíèå è âû÷èòàíèå», êàê ñëåäñòâèå íàâûêè ïèñüìåííîãî ñëîæåíèÿ è âû÷èòàíèÿ ïðàêòè÷åñêè íå ñôîðìèðîâàíû. Áûëè ïðîàíàëèçèðîâàíû äîïóùåííûå ó÷àùèìèñÿ îøèáêè, êîòîðûå ïðåäñòàâëåíû íèæå â òàáëèöå 4.

Òàáëèöà 4

Àíàëèç îøèáîê, äîïóùåííûõ ó÷àùèìèñÿ 3-ãî «Á» êëàññà â êîíòðîëüíîé ðàáîòå ¹1 íà êîíñòàòèðóþùåì ýòàïå

Çàäàíèå

Âûïîëíåíî âåðíî

Äîïóùåíû îøèáêè



Îòñóòñòâèå óìåíèÿ äåëàòü ïðîâåðêó âû÷èñëåíèé

Îøèáêà â çàïèñè ïðèìåðîâ

Çàáûâàíèå åäèíèöû, êîòîðóþ çàíèìàëè/íàäî áûëî çàïîìíèòü

Îøèáêà â ïîñòàíîâêå çíàêà

Íåçíàíèå òàáëèöû ñëîæåíèÿ â ïðåäåëàõ 20

¹1

18

3





¹2

17


4




¹3

16


1

2


2

¹4

18



2


1

¹5

16



2


3


Ïðè àíàëèçå îøèáîê, äîïóùåííûõ â ñàìîñòîÿòåëüíîé è êîíòðîëüíîé ðàáîòå, ìû óñòàíîâèëè èõ âîçìîæíûå ïðè÷èíû: íåäîñòàòî÷íî ñôîðìèðîâàíû âû÷èñëèòåëüíûå íàâûêè ïèñüìåííîãî ñëîæåíèÿ è âû÷èòàíèÿ «â ñòîëáèê», íåäîñòàòî÷íî ñôîðìèðîâàíû âû÷èñëèòåëüíûå íàâûêè ñëîæåíèÿ è âû÷èòàíèÿ ïðåäåëàõ 20, êàê ñëåäñòâèå - îøèáêè ïðè âû÷èñëåíèÿõ. Ó÷àùèìèñÿ ñëàáî óñâîåíû çíàíèÿ îáùåãî àëãîðèòìà ñëîæåíèÿ è âû÷èòàíèÿ «â ñòîëáèê», à òàêæå óìåíèÿ ïðîèçâîäèòü ïðîâåðêó âû÷èñëåíèé.

Àíàëèçèðóÿ ðàáîòó ó÷èòåëåé â äàííûõ êëàññàõ ïî ôîðìèðîâàíèþ íàâûêîâ ïèñüìåííîãî ñëîæåíèÿ è âû÷èòàíèÿ íà óðîêàõ ìàòåìàòèêè, ìîæíî îòìåòèòü, ÷òî â ñâîåé ðàáîòå ïåäàãîãè íå èñïîëüçóþò ðàçíîîáðàçíûå ïðèåìû ñàìîêîíòðîëÿ, çàíèìàòåëüíûå çàäàíèÿ, à îòðàáàòûâàþò âû÷èñëèòåëüíûå íàâûêè ïî çàäàíèÿì, ïðåäëîæåííûì â ó÷åáíèêå ìàòåìàòèêå Ì.È. Ìîðî.

2.2    Ôîðìèðîâàíèå íàâûêîâ ïèñüìåííîãî ñëîæåíèÿ è âû÷èòàíèÿ ó ó÷àùèõñÿ 3 «Á» êëàññà

Ó÷èòûâàÿ ðåçóëüòàòû êîíñòàòèðóþùåãî ýòàïà, íàìè áûë ðàçðàáîòàí è ïðîâåäåí ôîðìèðóþùèé ýòàï èññëåäîâàíèÿ.

Öåëüþ ýòîãî ýòàïà ÿâëÿåòñÿ ðàçðàáîòàòü è àïðîáèðîâàòü ìåòîäèêó ôîðìèðîâàíèÿ âû÷èñëèòåëüíûõ íàâûêîâ ïèñüìåííîãî ñëîæåíèÿ è âû÷èòàíèÿ ó ó÷àùèõñÿ 3-ãî «Á» êëàññà (ýêñïåðèìåíòàëüíîãî). Êàê óæå íàìè áûëî îòìå÷åíî â ïðåäûäóùèõ ïàðàãðàôàõ, íåîáõîäèìûì óñëîâèåì ïðè ôîðìèðîâàíèè íàâûêîâ ïèñüìåííîãî ñëîæåíèÿ è âû÷èòàíèÿ ÿâëÿåòñÿ èñïîëüçîâàíèå ðàçíîîáðàçíûõ çàíèìàòåëüíûõ çàäà÷, òðåíèðîâî÷íûõ óïðàæíåíèé, ïðèåìîâ ñàìîêîíòðîëÿ.

Ðàáîòà ïðîâîäèëàñü ñ ôåâðàëÿ ïî àïðåëü 2012/2013 ó÷åáíîãî ãîäà.

Òàáëèöà 5

Ïðîãðàììà ôîðìèðóþùåãî ýòàïà

¹

Äàòà ïðîâåäåíèÿ

Òåìû óðîêîâ

Öåëè

Èñïîëüçîâàííûå ïðèåìû

1.

4.02.2013

«Ïîâòîðåíèå. Ðåøåíèå çàäà÷»

çàêðåïèòü çíàíèÿ ðàçðÿäíîãî ñîñòàâà ÷èñåë â ïðåäåëàõ 100, ñîâåðøåíñòâîâàòü âû÷èñëèòåëüíûå íàâûêè â ïðåäåëàõ 100.

Òðåíèðîâî÷íûå óïðàæíåíèÿ, çàíèìàòåëüíûå çàäàíèÿ

2.

20.02.2013

Óñòíàÿ íóìåðàöèÿ ÷èñåë â ïðåäåëàõ 1000»

ïîçíàêîìèòü: ñ íîâîé ñ÷¸òíîé åäèíèöåé-1000; îáðàçîâàíèåì ÷èñåë èç ñîòåí, äåñÿòêîâ, åäèíèö; íàçâàíèåì ýòèõ ÷èñåë; ñ ÷èñëàìè íàòóðàëüíîãî ðÿäà îò 100 äî 1000; ñ äåñÿòè÷íûì ñîñòàâîì òðåõçíà÷íûõ ÷èñåë.

Òðåíèðîâî÷íûå óïðàæíåíèÿ, çàíèìàòåëüíûå çàäàíèÿ

3.

25.02.2013

«Ïèñüìåííàÿ íóìåðàöèÿ ÷èñåë â ïðåäåëàõ 1000»

ó÷èòü ÷èòàòü è çàïèñûâàòü òð¸õçíà÷íûå ÷èñëà, ïîâòîðèòü ñïîñîáû ïðîâåðêè ñëîæåíèÿ è âû÷èòàíèÿ.

Òðåíèðîâî÷íûå óïðàæíåíèÿ

4.

28.02.2013

«Óâåëè÷åíèå, óìåíüøåíèå ÷èñåë â 10, â 100 ðàç»

ïîâòîðèòü ïðàâèëà àëãîðèòìà ïèñüìåííîãî ñëîæåíèÿ è âû÷èòàíèÿ, ïðàâèëà çàïèñè ÷èñåë â ñòîëáèê.

Òðåíèðîâî÷íûå óïðàæíåíèÿ

5.

4.03.2013

«Ñóììà ðàçðÿäíûõ ñëàãàåìûõ»

ïîçíàêîìèòü ñ ïðè¸ìàìè ñëîæåíèÿ è âû÷èòàíèÿ, îñíîâàííûìè íà çíàíèè ðàçðÿäíûõ ñëàãàåìûõ; ñ ïðè¸ìàìè ñðàâíåíèÿ òð¸õçíà÷íûõ ÷èñåë, ñîâåðøåíñòâîâàòü âû÷èñëèòåëüíûå íàâûêè â ïðåäåëàõ 100

òðåíèðîâî÷íûå óïðàæíåíèÿ

6.

7.03.2013

«Åäèíèöû ìàññû. Ãðàìì»

ñîâåðøåíñòâîâàòü âû÷èñëèòåëüíûå íàâûêè ñëîæåíèÿ è âû÷èòàíèÿ â ïðåäåëàõ 100

Òðåíèðîâî÷íûå óïðàæíåíèÿ, çàíèìàòåëüíûå çàäàíèÿ

7.

12.03.2013

«Çàêðåïëåíèå ïî òåìå «×èñëà îò 1 äî 1000. Íóìåðàöèÿ»

ïîâòîðèòü ïðîéäåííûé ìàòåðèàë, ñîâåðøåíñòâîâàòü óñòíûå è ïèñüìåííûå âû÷èñëèòåëüíûå íàâûêè â ïðåäåëàõ

Òðåíèðîâî÷íûå óïðàæíåíèÿ, çàíèìàòåëüíûå çàäàíèÿ

8.

13.03.2013

«×èñëà îò 1 äî 1000. Ñëîæåíèå è âû÷èòàíèå âèäà 300+200»

ïîçíàêîìèòü ñ ïðèåìàìè óñòíûõ âû÷èñëåíèé âèäà 300+200

Òðåíèðîâî÷íûå óïðàæíåíèÿ, çàíèìàòåëüíûå çàäà÷è

9.

14.03.2013

«Ñëîæåíèå è âû÷èòàíèå âèäà 450+30»

èçó÷èòü óñòíûå ïðè¸ìû ñëîæåíèÿ è âû÷èòàíèÿ òð¸õçíà÷íûõ ÷èñåë âèäà 450+30; ñîâåðøåíñòâîâàòü ïèñüìåííûå âû÷èñëèòåëüíûå íàâûêè â ïðåäåëàõ 100

Òðåíèðîâî÷íûå óïðàæíåíèÿ, çàíèìàòåëüíûå çàäàíèÿ

10.

18.03.2013

«Ïðèåìû óñòíûõ âû÷èñëåíèé âèäà 470+80»

èçó÷èòü óñòíûå ïðè¸ìû ñëîæåíèÿ è âû÷èòàíèÿ òð¸õçíà÷íûõ ÷èñåë âèäà 470+80, ñîâåðøåíñòâîâàòü ðàíåå èçó÷åííûå âû÷èñëèòåëüíûå íàâûêè.

Òðåíèðîâî÷íûå óïðàæíåíèÿ

11.

19.03.2013

Ïðèåìû óñòíûõ âû÷èñëåíèé âèäà 260+310

èçó÷èòü ïðèåìû óñòíûõ âû÷èñëåíèé âèäà 260+310, çàêðåïèòü çíàíèÿ, óìåíèÿ, íàâûêè âû÷èñëåíèé â ïðåäåëàõ 1000, ïîëó÷åííûå íà ïðåäûäóùèõ óðîêàõ

Òðåíèðîâî÷íûå óïðàæíåíèÿ, çàíèìàòåëüíûå çàäàíèÿ

12.

01.04.2013

«Ïðèåìû ïèñüìåííûõ âû÷èñëåíèé»

ïîçíàêîìèòü ñ ïðè¸ìàìè ïèñüìåííûõ âû÷èñëåíèé â ïðåäåëàõ 1000, ïîâòîðèòü ñïîñîáû ïðîâåðêè ñëîæåíèÿ è âû÷èòàíèÿ

Òðåíèðîâî÷íûå óïðàæíåíèÿ

13

02.04.2013

«Ñëîæåíèå òðåõçíà÷íûõ ÷èñåë»

çàêðåïèòü óìåíèå ñêëàäûâàòü òð¸õçíà÷íûå ÷èñëà «ñòîëáèêîì»

Çàíèìàòåëüíûå çàäàíèÿ, òðåíèðîâî÷íûå óïðàæíåíèÿ

14

03.04.2013

«Âû÷èòàíèå òðåõçíà÷íûõ ÷èñåë»

çàêðåïèòü íàâûêè: ïèñüìà è ÷òåíèÿ òðåõçíà÷íûõ ÷èñåë, âû÷èòàíèå òðåõçíà÷íûõ ÷èñåë «ñòîëáèêîì», ñðàâíèâàòü ÷èñëà.

Çàíèìàòåëüíûå çàäàíèÿ, òðåíèðîâî÷íûå óïðàæíåíèÿ

15

09.04.2013

Çàêðåïëåíèå ïî òåìå «Ïðèåìû ïèñüìåííîãî ñëîæåíèÿ è âû÷èòàíèÿ»

çàêðåïèòü íàâûê ñëîæåíèÿ è âû÷èòàíèÿ ÷èñåë â ïðåäåëàõ 1000, ïîâòîðèòü ñïîñîáû ïðîâåðêè ñëîæåíèÿ è âû÷èòàíèÿ

Òðåíèðîâî÷íûå óïðàæíåíèÿ, çàíèìàòåëüíûå çàäàíèÿ


Ïðè ðàçðàáîòêå óðîêîâ ïî ôîðìèðîâàíèþ íàâûêîâ ïèñüìåííîãî ñëîæåíèÿ è âû÷èòàíèÿ íàìè áûëè èñïîëüçîâàíû ðàçíîîáðàçíûå òðåíèðîâî÷íûå óïðàæíåíèÿ, çàíèìàòåëüíûå çàäàíèÿ [11, 12, 13, 14, 15, 45, 46, 60]. Ïðèâåäåì ïðèìåðû íåêîòîðûõ óïðàæíåíèé, ïðè âûïîëíåíèè êîòîðûõ ìû èñïîëüçîâàëè âûøåïåðå÷èñëåííûå ïðèåìû ôîðìèðîâàíèÿ âû÷èñëèòåëüíûõ íàâûêîâ ïèñüìåííîãî ñëîæåíèÿ è âû÷èòàíèÿ.

Çàäàíèÿ íà óñòíûé ñ÷åò:

à) Ìàòåìàòè÷åñêèé äèêòàíò:

. çàïèøè ÷èñëî, êîòîðîå íàõîäèòñÿ ìåæäó ÷èñëàìè 879 è 881..

. çàïèøè ÷èñëî, êîòîðîå ñëåäóåò çà ÷èñëîì 789.

. ê 8 ñîòíÿì ïðèáàâèòü 4 åä.

. èç 100 âû÷åñòü 55.

. çàïèøèòå ÷èñëî, êîòîðîå ïðè ñ÷åòå èäåò ïåðåä ÷èñëîì 990.

. çàïèøèòå ÷èñëî, êîòîðîå ñîäåðæèò:1 ñîò.7 åä.,9 ñîò.6 äåñ.3 åä.,

. 72:8

. 13·10

. ÷àñòíîå ÷èñåë 800 è 10.

. ðàçíîñòü ÷èñåë 630 è 30.

á) Àðèôìåòè÷åñêèé äèêòàíò.

. 1ñëàãàåìîå 16, 2ñëàãàåìîå - 14. Íàéäèòå ñóììó.

. Óìåíüøàåìîå - 84, âû÷èòàåìîå - 15. Íàéäèòå ðàçíîñòü.

. 1ìíîæèòåëü - 3, 2ìíîæèòåëü - 2. Íàéäèòå ïðîèçâåäåíèå.

. Äåëèìîå - 10, äåëèòåëü - 2. Íàéäèòå ÷àñòíîå.

. Íàéäè ïåðèìåòð êâàäðàòà ñî ñòîðîíîé 5ñì.

. ß çàäóìàëà ÷èñëî, êîãäà ÿ âû÷ëà èç íåãî 7, òî ïîëó÷èëà 23. Êàêîå ÷èñëî ÿ çàäóìàëà?

. Ïðîèçâåäåíèå ÷èñåë äâóõ è ÷åòûðåõ óâåëè÷èòü íà 42.

. ×àñòíîå ÷èñåë 14 è 2 óìåíüøèòü íà 7.

.Çàíèìàòåëüíûå çàäàíèÿ

à) Èãðà „Øèôðîâêà”. Ðàñøèôðóé èìÿ äîáðîé âîëøåáíèöû.


327

226

41

41

226

256

19









á) Ëàáèðèíò. Ïîìîãèòå ðàêåòå íàáðàòü íóæíóþ ñêîðîñòü.


â) Çàíèìàòåëüíûå ðàìêè.


Èãðà „Êòî áûñòðåå?”

Íàïðîòèâ êàæäîãî ðÿäà (âàðèàíòà) íà äîñêå çàïèñàíû âûðàæåíèÿ. Ïî ñèãíàëó ó÷èòåëÿ ó÷àùèåñÿ êàæäîãî ðÿäà ïî ïîðÿäêó âûõîäÿò ê äîñêå è ïèøóò îòâåò. Ïîáåæäàåò òîò ðÿä, êîòîðûé áûñòðî è ïðàâèëüíî çàïèøåò âñå îòâåòû.

5. Ðàáîòà ïî êàðòî÷êàì:

1.Íàéäè ëèøíåå ÷èñëî â êàæäîé ãðóïïå:

76, 53 458 27 99 31 52 48

300 100 542 700 900 200

460 752 340 76 953

246 927 400 299 762

Ðàñïîëîæè ÷èñëà 3-é ñòðîêè â ïîðÿäêå âîçðàñòàíèÿ.

Ðàñïîëîæè ÷èñëà 4-é ñòðîêè â ïîðÿäêå óáûâàíèÿ.

2.Ñðàâíè:

378…374                      487…700                      719 - 38 … 719 - 380

3. Êàêóþ öèôðó ìîæíî ïîñòàâèòü âìåñòî *, ÷òîáû ïîëó÷èëîñü âåðíîå íåðàâåíñòâî?

5*4 < 514 715 > 7*5 206> *06 628 < 62*

2.3 Àíàëèç ðåçóëüòàòîâ ôîðìèðóþùåãî ýòàïà

Öåëü: ïðîâåñòè ïîâòîðíóþ äèàãíîñòèêó ñôîðìèðîâàííîñòè âû÷èñëèòåëüíûõ íàâûêîâ ïèñüìåííîãî ñëîæåíèÿ è âû÷èòàíèÿ ïîñëå ïðèìåíåíèÿ ïðåäëîæåííûõ ïðèåìîâ, ñðàâíèòü ðåçóëüòàòû êîíñòàòèðóþùåãî è êîíòðîëüíîãî ýòàïà èññëåäîâàíèÿ.

Ó÷àùèìñÿ äâóõ ïàðàëëåëüíûõ êëàññîâ áûëè ïðåäëîæåíû 2 ñàìîñòîÿòåëüíûå ðàáîòû è 1 êîíòðîëüíàÿ ðàáîòà.

Ñîäåðæàíèå ñàìîñòîÿòåëüíîé ðàáîòû ¹1

I âàðèàíò

.        Íàéäè è èñïðàâü îøèáêè.

+20=752

-50=620

-20-300=20

+90=650

.        Çàïèøèòå ÷èñëà, â êîòîðûõ:

ñîòíè ___________________________

ñîòíè 5 åäèíèö ___________________

ñîòíè 5 äåñÿòêîâ __________________

ñîòíè 2 äåñÿòêà 5 åäèíèö ___________

ñîòåí 8 åäèíèö ____________________

åäèíèöû 3 ðàçðÿäà _________________

åäèíèöû 2 ðàçðÿäà _________________

åäèíèöà 1 ðàçðÿä ___________________

.         êàêîì ñëó÷àå ÷èñëà ðàñïîëîæåíû â ïîðÿäêå âîçðàñòàíèÿ?
à) 345, 543, 453, 435, 354

á) 186, 618, 686, 816, 861

â) 752, 725, 572, 527, 257

.        Äîïîëíè äî 800 ÷èñëà: 760, 750, 730, 790

*. Ïåðå÷èñëèòå âñå òð¸õçíà÷íûå ÷èñëà, â êîòîðûõ 8 ñîòåí, à äåñÿòêîâ è åäèíèö - ïîðîâíó

*. Çàïèøèòå âñå òð¸õçíà÷íûå ÷èñëà, èñïîëüçóÿ â çàïèñè ÷èñëà òîëüêî îäíó è òó æå öèôðó.

.        Íàéäè è èñïðàâü îøèáêè.

-60=200

+50=109

+20-400=400

+350=700

.        Çàïèøèòå ÷èñëà, â êîòîðûõ:

ñîòíè ___________________________

ñîòåí 3 åäèíèöû___________________

ñîòåí 7 äåñÿòêîâ __________________

ñîòåí 4 äåñÿòêà 9 åäèíèö ___________

ñîòåí 7 åäèíèö ____________________

åäèíèö 3 ðàçðÿäà _________________

åäèíèöû 2 ðàçðÿäà _________________

åäèíèöà 1 ðàçðÿäà ___________________

.         êàêîì ñëó÷àå ÷èñëà ðàñïîëîæåíû â ïîðÿäêå âîçðàñòàíèÿ?
à) 345, 543, 453, 435, 354

á) 186, 618, 686, 816, 861

â) 752, 725, 572, 527, 257

.        Äîïîëíè äî 800 ÷èñëà: 760, 750, 730, 790

*. Ïåðå÷èñëèòå âñå òð¸õçíà÷íûå ÷èñëà, â êîòîðûõ 6 äåñÿòêîâ, à ñîòåí è åäèíèö - ïîðîâíó

*. Çàïèøèòå âñå òð¸õçíà÷íûå ÷èñëà, èñïîëüçóÿ â çàïèñè ÷èñëà òîëüêî îäíó è òó æå öèôðó.

Ñîäåðæàíèå ñàìîñòîÿòåëüíîé ðàáîòû ¹2.

I âàðèàíò

. Âñòàâü ïðîïóùåííûå ÷èñëà.

à) 1 ñîò. = åä.                         á) 300 åä. = ñîò.

òûñ. = äåñ.                              5 ñîò. = åä.

òûñ. = ñîò.                              3 òûñ. = ñîò. = äåñ. = åä.

. Ñðåäè äàííûõ ÷èñåë îáâåäè êðóæêîì òðåõçíà÷íûå ÷èñëà.

, 307, 10, 426, 2354, 0, 200, 2000

. Çàïèøè ÷èñëà öèôðàìè â ñòðî÷êó:

Äâåñòè, ÷åòûðåñòà âîñåìü, äåâÿòüñîò, äåâÿòüñîò øåñòüäåñÿò, ñåìüñîò

. Çàïèøè ÷èñëà ïî ïîðÿäêó, íà÷èíàÿ ñ íàèáîëüøåãî.

, 91, 352, 347, 301, 368

. Ñðàâíè ÷èñëà, èñïîëüçóÿ çíàêè >, <, =

… 476                 209 … 29            345 … 345

II âàðèàíò

. Âñòàâü ïðîïóùåííûå ÷èñëà.

à) 1 ñîò. = äåñ.                       á) 40 äåñ. = ñîò

òûñ. = åä.                      7 ñîò. = åä.

òûñ. = ñîò.                              5 òûñ. = ñîò. = äåñ. = åä.

. Ñðåäè äàííûõ ÷èñåë îáâåäè êðóæêîì òðåõçíà÷íûå ÷èñëà.

, 7, 9000, 128, 7564, 25, 800, 469

. Çàïèøè ÷èñëà öèôðàìè â ñòðî÷êó:

×åòûðåñòà, ïÿòüñîò, äâåñòè ïÿòüäåñÿò òðè, ÷åòûðåñòà ñåìü, ñòî îäèí

. Çàïèøè ÷èñëà ïî ïîðÿäêó, íà÷èíàÿ ñ íàèìåíüøåãî.

, 412, 124, 587, 785, 875

. Ñðàâíè ÷èñëà, èñïîëüçóÿ çíàêè >, <, =

… 854                 705 … 600          235 … 335

Ñîäåðæàíèå êîíòðîëüíîé ðàáîòû ¹ 2

âàðèàíò

1.                                    Âû÷èñëè, çàïèñûâàÿ ñòîëáèêîì:

275 + 284            654+190              725-506               833-65

2.      Ðåøè è âûïîëíè ïðîâåðêó âû÷èòàíèÿ ñëîæåíèåì:

- 148                                                351 - 284

3.                                    Çàêîí÷è çàïèñü:

ìì = ……ñì 485ìì = …ñì …ìì

ã = …. êã 675 ì = … äì

4.      Âìåñòî çâåçäî÷åê âñòàâü ïðîïóùåííûå öèôðû.

+ 397


- 470

*49


*9

9**


*41


5.       Íàéäè ñóììó òð¸õ ñëàãàåìûõ, èç êîòîðûõ ïåðâîå - 100, à êàæäîå ñëåäóþùåå ñëàãàåìîå íà 50 áîëüøå ïðåäûäóùåãî.

II âàðèàíò

1.                                    Âû÷èñëè, çàïèñûâàÿ ñòîëáèêîì:

546 +273             230 - 118             618 - 409                      725 + 58

2.      Ðåøè è âûïîëíè ïðîâåðêó âû÷èòàíèÿ ñëîæåíèåì:

- 347                                                186 - 93

3.                                    Çàêîí÷è çàïèñü:

ñì = …ìì 725 ìì = … ñì …ìì

êã = ……ã 45 ì = … äì

4.      Âìåñòî çâåçäî÷åê âñòàâü ïðîïóùåííûå öèôðû.

+ 156


-700

344


**3

**0


37*


*. Íàéäè ñóììó òð¸õ ñëàãàåìûõ, èç êîòîðûõ ïåðâîå - 200, à êàæäîå ñëåäóþùåå ñëàãàåìîå íà 50 ìåíüøå ïðåäûäóùåãî.

Ïî ðåçóëüòàòàì ñàìîñòîÿòåëüíûõ ðàáîò è êîíòðîëüíîé ðàáîòû ¹2 (ñì. ðàáîòû ó÷àùèõñÿ â ïðèëîæåíèè 2) áûëà ïðîâåäåíà ïîâòîðíàÿ äèàãíîñòèêà ñôîðìèðîâàííîñòè âû÷èñëèòåëüíûõ íàâûêîâ ïèñüìåííîãî ñëîæåíèÿ è âû÷èòàíèÿ ó ó÷àùèõñÿ êîíòðîëüíîãî è ýêñïåðèìåíòàëüíîãî êëàññîâ ïî ìåòîäèêå ÑÎÓ Â.Ï. Ñèìîíîâà ïî ôîðìóëå, îïèñàííîé íàìè âûøå íà êîíòðîëüíîì ýòàïå (ïðèëîæåíèå 7 è 8).

Ðåçóëüòàòû êîíòðîëüíîé è ñàìîñòîÿòåëüíûõ ðàáîò ó÷àùèõñÿ 3 «À» è 3 «Á» êëàññîâ íàãëÿäíî èçîáðàæåíû â äèàãðàììàõ 3 è 4.



Ïî äèàãðàììå 3 âèäíî, ÷òî 15 % ó÷àùèõñÿ êîíòðîëüíîãî êëàññà (3 ó÷åíèêà) èìåþò âûñîêèé óðîâåíü îáó÷åííîñòè ïî òåìå «Ïèñüìåííîå ñëîæåíèå è âû÷èòàíèå», 35 % (7 ó÷åíèêîâ) - âûøå ñðåäíåãî, 20 % (4 ó÷åíèêà) - ñðåäíèé óðîâåíü îáó÷åííîñòè , 20% (4 ó÷åíèêà) - íèæå ñðåäíåãî è 10 % (2 ó÷åíèêà) - íèçêèé óðîâåíü îáó÷åííîñòè ïî òåìå «Ïèñüìåííîå ñëîæåíèå è âû÷èòàíèå».

Ïî äèàãðàììå 4 âèäíî, ÷òî 24 % ó÷àùèõñÿ ýêñïåðèìåíòàëüíîãî êëàññà (5 ó÷åíèêîâ) èìåþò âûñîêèé óðîâåíü îáó÷åííîñòè ïî òåìå «Ïèñüìåííîå ñëîæåíèå è âû÷èòàíèå», 24 % (5 ó÷åíèêîâ) - âûøå ñðåäíåãî, 33 % (7 ó÷åíèêîâ) - ñðåäíèé óðîâåíü îáó÷åííîñòè , 14% (3 ó÷åíèêà) - íèæå ñðåäíåãî è 5 % (1 ó÷åíèê) - íèçêèé óðîâåíü îáó÷åííîñòè ïî òåìå «Ïèñüìåííîå ñëîæåíèå è âû÷èòàíèå».

Àíàëèç îøèáîê ó÷àùèõñÿ 3 «Á» êëàññà ïðåäñòàâëåí â òàáëèöå 6.

Òàáëèöà 6

Àíàëèç îøèáîê, äîïóùåííûõ ó÷àùèìèñÿ 3-ãî «Á» êëàññà â êîíòðîëüíîé ðàáîòå ¹2 íà êîíòðîëüíîì ýòàïå èññëåäîâàíèÿ

Çàäàíèå

Âûïîëíåíî âåðíî

Äîïóùåíû îøèáêè



Îòñóòñòâèå óìåíèÿ äåëàòü ïðîâåðêó âû÷èñëåíèé

Îøèáêà â çàïèñè ïðèìåðîâ

Çàáûâàíèå åäèíèöû, êîòîðóþ çàíèìàëè/íàäî áûëî çàïîìíèòü

Çíàíèå ðàçðÿäíîãî ñîñòàâà ÷èñëà

Íåçíàíèå òàáëèöû ñëîæåíèÿ â ïðåäåëàõ 20

¹1

19





2

¹2

19



1


1

¹3

15




6


¹4

20



1



¹5

19




2



Çàòåì íàìè áûëà ñîñòàâëåíà ñâîäíàÿ òàáëèöà 11 è 12 (ñì. â ïðèëîæåíèè 9 è 10), â êîòîðîé ïîêàçàëè, êàê èçìåíèëèñü óðîâíè îáó÷åííîñòè êîíòðîëüíîãî è ýêñïåðèìåíòàëüíîãî êëàññîâ íà êîíñòàòèðóþùåì è êîíòðîëüíîì ýòàïàõ. Ðåçóëüòàòû çàôèêñèðîâàíû â äèàãðàììàõ 5 è 6.

Äèàãðàììà 5

Ñðàâíèòåëüíûé àíàëèç óðîâíåé îáó÷åííîñòè ó ó÷àùèõñÿ 3 «À» êëàññà (êîíòðîëüíîãî) íà êîíòðîëüíîì è êîíñòàòèðóþùåì ýòàïå


Äèàãðàììà 6

Ñðàâíèòåëüíûé àíàëèç óðîâíåé îáó÷åííîñòè ó ó÷àùèõñÿ 3 «Á» êëàññà (ýêñïåðèìåíòàëüíîãî) íà êîíòðîëüíîì è êîíñòàòèðóþùåì ýòàïå


Ïî äàííûì äèàãðàìì ìîæíî ñäåëàòü âûâîä: ïî÷òè âñå ó÷àùèåñÿ 3 «Á» (ýêñïåðèìåíòàëüíîãî) êëàññà âëàäåþò âû÷èñëèòåëüíûìè íàâûêàìè ïèñüìåííîãî ñëîæåíèÿ è âû÷èòàíèÿ.  3-ì «À» êëàññå ïîêàçàòåëè îñòàëèñü ïðàêòè÷åñêè íà òîì æå óðîâíå.

Ïðîàíàëèçèðîâàâ äàííûå ýêñïåðèìåíòàëüíî-ïðàêòè÷åñêîé ðàáîòû, ìîæíî ñäåëàòü âûâîä î òîì, ÷òî èñïîëüçîâàíèå ðàçíîîáðàçíûõ çàíèìàòåëüíûõ çàäàíèé, áîëüøîãî êîëè÷åñòâà òðåíèðîâî÷íûõ óïðàæíåíèé, à òàêæå èñïîëüçîâàíèå ïðèåìîâ ñàìîêîíòðîëÿ ïîçâîëÿåò ïðî÷íî ñôîðìèðîâàòü âû÷èñëèòåëüíûå íàâûêè ïèñüìåííîãî ñëîæåíèÿ è âû÷èòàíèÿ ó ìëàäøèõ øêîëüíèêîâ.

ÇÀÊËÞ×ÅÍÈÅ

Ôîðìèðîâàíèå âû÷èñëèòåëüíûõ íàâûêîâ ïèñüìåííîãî ñëîæåíèÿ è âû÷èòàíèÿ - îäíà èç ãëàâíûõ çàäà÷, êîòîðàÿ äîëæíà áûòü ðåøåíà â õîäå îáó÷åíèÿ äåòåé â íà÷àëüíîé øêîëå, ïîñêîëüêó äàííûå âû÷èñëèòåëüíûå íàâûêè íåîáõîäèìû ïðè èçó÷åíèè ïèñüìåííîãî óìíîæåíèÿ è äåëåíèÿ. Øêîëà âñåãäà óäåëÿëà áîëüøîå âíèìàíèå ïðîáëåìå ôîðìèðîâàíèÿ ïðî÷íûõ è îñîçíàííûõ âû÷èñëèòåëüíûõ óìåíèé è íàâûêîâ, òàê êàê ñîäåðæàòåëüíóþ îñíîâó íà÷àëüíîãî ìàòåìàòè÷åñêîãî îáðàçîâàíèÿ îñòàâëÿþò ïîíÿòèÿ ÷èñëà è ÷åòûðåõ àðèôìåòè÷åñêèõ äåéñòâèé.

Îñîáåííîñòü èçó÷åíèÿ ïèñüìåííûõ âû÷èñëåíèé îáóñëîâëåíà òåì, ÷òî ó äåòåé áûñòðî ðàçâèâàåòñÿ óñòàëîñòü ïðè ðàáîòå ñ ÷èñëàìè. Ýòî îáúÿñíÿåòñÿ áîëüøèì êîëè÷åñòâîì îïåðàöèé êàê ïèñüìåííîãî ñëîæåíèÿ è âû÷èòàíèÿ, òàê è ïèñüìåííîãî óìíîæåíèÿ è äåëåíèÿ. Èçáåæàòü áûñòðîé óòîìëÿåìîñòè è ñíèæåíèÿ âíèìàíèÿ ïðè èçó÷åíèè ïèñüìåííûõ âû÷èñëåíèé ïîìîæåò ÷åðåäîâàíèå ðàçëè÷íûõ âèäîâ äåÿòåëüíîñòè, îòêàç îò îäíîîáðàçíûõ òðåíèðîâî÷íûõ óïðàæíåíèé, îáó÷åíèå ïðè¸ìàì äåéñòâèÿ êîíòðîëÿ.

Îñâîèâ âñå àðèôìåòè÷åñêèå äåéñòâèÿ, ïîíÿâ è âûó÷èâ òàáëèöó ñëîæåíèÿ, îâëàäåâ òðàäèöèîííûìè ñïîñîáàìè ïðîâåðêè, ó÷àùèåñÿ âñå æå äîïóñêàþò äîñòàòî÷íî áîëüøîå êîëè÷åñòâî îøèáîê ïðè ðåøåíèè ïðèìåðîâ. Òàêîå ïîëîæåíèå ìîæíî èñïðàâèòü, åñëè ïîñëå èçó÷åíèÿ êàæäîãî àðèôìåòè÷åñêîãî äåéñòâèÿ íåñêîëüêî óðîêîâ ïîñâÿòèòü ðàáîòå, ñîäåðæàùåé ðàçëè÷íûå çàäàíèÿ, â êîòîðûõ áóäóò ôîðìèðîâàòüñÿ íàâûêè ñàìîêîíòðîëÿ, ãäå ðåáåíêó íåîáõîäèìî áóäåò íàéòè òèïè÷íóþ îøèáêó è èñïðàâèòü å¸. Óðîêè æåëàòåëüíî ñòðîèòü òàêèì îáðàçîì, ÷òîáû äåòè íå áîÿëèñü ðàññóæäàòü, äàâàòü ñàìîîöåíêó ñâîèì äåéñòâèÿì, ïîêàçàòü ñâîå íåïîíèìàíèå.

Ïðîãðàììû ïî ìàòåìàòèêå âêëþ÷àþò áîëüøîé èíòåðåñíûé ìàòåðèàë ïî ïðîáëåìå ôîðìèðîâàíèÿ ïðî÷íûõ íàâûêîâ âû÷èñëåíèé, â òîì ÷èñëå è ïèñüìåííîãî ñëîæåíèÿ è âû÷èòàíèÿ, îäíàêî, ïî-ïðåæíåìó íåêîòîðûå âîïðîñû ïîíèìàíèÿ è îòðàáîòêè íàâûêà àðèôìåòè÷åñêèõ âû÷èñëåíèé ÿâëÿþòñÿ äëÿ ìëàäøèõ øêîëüíèêîâ äîâîëüíî ñëîæíûìè. È îñíîâíàÿ çàäà÷à ó÷èòåëÿ - íå òîëüêî ôîðìèðîâàòü ïðî÷íûå íàâûêè âû÷èñëåíèé, íî è ïðåïîäíîñèòü ýòî íà óðîêàõ â èíòåðåñíîé è èãðîâîé ôîðìå, ÷òî áóäåò ñïîñîáñòâîâàòü àêòèâíîñòè äåòåé íà óðîêå, à òàêæå áîëåå ïðî÷íîìó óñâîåíèþ òîãî èëè èíîãî ïðèåìà.

 I ãëàâå ìû îõàðàêòåðèçîâàëè âû÷èñëèòåëüíûå íàâûêè â íà÷àëüíîì îáó÷åíèè ìàòåìàòèêå, ðàññìîòðåëè è ñðàâíèëè ïîäõîäû ê ôîðìèðîâàíèþ íàâûêîâ ïèñüìåííîãî ñëîæåíèÿ è âû÷èòàíèÿ.

Òàê æå íàìè áûëè âûáðàíû è ðàññìîòðåíû òèïû òðåíèðîâî÷íûõ óïðàæíåíèé, íàïðàâëåííûõ íà ôîðìèðîâàíèå âû÷èñëèòåëüíûõ íàâûêîâ ïèñüìåííîãî ñëîæåíèÿ è âû÷èòàíèÿ, çàíèìàòåëüíûõ çàäà÷, ïðèåìû ñàìîêîíòðîëÿ.

Ñ öåëüþ ïîäòâåðæäåíèÿ òåîðåòè÷åñêèõ ïîëîæåíèé è ãèïîòåçû â ãëàâå 2 ìû èçó÷èëè ýôôåêòèâíîñòü ïðèìåíåíèÿ áîëüøîãî êîëè÷åñòâà òðåíèðîâî÷íûõ óïðàæíåíèé, çàíèìàòåëüíûõ çàäàíèé, à òàêæå ïðèåìîâ ñàìîêîíòðîëÿ ïðè ôîðìèðîâàíèè âû÷èñëèòåëüíûõ íàâûêîâ ïèñüìåííîãî ñëîæåíèÿ è âû÷èòàíèÿ. Íà êîíñòàòèðóþùåì ýòàïå ýêñïåðèìåíòà áûëè ïðîâåäåíû ñðåçîâûå ðàáîòû ïî èçó÷åíèþ ñôîðìèðîâàííîñòè âû÷èñëèòåëüíûõ íàâûêîâ ïèñüìåííîãî ñëîæåíèÿ è âû÷èòàíèÿ, ïî êîòîðûì äèàãíîñòèðîâàëè ñòåïåíü îáó÷åííîñòè ó÷àùèõñÿ ïî ìåòîäèêå Â.Ï. Ñèìîíîâà, ñîîòíåñëè ñ óðîâíåì. Íà ôîðìèðóþùåì ýòàïå ýêñïåðèìåíòà îïèñàíû ôðàãìåíòû óðîêîâ ñ èñïîëüçîâàíèåì âûøåîïèñàííûõ ïðèåìîâ, öåëü êîòîðûõ - ïîìî÷ü ó÷àùèìñÿ çàêðåïèòü çíàíèÿ èçó÷åííûõ âû÷èñëèòåëüíûõ ïðèåìîâ, ïîìî÷ü ó÷èòåëþ ëó÷øå ñôîðìèðîâàòü íàâûêè ïèñüìåííûõ âû÷èñëåíèé â êîíöåíòðå «Òûñÿ÷à». Íà êîíòðîëüíîì ýòàïå áûëà ïðîâåäåíà ïîâòîðíàÿ äèàãíîñòèêà ñôîðìèðîâàííîñòè âû÷èñëèòåëüíûõ íàâûêîâ ïèñüìåííîãî ñëîæåíèÿ è âû÷èòàíèÿ ïîñëå ïðèìåíåíèÿ ïðåäëîæåííûõ ìåòîäîâ, ñðàâíåíèå ðåçóëüòàòîâ êîíñòàòèðóþùåãî è êîíòðîëüíîãî ýòàïà ýêñïåðèìåíòàëüíîãî èññëåäîâàíèÿ.

Òàêèì, îáðàçîì, âûäâèíóòàÿ â íà÷àëå èññëåäîâàíèÿ ãèïîòåçà î òîì, ÷òî ïðèìåíåíèå ó÷èòåëåì ðàçíîîáðàçíûõ òðåíèðîâî÷íûõ óïðàæíåíèé, çàíèìàòåëüíûõ çàäà÷, èñïîëüçîâàíèå ïðèåìîâ ñàìîêîíòðîëÿ íà óðîêàõ ïî ìàòåìàòèêå ñïîñîáñòâóåò ïðî÷íîìó ôîðìèðîâàíèþ âû÷èñëèòåëüíûõ íàâûêîâ ïèñüìåííîãî ñëîæåíèÿ è âû÷èòàíèÿ ìëàäøèõ øêîëüíèêîâ ïîäòâåðäèëàñü.

Ìû ñîñòàâèëè ñëåäóþùèå ðåêîìåíäàöèè ó÷èòåëÿì íà÷àëüíûõ êëàññîâ:

1.      Äëÿ ôîðìèðîâàíèÿ âû÷èñëèòåëüíûõ íàâûêîâ ó÷èòåëþ íåîáõîäèìî èñïîëüçîâàòü çàíèìàòåëüíûå çàäàíèÿ íà ðàçëè÷íûõ ýòàïàõ óðîêà.

2.      Ó÷àùèõñÿ íàäî ïîçíàêîìèòü ñ ðàçëè÷íûìè ïðèåìàìè ñàìîêîíòðîëÿ.

.        ×òîáû ñäåëàòü äëÿ äåòåé âû÷èñëèòåëüíûå ïðèåìû âïîëíå ïîíÿòíûìè, íàäî ïðîðàáîòàòü èõ âíèìàòåëüíî è íåòîðîïëèâî, êîíêðåòèçèðóÿ êàæäûé òàêîé ïðèåì ïðè ïîìîùè íàãëÿäíûõ ïîñîáèé.  ýòèõ öåëÿõ èñïîëüçîâàòü ïðåäìåòíûé äèäàêòè÷åñêèé ìàòåðèàë - ðèñóíêè èç ó÷åáíèêîâ, ïðåçåíòàöèè, ñ÷åòíûå ïàëî÷êè, ñ÷åòû.

4.      Ïðè ðàçðàáîòêå óðîêà, îðèåíòèðîâàòüñÿ íà èíòåðåñû ó÷åíèêîâ, ïðèáëèæàþùèåñÿ ïðàçäíèêè, àêòóàëüíóþ äëÿ äàííîãî êëàññà òåìàòèêó, è èñõîäÿ èç íèõ, èñïîëüçîâàòü ðàçëè÷íûå çàíèìàòåëüíûå çàäàíèÿ è èãðû, ÷òî áóäåò ñïîñîáñòâîâàòü íå òîëüêî àêòèâíîñòè äåòåé íà óðîêå, íî è ïðî÷íîìó çàêðåïëåíèþ èçó÷åííîãî íàâûêà.

ÑÏÈÑÎÊ ËÈÒÅÐÀÒÓÐÛ

1.        Àêòóàëüíûå ïðîáëåìû ìåòîäèêè îáó÷åíèÿ ìàòåìàòèêè â íà÷àëüíûõ êëàññàõ / Ïîä ðåä. Ìîðî Ì.È, Ïûøêàëî À.Ì.. Ì.: Ïåäàãîãèêà, 1977. - 247 ñ.

2.      Àëåêñàíäðîâà Ý.È. Ìàòåìàòèêà // Íà÷àëüíàÿ øêîëà. - 2000. - ¹ 3, Ñ. 84 - 89

3.        Àðòåìîâ À.Ê. Îáðàçöû äåéñòâèé â îáó÷åíèè ìàòåìàòèêå // Íà÷àëüíàÿ øêîëà. - 1989. - ¹2. - ñ. 23

4.      Áàéðàìóêîâà Ï.Ó. Ìåòîäèêà îáó÷åíèÿ ìàòåìàòèêå â íà÷àëüíûõ êëàññàõ: êóðñ ëåêöèé / Ï.Ó. Áàéðàìóêîâà, À.Ó. Óðòåíîâà - Ðîñòîâ-í/Ä: Ôåíèêñ, 2009. - 299 ñ.

.        Áàìàòîâà Ä.Ê. Ïðîáëåìà ôîðìèðîâàíèÿ âû÷èñëèòåëüíûõ íàâûêîâ ìëàäøèõ øêîëüíèêîâ â ñîâðåìåííûõ óñëîâèÿõ//Ñîâðåìåííûå íàóêîåìêèå òåõíîëîãèè. - 2011. - ¹1. - Ñ. 66 - 68

.        Áàíòîâà Ì.À. Ñèñòåìà ôîðìèðîâàíèÿ âû÷èñëèòåëüíû íàâûêîâ // Íà÷àëüíàÿ øêîëà. - 1993. - ¹11. - Ñ.38-43

.        Áàòèé Þ. Þ. Ñàìîêîíòðîëü ó÷àùèõñÿ ïðè âûïîëíåíèè çàäàíèé // Íà÷àëüíàÿ øêîëà - 1979 - ¹4. - Ñ.41 - 43

.        Áåëîøèñòàÿ À.Â. Ìåòîäèêà îáó÷åíèÿ ìàòåìàòèêè â íà÷àëüíîé øêîëå. Ì.: Âëàäîñ, 2007. - 455 ñ.

.        Áåëîøèñòàÿ À.Â. Îáó÷åíèå ìàòåìàòèêå â íà÷àëüíîé øêîëå: ìåòîä. ïîñîáèå / À.Â. Áåëîøèñòàÿ. - Ì.: Àéðèñ-Ïðåññ, 2006. - 176 ñ.

.        Áîãîÿâëåíñêàÿ Ã.À., Òîëñòèõèíà Ã.À. Êóðñîâûå è äèïëîìíûå ðàáîòû êàê âèä èññëåäîâàòåëüñêîé äåÿòåëüíîñòè ñòóäåíòîâ. Ó÷åáíîå ïîñîáèå. Òâåðü, 2006, - 132 ñ.

11.      Áîðìîòîâà Ì.Ì. Ðàçâèòèå ñàìîêîíòðîëÿ øêîëüíèêîâ íà óðîêàõ ìàòåìàòèêè //Íà÷àëüíàÿ øêîëà. - 2005. - ¹9, - Ñ. 34 - 35

12.    Âîðîíîâà À. Ï. Àêòèâèçàöèÿ ó÷àùèõñÿ ïðè çàêðåïëåíèè âû÷èñëèòåëüíûõ íàâûêîâ // Íà÷àëüíàÿ øêîëà. - 2003. - ¹ 11. - Ñ. 55 - 58.

.        Ãëàçóíîâà À.Ñ. Ñëîæåíèå è âû÷èòàíèå ìíîãîçíà÷íûõ ÷èñåë. Èç îïûòà // Íà÷àëüíàÿ øêîëà. - 1985. - ¹ 9. - Ñ. 55-58

14.      Äåìèäîâà Ò.Å., Êîçëîâà Ñ.À., Òîíêèõ À.Ï. è äð. Ìàòåìàòèêà. Ó÷åáíèê äëÿ 4-ãî êëàññà (Ìîÿ ìàòåìàòèêà) â 3-õ ÷àñòÿõ. - Ì.: Áàëàññ, Èçäàòåëüñêèé äîì ÐÀÎ, 2006

15.    Äåìèäîâà Ò.Å., Êîçëîâà Ñ.À., Òîíêèõ À.Ï. è äð. Ìîÿ ìàòåìàòèêà. Ó÷åáíèê äëÿ 3-ãî êëàññà â 3-õ ÷àñòÿõ. Èçä. 2-å èñïð. - Ì.: Áàëàññ, Èçäàòåëüñêèé äîì ÐÀÎ, 2005

.        Äåìèäîâà Ò.Å., Êîçëîâà Ñ.À., Òîíêèõ À.Ï. è äð. Ìîÿ ìàòåìàòèêà. Ó÷åáíèê äëÿ 2-ãî êëàññà â 3-õ ÷àñòÿõ. - Ì.: Áàëàññ, Èçäàòåëüñêèé äîì ÐÀÎ, 2007

17.      Äìèòðèåâà Ë.È. Ïîñëîâèöû íà óðîêàõ ìàòåìàòèêè // Íà÷àëüíàÿ øêîëà. - 2002. - ¹4, - Ñ. 100 - 101

18.    Æåëòóõèíà Â.È. Ìû ó÷èìñÿ ìûñëèòü è ðàäîâàòüñÿ ýòîìó // Íà÷àëüíàÿ øêîëà. - 2000. - ¹ 2, - Ñ. 79 - 83

19.      Çàéöåâà Ñ.À., Ðóìÿíöåâà È.Á., Öåëèùåâà È.È. Ìåòîäèêà îáó÷åíèÿ ìàòåìàòèêå â íà÷àëüíîé øêîëå. Ì.: Âëàäîñ, 2008. - 192 ñ.

.          Çóáåëåâè÷ Ã. È. Çàíÿòèÿ Ìàòåìàòè÷åñêîãî êðóæêà â 4 êëàññå. - Ì., 1980. - 79 ñ.

21.    Èâàíîâà Ã.Ñ. Ñðåäñòâî äëÿ ñàìîñòîÿòåëüíîé è âçàèìíîé ïðîâåðêè ñôîðìèðîâàííîñòè âû÷èñëèòåëüíûõ íàâûêîâ // Íà÷àëüíàÿ øêîëà. - 2007. - ¹ 4. - Ñ. 73

.        Èâàøîâà Î.À., Øêîëüíàÿ Þ.Í. Ó÷èì âû÷èñëÿòü ðàöèîíàëüíî è ðàáîòàòü ñàìîñòîÿòåëüíî // Íà÷àëüíàÿ øêîëà. - 2011. - ¹12. - Ñ. 50 - 56.

.        Èñàõàíîâà Ñ.Ï. Êàê ïîìî÷ü äåòÿì ïîëþáèòü ìàòåìàòèêó//Íà÷àëüíàÿ øêîëà. - 2002. - ¹ 5. - Ñ. 73 - 79

24.      Èñòîìèíà Í.Á. Ìåòîäèêà îáó÷åíèÿ ìàòåìàòèêå â íà÷àëüíûõ êëàññàõ. Ó÷åáíîå ïîñîáèå äëÿ ñòóäåíòîâ ñðåäíèõ è âûñøèõ ïåäàãîãè÷åñêèõ ó÷åáíûõ çàâåäåíèé. - Ì.: Àêàäåìèÿ, 2000. - 288 ñ.

.          Èñòîìèíà Í.Á. Ïðîáëåìû ñîâðåìåííîãî óðîêà ìàòåìàòèêè â íà÷àëüíûõ êëàññàõ // Íà÷àëüíàÿ øêîëà. - 2001. - ¹ 4, - Ñ. 65 - 70

26.    Èñòîìèíà Í.Á., Äóêàðò Ì. Ê âîïðîñó î ðàçâèâàþùåì ó÷åáíèêå ìàòåìàòèêè äëÿ íà÷àëüíûõ êëàññîâ // Íà÷àëüíàÿ øêîëà. - 2000. - ¹ 2. - Ñ. 86 - 91

27.      Èñòîìèíà Í.Á., Íåôåäîâà È.Á. Ìàòåìàòèêà 2 êëàññ: Ó÷åáíèê äëÿ ÷åòûðåõëåòíåé íà÷àëüíîé øêîëû. Ñìîëåíñê, Àññîöèàöèÿ XXI âåê, 1999.

28.    Èñòîìèíà Í.Á., Íåôåäîâà È.Á. Ìàòåìàòèêà 3 êëàññ: Ó÷åáíèê äëÿ ÷åòûðåõëåòíåé íà÷àëüíîé øêîëû. Ñìîëåíñê, Àññîöèàöèÿ XXI âåê, 2001.

.        Êàëèíèíà Ã.Ï., Òðîôèìîâà Í.À. Ôîðìèðîâàíèå ìàòåìàòè÷åñêîé êóëüòóðû ó äåòåé ñòàðøåãî äîøêîëüíîãî è ìëàäøåãî øêîëüíîãî âîçðàñòà // Íà÷àëüíàÿ øêîëà. -2004. - ¹ 4. - Ñ. 35 - 39

.        Êðàñíîïåðîâ È.À. Èñïîëüçîâàíèå êîìïüþòåðà ïðè èçó÷åíèè ñëîæåíèÿ è âû÷èòàíèÿ ñ ïåðåõîäîì ÷åðåç ðàçðÿä // Íà÷àëüíàÿ øêîëà. - 1999. - ¹3. - Ñ. 79 - 82

.        Êóçíåöîâ Â.È. Êîíòðîëü è ñàìîêîíòðîëü - âàæíûå óñëîâèÿ ôîðìèðîâàíèÿ âû÷èñëèòåëüíûõ íàâûêîâ // Íà÷àëüíàÿ øêîëà. - 1986. - ¹ 2. - Ñ. 36 - 38

.        Ëóïàðåâà Ò.Ã. Èãðà-ïóòåøåñòâèå: èç îïûòà ôîðìèðîâàíèÿ íàâûêîâ âû÷èñëåíèé // Íà÷àëüíàÿ øêîëà. -1991. - ¹ 6. - Ñ. 41-43

.        Ìåòîäèêà îáó÷åíèÿ ìàòåìàòèêå: Ó÷åá. Ïîñîáèå äëÿ ïåä. èí-òîâ / Â.Ë. Äðîçä, À.Ò. Êàòàñîíîâà, Ë.À. Ëàòîòèí . è äð., Ïîä îáù. ðåä. À.À. Ñòîëÿðà, Â.Ë. Äðîçäà, Ìí.: Âûø. øê., 1988. - 254 ñ.

.        Ìîðî Ì.È., Áàíòîâà Ì.À., Áåëüòþêîâà Ã.Â. Ìàòåìàòèêà: Ó÷åáíèê äëÿ 2 êëàññà íà÷àëüíîé øêîëû:  2÷. Ì.: Ïðîñâåùåíèå, 2008

.        Ìîðî Ì.È., Áàíòîâà Ì.À., Áåëüòþêîâà Ã.Â. Ìàòåìàòèêà: Ó÷åáíèê äëÿ 3 êëàññà íà÷àëüíîé øêîëû:  2÷. Ì.: Ïðîñâåùåíèå, 2008

.        Ìîðî Ì.È., Áàíòîâà Ì.À., Áåëüòþêîâà Ã.Â. Ìàòåìàòèêà: Ó÷åáíèê äëÿ 4 êëàññà íà÷àëüíîé øêîëû:  2÷. Ì.: Ïðîñâåùåíèå, 2009

.        Ìàòåìàòèêà. Íà÷àëüíàÿ øêîëà [Ýëåêòðîííûé ðåñóðñ]. - #"788925.files/image085.jpg">


Ïðèëîæåíèå 4

Ôðàãìåíòû óðîêîâ ïî ôîðìèðîâàíèþ âû÷èñëèòåëüíûõ ïèñüìåííîãî ñëîæåíèÿ è âû÷èòàíèÿ â 3-åì «Á» êëàññå

Ôðàãìåíò óðîêà ¹1.

Òåìà: «Ïîâòîðåíèå. Ðåøåíèå çàäà÷».

Öåëè è çàäà÷è óðîêà: çàêðåïèòü çíàíèÿ ðàçðÿäíîãî ñîñòàâà ÷èñåë â ïðåäåëàõ 100, ñîâåðøåíñòâîâàòü âû÷èñëèòåëüíûå íàâûêè â ïðåäåëàõ 100.

Õîä óðîêà.

.Îðãàíèçàöèîííûé ìîìåíò

. Ñîîáùåíèå òåìû è öåëåé óðîêà.

. Óñòíûé ñ÷åò

Èãðà «Íàçîâè ÷èñëî».

Íàçîâè ÷èñëà íà 1 áîëüøå ÷èñåë 33, 49, 98.

Íàçîâè «ñîñåäåé» ÷èñåë 52, 77, 99.

Êàêèå ÷èñëà «æèâóò» ìåæäó 39 è 41, 73 è 75.

Êàêèå ÷èñëà «ïîòåðÿëèñü»: 47, 48, 59, 52, 53, 55, 57, 59, 62.

Íàçîâè âñå ÷èñëà ïåðâîé ñîòíè, êîòîðûå îêàí÷èâàþòñÿ öèôðîé 6. Ñêîëüêî òàêèõ ÷èñåë?(10)

Çàíèìàòåëüíûå ðàìêè.


Ôðàãìåíò óðîêà ¹ 2.

Òåìà: «Óñòíàÿ íóìåðàöèÿ ÷èñåë â ïðåäåëàõ 1000».

Öåëè óðîêà: ïîçíàêîìèòü: ñ íîâîé ñ÷¸òíîé åäèíèöåé-1000; îáðàçîâàíèåì ÷èñåë èç ñîòåí, äåñÿòêîâ, åäèíèö; íàçâàíèåì ýòèõ ÷èñåë; ñ ÷èñëàìè íàòóðàëüíîãî ðÿäà îò 100 äî 1000; ñ äåñÿòè÷íûì ñîñòàâîì òðåõçíà÷íûõ ÷èñåë.

Õîä óðîêà.

.Îðãàíèçàöèîííûé ìîìåíò

. Ñîîáùåíèå òåìû è öåëåé óðîêà.

. Ðàáîòà ïî òåìå óðîêà.

Àðèôìåòè÷åñêèé äèêòàíò.

.Íàçîâè ÷èñëî, êîòîðîå ñîäåðæèò 6 ñîòåí 4 äåñÿòêà 0 åäèíèö, 1 ñîòíþ 0 äåñÿòêîâ 8 åäèíèö, 4 ñîòíè 9 äåñÿòêîâ 3 åäèíèöû.

. Ñêîëüêî êîïååê â 1 ð., â 3ð. â 5 ð.?

. Ñêîëüêî ñì â 1 ì, â 2 ì, â 10 ì?

. Ñêîëüêî äåñÿòêîâ â 1 òûñÿ÷å?  7 òûñÿ÷àõ?  5 ñîòíÿõ?

Ðàñøèôðóé íàçâàíèå ñêàçêè. Êòî åå íàïèñàë?


47

15

8

6

15

8


24


49

46

54

8

15

38


18


49

46

54

15

38

























Ôðàãìåíò óðîêà ¹ 3.

Òåìà: Ïèñüìåííàÿ íóìåðàöèÿ ÷èñåë â ïðåäåëàõ 1000.

Öåëè óðîêà: ó÷èòü ÷èòàòü è çàïèñûâàòü òð¸õçíà÷íûå ÷èñëà, ïîâòîðèòü ñïîñîáû ïðîâåðêè ñëîæåíèÿ è âû÷èòàíèÿ.

Õîä óðîêà:

. Îðãàíèçàöèîííûé ìîìåíò

. Ñîîáùåíèå òåìû è öåëåé óðîêà.

. Ðàáîòà ïî òåìå óðîêà.

à)Àðèôìåòè÷åñêèé äèêòàíò.

- Çàïèøèòå ÷èñëà: 894, 809, 408, 900.

Çàïèøè è ïðî÷èòàé ÷èñëà: 2 ñîò. 8 äåñ. 3 åä., 5 ñîò. 0 äåñ. 1 åä.; 4 ñîò. 6 äåñ. 0 åä.; 7 ñîò. 0 äåñ. 0 åä.

Âñòàâü ïðîïóùåííûå ÷èñëà:

308 ñì = ___ ì __ ñì                3 ì 70 ñì = ___ ñì           8 äì 8 ìì = ___ ìì

45 ìì = ___ ñì ___ ìì                15 äì 8 ñì = ___ ñì         1 ì 75 ñì = ____ìì

á) Ôèçêóëüòìèíóòêà

Ðàáîòà â ãðóïïàõ. «Ñîñòàâü ÷èñëî»

Ó÷èòåëü íàçûâàåò ÷èñëî, à îáó÷àþùèåñÿ áåðóò êàðòî÷êè è áåãóò ê äîñêå, ñîñòàâèâ ýòî ÷èñëî. Ïîáåæäàåò òîò, êòî ïåðâûì ñîñòàâèò.

(ðàññòîÿíèå îò Òóðîâöà äî Øóéñêîãî), 303 (÷èñëåííîñòü ó÷åíèêîâ â âàøåé øêîëå), 141 (ñòîëüêî ëåò ñî äíÿ ðîæäåíèÿ äåòñêîãî ïèñàòåëÿ Ê.È.×óêîâñêîãî), 112 (íîìåð åäèíîé ñëóæáû ñïàñåíèÿ), 365 (ñòîëüêî äíåé â ãîäó).

â) Àêòóàëèçàöèÿ çíàíèé.

Äåòè, êàêèå ñïîñîáû ïðîâåðêè ñëîæåíèÿ è âû÷èòàíèÿ ìû ñ Âàìè çíàåì. Ðåøèòå ïðèìåðû è ïðîâåðüòå åãî âñåìè âîçìîæíûìè ñïîñîáàìè.


Ôðàãìåíò óðîêà ¹4.

Òåìà: Óâåëè÷åíèå, óìåíüøåíèå ÷èñåë â 10, â 100 ðàç.

Öåëü óðîêà: ïîâòîðèòü ïðàâèëà àëãîðèòìà ïèñüìåííîãî ñëîæåíèÿ è âû÷èòàíèÿ, ïðàâèëà çàïèñè ÷èñåë â ñòîëáèê.

Õîä óðîêà.

1. Îðãàíèçàöèîííûé ìîìåíò

. Ñîîáùåíèå òåìû è öåëåé óðîêà.

. Ðàáîòà ïî òåìå óðîêà.

4. Ðàáîòà ñ êëàññîì.

Íåçíàéêà âûïîëíèë ñëîæåíèå òàê:


Êàêèå çàìå÷àíèÿ ñäåëàë áû Çíàéêà? Íàéäèòå îøèáêè â ðåøåíèè Íåçíàéêè, åñëè îíè åñòü, è èñïðàâüòå èõ. Ïîñîâåòóéòå Íåçíàéêå, íà ÷òî íóæíî îáðàòèòü îñîáîå âíèìàíèå ïðè ñëîæåíèè ìíîãîçíà÷íûõ ÷èñåë.

Ôðàãìåíò óðîêà ¹ 5.

Òåìà óðîêà «Ñóììà ðàçðÿäíûõ ñëàãàåìûõ».

Öåëü óðîêà: ïîçíàêîìèòü ñ ïðè¸ìàìè ñëîæåíèÿ è âû÷èòàíèÿ ,îñíîâàííûìè íà çíàíèè ðàçðÿäíûõ ñëàãàåìûõ; ñ ïðè¸ìàìè ñðàâíåíèÿ òð¸õçíà÷íûõ ÷èñåë, ñîâåðøåíñòâîâàòü âû÷èñëèòåëüíûå íàâûêè â ïðåäåëàõ 100.

Õîä óðîêà.

1. Îðãàíèçàöèîííûé ìîìåíò

. Ñîîáùåíèå òåìû è öåëåé óðîêà.

3. Óñòíûé ñ÷åò:

×àñòíîå ÷èñåë 85 è 5 óâåëè÷üòå íà 19.

- Ñóììó ÷èñåë 44 è 28 ðàçäåëèòå íà 12.

×àñòíîå ÷èñåë 91 è 13 óâåëè÷üòå â 10 ðàç.

Óìåíüøèòå ñóììó ÷èñåë 63 è 15 â 6 ðàç.

Ïðîèçâåäåíèå ÷èñåë 14 è 5 óìåíüøèòå â 2 ðàçà.

Ñóììó ÷èñåë 36 è 18 ðàçäåëèòå íà 9.

Ðàçíîñòü ÷èñåë 66 è 48 óâåëè÷üòå â 3 ðàçà.

Ïðîèçâåäåíèå ÷èñåë 12 è 6 óìåíüøèòå íà ÷àñòíîå ÷èñåë 48 è 4.

×àñòíîå ÷èñåë 42 è 7 óâåëè÷üòå íà 36.

Èç ÷èñëà 100 âû÷òèòå ïðîèçâåäåíèå ÷èñåë 9 è 7.

. Ðàáîòà ïî òåìå óðîêà.

Ðàáîòà ïî ó÷åáíèêó:

à) Ïðåäñòàâüòå â âèäå ñóììû ðàçðÿäíûõ ñëàãàåìûõ ÷èñëà: 309, 970, 222, 806, 250, 346..

á) Ðàññìîòðè ñóììû è âûïèøè ÷èñëà, êîòîðûå ïðåäñòàâëåíû â âèäå ñóììû ðàçðÿäíûõ ñëàãàåìûõ:

+ 6    600 + 40 + 5        800 + 20

+ 1    600 + 300 + 9      800 + 2

â) Íàéäè çíà÷åíèå âûðàæåíèé:

+ 60 + 3     509 - 500    704 + 80     860 + 7

- 90 - 6                 900 +20      654 - 54      435 - 30

Ôðàãìåíò óðîêà ¹ 6.

Òåìà: «Åäèíèöû ìàññû. Ãðàìì».

Öåëè óðîêà: ñîâåðøåíñòâîâàòü âû÷èñëèòåëüíûå íàâûêè â ïðåäåëàõ 100.

Õîä óðîêà

1.Îðãàíèçàöèîííûé ìîìåíò.

.Ïðîâåðêà äîìàøíåãî çàäàíèÿ.

3.Ìàòåìàòè÷åñêèé äèêòàíò:

.çàïèøè ÷èñëî, êîòîðîå íàõîäèòñÿ ìåæäó ÷èñëàìè 879 è 881.

.çàïèøè ÷èñëî, êîòîðîå ñëåäóåò çà ÷èñëîì 789.

.ê 8 ñîòíÿì ïðèáàâèòü 4 åä.

.èç 100 âû÷åñòü 55.

.çàïèøèòå ÷èñëî, êîòîðîå ïðè ñ÷åòå èäåò ïåðåä ÷èñëîì 990.

.çàïèøèòå ÷èñëî, êîòîðîå ñîäåðæèò:1 ñîò.7 åä.,9 ñîò.6 äåñ.3 åä.,

. 72:8

.13·10

.÷àñòíîå ÷èñåë 800 è 10.

. ðàçíîñòü ÷èñåë 630 è 30.

Ñîñåäè ïî ïàðòå îáìåíèâàþòñÿ òåòðàäÿìè, ó÷èòåëü ïîâòîðÿåò âîïðîñû äèêòàíòà, à ó÷åíèê ñòàâèò íàïðîòèâ êàæäîãî ïðàâèëüíîãî îòâåòà +. Åñëè + áîëüøå 8, òî ñòàâèì «5», åñëè îò 6 äî 8 - «4», îò 4 äî 6 - «3».

.Ïîñòàíîâêà òåìû óðîêà.

.Çíàêîìñòâî ñ íîâûì ìàòåðèàëîì.

. Ðàáîòà ñ ðàçäàòî÷íûì ìàòåðèàëîì.

Ðàñøèôðóé è îòãàäàé çàãàäêó.


33

18

15

20

43

20


84

92

87

43

88

5

72
















50

8

15

20

48

50








47

63

20

33

63

88

92

28

2

15

74

-

8

50

8

15

48

20




















Ôðàãìåíò óðîêà ¹ 7.

Òåìà: «Çàêðåïëåíèå ïî òåìå «×èñëà îò 1 äî 1000. Íóìåðàöèÿ»

Öåëè óðîêà: ïîâòîðèòü ïðîéäåííûé ìàòåðèàë, ñîâåðøåíñòâîâàòü óñòíûå è ïèñüìåííûå âû÷èñëèòåëüíûå íàâûêè.

Õîä óðîêà

1.Îðãàíèçàöèîííûé ìîìåíò.

. Ïðîâåðêà ãîòîâíîñòè ê óðîêó.

.Ìàòåìàòè÷åñêèé äèêòàíò:

Åñëè âû ñîãëàñíû ñ óòâåðæäåíèåì èëè âûñêàçûâàíèåì è õîòèòå ñêàçàòü äà, òî ïèøèòå +, åñëè íå ñîãëàñíû -, åñëè íå çíàåòå, òî ïðîïóñêàéòå êëåòêó.

1.       ÷èñëå 506 - 5 ñîòåí 6 äåñÿòêîâ.

.        ×èñëî 873 áîëüøå ÷èñëà 837.

3.       ÷èñëå 249 - 2 åäèíèöû 1 ðàçðÿäà, 4 åäèíèöû 2 ðàçðÿäà è 9 åäèíèö 3 ðàçðÿäà.

.         êàæäîì ÷èñëå 920, 290, 209 ïî 9 ñîòåí.

.        Åñëè ê 3 ñîòíÿì ïðèáàâèò 2 äåñÿòêà, òî ïîëó÷èòñÿ ÷èñëî 302.

.        40 ïëþñ 400 ïëþñ 4, ïîëó÷èòñÿ 444.

.        599 ìåíüøå 600 íà 1.

.         çàïèñè ÷èñåë 423, 324, 234, 432 èñïîëüçîâàíû îäèíàêîâûå öèôðû.

.        ×èñëî 988 áîëüøå, ÷åì ÷èñëî 900 íà 88.

.        Åñëè ÷èñëî 132 óìåíüøèòü íà 2 äåñÿòêà, òî ïîëó÷èòñÿ 102.

Èãðà «Êòî áûñòðåå».

Êëàññ ðàçäåëÿåòñÿ íà 2 êîìàíäû ïî âàðèàíòàì.

1 âàðèàíò

2 âàðèàíò

Èñïîëüçóÿ öèôðû çàïèøè âñå âîçìîæíûå òðåõçíà÷íûå ÷èñëà, íå ïîâòîðÿÿ îäíó è òó æå öèôðó â çàïèñè ÷èñëà. Ïîñïåøè, ïîäñêàçêà äëÿ òåáÿ: ÷èñåë äîëæíî áûòü 6.

5, 7, 8

3, 4, 6

Ïîñòàâü ñêîáêè òàê, ÷òîáû çàïèñè áûëè âåðíûìè

69-54:3+6=63 69-54:3+6=11

69-54:3+6=57 69-54:3+6=45

Ðåøè çàäà÷ó: Èç 10 êã ñâåêëû ïîëó÷àþò 2 êã ñàõàðà. Ñêîëüêî ñàõàðà ìîæíî ïîëó÷èòü èç:

80 êã ñâåêëû

Èç 100 êã ñâåêëû

Íàéäè çíà÷åíèå âûðàæåíèé. ×òîáû ïðîâåðèòü ïðàâèëüíîñòü ñâîèõ âû÷èñëåíèé, äàþ òåáå ïîäñêàçêó: ñóììà âñåõ ïîëó÷åííûõ ÷èñåë áóäåò ðàâíà

52

104

90 - (36+24) (88 - 64): 4 48:12+12

28+(72 - 50) 88 - 64:4 48: (12+12)

Âû÷èñëè çíà÷åíèÿ âûðàæåíèé a + b è b - a, åñëè

a = 23, b = 100

a = 100, b = 450


(Äåòè îáìåíèâàþòñÿ òåòðàäÿìè è îñóùåñòâëÿþò âçàèìîïðîâåðêó..

Ôðàãìåíò óðîêà ¹ 8.

Òåìà: «×èñëà îò 1 äî 1000. Ñëîæåíèå è âû÷èòàíèå âèäà 300+200»

Öåëè óðîêà: ïîçíàêîìèòü ñ ïðèåìàìè óñòíûõ âû÷èñëåíèé âèäà 300+200

Õîä óðîêà

1.Îðãàíèçàöèîííûé ìîìåíò.

. Ïðîâåðêà ãîòîâíîñòè ê óðîêó.

3. Ñîîáùåíèå òåìû è öåëåé óðîêà îðèåíòàöèÿ äåòåé íà ïëàí óðîêà «Ïóòåøåñòâèå â òðèäåâÿòîå öàðñòâî»

. Çàêðåïëåíèå çíàíèé.

Ðåáÿòà, öàðåâíà Åëåíà ïîïàëà â áåäó. Ÿ óêðàë Êîùåé Áåññìåðòíûé â òåìíûé ëåñ çà òðåìÿ áîëîòàìè. È öàðåâè÷ó Åëèñåþ, ÷òîáû ñïàñòè öàðåâíó è íå óòîíóòü â áîëîòå, íóæíî ðåøèòü çàäà÷è, êîòîðûå çàäàëà åìó Áàáà ßãà. Ïîìîæåì Åëèñåþ? Ïîì÷àëèñü íà ïîìîùü.

Áîëîòî 1 «Ðåøàé-êà».

Âèòÿ êóïèë 400 ã ñûðà è íà 100 ã áîëüøå ìàñëà. Íàéäè ìàññó ýòîé ïîêóïêè.

Ìîëîäöû! Ñïðàâèëèñü ñ ïåðâûì çàäàíèåì êîâàðíîé Áàáû ßãè. Çíà÷èò óñâîèëè òåìó ñåãîäíÿøíåãî óðîêà.

Íî âïåðåäè íàñ ïîäæèäàåò âòîðîå áîëîòî «Ïðåîáðàçóé -êà»


Öàðåâè÷ îäîëåë è âòîðîå áîëîòî ñ âàøåé ïîìîùüþ. Íî ñàìîå ñëîæíîå èñïûòàíèå ïîäæèäàåò íàñ íà òðåòüåì áîëîòå. Äàâàéòå ïðîâåðèì, êàê ìû ñ âàìè íàó÷èëèñü áûñòðî è ïðàâèëüíî ñ÷èòàòü.

Èòàê, òðåòüå áîëîòî «Ñ÷èòàé-êà».

90+80 200·4+200 900-400: 2

60+70 1000 : 2+500 1000 : 5-200

500-200 300 : 300 300 - 300


Ôðàãìåíò óðîêà ¹ 9.

Òåìà: «Ñëîæåíèå è âû÷èòàíèå âèäà 450+30»

Öåëè óðîêà: èçó÷èòü óñòíûå ïðè¸ìû ñëîæåíèÿ è âû÷èòàíèÿ òð¸õçíà÷íûõ ÷èñåë âèäà 450+30; ñîâåðøåíñòâîâàòü âû÷èñëèòåëüíûå íàâûêè â ïðåäåëàõ 100;

Õîä óðîêà

.Îðãàíèçàöèîííûé ìîìåíò.

. Ìàòåìàòè÷åñêèé äèêòàíò.

çàïèøè âñå ÷èñëà, ðàñïîëîæåííûå ìåæäó ÷èñëàìè 397 è 402, 756 è 763;

ñîñòàâü ðàçíûå òðåõçíà÷íûå ÷èñëà, ïîëüçóÿñü öèôðàìè 1, 0, 8 (öèôðû íå äîëæíû ïîâòîðÿòüñÿ), çàïèøè è ïðî÷èòàé èõ;

çàïèøè íàèáîëüøåå òðåõçíà÷íîå ÷èñëî;

çàïèøè ÷èñëî, êîòîðîå áîëüøå íà 1, ÷åì 200 (499, 701, 999);

çàïèøè ÷èñëî, êîòîðîå ìåíüøå íà 1, ÷åì 300 (501, 1000, 899).

Ðàáîòà ïî ó÷åáíèêó:

à) Äîïîëíèòå äî 400 ÷èñëà: 340, 370, 380, 390.

Äîïîëíèòå äî 800 ÷èñëà: 760, 750, 770, 790.

á) Âû÷èñëè ñ óñòíûì îáúÿñíåíèåì:

+ 50  830 - 300    650 + 50     120 - 20 - 40

+ 500         830 - 20      240 + 60     230 - 30 - 50

. Ðàáîòà ïî òåìå óðîêà:

à) Ðåøèòå çàäà÷ó:

Ïîêóïàòåëü ïîïðîñèë âçâåñèòü 1 êã êîëáàñû. Ïðîäàâåö îòðåçàë êóñîê, ìàññà êîòîðîãî îêàçàëàñü ðàâíîé 800 ã. Ñêîëüêî ãðàììîâ êîëáàñû íàäî äîáàâèòü?

á) Ëàáèðèíò. Ïîìîãèòå ðàêåòå íàáðàòü íóæíóþ ñêîðîñòü.


Ôðàãìåíò óðîêà ¹ 10.

Òåìà: «Ïðèåìû óñòíûõ âû÷èñëåíèé âèäà 470+80»

Öåëè óðîêà: èçó÷èòü óñòíûå ïðè¸ìû ñëîæåíèÿ è âû÷èòàíèÿ òð¸õçíà÷íûõ ÷èñåë âèäà 470+80, ñîâåðøåíñòâîâàòü âû÷èñëèòåëüíûå íàâûêè.

Õîä óðîêà

. Îðãàíèçàöèîííûé ìîìåíò.

. Óñòíûé ñ÷¸ò.

à) Ïîñ÷èòàéòå.

- 4               475 + 2                363 - 2                 553 + 4

- 20             475 + 20              362 - 60               553 + 40

- 600           475 + 200            362 - 300             553 + 400

á) Òåñò. Ïðàâèëüíî îòâåòèâ íà âîïðîñû òåñòà, âû óçíàåòå íàçâàíèå ðåäêîé ïòèöû Äàëüíåãî Âîñòîêà, çàíåñ¸ííîé â “Êðàñíóþ êíèãó”.

. Óêàçàòü ÷èñëî, ñîñòîÿùåå òîëüêî èç ñîòåí è äåñÿòêîâ: à) 396 å) 65 è) 603 î) 850

. Óêàçàòü ÷èñëî, ñîñòîÿùåå èç 5 ñîòåí è 7 åäèíèö:

à) 57 á) 570 â) 507 ã) 705

. Óêàçàòü ðàä ÷èñåë, ðàñïîëîæåííûõ: â ïîðÿäêå âîçðàñòàíèÿ:

ë) 221, 212, 274, 318, 480,493 í) 212, 221, 274, 318, 480, 493 ì) 493, 480, 318, 274, 221, 212

. Óêàçàòü ÷èñëî, ñîñòîÿùåå èç 7 ñîòåí 8 äåñÿòêîâ è 5 åäèíèö:

î) 758 ï) 857 ð) 785 ñ) 875

. Çàêîí÷è âûñêàçûâàíèå: Åäèíèöû ñêëàäûâàþòñÿ ñ:

ì) ñ ñîòíÿìè ë) ñ åäèíèöàìè í) ñ äåñÿòêàìè î) íå çíàþ

. Çàêîí÷è âûñêàçûâàíèå. Äåñÿòêè âû÷èòàþòñÿ èç...:

à) èç äåñÿòêîâ á) èç ñîòåí â) èç òûñÿ÷ ã) íå çíàþ

Êëþ÷:

Îðëàí

Ôðàãìåíò óðîêà ¹ 11.

Òåìà: «Ïðèåìû óñòíûõ âû÷èñëåíèé âèäà 260+310».

Öåëü: èçó÷èòü ïðèåìû óñòíûõ âû÷èñëåíèé âèäà 260+310, çàêðåïèòü çíàíèÿ, óìåíèÿ, íàâûêè âû÷èñëåíèé â ïðåäåëàõ 1000, ïîëó÷åííûå íà ïðåäûäóùèõ óðîêàõ;

Õîä óðîêà:

.        Îðãàíèçàöèîííûé ìîìåíò.

.        Ïðîâåðêà äîìàøíåãî çàäàíèÿ.

.        Ñîîáùåíèå òåìû è öåëåé óðîêà è îðèåíòàöèÿ íà óðîê ïóòåøåñòâèå â «Ñòðàíó ìàòåìàòè÷åñêèõ âû÷èñëåíèé».

4.      Óñòíûé ñ÷åò.

Ïåðâàÿ îñòàíîâêà «Ãîðîä óñòíûõ âû÷èñëåíèé»

 ýòîì ãîðîäå æèâóò

Äåâî÷êè è ìàëü÷èêè.

Îíè ñ÷èòàþò áåç òðóäà

Áåç êàëüêóëÿòîðîâ è ïàëü÷èêîâ.

Ïðèãëàøàþò âàñ, ðåáÿòà,

Òàêæå áûñòðî ïîñ÷èòàòü.

.Èãðà «×üÿ êîìàíäà ëó÷øå?

Ðàñïðåäåëèòå ïðèìåðû íà äâå ãðóïïû:

150-90= 420 + 50 = 320 + 500 = 380 + 60 = 830 - 300 = 570 - 80 = 360+170= 320-200= 269 - 70 =

160-70 = 240 + 500 = 240 + 50 = 790 + 80 = 740 - 200 = 620 - 40 = 430+180 = 240-100 = 280 - 90 =


. Àóêöèîí.

«Ïðèåìû óñòíûõ âû÷èñëåíèé». (Äåòè ïî î÷åðåäè ïåðå÷èñëÿþò ïðèåìû óñòíûõ âû÷èñëåíèé, ïîáåæäàåò òà êîìàíäà, ÷üå âûñêàçûâàíèå îñòàëîñü ïîñëåäíèì.)

.«Áûñòðûå çàäà÷êè».

à) Ñêîëüêî óøåé ó òðåõ ìûøåé?

Á) Ñêîëüêî êîíöîâ ó äâóõ ñ ïîëîâèíîé ïàëîê?

â) Çàäà÷à íà ñìåêàëêó.

ã) Â ñåìüå ïÿòü ñûíîâåé. Ó êàæäîãî èç íèõ îäíà ñåñòðà. Ñêîëüêî âñåãî äåòåé â ñåìüå?

.Ðàáîòà íàä òåìîé

Âòîðàÿ îñòàíîâêà «Ãîðîä óñòíûõ âû÷èñëåíèé»

Çäåñü âñå íàîáîðîò.

Çäåñü âåäóò ñåðüåçíûé ñ÷åò.

Ïèøóò ñòîëáèêîì âåçäå

Íà ïîëó è íà ñòîëå.

À óìíûå ðåáÿòêè ñ÷åò

Âåäóò â ñâîåé òåòðàäêå.

Ó êàæäîãî ó÷åíèêà êàðòî÷êà ñ âåðòèêàëüíûìè ïðèìåðàìè. Ó÷àùèåñÿ ðåøàþò ïðèìåðû ñàìîñòîÿòåëüíî, çàïèñûâàÿ îòâåòû ñïðàâà îò ÷åðòû. Ó÷àùèåñÿ ñ îñîáûìè îáðàçîâàòåëüíûìè ïîòðåáíîñòÿìè ðåøàþò ñâîè ïðèìåðû ó äîñêè.)


Íà äîñêå, èçîáðàæåíèå 3 ïòèö (àèñò, äðîçä, äÿòåë).

Ïîä êàæäûì èç íèõ êîíâåðò ñ îòâåòàìè (êàêîãî öâåòà êàðòî÷êà - òàêîãî öâåòà è ëèñòîê ñ îòâåòîì). Ó÷åíèê, ñïðàâèâøèéñÿ ñ çàäàíèåì, ïîäõîäèò ê äîñêå, áåðåò ëèñòîê è óæå íà ìåñòå ñðàâíèâàåò îòâåòû.

Ôðàãìåíò óðîêà ¹ 12.

Òåìà: «Ïðèåìû ïèñüìåííûõ âû÷èñëåíèé».

Öåëè óðîêà: ïîçíàêîìèòü ñ ïðè¸ìàìè ïèñüìåííûõ âû÷èñëåíèé; .

Õîä óðîêà

.        Îðãàíèçàöèîííûé ìîìåíò

2.      Ñîîáùåíèå òåìû è öåëåé óðîêà è îðèåíòàöèÿ äåòåé íà äåâèç óðîêà: «Ãäå åñòü æåëàíèå, íàéäåòñÿ è ïóòü!»

.        Àêòóàëèçàöèÿ çíàíèé.

Ìû óæå çíàêîìû ñ ïðè¸ìàìè óñòíûõ âû÷èñëåíèé. Äàâàéòå åù¸ ïîòðåíèðóåìñÿ â âû÷èñëèòåëüíûõ íàâûêàõ.

Ó êàæäîãî èç âàñ åñòü ïî 2 êàðòî÷êè îïðåäåë¸ííîãî öâåòà. Íàéäèòå ñâîé ïðèìåð íà äîñêå, íàéäèòå ðåçóëüòàò è íàïèøèòå íà æåòîíå îòâåò.

ê. 930 - 300 = 630 ê. 340 + 60 = 400

ñ. 980 - 80 = 900 ñ. 640 + 290 = 930

ç. 660 - 480 = 180 ç. 430 + 190 = 620

–       Íàçîâèòå íàèìåíüøèé ðåçóëüòàò. (180)

–       Íàçîâèòå íàèáîëüøèé ðåçóëüòàò (930)

–       Ðàñïîëîæèòå ðåçóëüòàòû â ïîðÿäêå âîçðàñòàíèÿ

         400 620 630 900 930

) Ðàáîòà â òåòðàäè:

Àðèôìåòè÷åñêèé äèêòàíò

à) Çàïèøèòå ÷èñëî â êîòîðîì 6 ñîò è 3 åä

á) Êàêîå ÷èñëî óìåíüøèëè íà 1, åñëè ïîëó÷èëè 788

â) Íàéäè ñóììó ÷èñåë 140 è 7

ã) Êàêîå ÷èñëî ìåíüøå ÷èñëà 560 íà 8?

ä) Íà ñêîëüêî 320 áîëüøå 4?

.        Ïðîåêòèðîâàíèå è ôèêñàöèÿ íîâîãî çíàíèÿ

Âíèìàòåëüíî ïîñìîòðèòå íà äàííûå ïðèìåðû è íàéäèòå òå, êîòîðûå âû óìååòå ðåøàòü:

+ 34            534 + 427            83 - 67                 483 - 67      (íà äîñêå)

–       Ñ êàêîãî ðàçðÿäà íà÷èíàåì âû÷èñëÿòü?

–       Îáúÿñíèòå, êàê âû âûïîëíÿåòå âû÷èñëåíèÿ?

–       Ñëîæåíèå è âû÷èòàíèå ìíîãîçíà÷íûõ ÷èñåë ïðîèñõîäèò àíàëîãè÷íî

(Îáúÿñíåíèå ó÷èòåëÿ ó äîñêè)

.        Ïåðâè÷íîå çàêðåïëåíèå ñ ïðîãîâàðèâàíèåì

À ñåé÷àñ ìû ïîèãðàåì â èãðó «ß óìåþ ñ÷èòàòü è óìåþ îáúÿñíÿòü». Îáúÿñíè, êàê âûïîëíåíî ñëîæåíèå, èñïîëüçóÿ àëãîðèòì:

+ 34


+ 534


+ 534


- 83


- 483


- 483

27


27


427


67


67


167

61


561


961


16


416


316


.        Ñàìîêîíòðîëü è ñàìîïðîâåðêà

ß äóìàþ, âû ñåé÷àñ ñìîæåòå ñàìîñòîÿòåëüíî âûïîëíèòü çàäàíèå.

Ðàáîòà ïî ó÷åáíèêó ñ. 58 ¹ 2

I â. - 1 ïðèìåð ñ ïðîâåðêîé,                                    IIâ - 2 ïðèìåð ñ ïðîâåðêîé

–       Êàê ïðîâåðÿåì ñëîæåíèå (âû÷èòàíèåì èëè ñëîæåíèåì)?

–       Êàê ïðîâåðÿåì âû÷èòàíèå (ñëîæåíèåì èëè âû÷èòàíèåì)?

Îáìåíÿéòåñü òåòðàäÿìè è ïðîâåðüòå äðóã ó äðóãà ðåøåíèå ïðèìåðîâ.

Ôðàãìåíò óðîêà ¹ 13.

Òåìà: «Ñëîæåíèå òðåõçíà÷íûõ ÷èñåë».

Öåëè: çàêðåïèòü óìåíèå ñêëàäûâàòü òð¸õçíà÷íûå ÷èñëà

Õîä óðîêà

. Îðãàíèçàöèîííûé ìîìåíò

. Ñîîáùåíèå òåìû è öåëåé óðîêà.

. Óñòíûé ñ÷¸ò:

Ðåáÿòà, äëÿ âàñ ÿ áóäó ÷èòàòü àðèôìåòè÷åñêèå çàäà÷è. Âû äîëæíû ðåøàòü èõ â óìå. Ïîëó÷åííûå âàìè ÷èñëà òàêæå íàäî äåðæàòü â óìå. Ðåçóëüòàòû âû÷èñëåíèé çàïèøèòå òîëüêî òîãäà, êîãäà ÿ ñêàæó: «Çàïèøèòå».

)        Äàíû äâà ÷èñëà 5 è 3. Íàéäèòå ïðîèçâåäåíèå ýòèõ ÷èñåë …è îò ïîëó÷åííîãî ïðîèçâåäåíèÿ îòíèìèòå 10. Çàòåì îòíèìèòå åù¸ 2. Çàïèøèòå ðåçóëüòàò (3).

)        Äàíû äâà ÷èñëà 12 è 34. Âòîðóþ öèôðó ïåðâîãî ÷èñëà óìíîæüòå íà ïåðâóþ öèôðó âòîðîãî ÷èñëà. Îòíèìèòå îò ïîëó÷åííîãî ÷èñëà 2 è óìíîæüòå íà 2. Çàïèøèòå ðåçóëüòàò (8)

)        Äàíû äâà ÷èñëà 47 è 32. Ïåðâóþ öèôðó âòîðîãî ÷èñëà óìíîæüòå íà ïåðâóþ öèôðó ïåðâîãî ÷èñëà è îò ïîëó÷åííîãî ïðîèçâåäåíèÿ îòíèìèòå âòîðóþ öèôðó ïåðâîãî ÷èñëà. Çàïèøèòå ðåçóëüòàò (5)

Ïîäåëèòåñü ñî ìíîé ñâîèìè óñïåõàìè. Êàêîå ÷èñëî ó âàñ ïîëó÷èëîñü? (385). Ðàññêàæèòå âñ¸, ÷òî âû çíàåòå îá ýòîì ÷èñëå? (íå÷¸òíîå, òð¸õçíà÷íîå).

.        Ðàáîòà ïî òåìå óðîêà.

Ðàáîòà ïî êàðòî÷êàì (íà êàðòî÷êàõ ïðèìåðû íà ñëîæåíèå òð¸õçíà÷íûõ ÷èñåë).

Êàðòî÷êà 1 (áàçîâûé óðîâåíü):

+ 341


+ 356


+ 445

123


231


222


Êàðòî÷êà (ñðåäíèé óðîâåíü)

+ 873


+ 456


+ 342


+ 465

322


345


342


381


Êàðòî÷êà (âûñîêèé óðîâåíü):

+ 348


+ 268


+ 398


+ 239


+ 477

289


456


487


139


177


 çàâèñèìîñòè îò êàðòî÷êè, âûáðàííîé ó÷åíèêîì è êîëè÷åñòâà ïðàâèëüíûõ îòâåòîâ, ñòàâèòñÿ îöåíêà çà óðîê.

Ôðàãìåíò óðîêà ¹14.

Òåìà: «Âû÷èòàíèå òðåõçíà÷íûõ ÷èñåë».

Öåëè óðîêà: çàêðåïèòü íàâûêè: ïèñüìà è ÷òåíèÿ òðåõçíà÷íûõ ÷èñåë, âû÷èòàíèå òðåõçíà÷íûõ ÷èñåë «ñòîëáèêîì», ñðàâíèâàòü ÷èñëà.

Õîä óðîêà

. Îðãàíèçàöèîííûé ìîìåíò

. Ïîñòàíîâêà òåìû è öåëè óðîêà è îðèåíòàöèÿ äåòåé íà ïëàí óðîêà «Îëèìïèéñêèå èãðû».

.Óñòíûé ñ÷åò.

à) - Çíàåòå ëè âû, ãäå âïåðâûå ïðîâîäèëèñü Îëèìïèéñêèå èãðû? ×òîáû îòâåòèòü íà ïîñòàâëåííûé âîïðîñ âñåì íàäî ðåøèòü öåïî÷êó ïðèìåðîâ.


Òàê, ãäå æå âïåðâûå ïðîâîäèëèñü Îëèìïèéñêèå èãðû?
25 - â Ðîññèè; 40 - â Ãðåöèè; 18 - â Èòàëèè.

á) - Ñèìâîëîì Îëèìïèéñêèõ èãð ÿâëÿåòñÿ ïÿòü êîëåö. ×òî îíè îçíà÷àþò? Äëÿ òîãî ÷òîáû îòâåòèòü íà âîïðîñ íåîáõîäèìî ðåøèòü öåïî÷êó ïðèìåðîâ.


Èòàê, ÷òî îçíà÷àþò 5 êîëåö?

- 5 âèäîâ ñòðàí; 20 - 5 ñòðàí; 75 - 5 ìàòåðèêîâ.

â) Ðåáÿòà, åñëè âû ïðàâèëüíî ðåøèòå ïðèìåðû, òî ïîÿâÿòñÿ ñîîòâåòñòâóþùèå áóêâû, âû óçíàåòå äåâèç Îëèìïèéñêèõ èãð.


800

880

600

420

530

27

36

440

50

63

18

110

Í

Û

Ü

Å

Ø

Ð

Â

Á

È

Ë

Ñ

Ò

Ïðî÷èòàéòå äåâèç Îëèìïèéñêèõ èãð (Áûñòðåå, âûøå, ñèëüíåå!)

Äëÿ òîãî, ÷òîáû áûòü áûñòðûì, ñèëüíûì, êðåïêèì, ÷òî íóæíî äåëàòü? (Çàíèìàòüñÿ ñïîðòîì. Åñëè áóäåì çàíèìàòüñÿ ñïîðòîì, íå áóäåì áîëåòü, áóäåì çäîðîâûìè).

Òàê, ãäå æå ïðîâîäèëèñü âïåðâûå Îëèìïèéñêèå èãðû? (Â Èòàëèè)

×òî îçíà÷àþò ïÿòü êîëåö? (5 ìàòåðèêîâ)

Äåâèç Îëèìïèéñêèõ èãð (Áûñòðåå, âûøå, ñèëüíåå)

Ðåáÿòà, êàêèå âèäû ñïîðòà Âû çíàåòå?

Èòàê, íà÷èíàåì íàøó ìàëóþ êëàññíóþ Îëèìïèàäó. Îëèìïèàäà ñîñòîèò èç ðàçíûõ âèäîâ ñîðåâíîâàíèé.

Ñîðåâíîâàíèå 1:Ïðûæêè â âîäó

Íà ìåñòå òðàìïëèíà ïðîïóùåíû çíàêè. Î÷åíü âàæíî ïðàâèëüíî ïîñòàâèòü çíàêè è áåçîøèáî÷íî ïðèçåìëèòüñÿ.


Ìîëîäöû! Âû ñïðàâèëèñü ñ çàäàíèåì.

Ñîðåâíîâàíèå 2: Ñòðåëüáà èç ëóêà

Ïåðåä Âàìè ìèøåíü 3-õ ñïîðòñìåíîê. Ïîñ÷èòàéòå, ñêîëüêî î÷êîâ îíè íàáðàëè, åñëè çà êàæäîå ïîïàäàíèå â êðàñíîå ïîëå äàåòñÿ 8 î÷êîâ, â ñèíåå 30 î÷êîâ, â áåëîå 400 î÷êîâ?


-ÿ ñïîðòñìåíêà íàáðàëà 1268, 2-ÿ - 808, 3-ÿ - 920. Ó êàêîé ñïîðòñìåíêè âûñòðåëû áûëè áîëåå ìåòêèìè? (Ó ïåðâîé)

Ïðåäñòàâüòå ÷èñëà â âèäå ñóììû ðàçðÿäíûõ ñëàãàåìûõ.

= 1000 + 200 + 60 + 8

= 800 + 8

= 900 + 20

Êàêîé ðàçðÿä îòñóòñòâóåò âî âòîðîì ÷èñëå (ä), â òðåòüåì ÷èñëå (åä).

Ñîðåâíîâàíèå 3. Ëåãêàÿ àòëåòèêà. Íàéäè ñáåæàâøèå öèôðû.


Ôðàãìåíò óðîêà ¹ 15.

Òåìà: «Çàêðåïëåíèå ïî òåìå «Ïðèåìû ïèñüìåííîãî ñëîæåíèÿ è âû÷èòàíèÿ».

Öåëè óðîêà: çàêðåïèòü íàâûê ñëîæåíèÿ è âû÷èòàíèÿ ÷èñåë â ïðåäåëàõ 1000, ïîâòîðèòü ñïîñîáû ïðîâåðêè ñëîæåíèÿ è âû÷èòàíèÿ

Õîä óðîêà

.        Îðãàíèçàöèîííûé ìîìåíò.

.        Ñîîáùåíèå òåìû è öåëåé óðîêà

.        Óñòíûé ñ÷åò

Ó âàñ íà ïàðòå ëåæèò âû÷èñëèòåëüíàÿ ìàøèíà: ëèñòî÷åê ñ 6 êâàäðàòàìè.  ýòó ìàøèíó âû ïîñëå êàæäîãî çàäàíèÿ óñòíîãî ñ÷åòà áóäåòå çàïèñûâàòü îòâåò.  êîíöå ó êàæäîãî íà âû÷èñëèòåëüíîé ìàøèíå îêàæåòñÿ êîä. Ñ ïîìîùüþ êîäà ìû ïðîâåðèì, êòî ãîòîâ îòïðàâèòüñÿ â ïóòåøåñòâèå, à êîìó åùå íóæíî ïîçàíèìàòüñÿ. Èòàê, çà ðàáîòó!

Ó÷åíèê («øòóðìàí») äåëàåò ó äîñêè, ïèøåò íà íåé îòâåòû óñòíîãî ñ÷åòà, ÷òîáû çàòåì ïðîèçâåñòè íàãëÿäíóþ ïðîâåðêó ñî âñåì êëàññîì.

1.Çàïèøèòå ÷èñëî, êîòîðîå ñëåäóåò ïðè ñ÷åòå çà ÷èñëîì 679.

.Çàïèøèòå ÷èñëî, êîòîðîå ïðåäøåñòâóåò ïðè ñ÷åòå ÷èñëó 1000.

.Íàéäè çíà÷åíèÿ âûðàæåíèÿ: ê 715 ïðèáàâèòü 5.

.Íàéäè çíà÷åíèÿ âûðàæåíèÿ: îò 920 âû÷åñòü 10.

.Ïåðâîå ñëàãàåìîå 400, âòîðîå ñëàãàåìîå 140, íàéäè ñóììó.

.Óìåíüøàåìîå 750, âû÷èòàåìîå 300, íàéäè ðàçíîñòü.

Âàðèàíòû ïðàâèëüíûõ îòâåòîâ:

  680  999  720  910  540  450  


Ó÷åíèêè îáìåíèâàþòñÿ ëèñòî÷êàìè äëÿ âçàèìíîé ïðîâåðêè, «øòóðìàí» ïðåäúÿâëÿåò êîä (îòâåòû) âñåìó êëàññó. Ó÷åíèêè, äîïóñòèâøèå îøèáêè â ìàòåìàòè÷åñêîì äèêòàíòå, ïîëó÷àþò äîïîëíèòåëüíóþ êàðòî÷êó-ïåðôîêàðòó ñ çàäàíèÿìè.

Ðàáîòà ñ êàðòî÷êàìè:

.Íàéäè ëèøíåå ÷èñëî â êàæäîé ãðóïïå:

76, 53 458 27 99 31 52 48

300 100 542 700 900 200

460 752 340 76 953

246 927 400 299 762

Ðàñïîëîæè ÷èñëà 3-é ñòðîêè â ïîðÿäêå âîçðàñòàíèÿ.

Ðàñïîëîæè ÷èñëà 4-é ñòðîêè â ïîðÿäêå óáûâàíèÿ.

2.Ñðàâíè:

378…374                      487…700                      719 - 38 … 719 - 380

…550                            673…637                      407 - 136…470 - 136

3. Êàêóþ öèôðó ìîæíî ïîñòàâèòü âìåñòî *, ÷òîáû ïîëó÷èëîñü âåðíîå íåðàâåíñòâî?

5*4 < 514 715 > 7*5

> *06 628 < 62*

. Îïðåäåëèòå, êòî âåðíî íàøåë çíà÷åíèå ñóììû è çíà÷åíèå ðàçíîñòè, Ìàøà èëè Ìèøà?

Ìàøà:                                       Ìèøà:

+ 346


+ 346

99


99

445


1336




- 887


- 887

69


69

818


828


Êòî äîïóñòèë îøèáêè è â ÷åì èõ ïðè÷èíà?

.        Ðàñøèôðóé íàçâàíèå îêåàíà. Êàêèå åùå îêåàíû òû çíàåøü?


782

198

740

198

136


Òàáëèöà 9

Ñòåïåíü è óðîâåíü îáó÷åííîñòè ó÷àùèõñÿ ïî òåìå «Ïèñüìåííîå ñëîæåíèå è âû÷èòàíèå» 3 «À» êëàññà íà êîíòðîëüíîì ýòàïå èññëåäîâàíèÿ

Èìÿ, ôàìèëèÿ ó÷àùåãîñÿ

 «5»

 «4»

 «3»

 «2»

ÑÎÓ (ñòåïåíü îáó÷åííîñòè ó÷àùèõñÿ)

Óðîâåíü îáó÷åííîñòè

Âàíÿ Á.

1

2



76 %


Êðèñòèíà Í.

3




100 %


Âåðà Æ.

2

1



88 %


Îêñàíà Ñ.

2

1



88 %


Äàøà Ä.

2

1



88 %


Ýëüâèí Í.

2

1



88 %


Ìèøà Ï.


2

1


55 %


Ñâåòà Õ.


1

2


45 %


Êàòÿ Õ.


3



64 %


Äèìà Ð.

2

1



88 %


Ïàøà Ë.


3



64 %


Äèìà Õ.

3




100 %


Ìàøà À.

2

1



88 %


Íóðëàí Á.


2

1


55 %


Âèêà Ê.

1

2



76 %


Æåíÿ Õ.


3



64 %


ßíà Ï.

2

1



88 %


Òîëÿ Ò.

1

2



76 %


Àíÿ Ï.


2

1


55 %


Êàòÿ Ô.


1

2


45 %



Óñëîâíûå îáîçíà÷åíèÿ:

Óðîâåíü îáó÷åííîñòè

Ñòåïåíü îáó÷åííîñòè, %


âûñîêèé

96-100


âûøå ñðåäíåãî

95-80


ñðåäíèé

65-79


íèæå ñðåäíåãî

50-64


íèçêèé

<50



Ïðèëîæåíèå 6

Òàáëèöà 10

Ñòåïåíü è óðîâåíü îáó÷åííîñòè ó÷àùèõñÿ ïî òåìå «Ïèñüìåííîå ñëîæåíèå è âû÷èòàíèå» 3 «Á» êëàññà íà êîíòðîëüíîì ýòàïå èññëåäîâàíèÿ

Èìÿ, ôàìèëèÿ ó÷àùåãîñÿ

 «5»

 «4»

 «3»

 «2»

ÑÎÓ (ñòåïåíü îáó÷åííîñòè ó÷àùèõñÿ)

Óðîâåíü îáó÷åííîñòè

ßêóá À.

3




100 %


Íàñòÿ À.


3



64 %


Êàòÿ Á..

2

1



88 %


Ìàøà Á.

2

1



88 %


Äèìà Á.

1

2



76 %


Äàíèèë Á.

1

2



76 %


Êðèñòèíà Å.

3




100 %


Ëèçà Ê.

1

2



76 %


Êñþøà Ñ.

3




100 %


Àíäðåé Ì.

2

1



76 %


Êðèñòèíà Ì.

2

1



88 %


Íèêèòà Í.

1

2



76 %


Äèìà Î.


2

1


55 %


Ëåíÿ Ñ.

1

2



76 %


Àðòåì Ñ.


1

2


45 %


Äàíà Ò.

3




100 %


Ìàðàò Õ.

2

1



88 %


Èðàêëèé ×.


2

1


55 %


Àðèàíà ×.

2

1



76%


Æåíÿ Ã.

3




100%


Íàñòÿ Æ.

1

2



76 %



Óñëîâíûå îáîçíà÷åíèÿ:

Óðîâåíü îáó÷åííîñòè

Ñòåïåíü îáó÷åííîñòè, %


âûñîêèé

96-100


âûøå ñðåäíåãî

95-80


ñðåäíèé

65-79


íèæå ñðåäíåãî

50-64


íèçêèé

<50



Ïðèëîæåíèå 7

Òàáëèöà 11

Óðîâåíü îáó÷åííîñòè ó÷àùèõñÿ ïî òåìå «Ïèñüìåííîå ñëîæåíèå è âû÷èòàíèå» 3 «À» êëàññà íà êîíñòàòèðóþùåì è êîíòðîëüíîì ýòàïå.

Èìÿ, ôàìèëèÿ ó÷àùåãîñÿ

Óðîâåíü îáó÷åííîñòè íà êîíñòàòèðóþùåì ýòàïå

Óðîâåíü îáó÷åííîñòè íà êîíòðîëüíîì ýòàïå

Âàíÿ Á.



Êðèñòèíà Í.



Âåðà Æ



Îêñàíà Ñ.



Äàøà Ä.



Ýëüâèí Í.



Ìèøà Ï.



Ñâåòà Õ.



Êàòÿ Õ.



Äèìà Ð.



Ïàøà Ë.



Äèìà Õ.



Ìàøà À.



Íóðëàí Á.



Âèêà Ê.



Æåíÿ Õ.



ßíà Ï.



Òîëÿ Ò.



Àíÿ Ï.



Êàòÿ Ô.




Óñëîâíûå îáîçíà÷åíèÿ:

Óðîâåíü îáó÷åííîñòè


âûñîêèé


âûøå ñðåäíåãî


ñðåäíèé


íèæå ñðåäíåãî


íèçêèé



Ïðèëîæåíèå 8

Òàáëèöà 12

Óðîâåíü îáó÷åííîñòè ó÷àùèõñÿ ïî òåìå «Ïèñüìåííîå ñëîæåíèå è âû÷èòàíèå» 3 «Á» êëàññà íà êîíñòàòèðóþùåì è êîíòðîëüíîì ýòàïå

Èìÿ, ôàìèëèÿ ó÷àùåãîñÿ

Óðîâåíü îáó÷åííîñòè íà êîíñòàòèðóþùåì ýòàïå

Óðîâåíü îáó÷åííîñòè íà êîíòðîëüíîì ýòàïå

ßêóá À.



Íàñòÿ À.



Êàòÿ Á..



Ìàøà Á.



Äèìà Á.



Äàíèèë Á.



Êðèñòèíà Å.



Ëèçà Ê.



Êñþøà Ñ.



Àíäðåé Ì.



Êðèñòèíà Ì.



Íèêèòà Í.



Äèìà Î.



Ëåíÿ Ñ.



Àðòåì Ñ.



Äàíà Ò.



Ìàðàò Õ.



Èðàêëèé ×.



Àðèàíà ×.



Æåíÿ Ã.



Íàñòÿ Æ.




Óñëîâíûå îáîçíà÷åíèÿ:

Óðîâåíü îáó÷åííîñòè


âûñîêèé


âûøå ñðåäíåãî


ñðåäíèé


íèæå ñðåäíåãî


íèçêèé


Ðàçìåùåíî íà Allbest.ru

Похожие работы на - Методические приемы формирования вычислительных навыков письменного сложения и вычитания в начальном курсе математики

 

Не нашли материал для своей работы?
Поможем написать уникальную работу
Без плагиата!
Без нейросетей!