Графоаналитический метод формирования нефтяных смесей
Графоаналитический
метод формирования нефтяных смесей
Тертышная Е.В.,
Запорожец А.И., Раенко Е.В.,
Калиниченко О.А., Снежко
Л.А.
Введение
Сложившаяся практика работы
нефтеперабатывающих заводов с сырьевыми потоками, поступающими с разных месторождений,
которые не отличаются стабильностью ни по составу, ни по количественным
показателям, вынуждает специалистов искать пути и методы обеспечения наиболее
полного использования потенциала сырья. Колебания состава нефти вызывают
серьезные "возмущения" технологического режима установок и приводят к
снижению выхода и качества целевых фракций.
На предприятиях используется метод
получения смесевых композиций на основе лабораторного анализа свойств нефти,
подбора и проверки технологических показателей создаваемых смесей и фракций.
Такой метод основывается на многочисленных, длительных и трудоемких
экспериментальных исследованиях. Кроме того, он эффективен только при
постоянном качественном и количественном составе компонентов, что практически
недостижимо в условиях современных нефтеперерабатывающих предприятий.
Для определения схемы составления
смесевых композиций предлагается использовать методику построения осцилляторов
интенсивности кипения (ИК) и расчета потенциала ИК на основе ИТК исходных
нефтей [1-3].
По утверждению авторов этот подход
дает возможность оценить и задать предварительные количественные и качественные
показатели узких фракций в смесевом сырье, а также определить температурные
пределы наиболее энергетически выгодного разделения смеси на фракции.
Применимость методики построения
осцилляторов (ИК) и определения потенциала (ИК) для оптимизации состава
нефтяных смесей проверялась на отработанной экспериментально в лабораторных
условиях и апробированной на производстве смеси Восточно-Украинской и
Азербайджанской нефтей, используемой для получения масляных дистиллятов. Смесь
готовится в соотношении 61,4% масс. Восточно- Украинской и 38,4% масс.
Азербайджанской нефти, что обеспечивает максимальный выход масляной фракции.
Методика определения
Потенциальное содержание фракций
нефти устанавливали стандартным методом разгонки ГОСТ 11011-85 «Нефть и
нефтепродукты. Метод определения фракционного состава в аппарате АРН-2», по
результатам которой строили кривую ИТК.
Зависимость выхода ректификата при
перегонке углеводородной смеси от температуры представляли в виде функции
G=f(t), непрерывность которой позволила её дифференцировать.
Интенсивность кипения
фракции нефти выражали второй производной массового выхода фракций от
температуры
.
Графическое изображение этой производной в координатах температура кипения -
интенсивность кипения представляет собой осциллятора (ИК). Осцилляторы, в
отличие от кривых ИТК, более полно характеризуют поведение сырья в процессе его
испарения. Положительное значение интенсивности кипения свидетельствует об
ускорении процесса кипения при повышении температуры, отрицательное значение -
о замедлении процесса.
Максимальный выход целевой фракции
обеспечивается правильным выбором компонента-интенсификатора, который снижает
интенсивность кипения целевой фракции, увеличивая её выход.
Компонент-интенсификатор
определяется величиной потенциала интенсивности кипения
через
отношение интеграла функции интенсивности кипения нефти в области положительных
значений ИК к интегралу функции интенсивности кипения в области отрицательных
значений ИК по формуле
(1)
Практически значение
каждого интеграла находили графическим способом как площадь подынтегральной
кривой осциллограммы с применением программы Microcal Origin. Численное
значение потенциала устанавливает порядок смешения исходного сырья. Наибольшее
значение потенциала интенсивности кипения имеет базовая нефть к которой добавляют
нефть с меньшим значением потенциала.
Количественное соотношение базового
и добавочного потоков, позволяющее получать продукт-фракцию, с заданными
характеристиками, определяется в зависимости от варианта режима работы
установки и нормируемых показателей целевой фракции по формуле [4-7].
В качестве нормируемых показателей
на первом этапе использовали характеристики смеси и масляной фракции, полученые
в ходе предварительных экспериментов по компаундированию вышеуказанных нефтей.

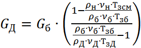
, (2),
где Gб-
количество базового компонента, кг/ч;Д - количество дополнительного
компонента-интенсификатора (имеющего меньший потенциал кипения), кг/ч;
хi,б и хi,Д
- массовые доли масляной фракции базового и дополнительного компонентов смеси.
ρн,
ρб, ρд
- нормируемая плотность конечной масляной фракции и плотности масляной фракции
базового и дополнительного компонентов смеси, кг/м3;
νн,
νб, νд
- нормируемая вязкость конечной масляной фракции и вязкости целевой фракции
базового и дополнительного компонентов смеси, м2/с;
Тзсм, Тзб,
Тзд - нормируемая температура застывания получаемой смеси и
температуры застывания базового и дополнительного компонентов смеси, К.
Фракционный состав
нефтепродуктов определялся по ГОСТ 2177-99 (ИСО 3405-88) АРН-ЛАБ-2
«Нефтепродукты. Методы определения фракционного состава»; вязкость по ГОСТ
33-2000 «Нефтепродукты. Прозрачные и непрозрачные жидкости. Определение
кинематической вязкости и расчет динамической вязкости»; температуру застывания
по ГОСТ 20287-91 «Нефтепродукты. Методы определения температур текучести и
застывания»; плотность в соответствие с ГОСТ 3900-85 «Нефть и нефтепродукты.
Методы определения плотности».
Цель работы: Проверить
применимость методики построения осцилляторов ИК и расчета потенциала ИК на
известной двухкомпонентной нефтяной смеси и установить возможность применения
этой методики для определения оптимального соотношения трехкомпонентых нефтяных
смесей, обеспечивающих получение масляных дистиллятов с заданными физико-химическими
свойствами.
Объект исследования:
Восточно-Украинская, Азербайджанская и Казахстанская нефти.
Результаты и обсуждение
На первом этапе
рассматривали вариант смешения Восточно-Украинской и Азербайджанской нефти.
ИТК Восточно-Украинской
и Азербайджанской нефти представлены на рис. 1.
В результате
математической обработки ИТК, рассчитаны и построены их осцилляторы ИК с шагом
5% масс. (рис.2).
- ИТК
Восточно-Украинской нефти; 2 - ИТК Азербайджанской нефти;
Рис.1 Фракционный состав
нефти.
- Восточно-Украинская
нефть; 2 - Азербайджанская нефть;
Рисунок 2 - Осцилляторы
ИК нефти
графоаналитический метод
нефтяная смесь
Осцилляторы ИК нефти более полно
характеризуют поведение сырья в процессе его испарения. В интервале температур,
соответствующих испарению масляных дистиллятов, Восточно-Украинская нефть имеет
отрицательные значения интенсивности кипения практически во всем интервале от
300 до 5000С. Азербайджанская нефть, наоборот, характеризуется
положительным значением интенсивности кипения в диапазоне 300-3600С.
Стабилизацию темпов кипения масляной фракции можно обеспечить смешением двух
видов сырья в нужном соотношении, предварительно определив роль каждого из
компонентов. При рациональном подборе соотношения компонентов можно добиться
увеличения выхода целевых фракций за счет интенсификации процессов испарения
при перегонке смесевого сырья. Можно также уменьшить затраты на разделение
граничных целевых фракций.
Для определения базового компонента
и компонента-интенсификатора находили величины потенциалов интенсивности
кипения по формуле (1). Результаты расчетов применительно к масляным фракциям в
интервале температур 300-500°С представлены в табл.1.
Таблица 1. Значения интеграла ИК и
потенциала ИК для фракций 300-5000С
|
Показатель
|
Восточно-Украинская нефть
|
Азербайджанская нефть
|
|
Интеграл ИК>0
|
9,958·10-3
|
22,610·10-3
|
|
Интеграл ИК<0
|
65,740·10-3
|
84,910·10-3
|
|
Потенциал ИК
|
0,1515
|
0,2663
|
|
Компонент смеси
|
Интенсификатор
|
Базовый
|
В соответствии с полученным более
высоким значением потенциала (ИК) Азербайджанская нефть будет считаться
базовой, к которой добавляется Восточно-Украинская в качестве интенсификатора.
Соотношение базового потока и интенсификатора определяется по формуле (2).
Экспериментальные данные о физико- химических свойствах нефти, значения целевых
показателей, а также результаты расчетов обобщены в табл. 2.
Расчетные концентрации базового и
интенсифицирующего компонентов в нефтяной смеси практически совпали с установленными
в ходе предварительных экспериментов, что доказало справедливость
использованной методики и подтвердило возможность применения значений
потенциала (ИК) в качестве определяющего параметра для установления порядка
смешения сырьевых смесеобразующих компонентов.
На втором этапе рассмотрен вариант
дополнения смеси, полученной на основе Восточно-Украинской и Азербайджанской
нефти, Казахстанской нефтью с целью расширения ассортимента сырьевой базы и
увеличения валового выхода масляной фракции с применением методики базирующейся
на оценке значений потенциала (ИК).
Таблица 2 Характеристика
физико-химических свойств нефти и полученной смеси №1
|
Показатели
|
Компоненты смеси
|
Смесь №1 Экспериментальные значения нормируемых целевых
показателей
|
|
Нефть Вост.-Укр.
|
Нефть Азербайдж.
|
|
|
Содержание нефти в смеси, % масс.
|
|
|
100
|
|
-эксперимент
|
61,4
|
|
|
-расчет по формуле (2)
|
61,32
|
38,68
|
|
|
Выход масляной фракции, % мас.
|
10,5
|
13,5
|
11,12
|
|
Плотность при 20°С, кг/м 3
|
0,8606
|
0,8615
|
0,8610
|
|
Вязкость кинематическая при 100°С, мм2/с
|
3,388
|
4,065
|
3,95
|
|
Температура застывания, °С:
|
255
|
267
|
255
|
В качестве базы для теоретического
анализа использовали ИТК полученной смеси №1- Восточно-Украинской и
Азербайджанской нефти и ИТК Казахстанской нефти, которые представлены на рис.
3.
1 - ИТК смеси №1-Восточно-Украинской
и Азербайджанской нефти; 2 - ИТК Казахстанской нефти.
Рис.3 Фракционный состав
смесеобразующих компонентов
В результате математической
обработки ИТК, рассчитаны и построены их осцилляторы ИК с шагом 5% масс.
(рис.4).
1- смесь №1-Восточно-Украинской и
Азербайджанской нефти; 2- Казахстанская нефть
Рисунок 4 - Осцилляторы ИК
смесеобразующих компонентов
Предварительный качественный анализ
вида полученных осцилляторов (ИК) представленных на рис. 4 показывает, что
значения интенсивности кипения обеих смесеобразующих компонентов в интервале
температур 300-3500С находятся в области отрицательных значений, что
свидетельствует об снижении интенсивности кипения и о возможности увеличения
выхода масляной фракции, при их смешении. В интервале температур 350-4000С
положительные значения интенсивности кипения смеси №1 компенсируется умеренными
отрицательными значениями этого показателя для Казахстанской нефти..После 4000С
значения интенсивности кипения обеих компонентов меняют свои знаки и находятся
в противофазе, что должно оказать положительное влияние на интенсивность
кипения и количественный выход соответствующей фракции. Эти прогнозы должны
подтвердиться последующими расчетами и экспериментальной проверкой.
Для определения базового компонента
и компонента-интенсификатора находили величины потенциалов интенсивности
кипения по формуле (1). Результаты расчетов применительно к масляным фракциям в
интервале температур 300-500°С представлены в табл.1.
Таблица 3. Значения интеграла ИК и
потенциала ИК для фракций 300-5000С
|
Показатель
|
Смесь №1
|
Казахстанская нефть
|
|
Интеграл ИК>0
|
16,79·10-3
|
254,27·10-3
|
|
Интеграл ИК<0
|
44,94·10-3
|
186,61·10-3
|
|
Потенциал ИК
|
0,1916
|
0,7339
|
|
Компонент смеси
|
Интенсификатор
|
Базовый
|
Более высокие значения потенциала
(ИК) Казахстанской нефти определяют ее в качестве базовой, к которой
добавляется смесь №1 в качестве интенсификатора. Соотношение базового потока и
интенсификатора, рассчитанное по формуле (2), экспериментальные данные о
физико- химических свойствах смесеобразующих компонентов и предварительно
принятые значения целевых показателей, обобщены в табл. 4.
Анализ ИТК полученной
трехкомпонентной смеси (Рис. 5) показывает, что зависимость выхода фракций от
температуры приобрела практически линейный характер. Это свидетельствует о
выравнивании интенсивности кипения во всем исследуемом температурном интервале.
Прогнозируемый выход масляной фракции в интервале температур 350-4200С
превышает 11%. Выход этой фракции в процессе экспериментов составил 11,3%, что
обеспечило увеличение выхода искомой фракции на 4% в сравнении с аддитивной
суммой соответствующих фракций, получаемых при переработке отдельных
компонентов входящих в смесь №2.
Таблица 4 Характеристика
физико-химических свойств исходных компонентов и полученной смеси №2
|
Показатели
|
Компоненты смеси
|
Смесь нефтей №2
|
|
Смесь нефтей №1
|
Нефть Казахстанская
|
Предварительные значения целевых показателей
|
Экспериментальные значения показателей
|
|
Содержание нефти в смеси, % масс.,расчет по формуле (2)
|
87,52
|
12,48
|
100
|
100
|
|
Выход масляной фракции, % мас.
|
11,12
|
9,0
|
-
|
11,3
|
|
Плотность при 20°С, кг/м 3
|
0,8610
|
0,8570
|
0,8598
|
0,8601
|
518
|
540
|
518
|
524
|
|
Вязкость кинематическая при 100°С, мм2/с
|
3,95
|
3,74
|
3,90
|
3,91
|
|
Температура застывания, °С:
|
255
|
257
|
255
|
255
|
Рис.5- Фракционный состав (ИТК)
трехкомпонентной смеси №2
Выводы
. Проверка методики
построения осцилляторов ИК и расчета потенциалов ИК на примере экспериментально
изученной двухкомпонентной смеси Восточно-Украинской и Азербайджанской нефти
подтвердили ее применимость для определения массового соотношения компонентов и
порядка их смешения.
. Теоретические расчеты,
проведенные по этой методике, позволили установить оптимальное массовое
соотношение компонентов и порядок образования смеси состоящей из
Восточно-Украинской, Азербайджанской и Казахстанской нефти.
. Экспериментальные
исследования полученной трехкомпонентной смеси показали, что выход масляной
фракции в интервале температур 350-4200С увеличился на 4% в сравнении
с суммарным выходом этой фракции при раздельной перегонке смесеобразующих
компонентов, что свидетельствует о положительном эффекте, связанным с
выравниванием интенсивности кипения в результате оптимизации порядка смешения.
. Методика, базирующаяся на
построении осцилляторов ИК и расчете потенциалов ИК, позволяет оперативно
оптимизировать составы нефтяных смесей и до минимума сократить объем трудоемких
экспериментальных исследований.
Список используемой литературы
1. Овчаров С.Н., Колесников С.И., Колесников И.М., Ануфриев А.А.
Определение потенциального содержания светлых фракций в нефти // Химия и
технология топлив и масел. - 2006. - № 4. - С. 53-54.
2. Пикалов И.С., Овчаров С.Н., Алференко С.В., Овчарова А.С.
Разработка метода рационального смешения нефтей на базе нового подхода к
анализу фракционного состава. Вестник Северо-Кавказского государственного
технического университета. - 2010. - № 4. - С. 85-91.
3. Овчаров С.Н., Колесников С.И., Колесников И.М., Овчарова А.С.
Параметрические уравнения для определения свойств газовых конденсатов и их
целевых фракций // Нефтепереработка и нефтехимия. - 2012. - № 1.
. Пат. 2300551 РФ, МПК C10G 7/00. Способ получения топливных
фракций / Овчаров С.Н., Пикалов Г.П., Пикалов С.Г., Пикалов И.С., Овчарова А.С.
-№ 2006101112; заявл. 12.01.2006; опубл. 10.06.2007; бюл. № 16. - 9 с.
5. 27. Пат. 2307150 РФ, МПК C10G 7/00. Способ получения
топливных фракций / Овчаров С.Н., Пикалов Г.П., Пикалов С.Г., Журбин А.В.,
Пикалов И.С., Овчарова А.С. - № 2006115023; заявл. 02.05.2006; опубл.
27.09.2007; бюл. № 27. - 8 с.
6. Пикалов И.С., Овчаров С.Н., Мартыненко А.В. О механизме
действия интенсификатора на процесс первичной перегонки нефти // Материалы XII
региональной научно-технической конференции "Вузовская наука -
Северо-Кавказскому региону". - Т. 1. - Ставрополь: СевКавГТУ, 2008. - С.
290-292.
7. Овчаров С.Н., Пикалов И.С., Рамазанов Р.Д. Углубление
процесса первичной перегонки нефти с использованием интенсификатора //
Материалы XII региональной научно-технической конференции «Вузовская наука -
Северо-Кавказскому региону». Т. 1. - Ставрополь: СевКавГТУ, 2008. - С. 176-178.