Выбор и оценка методов обработки и сборки мужского плаща
Министерство
образования и науки РФ
Федеральное
государственное бюджетное образовательное учреждение высшего профессионального
образования
Восточно-Сибирский
государственный университет технологий и управления
Кафедра:
«Конструирование и технология изделий легкой промышленности»
Задание
№ 1
к
курсовой работе
Тема
работы: «Выбор и оценка методов обработки и сборки мужского плаща»
студенту Цыдыповой
Ц.Ш.
План
Введение
.
Обоснование выбора модели мужского плаща
.
Характеристика и выбор пакета материалов и фурнитуры
.
Последовательность обработки и сборки изделия
.
Выбор и обоснование режимов обработки
.
Выбор и обоснование методов обработки
.
Выбор оборудования
.
Оценка эффективности методов обработки и сборки мужского плаща
.
Разработка инструкционно - технологической карты обработки узла
Заключение
Список
использованных источников
Приложение
А - Технологическая последовательность обработки и сборки мужского плаща
материал фурнитура плащ
Введение
Мир меняется и меняет наше отношение ко всему,
но неизменным остаются главные требования к портняжному искусству и творчеству
художника-модельера.
К решению художественных задач относится
создание модной формы, силуэта и покроя изделия, нахождение модных
пропорциональных соотношений частей и целого. К решению технических задач
относится получение с помощью расчетных формул и графических приемов,
направленных на достижение правильной посадки изделия на фигуре при обеспечении
удобства в носке, на получение эффективной конструкции при минимальных материальных
и трудовых затратах.
При проектировании одежды должны быть
использованы последние достижения науки, техники и прикладного искусства.
Выбранные конструктивные решения, соответствующие созданию имеющих высокие
эстетические свойства, высокие требования, можно удовлетворить постоянно
совершенствую технологию пошива изделия.
При этом повышение эффективности процессов
изготовления одежды может быть достигнуто за счет использования прогрессивных
способов обработки. Для производства высококачественных изделий необходимо
хорошо знать строение и свойства материалов, их изменения под воздействием
факторов швейного производства. Необходимо научиться выполнять работы:
технологических процессов изготовления швейных изделий, осуществлять планировку
агрегатов, пользоваться справочной литературой.
Целью данной курсовой работы является выбор и
оценка методов обработки мужского плаща, а также определение уровня качества
изделия, затраты времени на выполнение узлов и всего изделия.
Объектом курсовой работы является технологический
процесс на изготовление мужского плаща.
Задачами курсовой работы является:
Выбор модели мужского плаща в соответствии с
направлением моды и требованием, предъявляемым к изделию.
Подбор пакета материалов и фурнитуры к мужскому
плащу.
Выбор оборудования, режимов влажно-тепловой
обработки, схемы сборки изделия.
Повышение эффективности методов обработки и
сборки мужского плаща.
Разработка технологического процесса
изготовления изделия.
1. Обоснование выбора модели женского
демисезонного пальто
Проектируемая модель мужского плаща
предназначена для мужчин 30 лет, для повседневной носки в период «осень-весна».
Мужской плащ должен отвечать комплексу
требований, которые предъявляют к ней потребители. Поэтому все многообразие
этих требований оценивают двумя группами показателей - потребительскими и
производственными.[1]
По функциональным требованиям мужской плащ
должен соответствовать внешнему облику, возрастным психологическим особенностям
человека, современному образу жизни, конкретной обстановки труда и отдыха.
Применяемые материалы по физико - механическим показателям, отделки и фурнитуры
должны соответствовать назначению изделия.
По эргономическим требованиям мужской плащ
должен соответствовать размерам и формам человека, не стеснять движения, быть
удобным при одевании и снятии, пользовании различными элементами изделия,
пониженных температур и влаги из окружающей среды и соответствовать моде.
По эксплуатационным требованиям мужской плащ
должен иметь устойчивость соединительных швов и элементов конструкции,
формоустойчивость деталей и краев изделия к эксплуатационным нагрузкам и
внешним воздействиям. Плащ должен сохранять форму и размеры изделия, цвет,
прочность соединения материалов после стирки и химической чистки.
К гигиеническим требованиям для мужского плаща
относят возможность создания условий для нормального функционирования кожи
человека, что обуславливается следующими физическими свойствами материалов:
гигроскопичностью и воздухопроницаемостью, влагопоглащаемостью и влагоотдачей,
и др.
По эстетическим требованиям для мужского плаща
предъявляются к оформлению и надежности внешнего вида материалов. Они
обусловлены расцветкой, колористическим сочетанием, оригинальным переплетением,
отделкой, несминаемостью, малой загрязняемостью, безусадочностью и др.
Плащ мужской должен соответствовать современной
моде, ее направлениям и тенденциям. Мужской плащ вошел в моду еще несколько
столетий назад. Но если раньше плащом называли просторную накидку с капюшоном,
то сегодня их дизайнерские решения более совершены. Мужская мода уже на
протяжении многих лет ни в чем не уступает женской. Она постоянно
видоизменяется. Причем существенных изменений форм не происходит, а игра
стилями происходит постоянно. Дизайнеры постоянно создают новые трансформации
стилей и направлений. В сезоне весна-осень 2013 многие модельеры отдали
предпочтение эпохе 70-х годов. В этом сезоне преобладающим принципом кроя
мужских плащей будет вечная классика. Тенденции сезона 2013-2014гг. настолько
разновекторные, что некоторые модели плащей иногда настолько координально
отличаются друг от друга по стилевому решению, что очень трудно сказать, что
эти вещи принадлежат к одному сезону. Длиннополая одежда всегда ассоциируется
со строгостью и солидностью, и наступающий сезон не изменяет эту тенденцию. [2]
В соответствии свыше представленными
требованиями была разработана модель мужского плаща, эскиз которого представлен
на рисунке 1. Ниже представлено описание внешнего вида модели.
Описание внешнего вида модели
Мужской плащ предназначен для мужчин
повседневной носки в период «осень-весна».
Плащ мужской длиной до колена, прямого силуэта
со смещенной застежкой на 4 обметанные петли и пуговиц. Пояс съемный с пряжкой,
конец пояса заострен.
На полочке имеются кокетки, накладные карманы с
клапаном, 2 шлевки и погоны.
Спинка из двух частей со швом посередине
заканчивающейся шлицей, кокетка и 2 шлевки.
Рукава втачные, двухшовные, понизу с патами с
одной обметанной петлей и пуговицей.
Воротник отложной. Концы воротника острые.
Плащ с притачной подкладкой из вискозной ткани в
цвет ткани. В подкладке обработан нагрудный внутренний карман с листочкой из
основной ткани.
Борта, воротник, кокетки, клапаны карманов,
карманы, погоны, паты, пояс выполнены с отделочной строчкой шириной 0,5 см.
Низ изделия выполнен отделочной строчкой шириной
2 см.
. Характеристика и выбор пакета материалов и
фурнитуры
Определение требований к материалам.
Требование к материалам на проектируемый плащ
для мужчин вытекают непосредственно из требований к самому изделию слои
материалов: основных, прокладочных и подкладочных, составляющих пакет одежды
должны соответствовать друг другу по свойствам и в конечном итоге создавать
изделие с наилучшими качественными показателями. Все материалы составляющие
пакет одежды должны соответствовать основным требованиям.
Требования к основному материалу [3,4]
Проектируемый мужской плащ предполагает довольно
длительную эксплуатацию, следовательно, свойства используемых материалов, в
первую очередь основных должны сохраняться как можно дольше. Основной материал
должен иметь поверхностную плотность, приемлемую для изделия выбранного
ассортимента, быть прочным и изностойким.
Использование тканей из синтетических волокон в
чистом виде и в смеси с другими волокнами является наиболее рациональным для
создания хорошего внешнего вида и обеспечения удовлетворительных
эксплуатационных свойств плащей. Для изготовления плащей используют материалы,
получаемые путем нанесения на ткани из синтетических комплексных нитей
пленочного водонепроницаемого и водоотталкивающего покрытий на основе смол и
силиконов.
Швейная промышленность перерабатывает плащевые
материалы в основном четырех видов: прорезиненные (однослойные и двухслойные),
с полимерным покрытием, хлопчатобумажные в смеси с полиэфирным волокном и с
водоотталкивающей пропиткой, хлопчатобумажные с водоотталкивающей пропиткой.
В зависимости от вида плащевых материалов к ним
предъявляются различные требования.
По эстетическим требованиям основные материалы
плаща для мужчин на осень-весну 2014 года должны иметь красивый внешний вид,
предпочтение отдается тканям из плащевого ассортимента или хлопчатобумажного,
синтетического и другие. Мужская мода довольно консервативна с точки выбора
цветовых решений, и обычно ограничивается классическими цветами мужской моды.
Модными будут классические для представителей сильного пола варианты - черные,
серые, темно-синие, оливковые.
По эргономическим требованиям проектируемый плащ
предназначен для демисезонного периода, то следует учитывать влаго - и
ветрозащитные свойства. Основная ткань для плаща на осень-весну 2014 года
должна иметь небольшую теплопроводность, достаточная жесткость, малая
осыпаемость, раздвижка нитей в швах, допустимая толщина и поверхностная
плотность.
Требования к подкладочному материалу [5]
Подкладочные ткани предназначены для удобства
эксплуатации одежды, оформления ее изнаночной стороны и предохранения одежды от
износа и загрязнения. В соответствии с этим подкладочные ткани должны
соответствовать основному материалу по цвету, волокнистому составу, толщине
поверхностной плотности. Они должны иметь гладкую поверхность, малый
коэффициент трения, достаточную стойкость к истиранию и прочность, быть легкими
и гигиеничными. Окраска подкладки должна быть стойкой к поту и трению и
химической стирке.
Лучшими подкладочными тканями по показателям
физико - механических свойств является ткани из вискозных и капроновых нитей.
Требования к прокладочному материалу [6]
Для того чтобы придать деталям верха жесткость,
дополнительную воздухопроницаемость, водонепроницаемость, упругость,
предохранять отдельные участки изделия от растяжения, повысить теплозащитные
свойства одежды, используют прокладочные материалы.
Прокладочные материалы выбираются в соответствии
с формой и силуэтом проектируемого изделия большое значение для них имеют конструкторско
- технологические и эксплуатационные требования. Прокладки должны быть легкими,
упругими и жесткими. Они должны легко образовывать объемную форму и хорошо эту
форму закреплять. Клеевые прокладочные материалы должны соответствовать
основной ткани по поверхностной поверхности, толщине и цвету. Клеевые
прокладочные материалы должны обладать достаточной термостойкостью, быть
устойчивым к химической чистке, действию моющих средств, а также
соответствовать гигиеническим требованиям. Одним из самых важных требований
является сопротивлению расслаиванию.
Требования к скрепляющим материалам
Швейные нитки является основным материалом для
соединения деталей. В швейной промышленности находят применение нитки
различного волокнистого состава (хлопчатобумажные, шелковые, синтетические) и
различного способа производства (мононити, комплексные, штапельные,
армированные, смешанные). Данные нитки имеют специфические свойства,
своеобразно проявляющие при одинаковых условиях при пошиве на швейных
материалах и в процессе эксплуатации.
К швейным ниткам в зависимости от их назначения
предъявляются различные требования. Основными требованиями швейных ниток
являются обеспечение удовлетворительных пошивочных свойств и обеспечение
необходимой прочности и износостойкости швов в эксплуатации.
Из представленного ассортимента швейных ниток
для мужского плаща наиболее подходящие армированные нитки, так как они
характеризуются высокой прочностью и повышенной теплостойкостью. Они широко
применяются при изготовлении одежды взамен хлопчатобумажных ниток.
Требование к фурнитуре
Фурнитура служит для застегивания швейных
изделий, прикрепления, упрочнения деталей этих изделий, а также для удобства
эксплуатации одежды. К фурнитуре швейного производства относятся: пуговицы,
застежки-молнии, кнопки, крючки, петли, пряжки и тому подобное.
Ассортимент пуговиц очень разнообразен. По
назначению пуговицы - пальтовые. По исходному материалу - пластмассовые. По
внешнему виду: по характеру лицевой поверхности - гладкие; по окраске - черные.
Мужские пуговицы простые по форме, обычно круглые или выпуклые с бортиком. По
способу прикрепления - с четырьмя отверстиями.
Промышленностью выпускаются пуговицы различных
размеров. Размер пуговиц принято обозначать диаметром (или максимальным
размерам) в мм. Пуговицы бывают различных диаметров: плащевые - 26 и более мм.
Подобранные материалы представлены в таблице 1.
Таблица 1 - Характеристика материалов (основных,
подкладочных, прокладочных) [10,11,12]
|
Наименование
материала
|
Артикул,
ГОСТ, ТУ
|
Ширина,
см.
|
Поверхностная
плотность, г/м2
|
Волокнистый
состав
|
Линейная
плотность, текс
|
Плотность,
число нитей на 10 см
|
Усадка,
%
|
Износостойкость,
цикл
|
|
|
|
|
|
основа
|
уток
|
основа
|
уток
|
|
|
|
1
|
2
|
3
|
4
|
5
|
6
|
7
|
8
|
9
|
10
|
11
|
|
Основной
материал: Плащевой
|
52278
|
150
|
90
|
НПэф
|
-
|
-
|
372
|
261
|
2
|
-
|
|
Подкладочный
материал
|
32323
|
150±2
|
52,6
|
Н
Вис - 100
|
Н
Вис 13,3 (75)
|
Н
Вис 16,6 (60)
|
448
|
310
|
Мало-усадочная
|
-
|
|
Прокладочный
клеевой материал с регулярным точечным покрытием флизелин
|
935507
|
125
|
20
- 60
|
ПЭФ
100%
|
-
|
-
|
-
|
-
|
2
|
-
|
|
Основной
материал: вельвет - рубчик
|
52291
|
150
|
218-270
|
х/б
|
-
|
-
|
-
|
-
|
2
|
-
|
|
Подкладочный
материал
|
32323
|
150±2
|
52,6
|
Н
Вис - 100
|
Н
Вис 13,3 (75)
|
Н
Вис 16,6 (60)
|
448
|
310
|
Мало-усадочная
|
-
|
|
Прокладочный
материал: прокламелин
|
935563
|
90
|
70
-100
|
Ввис
- 50 Внитр - 50
|
-
|
-
|
-
|
-
|
2
|
-
|
. Последовательность обработки и сборки изделия
Большое количество разновидностей одежды и
материалов, применяемых для изготовления, привело к разнообразным методам,
используемым для выполнения сборочных и монтажных операций, которые различаются
технологией, применяемым оборудованием, приспособлениями.
В данном разделе разработана схема параллельно -
последовательного способа обработки и сборки мужского плаща. Из которой видно,
что сначала необходимо обработать каждые детали в отдельности, а затем
произвести монтаж изделия. Подробная схема обработки и сборки мужского плаща
представлена на рисунке 2.
|
Подготовка
деталей к запуску
|
|
Проверка
наличия деталей кроя
|
|
Проверка
наличия контрольных знаков на деталях
|
Обработка кокетки
|
Обработка
спинки
|
|
Обработка
среднего шва спинки и шлицы
|
|
|
|
Обработка
полочки
|
|
Начальная
обработка полочки (дублирование, обработка кокетки)
|
|
Обработка
карманов
|
Обработка бортов
|
Обработка
воротника
|
|
Начальная
обработка воротника
|
Соединение верхнего воротника с нижним
Обработка верхнего воротника
Обработка нижнего воротника
|
Обработка
отделочных деталей верха
|
|
Обработка
хлястиков, пат, пояса
|
|
Обработка
рукавов
|
|
Начальная
обработка рукавов
|
|
Обработка
переднего и локтевого швов
|
|
Обработка
низа рукавов
|
Обработка рукавов и втачивание их
|
Обработка
подкладки
|
|
Обработка
полочки: обработка внутреннего кармана
|
|
Обработка
спинки: обработка среднего шва спинки
|
|
Обработка
боковых срезов
|
Обработка низа изделия
Обработка полодержателя
Соединение плечевых срезов
|
Сборка
изделия
|
|
Соединение
основных деталей
|
|
Соединение
воротника с изделием
|
|
Соединение
рукавов с изделием
|
|
Соединение
подкладки с изделием
|
|
Окончательная
отделка
|
|
Чистка,
ВТО, пришивание фурнитуры
|
|
Маркировка,
упаковка, сдача на склад.
|
Рисунок 2 - Типовая схема обработки и сборки
мужского плаща.
. Выбор и обоснование режимов обработки
Важной частью технологического процесса
изготовления мужских плащей является влажно - тепловая обработка деталей, узлов
и готового изделия. Для этого необходимо подобрать оптимальную температуру и
усилие прессования, а также время обработки. Данные представлены в таблице 2.
Таблица 2 - Режимы влажно-тепловой обработки
материалов
|
Материал
|
Температура
прессования, °С
|
Масса
утюга, кг.
|
Усилие
прессования, МПа
|
Время
обработки, с.
|
Увлажнение
в % к массе материала
|
|
на
прессе
|
утюгом
|
|
|
на
прессе
|
утюгом
|
|
|
Основной
материал: плащевая
|
140-150
|
-
|
3-4
|
0,8
|
20-30
|
-
|
25
|
|
Прокладочный
материал: флизелин
|
130-140
|
140-160
|
3-4
|
0,03-0,06
|
10-15
|
25
|
10-15
|
|
Подкладочный
материал
|
120
|
130
|
3
|
0,4
|
15-20
|
20
|
15
|
В таблице 3 представлены параметры необходимые
для образования клеевых соединений прокладочных материалов.
Таблица 3 - Режимы склеивания деталей с клеевыми
прокладочными материалами
|
Ткань
верха
|
Клеевой
материал, артикул, клей
|
Режимы
склеивания
|
|
|
Температура
прессующей поверхности, °С
|
Увлажнение,
%
|
Продолжительность
склеивания, с
|
Давление,
МПа
|
|
Основная
ткань: плащевая ткань
|
Флизелин
арт. 935507, ПА - 6/6,6
|
140
- 160
|
0-20
|
15-25
|
0,03-0,06
|
|
основная
ткань: вельвет - рубчик
|
Прокламелин
арт. 935563, ПА - 12/6/6,6
|
130
|
10-15
|
15
|
0,03
|
|
|
|
|
|
|
|
|
Также при изготовлении изделия немаловажным
является качество соединительных швов. Для этого необходимо подобрать
качественные швейные нитки, которые будут оптимально подходить для данного вида
материала. Технические требования к машинам строчкам и швам представлены в
таблицах 4,5.
Таблица 4 - Технические требования к машинным
строчкам [14]
|
Материал
|
Строчка
|
Количество
стежкой на 1 см строчки
|
Ассортимент
швейных ниток
|
|
|
|
Результирующая
линейная плотность, текс (торговый номер)
|
|
|
|
хлопчатобумажные
|
армированные
|
полиэфирные
|
полиамидные
|
полиамидные
из мононити
|
|
1
|
2
|
3
|
4
|
5
|
6
|
7
|
8
|
|
1.Основная
ткань
|
Стачивающая
|
2
- 3
|
-
|
45,0
(44ЛХ)
|
24,5-37,5
(22Л-33Л)
|
-
|
-
|
|
Отделочная
|
4
- 5
|
-
|
45,0
(44ЛХ)
|
-
|
-
|
-
|
|
2.Подкладочная
ткань
|
Стачивающая
|
2
- 3
|
-
|
45,0
(44ЛХ)
|
24,5-37,5
(22Л-33Л)
|
-
|
-
|
Таблица 5 - Технические требования к швам [14]
|
Наименование
шва
|
Схема
шва, ТУ
|
Технологические
операции
|
Параметры
шва, см.
|
|
1
|
2
|
3
|
4
|
|
1.
Взаутюжку
|
|
Стачивание
деталей подкладки
|
Расстояние
от среза до строчки 0,5-1,5см.
|
|
2.
Вразутюжку
|
|
Стачивание
деталей верха
|
Расстояние
от среза до строчки 0,5 - 1,5 см
|
|
3
Настрочной закрытым срезом
|
|
Настрачивание
среднего шва спинки, кокетки, передних и локтевых швов
|
Отделочная
строчка по модели. Количество стежков в 1 см. 3-4стежков
|
|
4.
В подгибку с притачной подкладкой
|
|
Для
обработки низа изделия и рукавов одежды с подкладкой
|
Расстояние
от среза до строчки 1,0 - 1,5 см; величина подгиба низа по модели
|
|
5.
Обтачной в кант
|
|
Применяется
для оформления края бортов, воротника, клапанов
|
Расстояние
от среза до строчки первой 0,5 - 0,7; ширина канта 0,1 - 0,3 см; ширина
второй строчки 0,5
|
5. Выбор и обоснование методов обработки
Мужские плащи состоят из многослойных пакетов
различных материалов, сборка которых представляет определенные сложности в
отношении обеспечения требуемой точности соединение деталей и узлов. В связи с
этим в технологии мужских плащей существуют различные варианты обработок
однотипных деталей и узлов, использование которых в каждом конкретном случае
определяется как моделью пиджака и материалами, употребляемыми его
изготовления, так и наличие соответствующего оборудования для выполнения
различных операций.
В данном разделе представлены 6 схем поузловой
обработки основных узлов изделия в двух вариантах на рисунках 3,4,5,6,7,8.
. Выбор оборудования
Технологический процесс обработки деталей и
сборки узлов мужских плащей состоит из большого количества разнообразных
операций, большинство из которых выполняются на швейных машинах. Для увеличения
производительности труда и повышения качества соединительных операций кроме
одноигольных стачивающих швейных машин имеются и специализированные машины,
предназначенные для выполнения конкретных операций, например для втачивания
рукавов в проймы, для выполнения отделочных строчек, для настрачивания подзора
и стачивания подкладки кармана, и др.
В разделе представлены характеристики всех
основных видов швейных машин, а также оборудование для влажно - тепловой
обработки, необходимой для изготовления плаща. Перечень и характеристика
выбранного оборудования, а также средств малой механизации представлены в
таблицах 9 -12. [17]
Таблица 6 - Технологическое оборудование,
рекомендуемое для изготовления мужского плаща
|
Класс
машины, завод-изготовитель
|
Код
стежка (ГОСТ 12807-88)
|
Назначение
машины
|
Обрабатываемые
Материалы
|
Максимальная
частота вращения главного вала, об/мин.
|
Длина
стежка, мм.
|
Механизм
перемещения материала
|
Примечания
|
|
1
|
2
|
3
|
4
|
5
|
6
|
7
|
8
|
9
|
|
Машина
1022 кл., завод «Легмаш»
|
301
|
Стачивание
деталей
|
Плащевые
и пальтовые материалы
|
4500
|
0÷5
|
Нижняя
и верхняя рейка
|
8
|
Подъем
- опускание лапки, закрепка.
|
|
Машина
2222 кл. Машина 822 кл. завод «Легмаш»
|
301
|
Выполнение
выметочной и сметочной строчки
|
Плащевые
и пальтовые материалы
|
|
|
горизонтальное
перемещение рейки
|
8
|
Подъем
- опускание лапки, закрепка, формователь (окантовыватель)
|
|
Машина
1822 кл. завод «Легмаш»
|
301
|
Выполнение
отделочной строчки
|
Плащевые
и пальтовые материалы
|
2000
|
до
10
|
Нижняя
и верхняя рейка
|
5
|
Подъем
- опускание лапки, закрепка, обрезка нитей.
|
|
Машина
302 - 1, завод «ПМЗ»
|
301
|
Для
втачивания рукава в пройму с посадкой материала рукава
|
Плащевая
группа
|
до
2000
|
1,8÷4,5
|
Нижняя
и верхняя рейка
|
2,5
|
Линейка
направитель, подъем и опускание лапки.
|
|
Полуавтомат
596 - М, завод «Легмаш»
|
104
|
Обработка
листочки прорезного кармана
|
Плащевая
группа
|
1200
|
2,4
|
Реечного
типа
|
7
|
Механизм
просекания уголков, подъем и опускание лапки, закрепка.
|
|
Машина
- полуавтомат 827 кл., завод «ПМЗ»
|
301
|
Пришивание
плоских пуговиц с 2 - мя, 4 -мя отверстиями
|
Плащевая
группа
|
1500
|
-
|
Реечного
типа
|
6
|
Диаметр
пуговицы --35 мм, 20 проколов илы
|
|
Машина
62761 - Р - 3 - Z Кл., фирма «Минерва»
|
304
|
Выметывание
прямых петель и петель с глазком
|
Плащевая
группа
|
600
|
длина
петли - 1 - 40, ширина кромки - 2 - 4,
|
Реечного
типа
|
6
|
Прорубание
петли, закрепка, понимание и опускание лапки.
|
Таблица 7 - Технологическая характеристика
оборудования для влажно-тепловой обработки
|
Наименование
оборудования, завод-изготовитель
|
Марка,
тип
|
Усилие
прессования, кН, кПа
|
Тип
привода
|
Температура
нагрева подушки, °С
|
Операция
ВТО
|
|
|
|
|
верхняя
|
нижняя
|
|
|
Пресс,
завод «Паннония» Венгрия
|
Cs
- 311
|
20
|
электромеханический
|
80
- 250
|
-
|
Формование
полочек спинки, рукавов
|
|
Пресс,
завод «Легмаш»
|
ПГУ
- 2
|
20
|
паровой
|
100
- 200
|
80
- 110
|
Приутюживание
срезов изделия
|
|
Паровоздуш-ный
манекен, завод «Легмаш»
|
МПВУ
|
-
|
паровой
|
-
|
-
|
окончательная
влажно - тепловая обработка
|
Таблица 8 - Технологическая характеристика
утюгов
|
Марка,
тип, утюга и утюжильного стола, предприятие-изготовитель
|
Назначение
|
Температура
нагрева, °С.
|
Масса,
кг.
|
|
1
|
2
|
3
|
4
|
|
Утюг
Cs - 392/1, «Паннония» (ВНР)
|
Приутюживание,
заутюживание деталей, разутюживание швов
|
100
- 140
|
3
- 5
|
|
Утюжильный
стол Cs - 394, «Паннония» (ВНР)
|
Приутюживание,
заутюживание деталей
|
130
- 140
|
6
|
Таблица 9 - Приспособления, рекомендуемые для
изготовления мужского плаща
|
Требования
к выполнению операции
|
Наименование
приспособления
|
Марка
приспособления. Предприятие-изготовитель
|
Класс
швейной машины. Предприятие-изготовитель
|
Графическое
изображение шва
|
|
1
|
2
|
3
|
4
|
5
|
|
Соблюдение
параллельной строчки срезом стачиваемых деталей
|
Лапка
с выдвижной направляющей линейкой
|
1
- 44 (Л - 000). МОМЗ ЦНИИШП
|
1022
- М. ПО «Промшвеймаш»
|
-
|
|
Соблюдение
заднего расположения срезов верхнего и нижнего воротника на параллельности
строчки срезам
|
Приспособление
для настрачивания верхнего воротника на нижний
|
1
- 67.МОМЗ ЦНИИШП
|
335.
Фирма «Минерва» (ЧССР)
|
-
|
|
Обеспечение
правильного расположения петель
|
Приспособление
для нанесения места расположения петель
|
ПРП
- 4. МОМЗ ЦНИИШП
|
62761
- Р3Z. Фирма «Минерва» (ЧССР)
|
-
|
|
-
|
Приспособление
для закрепления товарного ярлыка на швейном изделии
|
6
- 69. МОМЗ ЦНИИШП
|
-
|
-
|
. Оценка эффективности методов обработки и
сборки мужского плаща
При сравнении двух вариантов обработки узла
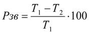
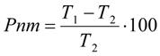
изделия повышение производительности труда, Рпт, %, определяют из соотношения:
где Т1 - затраты времени при
применении первого (менее эффективного) варианта обработки, с;
Т2 - затраты времени при применении
второго, более эффективного, варианта обработки, с.
Методы обработки узлов оценивают не
только по повышению производительности труда, но и по сокращению затрат времени
Рзв, %:
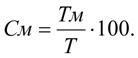
Оценку стабильности качества
выполнения операций обработки узла можно осуществить по доле механизированных
работ на операциях, обеспечивающих качество узла. При высоком уровне
механизированных работ снижается влияние на качество такого субъективного
фактора, как квалификация рабочих.
Степень механизации, См, %, при
обработке узла различными методами определяется процентным соотношением времени
механизированных (М+С+Пр) операций Тм, с, к общей затрате времени (Т, с) на
узел изделия, т.е.:
Результаты оценки эффективности
сравниваемых методов обработки узлов представляют в табличной форме (таблица 13).
Таблица 10 - Экономическая эффективность методов
обработки основных узлов мужского плаща
|
Наименование
узла
|
Затраты
времени по узлу, Тi, с.
|
Сокращение
затрат времени, Рз.в., %
|
Повышение
производительности труда, Рп.т., %
|
Затраты
времени на механизированные операции, Тм., с.
|
Степень
механизации обработки узла, См,%
|
|
Т1
|
Т2
|
|
|
Тм1
|
Тм2
|
См1
|
См2
|
|
1
|
2
|
3
|
4
|
5
|
6
|
7
|
8
|
9
|
|
Воротник
|
567
|
457
|
19
|
24
|
367
|
247
|
64
|
54
|
|
Накладной
карман
|
1400,5
|
1104,1
|
21
|
26
|
861,6
|
718
|
64
|
61
|
|
Кокетка
|
210
|
140
|
0,33
|
0,5
|
210
|
140
|
1
|
1
|
|
Борт
|
1807,2
|
1376,2
|
23
|
31
|
983,2
|
556,2
|
54
|
40
|
|
Шлица
|
266
|
270
|
1,4
|
1,5
|
169
|
149
|
62
|
56
|
Из таблицы 10 видно, что при замене оборудования
на более скоростные и дополнительными функциями, при обработке и соединении
воротника с горловиной изделия в результате применения обтачки горловины спинки
из основной ткани, а также метод обработки кармана видно, что затраты времени
сокращаются в среднем на 12,9%, производительность труда увеличивается в
среднем на 16,6%. В результате проведенной оценки экономической эффективности
можно считать методы обработки (II вариант) целесообразным к их применению для
изготовления выбранной модели изделия.
8. Разработка инструкционно - технологической
карты обработки узлов
Таблица 11 - Технологическая последовательность
обработки и сборки накладного кармана с клапаном
|
№
операции
|
Наименование
технологически неделимой операции
|
Специальность,
разряд
|
Схема
выполнения операции, ТУ, мм.
|
Оборудование,
приспособления, инструменты
|
|
1
|
2
|
3
|
4
|
|
1
|
Продублировать
клапан кармана
|
У/2
|
|
Утюг
Cs - 392/1
|
|
2
|
Обтачать
клапан по концам
|
М/3
|
|
1022
кл. «Легмаш»
|
|
3
|
Подрезать
швы в уголках и вывернуть клапан на лицевую сторону
|
Р/1
|
|
Ножницы
|
|
4
|
Выметать
кант по краю клапана
|
СМ/3
|
|
2222
кл.
|
|
5
|
Приутюжить
клапан
|
У/2
|
|
Утюг
Cs - 392/1
|
|
6
|
Проложить
отделочную строчку
|
М/3
|
|
1022
кл. «Легмаш»
|
|
7
|
Убрать
выметочные строчки
|
Р/1
|
|
Ножницы
|
|
8
|
Наметить
вход в карман
|
Р/1
|
|
Линейка,
мел
|
|
9
|
Заутюжить
карман по намеченной линии с лицевой стороны
|
У/2
|
|
Утюг
Cs - 392/1
|
|
10
|
Продублировать
припуск
|
У/2
|
|
Утюг
Cs - 392/1
|
|
11
|
Притачать
подкладку кармана к припуску кармана
|
М/3
|
|
1022
кл. «Легмаш»
|
|
12
|
Притачать
подкладку кармана к карману оставляя отверстие для вывертывания
|
М/3
|
|
1022
кл. «Легмаш»
|
|
13
|
Высечь
излишки ткани в уголках и вывернуть на лицевую сторону
|
Р/1
|
|
Ножницы
|
|
14
|
Подшить
потайным стежком отверстие
|
Р/2
|
|
Иголка,
ножницы
|
|
15
|
Приутюжить
заготовленный карман и наметать на изделие
|
СМ/3
|
|
2222
кл.
|
|
16
|
Настрочить
карман на изделие проставляя в углах закрепки
|
М/3
|
|
1022
кл. «Легмаш»
|
|
17
|
Приметать
клапан к полочке
|
СМ/3
|
|
2222
кл.
|
|
16
|
Притачать
клапан к полочке
|
М/3
|
|
1022
кл. «Легмаш»
|
|
17
|
Прострочить
по краю клапану отделочную строчку шириной 0,5 см
|
М/3
|
|
1022
кл. «Легмаш»
|
|
18
|
Приутюжить
карман в готовом виде
|
Пр/4
|
|
ПГУ-2
|
Заключение
В проделанной курсовой работе представлены
методы обработки мужского плаща. Данная модель разработана в соответствии с
направлением моды, а также в соответствии с требованиями, предъявленными к
данному виду одежды. Для изготовления мужского плаща были разработаны методы
обработки, выбор материалов для изготовления мужского плаща производится в
соответствии с требованием к материалу для данного изделия и в соответствии с
направлением моды на 2014 год и составлена технологическая последовательность
изготовления изделия. Методы обработки представлены в двух вариантах. Во втором
варианте затраты времени на изготовление изделия сокращаются по сравнению с
первым вариантом, соответственно повышается производительность труда.
Делая вывод по данной работе можно, сказать что
для повышения качества изделий, повышения производительности труда и снижения
затрат времени на изготовления изделия необходимо оснащать предприятия новейшим
оборудованием, разрабатывать более прогрессивные методы обработки, более
активно использовать и внедрять системы автоматизированного проектирования. Это
решит много вопросов повышения конкурентоспособности и снижения себестоимости
выпускаемой продукции.
Умения и навыки специалиста, проектирующего
изделие - залог качества изделия, его долговечности. Для этого была подобрана
маркировка символов по уходу за изделием что бы продлить как можно дольше срок
эксплуатации изделия.
Наладить швейную промышленность в нашей стране
могут только образованные, грамотные люди, люди, которые знают производство с
азов. Тогда будет одежда российского производства, качественная и доступная
большей части населения по цене. А для этого сначала необходимо развивать
образование молодых специалистов, ведь за ними будущее.
Список использованных источников
1
Орленко Л.В., Конфекционирование материалов для одежды. [Текст] / Л.В. Орленко,
Н. И. Гаврилова - М., 2006. - 288.
yandex.ru
/ msearch? text = тенденции моды на мужской плащ 2013г.
ГОСТ
28486-90 - Ткани плащевые и курточные из синтетических нитей [Текст]: общие
технические условия. Взамен ГОСТ 11517-83 ОСТ 17-479-84; введ. 1991-01-07.М.:
ИПК Изд-во стандартов, 1990. - 8 с.
ГОСТ
29222-91 - Ткани плащевые из химических волокон и смешанные [Текст]: общие
технические условия. Введ. 1993-01-01 - Изд. офиц. - М.: Изд-во стандартов,
1992. - 8 с.
ГОСТ
20272-96. - Ткани подкладочные из химических нитей и пряжи. Общие технические
условия.
ГОСТ
25441-90 - Полотна клееные прокладочные. Общие технические условия.
ГОСТ
6309 - 93. Нитки швейные хлопчатобумажные и синтетические. Общие технические
условия.
ГОСТ
4.46 - 84. СПКП. Фурнитура для изделий легкой промышленности. Номенклатура
показателей.
9
17-15-19-91 Технические условия. Пуговицы.
Гущина
К.Г. Эксплуатационные свойства материалов для одежды и методы оценки их
качества [Текст]. М. 1984. 312с.
11
Пожидаев Н.Н., Симоненко Д.Ф., Савчук Н.Г. Материалы для одежды. [Текст] / Н.Н.
Пожидаев, Д.Ф. Симоненко - М., 1975. - 222с.
Кокеткин
П.П., Справочник «Промышленная технология одежды». [Текст] / П.П. Кокеткин -
М., 1988.
ГОСТ
12807-2003. Изделия швейные. Классификация стежков, строчек и швов [Текст].
Взамен ГОСТ 12807-88; введ.2006.01.01-М.: Стандартинформ, 2005.-118с.
Прейскурант
№034. Розничные цены на шелковые ткани и штучные изделия. . [Текст].
М,Прейскурантиздат, 1971. 264 с.
Першина
Людмила Федоровна. Технология швейного производства [Текст]: учеб.[для техникумов
и вузов легкой промышленности]/Л.Ф.Першина, С.В.Петрова.: М.:КДУ, 2007.-416с.:
ил.
Назарова
А.И., Куликова И.А., Савостицкий А.В. Технология швейных изделий по
индивидуальным заказам [Текст]. М.: Легпромбытиздат, 1986.
Исаев
В. В., Оборудование швейных предприятий. [Текст] / В.В. Исаев - М., 1983. -
232с.
Типовые
нормы времени на технологические операции пошива мужской и женской верхней
одежды по индивидуальным заказам при организации работ с разделением труда.
[Текст] - М., 1979.
ГОСТ
28000-88. Ткани одежные чистошерстяные, шерстяные и полушерстяные. Общие
технические условия.
ГОСТ
10581-91- изделия швейные. Маркировка, упаковка, транспортирование и хранение.
Приложение А - Технологическая
последовательность изготовления мужского плаща
Таблица 12 - Технологическая последовательность
обработки мужского плаща
|
№
опер.
|
Наименование
технологически неделимой операции
|
Вид
работы
|
Затратывремен,
сек.
|
Оборудование
|
|
|
1
|
2
|
3
|
4
|
5
|
6
|
|
|
1
|
Проверить
наличие всех деталей кроя
|
Р
|
2
|
93
|
|
|
|
2
|
Дублирование
срезов проймы и формование полочек
|
У
|
3
|
124
|
Утюг
Cs - 392/1
|
|
|
3
|
Дублирование
срезов проймы и формование спинки
|
У
|
3
|
215
|
Утюг
Cs - 392/1
|
|
|
4
|
Формование
рукавов и дублирование низа
|
У
|
3
|
307.2
|
Утюг
Cs - 392/1
|
|
|
5
|
Дублирование
бортов, нижнего воротника, срезов шлицы, клапанов карманов
|
Пр
|
2
|
113
|
ПГУ
- 2 «Легмаш»
|
|
|
Обработка
спинки
|
|
|
6
|
Стачать
средний шов спинки
|
М
|
3
|
91,2
|
1022
кл. «Легмаш»
|
|
|
7
|
Заутюжить
средний шов спинки
|
У
|
3
|
129
|
Утюг
Cs - 392/1
|
|
|
8
|
Проложить
отделочную строчку по среднему шву спинки
|
М
|
3
|
95
|
1022
кл. «Легмаш»
|
|
|
9
|
Настрочить
кокетку на спинку
|
М
|
3
|
90
|
1022
кл. «Легмаш»
|
|
|
10
|
Приутюжить
кокетку
|
У
|
2
|
50
|
Утюг
Cs - 392/1
|
|
|
Обработка
шлицы спинки
|
|
|
11
|
Продублировать
левую и правую части шлицы
|
Пр
|
4
|
20
|
ПГУ
- 2 «Легмаш»
|
|
|
12
|
Надсечь
припуск шва спинки над шлицей
|
Р
|
1
|
5
|
Ножницы
|
|
|
13
|
Заутюжить
на правую сторону шлицу. Заутюжить низ изделия
|
У
|
3
|
35
|
Утюг
Cs - 392/1
|
|
|
14
|
Обтачать
уголки
|
М
|
3
|
25
|
1022
кл. «Легмаш»
|
|
|
15
|
Вывернуть
и выправить обтачанные уголки шлицы
|
Р
|
1
|
57
|
Колышек
|
|
|
16
|
Проложить
отделочную сточку
|
М
|
3
|
124
|
1022
кл. «Легмаш»
|
|
|
Обработка
полочки
|
|
|
17
|
Настрочить
кокетку на полочку
|
М
|
3
|
90
|
1022
кл. «Легмаш»
|
|
|
18
|
Приутюжить
кокетку
|
У
|
2
|
50
|
Утюг
Cs - 392/1
|
|
|
Обработка
накладного кармана с клапаном
|
|
|
19
|
Обтачать
клапаны по концам
|
М
|
3
|
42,5
|
1022
кл. «Легмаш»
|
|
|
20
|
Подрезать
швы в уголках и вывернуть клапаны на лицевую сторону
|
Р
|
1
|
90
|
Ножницы,
колышек
|
|
|
21
|
Приутюжить
клапаны выправляя углы и края
|
У
|
2
|
61
|
Утюг
Cs - 392/1
|
|
|
22
|
Проложить
отделочную сточку
|
М
|
3
|
80
|
1022
кл. «Легмаш»
|
|
|
23
|
Наметить
вход в карман
|
Р
|
1
|
30
|
Линейка,
мел
|
|
|
24
|
Заутюжить
карман по намеченной линии с лицевой стороны
|
У
|
2
|
20
|
Утюг
Cs - 392/1
|
|
|
25
|
Продублировать
припуск
|
У
|
2
|
30
|
Утюг
Cs - 392/1
|
|
|
26
|
Притачать
подкладку кармана к припуску кармана
|
М
|
3
|
15,2
|
1022
кл. «Легмаш»
|
|
|
27
|
Притачать
подкладку кармана к карману оставляя отверстие для вывертывания
|
М
|
3
|
49,3
|
1022
кл. «Легмаш»
|
|
|
28
|
Высечь
излишки ткани в уголках и вывернуть карман на лицевую сторону
|
Р
|
1
|
59
|
Ножницы
|
|
|
29
|
Подшить
потайным стежком отверстие
|
Р
|
2
|
60
|
Ножницы,
иголка
|
|
|
30
|
Приутюжить
заготовленный карман и наметать на изделие
|
СМ
|
3
|
20
|
2222
кл. «Легмаш»
|
|
|
31
|
Настрочить
карман на изделие проставляя в углах закрепки
|
М
|
3
|
176,4
|
1022
кл. «Легмаш»
|
|
|
32
|
Приметать
клапан к полочке
|
СМ
|
3
|
66
|
2222
кл «Легмаш»
|
|
|
33
|
Притачать
клапан к полочке
|
М
|
3
|
60
|
1022
кл. «Легмаш»
|
|
|
34
|
Прострочить
по краю клапану отделочную строчку шириной 0,5 см.
|
М
|
3
|
120
|
1022
кл. «Легмаш»
|
|
|
35
|
Приутюжить
карман в готовом виде
|
Пр
|
2
|
101
|
ПГУ-2
«Легмаш»
|
|
|
Обработка
бортов
|
|
|
36
|
Обтачать
борта полочек подбортами, одновременно обтачивая углы бортов внизу
|
М
|
4
|
316,2
|
1022
кл. «Легмаш»
|
|
|
37
|
Разутюжить
швы обтачивания бортов
|
У
|
3
|
164
|
Утюг
Cs - 392/1
|
|
|
38
|
Рассечь
шов обтачивания в концах уступов и подрезать швы обтачивания бортов
|
Р
|
2
|
102
|
Ножницы
|
|
|
39
|
Вывернуть
борта и выправить уголки бортов внизу и вверху
|
Р
|
1
|
127
|
Колышек
|
|
|
40
|
Выметать
борта по краю
|
СМ
|
4
|
260
|
2222
кл. «Легмаш»
|
|
|
41
|
Приутюжить
борта после выметывания
|
Пр
|
4
|
127
|
ПГУ-2
«Легмаш»
|
|
|
Обработка
воротника
|
|
|
42
|
Продублировать
нижний воротник
|
У
|
2
|
30
|
Утюг
Cs - 392/1
|
|
|
43
|
Обтачать
воротник
|
М
|
3
|
187
|
2222
кл. «Легмаш»
|
|
|
44
|
Высечь
излишки ткани в уголках и вывернуть на лицевую сторону
|
Р
|
1
|
60
|
Ножницы
|
|
|
45
|
Выметать
воротник по краю
|
СМ
|
4
|
90
|
2222
кл. «Легмаш»
|
|
|
46
|
Приутюжить
воротник
|
У
|
2
|
50
|
Утюг
Cs - 392/1
|
|
|
Обработка
отделочных деталей верха: Обработка пат, погон, пояса и шлевок
|
|
|
47
|
Заутюжить
наполовину детали и продублировать одну из сторон
|
У
|
2
|
56
|
Утюг
Cs - 392/1
|
|
|
48
|
Обтачать
паты, погоны, пояс и шлевки
|
М
|
3
|
45
|
1022
кл. «Легмаш»
|
|
|
|
49
|
Надсечь
уголки и вы- вернуть детали на лицевую сторону
|
Р
|
2
|
35
|
Ножницы,
колышек
|
|
|
|
50
|
Приутюжить
детали
|
У
|
2
|
180
|
Утюг
Cs - 392/1
|
|
|
|
51
|
Проложить
отделочные строчки
|
М
|
3
|
360
|
1022
кл. «Легмаш»
|
|
|
|
Обработка
рукавов
|
|
|
52
|
Стачать
локтевые срезы
|
М
|
3
|
120
|
1022
кл. «Легмаш»
|
|
|
|
53
|
Стачать
передние срезы вместе с патами
|
М
|
3
|
150
|
1022
кл. «Легмаш»
|
|
|
|
54
|
Разутюжить
швы стачивания
|
У
|
3
|
225,7
|
Утюг
Cs - 392/1
|
|
|
|
Обработка
подкладки: Обработка внутреннего кармана с листочкой
|
|
|
55
|
Настрочить
подзор из подкладочной ткани на подкладку кармана
|
М
|
3
|
105
|
1022
кл. «Легмаш»
|
|
|
56
|
Наметить
место расположения внутреннего кармана на полочке подкладки
|
Р
|
2
|
Мел,
лекала
|
|
|
57
|
Притачать
листочку к полочке подкладки
|
М
|
3
|
|
1022
кл. «Легмаш»
|
|
|
58
|
Притачать
подзор с подкладкой кармана к полочке подкладки по верхнему краю входа в
карман, вкладывая петлю под строчку
|
М
|
3
|
112,2
|
1022
кл. «Легмаш»
|
|
|
59
|
Прорезать
вход в карман
|
П/А
|
3
|
65,6
|
596
кл. «Легмаш»
|
|
|
60
|
Вывернуть
и выправить листочку, подзор с подкладками кармана в сторону изнанки полочки
подкладки
|
Р
|
3
|
95,4
|
-
|
|
|
61
|
Стачать
подкладку, одновременно закрепляя концы (уголки) кармана
|
М
|
3
|
147,6
|
1022
кл. «Легмаш»
|
|
|
62
|
Приутюжить
карман в готовом виде
|
Пр
|
3
|
100,2
|
ПГУ-2
«Легмаш»
|
|
|
63
|
Стачать
средний шов спинки
|
М
|
2
|
243
|
1022
кл. «Легмаш»
|
|
|
64
|
Разутюжить
шов стачивания
|
У
|
2
|
109
|
Утюг
Cs - 392/1
|
|
|
65
|
Стачать
боковые швы подкладки
|
М
|
2
|
73
|
1022
кл. «Легмаш»
|
|
|
66
|
Разутюжить
швы стачивания
|
У
|
2
|
136
|
Утюг
Cs - 392/1
|
|
|
67
|
Стачать
плечевые швы
|
М
|
2
|
180
|
1022
кл. «Легмаш»
|
|
|
68
|
Разутюжить
швы стачивания
|
У
|
2
|
167
|
Утюг
Cs - 392/1
|
|
|
69
|
Стачать
срезы рукавов подкладки
|
М
|
3
|
120
|
1022
кл. «Легмаш»
|
|
|
70
|
Разутюжить
швы стачивания
|
У
|
2
|
130
|
Утюг
Cs - 392/1
|
|
|
71
|
Втачать
рукава подкладки
|
СМ
|
4
|
432
|
302-1
кл. «ПМЗ»
|
|
|
72
|
Заутюжить
шов втачивания
|
У
|
3
|
126
|
Утюг
Cs - 392/1
|
|
|
73
|
Прострочить
вешалку отделочной строчкой
|
М
|
3
|
60
|
1022
кл. «Легмаш»
|
|
|
Сборка
изделия
|
|
|
74
|
Стачать
боковые срезы подкладывая шлевки во внутрь на уровне линии талии
|
М
|
3
|
164
|
1022
кл. «Легмаш»
|
|
|
75
|
Разутюжить
швы стачивания
|
У
|
3
|
87
|
Утюг
Cs - 392/1
|
|
|
76
|
Стачать
плечевые швы
|
М
|
3
|
80
|
1022
кл. «Легмаш»
|
|
|
77
|
Разутюжить
швы стачивания
|
У
|
3
|
67
|
Утюг
Cs - 392/1
|
|
|
78
|
Втачать
нижний воротник в горловину
|
М
|
3
|
103,4
|
1022
кл. «Легмаш»
|
|
|
79
|
Разутюжить
шов втачивания
|
У
|
2
|
36
|
Утюг
Cs - 392/1
|
|
|
80
|
Притачать
обтачку к подбортам
|
М
|
3
|
205,8
|
1022
кл. «Легмаш»
|
|
|
81
|
Притачать
верхний воротник к горловине обтачки
|
М
|
3
|
209,3
|
1022
кл. «Легмаш»
|
|
|
82
|
Закрепить
верхний и нижний воротники
|
М
|
2
|
100,2
|
1022
кл. «Легмаш»
|
|
|
83
|
Приутюжить
воротник
|
Пр
|
3
|
111,2
|
ПГУ
- 2 «Легмаш»
|
|
|
84
|
Втачать
рукава в проймы подкладывая погоны
|
СМ
|
4
|
438
|
302
- 1 кл., завод «ПМЗ»
|
|
|
85
|
Заутюжить
швы втачивания
|
У
|
3
|
253
|
Утюг
Cs - 392/1
|
|
|
86
|
Притачать
подкладку изделия с подбортами и с обтачкой
|
М
|
3
|
240
|
1022
кл. «Легмаш»
|
|
|
87
|
Притачать
подкладку по низу рукава
|
М
|
3
|
156
|
1022
кл. «Легмаш»
|
|
|
88
|
Распороть
отверстия на шве подкладке рукава и на боковом шве изделия подкладки
|
Р
|
1
|
240
|
Распарыватель
|
|
|
89
|
Вывернуть
рукав на изнаночную сторону
|
Р
|
1
|
30
|
-
|
|
|
90
|
Закрепить
нижние швы рукавов подкладки к швам рукавов верха
|
Р
|
2
|
156
|
Иголка,
ножницы
|
|
|
91
|
Закрепить
швы втачивания передних половинок рукавов подкладки к швам втачивания
передних половинок рукавов верха
|
Р
|
3
|
211,2
|
Иголка,
ножницы
|
|
|
92
|
Вывернуть
рукава на лицевую сторону
|
Р
|
1
|
20
|
-
|
|
|
93
|
Вывернуть
на изнанку изделие
|
Р
|
1
|
72
|
|
|
|
94
|
Притачать
подкладку по низу изделия и шлицы
|
М
|
3
|
496
|
1022
кл. «Легмаш»
|
|
|
95
|
Закрепить
нижние швы низа изделия подкладки к швам низа изделия верха
|
Р
|
2
|
276
|
Иголка,
ножницы
|
|
|
96
|
Закрепить
швы стачивания боковых швов подкладки к швам стачивания боковых швов верха
|
Р
|
3
|
270
|
Иголка,
ножницы
|
|
|
97
|
Приутюжить
швы притачивания
|
У
|
2
|
109
|
Утюг
Cs - 392/1
|
|
|
98
|
Вывернуть
изделие на лицевую сторону
|
Р
|
1
|
20
|
|
|
|
99
|
Подшить
отверстия потайным стежком на подкладке рукава и на боковом шве изделия
подкладки
|
Р
|
2
|
300
|
Иголка,
ножницы
|
|
|
100
|
Прострочить
по бортам и воротнику отделочную строчку шириной 0,5 см
|
М
|
3
|
241
|
1022
кл. «Легмаш»
|
|
|
101
|
Прострочить
по низу изделия отделочную строчку шириной 2 см
|
М
|
3
|
120
|
1022
кл. «Легмаш»
|
|
|
Чистка
изделия
|
|
|
102
|
Удаление
меловых линий с изделия
|
Р
|
1
|
167
|
Щетка
|
|
|
103
|
Чистка
изделия от производственного мусора
|
Р
|
1
|
198
|
Ножницы
|
|
|
Окончательная
отделка и ВТО
|
|
|
104
|
Приутюживание
всех узлов мужского плаща
|
У
|
1
|
545
|
МПВУ
|
|
|
105
|
Пробивание
петель
|
А
|
3
|
121
|
62761-Р-3-Z
кл. «Минерва»
|
|
|
106
|
Пришивание
пуговиц
|
А
|
3
|
121
|
827
кл. «ПМЗ»
|
|
|
107
|
Навешивание
прейскурантов ярлыков
|
Р
|
1
|
93,6
|
-
|
|
|
108
|
Упаковка
мужского плаща
|
Р
|
1
|
67,1
|
-
|
|
|
109
|
Сдача
на склад
|
Р
|
1
|
88,3
|
-
|
|
|
|
|
|
|
|
|
|
|