Выбор и обоснование кинематической схемы гидропульсационной машины
Содержание
Часть 1
.1 Введение
.1.1
Постановка задачи
.1.2 Описание
машины
.1.3 Исходные
данные
1.1.4 Выбор
критериев синтеза исполнительного механизма
1.2 Прототип
1
.2.1 Исходные
данные
.2.2
Структурный анализ механизма
.2.3
Геометрический анализ механизма
.2.4
Кинематический анализ механизма
.3 Прототип 2
.3.1 Исходные
данные
.3.2
Структурный анализ механизма
.3.3
Геометрический анализ механизма
.3.4
Кинематический анализ механизма
.4 Сравнение
прототипов
.4.1
Сравнительный анализ механизмов по критериям качества
Часть 2
.1 Введение
.2
Определение задаваемых сил и сил инерции
.3
Аналитическое решение уравнений кинетостатики
.4 Оценка внешней виброактивности
исполнительного механизма и уравновешивание механизма
.5 Выбор
двигателя
Часть 3
.1 Задачи
динамического исследования
.2 Построение динамической и
математической модели машины и выбор передаточного механизма
.3
Определение коэффициентов уравнения движения машины
.4 Решение
уравнений движения машины
.5
Определение динамических нагрузок машины
.6 Исследование
переходного процесса
.7 Улучшение
показателей качества машины
Выводы
Список
литературы
гидропульсационный машина осевой динамический
Часть 1
.1 Введение
.1.1 Постановка задачи
В данном курсовом проекте нам необходимо выбрать и обосновать кинематическую
схему гидропульсационной машины.
По результатам геометрического анализа проводим синтез механизма с учетом
необходимых (заданных) параметров.
Для полученного механизма производим силовой расчёт, выбираем двигатель и
проводим динамическое исследование машинного агрегата.
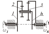
.1.2 Описание машины
Гидропульсационная машина представляет собой колебательную систему,
состоящую из жесткостей гидравлической системы, жесткости образца и масс поршня
рабочего цилиндра, верхней поперечины, стола с верхним захватом и его тяг.
Эта система обладает присущими ей частотами собственных колебаний и,
следовательно, может при известных условиях входить в резонанс.
Гидропульсационные машины, также используемые в лабораторной практике,
способны развивать значительные нагрузки при весьма малых перемещениях жестких
объектов испытания.
Эти машины применяются главным образом для испытаний осевыми нагрузками.
.1.3 Исходные данные
В качестве исходных данных заданы технические характеристики механизма:
· ход выходного звена H=0.5 м,
· Коэффициент изменения средней скорости Kv=1.1
· Число оборотов кривошипа n=30 об/мин.
· Максимальная сила давления Pmax=3кН
Коэффициент неравномерности вращения δ = 0.15;
Погонная масса μ = 50 кг/м;
.1.4 Выбор критериев синтеза исполнительного механизма
Подбор по
критерию К1
К1 - критерий, характеризующий внешние условия передачи сил в
механизме-максимум передаточной функции первого порядка, отнесенный к длине
кривошипа. Данный критерий является достаточно универсальным. Он характеризует
внешние условия передачи сил и показывает соотношение между движущей силой на
входе механизма и рабочей нагрузкой на выходе (при условии, что звенья не имеют
массы). Если выходное звено совершает возвратно-поступательное движение, то
критерий K1 численно равен максиму аналога скорости точки приложения рабочей
нагрузки, отнесенному к длине входного звена. В общем случае машиностроении
допускаемые значения критерия KI обычно принимают [KI] = 1…3.
где
- максимальное значение аналога скорости выходного звена,
- длина кривошипа
Подбор по
критерию К2
К2 - критерий, характеризующий внутренние условие передачи сил в
механизме- критерий, характеризующий условия передачи сил в центральной
кинематической паре выходной диады. Он может быть использован во всех
механизмах, где центральной парой выходной диады является вращательная КП. Он
равен отношению силы реакции R в указанном шарнире к рабочей нагрузке P
,
где
- угол давления
Подбор
звеньев по критерию Kv
Kv - коэффициент изменения средней скорости
Для второго прототипа подбираем длины звеньев, решая уравнения
Подбор
звеньев по ходу выходного звена
Масштабируем, механизмы так чтобы выполнялось условие Н = 0,5 м
1.2 Прототип 1
.2.1 Исходные
данные
На рис.2.1 показана схема механизма.
Рис. 2.1
Исходные данные механизма.=0.1849м=0.7398м=0.6165м=-0.3452м=-1
XE=-1.196м=1 м=1=0.6412мD=1.233м
Y2D=0.1233м
1.2.2
Структурный анализ механизма
Целью структурного анализа механизма является определение количества
звеньев и кинематических пар, классификация последних, определение подвижности
пар и степени подвижности механизма, а также выделение в нем структурных групп
кинематических цепей, у которых число входов совпадает с числом степеней
подвижности.
Структурный анализ данного прототипа представлен в первой курсовой работе
.2.3
Геометрический анализ механизма
Целью геометрического анализа рычажного механизма является составление
уравнений геометрического анализа, решение их, выделение побочных и основных
решений, определяющих положения звеньев, а также исследование функций положения
выходных звеньев структурных групп.
План 12 положений механизма
На рис. 2.3.1 показаны 12 положений механизма в масштабе
Рис. 2.3.1
Решение групповых уравнений представлено в первой курсовой работе
1.2.4
Кинематический анализ механизма
Целью кинематического анализа является определение скоростей и ускорений
отдельных точек и звеньев механизма
Планы скоростей и ускорений
На рис 2.4.1 показан план аналогов скоростей для положения 5.
Рис. 2.4.1
На рис. 2.4.2 показан план аналогов ускорений для положения 5
Рис. 2.4.2
На рис. 2.4.3показан план аналогов скоростей для крайнего положения
Рис. 2.4.3
На рис. рис.2.4.4 показан план аналогов ускорений для крайнего положения
Рис. 2.4.4
Аналитическое определение аналогов скоростей и ускорений представлено в
первой курсовой работе
Таблица 1. Результаты расчета
|
Xa
|
0.21068
|
|
Ya
|
0.12163
|
|
Xb
|
-1.605615
|
|
Yb
|
1.878083
|
|
Xd
|
-0.075603
|
|
Yd
|
0.940254
|
|
Xe
|
1.07041
|
|
Ye
|
2.26464
|
|
ϕ23
|
-48.8489445
|
|
Cos(ϕ2)
|
-0.9615854
|
|
Sin(ϕ2)
|
-0.27450601
|
|
ϕ2
|
-164.067423
|
|
Cos(ϕ3)
|
-0.4260711
|
|
Sin(ϕ3)
|
-0.90468969
|
|
ϕ3
|
-115.2184777
|
|
Cos(ϕ4)
|
-0.1419344
|
|
Sin(ϕ4)
|
0.98987606
|
|
ϕ4
|
98.15979867
|
|
Vxa
|
-0.095
|
|
Vya
|
0.164545
|
|
Vxb
|
-0.05548699
|
|
Vyb
|
0.02613205
|
|
Vxd
|
0.02688448
|
|
Vyd
|
-0.16439967
|
|
Vye
|
-0.16825453
|
|
Vϕ2
|
0.26905095
|
|
Vϕ3
|
-0.10054527
|
|
Vϕ4
|
0.02715944
|
|
wxa
|
-0.164545
|
|
wa
|
-0.095
|
|
wxb
|
-0.17715308
|
|
wyb
|
0.09024808
|
|
wxd
|
-0.2298075
|
|
wyd
|
0.35277883
|
|
wye
|
0.38498485
|
|
wϕ2
|
-0.339425951
|
|
wϕ3
|
-0.325771568
|
|
wϕ4
|
-0.2320521
|
1.3 Прототип 2
.3.1 Исходные
данные
На рис. 3.1 показана схема механизма.
Рис. 3.1
Исходные данные механизма.= 0.243275м=0.61 м=0.535 м-1.605615м=-1
XE= -1.07041м=
1.75158 м=1= 1.878083мD= 1.75158м
Y2D= 0.38924м
1.3.2
Структурный анализ механизма
Структурный анализ данного прототипа представлен в первой курсовой
работе.
1.3.3
Геометрический анализ механизма
План 12 положений механизма
На рис. 3.3 показаны 12 положений механизма в масштабе.
Рис. 3.3
Групповые уравнения и их решения
Решение групповых уравнений представлено в первой курсовой работе
1.3.4
Кинематический анализ механизма
Планы скоростей и ускорений
На рис. 3.4.1 показан план аналогов скоростей для положения 5.
Рис. 3.4.1
На рис. 3.4.2 показан план аналогов ускорений для положения 5.
Рис. 3.4.2
На рис. 3.4.3 показан план аналогов скоростей и ускорений для крайнего
положения.
Рис. 3.4.3
Аналитическое определение аналогов скоростей и ускорений представлено в
первой курсовой работе
Таблица 2. Результаты расчета
|
Стандартная программа
|
|
Xa
|
0.1125833
|
|
Ya
|
0.065
|
|
Xc
|
-0.35
|
|
Yc
|
0.2
|
|
Xd
|
0.259591591
|
|
Yd
|
0.147103003
|
|
Xe
|
0.7
|
|
Ye
|
1.155091313
|
|
ϕ2
|
163.730679
|
|
ϕ4
|
66.398609
|
|
Vxa
|
-0.065
|
|
Vya
|
0.1125833
|
|
Vxd
|
9.8646762*10^-3
|
|
Vyd
|
0.113681759
|
|
Vye
|
0.11799182
|
|
Vϕ2
|
0.1864884
|
|
Vϕ4
|
9.78649861*10^-3
|
|
wxa
|
-0.1125833
|
|
wya
|
-0.065
|
|
wxd
|
-0.02766603
|
|
wyd
|
-0.07267185
|
|
wye
|
-0.08487461
|
|
wϕ2
|
-0.12223183
|
|
wϕ4
|
-0.0274886
|
.4 Сравнение прототипов
На рис. показаны графики функции положения и ее производных по обобщенной
координате.
Рис. 4.1
1.4.1 Сравнительный анализ механизмов по критериям качества
В результате геометрического анализа были определены координаты всех
точек механизмов, углы наклона звеньев, исследованы функции положения
механизмов, а также были построены графики ФП.
Первый прототип:
Коэффициент передачи внешних сил:
,
Коэффициент передачи внутренних сил в группе ВВВ:
Коэффициент передачи внутренних сил в группе ВВП:
Коэффициент изменения средней скорости:
Ход выходного звена=0,5
Габариты: 1609x1093 мм
Второй прототип:
,
Коэффициент передачи внутренних сил в группе ВПВ:
Коэффициент передачи внутренних сил в группе ВВП:
Коэффициент изменения средней скорости:
Ход выходного звена=0,5
Габариты: 2876x2717 мм
Выберем первый прототип, тк его габариты
оказались меньшими.
Часть 2
.1 Введение
Силовой анализ механизмов основывается на решении прямой, или первой,
задачи динамики - по заданному движению определить действующие силы. Поэтому
законы движения начальных звеньев при силовом анализе считаются заданными.
Внешние силы, приложенные к звеньям механизма, обычно тоже считаются заданными
и, следовательно, подлежат определению только реакции в кинематических парах.
Механизм 1.
.2
Определение задаваемых сил и сил инерции
На рис.2.1 показана нагрузочная диаграмма.
Рис. 2.1
Построим график рабочей нагрузки
На рис. 2.2 показан график рабочей нагрузки.
Рис. 2.2
Массы звеньев, определим по зависимости:
, где
- длина звена, -
погонная масса.ассы звеньев
Моменты инерции определяем по формуле
, для 2-го звена воспользуемся
теоремой Штейнера
Моменты инерции
Силы тяжести звеньев определим по формуле:
Координаты центров масс звеньев:
Проекции сил инерции и моменты сил инерции:
.3
Аналитическое решение уравнений кинетостатики
См. в первой курсовой работе.
Таблица 3.
Результаты расчетов
|
Реакция
|
Стандартная программа
|
|
R45x
|
3.501*10^4
|
|
R54y
|
-2.4358*10^5
|
|
R05x
|
-3.501*10^4
|
|
R24x
|
3.4793*10^4
|
|
R24y
|
-2.4288*10^5
|
|
R03x
|
-3.302*10^5
|
|
R03y
|
-7.024*10^5
|
|
R12x
|
3.651*10^5
|
|
R12y
|
4.5893*10^5
|
|
R01x
|
3.657*10^5
|
|
R01y
|
4.589*10^4
|
|
Q
|
4.0958*10^4
|
На рис. 2.3 показан график зависимости движущего момента
.
Рис. 2.3
.4 Оценка внешней виброактивности исполнительного механизма и
уравновешивание механизма
При движении машины помимо статических усилий возникают динамические
усилия, которые передаются на стойку (корпус) машины. Эти динамические усилия,
будучи переменными по модулю и направлению, передаются на фундамент, вызывая
ряд нежелательных явлений вибрационного характера.
Условием полного внешнего внешнего уравновешивания является равенство
нулю главного вектора и главного момента реакций в опорах относительно
произвольного центра приведения. Если при этом активные силы уравновешены, то
задача внешнего уравновешивания механизма сводится к уравновешиванию главного
вектора и главного момента сил инерции его подвижных звеньев.
Уравновешивание можно произвести двумя способами:
1. Установка противовесов на звенья.
Этот способ позволяет полностью уравновесить главный вектор сил инерции,
но, как следствие установки противовеса, подвижные звенья механизма нагружены
значительными массами.
2. Установка вращающихся противовесов.
Этот способ наиболее часто используется. В результате использования этого
способа уравнивается одна гармоника главного вектора сил инерции.
Определим главный вектор сил инерции
Определим приведенный момент инерции:
Мерой внешней виброактивности механизма при внутренней рабочей нагрузке
является главный вектор сил инерции. В цикловых механизмах он является
периодической функцией и может быть разложен в сходящийся ряд Фурье, представляющий
собой сумму эллиптических гармоник.
Для упрощения расчетов
раскладывается в ряд Фурье с точностью до пяти гармоник:
=1,2,3,4,5- номер гармоники.
Чтобы уравновесить данный механизм необходимо поставить противовесы,
предварительно сосчитав их массы и начальные углы установки
Уравновесим F1:

для любого
.
Определим:
- массы противовесов;
- углы установки противовесов при
=0.
Запишем проекции векторов
на оси x,y:
Приравняем коэффициенты при
и
(считаем, что радиусы установки
противовесов равны радиусу кривошипа
):
+4:
; 3+2:
;
-4:
; 3-2:
.
Массы противовесов:
;
Углы установки:
;
;
;
Получим:
;
На рис. 3.1 показана схема установки противовесов.
Рис. 3.1
На рис. 3.6. показан годограф сил инерции.
Рис. 3.2
В данном случае установка противовесов нецелесообразна, тк годограф
изменился несильно
.5 Выбор
двигателя
В курсовом проекте используем электрический двигатель постоянного тока
независимого возбуждения. Такой двигатель имеет линейную статическую характеристику,
что упрощает расчет установившегося режима и режима разбега.
Двигатель выбираем по необходимой мощности, т.е. такой мощности, которая
требуется для того, чтобы механизм, испытывающий воздействие заданных сил,
совершал требуемые движения.
В результате расчета на ЭВМ было получено значение необходимой потребной
мощности:
,
Этой мощности соответствует двигатель 2ПН100L, обладающий следующими
характеристиками:
|
Типоразмер двигателя
|
Мощность Nдн
|
Скорость nдн
|
Номинальный ток , Iн
|
Номинальное напряжение, u н
|
Сопротивление, R
|
Индуктивность L
|
Момент инерции ротора, Jр
|
|
|
Вт
|
об/мин
|
А
|
В
|
Ом
|
Гн
|
кгм2
|
|
2ПН100L
|
1 100
|
1 500
|
5,5
|
220
|
2,2
|
0,083
|
0,012
|
Найдем номинальный момент на двигателе:
Определим
:
Число оборотов в минуту на холостом ходу:
oб/мин
Электромагнитная постоянная времени
Крутизна статической характеристики двигателя
.
Передаточное число редуктора
Поскольку вал двигателя вращается быстрее чем кривошип, необходимо использовать
передаточный механизм, в качестве которого будем использовать планетарный
редуктор.
На рис. 4.1 показана схема редуктора.
Рис. 4.1
Данная схема редуктора может обеспечить передаточное число от 30 до300.
Часть 3
Динамическое исследование машинного агрегата
.1 Задачи динамического исследования
Задачей динамического исследования машины является определение закона
движения входного звена исполнительного механизма
с учетом динамических свойств
приводного двигателя, движущего момента
и динамической нагрузки в приводе
, а также оценка неравномерности
вращения входного звена и проверка перекладки зазоров в приводе, улучшение
динамических показателей качества машины.
.2 Построение динамической и математической модели машины и выбор
передаточного механизма
Схема машинного агрегата.
Рис. 1.1 Схема машинного агрегата
Машина включает в себя двигатель, передаточный и исполнительный механизм.
Динамический расчет машинного агрегата связано с определением и
исследованием стационарного решения дифференциальных уравнений:
,
q - обобщенная координата, в качестве которой выбран угол поворота
входного звена исполнительного механизма
- приведенный момент инерции
- приведенный момент сил сопротивления
приведенная динамическая характеристика двигателя:
- постоянная времени двигателя
- крутизна статической характеристики двигателя
- скорость ротора двигателя,
- движущий момент,
- номинальный движущий момент,
- номинальная скорость ротора двигателя,
- постоянная времени двигателя.
В итоге в уравнении остаются две неизвестные величины - движущий момент
и угол поворота кривошипа с его
производными. Для решения уравнения движения необходимо задать дополнительное
соотношение между этими неизвестными.
Уравнение, устанавливающее связь между движущим моментом и скоростью
двигателя, есть уравнение механической характеристики двигателя.
Исходя из вышесказанного, можно записать следующую систему
дифференциальных уравнений:
Второе выражение в системе называется динамической характеристикой
двигателя. Параметр τ называется электромагнитной постоянной времени.
Параметр
называется крутизной характеристики
двигателя. Чем больше крутизна двигателя, тем слабее изменение нагрузки влияет
на величину угловой скорости.
.3 Определение коэффициентов уравнения движения машины
Определение приведенного момента инерции
производится через определение
кинетической энергии всего механизма:
Приведенный момент инерции:
Производная приведенного момента инерции:
.
Полученная функция раскладывается в ряд Фурье с точностью до пяти
гармоник:
;
;
;
;
Получены коэффициенты
|
Jci
|
Jsi
|
|
-0.8224
|
2.1368
|
|
-0.941
|
-3.7203
|
|
2.2234
|
0.1136
|
|
-0.2333
|
0.7535
|
|
-0.191
|
-0.1406
|
Построим график зависимости приведенного момента инерции от угла поворота
кривошипа
Построим график зависимости производной приведенного момента инерции от
угла поворота кривошипа
Приведенный момент сил сопротивления
.
Приведенный момент сил сопротивления определяется как коэффициент при
вариации обобщенной координаты в выражении для возможной работы активных сил
сопротивления (рабочей нагрузки и сил тяжести), составим выражение для
нахождения сил сопротивления:
Приведенный движущий момент
.
В ряд Фурье с точностью до пяти гармоник также раскладывается момент сил
сопротивления:
;
;
;
;
Получены коэффициенты
|
Qci
|
Qsi
|
|
-82.6212
|
-118.9549
|
|
-79.2832
|
129.0199
|
|
-57.0704
|
-27.9399
|
|
-14.8752
|
-35.0374
|
|
14.2174
|
-10.6149
|
Построим график зависимости производной приведенного момента инерции от
угла поворота кривошипа
.4 Решение уравнений движения машины
Система дифференциальных уравнений движения содержит две неизвестные
функции времени
и
. Для отыскания стационарного решения этих уравнений
воспользуемся методом последовательных приближений.
В нулевом приближении, т.е. при
получаем систему уравнений
Решение этой системы уравнений будем искать в виде
;
;
;

.
После подстановки получим
При
получим систему уравнений:
Выражение, стоящее в правой части первого уравнения, характеризует
возмущение, вызывающее отклонение закона движения входного звена от
программного вращения. Возмущающий момент:
Этот момент характеризует внутреннюю виброактивность исполнительного
механизма.
Решение системы уравнений в первом приближении разыскиваем в виде:
;
;
;

.
Здесь
- отклонение закона движения входного звена от программного
движения, называемое динамической ошибкой по углу;
- отклонение движущего момента от
среднего значения. Подставив эти решения в систему уравнений, получим:
где
Разложим возмущающий момент в ряд Фурье с точностью до пяти гармоник:
,
,
,
.
Построим график зависимости возмущающего момента инерции от угла поворота
кривошипа
Далее найдем динамическую ошибку по углу с точностью до пяти гармоник:
Приравняем коэффициенты при cos и фазы:
,
.
Окончательно получаем:
.
Построим график зависимости динамической ошибки по скорости от угла
поворота кривошипа
В технических требованиях к машине часто задаются допустимые значения
максимальных динамических ошибок, оцениваемые коэффициентом неравномерности
вращения входного звена:
В данном случае соблюдается
.5 Определение динамических нагрузок машины
Важной динамической характеристикой установившегося движения являются
динамические нагрузки в передаточном механизме. Их можно определить из
уравнения вращательного движения ротора двигателя:
где
- момент инерции ротора двигателя и передаточного механизма,
приведенный к входному звену. Тогда:
Поскольку:
,
то:


=
где
- механическая постоянная привода.
Движущий момент в приводе с точностью до пяти гармоник:
Основное требование конструирования: знакопостоянство движущего момента,
обеспечивающее, отсутствие перекладки зазоров в зубчатых передачах редуктора.
Нарушение условия
ведет к быстрому износу передач.
.6
Исследование переходного процесса
Для упрощения динамических расчетов пренебрегаем в уравнении движения
теми слагаемыми, которые вызывают динамическую ошибку:
·
время, при
котором угловая скорость достигнет значения
Рассмотрим режим разбега для линейной характеристики двигателя и нагрузки
где s - крутизна статической характеристики двигателя,
- начальная угловая скорость,
- среднее ее значение.
Отсюда
Разделим все выражение на s+υ:
- корень характеристического уравнения
Константу С найдем из начальных условий:
При
Разбег с учетом динамической характеристики двигателя:
Разделим обе части последнего уравнения на s:
Если Если
, то корни являются комплексными сопряженными то корни
являются вещественными и отрицательными, разбег затухающий колебательный,
угловая скорость в процессе разбега достигает значений, превосходящих
, что часто является нежелательным.
Если
, то корни являются вещественными и отрицательными, разбег
апериодический.
.7 Улучшение показателей качества машины
|
Характер разбега
|
колебательный
|
|
Неравномерность вращения
|
9%
|
|
Перекладка зазоров в приводе
|
есть
|
В данном случае нам нужно устранить колебательный характер разбега и
перекладку зазоров. Для этого поставим маховик на валу двигателя с моментом
инерции Jдм =0.2
|
Характер разбега
|
апериодический
|
|
Неравномерность вращения
|
5%
|
|
Перекладка зазоров в приводе
|
есть
|
масса маховика
; плотность стали
; объем
. Если принять
, то
, отсюда радиус маховика
Масса маховика
После улучшения присутствует перекладка зазоров в приводе поставим
тормозную колодку
Оставляем двигатель данной мощности
Перекладка зазоров, после установки тормозной колодки исчезла
|
Характер разбегаапериодический
|
|
|
Неравномерность вращения
|
5%
|
|
Перекладка зазоров в приводе
|
нет
|
Выводы
Цель курсового проекта - разработка гидропульсационной машины. После
геометрического и кинематического анализа двух прототипов станка, был выбран
первый прототип, поскольку второй не удовлетворял заданным критериям. Далее был
проведен силовой расчет выбранного механизма с последующим определением всех
реакций, сил и моментов действующих в машине, а также подобран двигатель
2ПН180М и планетарный редуктор, проведены оценки внешней и внутренней
виброактивности агрегата.
Получен апериодический характер разбега, достигнуто знакопостоянство
движущего момента.
Список
литературы
1. Теория
механизмов и машин / М.З. Коловский, А.Н. Евграфов, А.В. Слоущ, Ю.А. Семенов. -
М.: Академия, 2006 - 560 с.
2. Евграфов
А.Н. Расчет и проектирование механизмов и машин с помощью ЭВМ: Учеб. пособие /
СПб.: СПбГТУ, 1992. - 80 с.
. Кожевников
С.Н., Есипенко Я.И., Раскин Я.М. Механизмы. - М.: Машиностроение, 1965. - 1060
с.
. Крайнев
А.Ф. Механика. Фундаментальный словарь. - М.: Машиностроение, 2000. - 904 с.
. Механика
машин: Учеб. пособие для втузов / Вульфсон И.И., Коловский М.З., Семенов Ю.А.,
Слоущ А.В. и др.; под ред. Смирнова Г.А. / М.: Высш. шк., 1996. - 511 с.
. Пейсах
Э.Е., Нестеров В.А. Система проектирования плоских рычажных механизмов. М.:
Машиностроение, 1988. - 232 с.