Система обеспечения вызова экстренных оперативных и иных служб жизнеобеспечения по единому номеру '112'
Федеральное
государственное бюджетное образовательное учреждение
дополнительного
профессионального образования
"Астраханский
учебный центр федеральной противопожарной службы"
Выпускная
аттестационная работа
Система
обеспечения вызова экстренных оперативных и иных служб жизнеобеспечения по
единому номеру "112"
Астрахань -
2015 год
Оглавление
экстренный номер население оператор
Введение
. Состояние нормативного, правового и
нормативно-технического обеспечения создания системы-112
. Структура
системы-112
. Основные задачи и функции
. Порядок функционирования Системы-112
Астраханской области
Заключение
Литература
Введение
Постановлением Правительства РФ от 31 декабря 2004 года №894 номер
"112" назначен единым номером вызова экстренных оперативных служб на
всей территории Российской Федерации. В перечень экстренных оперативных служб
входят: пожарная охрана, полиция, скорая медицинская помощь, аварийная служба
газовой сети, служба "Антитеррор" и служба реагирования в чрезвычайных
ситуациях.
Система-112 - это система обеспечения вызова экстренных оперативных служб
по единому номеру "112" на территории Российской Федерации.
Предназначена для обеспечения оказания экстренной помощи населению при угрозах
для жизни и здоровья, для уменьшения материального ущерба при несчастных
случаях, авариях, пожарах, нарушениях общественного порядка и при других
происшествиях и чрезвычайных ситуациях, а также для информационного обеспечения
единых дежурно-диспетчерских служб (ЕДДС) муниципальных образований.
Система "112" уже давно успешно действуют в странах Евросоюза.
Планируется, что данная система будет принимать сообщения о любых
происшествиях. Оператор не просто зафиксирует обращение пострадавшего или
очевидца, но и предоставит ему необходимую психологическую помощь.
Если же звонок случайно оборвется, то оператор сам перезвонит на номер
обратившегося за помощью, так как современные технологии позволят ему не только
определить номер звонившего, но и его местоположение на момент обращения.
Затем оператор передает сообщения во все необходимые службы помощи, при
этом оставаясь на связи, чтобы координировать действия служб и оставаться в
курсе изменений обстоятельств в чрезвычайной ситуации.
По принципу европейской единой службы, операторы смогут отвечать позвонившим
на пяти языках. Также сообщить о происшествии можно будет не только по
телефону, но и при помощи СМС или письма по электронной почте.
Забота о жизни и здоровье граждан, сохранности имущества, обеспечении
личной и общественной безопасности, а также необходимость противодействия
угрозам техногенного, природного характера и актам терроризма диктуют
необходимость быстрого реагирования на угрозы. Повышение безопасности населения
и защищенности критически важных объектов от этих угроз являются одной из важнейших
задач при обеспечении национальной безопасности и стабильного
социально-экономического развития Российской Федерации. Одним из методов
решения данной проблемы является создание специальных служб, обеспечивающих
оперативную помощь населению.
Постановлением Правительства Российской Федерации от 31 декабря 2004 г.
№894 "Об утверждении Перечня экстренных оперативных служб, вызов которых
круглосуточно и бесплатно обязан обеспечить оператор связи пользователю
услугами связи, и о назначении единого номера вызова экстренных оперативных
служб" в России в качестве такого единого номера определен номер
"112". В постановлении установлен перечень экстренных оперативных
служб, состоящий из четырех ранее действовавших экстренных оперативных служб
(пожарной охраны, милиции, скорой медицинской помощи, аварийной газовой
службы), и двух новых служб - "Антитеррор" и "Служба
реагирования в чрезвычайных ситуациях". В соответствии с требованиями
данного постановления был проведен комплекс системно-технических и
организационных мероприятий по модернизации сетей связи и дежурно-диспетчерских
служб (ДДС) для создания возможности приема и обработки вызовов от населения в
адрес всех существующих и создаваемых экстренных оперативных служб.
1. Состояние
нормативного, правового и нормативно-технического обеспечения создания
системы-112
В ходе практического создания системы-112 было определено, что ключевой
проблемой является неготовность инфраструктуры единых дежурно-диспетчерских
служб для обеспечения работы единого номера "112". В Курской области
было выявлено частичное отсутствие единых дежурно-диспетчерских служб или
низкий уровень их автоматизации в районных центрах муниципальных образований,
слабая подготовленность кадрового состава, а также отсутствие информированности
населения о создании системы-112.
Как показал опыт, задачи, которые необходимо решить для создания
системы-112 надлежащего качества, требуют иных подходов к этой проблеме. Это
связано с целым рядом объективных причин, в том числе с организационной и
технической неготовностью дежурно-диспетчерских служб экстренных оперативных
служб к работе в рамках системы-112. Не готовы к развертыванию системы-112 ее
информационная и телекоммуникационная составляющие, причем практически по всем
регионам страны.
Не создана учебно-методическая база для подготовки оперативного,
диспетчерского и руководящего персонала системы-112, не проведена работа по
информированию населения о создании новой системы вызова экстренных оперативных
служб и порядке ее использования.
Главной проблемой, требующей скорейшего решения, является организация
эффективной координации действий межведомственного характера при реагировании
на вызовы экстренных оперативных служб. Повышение безопасности населения,
являющееся прямым следствием улучшения организации взаимодействия экстренных
оперативных служб, определяет приоритетность решения этой проблемы.
Необходимостью ее решения обусловлено принятие следующих документов:
распоряжение Правительства Российской Федерации от 25 августа 2008 г.
№1240-р об одобрении Концепции создания системы обеспечения вызова экстренных
оперативных служб через единый номер "112" на базе единых
дежурно-диспетчерских служб муниципальных образований;
Указ Президента Российской Федерации от 28 декабря 2010 г. №1632 "О
совершенствовании системы обеспечения вызова экстренных оперативных служб на
территории Российской Федерации";
поручение Правительства Российской Федерации от 16 февраля 2011 г.
№ВП-П10-903 о проработке предложения о проекте федеральной целевой программы
создания системы обеспечения вызова экстренных оперативных служб по единому
номеру "112" в Российской Федерации;
распоряжение Правительства Российской Федерации от 4 мая 2012 г. №716-р
об утверждении Концепции федеральной целевой программы "Создание системы
обеспечения вызова экстренных оперативных служб по единому номеру
"112" в Российской Федерации на 2012-2017 годы".
В соответствии с Постановлением Правительства Российской Федерации от
31.12.2004 №894 "Об утверждении перечня экстренных оперативных служб,
вызов которых круглосуточно и бесплатно обязан обеспечить оператор связи
пользователю услугами связи, и о назначении единого номера вызова экстренных
оперативных служб", Концепцией создания системы обеспечения вызова
экстренных оперативных служб через единый номер "112" на базе единых
дежурно-диспетчерских служб муниципальных образований, одобренной Распоряжением
Правительства Российской Федерации от 25.08.2008 №1240-р, в целях улучшения
взаимодействия и оперативного реагирования экстренных оперативных служб на
территории Астраханской области при угрозе возникновения или возникновении
чрезвычайных ситуаций Правительство Астраханской области приняло постановление
№200-П от 06.05.2010 г. "О внедрении системы обеспечения вызова экстренных
оперативных служб через единый номер "112" на территории Астраханской
области".
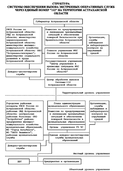
2. Структура
системы-112
Постановлением Правительства Астраханской области №200-П от 06.05.2010г.
"О внедрении системы обеспечения вызова экстренных оперативных служб через
единый номер "112" на территории Астраханской области",
утверждена структура системы обеспечения вызова экстренных оперативных служб
через единый номер "112" на территории Астраханской области.
Данной структурой и "Положением о функционировании системы
обеспечения вызова экстренных оперативных служб через единый номер
"112" на территории Астраханской области", утвержденным тем же
Постановлением, определена система информационного обмена и уровни управления в
рамках реагирования на чрезвычайные ситуации различного характера.
Определены три уровня управления:
1. Территориальный - охватывает все службы субъектового уровня
и осуществляет управление при ликвидации чрезвычайных ситуаций и их
последствий, оказывающих влияние на жизнедеятельность населения на территории
двух и более муниципальных районов области
2. Местный - охватывает все службы муниципального уровня и
осуществляет управление при ликвидации чрезвычайных ситуаций и их последствий,
оказывающих влияние на жизнедеятельность населения на территории муниципального
района (образования)
. Объектовый - если чрезвычайная ситуация и её последствия не
выходят за пределы границ предприятия (организации).

. Основные
задачи и функции
Постановлениями Правительства Российской Федерации №958 от 21.11.2011 г.
и Правительства Астраханской области №200-П от 06.05.2010 г. определен перечень
задач, решаемых службой задач.
Основными задачами Системы-112 Астраханской области являются:
прием, обработка, регистрация вызовов от населения в центр Системы-112,
ЕДДС и ДДС о происшествиях и ЧС на территории Астраханской области;
передача информации о происшествиях в ДДС в соответствии с их
компетенцией для организации экстренного реагирования;
организация и поддержание четкого информационного взаимодействия между ГУ
"ЦУКС МЧС России по Астраханской области", центра Системы-112, ЕДДС и
экстренных оперативных служб Астраханской области.
Центр системы -112 в Астраханской области является структурным
подразделением ГУ МЧС России по Астраханской области, функционирующим в
круглосуточном режиме и являющемся органом сбора и распространения информации о
происшествиях и ЧС в Системе-112 Астраханской области.
Основными задачами центра Системы-112 являются:
прием, регистрация, обработка, переадресация вызовов, а также сообщений
социальной направленности, поступающих на единый телефонный номер
"112";
прием, регистрация и обработка текстовых сообщений (SMS, e-mail),
поступающих в центр Системы-112;
передача информации о происшествиях в ДДС в соответствии с их
компетенцией для организации экстренного реагирования;
информационная поддержка взаимодействия оперативно-дежурных служб, ДДС в
случае совместного реагирования;
формирование статистических отчетов по поступившим вызовам (сообщениям о
происшествиях) и представление их в ГУ "ЦУКС МЧС России по Астраханской
области".
Дежурно-диспетчерские службы (ДДС), входящие в Систему-112 Астраханской
области, обеспечивают решение следующих задач:
прием сообщений о происшествиях, в том числе сообщений социальной
направленности, их регистрация и анализ, при необходимости - организация
реагирования собственными силами и передача во взаимодействующие ДДС;
представление в ГУ "ЦУКС МЧС России по Астраханской области"
данных, относящихся по критериям к информации об угрозе или возникновении ЧС;
доведение полученной информации о происшествии или ЧС до
непосредственного руководства;
приведение в готовность имеющихся сил и средств экстренного реагирования,
аварийно-спасательных формирований;
представление докладов и донесений в ГУ "ЦУКС МЧС России по
Астраханской области" о сложившейся обстановке и действиях по ликвидации
ЧС;
получение из ГУ "ЦУКС МЧС России по Астраханской области"
обобщенных данных об обстановке, действиях сил и средств, по обеспечению
взаимодействия при ликвидации ЧС;
обобщение информации за сутки о происшествиях, ЧС, ходе работ по их
ликвидации и представление итоговых донесений.
4. Порядок функционирования Системы-112 Астраханской области
Система-112 Астраханской области функционирует в трех режимах:
повседневной деятельности;
повышенной готовности;
чрезвычайной ситуации.
В режиме повседневной деятельности органы повседневного управления
Системы-112 Астраханской области осуществляют круглосуточное дежурство,
находятся в готовности к экстренному реагированию на угрозу или возникновение
ЧС. В этом режиме Система-112 Астраханской области обеспечивает:
прием от населения, организаций и предприятий любых сообщений о
происшествиях, в том числе несущих информацию об угрозе или возникновении ЧС;
обобщение и анализ поступившей информации за прошедшие сутки и представление
соответствующих докладов в ГУ "ЦУКС МЧС России по Астраханской
области";
поддержание в готовности к применению программно-технических средств
автоматизации и средств связи;
внесение необходимых дополнений и изменений в базу данных, а также
структуру и содержание оперативных документов по реагированию на ЧС.
В режиме повседневной деятельности органы повседневного управления
Системы-112 Астраханской области функционируют в соответствии с инструкциями и
положениями.
Поступившие сообщения о происшествиях или ЧС, которые не относятся к
сфере деятельности конкретной оперативно-дежурной службы (далее - ОДС) или ДДС,
в установленные сроки передаются соответствующей ОДС или ДДС в соответствии с
их компетенцией. При получении информации, которая квалифицируется как
сообщение об угрозе или возникновении ЧС, она в установленные сроки доводится
до непосредственного руководства, должностных лиц исполнительных органов
государственной власти области, вышестоящих и взаимодействующих органов
повседневного управления.
В режиме повышенной готовности органы повседневного управления
Системы-112 Астраханской области осуществляют:
подготовку оперативно-дежурного и дежурно-диспетчерского персонала к
действиям в случаях угрозы или возникновения ЧС;
получение, обобщение и анализ данных наблюдения и лабораторного контроля
за обстановкой на подведомственной территории, а также за состоянием окружающей
среды;
прогнозирование возможной обстановки, подготовку предложений по действиям
привлекаемых сил и средств и доклад по подчиненности;
корректировку планов реагирования на вероятные ЧС и планов взаимодействия
с соответствующими ДДС;
координацию действий ДДС при принятии ими экстренных мер по
предотвращению ЧС или смягчению ее последствий.
В режиме повышенной готовности органы повседневного управления
Системы-112 Астраханской области действуют в соответствии с Постановлением Правительства
Астраханской области от 31.05.2007 №197-П "О Порядке организации
информационного обмена и информирования населения в области гражданской
обороны, защиты населения и территорий от чрезвычайных ситуаций, обеспечения
пожарной безопасности и безопасности людей на водных объектах на территории
Астраханской области", ведомственными инструкциями и положениями.
В режиме чрезвычайной ситуации органы повседневного управления
Системы-112 Астраханской области осуществляют решение задач в полном объеме.
Безотлагательно оповещаются и приводятся в готовность соответствующие КЧС и ПБ
и органы управления ГО ЧС, которые берут на себя руководство дальнейшими
действиями по ликвидации ЧС. В этих случаях органы повседневного управления
Системы-112 Астраханской области обеспечивают сбор, обработку, анализ и
представление собранной информации в соответствующие КЧС и ПБ, органы
управления ГО ЧС, вышестоящие органы повседневного управления; осуществляют
подготовку вариантов возможных решений и порядок организации управления
действиями привлеченных сил и средств РСЧС.
Перевод в режимы повышенной готовности и ЧС осуществляется по
распоряжению начальника ГУ МЧС России по Астраханской области. В режимах
повышенной готовности и ЧС информационное взаимодействие между органами повседневного
управления Системы-112 Астраханской области осуществляется через ГУ "ЦУКС
МЧС России по Астраханской области". В ГУ "ЦУКС МЧС России по
Астраханской области" для обработки и принятия решений передаются сведения
об угрозе или факте возникновения ЧС, сложившейся обстановке, о принимаемых
мерах, задействованных и требуемых дополнительных силах и средствах.
Подготовленные рекомендации по совместным действиям доводятся до всех
привлеченных к ликвидации ЧС органов повседневного управления Системы-112 Астраханской
области.
Заключение
Внедрение единой системы-112 имеет ряд несомненных
преимуществ, как для населения, так и для органов административной власти.
Выделим некоторые из них:
Психологические
1. Номер всего из трех цифр легко запомнить, а
главное вспомнить в момент возникновения чрезвычайной ситуации. Пострадавшему
совершенно не надо задумываться в какую экстренную службу и по какому номеру
стоит звонить. С внедрением единого номера доступ для населения к экстренным
службам значительно упрощается, так как выбор и оповещение ответственных за
реагирование служб ложится на операторов 112, которые способны грамотно
классифицировать вызов и передать задачу профильным службам.
2. Любое обращение фиксируется в системе и не
дает возможности оставить его без внимания. Граждане могут быть уверены, что ни
одна заявка не останется без реакции со стороны ответственных служб и все
действия по разрешению ситуации будут обязательно записаны. Это осознание
повышает уверенность людей в собственной безопасности и снижает уровень стресса
в нештатной ситуации.
. Предусматривается возможность подключения к
разговору оператора с абонентом соответствующих специалистов, что позволяет
снизить психологическое давление на человека в критической ситуации, добиться
более детальной и четкой картины происшествия и разумных действий со стороны
позвонившего.
Экономические
1. Использование системы-112 подразумевает
максимальную автоматизацию работы операторов. При звонке на систему-112 у
оператора, принимающего вызов, происходит автоматическое формирование и
частичное заполнение специальной ситуационной карточки. Например, по данным АОН
в карточке уже появляется номер телефона, с которого осуществляется вызов и
информация по этому номеру (владелец номера, его паспортные и иные данные). Чем
меньше работы оператору, тем быстрее пострадавшему придут на помощь и
предотвратят или снизят последствия ЧС.
2. Согласно статистике, до 70% вызовов,
поступающих в экстренные службы, являются ложными или просто справочными.
Операторы системы-112 принимают эту нагрузку на себя, что позволяет снизить
количество диспетчеров экстренных служб и минимизирует "бесполезный"
трафик на профильные ДДС.
Административные
1. Внедрение системы-112 предусматривает полное
документирование всех этапов обработки вызовов от поступления запроса в систему
до внесения в базу данных результатов реагирования. Все этапы обработки
сообщений фиксируются в специальных карточках происшествий (ситуационные
карточки), ни одно действие в отношении вызова не останется незамеченным. Фиксирование
и регламентация действий операторов позволяют строго контролировать ход
выполнения реагирования на запрос, что увеличивает количество данных в системе,
но дает полную и достоверную картину происшествия и отображает всю
последовательность работы с ним. Наличие подобной информации и доступ к ней
дает возможность администрации МО, в случае необходимости, оперативно
реагировать на возникшие инциденты и принимать эффективные управленческие
решения.
2. Система-112 должна стать ещё и важным
инструментом контроля над действиями спецслужб, когда каждый этап приема и
реагирования на вызовы всегда можно отследить, а соответственно, оценить
правильность действий участников и их эффективность.
Информационные
1. Система-112 должна аккумулировать в себе все
потоки информации, идущие от населения к спецслужбам, между операторами 112 и
ДДС, а также между различными ДДС. Все вызовы по всем происшествиям ко всем
спецслужбам попадают в единое пространство хранения, что существенно упрощает и
ускоряет обработку информации по инцидентам. Формирование отчетов по
происшествиям сводится к выбору критериев фильтрации или просто к использованию
необходимых шаблонов, а не многочисленным и долгим межведомственным запросам.
2. Немаловажным преимуществом внедрения
системы-112 становится возможность оценки общей ситуации по безопасности в
регионе. На основании различных отчетов по работе системы-112 и их грамотного
анализа можно выявить "слабые" места в региональной системе
безопасности и в работе спецслужб, а, соответственно, принять меры по их
устранению.
Коммуникационные
1. Благодаря наличию единого коммуникационного и
координационного центра, которым становится система-112, улучшается
взаимодействие различных спецслужб и налаживается конструктивный обмен
информацией с целью организации максимально эффективного реагирования.
2. Полноценный коммуникационный процесс
невозможно наладить без обратной связи. Поэтому система-112 способна не только
принимать информацию о происшествиях, но и при необходимости информировать
население о ЧС в определенном районе, например, с помощью телефонного обзвона
или рассылки SMS-оповещений.
Политические
1. Создание полноценного аналога европейской
системе вызова экстренных служб по единому номеру 112 позволит России сделать
ещё один большой шаг в сторону интеграции с Европой и поднимет имидж страны в
лице её европейских партнеров.
2. Повышение эффективности реагирования на
происшествия и контроль обстановки в регионах будет способствовать улучшению
общей ситуации с безопасностью в стране в целом, что позволит России повысить
свой статус на международной политической и экономических аренах.
Технологические
1. Создание комплексного технического решения для
построения полноценной системы-112 потребовало от разработчиков и поставщиков
оборудования разработки новых технических решений, соответствующих требованиям,
прописанным в нормативных документах. Сам процесс создания проекта системы-112
уже вносит свой вклад в инновационное развитие России.
2. Универсальность системы и доступность её для
приема сообщений из любых сетей требует теснейшей совместной работы местных
операторов связи и поставщиков оборудования. Внедрение современных
телекоммуникационных решений на морально устаревшие сети связи в ряде случаев
затруднительно и нецелесообразно. Поэтому развертывание системы-112 в регионах
становится мощным стимулом для модернизации сетей общего пользования и
способствует повышению общего технологического уровня развития субъекта РФ.
Литература
1. ФЗ от 07.07.2003 №126-ФЗ "О связи"
2. Постановление Правительства РФ №894 от 31.12.2004 "Об
утверждении перечня экстренных оперативных служб, вызов которых круглосуточно и
бесплатно обязан обеспечить оператор связи пользователю услугами связи, и о
назначении единого номера вызова экстренных оперативных служб"
. Распоряжение Правительства РФ от 25.08.2008 №1240-р "О
концепции создания системы обеспечения вызова экстренных служб через единый
номер 112 на базе единых дежурно-диспетчерских служб муниципальных
образований"
. Указ Президента РФ от 28.12.2010 №1632 "О совершенствовании
системы обеспечения вызова экстренных оперативных служб на территории
Российской Федерации"
. Постановление правительства РФ от 21.11.2011 №958 "О
системе обеспечения вызова экстренных оперативных служб по единому номеру
"112"
. Постановление Правительства Астраханской области №200-П от
06.05.2010 г. "О внедрении системы обеспечения вызова экстренных
оперативных служб через единый номер "112" на территории Астраханской
области"
. Методические материалы по созданию системы обеспечения вызова
экстренных оперативных служб по единому номеру "112" в субъекте
Российской Федерации (СИСТЕМА-112)