Прогнозирование экологической безопасности населения в штатной ситуации и при пожарах
Министерство Российской Федерации по
делам гражданской обороны, чрезвычайным ситуациям и ликвидации последствий
стихийных бедствий
Академия государственной
противопожарной службы
Кафедра процессов горения и экологии
Курсовая работа
По дисциплине:
Экология пожаров и чрезвычайных
ситуаций
Тема:
Прогнозирование экологической
безопасности населения в штатной ситуации и при пожарах
Москва, 2014 год
СОДЕРЖАНИЕ
Введение
Расчетная часть работы
1. Расчет
показателей состояния ЭБ в N-ском
поселении в штатной ситуации
. Расчет
показателей состояния ЭБ N-ского
поселения при пожарах
. Расчет
размеров эколого-экономических ущерба при выбросах загрязняющих веществ в
штатной ситуации и при пожарах
Заключение
Литература
Приложения
ВВЕДЕНИЕ
В соответствии с природоохранительным законодательством Российской
Федерации нормирование качества окружающей природной среды производится с целью
установления предельно допустимых норм воздействия, гарантирующих экологическую
безопасность населения, сохранение генофонда, обеспечивающих рациональное
использование и воспроизводство природных ресурсов в условиях устойчивого
развития хозяйственной деятельности. При этом под воздействием понимается
антропогенная деятельность, связанная с реализацией экономических, рекреационных,
культурных интересов и вносящая физические, химические, биологические изменения
в природную среду.
Определенная таким образом цель подразумевает наложение граничных условий
(нормативов) как на само воздействие, так и на факторы среды, отражающие и
воздействие, и отклики экосистем. Принцип антропоцентризма верен и в отношении
истории развития нормирования: значительно ранее прочих были установлены
нормативы приемлемых для человека условий среды (прежде всего,
производственной). Тем самым было положено начало работам в области
санитарно-гигиенического нормирования. Однако человек не самый чувствительный
из биологических видов, и принцип «Защищен человек - защищены и экосистемы»,
вообще говоря, неверен.
Производство затрагивают окружающую среду, когда оно имеет прямое или
косвенное воздействие на экологию и населенные пункты, которое проявляется в
значительно более широких масштабах в сравнении с немедленными мерами
реагирования гуманитарного характера. Изменение экологических условий может
провоцировать чрезвычайные ситуации из-за одновременного увеличения давления на
окружающую среду. Предотвращение чрезвычайных ситуаций и смягчение последствий
бедствий являются главными компонентами в глобальных усилиях по обеспечению
безопасности окружающей среды. Предотвращение загрязнения путем экологически
чистого производства - это процесс, когда более чистые, безопасные и
экологически благоприятные технологии применяются на протяжении всего процесса
производства и потребления, от эксплуатации ресурсов до удаления отходов, при
полном использовании материалов, предотвращающих загрязнение и сокращающих риск
для людей и окружающей среды. Экологически чистое производство - это
основополагающий подход к предотвращению и уменьшению риска чрезвычайных
экологических ситуаций, особенно техногенных чрезвычайных ситуаций.
РАСЧЕТНАЯ ЧАСТЬ
Исходные данные
Исходная информация об экологической, демографической обстановке и
состоянии здоровья жителей N-ского
поселения представлены в таблицах.
Экологическая обстановка в поселении в результате штатной хозяйственной
деятельности
|
Показатель
|
Значение показателя
|
|
Номер зачетной книжки
|
14010
|
|
Экон. р-н РФ,год
|
Северо-Западный, 2013
|
|
Территория, S
км2
|
224
|
|
Числ. населения Z,
тыс. чел.
|
423,6
|
|
Смертность на1000 чел в год
|
15,3(общая)
|
|
Общ. заболеваемость
населения на1000 чел. в год
|
882,1
|
|
ЗВ
|
Всего
|
NH3 Аммиак
|
Взв. вещества
|
NO2 Диоксид азота
|
C6H5CH3 Толуол
|
CO Оксид углерода
|
C20H12 Бенз(а)пирен
|
|
,тыс. т/год104,6
|
|
|
|
|
|
|
|
|
, мг /м3
|
1,3
|
0,1
|
0,05
|
1,63
|
5,78
|
1,7
|
|
|
тыс. т/год
|
12,04
|
23
|
0,52
|
7
|
62
|
0,6
|
|
|
ПДКсс, мг/м3 (ГН
2.1.6.133803)
|
|
0,04
|
0,15
|
0,04
|
0,6
|
3
|
1Е-6
|
Исходные данные для расчета экологических последствий выбросов продуктов
горения при пожарах в N-ском
поселении
|
Показатель
|
Значение показателя
|
|
Номер зачетной книжки
|
14010
|
|
Экономический район РФ
|
Восточно-Сибирский
|
|
Площадь населенного пункта
S, км2
|
538
|
|
Число населения Z тыс. чел.
|
306,0
|
|
Год
|
2004
|
|
Количество всех пожаров на
104 населения, пож/год
|
12,50
|
|
Количество погибших на всех
пожарах на 104 населения, чел/год
|
1,00
|
|
Ср. площадь пожара, , м2
|
45
|
|
Масса горючей нагрузки, ,т/ м2
|
0,040
|
|
Коэффициент полноты
горения,η
|
0,72
|
Примечание. На здания жилого сектора приходится (72,8-75)% учтенных
пожаров, 90,3% погибших при них людей и 58,2% прямого материального ущерба [4,
5]
. Расчет показателей состояния ЭБ в N-ском поселении в штатной ситуации
При штатной ситуации концентрация некоторых загрязняющих веществ (СО и C6H5OH) в
воздухе равна или меньше их ПДКсс.
Расчет значений индексов загрязнения атмосферы ИЗАi, и ИЗАm
Определим класс опасности вещества по ГН 2.1.6.1338-03
|
Загрязняющие вещества
|
NH3 Аммиак
|
Взв. в-ва
|
NO2 Диоксид азота
|
C6H5CH3 Толуол
|
CO Оксид углерода
|
C20H12 Бенз(а)пирен
|
|
Класс опасности
|
4
|
4
|
3
|
3
|
4
|
1
|
Затем рассчитываем отдельно значения ИЗАi для каждого загрязняющего
вещества, присутствующего в воздухе поселения и указанного в задании:
(1)
Значения Сi для различных классов опасности загрязняющих веществ берем из таблицы
Значение Сi для различных классов опасности загрязняющих веществ
|
Показатель
|
Степень опасности
загрязнителя по сравнению с оксидом серы
|
|
Класс опасности
загрязнителя
|
4
|
3
|
2
|
1
|
|
Сi
|
0,85
|
1,0
|
1,3
|
1,5
|
Затем выбираем вещества, имеющие наибольшие значения индексов и рассчитываем
суммарный индекс загрязнения атмосферы ИЗАm.(1-5)
(2)
Уровень загрязнения атмосферного воздуха определяем по
значениям ИЗАm в соответствии с четырьмя установленными категориями: низкой,
повышенной, высокой и очень высокой.
Оценка степени загрязнения атмосферы по ИЗА
|
Показатель
|
Категории загрязнения
воздуха
|
|
ИЗА m
|
Менее 5
|
от5 до 8
|
от 8 до 13
|
Более 13
|
|
Уровень загрязнения
|
низкий
|
повышенный
|
Высокий
|
Очень высокий
|
Заполним таблицу и проведем соответствующие вычисления.
Результаты расчета индексов загрязнения атмосферы ИЗАi и ИЗАm
|
Загрязняющие вещества
|
NH3 Аммиак
|
Взв. в-ва
|
NO2 Диоксид азота
|
C6H5CH3 Толуол
|
CO Оксид углерода
|
C20H12 Бенз(а)пирен
|
|
Класс опасности (ГН
2.1.6.1338-03)
|
4
|
4
|
3
|
3
|
4
|
1
|
|
ПДКсс, мг/м3(ГН
2.1.6.1338-03)
|
0,04
|
0,15
|
0,04
|
0,6
|
3
|
1Е-6
|
|
, мг/м3ср. за год)1,3
|
0,1
|
0,05
|
1,63
|
5,78
|
1,7Е-6
|
|
|
/ПДК,32,5
|
0,67
|
1,25
|
2,7
|
1,93
|
1,7
|
|
|
Сi
|
0,85
|
0,85
|
1,0
|
1,0
|
0,85
|
1,5
|
|
ИЗАi
|
19,28
|
0,71
|
1,25
|
2,7
|
1,75
|
2,22
|
|
Сумма 5-ти наибольших
значений ИЗАi
|
19,28+1,25+2,7+1,75+2,22=27,2
|
|
Уровень загрязнения
|
Очень высокий
|
Удельные показатели загрязнения атмосферы всеми источниками в
расчете на одного жителя N-ского поселения
(3)
Удельные показатели загрязнения атмосферы всеми источниками в расчете на
один га территории N-ского поселения
составят:
(4)
Экологический риск для населения N-ского поселения при загрязнении
атмосферы в штатной ситуации:
(5)
2. Расчет показателей состояния ЭБ N-ского поселения при пожарах
Число пожаров в жилом секторе N-ского поселения:
(7)
Масса сгоревшей нагрузки на одном пожаре в жилье
Учитывая, что вид и количество материалов в ее составе не отличается от
типового случая (табл.4,5 «Приложения»), масса сгоревшей нагрузки на одном
пожаре в жилье составит:
(8)
Количество материалов, сгоревших в жилье за год:
/год(9)
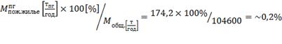
Годовая масса выбросов продуктов горения (табл. 5 «Приложения»):
тпг/год (10)
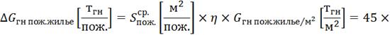
Если размер зоны, куда поступают продукты горения, ограничен
концентрацией 50 ПДК, и она в 11 раз больше очага самого пожара [6, 7, 11-13],
то вся площадь населенного пункта, загрязненная продуктами горения в течение
года:
= 11·1,21
= 13,31 га/год. (11)
где
(12)
Потенциальное число людей, которые в течение года могли оказаться на
территории, загрязненной продуктами горения:
=
(13)
Удельный выброс продуктов горения в расчете на одного
человека и на один га в зоне загрязнения при пожарах в жилом секторе:
(14)
(14а)
Примечание. Можно видеть, что удельные выбросы при пожарах (2,3тпг/чел
год и 13,09 тпг/га год) больше удельных выбросовот источников
загрязнения атмосферного воздуха в штатной ситуации (0,25 т/чел. год и 4,67
т/га год). Поэтому в зоне загрязнения продуктами горения возникает более
опасная экологическая ситуация, чем на всей остальной территории населенного
пункта.
Вклад пожаров в загрязнение атмосферы населенного пункта по отношению ко
всем источникам, % составит:
Вкладпож.загр.атм, [%]=
Полагая, что число погибших на пожарах на жилом секторе составляет 90%
жертв всех пожаров (табл. 2 «Задания», [5]), в жилье погибает:
Так как на пожарах в жилом секторе 80% людей гибнет от отравления
[6,7,8], число «экологических» жертв:
(17)
Полагая, что 80 % людей, находившихся в зоне загрязнения при пожарах в жилье
[6,7], заболевают от отравления, число «экологических» больных:
(18)
Экологический риск смерти и заболеваний населения в результате
загрязнения атмосферы при пожарах в жилье составит:
а) по отношению ко всем жителям населенного пункта
(19)
(20)
по отношению жителям в зоне загрязнения продуктами горения:
(19а)
(20а)
Примечание. По отношению к жителям, оказавшимся в зоне загрязнения
продуктами горения, потенциальные риски оказались больше (умереть - 0,29,
заболеть - 0,8),чем для жителей всего остального поселения как в случае пожаров
(соответственно умереть и заболеть: 7,32·10-5 и 1,98·10-4.,
так и при загрязнении атмосферного воздуха источниками выбросов в штатной
ситуации (умереть - 3,06·10-3, а заболеть - 17,6 10-2)
Эти результаты находятся в полном соответствии с тем, что в зоне
загрязнения продуктами горения возникает более опасная экологическая ситуация,
чем на всей остальной территории населенного пункта
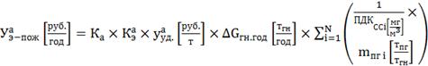
3. Расчет размеров эколого-экономических ущерба при выбросах
загрязняющих веществ в штатной ситуации и при пожарах
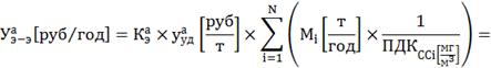
Эколого-экономический ущерб (Уаээ) от загрязнения
атмосферы различными источниками выбросов в штатных ситуациях [14]составляет:
=1,4·1,2·2,26·[520·NO2/0,04 + 12040·NH3/0,04 + 62000·CO/3 + 23000
взв.в-ва/0,15 + 70000·С6H5СH3/0,6+600·С20H12/0,000001] =
,8·600604665 ~2,2 млр. руб./год (21)
Примечание.
При выбросе загрязняющих веществ в атмосферный воздух городов
применяется с дополнительным коэффициентом 1,2 [14]
Размер
ущерба ниже фактического в силу того, что в табл. 1 «Задания» Mi
указаны не для всех ЗВ.
Эколого-экономического
ущерб (Уа*ээ) от загрязнения атмосферы выбросами
продуктов горения при пожарах[1,4], составляет:
=
= 25·1,4·1,2·2,26·268·1,3·5,8·103·(7,33·10-6+7,5·10-6
+1,83·10-6 +90·10-6 +
·10-6) = ~ 57,2 тыс. руб./год (22)
Справка.
При выбросе продуктов горения в атмосферный воздух городов
применяется с дополнительным коэффициентом 1,2 [14]
Примечание:
Эколого-экономического ущерб (Уа*ээ) от загрязнения
атмосферы выбросами продуктов горения при пожарах может быть рассчитан по
другой формуле:
=
=25·1,4·1,2·2,26·348,4·(0,042+0,043+0,011+0,522+1,114) = ~ 57,2тыс.
руб./год (23)
Примечание. Площадь пожара, масса горючей нагрузки, коэффициент полноты
горения, объем и масса удельных выбросов продуктов горения взяты из табл. 5
«Приложения», так как в табл. «Задания» указаны данные, отвечающие условиям
«типовых» пожаров.
Эколого-экономического ущерб (Уа*ээпож) от
загрязнения атмосферы выбросами продуктами горения по отношению к ущербу (Уаээ)
от загрязнения атмосферы выбросами различных источников в штатных ситуациях
составляет:
% (Уа*ээпож/ Уаээ) =100%·57,2
тыс./ 2,2 млр. руб./ ~ 2,6%
экологический безопасность выброс пожар
ЗАКЛЮЧЕНИЕ
Сравнительная оценка рисков и ущербов для населения,
обусловленных загрязнением ОС при штатных ситуациях и пожарах
Таблица 1
«Результаты расчетов». Влияние выбросов ЗВ в штатных ситуациях на ОС и
здоровье населения
|
Показатель
|
Все загрязняющие вещества
|
NH3 Аммиак
|
Взв. в-ва
|
NO2 Диоксид азота
|
C6H5CH3 Толуол
|
CO Оксид углерода
|
C20H12 Бенз(а)пирен
|
|
, тыс. т/год104,6
|
|
|
|
|
|
|
|
|
тыс. т/год105,16
|
|
|
|
|
|
|
|
|
тыс. т/год12,04230,527620,6
|
|
|
|
|
|
|
|
|
, т/чел год
|
|
0,028
|
0,054
|
|
0,016
|
0,14
|
|
|
, т/га год
|
|
0,53
|
1,03
|
0,023
|
0,31
|
2,76
|
0,026
|
|
ИЗАi
|
|
19,28
|
0,71
|
1,25
|
2,7
|
1,75
|
2,22
|
|
ИЗАm
|
27,2
|
|
|
|
, уровень риска средний, не приемлем для населения,
требует проведения плановых оздоровительных мер, приемлем для профессионалов
|
|
|
, уровень риска высокий, не приемлем для населения,
требует проведения плановых оздоровительных мер
|
|
|
2,2
|
Таблица 2
«Результаты расчетов». Влияние пожаров на здоровье населения и
экологическую обстановку населенного пункта
|
Номер зачетной книжки или
наименование населенного пункта и субъекта РФ
|
|
Показатель
|
Значение показателя
|
|
, отн. пож/год,
|
|
|
, пож./год268
|
|
|
, м245
|
|
|
, га/год1,21
|
|
|
, тгн/пож. жилье год348,4
|
|
|
тпг/год174,2
|
|
|
га/год13,31
|
|
|
Вклад пожаров в загр. атм.
%
|
0,2
|
тпг
/чел.2,3 (на каждого жителя города при пожарах)
|
0,25 (на каждого жителя
поселения в штатной ситуации)
|
|
тпг/га13,09
(в зоне загрязнения при пожарах)
|
4,67 (на территории
поселения в штатной ситуации)
|
|
|
7,32·10-5 (для всех жителей населенного
пункта без учета частоты пожаров). Низкий, условно приемлем, подлежит
постоянному контролю. 0,29 (для людей в зоне загрязнения).
Чрезвычайно высокий, (10-1), неприемлем для населения, требует
проведения плановых оздоровительных мер
|
|
|
1,98·10-4 (для всех жителей населенного
пункта без учета частоты пожаров). Низкий, условно приемлем, подлежит
постоянному контролю. 0,29 (для людей в зоне загрязнения).
Чрезвычайно высокий, (10-1), неприемлем для населения, требует
проведения плановых оздоровительных мер
|
|
|
, пож, тыс. руб./год57,2
|
|
Анализ данных таблиц 1 и 2 «Результаты расчетов»
- В наибольшей степени на здоровье населения при штатной ситуациии
пожарах могут влиять диоксины, так как они обладают в очень низких
концентрациях канцерогенной, тератогенной, мутагенной активностью, а также
оксид углерода, вследствие значительного количества, образующегося при горении.
-Уровень
экологического риска при загрязнении атмосферного воздуха в результате пожаров
непримлем для населения, тогда как при штатной хозяйственной деятельности и его
можно считать приемлемым.
- Рассчитанный
уровень экологического риска заболеваний и смерти населения при пожарах требует
поведения плановых мер по уменьшению числа пожаров (мониторинг ОС и состояния
здоровья населения, прогнозирование вероятности развития пожара, предсказания
уровней рисков, уменьшение числа экспонируемых лиц, способы быстрого
реагирования на возникновение опасной ситуации, др.)
Эколого-экономический ущерб от загрязнения атмосферного воздуха при
пожарах значительно меньше, чем ущерб от выбросов стационарных и передвижных)
объектов в штатной ситуации и составляет 2,6%. Этот факт можно объяснить
несовершенством нормативной базы, применяемой в расчетах, в частности, низким
значение Ка не отражающим опасность присутствия в атмосферном
воздухе ЗВ в концентрациях, на порядки превышающих ПДК.
ЛИТЕРАТУРА
Основная
1. Исаева Л.
К. Экология пожаров, техногенных и природных катастроф: Учеб.пособие //М.:
Академия ГПС МВД России. - 2001.
2. Исаева
Л.К. Основы экологической безопасности при техногенных катастрофах // М.:
Академия ГПС МЧС России. - 2003.
. Исаева
Л.К. Пожары и окружающая среда //М.: Издательский дом" Калан. - 2001. - С.
103-112.
. Брушлинский
Н.Н., Шебеко Ю.Н. Пожарные риски. Динамика, управление, прогнозирование // М.:
ФГУ ВНИИПО. - 2007. - 370 с.
Дополнительная
6. Исаева
Л.К. Экологические последствия пожаров: Автореф. дис. … докт. техн. наук. - М.:
АГПС МВД России, 2001. - 107 с.
. Сулименко
В.А. Экологические последствия пожаров в жилой застройке городов. Автореф. дис.
… канд. техн. наук. - М.: Академия ГПС МЧС России, 2004. - 24 с.
. Пожары и
пожарная безопасность: Ежегодный статистический сборник. - М.: ВНИИПО.
. Ежегодные
государственные доклады МЧС России «О состоянии защиты населения и территорий
РФ от чрезвычайных ситуаций природного и техногенного характера».
. Ежегодные
Государственные доклады о состоянии окружающей природной среды в субъектах РФ.
. Руководящий
документ РД 52.04.667-2005
.
Методические рекомендации по определению количества пострадавших при
чрезвычайных ситуациях техногенного характера // Акимов В.А., Быков А.А.,
Востоков В.Ю. и др. // Проблемы анализа риска. - 2007. - Т. 4. - №4. - С.
347-367.
. Иванников
В.П., Клюс П. П. Справочник руководителя тушения пожара. - М.: Стройиздат,
1987. - 288 с
. Андросов
А.С., Бегишев И.Р., Салеев Е.П. Теория горения и взрыва: Учебное пособие. - М.:
Академия ГПС МЧС России, 2007. - 240
. Абдурагимов
И.М., Андросов А.С., Исаева Л.К., Крылов Е.В. Процессы горения. - М.: ВИПТШ,
1984. - 268 с.
Нормативная
16.
Постановления Правительства РФ от 28 августа 1992 г. №632 «Определение платы и
ее предельных размеров за загрязнение окружающей природной среды, размещение
отходов, другие виды вредного воздействия».
.
Постановления Правительства РФ от 12 июня 2003 г. №344 «О нормативах платы за
выбросы в атмосферный воздух загрязняющих веществ стационарными и передвижными
источниками, сброса загрязняющих веществ в поверхностные и подземные водные
объекты, размещение отходов производства и потребления».
. Требования
к выполнению работ по оценке риска для здоровья населения, обусловленного
воздействием химических факторов среды обитания. - М.: Департамент
госсанэпиднадзора Минздрава России, 2003. - 22 с.
. ГН
2.1.6.1338-03 Предельно допустимые концентрации (ПДК) загрязняющих веществ в
атмосферном воздухе населенных мест.
. ГН
2.1.6.1339-03 Ориентировочные безопасные уровни воздействия (ОБУВ) загрязняющих
веществ в атмосферном воздухе населенных мест.
. ГН
2.1.6.1014-94 Предельно допустимые концентрации (ПДК) полихлорированных
дибензодиксинов и полихлорированных дибензофуранов в атмосферном воздухе
населенных мест (действующий)
. ГОСТ
12.1.007-76 Система стандартов безопасности труда. Вредные вещества.
Классификация и общие требования безопасности
. ГН 2.2.5.1313ГН
2.2.5.1313-03 Предельно допустимые концентрации вредных веществ в воздухе
рабочей зоны
ПРИЛОЖЕНИЯ
Таблица 1
Показатели класса опасности вредных загрязняющих
веществ [22]
|
Наименование показателей
|
Норма для класса опасности
|
|
1-го
|
2-го
|
3-го
|
4-го
|
|
Предельно допустимая
концентрация (ПДК) вредных веществ в воздухе рабочей зоны, мг/м3[23]
|
Менее 0,1
|
0,1-1,0
|
1,1-1,0
|
Более 1,0
|
|
Средняя смертельная доза
при введении в желудок, мг/кг
|
Менее 15
|
15-150
|
150-5000
|
Более 5000
|
|
Средняя доза при нанесении
на кожу, мг/кг
|
Менее 100
|
100-500
|
501-2500
|
Более 2500
|
|
Средняя смертельная
концентрация в воздухе, мг/м3
|
Менее 500
|
500-5000
|
5001-50000
|
Более 50000
|
|
Коэффициент возможности
ингаляторного отравления (КВИО)
|
Более 300
|
300-30
|
29-3
|
Менее 3
|
|
Зона острого действия
|
Менее 6,0
|
6,0-18,0
|
18,1-54,0
|
Более 54
|
|
Класс опасности вредных
загрязняющих веществ в атмосферном воздухе(ГН 2.2.5.1313-03)
|
|
Загрязнитель
|
Класс опасности
|
|
Аммиак
|
4
|
|
Бенз(а)пирен
|
1
|
|
Бензол
|
2
|
|
Взв. вещества
|
4
|
|
Диоксид азота
|
3
|
|
Диоксид серы
|
3
|
|
Оксид углерода
|
4
|
|
Сажа
|
3
|
|
Формальдегид
|
2
|
|
Толуол
|
3
|
Примечание
Пояснение терминов, встречающихся в стандарте (ГОСТ
12.1.007-76) дано в табл. 1 а.
Таблица 1 а
Термины, встречающиеся в ГОСТ 12.1.007-76.
|
Термин
|
Определение
|
|
Вредное вещество
|
Вещество, которое при
контакте с организмом человека в случае нарушения требований безопасности
может вызывать производственные травмы, профессиональные заболевания или
отклонения в состоянии здоровья, обнаруживаемые современными методами как в
процессе работы, так и в отдаленные сроки жизни настоящего и последующих
поколений
|
|
Рабочая зона
|
Пространство, ограниченное
по высоте 2 м над уровнем пола или площадки, на которых находятся места
постоянного (временного) пребывания работающих
|
|
Предельно допустимая
концентрация вредных веществ в воздухе рабочей зоны
|
Концентрации, которые при
ежедневной (кроме выходных дней) работе в течение 8 ч или при другой
продолжительности, но не более 41 ч в неделю, в течение всего рабочего стажа
не могут вызвать заболеваний или отклонений в состоянии здоровья, обнаруживаемых
современными методами исследований в процессе работы или в отдаленные сроки
жизни настоящего и последующих поколений
|
|
Средняя смертельная доза
при введении в желудок
|
Доза вещества, вызывающая
гибель 50 % животных при однократном введении в желудок
|
|
Средняя смертельная
концентрация в воздухе
|
Концентрация вещества,
вызывающая гибель 50 % животных при двух - четырехчасовом ингаляционном
воздействии
|
|
Средняя смертельная доза
при нанесении на кожу
|
Доза вещества, вызывающая
гибель 50 % животных при однократном нанесении на кожу
|
|
Коэффициент возможности
ингаляционного отравления
|
Отношение максимально
достижимой концентрации вредного вещества в воздухе при 20 °С к средней
смертельной концентрации вещества для мышей
|
|
Зона острого действия
|
Отношение средней смертельной
концентрации вредного вещества к минимальной (пороговой) концентрации,
вызывающей изменение биологических показателей на уровне целостного
организма, выходящих за пределы приспособительных физиологических реакций
|
|
Зона хронического действия
|
Отношение минимальной
(пороговой) концентрации, вызывающей изменение биологических показателей на
уровне целостного организма, выходящих за пределы приспособительных
физиологических реакций, к минимальной (пороговой) концентрации, вызывающей
вредное действие в хроническом эксперименте по 4 ч, пять раз в неделю на
протяжении не менее четырех месяцев
|
Таблица 2
Значение Сi для различных классов опасности загрязняющих веществ
|
Показатель
|
Степень опасности
загрязнителя по сравнению с оксидом серы
|
|
Класс опасности загрязнителя
|
4
|
3
|
2
|
1
|
|
Сi
|
0,85
|
1,0
|
1,3
|
1,5
|
Таблица 3
Оценка степени загрязнения атмосферы по ИЗА
|
Показатель
|
Категории загрязнения
воздуха
|
|
ИЗА m
|
Менее 5
|
от5 до 8
|
от 8 до 13
|
Более 13
|
|
Уровень загрязнения
|
низкий
|
повышенный
|
Высокий
|
Очень высокий
|
Таблица 4
Состав типовой горючей нагрузки жилья и объем образующихся продуктов
горения* [6,7, 13-15]
|
Вид j-го материала в
составе типовой горючей нагрузки*
|
Объем продуктов горения, , м3/т·10-3Доля материала в составе типовой нагрузки,
μjМасса j-го материала в составе типовой нагрузки, , т/м2·10-3
|
|
|
|
Материал
|
Вся нагрузка
|
|
|
|
Древесина
|
4,50
|
|
0,150
|
6,0
|
|
ДСП, ДВП
|
4,50
|
|
0,150
|
6,0
|
|
Фанера
|
4,50
|
|
0,0125
|
0,5
|
|
Картон
|
4,20
|
|
0,0125
|
0,5
|
|
Бумага
|
4,50
|
|
0,125
|
5,0
|
|
Полипропилен (ПП)
|
12,20
|
|
0,0125
|
0,5
|
|
Полиэтилен (ПЭ)
|
12,20
|
|
0,0125
|
0,5
|
|
Полистирол (ПС)
|
10,60
|
|
0,025
|
1,0
|
|
Пенополиуретан (ППУ)
|
6,55
|
|
0,00
|
2,0
|
|
Полиакрилонитрил (ПАН)
|
8,07
|
|
0,025
|
1,0
|
|
Поливинилхлорид (ПВХ)
|
4,50
|
|
0,200
|
8,0
|
|
Мочевиноформальдегид (МФ),
полифенолформальдегид (ПФФ)
|
5,50¸8,30
|
|
0,050
|
2,0
|
|
Ткани: шелк шерсть хлопок
нейлон
|
1,46¸5,06 6,09 4,64 8,52
|
|
- 0,025 0,025 0,05 0,075
|
1,0 1,0 2,0 3,0
|
|
Всего с учетом доли
материала в горючей нагрузке
|
-
|
7,8
|
1,0
|
40
|
|
Всего с учетом коэффициента
полноты горения и состава горючей нагрузки (η = 0,75)
|
-
|
5,80
|
0,75
|
30*)
|
*) При условии, что вид и количество материалов горючая нагрузка отличны
от типовой (табл. 4,5 «Приложения»), удельную массу всех сгоревших материалов
на пожаре в жилье следует рассчитать по образцу табл. 4 «Приложения»:
,
где
- j, μ и η соответственно вид, доля материала в составе нагрузки и коэффициент
полноты горения
Таблица 5
Среднестатистические данные о пожарах в жилых зданиях в РФ [6]
|
Показатели
|
По всем пожарам РФ
|
По городам
|
По пожарам в сельской
местности
|
|
Площадь пожара (S), м2
|
26
|
10 (Москва)
|
20 (др. города)
|
35
|
|
Среднее время выброса
продуктов горения на пожаре, мин
|
20
|
30
|
50
|
|
Уд.масса типовой горючей
нагрузки(Gгн), кг/м2
|
40
|
|
Коэффициент полноты горения
η
|
0,75
|
|
Уд.масса сгоревшей типовой
нагрузки (ΔGгн), кг/м2 при η=0,75*
|
30
|
|
Объем продуктов горения ( ), м3/тгн при η=0,75*5,8·103
|
|
|
Суммарная концентрация
продуктов горения (без СО2), мг/м3
|
86·103
|
|
Удельная масса выброса
продуктов горения:
|
По всем пожарам РФ
|
Москва
|
Др. города
|
По пожарам в сельской
местности
|
|
т пг/т гн
|
0,5
|
0,5
|
0,5
|
0,5
|
|
мг/т гн
|
500·106
|
500·106
|
500·106
|
500·106
|
|
т пг/м2
|
0,015
|
0,015
|
0,015
|
0,015
|
|
тпг/пож.
|
0,39
|
0,15
|
0,30
|
0,52
|
Примечание
Обращайте внимание на значения площади пожара, удельной горючей нагрузки
и коэффициента полноты горения, которые используются в табл. 5 и в конкретных
расчетах.
Если площади пожара, массы горючей нагрузки и коэффициента полноты
горения, приведенные в табл. 5, отличаются от данных, приведенных в табл. 2 «Задания»,
то объем продуктов и удельная масса выброса продуктов горения должны быть
пересчитаны пропорционально фактическим значениям площади пожара, состава
горючей нагрузки и коэффициента полноты горения.
Таблица 6
Состав продуктов горения, образующихся при сгорании типовой горючей
нагрузки в жилье [3,6, 19-21]
Загрязнитель в составе продуктов горения ПДКссi,
мг/м3 (ГН 2.1.6.1338-03) Концентрация (фактическая)
, мг/м3Объем продуктов горения,
, м3/тгнУдельная масса i-го продукта горения,
,
|
( ) тпг/тгн ,
тпг/тгн
|
|
|
|
|
|
Диоксид углерода (CО2)
|
916(
|
1,6·105
|
5,8 103 (приη = 0,75)
|
0,93
|
0,001
|
|
Оксид углерода (СО)
|
3
|
22·103
|
|
0,13
|
0,042
|
|
Диоксид азота (NO2)
|
0,04
|
0,3·103
|
|
0,0017
|
0,043
|
|
Оксиды серы (в пересчете на
SO2)
|
0,5
|
1,0·103
|
|
0,0058
|
0,0116
|
|
Хлористый водород (HCl)
|
0,2
|
14,0·103
|
|
0,081
|
0,406
|
|
Фосген(COCl2)
|
0,5 (рз) 0,003 (ОБУВ)
|
1,58·101
|
|
|
|
|
Цианистый водород (HCN)
|
0,01
|
0,5·103
|
|
0,0029
|
0,290
|
|
Метанол (СН3ОН)
|
0,5
|
0,7·103
|
|
0,004
|
0,008
|
|
Уксусная кислота (СН3СООН)
|
0,06
|
0,3·103
|
|
0,0017
|
0,029
|
|
Ацетон ((СН3)2СО)
|
0,35
|
1·103
|
|
0,0058
|
0,0166
|
|
Формальдегид (НСНО)
|
0,003
|
0,1·103
|
|
0,00058
|
0,193
|
|
Ацетальдегид (СН2СНСНО)
|
0,03
|
0,3·103
|
|
0,0017
|
0,058
|
|
Этанол (C2H5OH)
|
5
|
0,1·103
|
|
0,0006
|
0,0001
|
|
Нафталин (C10H8)
|
0,003
|
1,7·103
|
|
0,01
|
3,287
|
|
Уксусный альдегид (CH3CHO)
|
0,01
|
3,0·103
|
|
0,017
|
1,74
|
|
Бензол (C6H6)
|
0,1
|
3,3·103
|
|
0,019
|
0,19
|
|
Толуол (C6H5-CH3)
|
0,6
|
1,1·103
|
|
0,0064
|
0,011
|
|
Стирол (C6H5CHCH2)
|
0,002
|
1,0·103
|
|
0,0058
|
2,9
|
0,03
|
5,6·103
|
|
0,0325
|
1,08
|
|
Ацетонитрил (CH3CN)
|
0,03
|
0,04·103
|
|
0,0002
|
0,0077
|
|
ТДИ (С6Н4(NCO)2)
|
0,02
|
0,016·103
|
|
0,0001
|
0,0046
|
|
ВинилхлоридСН2СНCl
|
0,005 (ОБУВ)
|
0,026·103
|
|
0,00015
|
0,0302
|
|
Бенз(а)пирен, (БаП)
(С20Н12)
|
1E-6
|
9,0·10-2
|
|
0,0000005
|
0,522
|
|
Диоксины (по 2,3,7,8-ТХДД
(С12Н14Сl4О2)
|
0,5 пг/м3**
|
9·10-3
|
|
5,22E-08
|
0,0522
|
|
Дибензофураны (по
2,3,7,8-ТХДФ)
|
0,5 пг/м3
|
0,5·10-3
|
|
2,9E-09
|
5,8
|
|
Кадмий (Cd)
|
0,001
|
13,5·10-3
|
|
7,83E-08
|
0,00008
|
|
Ртуть (Hg)
|
0,003
|
8,0
|
|
0,00005
|
0,0155
|
|
Сажа
|
0,05
|
9,6·103
|
|
0,0557
|
1,114
|
|
Всего
|
-
|
225690
|
-
|
1,31
|
17,86
|
* Согласно ГН 2.2.5.2100-06 "Предельно допустимые концентрации (ПДК)
вредных веществ в воздухе рабочей зоны" и Дополнению №2 к ГН
2.2.5.1313-03, ПДК углерода диоксида составляет: максимальная разовая - 27000
мг/м3, среднесменная - 9000 мг/м3.** 1пг=10-12
г.
Таблица 7
Классификация уровней риска («Санитарно-эпидемиологические правила и
нормативы» СанПиН Минздрава России, Москва, 2003[18])*
|
Уровень риска
|
Индивидуальный пожизненный
риск
|
|
Чрезвычайно высокий,
неприемлем для населения, требует проведения плановых оздоровительных мер
|
10-1
|
|
Высокий, неприемлем для
населения, требует проведения плановых оздоровительных мер
|
10-1-10-3
|
|
Средний, неприемлем для
населения требует проведения плановых оздоровительных мер; приемлем для
профессионалов
|
10-3-10-4
|
|
Низкий, условно приемлем,
допустим, подлежит постоянному контролю
|
10-4-10-6
|
|
Минимальный, пренебрежимо
малый, не требуют дополнительных мероприятий по его снижению
|
менее 10-6
|
Таблица 8
Коэффициент
экологической ситуации и экологической значимости состояния атмосферного
воздуха (Кэа) [16,17]
|
Регион РФ
|
Наименование республик,
областей, краев
|
|
|
Северный
|
Респ. Карелия, Коми;
Архангельская, Вологодская, Мурманская обл., Ненецкий АО
|
1,4
|
|
Северо-Западный
|
Ленинградская,
Новгородская, Псковская, Калининградская обл., г. СПб
|
1,5
|
|
Центральный
|
Брянская, Белгородская,
Владимирская, Воронежская, Ивановская, Калужская, Костромская, Курская,
Липецкая, Московская, Нижегородская, Орловская, Рязанская, Смоленская,
Тамбовская, Тверская, Тульская, Ярославская обл.
|
1,9
|
|
Москва и города Московской
обл.*
|
2,28
|
|
Волго-Вятский
|
Нижегородская, Кировская
обл.; Респ. Марий Эл, Мордовия, Чувашская Республика
|
1,1
|
|
Центрально-Черноземный
|
Белгородская, Воронежская,
Курская, Липецкая, Тамбовская обл.
|
1,5
|
|
Поволжский
|
Ульяновская, Самарская,
Саратовская, Волгоградская, Астраханская, Пензенская обл.; Респ. Татарстан,
Калмыкия,
|
1,9
|
|
Северо-Кавказский
|
Краснодарский край,
Ставропольский край, Астраханская, Волгоградская, Ростовская обл.; Респ.
Адыгея, Дагестан, Кабардино-Балкария, Карачаево-Черкессия, Северная
Осетия-Алания; Ингушская, Чеченская
|
1,6
|
|
Уральский
|
Свердловская, Томская,
Челябинская, Тюменская, Ханты-Мансийский, Ямало-Ненецкий АО
|
2,0
|
|
Западно-Сибирский
|
Кемеровская, Курганская
Новосибирская, Омская, Томская, обл. Алтайский край, респ. Алтай
|
1,2
|
|
Восточно-Сибирский
|
Р. Бурятия, Тыва, Хакасия,
Иркутская, Читинская обл., Красноярский край, Бурятский АО, Таймырский АО,
|
1,4
|
|
Дальневосточный
|
Р. Саха (Якутия),
Приморский, Хабаровский край, Амурская, Камчатская, Магаданская, Сахалинская
обл. Еврейская АО, Корякский, Чукотский АО
|
1,0
|
Примечание
При
выбросе загрязняющих веществ в атмосферный воздух городов
применяется с дополнительным коэффициентом 1,2.
Таблица 8а
Приложение. Коэффициенты, учитывающие экологические факторы (состояние
атмосферного воздуха и почвы), по территориям экономических районов Российской
Федерации[17] (Приложение №2 к Постановлению Правительства Российской Федерации
от 12 июня 2003 г. №344 в ред. Постановлений Правительства РФ от 01.07.2005
№410, от 08.01.2009 №7)]
|
Экономические районы
Российской Федерации
|
Значение коэффициента К
|
|
Ка -для атмосферного
воздуха (*)
|
Кп-для почвы (**)
|
|
Северный
|
1,4
|
-
|
|
Северо-Западный
|
1,5
|
1,3
|
|
Центральный
|
1,9
|
1,6
|
|
Волго- Вятский
|
1,1
|
1,5
|
|
Центрально-Черноземный
|
1,5
|
2
|
|
Поволжский
|
1,9
|
1,9
|
|
Северо-Кавказский
|
1,6
|
1,9
|
|
Уральский
|
2
|
1,7
|
|
Западно-Сибирский
|
1,2
|
1,2
|
|
Восточно-Сибирский
|
1,4
|
1,1
|
|
Дальневосточный
|
1
|
1,1
|
|
Калининградская обл
|
1,5
|
1,3
|
(*) Применяется с дополнительным коэффициентом 1,2 при выбросе
загрязняющих веществ в атмосферный воздух городов (письмо Ростехнадзора от
31.08.2006 №04-10/609).
(**) Применяется при определении платы за размещение отходов производства
и потребления.
Таблица 9
Приложение. Удельный экономический ущерб от загрязнения ОС (Ууд.,
руб./т) с учетом коэффициентов индексации цен *
|
Компонент природной среды
|
Годы
|
|
2002
|
2003
|
2004
|
2005
|
2006
|
2007
|
2008
|
2009
|
2010
|
2011
|
2012
|
2013
|
2014
|
|
Удельный экономический
ущерб, руб./т
|
|
Атм. воздух
|
1,83
|
2,05
|
2,26
|
2,46
|
2,67
|
2,87
|
3,03
|
3,32
|
3,67
|
3,96
|
4,20
|
4,51
|
4,65
|
|
Водоемы
|
1,83
|
275,46
|
303,01
|
330,55
|
358,10
|
385,64
|
407,68
|
446,25
|
493,07
|
531,64
|
564,69
|
606,01
|
624,74
|
|
Почва:
|
Удельные затраты на
размещение отходов, руб./т
|
|
Класс Токсичности отходов
|
|
I II III IV
|
1553
|
1739,2
|
1913,1
|
2087,0
|
2261,0
|
2434,9
|
2574,02
|
2817,50
|
3113,17
|
3356,66
|
3565,36
|
3826,24
|
3944,4
|
|
666
|
745,4
|
819,9
|
894,5
|
969,0
|
1043,6
|
1103,19
|
1207,55
|
1334,27
|
1438,66
|
1528,07
|
1639,88
|
2609,6
|
|
444
|
497,0
|
546,7
|
596,4
|
646,1
|
695,8
|
735,56
|
805,14
|
889,63
|
959,21
|
1018,85
|
1093,40
|
1127,19
|
|
222
|
248,4
|
273,2
|
298,1
|
322,9
|
347,8
|
367,63
|
402,41
|
444,64
|
479,41
|
509,22
|
546,48
|
563,41
|
|
V (перераб.)
|
|
15,00
|
16,50
|
18,00
|
19,50
|
21
|
22,2
|
24,3
|
26,85
|
22,95
|
30,75
|
33,00
|
34,02
|
|
V (добыв.)
|
|
0,40
|
0,44
|
0,48
|
0,52
|
0,56
|
0,59
|
0,65
|
0,72
|
0,77
|
0,82
|
0,88
|
0,91
|
|
V (прочие)
|
|
8,00
|
8,80
|
9,60
|
10,40
|
11,2
|
11,84
|
12,96
|
14,32
|
15,44
|
16,40
|
17,60
|
18,14
|
|
|
|
|
|
|
|
|
|
|
|
|
|
|
|
*Примечание
Нормативы платы за негативное воздействие на окружающую среду, установленные
в 2003 году, применяются в 2011 году с коэффициентом индексации 1,93, а
нормативы, установленные в 2005 году, - с коэффициентом индексации 1,58 (ст. 3
Федеральный закон от 13.12.2010 года №357-ФЗ «О Федеральном бюджете на 2011 год
и на плановый период 2012 и 2013 годов»)
Нормативы платы за негативное воздействие на окружающую среду,
установленные Правительством Российской Федерации в 2003 году и в 2005 году,
применяются в 2012 году с коэффициентом соответственно 2,05 и 1,67.
(Федеральный закон РФ от 30 ноября 2011 г. №371-ФЗ "О федеральном бюджете
на 2012 год и на плановый период 2013 и 2014 годов")
Нормативы платы за негативное воздействие на окружающую среду году,
установленные Правительством Российской Федерации в 2003 году и в 2005 году,
применяются в 2013 году с коэффициентом соответственно 2,20 и 1,79. Федеральный
закон Российской Федерации от 3 декабря 2012 г. №216-ФЗ "О федеральном
бюджете на 2013 год и на плановый период 2014 и 2015 годов"
Нормативы платы за негативное воздействие на окружающую среду,
установленные Правительством Российской Федерации в 2003 году и в 2005 году,
применяются в 2014 году с коэффициентом соответственно 2,33 и 1,89. Федеральный
закон от 02.12.2013 №349-ФЗ " О федеральном бюджете на 2014 и на плановый
период 2015 и 2016 годов. принят ГД 22.11.2013