Внутритрубная ультразвуковая диагностика газонефтепроводов
Министерство
образования и науки Российской Федерации
Федеральное
государственное бюджетное образовательное учреждение
высшего
профессионального образования
Национальный
минерально-сырьевой университет «Горный»
Курсовая
работа
По
дисциплине: Диагностика газонефтепроводов и газонефтехранилищ
Тема:
Внутритрубная ультразвуковая диагностика газонефтепроводов
Автор:
Модин А.Г.
Санкт-Петербург
Содержание
Введение
. Диагностирование газонефтепроводов
. Внутритрубная диагностика
газонефтепроводов
. Ультразвуковой неразрушающий
контроль
.1 Акустические колебания и волны
.2 Затухание ультразвука
.3 Способы получения и ввода
ультразвуковых колебаний. Конструкция пьезопреобразователей
.4 Аппаратура, методы и технология
ультразвукового контроля
. Ультразвуковой внутритрубный
дефектоскоп для прямого высокоточного обнаружения трещин на ранней стадии
.1 Принцип действия
.2 Системы дефектоскопа
.3 Технические характеристики
ультразвукового дефектоскопа CD
. Ультразвуковой внутритрубный
дефектоскоп для прямого высокоточного измерения толщины стенки трубы
.1 Принцип действия
.2 Системы дефектоскопа
.3 Подтверждение полученных данных
.4 Технические характеристики
Ультразвукового Дефектоскопа (WM)
. Ультразвуковой внутритрубный
комбинированный (WM&CD) дефектоскоп для прямого высокоточного измерения
толщины стенки трубы и обнаружения трещин на ранней стадии
.1 Принцип действия
.2 Системы дефектоскопа
.3 Подтверждение полученных данных
.4 Технические характеристики
ультразвукового комбинированного дефектоскопа (WM &CD)
.5 Анализ данных
Заключение
Список литературы
Введение
Трубопроводный транспорт нефти и газа - одно из
важнейших звеньев энергетической отрасли России и мировой энергетики в целом.
Экспорт углеводородов ежегодно приносит нашей стране солидную долю
государственного бюджета и обеспечивает энергетическую безопасность европейских
стран. Ни для кого не является секретом, что экономика России сильно зависима
от доходов от реализации углеводородов, и в ближайшем будущем экономический
рост нашей страны будет зависеть от них. Это и позволяет провести прямую
зависимость между безопасностью трубопроводной транспортировки и экономической
стабильностью.
Одной из важнейших проблем современного
трубопроводного транспорта является проблема надежности трубопроводных систем.
Как известно, надежность трубопроводных систем
напрямую связана с возникновением большего количества дефектов, аварий,
инцидентов и т.д. Поэтому следует уделять повышенное внимание надежности
трубопроводных систем и их износу, который так же играет огромную роль в
повышении надежности и эффективности трубопроводов.
Существует множество методик, которые позволяют
рассчитать аварийность участка трубопровода в зависимости от хрупкого
разрушения, коррозионной обстановки, износа и прочих факторов.
Обеспечение экологической безопасности
производственных объектов, связанных с транспортировкой и добычей газа,
является приоритетной на уровне государственной политики. Это связано не только
с тем, что Россия подписала Декларацию по окружающей среде на Всемирном форуме
в Рио-де-Жанейро (Бразилия, 1992 г.), но и в большей степени с тем, что
средства, выделяемые на ликвидацию последствий чрезвычайных ситуаций, особенно
техногенного характера, значительно превосходят затраты на обеспечение
надежности производственного объекта. Основные источники загрязнения приземного
слоя атмосферы при трубопроводной транспортировке нефти и газа - аварийные
выбросы газа при отказах линейной части трубопроводов, а также продукты их
сгорания.
Объекты трубопроводного транспорта неочищенного
газа относятся к категории опасных, отказ которых ведет, как правило, к
значительным материальным и экологическим потерям. Одним из основных критериев
экологической безопасности газопроводов, транспортирующих сероводородсодержащие
среды, является их надежность. С одной стороны, для эксплуатирующей
трубопроводной организации важно обеспечить их эксплуатационную надежность,
учесть финансовые затраты для оценки технического состояния объектов и провести
другие мероприятия, направленные на поддержание надежности. С другой стороны,
учитывая близость населенных пунктов с трассами трубопроводов, а также их
пересечения с основными водными преградами, на первый план ставится задача с
повышенными требованиями обеспечения экологической безопасности.
Не следует говорить, что надежность
трубопроводных систем напрямую связанна с возникновением большего количества
дефектов, аварий, инцидентов и т.д. Поэтому следует уделять повышенное внимание
надежности трубопроводных систем и их износу, который играет огромную роль в
повышении надежности и эффективности трубопроводов.
По мере старения трубопроводов возрастает
опасность аварийной ситуации, разрывов труб и возникающих при этом разливов
углеводородных продуктов и загрязнения водоемов, что придает особую важность вопросам
обеспечения надежности и экологической безопасности процессу их эксплуатации.
Существует несколько видов диагностики
трубопроводов, но наиболее эффективной из них является внутритрубная, которая
основана на получении информации в виде электрических, световых, звуковых и
других сигналов о качестве проверяемых объектов при взаимодействии их с
физическими полями или веществами. Она же в свою очередь подразделяется на
ультразвуковое, магнитное, акустическое, капиллярное, оптическое, радиационное,
токовихревое сканирование и другое.
На основе информации, получаемой внутритрубными
инспекционными снарядами, появилась возможность проводить оценку технического
состояния трубопровода, определять безопасные технологические режимы,
устанавливать периодичность ремонта участков трубопровода, а, следовательно -
планировать работы по реконструкции [3].
1. Диагностирование газонефтепроводов
Техническое диагностирование трубопровода -
определение технического состояния трубопровода, поиск мест и определение
причин отказов (неисправностей), а также прогнозирование его технического
состояния.
Техническое диагностирование МТ (линейного
участка, резервуаров, оборудования) выполняется с целью определения его
фактического технического состояния и возможности дальнейшей эксплуатации.
Приспособленность трубопровода к
диагностированию - свойство трубопровода, характеризующее его пригодность к
проведению диагностирования заданными методами и средствами технического
диагностирования.
Система технического диагностирования (СТД) - совокупность
технических средств, трубопровода и обслуживающего персонала, необходимая для
проведения диагностирования по правилам, установленным в технической
документации.
Основным назначением технических средств
диагностирования является обеспечение выполнения задач:
определение технического состояния объектов МТ
(линейного участка, резервуара, оборудования) с установленной достоверностью и
точностью диагностирования;
поиск дефектов и повреждений;
сбор данных для прогнозирования
работоспособности и определения остаточного ресурса;
контроль (при необходимости) качества работ,
выполненных при капитальном ремонте и реконструкции МТ.
Для диагностирования линейного участка МТ могут
применяться следующие средства диагностирования:
внутритрубные средства;
внешние;
встроенные - с системой датчиков и КИП,
выполненных в общей конструкции трубопровода.
Средства диагностирования линейного участка МТ
(резервуара, оборудования) могут быть в виде:
переносной внутритрубной технической системы;
переносного комплекта приборов и устройств;
передвижной установки, в том числе в составе
диагностической лаборатории;
комплекса оборудования и приборов (встроенных)
стационарного поста вдоль трассы нефтепродуктопровода.
Система и средства диагностирования МТ должны
удовлетворять следующим требованиям:
компактность (для передвижения при небольших
давлениях и преодоления крутых поворотов);
способность выявлять опасные дефекты, продольные
и поперечные трещины в сварных соединениях, трещины в теле металла и коррозию
металла;
достаточная производительность диагностирования;
На каждый газонефтепровод на основании
результатов анализа технической документации разрабатывается индивидуальная
программа диагностирования, которая включает:
карту-схему газонефтепровода с указанием
потенциально опасных участков и отдельных элементов, которые в силу
особенностей их конструкции или условий эксплуатации наиболее подвержены
появлению повреждений и отказов;
план обследования, включающий порядок и
последовательность проведения диагностических работ, методы и аппаратуру,
использующиеся в процессе диагностирования;
меры безопасности при проведении
диагностирования;
методы обработки результатов диагностирования и
порядок их представления.
До начала диагностирования МТ необходимо:
выполнить технико-экономическое обоснование
выбора вида и назначения системы диагностирования,
установить номенклатуру и значения
диагностических параметров и их характеристик (номинальные, допускаемые и
предельные значения);
обеспечить приспособленность
(контролепригодность) обследуемого объекта МТ к техническому диагностированию;
учесть возможность последовательного
обследования участков одинакового диаметра (с целью упрощения организации работ
по обследованию);
выполнить распределение объемов работ по годам и
соответственно сбалансированное распределение средств на обследования;
выполнить диагностическое обеспечение МТ.
После обработки результатов первого этапа
диагностического обследования участка МТ по установленным критериям оценки его
работоспособности принимается решение либо о необходимости его восстановления
согласно требованиям, либо о проведении дальнейшего (углубленного)
обследования, в т.ч. со вскрытием трубопровода [2].
Периодичность диагностики в
соответствии с РД 39-132-94 устанавливают в зависимости от местных условий,
сложности рельефа и условий пролегания трассы, а также экономической
целесообразности и приурочивается к ревизии участков промысловых трубопроводов,
но проводят ее не реже одного раза:
в год для трубопроводов
категории I;
в 2 года для трубопроводов
категории II;
в 4 года для трубопроводов
категории III;
в 8 лет для трубопроводов
категории IV.
Срок последующего контроля уточняют
в зависимости от результатов предыдущего контроля.
Индивидуальная программа диагностирования может
также включать в себя: обследование (при наличии технико-экономической
целесообразности) линейной части газонефтепроводов приборами внутритрубной диагностики;
тепловизионный контроль отдельных элементов; акустико-эмиссионный контроль
потенциально опасных участков газонефтепровода (переходы через железные и
автомобильные дороги, овраги, водные преграды); приборный контроль параметров
вибрации виброопасных участков трубопроводов и др. Для магистральных
газонефтепроводов, имеющих большую протяженность, наиболее технологичным
является проведение диагностики с помощью внутритрубных инспекционных приборов
(ВИП) [3].
2. Внутритрубная диагностика газонефтепроводов
Внутритрубная дефектоскопия зарекомендовала себя
как наиболее информативный метод и по существу является основным при
диагностике линейной части газопроводов. Многолетний опыт работы по
внутритрубной дефектоскопии на трубопроводах позволил сформулировать основные
критерии выбора метода внутритрубной инспекции для различных трубопроводов.
Решение об обследовании промысловых
трубопроводов приборами внутритрубной дефектоскопии принимает заказчик.
Обследование следует проводить исходя из технико-экономической целесообразности
и в соответствии с требованиями действующих нормативно-технических документов.
Внутритрубная инспекция проводится после
завершения подготовки участка магистрального нефтепровода к диагностированию
предприятием, эксплуатирующим участок нефтепровода и направления предприятию,
выполняющему диагностические работы, документации, подтверждающей эту
готовность. Ответственными за проведение диагностических работ на участке
магистрального нефтепровода являются главные инженеры предприятий, эксплуатирующих
участки нефтепроводов. Готовность к диагностированию обеспечивается проверкой
исправности камеры пуска-приема и запорной арматуры, проведением очистки
внутренней полости трубопровода, созданием необходимых запасов нефти для
обеспечения объемов перекачки в соответствии с режимами. При использовании
запасов нефти из резервуаров должна быть предотвращена возможность попадания в
транспортируемую нефть осадка из резервуара.
Необходимая полнота контроля участка
магистрального нефтепровода достигается на основе реализации 4-х уровневой
интегрированной системы диагностирования, предусматривающая определение
параметров следующих дефектов и особенностей трубопровода, выходящих за пределы
допустимых значений, оговоренных в утвержденных методиках определения опасности
дефектов:
·
дефектов
геометрии и особенностей трубопровода (вмятин, гофр, овальностей поперечного
сечения, выступающих внутрь трубы элементов арматуры трубопровода), ведущих к
уменьшению его проходного сечения;
·
дефектов
типа потери металла, уменьшающих толщину стенки трубопровода (коррозионных язв,
царапин, вырывов металла и т.п.), а также расслоений, включений в стенке трубы;
·
поперечных
трещин и трещиноподобных дефектов в кольцевых сварных швах;
·
продольных
трещин в теле трубы, продольных трещин и трещиноподобных дефектов в продольных
сварных швах.
Работы по внутритрубной диагностике в общем
случае включают в себя:
пропуск скребка-калибра, снабженного
калибровочными дисками, укомплектованными тонкими мерными пластинами, для
определения минимального проходного сечения трубопровода перед пропуском
профилемера. Диаметр калибровочных дисков должен составлять 70% и 85% от
наружного диаметра трубопровода. По состоянию пластин после прогона (наличию
или отсутствия их изгиба) производится предварительное определение минимального
проходного сечения участка нефтепровода. Минимальное проходное сечение линейной
части нефтепровода, безопасное для пропуска стандартного профилемера,
составляет 70% от наружного диаметра трубопровода;
пропуск шаблона-профилемера для участков
первичного обследования, имеющих подкладные кольца, с целью предупреждения
застревания и повреждения профилемера деформированными подкладными кольцами;
пропуск профилемера, определяющего дефекты
геометрии: вмятины, гофры, а также наличие особенностей: сварных швов,
подкладных колец и других выступающих внутрь элементов арматуры трубопровода.
При первом пропуске профилемера маркерные передатчики устанавливаем с
интервалом 5-7 км. При втором и последующих пропусках профилемера установка маркеров
производится только в тех точках, где по результатам первого пропуска
обнаружены сужения, уменьшающие проходное сечение трубопровода от
согласованного максимального уровня наружного диаметра, представляемого в
таблицах технического отчета по результатам прогона профилемера. По результатам
профилеметрии предприятие, эксплуатирующее участки нефтепровода, устраняет
сужения, уменьшающие проходное сечение на величину менее 85% от наружного
диаметра трубопровода с целью предупреждения застревания и повреждения
дефектоскопа;
пропуск очистных скребков для очистки внутренней
поверхности трубопровода от парафиносмолистых отложений, глиняных тампонов, а
также удаления посторонних предметов;
пропуск дефектоскопа. Установка маркеров при
первом пропуске снарядов-дефектоскопов осуществляется с интервалом 1,5-2 км.
При втором пропуске снарядов-дефектоскопов установка маркеров производится в
тех точках, где имелись пропущенные маркерные пункты при первом пропуске и где
по данным первого пропуска снаряда-дефектоскопа имеют место потери информации.
Перед запуском инспекционного снаряда персонал предприятия, выполняющего
диагностические работы, обязан провести проверку исправности внутритрубного
снаряда с составлением акта установленной формы[1].
3. Ультразвуковой неразрушающий контроль
Ультразвуковой контроль (УЗК) относится к
акустическому виду неразрушающего контроля. Все многообразие акустических
методов неразрушающего контроля основано на взаимодействии упругих сред
(жидких, твердых и газообразных) с акустическими колебаниями и волнами. Они
отличаются способами возбуждения колебаний и их регистрацией.
Из числа акустических методов чаще всего
применяют ультразвуковую дефектоскопию (УЗД), ультразвуковую толщинометрию
(УЗТ) и акустико-эмиссионный неразрушающий контроль. На УЗД в мировой практике
приходится в настоящее время 60 % всего объема неразрушающего контроля.
В нефтегазовой отрасли УЗД применяют, например,
при контроле корпусов вертлюгов, осей талевых блоков, замков бурильных труб,
сварных соединений резервуаров и трубопроводов и т.д. УЗТ является основным
методом определения остаточной толщины стенок нефтегазового оборудования.
Акустико-эмиссионный контроль широко применяют для интегральной оценки
технического состояния и оценки степени опасности, имеющихся дефектов
различного оборудования, и в первую очередь емкостного: сосудов, трубопроводов
и резервуаров различного назначения.
Первый патент (№ 11371) на метод неразрушающего
контроля с использованием акустических ультразвуковых волн с приоритетом от 2
февраля 1928 г. выдан профессору Ленинградского электротехнического института
Сергею Яковлевичу Соколову. Именно от этой даты мировая общественность ведет
отсчет начала применения УЗД. По сравнению с другими методами неразрушающего
контроля УЗД позволяет выявлять дефекты любой формы независимо от их глубины,
обладает высокой производительностью, низкой стоимостью, возможностью контроля
изделия при одностороннем доступе. Недостатками являются трудности контроля
крупнозернистых материалов, а также тонкостенных изделий с толщиной 4 мм и
меньше. Контроль изделий сложной формы требует разработки специальных методик
или технологических инструкций [7].
.1 Акустические колебания и волны
Акустические колебания представляют собой
механические колебания частиц упругой среды. Процессы распространения этих
колебаний в среде называют акустическими волнами. Линию, указывающую
направление распространения волны, называют лучом, а границу раздела
колеблющихся частиц от неколеблющихся - фронтом волны.
Акустические колебания характеризуются частотой,
интенсивностью и видом. Виды колебаний в основном определяются свойствами
упругой среды и способом их создания. В жидкостях и газах, обладающих
упругостью объема, акустические колебания распространяются с одинаковой
скоростью во всех направлениях. В твердых телах, характеризуемых помимо
упругости объема еще и упругостью формы (сдвиговой упругостью) и
неодинаковостью деформаций растяжение-сжатие по различным направлениям (для
анизотропных тел), закономерности распространения акустических волн значительно
сложнее.
Колебания с частотой до 16...20 Гц называют
инфразвуковыми. Колебания с частотой от 16...20 до (15...20) 103 Гц составляют
диапазон слышимости, воспринимаемый человеческим ухом. При увеличении частоты
колебаний звука более 20 кГц он переходит в ультразвук; при этом способность
его распространения меняется: в воздухе способность распространения
уменьшается, в твердых и жидких средах - увеличивается. При неразрушающем
контроле металлических материалов используются частоты ультразвукового
диапазона 0,5...25 МГц.
Распространение акустической
ультразвуковой волны в материале происходит с определенной постоянной скоростью
С, определяемой свойствами среды (следует отличать скорость ультразвуковой
волны С от скорости колебания упругих частиц v, которая
зависит от фазы колебаний). Распространение волны сопровождается образованием в
материале зон, в которых частицы находятся в одинаковом колебательном состоянии
(фазе). Минимальное расстояние между такими зонами называют длиной волны
. Величина
связана со
скоростью распространения С и частотой колебаний
выражением
Изменить длину ультразвуковой волны
в конкретном материале можно только путем изменения частоты
возбуждаемых
колебаний.
Направление колебаний частицы в
твердых телах может быть различным по отношению к направлению распространения
волны. По характеру смещения частиц и распространению колебаний волны бывают
нескольких типов.
Для пояснения характера деформации
твердого тела при распространении в нем
Продольными называют волны, когда
частицы упругой среды колеблются в направлении распространения волны,
подвергаясь при этом поочередно деформациям растяжения-сжатия. Скорость Сl, продольной
волны определяют по формуле
Если частицы среды колеблются
перпендикулярно направлению распространения, испытывая деформации сдвига, такие
волны называют поперечными или сдвиговыми. Поперечные волны могут возникать
только в твердых средах, обладающих сдвиговой упругостью. Скорость поперечной
волны Сt ~ 0,55 Сl.
На поверхности твердого тела могут
распространяться поверхностные волны (волны Рэлея). Они состоят из комбинации
продольных и поперечных волн и имеют скорость распространения CS = 0,93Сt. Колебания
частиц происходят по эллиптической траектории, при этом большая ось эллипса
перпендикулярна поверхности. В металлах поверхностные волны практически
затухают на глубине, превышающей 1,5
. Вместе с тем поверхностные волны
распространяются на большие расстояния, следуя изгибам поверхности. Если среда
ограничена двумя поверхностями, расстояние между которыми соизмеримо с длиной
волны, то в такой тонкой пластине распространяются нормальные пластинчатые
волны (их называют также волнами Лэмба). Характеристики основных типов волн
приведены в табл.1.
Таблица 1. Характеристика основных типов волн
В зависимости от источника возбуждения могут
возникать и другие виды волн: сферические, возбуждаемые точечным источником,
размеры которого меньше длины волны, цилиндрические, которые возбуждаются
цилиндрическим источником (стержнем), длина которого значительно больше
поперечных размеров, и др.
При проведении УЗД и УЗТ металла и сварных
соединений используют в основном поперечные и продольные волны [2].
.2 Затухание ультразвука
Распространение ультразвуковой волны, вызванной
колебательными движениями возбужденных частиц благодаря упругим силам между
ними, сопровождается переносом энергии. Количество энергии, переносимое волной
за 1 с через 1 см2 площади, перпендикулярной направлению
распространения, называют интенсивностью ультразвука. Интенсивность
ультразвуковых колебаний частиц обычно невелика (энергия волны не более 100
Вт/см2) и не выходит за пределы упругих деформаций, где напряжения и
деформации связаны линейной зависимостью.
Интенсивность ультразвука по мере
прохождения в среде уменьшается за счет ее волнового сопротивления z- Величина
этого сопротивления, часто называемого характеристическим импедансом, зависит
от плотности среды
, скорости
распространения волн С и определяется выражением
Размерность волнового сопротивления
(характеристического импеданса) составит: [z]=
. Заменим
( масса
равна силе, деленной на ускорение). Отсюда размерность [z]=
.
Интенсивность ультразвука J пропорциональна квадрату амплитуды
упругого смещения и квадрату частоты колебаний:
,
где U - амплитуда
упругого смещения частиц среды; f-частота колебаний.
Из последнего выражения следует, что
чем большим акустическим сопротивлением обладает среда, тем большая энергия
требуется для возбуждения в ней волн заданной частоты и амплитуды. По мере
прохождения волны от источника излучения амплитуда упругого смещения частиц
уменьшается и интенсивность ультразвука падает. Затухание интенсивности
происходит по двум основным причинам: поглощения и рассеяния. Коэффициент
затухания а соответственно состоит из двух слагаемых:
,
где
- коэффициент поглощения,
определяемый вязкостью среды и частоты колебаний;
- коэффициент рассеяния, зависящий
от структуры, упорядоченности расположения и размера зерен кристаллов.
Поглощение - это процесс перехода
энергии колебаний в тепловую, обусловленный трением колеблющихся частиц.
Поглощение будет тем больше, чем больше частота колебаний. При рассеянии
происходят преломление и трансформация ультразвуковых волн. Рассеяние
обусловлено кристаллической структурой металлов и сплавов. При прохождении
ультразвуковой волны через границы кристаллов волна частично отражается,
преломляется и трансформируется. Рассеяние по этим причинам может быть
значительным. Максимальное рассеяние имеет место при
~ (1...4)
, где
- средний
размер зерна.
В углеродистых сталях зерна состоят
из большого числа хаотично расположенных мелких пластинок перлита и цементита (Fe3C). Размеры
их значительно меньше длины волны, и затухание ультразвука определяется в
основном поглощением. В аустенитных сталях и особенно в сварных соединениях
происходит упорядочение ориентации кристаллов, а их размеры становятся
соизмеримы с длиной волны. Поэтому в связи с повышенным рассеянием проведение
УЗД таких сталей часто затруднено или невозможно.
,
где
- интенсивность ультразвука на
расстоянии х от источника излучения, интенсивность излучения которого J0,
- коэффициент затухания.
Чем больше коэффициент затухания,
тем значительнее ослабление ультразвука, а следовательно, меньше глубина его
проникновения. Поскольку амплитуда волны пропорциональна корню квадратному из
интенсивности ультразвука, влияние затухания на амплитуду описывается формулой
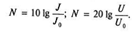
Для оценки ослабления в большинстве
случаев нет необходимости определять интенсивность J или
амплитуду U в
абсолютных единицах. Чаще бывает достаточно определить их величину относительно
некоторого постоянного (опорного) уровня (J0; Uo). В этом
случае для выражения относительной величины J/J0 = U/Uo используют
специальные единицы - децибелы. Число децибел N определяют по формулам
В практике УЗД, когда контролируется
соотношение амплитуд колебаний, для определения N обычно используют вторую
формулу.
Децибельная шкала очень удобна,
поскольку амплитуды могут отличаться на 1...3 порядка, т. е. в 10, 100, 1000
раз. В единицах измерения это увеличение составит соответственно 20, 40, 60 дБ,
т. е. это величины одного порядка. Кроме того, эти величины, согласно основным
свойствам логарифмов, можно суммировать и вычитать. Например, если известно
затухание (ослабление) ультразвука в децибелах при прохождении отдельных
участков пути ультразвуковой волны, то результирующее затухание определится как
сумма составляющих затухания на каждом участке.
Для пересчета относительных единиц U/UQ в децибелы
и обратно можно воспользоваться табл. 2. [2].
Таблица 2. Пересчет децибелов в
относительные единицы
3.3 Способы получения и ввода
ультразвуковых колебаний. Конструкция пьезопреобразователей
Существует ряд способов возбуждения
ультразвуковых колебаний, в том числе механический, радиационный, лазерный,
магнитный и др. В практике диагностирования в полевых условиях для получения и
ввода ультразвуковых колебаний применяют специальные устройства -
преобразователи, основанные на использовании электромагнитно-акустического
(ЭМА) и пьезоэлектрического эффектов. Важным преимуществом ЭМА-преобразователей
является возможность контроля бесконтактным методом через слой изоляции. Вместе
с тем такие преобразователи, в силу их конструктивных особенностей и низкого
коэффициента преобразования, используются для прозвучивания поперечными и
продольными волнами по нормали к поверхности объекта контроля и применяются в
основном для толщинометрии металлоконструкций.
Наиболее распространенным является способ,
основанный на явлении пьезоэлектрического эффекта. Физическая сущность этого
эффекта заключается в том, что при механическом растяжении или сжатии на
поверхности пластин некоторых твердых материалов появляются электрические
заряды противоположного знака - возникает прямой пьезоэффект; наоборот, при
подаче на поверхность пластин переменных электрических зарядов пластина
начинает сжиматься и разжиматься - имеет место обратный пьезоэффект. Такими
свойствами обладает ряд природных и искусственных материалов: кварц, турмалин,
сегнетова соль, титанат бария, цирконат-титанат свинца (ЦТС) и др. Схема
возникновения прямого и обратного пьезоэффекта приведена на рис. 1.
При реализации обратного пьезоэффекта
механически вибрирующая пьезопластинка играет роль «молоточка», посылающего
пучок упругих колебаний в контролируемый материал. Одновременно та же пластинка
под действием прямого пьезоэффекта может служить преобразователем механических
колебаний в электрические сигналы. Пьезопластинки являются основным элементом
пьезоэлектрических преобразователей (ПЭП), предназначенных для возбуждения и
приема ультразвуковых колебаний. Основные преимущества ПЭП, обусловливающие их
широкое применение, - высокая эффективность преобразования (высокая
чувствительность) и простота конструкции. Используют три основные схемы
конструктивного исполнения контактных ПЭП (рис. 2): прямые, наклонные,
раздельно-совмещенные.
Рисунок 1. Схема работы пьезопластины: а-прямой
эффект, б - обратный эффект.
Рисунок 2. Основные типы пьезообразователей: а -
прямой, б-наклонный, в - раздельно-совмещенный.
На поверхности пьезопластины 1 методом осаждения
или напыления наносят серебряные или медные электропроводные покрытия, одно из
которых с помощью проводника 7 подключается к электрическому разъему ПЭП, а
другие - к металлическому корпусу 5. Толщина пьезопластины принимается равной
половине длины волны в пьезоматериале на рабочей частоте ПЭП. В прямых ПЭП
(рис. 2, а) пьезопластина одной стороной приклеена к демпферу 6, а другой
стороной - к протектору 2. Протектор служит для защиты пьезопластины от
механических повреждений и должен обладать высокой износостойкостью. Демпфер в
свою очередь служит для гашения свободных колебаний пьезопластины и получения
коротких импульсов.
Наклонный ПЭП (рис. 2, б) отличается от прямого
наличием призмы 8, служащей для ввода упругих волн под углом к поверхности
изделия. Угол призмы наклонного преобразователя выбирают таким, чтобы в изделие
проходили волны одного типа в интервале между первым и вторым критическими
углами. Призму обычно изготовляют из плексигласа, капролона или других
материалов с высоким затуханием ультразвука, что обеспечивает быстрое затухание
не вошедшей в изделие волны.
Раздельно-совмещенный ПЭП (рис. 2, в)
представляет собой сдвоенный наклонный ПЭП с малым углом призмы (обычно не
более 10°). Одна половина раздельно-совмещенного ПЭП работает на излучение, а
вторая на прием. Для предупреждения прямой передачи сигналов от излучателя к
приемнику имеется акустический разделительный экран 9. Угол призмы 8 выбирается
в диапазоне от 0...100, что позволяет вводить в изделие волны одного типа без
их трансформации. Изменяя углы призмы, их высоту и расстояние между ними,
изменяют минимальную и максимальную глубину прозвучивания изделия.
Раздельно-совмещенные ПЭП сложнее по конструкции, не являются универсальными
(предназначены для конкретных глубин прозвучивания), но имеют значительно более
низкий уровень помех.
Помимо рассмотренных выше существует большое
число различных специальных пьезопреобразователей. Так, например, для контроля
труб (особенно с малой толщиной стенки) применяют раздельно-совмещенные
пьезопреобразователи «хордового» типа. Их использование позволяет существенно
повысить надежность контроля сварных стыков труб, что является для нефтегазовой
отрасли весьма актуальным.
Используют различные способы ввода
ультразвуковых колебаний от ПЭП в объект контроля: бесконтактный воздушный
способ, контактный способ и иммерсионный способ. Бесконтактный воздушный способ
иногда применяют для контроля изделий из пластмассы и композитных материалов;
для контроля металлов этот способ не используется из-за большой разницы
волновых сопротивлений. Иммерсионный способ предусматривает создание
акустического контакта через слой жидкости. Для этого контролируемое изделие
необходимо поместить в ванну с жидкостью (водой) либо применить струйный
контакт через струю жидкости.
В подавляющем большинстве случаев используют
контактный способ с применением контактной смазки (жидкости). Контактная смазка
4 (см. рис. 2) служит для обеспечения акустического контакта и передачи
ультразвуковых колебаний в объект контроля 3 и обратно. Толщина смазки должна
быть меньше длины волны ультразвука в ней. Это достигается путем прижатия ПЭП к
поверхности объекта контроля. Изменение толщины контактной смазки влияет на
количественные результаты контроля, поэтому для повышения стабильности
результатов при контактном способе контролируемую поверхность предварительно
зачищают до шероховатости не хуже Rz40.
Ультразвуковым волнам присущи общие закономерности
распространения в соответствии с явлениями дифракции (огибания) и интерференции
(сложения). При размерах излучателя, меньших длины волны, от него
распространяются сферические волны, и излучение является ненаправленным. Если
размеры излучающей пьезопластинки существенно больше размеров длины волны, то
ультразвуковые волны будут распространяться в виде направленного пучка. В
непосредственной близости от излучателя (в зоне Френеля) пучок волн
распространяется почти без расхождения, а интенсивность колебаний вдоль пучка
непостоянна, имеет скачкообразный характер и
определяется явлением интерференции.
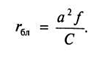
Протяженность ближней зоны rбл определяется скоростью
распространения колебаний С в среде, их частотой
и размером (радиусом) а излучающей
пластины:
При удалении от излучателя на
расстояние r>rбл пучок
колебаний распространяется с расхождением под некоторым углом
, величина
которого определяется соотношение
Интенсивность колебаний в этой зоне
(зоне Фраунгофера) вдоль оси пучка будет монотонно убывать в соответствии с
закономерностями затухания. Направленность пучка ультразвуковых колебаний
улучшается с увеличением произведения af.
Интенсивность колебаний в поперечном сечении дальней зоны непостоянна и убывает
по направлению от оси пучка к его периферии. Характер изменения интенсивности в
зависимости от угла между направлением луча и осью пучка определяется диаграммой
направленности излучателя. Длина луча, направленного под некоторым углом к оси
пучка, в пределах диаграммы направленности пропорциональна амплитуде колебаний
в этом направлении. Поэтому от отражателей (дефектов), расположенных на
одинаковом расстоянии от излучателя, но под разными углами к оси пучка,
поступают сигналы, разные по амплитуде. Максимальная амплитуда сигнала будет
при расположении отражателя на оси пучка. Типовая диаграмма направленности
дискового излучателя в полярных координатах приведена на рис 3. За единицу
принимают амплитуду звукового давления Uo на оси
пучка.
Рисунок 3. Диаграмма направленности
дискового изучателя
При уменьшении угла расхождения
увеличивается
протяженность ближней зоны rбл. При af/C
0,6 в
диаграмме направленности возникают боковые лепестки, в которых
сосредоточивается до 20% энергии. В отдельных случаях боковые лепестки могут
отражаться от дефектов и давать соответствующие сигналы [7].
3.4 Аппаратура, методы и технология
ультразвукового контроля
Обнаружение и измерение имеющихся в конструкции
дефектов осуществляют с помощью ультразвуковых дефектоскопов специального или
общего назначения. Структурная схема импульсного ультразвукового
эходефектоскопа общего назначения приведена на рис. 4.
Импульс ультразвуковых механических колебаний,
посылаемых в контролируемое изделие, создается в пьезопреобразователе за счет
обратного пьезоэффекта. Для этого на пьезоэлемент пьезопреобразователя подается
короткий электрический импульс, вырабатываемый генератором зондирующих
импульсов. Отраженный от донной поверхности или от дефекта механический импульс
УЗК принимается тем же или другим пьезопреобразователем, работающим в режиме
приема, и преобразовывается посредством прямого пьезоэффекта в электрический
сигнал. Далее сигнал, усиленный с помощью усилителя, подается на вертикальные
отклоняющие элементы экрана, определяющие положение луча на экране дефектоскопа
по высоте. Одновременно с генератором зондирующих импульсов запускается
генератор развертки, который вырабатывает линейно увеличивающийся
(пилообразный) импульс, подаваемый на горизонтальные отклоняющие элементы
экрана, для развертки луча в горизонтальной плоскости.
Рисунок 4. Схема ультразвукового дефектоскопа: 1
- пьезопреобразователь, 2 - генератор зондирующих импульсов, 3 - синхронизатор,
4 - генератор горизонтальной развертки, 5 - глубинометр, 6 - блок временной
регулировки чувствительности, 7 - усилитель, 8 - автоматический сигнализатор
дефектов, 9 - экран дефектоскопа.
Сигналы, поступившие от дефекта (Д) или
противоположной стороны изделия (донный сигнал), вместе с зондирующим импульсом
появляются на экране дефектоскопа в виде пиков соответствующей амплитуды.
Положение этих пиков на горизонтальной оси определяется временем их прихода и
зависит от скорости УЗ колебаний в контролируемом изделии, а также глубины
залегания дефекта или толщины изделия. С помощью глубиномера по времени прихода
импульса и известной скорости распространения колебаний определяются
соответственно глубина расположения дефектов и толщина изделия.
Автоматический сигнализатор дефектов (АСД)
служит для выработки звукового или светового сигналов при появлении импульса от
дефекта выше браковочного уровня. Для компенсации затухания колебаний и
выравнивания амплитуд импульсов от равных по размерам, но расположенных на
разной глубине дефектов, служит блок временной регулировки чувствительности
(ВРЧ). Синхронизатор обеспечивает синхронную работу генератора зондирующих
импульсов и генератора развертки, а также управляет работой блоков АСД, ВРЧ и
глубиномера.
Современные ультразвуковые дефектоскопы
позволяют получать на экране различные типы разверток, что существенно повышает
информативность результатов контроля. Основной является развертка типа А,
пример которой приведен на рис. 4. Развертка типа В позволяет визуализировать
расположение дефектов по толщине изделия. Развертка типа С показывает
расположение дефектов в плане в пределах проконтролированной зоны.
Наряду с перечисленными выше элементами
неотъемлемой составной частью современных дефектоскопов является
высокопроизводительный микропроцессор и соответствующее программное
обеспечение. Ультразвуковые дефектоскопы последнего поколения, созданные на
базе микропроцессорной техники, обладают большими функциональными
возможностями. Их электронные и дефектоскопические параметры очень близки, так
как во всех приборах используются практически одни и те же электронные
компоненты. Помимо функциональных возможностей весьма важны также габариты и
масса прибора. Самым легким и малогабаритным среди дефектоскопов общего
назначения не только в России, но и в мире, на сегодняшний день является
отечественный цифровой ультразвуковой дефектоскоп общего назначения А1212. На
рис. 5 представлен дефектоскоп А1212, преобразователь которого установлен на
стандартном образце СО-1.
Настройка уровня поисковой и браковочной
чувствительности, а также эталонирование основных параметров ультразвуковых дефектоскопов
осуществляются с помощью соответствующих стандартных образцов по ГОСТ 14782-86
или специальных стандартных образцов предприятий с искусственными отражателями,
имитирующими дефекты. На рис.6. приведен общий вид комплекта стандартных
образцов КОУ-2.
Рисунок 5. Ультразвуковой дефектоскоп А1212
совместно со стандартным образцом СО-1
Различные методы ультразвукового контроля
отличаются схемами установки излучателя и приемника ультразвуковых колебаний,
их положением относительно объекта контроля. Применяют теневой,
зеркально-теневой, эхо-зеркальный и другие методы. Наиболее широкое
распространение получил импульсный эхо-метод, основанный на отражении УЗ
колебаний от несплошности и приеме отраженных эхо-сигналов. Амплитуда
эхо-сигнала на экране дефектоскопа при этом будет пропорциональна размерам
дефекта.
В эхо-методе различают три способа установки
пьезопреобразователей:
по раздельной схеме, предусматривающей
использование двух пьезопреобразователей, один из которых выполняет функцию
излучателя, другой - приемника;
по раздельно-совмещенной схеме, когда излучатель
и приемник монтируются в одном корпусе;
по совмещенной схеме, когда один
пьезопреобразователь выполняет одновременно функции излучателя и приемника.
Рисунок 6. Комплект стандартных образцов КОУ-2
Последний способ применяют чаще всего. В
зависимости от местоположения пьезопреобразователя контроль (прозвучивание)
может осуществляться прямым, а также одно- и многократно отраженным лучом. В
качестве примера на рис.7. приведены схемы прозвучивания поперечных сечений
некоторых типов сварных соединений.
Рисунок 7. Схемы прозвучивания сварных
соединений: а - прозвучивание стыкового сварного шва с неудаленным усилием; б-
прозвучивание углового сварного шва.
Удаление пьезопреобразователя от сварного шва (l1,
l2) определяется
соответствующим геометрическим расчетом. Для контроля сварного шва по всей его
длине осуществляется соответствующее перемещение пьезопреобразователя
(сканирование). При механизированном контроле перемещение осуществляется с
помощью механического приводного устройства. При ручном перемещении применяют
поперечно-продольный или продольно-поперечный способы сканирования. При поперечно-продольном
способе пьезопреобразователь перемещается возвратно-поступательно в
направлении, перпендикулярном оси шва или под небольшим углом к ней с шагом t.
Шаг сканирования t обычно
принимается равным половине диаметра пьезопластинки преобразователя. При
продольно-поперечном способе пьезопреобразователь перемещается вдоль шва. В
процессе сканирования пьезопреобразователь непрерывно поворачивают на угол
10...15°.
Наиболее надежный способ обнаружения внутренних
дефектов реализуется при прозвучивании объекта контроля прямым лучом (см. рис.
7). Вместе с тем при контроле сварных швов с неудаленным усилением прозвучить
удается только корень шва и прилегающую к нему зону. Чем больше ширина валика
усиления шва, тем меньше контролируемая зона. Особенно остра данная проблема
при контроле сварных соединений малой толщины, например тонкостенных труб, где
отношение высоты и ширины валиков усиления к толщине контролируемого металла
значительно больше, а в центре шва образуется неконтролируемая зона. Кроме
того, при контроле труб контактные поверхности пьезопреобразователей необходимо
притирать с соответствующим радиусом кривизны.
В последние годы для контроля стыковых сварных
соединений труб все шире стали использовать раздельно-совмещенные
пьезопреобразователи «хордового» типа, изготовляемые, например, НПП «Политест»
(Г.А. Гиллер, Л.Ю. Могильнер). Эти пьезопреобразователи позволяют за счет
расхождения ультразвукового пучка в пределах толщины стенки обеспечить
практически равномерное (с одинаковой чувствительностью) прозвучивание всего
сечения сварного шва прямым лучом и в значительной мере избавиться от помех,
возникающих при использовании совмещенного преобразователя: сигналов от
неровностей валиков усиления; сигналов, возбуждаемых поверхностными волнами;
реверберационных шумов совмещенного пьезопреобразователя.
Такие условия контроля
обеспечиваются потому, что призмы раздельно-совмещенного пьезопреобразователя
наклоняют в пространстве по отношению к оси трубы под определенными углами, а
расстояние между ними 2L (длина хорды) выбирают из
соотношения 2L =
, где R и
-
соответственно радиус кривизны наружной поверхности и толщина стенки трубы.
Контроль сварных стыков труб с
помощью раздельно-совмещенного пьезопреобразователя хордового типа производится
путем перемещения пьезопреобразователя только вдоль сварного стыка,
одновременно совершая при этом незначительные (до ±2 мм)
возвратно-поступательные перемещения. Контроль выполняется с каждой стороны сварного
шва.
Разнообразие методических приемов
ультразвукового контроля различных деталей и элементов обусловливается
многообразием их конструктивного исполнения. Для наиболее ответственных деталей
и элементов нефтегазового оборудования разработаны соответствующие
технологические инструкции, регламентирующие методику их контроля (например,
стволов вертлюгов, осей кронблоков, замков бурильных труб, валов турбобуров и
др.).
Для механизированного контроля
магистральных трубопроводов применяют внутритрубные приборы-дефектоскопы,
имеющие большое число преобразователей, расположенных по окружности с
определенным шагом (обычно 8 мм). Измерительно-регистрирующая система таких
приборов производит циклы измерений через каждые 3 мм по ходу движения,
благодаря чему в пределах контролируемого участка трубопровода выполняются
миллионы измерений. Обработка результатов измерений на компьютере позволяет
выявить участки трубопровода с утонением стенок и наличием наружных и
внутренних дефектов.
Ультразвуковые толщиномеры предназначены
в основном для определения толщины изделия и, в отличие от дефектоскопов, имеют
существенно более простое устройство, меньшие габариты и массу. Например, у них
отсутствуют блоки временной регулировки чувствительности, автоматического
сигнализатора дефектов и др. При контроле толщины конструкций, подвергшихся
сероводородному растрескиванию или расслоению, а также изготовленных из сталей
с большим содержанием сульфидных включений, раскатов и др., часто совершаются
ошибки, так как большинство толщиномеров определяют толщину изделия по
пришедшему первым сигналу от дефекта или расслоения. Поэтому наиболее
совершенные модели ультразвуковых толщиномеров снабжаются экранами, на которые
выводится развертка типа А. Это позволяет выявить донный сигнал и отличить его
от сигнала от расслоения.
Большинство моделей толщиномеров
наряду с толщиной позволяет измерять также и скорость распространения или время
распространения УЗ волны. Точное измерение этих параметров позволяет
использовать ультразвуковые толщиномеры также и для других целей: например, для
экспресс-анализа марки металла по скорости распространения в нем ультразвука.
Перспективным также является применение высокоточных толщиномеров для контроля
напряженного состояния и усилия затяжки болтов ответственного оборудования и
агрегатов.
Известно, что вследствие
акустоупругого эффекта скорость распространения УЗ волны зависит не только от
материала объекта, но и от его напряженного состояния. При одноосном
напряженном состоянии и неизменной температуре задача контроля резко
упрощается. Так, по известному времени распространения УЗ импульса на длине
болта в незатянутом t и затянутом t0 состоянии
напряжение можно рассчитать по формуле
,
где Е-модуль упругости материала
болта,
- акустоупругий коэффициент
распространения УЗ волн;
,
Где l - общая
длина болта;
- длины гладкого и нарезанного
участков;
- их диаметры
Усилие затяжки болта определяют по
формуле:
Такой подход к определению F3 является в
настоящее время наиболее распространенным[6].
4. Ультразвуковой внутритрубный дефектоскоп для
прямого высокоточного обнаружения трещин на ранней стадии
Рисунок 8. Ультразвуковой дефектоскопа CD
Ультразвуковой дефектоскоп предназначен для
внутритрубного ультразвукового обследования магистральных трубопроводов с целью
обнаружения продольных и поперечных стресс - коррозионных трещин стенок
трубопровода, в том числе в продольных и поперечных сварных швах.
В дефектоскопах используется метод, основанный
на акустическом эхо-импульсном зондировании стенки трубопровода с
использованием ультразвуковых иммерсионных преобразователей совмещенного типа с
наклонным вводом луча в стенку трубопровода.
.1 Принцип действия
Рисунок 9. Принцип действия дефектоскопа
Метод состоит в регистрации и измерении
амплитуды отраженных от трещин сигналов и временных интервалов между
зондирующим импульсом, импульсом, отраженным от внутренней стенки трубопровода и
импульсом от трещины (рис. 9).
Излученная датчиком ультразвуковая волна входит
в металл под углом 17° к перпендикуляру к поверхности и распространяется в
металле под углом 45°, при этом обеспечивается наилучшее отражение сигнала от
трещины. Отраженные сигналы от трещины принимаются этим же датчиком. Для
повышения вероятности обнаружения дефектов, облучение производится с двух
сторон, сигнал от дефекта может быть принят 2-мя или 3-мя датчиками с каждой
стороны. В процессе интерпретации такие сигналы от разных датчиков совмещаются,
а по характеристикам принятых сигналов, вырабатывается заключение о свойствах
дефекта.
Ниже приведены временные диаграммы отраженных
сигналов и регистрируемые характеристики сигналов (амплитуда, время задержки).
Рисунок 10. Диаграммы характеристик сигналов
.2 Системы дефектоскопа
Система управления и контроля дефектоскопа
обеспечивает: управление сбором и накоплением диагностической информации;
регистрацию данных от ультразвуковых датчиков; регистрацию пройденного пути;
регистрацию времени работы; передачу информации на внешние накопители после
извлечения дефектоскопа из трубопровода для дальнейшей обработки и
интерпретации полученных данных; автоматическую настройку и калибровку систем дефектоскопа.
Рисунок 11. Система дефектоскопа
Измерение пройденного дефектоскопом расстояния и
привязка аномалий трубопровода к дистанции основывается на одометрической
системе, состоящей из нескольких одометрических колес, полный оборот которых
сопровождается выработкой определенного количества импульсов. Расстояние
автоматически определяется дефектоскопом при известном диаметре одометрического
колеса.
Для коррекции дистанции с целью более точного
определения места расположения аномалий, а также для обнаружения местоположения
дефектоскопа в трубопроводе дефектоскоп оснащен временнoй
маркерной системой приема-передачи низкочастотных электромагнитных сигналов.
Для привязки к угловому положению относительно
продольной оси трубопровода дефектоскоп имеет в своем составе маятниковую
систему, позволяющую учесть вращение дефектоскопа при движении.
Система регистрации параметров внутренней и
внешней среды измеряет давление внешней среды, температуру внутри секций
дефектоскопа, контролирует состояние напряжений питания дефектоскопа.
Система записи данных выполнена на основе Flash-памяти.
Накопители на её основе не имеют механического привода, что позволяет
обеспечить надёжную работу, устойчивость к вибрациям и ударам.
Энергетический блок на основе литиевых батарей
обеспечивает возможность автономной работы дефектоскопа.
Интерфейс связи с оператором на основе носимого
персонального компьютера (ноутбука) и канала связи обеспечивает возможность
управления режимами работы дефектоскопа, программирования основных параметров
прогона, получения оперативной информации, накопленной системой управления в
течение всего прогона [9].
.3 Технические характеристики ультразвукового
дефектоскопа CD
Среда перекачки:нефть, нефтепродукты, вода
Диапазон температуры среды эксплуатации:0 - 50 °C
Допустимая скорость перекачиваемой среды без
потери продольного разрешения:0.1 - 2.0 м/сек
Рекомендуемый диапазон рабочего давления:0.5 -
8.0 МПа
Минимальный радиус поворота:3D
x 90°
Диапазон толщин стенки:4 - 30 мм
5. Ультразвуковой внутритрубный дефектоскоп для
прямого высокоточного измерения толщины стенки трубы
Рисунок 12. Ультразвуковой Дефектоскоп WM
Ультразвуковой дефектоскоп предназначен для
внутритрубного ультразвукового обследования магистральных трубопроводов с целью
выявления дефектов толщины стенки типа потери металла металлургического,
механического и коррозионного происхождения, а также расслоений и включений.
В дефектоскопах используется принцип
ультразвуковой толщинометрии, основанном на акустическом эхо-импульсном
зондировании стенки трубопровода с использованием ультразвуковых иммерсионных
преобразователей совмещенного типа.
.1 Принцип действия
Рисунок 12.1. принцип работы дефектоскопа
Принцип работы дефектоскопа в варианте
ультразвукового толщиномера состоит в измерении временных интервалов между
зондирующим импульсом и импульсами, отраженными от внутренней и внешней
поверхностей стенки трубопровода. Временной интервал между зондирующим
импульсом и первым отраженным импульсом соответствует расстоянию (отступу)
между датчиком и внутренней поверхностью стенки трубы. Временной интервал между
первым и вторым отраженными импульсами соответствует толщине стенки.
Кроме обнаружения внутренней и внешней потерь
металла, данный метод позволяет обнаружить и измерить другие типы дефектов,
такие как расслоения, включения, царапины, надрезы, задиры и вмятины, а также
их комбинации.
.2 Системы дефектоскопа
Система управления и контроля обеспечивает:
управление сбором и накоплением диагностической информации; регистрацию данных
от ультразвуковых датчиков; регистрацию пройденного пути; регистрацию времени
работы; передачу информации на внешние накопители после извлечения дефектоскопа
из трубопровода для дальнейшей обработки и интерпретации полученных данных;
автоматическую настройку и калибровку систем дефектоскопа.
Измерение пройденного дефектоскопом расстояния и
привязка аномалий трубопровода к дистанции основывается на одометрической системе,
состоящей из нескольких одометрических колес, полный оборот которых
сопровождается выработкой определенного количества импульсов. Расстояние
автоматически определяется дефектоскопом при известном диаметре одометрического
колеса.
Для коррекции дистанции с целью более точного
определения места расположения аномалий, а также для обнаружения местоположения
дефектоскопа в трубопроводе дефектоскоп оснащен временнoй
маркерной системой приема-передачи низкочастотных электромагнитных сигналов.
Для привязки к угловому положению относительно
продольной оси трубопровода дефектоскоп имеет в своем составе маятниковую
систему, позволяющую учесть вращение дефектоскопа при движении.
Система регистрации параметров внутренней и
внешней среды измеряет давление внешней среды, температуру внутри секций
дефектоскопа, контролирует состояние напряжений питания дефектоскопа [9].
Рисунок 13. Система дефектоскопа
Система записи данных выполнена на основе Flash-памяти.
Накопители на её основе не имеют механического привода, что позволяет
обеспечить надёжную работу, устойчивость к вибрациям и ударам.
Интерфейс связи с оператором на основе носимого
персонального компьютера (ноутбука) и канала связи обеспечивает возможность
управления режимами работы дефектоскопа, программирования основных параметров
прогона, получения оперативной информации, накопленной системой управления в
течение всего прогона [10].
5.3 Подтверждение полученных данных
Рисунок 14. Потеря металла

Рисунок 15. Потеря металла(продолжение)
5.4
Технические характеристики ультразвукового дефектоскопа (WM)
Среда перекачки: нефть, нефтепродукты, вода
Диапазон температуры среды эксплуатации:0 - 50 °C
Допустимая скорость перекачиваемой среды без
потери продольного разрешения:0.1 - 2.0 м/сек
Рекомендуемый диапазон рабочего давления:0.5 -
8.0 МПа
Минимальный радиус поворота:1.5D
x 90°
6. Ультразвуковой внутритрубный комбинированный
(WM&CD) дефектоскоп для прямого высокоточного измерения толщины стенки
трубы и обнаружения трещин на ранней стадии
Рисунок 16. Ультразвуковой комбинированный
дефектоскоп
Ультразвуковой комбинированный дефектоскоп
предназначен для внутритрубного ультразвукового обследования магистральных
трубопроводов с целью измерения остаточной толщины стенки и обнаружения
продольных или поперечных трещин, в том числе в поперечных и продольных сварных
швах.
Дефектоскоп позволяет осуществлять, как
комбинированное (одновременное), так и раздельное обследование трубопроводов,
при котором проводится только измерение остаточной толщины стенки (вариант
толщиномера) или только выявление трещин, продольных или поперечных (вариант
детектора трещин).
В дефектоскопах используется метод, основанный
на акустическом эхо-импульсном зондировании стенки трубопровода с
использованием ультразвуковых иммерсионных преобразователей совмещенного типа с
перпендикулярным (толщиномер) и наклонным (детектор трещин) вводом луча в
стенку трубопровода.
.1 Принцип действия
Принцип работы дефектоскопа в варианте
ультразвукового толщиномера состоит в измерении временных интервалов между
зондирующим импульсом и импульсами, отраженными от внутренней и внешней
поверхностей стенки трубопровода. Временной интервал между зондирующим
импульсом и первым отраженным импульсом соответствует расстоянию (отступу)
между датчиком и внутренней поверхностью стенки трубы.
Временной интервал между первым и вторым
отраженными импульсами соответствует толщине стенки. Отличительной чертой
дефектоскопов этого типа является многократное измерение толщины стенки в
каждой точке поверхности трубопровода, что повышает качество получаемых
измерений.
Рисунок 17. Принцип действия дефектоскопа
Принцип работы дефектоскопа в варианте детектора
трещин состоит в регистрации и измерении амплитуды отраженных от трещин
сигналов и временных интервалов между зондирующим импульсом, импульсом,
отраженным от внутренней стенки трубопровода и импульсом от трещины. Излученная
датчиком ультразвуковая волна входит в металл под углом 17° к перпендикуляру к
поверхности и распространяется в металле под углом 45°, при этом обеспечивается
наилучшее отражение сигнала от трещины. Отраженные сигналы от трещины
принимаются этим же датчиком. Для повышения вероятности обнаружения дефектов,
облучение производится с двух сторон. В связи с тем, что преобразователи
расположены по окружности с шагом ~ 11 мм, сигнал от дефекта может быть принят
2-мя или 3-мя датчиками с каждой стороны. В процессе интерпретации такие
сигналы от разных датчиков совмещаются, а по характеристикам принятых сигналов,
вырабатывается заключение о свойствах дефекта.
.2 Системы дефектоскопа
Система управления и контроля дефектоскопа
обеспечивает: управление сбором и накоплением диагностической информации;
регистрацию данных от ультразвуковых датчиков, расположенных с шагом в 11 мм по
окружности трубы, через каждые 3 мм дистанции; регистрацию пройденного пути;
регистрацию времени работы; передачу информации на внешние накопители после
извлечения дефектоскопа из трубопровода для дальнейшей обработки и
интерпретации полученных данных; автоматическую настройку и калибровку систем
дефектоскопа.
Измерение пройденного дефектоскопом расстояния и
привязка аномалий трубопровода к дистанции основывается на одометрической
системе, состоящей из нескольких одометрических колес, полный оборот которых
сопровождается выработкой определенного количества импульсов. Расстояние
автоматически определяется дефектоскопом при известном диаметре одометрического
колеса.
Для коррекции дистанции с целью более точного
определения места расположения аномалий, а также для обнаружения местоположения
дефектоскопа в трубопроводе дефектоскоп оснащен временной маркерной системой
приема-передачи низкочастотных электромагнитных сигналов.
Для привязки к угловому положению относительно
продольной оси трубопровода дефектоскоп имеет в своем составе маятниковую
систему, позволяющую учесть вращение дефектоскопа при движении [9].
Система регистрации параметров внутренней и
внешней среды измеряет давление внешней среды, температуру внутри секций
дефектоскопа, контролирует состояние напряжений питания дефектоскопа.
Рисунок 18. Система дефектоскопа
Система записи данных выполнена на основе Flash-памяти.
Накопители на её основе не имеют механического привода, что позволяет
обеспечить надёжную работу, устойчивость к вибрациям и ударам.
Интерфейс связи с оператором на основе носимого
персонального компьютера (ноутбука) и канала связи обеспечивает возможность
управления режимами работы дефектоскопа, программирования основных параметров
прогона, получения оперативной информации, накопленной системой управления в
течение всего прогона.
.3 Подтверждение полученных данных

Рисунок 19. Продольная трещина
6.4 Технические характеристики ультразвукового
комбинированного дефектоскопа (WM &CD)
Среда перекачки: нефть, нефтепродукты, вода
Диапазон температуры среды эксплуатации:0 - 50°C
Допустимая скорость перекачиваемой среды без
потери продольного разрешения:0.1 - 2.0 м/сек
Рекомендуемый диапазон рабочего давления: 0.5 -
8.0 МПа
Минимальный радиус поворота:1,5D
x 90є
Диапазон толщин стенки:3,5 - 30 мм
.5 Анализ данных
Специалисты Аналитического Центра НГКС по
интерпретации данных обрабатывают данные, полученные во время ультразвуковой
диагностики, и создают Финальный Отчет, который обычно включает:
- Раскладку трубопровода, включая
раскладку секций трубопровода.
Список особенностей трубопровода.
Расчет дефектов на статическую
прочность, с использованием различных методик (по усмотрению Заказчика).
Классификацию обнаруженных дефектов по
степени опасности на основе API
1104, CAN
Z 184-M86,
49 CFR, ASME
B31.4 (8), BS
7910 и т.д.
Рекомендации по объемам капитального
(заменой участка) и выборочного ремонта (установкой различных муфт), а также по
очередности ремонта дефектов.
Анализ качества изготовления труб
различными трубными заводами с целью выбора поставщика труб.
Оценки качества проведения капитального
и выборочного ремонта.
Расчета скорости коррозии на
трубопроводе.
Сервисная программа позволяет:
- Работать с комплексной базой данных.
Редактировать их, автоматически
выбирать необходимую информацию с помощью механизма фильтров и индексов.
Позиционироваться на дефекты и
особенности.
Осуществлять привязку дефектов и
особенностей к точкам ориентиров (выпускать сертификаты и листы детализации).
Генерировать отчеты в форме, задаваемой
пользователем.
Систематизировать информацию о
проведенном ремонте [11].
Заключение
ультразвуковой
дефектоскоп труба трещина
Диагностика линейной части
магистральных трубопроводов может осуществляться различными способами,
индивидуальная программа диагностирования может включать в себя тепловизионный
контроль, акустико-эмиссионный контроль наиболее опасных участков трубопровода,
приборный контроль с поверхности и т.д., но для магистральных
газонефтепроводов, имеющих большую протяженность наиболее технологичным
является проведение диагностики с помощью внутритрубных инспекционных приборов.
Работы по внутритрубной диагностике в общем
случае включают в себя: пропуск скребка-калибра, пропуск шаблона-профилемера,
пропуск профилемера, пропуск очистных скребков, пропуск дефектоскопа.
Необходимо отметить, что отрасль внутритрубной
диагностики чрезвычайно востребована в настоящее время, поэтому темпы ее
развития достаточно высоки. Современные внутритрубные дефектоскопы сочетают в
себе передовые разработки и новейшие технологии.
Внутритрубная диагностика позволяет обнаружить
дефекты геометрии и особенности трубопровода (вмятины, гофры, овальности
поперечного сечения, выступающие внутрь трубы элементы арматуры трубопровода),
дефектов типа потери металла, уменьшающих толщину стенки трубопровода
(коррозионных язв, царапин, вырывов металла и т.п.), а также расслоений,
поперечных трещин и дефектов в кольцевых сварных швах; продольных трещин в теле
трубы, продольных трещин и дефектов в продольных сварных швах.
Таким образом, внутритрубная диагностика - это
универсальный метод обследования магистральных трубопроводов, который предотвращает
внезапные отказы в их работе, повышает их надежность, эффективность и
безопасность при эксплуатации.
Список литературы
1. Богданов Е.А. «Основы
технической диагностики нефтегазового оборудования». - М.: Высшая школа 2006 г.
2. В.П. Калявин «Основы теории
надежности и диагностики». Санкт - Петербург: Элмор, 1998.
. Трубопроводный транспорт
нефти и газа: Учебник для вузов / Р.А. Алиев, В.Д. Белоусов, А.Г. Немудров и
др. - М.: Недра, 1988.
. СНиП 2.05.06-85*.
Магистральные трубопроводы / Минстрой России. - М.: ГУПЦ ПП, 1997.
. Харионовский В.В.
Надежность и ресурс конструкций газопроводов. М.: Недра 2000 г.
6. Кретов Е.Ф. Ультразвуковая
дефектоскопия в энергомашиностроении / Е.Ф. Кретов. - СПб.: Радиоавионика,
1995. - 327 с.
. Выборнов Б.И. Ультразвуковая
дефектоскопия / Б.И. Выборнов - М.: Метал-я, 1985. - 257 с.
. Алешин Н.П. Радиационная,
ультразвуковая и магнитная дефектоскопия / Н.П. Алешин, В.Г. Щербинский. - М.:
Высшая школа, 1991. - 272 с.
9. Неразрушающий контроль и
диагностика: справочник / В.В. Клюев [и др.]; под ред. В.В. Клюева. - М.:
Машиностроение, 2005. - 656 с.