Фьючерсные контракты. Определение доходности облигаций

  • Вид работы:
    Контрольная работа
  • Предмет:
    Банковское дело
  • Язык:
    Русский
    ,
    Формат файла:
    MS Word
    25,7 Кб
  • Опубликовано:
    2015-01-05
Вы можете узнать стоимость помощи в написании студенческой работы.
Помощь в написании работы, которую точно примут!

Фьючерсные контракты. Определение доходности облигаций

Федеральное агентство по образованию

Государственное образовательное учреждение высшего профессионального образования










КОНТРОЛЬНАЯ РАБОТА

по курсу: Рынок ценных бумаг










Тюмень, 2013

Содержание

1. Фьючерсные контракты как инструмент хеджирования и спекуляции

. Расчетно-аналитическое задание

Список использованной литературы

1. Фьючерсные контракты как инструмент хеджирования и спекуляции

Фьючерсный контракт - это соглашение между сторонами о будущей поставке базисного актива, которое заключается на бирже. В принципе, возможно заключение фьючерсных контрактов и на внебиржевом рынке, однако в большей степени такие контракты обращаются на бирже. Биржа (расчетная палата) сама разрабатывает его условия, и они являются стандартными для каждого базисного актива. Биржа организует вторичный рынок данных контрактов. Предметом (базовым активом) обычно является срочный контракт.

Исполнение фьючерсного контракта гарантируется биржей (расчетной палатой). После того как контракт заключен, он регистрируется в расчетной палате. С этого момента стороной сделки как для продавца, так и для покупателя становится расчетная палата, т.е. для покупателя она выступает продавцом, а для продавца - покупателем.

Поскольку фьючерсные контракты стандартны и гарантированы расчетной палатой, они высоколиквидные. Это значит, что участник сделки легко может закрыть открытую позицию (другими словами, продать контракт) с помощью офсетной сделки, т.е. сделки, закрывающей открытую позицию. Результатом такой операции будет выигрыш или проигрыш, в зависимости от того, по какой цене открыть и закрыть позицию.

Если участник контракта желает осуществить или принять поставку, он не ликвидирует свою позицию до дня поставки. В этом случае расчетная палата уведомляет его, кому он должен поставить или от кого принять базисный актив. По условиям некоторых фьючерсных контрактов может предусматриваться не поставка базисного актива, а взаиморасчеты между участниками в денежной форме.

Как уже было сказано, фьючерсные контракты по своей форме являются стандартными. Кроме того, на бирже торгуются контракты только на определенные базисные активы. Поэтому фьючерсные контракты, как правило, заключаются не с целью осуществления реальной поставки, а для хеджирования и спекуляции. В мировой практике только порядка 3% всех заключаемых контрактов оканчиваются поставкой, остальные закрываются офсетными сделками.

С фьючерсными контрактами, так же, как и с опционными, имеют дело два типа лиц - спекулянты и хеджеры.

Спекулянты покупают и продают фьючерсы с целью получения выигрыша, закрывая свои позиции по лучшей цене по сравнению с первоначальной. Под позицией в данном случае понимается любая начатая и не завершенная сделка. Отличительной характеристикой спекулянтов является также то, что они не производят и не используют базовые активы в рамках обычного бизнеса.

Хеджеры, в отличие от спекулянтов, напротив покупают и продают фьючерсы, чтобы исключить рискованную позицию на спотовом рынке (рынок реальных товаров), поскольку они являются либо производителями, либо потребителями базового актива.

И спекулянты и хеджеры, покупая фьючерсный контракт, занимают так называемую длинную позицию и наоборот, продавая фьючерсный контракт, занимают короткую позицию. Их соответственно называют длинными спекулянтами и хеджерами, и короткими спекулянтами и хеджерами.

В соответствии с занимаемыми позициями и стратегиями биржевой игры на рынке фьючерсов независимо от вида базового актива имеется два основных способа использования этого производного инструмента, получившие названия: "хедж производителя" или "длинный хедж" и "хедж потребителя" или "короткий хедж".

В основе фьючерсного контракта могут лежать как товары, так и финансовые инструменты. Контракты, базисными активами для которых являются финансовые инструменты, - а именно ценные бумаги, фондовые индексы, валюта, банковские депозиты, драгоценные металлы, - называются финансовыми фьючерсными контрактами.

Фьючерсный контракт можно заключить только при посредничестве брокерской компании, которая является членом биржи. При открытии позиции по контракту его участник должен внести гарантийный взнос (залог), который называется начальной, или депозитной, маржей. По величине маржа составляет обычно от 2 до 10% суммы контракта. Данные средства вносятся на клиентский счет, который открывается в расчетной палате каждому участнику торгов. Условия контрактов могут допускать внесение начальной маржи как деньгами, так и ценными бумагами.

По результатам фьючерсных торгов расчетная палата ежедневно определяет выигрыши и проигрыши участников и соответственно списывает деньги со счета проигравшей стороны и зачисляет их на счет выигравшей. Сумма выигрыша или проигрыша, начисляемая по итогам торгов, называется вариационной, или переменной, маржей. Она может быть положительной (выигрыш) и отрицательной (проигрыш).

Участник контракта может держать свою позицию открытой в течение длительного времени, например несколько дней. В таком случае расчетная палата все равно определяет по итогам каждого дня его выигрыши или проигрыши.

Чтобы не допустить чрезмерной спекуляции фьючерсными контрактами и усилить систему гарантий их исполнения, биржа устанавливает по каждому виду контракта лимит отклонения фьючерсной цены текущего дня от котировочной цены (средней цены сделок, заключенных в ходе данной сессии) предыдущего дня. Если будут подаваться заявки по более высоким или низким ценам, то они не будут исполняться. Полноценным инструментом срочного рынка в России можно назвать лишь фьючерсный контракт на доллар США.

Между тем организаторы срочной торговли не оставляли попыток расширить номенклатуру как самих срочных инструментов, так и лежащих в их основе базовых активов. Попытки эти были обречены на неудачу по нескольким причинам, основной из которых являлась инертность операторов рынка, не позволявшая придать новому контракту необходимую ликвидность. Кроме того, для организации торговли новым контрактом необходимы как минимум следующие условия: высоколиквидный биржевой базовый актив с достаточно высокой волатильностью (колеблемостью), а также устойчивой доходностью, сопоставимой с агрегированной рыночной процентной ставкой спот.

Существование актива, удовлетворяющего этим условиям, обеспечивает интерес к производным от него инструментам со стороны как хеджеров, так и спекулянтов. Благодаря политике финансовой стабилизации государственные ценные бумаги с недавних пор стали соответствовать указанным требованиям, что явилось стимулом к развитию производных от них инструментов. В результате на всех биржевых площадках столицы активно вводятся в действие фьючерсные контракты на параметры государственных ценных бумаг.

В настоящий момент существующие контракты разделяются на две группы: фьючерс на аукционные параметры ГКО (ОФЗ) и фьючерс на курс ГКО (ОФЗ) на вторичных торгах. Все торгуемые контракты являются расчетными, т.е. при исполнении контракта не происходит реальной передачи актива продавцом покупателю, а взаиморасчет производится путем перевода маржи, рассчитываемой как разность между ценой заключенного контракта и ценой спот бумаги, зафиксированной на торгах ММВБ в день исполнения контракта.

Наибольшей популярностью сегодня пользуется фьючерс на цену отсечения ввиду его чрезвычайной спекулятивности, которая объясняется коротким сроком жизни контракта, 4-5 дней, и достаточной "прозрачностью", не требующей сложных схем анализа и реализации. Данный инструмент, при всей его спекулятивной привлекательности, вызывает проблемы при проведении операции хеджирования, которая в этом случае сама по себе нетрадиционна. Известно, что на аукционе по размещению ГКО (ОФЗ), как правило, 70% бумаг размещаются по конкурентным ценам, нижнюю границу диапазона которых (цену отсечения) определяет Минфин РФ. Понятно, что любой оператор этого рынка стремится приобрести бумаги как можно дешевле, но никак не хочет быть "отсеченным".

С возникновением фьючерсных контрактов на аукционные параметры появилась возможность частично управлять этим риском. Можно видеть, что нетрадиционность хеджированию в этом случае придает сама вероятность отсечения - появляется несколько возможных целей и исходов проводимой операции. Во-первых, страховать риски допустимо в двух направлениях - риск отсечения заявки и риск потери доходности бумаг в результате приобретения по завышенной цене. Во-вторых, в любом случае не существует гарантии от ситуации "чистого проигрыша".

Следует отметить, что цены фьючерсов на аукционные параметры на биржевых (РБ и МЦФБ) и внебиржевых (Межбанковский финансовый дом) площадках практически не различаются по причине их сильной зависимости друг от друга, что сужает выбор вариантов, а также исключает возможность эффективного арбитража. Между тем в течение даже такого короткого срока жизни контрактов, как 4-5 дней, цена их значительно изменяется, порой до 10% в ту или другую сторону.

Контракт на средневзвешенную цену размещения ГКО (ОФЗ) более прост в использовании, поскольку реальная покупка бумаг на аукционе инвестору гарантирована, но имеет особенность: среди его продавцов нет ни одного хеджера, что понятно - ведь при первичном размещении продавцом (эмитентом) ценных бумаг является исключительно Минфин. Тем не менее, используя совместно контракты на цену отсечения и средневзвешенную цену, можно оптимизировать аукционную позицию. На Российской бирже торгуются также контракты на аукционные параметры глубиной до трех месяцев, т.е. в основе их лежит не реальная ценная бумага, а некоторый, трех- или шестимесячный, выпуск, который должен быть размещен в будущем и по которому будет рассчитываться фьючерсный контракт в фиксированный день каждого торгуемого месяца. Практическое применение подобных инструментов в плане страхования финансовых рисков весьма сомнительно, поскольку они имеют очень большой вероятностный разброс во времени и параметрах; при этом, однако, они достаточно четко отражают настроения спекулятивно настроенных инвесторов при условии, что те стремятся довести контракт до поставки.

Говоря о фьючерсных контрактах на курс ГКО (ОФЗ) на вторичных торгах, следует отметить их слабое развитие, причиной чего является большое количество обращающихся серий бумаг и их непривычность для участников срочного рынка. Для операций с данными контрактами требуется хорошо знать ситуацию на спотовом рынке государственных бумаг. Наиболее развитой в этом направлении является фьючерсная площадка МЦФБ, где торгуются контракты на курс большинства обращающихся серий с поставкой два раза в месяц. Московская финансовая фьючерсная биржа (МФФБ) также объявила о начале торгов фьючерсными контрактами на государственные ценные бумаги.

Применение этого инструмента позволяет увеличить гибкость портфелей государственных ценных бумаг с использованием множества стратегий, характерных для финансовых фьючерсов. С технической точки зрения, на МЦФБ торговая система контрактами на курс государственных бумаг наиболее развита, поскольку она одна из первых предприняла попытки организовать торги на ГКО; в качестве гарантийных средств могут вносится те же ГКО, ОФЗ, ОГСЗ и прочие активы в количестве до 90% от суммы всех залогов, что позволяет практически полностью исключить привлечение дополнительных рублевых средств для формирования инвестиционного портфеля. Не вызывает сомнений, что при условии сохранения финансовой стабильности в стране рынок срочных контрактов на государственные ценные бумаги обречен на быстрое развитие. При должном профессиональном подходе к его организации он способен значительно расширить диапазон проводимых финансовых операций и сделать более гибким институт страхования финансовых рисков на российском рынке.

фьючерсный контракт биржевой хеджирование

2. Расчетно-аналитическое задание

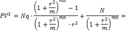
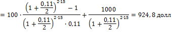
Компания выпустила облигации номиналом 1000 долл. Со сроком погашения 15 лет и двумя купонными выплатами в год в размере 50 долл. Каждая (т.е. 100 долл. В год). Определить купонную доходность и полную доходность облигации, если она размещается по номинальной стоимости.

Дано: N = 1000 долл n = 15 лет m = 2  = 50 долл P = 1000 долл Найти:  KD, YTM

Решение: Купонная доходность   Полная доходность  Для определения интервала (, определим YTM приблизительно по формуле:  Пусть:           Поскольку m>1, то  % Ответ: 10% - купонная доходность, 10% - полная доходность



Список использованной литературы

1. Федеральный закон "О рынке ценных бумаг" от 22.04.96 N 39-ФЗ (ред. от 23.07.2013)

. Боровкова, В.А. Рынок ценных бумаг: Учебное пособие. Стандарт третьего поколения / В.А. Боровкова, В.А. Боровкова. - СПб.: Питер, 2012. - 352 c.

. Галанов, В.А. Рынок ценных бумаг: Учебное пособие / В.А. Галанов. - М.: ИЦ РИОР, ИНФРА-М, 2011. - 223 c.

. Дегтярева О.И., Кандинская О.А. Биржевое дело: Учебник для вузов.- М.: Банки и биржи, ЮНИТИ, 2009.

. Козлов, А.А. Основные этапы проведения сделок с ценными бумагами//Деньги и кредит / А.А. Козлов- 2011. - № 2.

. Кузнецов, Б.Т. Рынок ценных бумаг: Учебное пособие для студентов вузов / Б.Т. Кузнецов. - М.: ЮНИТИ-ДАНА, 2013. - 288 c.

.Николаева И.П. Рынок ценных бумаг: учебник для вузов. - Издательство: Юнити-Дана, 2012 г.

. Стародубцева, Е.Б. Рынок ценных бумаг: Учебник / Е.Б. Стародубцева. - М.: ИД ФОРУМ, НИЦ ИНФРА-М, 2013. - 176 c.

. Чалдаева, Л.А. Рынок ценных бумаг: Учебник для бакалавров / Л.А. Чалдаева, А.А. Килячков. - М.: Юрайт, 2012. - 857 c.

. Чесноков А.С. Инвестиционная стратегия, опционы и фьючерсы. М., НИИ Управления Мин. Экономики РФ, 2009 г.

Похожие работы на - Фьючерсные контракты. Определение доходности облигаций

 

Не нашли материал для своей работы?
Поможем написать уникальную работу
Без плагиата!
Без нейросетей!