|
2007
|
2008
|
2009
|
2010
|
|
Число кредитных
организаций, зарегистрированных на территории Российской Федерации
|
1345
|
1296
|
1228
|
1178
|
|
в том числе
имеющих право на осуществление банковских операций (действующих)
|
1189
|
1136
|
1108
|
1058
|
|
Число кредитных
организаций с иностранным участием в уставном капитале, имеющих право на
осуществление банковских операций
|
153
|
202
|
221
|
226
|
|
в том числе:
|
|
|
|
|
|
со 100%-ным
иностранным участием
|
52
|
63
|
76
|
82
|
|
с иностранным
участием от 50 до 100%
|
13
|
23
|
26
|
26
|
|
Число филиалов
действующих кредитных организаций на территории Российской Федерации
|
3281
|
3455
|
3470
|
3183
|
|
из них:
|
|
|
|
|
|
Сбербанка
России
|
859
|
809
|
775
|
645
|
|
банков со
100%-ным иностранным участием в уставном капитале
|
90
|
169
|
242
|
241
|
|
Число филиалов
действующих кредитных организаций за рубежом
|
2
|
3
|
5
|
5
|
|
Зарегистрированный
уставный капитал действующих кредитных организаций, млрд. руб.
|
566,5
|
731,7
|
881,4
|
1244,4
|
|
Число кредитных
организаций, имеющих лицензии (разрешения), предоставляющие право:
|
|
|
|
|
|
на привлечение
вкладов населения
|
921
|
906
|
886
|
849
|
|
на
осуществление операций в иностранной валюте
|
803
|
754
|
736
|
701
|
|
на генеральные
лицензии
|
287
|
300
|
298
|
291
|
|
на проведение
операций с драгоценными металлами
|
192
|
199
|
203
|
203
|
1.2 Основные показатели деятельности банка
Основные статистические показатели, которые используются ЦБ
РФ сгруппированы в 6 блоков:
1. Структуры банковского сектора.
2. Достаточности капитала и ликвидности.
. Структуры кредитного портфеля.
. Величины и структуры золотовалютных резервов.
. Основных факторов, определяющих официальный валютный
курс.
. Индикаторов, определяющих официальные процентные
ставки.
Из них прямое отношение к банковской статистике имеют первые
3 блока. Рассмотрим более подробно именно их показатели.
Структура банковского сектора включает в себя следующие
показатели:
· Количество зарегистрированных и количество действующих банков на
территории России и их распределение в региональном разрезе.
· Количество филиалов кредитных организаций и их распределение по
регионам.
· Индекс количества банковских учреждений в регионе. Рассчитывается
как отношение количества банковских учреждений в регионе к аналогичному
среднероссийскому показателю, выраженное в процентах. [8] Используется при
расчете индекса концентрации финансовых потоков.
· Среднее количество филиалов, созданных одним банком.
Рассчитывается делением количества филиалов банков, зарегистрированных в данном
регионе, вне зависимости от места расположения этих филиалов, на количество
банков, зарегистрированных на территории.
· Группировка кредитных организаций в соответствии с величиной
совокупного или уплаченного капитала.
· Группировка кредитных организаций в соответствии с видом выданных
ЦБ РФ лицензий.
Достаточность капитала - показатель деятельности банка,
выражаемый в виде отношения собственных средств банка к суммарному объему
активов, взвешенных с учетом риска.
Достаточность капитала и ликвидность подразумевает изучение
следующих показателей:
· Темпы роста совокупного собственного капитала банков;
· Капитал банковского сектора, в том числе в процентах к ВВП; к
величине активов банковского сектора;
· Отношение капитала банков к величине активов, взвешенных по уровню
риска;
· Отношение основного капитала к активам, взвешенным по уровню
риска;
· Отношение высоколиквидных активов к величине совокупных активов
банковского сектора;
· Отношение ликвидных активов к величине совокупных активов;
· Отношение высоколиквидных активов к обязательствам до
востребования;
· Отношение средств клиентов к величине совокупных ссуд.
Показатели структуры кредитного портфеля банковской системы:
Отношение общей суммы привлеченных банковских
депозитов (с учетом и без учета полученных межбанковских депозитов) в
отечественной и иностранной валюте к ВВП;
Отношение общей суммы выданных банками кредитов (с
учетом и без учета предоставленных межбанковских кредитов) в отечественной и
иностранной валюте к ВВП;
Отношение общей суммы межбанковских кредитов
(депозитов) в отечественной и иностранной валюте к ВВП;
Темпы роста совокупных кредитных вложений банков (с
учетом и без учета межбанковских кредитов);
Темпы роста краткосрочных кредитных вложений банков
(с учетом и без учета соответствующих межбанковских кредитов);
Темпы роста совокупных (кратко- и долгосрочных)
депозитов банковских клиентов (с учетом и без учета межбанковских депозитов);
Специфика банков как посредников состоит в том, что большая
часть их доходов зависит от процентных ставок, причем, если для клиентов банков
значение имеет уровень как реальной, так и номинальной ставки процента, то для
банков наиболее важный параметр - это разница между процентными ставками.
Активы финансовой организации обычно отражены в бухгалтерском балансе того или
иного учреждения. Под активами понимаются ресурсы, имеющиеся в распоряжении
организации. Они формируются из собственных средств банка и денег клиентов,
размещенных на счетах с целью получения дохода. К активам банка относят ссуды,
инвестиции, кассовую наличность, ценные бумаги, недвижимость и прочие объекты
собственности, имеющие материальную оценку.
Доходность активов банка - единичный показатель оценки
эффективности банка, характеризующий в относительных единицах использование
всех ресурсов, полученных банком в свое распоряжение.
Доходность активов банка - отношение прибыли к средним
суммарным активам.
1) Коэффициент доходности активов (Кд.а) определяется
как отношение совокупного дохода к величине активов банка:
Кд.а =Д / А (1),
где Д - совокупный доход банка;
А - величина активов банка.
) Коэффициент доходности активов, приносящих доход (КД
АПД), определяется как отношение совокупного дохода к величине активов,
приносящих доход:
К Д АПД = Д / АПД (2),
где Д - совокупный доход банка;
АПД - активы, приносящие доход (работающие).
) Коэффициент процентной доходности, приносящих доход
(К ПД АПД), определяется как отношение процентных доходов к величине
работающих активов:
К ПД АПД = Дп / АПД (3),
где Дп - процентные доходы банка;
АПД - активы, приносящие доход (работающие).
) Коэффициент непроцентной доходности активов,
приносящих доход (КНД АПД), определяется как отношение непроцентных
доходов к величине активов, приносящих доход:
К НДАПД = Дн / АПД (4),
где Дн - непроцентные доходы банка.
Коэффициент доходности активов показывает величину доходов,
приходящихся на 1 руб. активов банка.
Прибыльность банка - показатель деятельности банка,
характеризующий:
для акционеров - доход на инвестированный капитал;
для вкладчиков - гарантию надежности и эффективности работы
банка;
- для банка - основной источник собственного капитала
Основными критериями прибыльности являются доходность активов
и чистая прибыль. Основной и наиболее стабильной составляющей чистой прибыли
коммерческого банка является чистая процентная маржа, дающая возможность
определить эффективность использования платных ресурсов в размещаемых под
процент активах. Процентную маржу можно определить следующим образом:
ПМЧ = (Дп - Рп) / АПД * 100% = ПП / АПД * 100%
(5),
где Дп - процентные доходы банка;
Рп - процентные расходы банка;
АПД - активы, приносящие доход (работающие);
ПП - процентная прибыль.
Если в формуле (5) вместо активов, приносящих доход,
используются совокупные активы (усредненные), то данный показатель называется
общей процентной маржой (ПМ О):
ПМО = ПП / А * 100% (6),
где А - величина активов банка.
Таблица 2. Ранжировка экспертами показателей деятельности
банка по их важности для понятия надежности банка [8]
|
ПОКАЗАТЕЛЬ
|
% экспертов,
указавших этот показатель в числе важнейших
|
|
Доля
просроченной задолженности в кредитах
|
72%
|
|
Текущая
ликвидность
|
48%
|
|
Достаточность
собственного капитала
|
48%
|
|
Собственный
капитал
|
44%
|
|
Доля
долгосрочных пассивов в валюте баланса
|
44%
|
|
Доля
неработающих активов в валюте баланса
|
44%
|
|
Активы
|
40%
|
|
Рентабельность
капитала
|
40%
|
|
Мгновенная
ликвидность
|
28%
|
|
Доля
долгосрочных кредитов в валюте баланса
|
20%
|
Из таблицы видно, что наиболее важной характеристикой
деятельности банка эксперты считают долю просроченной задолженности в выданных
кредитах. В группу наиболее влияющих на надежность также вошли показатели
ликвидности активов, достаточности капитала, рентабельности и размера
собственного капитала. Доля долгосрочных кредитов в экономике в первую пятерку
не попала, тем не менее 20% экспертов считают этот показатель важным.
1.3 Статистические методы изучения взаимосвязей
финансовых показателей деятельности банков
В банковской статистике применяются следующие статистические
методы:
. Метод группировок.
Метод группировки позволяет изучать экономические явления в
их взаимосвязи и взаимозависимости, выявлять влияние на изучаемый показатель
отдельных факторов, обнаруживать проявление тех или иных закономерностей,
свойственных деятельности банков. В основу группировки всегда должна быть
положена экономически обоснованная классификация изучаемых явлений и процессов,
а также обуславливающих их причин и факторов. Данный метод позволяет путем
систематизации данных баланса банка разобраться в сущности анализируемой
совокупности. В первую очередь применяют группировку счетов по активу и пассиву
Каждую из этих групп можно дополнительно разделить по доходности, ликвидности,
контрагентам, срокам, видам операций, степени риска возможной части стоимости
активов, формам вложения средств. В зависимости от специфики оформления и
инструментов осуществления банковских операций балансовые статьи могут быть
сгруппированы таким образом: депозитно-ссудные, расчетные, инвестиционные,
агентские. При группировке статей баланса по субъектам сделки, как по активу,
так и по пассиву, выделяют: межбанковские операции, внутри банковские операции,
операции с клиентурой, с прочими контрагентами. В ходе анализа применяются
важнейшие группировки счетов баланса с точки зрения выделения собственных и
привлеченных ресурсов банка, долгосрочных и краткосрочных кредитных вложений,
сроков активно - пассивных операций, видов доходов и расходов и другие. Статьи
актива баланса могут быть сгруппированы по степени ликвидности, уровню
доходности, степени риска и т.д.
. Метод рядов динамики.
Важнейшей задачей статистики является изучение изменения
явления во времени, под воздействием различных факторов. Влияние этих факторов
учитывается в хронологических рядах путем применения метода анализа рядов
динамики.
Ряд динамики - это ряд последовательно расположенных
статистических показателей (в хронологическом порядке), изменение которых
показывает определенную тенденцию развития изучаемого явления. [3] Любой ряд
динамики состоит из двух элементов: показатель времени (t) и уровень ряда (y). В зависимости от
показателя времени ряды динамики подразделяют на моментные и интервальные.
Моментные - это такие ряды динамики, уровни которых относятся к определенным
датам или моментам времени. Интервальные - это такие ряды, уровни которых
относят к отдельным периодам или интервалам времени. Каждый уровень
интервального ряда складывается из данных за более короткие промежутки времени.
Так, в банковской статистике можно выявить накопленные итоги, которые будут
иметь реальное содержание. Например, вклады (депозиты) физических лиц в
сберегательном банке РФ за определенный период времени.
. Метод сравнения
Метод сравнения необходим для получения исчерпывающего
представления о деятельности банка. Важно постоянно следить за изменениями
отдельных статей баланса и расчетных показателей, при этом сравнивая их
значения. Метод позволяет определить причины и степень воздействия динамических
отклонений, например, фактической ликвидности от нормативной, выявить резервы
повышения доходности операций банка, снижения операционных расходов. Условием
применения метода является полная сопоставимость сравниваемых показателей, то
есть наличие единства в методике их расчета. В связи с этим используют методы
сопоставимости: прямого пересчета, смыкания, приведения к одному основанию. Для
практической деятельности и управления банком применяют не только
внутрибанковский сравнительный анализ, но и сопоставление основных показателей
доходности, ликвидности, надежности с данными других банков. Такой метод
анализа называют межбанковским сравнительным анализом. Как правило, его
используют банки-корреспонденты, потенциальные клиенты для оценки
результативности банковского менеджмента.
. Метод средних.
Средние величины в статистике - основная форма обобщающих
показателей. Средняя величина - обобщающая характеристика изучаемого признака в
исследуемой совокупности. Характеризует однотипные общественные явления по
одному количественному признаку. Отражает типичный уровень признака в расчете
на единицу совокупности в конкретных условиях места и времени. Средние величины
применяют в работе банков, например, определяют среднюю заработную плату
работников банка, средний возраст клиентов банка, средние остатки средств на
расчетных счетах предприятий, среднюю оборачиваемость кредитов, средний остаток
просроченной задолженности по ссудам и т.д. Средние величины классифицируются
на степенные средние, средние хронологически и структурные средние.
Степенные средние характеризуют изменения, происходящие в
вариационных рядах и рассчитываются по формуле:

(7)
где, 
- степенная средняя
х - значение признака в вариационном ряду
m - степень степенной средней
n - число-вариант (число единиц совокупности).
В зависимости от величины степени m степенные средние подразделяют на среднюю арифметическую (
, m=1); среднюю квадратическую (
, m=2); среднюю геометрическую (
, m=0); среднюю гармоническую (
, m=-1) и среднюю кубическую (
, m=3).
Степенные средние существуют в двух формах: простая форма и
взвешенная форма средней величины. Взвешиванием в статистики называют
суммирование произведения частот на варианты.
Средние хронологические характеризую ряды динамики и
рассчитываются по формуле:

(8)
где, 
- средняя величина в совокупности

- значения величины признака в ряду динамики

- число
изучаемых периодов, признаков совокупности.
Структурные средние характеризуют состав или структуру
совокупности.
Примером использования средней арифметической простой в банковской
статистике может послужить таблица 3, показывающая средний размер вклада
(депозита) физических лиц на рублевых счетах в сберегательном банке РФ по
субъектам РФ. [4]
Таблица 3. Средний размер вклада (депозита) физических лиц на
рублевых счетах в сберегательном банке РФ по округам РФ
|
2007 г.
|
2008 г.
|
2009 г.
|
2010 г.
|
|
Российская
Федерация
|
6373
|
8220
|
8469
|
9895
|
|
Центральный
федеральный округ
|
9800
|
12998
|
13098
|
15061
|
|
Северо-Западный
федеральный округ
|
19604
|
26278
|
10361
|
12064
|
|
Южный
федеральный округ
|
9946
|
13453
|
5735
|
6848
|
|
Приволжский
федеральный округ
|
3594
|
4655
|
7474
|
9205
|
|
Уральский
федеральный округ
|
3836
|
4672
|
6745
|
7968
|
|
Сибирский
федеральный округ
|
4076
|
5146
|
5328
|
6299
|
|
Дальневосточный
федеральный округ
|
4116
|
4878
|
5953
|
6999
|
Среднюю арифметическую взвешенную, которая применяется в тех
случаях, когда известны не только варианты, но и их вес, то есть частота
повторения соответствующих вариант, наглядно можно увидеть на рисунке 1. [7]
Рис. 1 Средневзвешенные ставки по кредитам.
На рисунке 1 ставка рефинансирования - инструмент денежно-кредитного
регулирования, с помощью которого Банк России воздействует на процентные ставки
на различных сегментах финансового рынка (утверждается Советом директоров Банка
России); а средневзвешенная ставка - ставка, взвешенная по объемам
предоставленных кредитов и срокам пользования кредитами.
2.
Расчетная часть
Имеются следующие выборочные данные о деятельности российских
банков (выборка 3%-ная механическая), млн. руб.:
|
№ банка п/п
|
Прибыль
|
Собственный
капитал
|
|
1
|
62
|
1969
|
|
2
|
175
|
5207
|
|
3
|
83
|
840
|
|
4
|
153
|
1828
|
|
5
|
118
|
589
|
|
6
|
170
|
1368
|
|
7
|
139
|
2080
|
|
8
|
200
|
2400
|
|
9
|
244
|
3681
|
|
10
|
268
|
5590
|
|
11
|
342
|
8587
|
|
12
|
329
|
2971
|
|
13
|
289
|
6930
|
|
14
|
66
|
1115
|
|
15
|
121
|
1076
|
|
16
|
129
|
1969
|
|
17
|
166
|
4703
|
|
18
|
67
|
440
|
|
19
|
282
|
2960
|
|
20
|
148
|
981
|
|
21
|
165
|
3808
|
|
22
|
198
|
530
|
|
23
|
163
|
895
|
|
24
|
240
|
2818
|
|
25
|
224
|
3034
|
165
|
1079
|
|
27
|
213
|
2918
|
|
28
|
64
|
985
|
|
29
|
111
|
2020
|
|
30
|
119
|
1576
|
|
31
|
93
|
1152
|
|
32
|
189
|
3810
|
|
33
|
203
|
2400
|
|
34
|
237
|
4077
|
|
35
|
215
|
2338
|
|
36
|
153
|
1517
|
|
37
|
306
|
2646
|
банк статистика финансовый экономический
Задание 1
По исходным данным:
1. Постройте статистический ряд распределения
организаций по признаку прибыль, образовав заданное число групп с
равными интервалами.
2. Постройте графики полученного ряда
распределения. Графически определите значения моды, медианы, первый и третий
квартили и первый и девятый децили.
3. Рассчитайте характеристики
интервального ряда распределения: среднюю арифметическую, среднее
квадратическое отклонение, коэффициент вариации.
4. Вычислите среднюю арифметическую
по исходным данным, сравните ее с аналогичным показателем, рассчитанным в п. 3
для интервального ряда распределения. Объясните причину их расхождения.
Сделайте выводы по результатам выполнения
задания.
Решение.
Целью выполнения данного Задания является изучение
состава и структуры выборочной совокупности банков путем построения и анализа
статистического ряда распределения банков по признаку Прибыль.
Построение интервального ряда распределения
банков по прибыли
Для построения интервального вариационного ряда,
характеризующего распределение банков по прибыли, необходимо вычислить величину
и границы интервалов ряда.
При построении ряда с равными интервалами величина интервала h определяется по формуле
, (1)
где
- наибольшее и наименьшее значения признака в исследуемой
совокупности, k - число групп интервального ряда.
Число групп k задается в условии задания или
рассчитывается по формуле Г. Стерджесса
k=1+3,322lgn, (2)
где n - число единиц
совокупности.
Определение величины интервала по формуле (1) при заданных k = 5, xmax = 342 млн руб., xmin = 62 млн руб.:
При h = 56 млн руб. границы интервалов ряда
распределения имеют следующий вид (табл. 1):
Таблица 1
Для построения интервального ряда необходимо подсчитать число
банков, входящих в каждую группу (частоты групп). При этом
возникает вопрос, в какую группу включать единицы совокупности, у которых
значения признака выступают одновременно и верхней, и нижней границами смежных
интервалов (это 118, 174, 230, 286 млн руб.). Отнесение таких единиц к одной из
двух смежных групп рекомендуется осуществлять по принципу полуоткрытого
интервала. Т.к. при этом верхние границы интервалов не принадлежат
данным интервалам, то соответствующие им единицы совокупности включаются не в
данную группу, а в следующую. В последний интервал включаются и нижняя,
и верхняя границы.
Процесс группировки единиц совокупности по признаку Прибыль
представлен во вспомогательной (разработочной) таблице 2 (графа 4 этой таблицы
необходима для построения аналитической группировки в Задании 2).
Таблица
2. Разработочная таблица для построения интервального ряда распределения и
аналитической группировки
На основе групповых итоговых строк «Всего» табл. 2
формируется итоговая табл. 3, представляющая интервальный ряд
распределения банков по прибыли.
Таблица 3. Распределение банков по прибыли
Помимо частот групп в абсолютном выражении в анализе
интервальных рядов используются ещё три характеристики ряда, приведенные в
графах 4 - 6 табл. 4. Это частоты групп в относительном выражении, накопленные
(кумулятивные) частоты Sj, получаемые путем
последовательного суммирования частот всех предшествующих (j-1) интервалов, и накопленные
частости, рассчитываемые по формуле
.
Таблица 4. Структура банков по прибыли
Вывод. Анализ интервального ряда распределения
изучаемой совокупности банков показывает, что распределение банков по прибыли
не является равномерным: преобладают банки с прибылью от 118 млн. руб. до 174
млн. руб. (это 13 банков, доля которых составляет 35,1%); 18,9% банков имеют
кредитные вложения менее 118 млн. руб., а 54% - менее 174 млн. руб.
Нахождение моды и медианы полученного
интервального ряда распределения графическим методом и путем расчетов
Мода и медиана являются структурными средними
величинами, характеризующими (наряду со средней арифметической) центр
распределения единиц совокупности по изучаемому признаку.
Мода Мо для дискретного ряда - это значение признака,
наиболее часто встречающееся у единиц исследуемой совокупности. В интервальном
вариационном ряду модой приближенно считается центральное значение
модального интервала (имеющего наибольшую частоту). Более точно моду
можно определить графическим методом по гистограмме ряда (рис. 1).
Рис. 1 Определение моды графическим методом
Конкретное значение моды для интервального ряда
рассчитывается по формуле:
(3)
где хМo - нижняя граница
модального интервала,
h - величина модального интервала,
fMo - частота модального
интервала,
fMo-1 - частота интервала,
предшествующего модальному,
fMo+1 - частота интервала,
следующего за модальным.
Согласно табл. 1.3 модальным интервалом построенного ряда
является интервал 118-174 млн. руб., так как его частота максимальна (f2 = 13).
Расчет моды по формуле (3):
Вывод. Для
рассматриваемой совокупности банков наиболее распространенная прибыль
характеризуется средней величиной 148,54 млн руб.
Медиана Ме - это значение признака, приходящееся на середину ранжированного
ряда. По обе стороны от медианы находится одинаковое количество единиц
совокупности.
Медиану можно определить графическим методом по кумулятивной
кривой (рис. 2). Кумулята строится по накопленным частотам (табл. 4, графа 5).
Рис. 2. Определение медианы графическим методом
Конкретное значение медианы для интервального ряда рассчитывается
по формуле:
, (4)
где хМе - нижняя граница медианного
интервала,
h - величина медианного интервала,
- сумма всех частот,
fМе - частота медианного интервала,
SMе-1 - кумулятивная (накопленная) частота интервала, предшествующего
медианному.
Для расчета медианы необходимо, прежде всего, определить медианный
интервал, для чего используются накопленные частоты (или частости) из табл. 4
(графа 5). Так как медиана делит численность ряда пополам, она будет
располагаться в том интервале, где накопленная частота впервые равна
полусумме всех частот
или превышает ее (т.е. все предшествующие
накопленные частоты меньше этой величины).
В данном примере медианным интервалом является интервал 118-174
млн. руб., так как именно в этом интервале накопленная частота Sj = 20 впервые превышает величину, равную
половине численности единиц совокупности (
=
).
Расчет значения медианы по формуле (4):
Вывод. В
рассматриваемой совокупности банков половина банков имеют в среднем прибыль не
более 167,5 млн руб., а другая половина - не менее 167,5 млн руб.
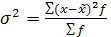
Расчет характеристик ряда распределения
Для расчета характеристик ряда распределения
, у, у2, Vу на основе табл. 4 строится
вспомогательная табл. 5 (
- середина j-го интервала).
Таблица 5. Расчетная таблица для нахождения характеристик
ряда распределения
Расчет средней арифметической взвешенной:
(5)
Расчет дисперсии:
(6)
Расчет среднего квадратического отклонения:
Расчет коэффициента вариации:
(7)
Вывод.
Анализ полученных значений показателей
и у говорит о том, что средняя прибыль банков
составляет 181 млн. руб., отклонение от среднего объема в ту или иную сторону
составляет в среднем 69,325 млн. руб. (или 38,3%), наиболее характерные
значения прибыли находятся в пределах от 111,65 млн. руб. до 250,35 млн. руб.
(диапазон
).
Расхождение между значениями
, Мо и Ме незначительно (
=181 млн. руб., Мо=148,54 млн.
руб., Ме=167,5 млн. руб.), что подтверждает вывод об однородности
совокупности банков. Таким образом, найденное среднее значение прибыли (181
млн. руб.) является типичной, надежной характеристикой исследуемой совокупности
банков.
Вычисление средней арифметической по исходным данным
Для расчета применяется формула средней арифметической простой:
, (8)
Причина расхождения средних величин, рассчитанных по формулам (8)
и (5), заключается в том, что по формуле (8) средняя определяется по
фактическим значениям исследуемого признака для всех 37 банков, а по формуле
(5) средняя вычисляется для интервального ряда, когда в качестве значений признака
берутся середины интервалов
и, следовательно, значение средней будет менее точным (за
исключением случая равномерного распределения значений признака внутри каждой
группы).
Задание 2
По исходным данным:
Установите наличие и характер связи между признаками прибыль
и величина собственного капитала, образовав пять групп
с равными интервалами по обоим признакам, методами:
а) аналитической группировки;
б) корреляционной таблицы.
Решение:
а)
Таблица 6. Аналитическая группировка
Средняя арифметическая простая по признаку Y (величина собственного
капитала) находится по формуле 9

(9)
На основе анализа аналитической таблицы можно сделать вывод, что в
среднем на один банк с ростом прибыли от группы к группе собственный капитал
также увеличивается; а общая прибыль и общий собственный капитал сначала
возрастает, а потом убывает. Следовательно, наличие связи выявить сложно.
б)
Проранжируем исходную таблицу по признаку собственный капитал
и определим величины интервала по формуле 10
(10)
Группы банков по признаку «собственный капитал» получим путем
прибавления величины интервала к минимальному уровню признака в группе (Таблица
7)
Таблица 7
Ранжированный ряд по признаку собственный капитал представлен в
таблице 8.
Таблица 8. Ранжированный ряд по признаку собственный капитал
На основе таблицы 2 и таблицы 8 построим корреляционную
таблицу9
Таблица 9. Корреляционная таблица
Вывод: при анализе корреляционной таблицы нельзя судить о
наличии прямой корреляционной связи между прибылью банков и собственным
капиталом. Связь между этими признаками умеренная и совокупность качественно не
однородна.
Задание 3
По результатам выполнения задания 1 с
вероятностью 0,683 определите:
. Ошибку выборки средней прибыли и
границы, в которых будет находиться средний размер прибыли в генеральной
совокупности.
. Ошибку выборки доли банков с
прибылью 153 млн. руб. и более и границы, в которых будет находиться
генеральная доля.
Решение:
1. Составим дополнительную таблицу «Расчет показателей
выборочного наблюдения» (Таблица 10)
Таблица 10. Расчет показателей выборочного наблюдения
Среднее значение признака в выборочной совокупности 
находится по формуле (11)

(11)

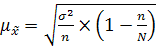
Ошибку выборки необходимо находить по бесповторному отбору по
формуле (12)

(12)
где, 
- дисперсия в генеральной совокупности (находится по формуле 13)

(13)

n - число единиц в выборочной совокупности
N - число единиц в генеральной совокупности.
В условии сказано, что выборка 3%-ая, механическая. Следовательно,
n=37 составляет 3%, а N= х составляет 100%. Найдем х по правилу пропорции (формула
14)

(14)
По формуле 22 найдем ошибку выборки по бесповторному отбору

=11,23
Границы, в которых будет находиться средний размер прибыли в
генеральной совокупности, находятся по формуле (15)

(15)
t - Коэффициент доверия, который зависит от вероятности (Таблица
11).
Таблица 11. Зависимость коэффициент доверия от вероятности
|
Вероятность
|
t
|
|
0,683
|
1
|
|
0,866
|
1,5
|
|
0,954
|
2
|
|
0,987
|
2,5
|
|
0,997
|
3
|
|
0,999
|
3,28
|
По условию вероятность = 0,683. Следовательно, t=1
Найдем границы, в которых будет находиться средний размер
прибыли в генеральной совокупности, по формуле 15


Вывод: в 683 случаях из 1000 размер средней прибыли в генеральной
совокупности будет лежать в пределах от 169,58 млн. руб. до 192,04 млн. руб. В
остальных 317 случаях из 1000 она будет выходить за эти границы.
. Ошибку выборки доли банков с прибылью 153 млн. руб. и более
найдем по формуле (16)

(16)
Для нахождения значения щ (доля в выборочной совокупности) необходимо
выяснить у какого количества банков прибыль будет 153 млн. руб. и более. По
таблице 1.3, количество таких банков = 24 (N). Найдем долю в выборочной совокупности по формуле (17)

(17)


Найдем ошибку выборки доли банков с прибылью 153 млн. руб. и более
по формуле (16), используя уже найденное в пункте 1 значение N=1233,34

Найдем границы, в которых будет находиться генеральная доля, по
формуле (18)

(18)

57,16 < p < 72,56
Вывод: в 683 случаях из 1000 доля банков с прибылью 153 млн. руб.
и более в генеральной совокупности будет лежать в приделах от 57,16% до 72,56%.
В остальных 317 случаях доля таких банков будет выходить за эти границы.
Задание 4
Имеются следующие данные по коммерческому банку, млн. руб.:
|
Показатели
|
Период
|
|
базисный
|
отчетный
|
|
Капитал банка
|
610
|
720
|
|
Активы банка -
всего
|
4270
|
5148
|
|
в том числе
работающие активы
|
3030
|
3700
|
|
Доходы - всего
|
595
|
698
|
|
в том числе
процентные доходы
|
476
|
572
|
|
Расходы - всего
|
482
|
550
|
|
в том числе
процентные расходы
|
380
|
455
|
|
Платежи в
бюджет из прибыли
|
35
|
44
|
Определите:
. Показатели прибыли и рентабельности коммерческого банка за
каждый период;
. Изменение балансовой прибыли в результате изменения
капитала, эффективности использования активов, мультипликатора капитала и доли
маржи прибыли.
Решение:
1. Показатель прибыли коммерческого банка можно найти по
формуле (19)
П=Д - Р - Н (19)
где, П - прибыль банка
Д - общие доходы банка
Р - общие расходы банка
Н - платежи в бюджет из прибыли
Для базисного периода: Пб = 595 - 482 - 35 = 78
(млн. руб.)
Для отчетного периода: П0 = 698 - 550 - 44 = 104
(млн. руб.)
Общую рентабельность коммерческого банка можно найти по
формуле (20) и она будет характеризовать эффективность затрат банка - объем
прибыли на каждую единицу затрат.
Общ. Рент. = 
(20)
Общая рентабельность в базисном периоде = 
Общая рентабельность в отчетном периоде = 
. Влияние на прибыль изменения собственного капитала находится по
формуле (21)
(21)
где, К1 - собственный капитал в отчетном периоде; КО-то
же за предыдущий период; HI - уровень использования активов в
отчетном периоде; Н2 - мультипликатор капитала в отчетном периоде; НЗ
- уровень маржи прибыли в отчетном периоде.
Собственный капитал находится по формуле (22)

(22)
Влияние на прибыль изменения уровня эффективности использования
активов находится по формуле (23)

(23)
где 
- уровень эффективности использования активов в предыдущем
периоде.
Влияние на прибыль изменения мультипликатора капитала находится по
формуле (24)

(24)
где, 
- мультипликатор собственного капитала в предыдущем периоде.
Влияние на прибыль изменения размера маржи прибыли находится по
формуле (25)

(25)
где, 
- маржа в предыдущем периоде
Для того чтобы использовать эти формулы необходимо знать значение
мультипликатора капитала в отчетном и базисном периодах; значение доли маржи
прибыли в отчетном и базисном периодах; уровень использования активов в
отчетном и базисном периодах (формула 28)
Мультипликатор находится по формуле (26), а маржа по формуле (27)
Мультипликатор = 
(26)
Мультипликатор капитала является отражением мощи собственного
капитала банка и показывает, каким источникам формирования ресурсов отдает
предпочтение банк в своей работе - использованию заемных средств или
наращиванию акционерного капитала.
Маржа = 
(27)
Показатель прибыльности доходов, или маржа прибыли, показывает
удельный вес прибыли в сумме полученных банком доходов.
Уровень использования активов = 
(28)
По приведенным выше формулам найдем:
Собственный капитал в базисном периоде:

Собственный капитал в отчетном периоде:

Мультипликатор в базисном периоде = 
Мультипликатор в отчетном периоде = 
Маржа в базисном периоде = 
Маржа в отчетном периоде = 
Уровень использования активов в базисном периоде = 
Уровень использования активов в отчетном периоде = 
Влияние на прибыль изменения собственного капитала = (0,02-0,018)
0,0003
Влияние на прибыль изменения уровня эффективности использования
активов = (0,14-0,14)
0. Это значит, что изменение уровня эффективности использования
активов не будет влиять на прибыль.
Влияние на прибыль изменения мультипликатора капитала = (7,15 - 7)
0,000063
Влияние на прибыль изменения размера маржи прибыли = (0,15 - 0,13)
=0,00039
3.
Аналитическая часть
Постановка задачи
Обобщенную оценку эффективности деятельности кредитных
организаций дают достигнутые ими финансовые результаты.
Одним из направлений изучения финансовых результатов
деятельности кредитных организаций является анализ объема прибыли, полученной
за несколько отчетных периодов, т.е. ее динамики.
По данным отчетов о объемах прибыли и убытков кредитных
организаций, за несколько лет, представленным в табл. 1, проведем анализ
динамики объема прибыли по прибыльным кредитным организациям, для чего
рассчитаем следующие показатели:
абсолютный прирост;
темп роста;
темп прироста;
средние за период уровень ряда, абсолютный прирост, темпы
роста и прироста.
Таблица 1. Объем прибыли по прибыльным кредитным организациям
[7] (на начало года)
|
2007
|
2008
|
2009
|
2010
|
2011
|
|
Объем прибыли
по прибыльным кредитным организациям, млн. руб.
|
372382
|
508882
|
446936
|
284939
|
595047
|
Методика решения задачи
Расчет показателей анализа ряда динамики осуществим по
формулам, представленным в табл. 2.
Таблица 2. Формулы расчета показателей
|
Показатель
|
Базисный
|
Цепной
|
Средний
|
|
Абсолютный
прирост
|
(1) (2) (3)
|
|
|
|
Темп роста
|
(4) (5) (6)
|
|
|
|
Темп прироста
|
(7) (8) (9)
|
|
|
Средний уровень в интервальном ряду динамики вычисляется по
формуле:
Для определения абсолютной величины, стоящей за каждым процентом
прироста прибыли, рассчитывают показатель абсолютного значения одного процента
прироста (А%). Один из способов его расчета - расчет по формуле:
Числовые обозначения:
y1 -
уровень первого периода;
yi - уровень сравниваемого периода;
yi-1 - уровень предыдущего периода;
yn - уровень последнего периода;
n - число уровней ряда динамики.
Технология выполнения компьютерных расчетов
Расчеты показателей анализа динамики объема прибыли по
прибыльным кредитным организациям выполнены с применением пакета прикладных
программ обработки электронных таблиц MS Excel в среде Windows.
Расположение на рабочем листе Excel исходных данных (табл.
1) и расчетных формул (1) - (10) (в формате Excel) представлено в табл. 3.
Таблица 3
Таблица 4. Результаты расчетов
На рис. 1 представлено графическое изображение динамики
объема прибыли по прибыльным кредитным организациям за 5 лет.
Рис. 1. Диаграмма динамики объема прибыли по прибыльным
кредитным организациям
Анализ результатов статистических компьютерных
расчетов
Результаты проведенных расчетов позволяют сделать следующие
выводы.
Объем прибыли вырос за пять лет на 59,79%, что в абсолютном
выражении составляет 222665 млн. руб.
В 2008 году наблюдается положительная динамика, что не
скажешь о последующих двух годах (2009,2010). Она носит скачкообразный
характер. Об этом говорят ценные абсолютные приросты (от года к году они то
увеличивались, то уменьшались) и цепные темпы роста и прироста. Это же
подтверждает и графическое изображение динамики прибыли (см. рис. 1).
В течение анализируемого пятилетнего периода деятельности
прибыльных кредитных организаций средний объем прибыли составил 441637,2 млн.
руб., в среднем за год она увеличивалась на 55666,3 млн. руб. (
=55666,3) или на 12,4% (
=112,4).
Для более глубокого анализа динамики прибыли необходимо изучить
изменения составляющих ее элементов и направления этих изменений за
рассматриваемый период, выявить влияние отдельных факторов.
Заключение
Первая часть - теоретическая - была нацелена на то, чтобы
рассмотреть основные теоретические вопросы, касающиеся данной темы. Раскрыть
сущность банковской системы и банковской статистики; выявить основные
показатели деятельности банка, осветить формулы и основные обозначения, которые
касаются данной темы. Были рассмотрены такие статистические методы изучения
взаимосвязей финансовых показателей деятельности банка, как метод группировок,
метод рядов динамики, метод сравнения и метод средних. Подробно, с
использованием новейшей статистической информации, из этих методов был изучен
метод средних. Таким образом, из первой части следует, что статистические
методы очень важны и очень помогают в изучении деятельности банка.
Вторая часть - расчетная - направлена на закрепление
полученных знаний при решении статистических задач. Были закреплены следующие
темы статистики - сводка и группировка, ряды распределения, статистические
таблицы, относительные величины, показатели вариации, статистические методы
изучения взаимосвязей, выборочное наблюдение. А также тема, непосредственно
касающаяся банковской статистики - расчет показателей прибыли банка и изменение
балансовой прибыли.
Третья часть - аналитическая - была нацелена на
самостоятельную постановку задачи, решение этой задачи и формулировку выводов.
Для аналитической часть был выбран метод анализа рядов динамики, с помощью
которого были выявлены взаимосвязи между объемами прибыли по прибыльным
кредитным организациям в различных годах (с 2007 по 2011).
Список использованной литературы
1. Голуб Л.А. Социально-экономическая статистика:
Учеб. Пособие для студентов высш. учеб. заведений. - М.: Гуманит. изд. цент
ВЛАДОС, 2003. - 272 с.
2. Ефимова М.Р., Петрова Е.В., Румянцев В.Н.
Общая теория статистики: Учебник. - М.: ИНФРА - М, 2004. - 416 с.
. Орехов С.А. Статистика: Учебник. - М.:
Эксмо, 2010. - 448 с.
. Регионы России. Социально-экономические
показатели. 2010: Стат. сб. / Росстат. - М., 2010. - 996 с.
. Российский статистический ежегодник.
2010: Стат.сб. / Росстат. - М., 2010. - 813 с.
. http://gks.ru/wps/wcm/connect/rosstat/rosstatsite/main/finance/#
7. http://www.gks.ru/free_doc/new_site/finans/fin33.htm
8. http://chaliev.narod.ru/statistics/lection3