Разработка алгоритма и программная реализация на эмуляторе микро-ЭВМ СМ-1800
1. Введение
Курсовой проект по дисциплине «Организация ЭВМ и
систем» состоит из двух основных частей - аналитической и практической. Это,
соответственно, теория и непосредственно сам программный продукт. Вторая часть
состоит из блок-схемы алгоритма с поясняющим текстом, листинга программы с
комментариями и результатов ее тестирования.
В заключительной части курсового проекта
находятся описание использованных при проектировании средств вычислительной
техники (характеристика оборудования и стандартного программного обеспечения),
выводы и список литературы.
Вариант №1.
. Аналитическая часть
Подготовить для аналитической части реферативный
материал на следующие темы:
ñ Двоичная, восьмеричная и
шестнадцатеричная системы счисления.
ñ Правила переводов десятичных чисел в
них и обратно.
ñ Форматы хранения чисел с плавающей
точкой.
Числа для примеров в обзоре взять из второго
пункта настоящего задания.
. Практическая часть
Задача для разработки алгоритма и программной
реализации на эмуляторе микро-ЭВМ СМ-1800.
Пользуясь программой Монитор занести в память
ЭВМ, начиная с адреса 500016, следующий массив констант:
|
Адрес16
|
Константа16
|
|
5000
|
С1
|
|
5001
|
70
|
|
5002
|
FD
|
|
5003
|
A4
|
Будем рассматривать эти четыре байта как число в
формате с плавающей точкой (1+8+23). (старший байт числа записан в старшем
адресе!) Восьмиразрядный порядок имеет смещение pсм=12810.
Двоичная двадцатитрехразрядная мантисса не содержит старшей единицы, получаемой
в результате нормализации.
Составить программу, формирующую следующие 4
числа:
. «Знак числа» в ячейке 600016
(однобайтное целое число «+» -00 и «-» -01),
. «Знак порядка» в ячейке 600116
(однобайтное целое число «+» -00 и «-» -01),
. Модуль порядка в ячейке 600216
(однобайтное целое число),
. Мантисса, как трехбайтное целое число в
ячейках (600316-600516). Старший байт записывается в старшем адресе!
Программу располагать в памяти с ячейки 400016.
.
. Аналитическая часть
.1 Двоичная, восьмеричная и шестнадцатеричная
системы счисления и правила перевода из одной в другую
Системой счисления называется система
изображения любых чисел с помощью ограниченного числа знаков. Системы счисления
делятся на позиционные и непозиционные.
Непозиционная система счисления - система, в
которой значение символа не зависит от его положения в числе системы. Например
римская система.
Позиционная система счисления - система, в
которой значение символа зависит от его места в ряду символов (цифр),
изображающих число. Это значение меняется в однозначной зависимости от позиции,
занимаемой цифрой, по некоторому закону. Номер позиции называется разрядом.
Позиционная система счисления характеризуется основанием.
Основание(базис) - количество знаков или
символов, используемых в разрядах для изображения числа в данной системе.
Обозначим основание целым числом b>1.
Тогда позиционная система счисления с основанием b будет также называется
b-ричной (в частности, двоичной, троичной, десятичной и т. п.).
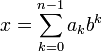
Целое число x в b-ричной системе счисления
представляется в виде конечной линейной комбинации степеней числа b:
,где аk
-это целые числа, называемые цифрами, удовлетворяющие неравенству 0 ≤ ak
≤
b-1, а каждая
степень bk в такой
записи называется разрядом (позицией), старшинство разрядов и соответствующих
им цифр определяется значением показателя степени k.
Обычно для ненулевого числа x
требуют, чтобы старшая цифра an-1
в b-ричном
представлении x была также
ненулевой.
Двоичная система счисления - это позиционная
система счисления с основанием два. В этой системе счисления цифры записываются
при помощи двух символов - 0 и 1.
Основная система для информационных технологий и
цифровой техники в особенности. Процессор любой вычислительной техники работает
на этой системе счисления.
Между тем уже в XI
веке китайский ученый и философ Шао Юн использует двоичную систему в текстах
Книги Перемен.
А первое применение приходится аж на 200 год до
н.э., тогда индийский математик Пингала разработал математические основы для
описания поэзии с использованием двоичной системы счисления.
Рассмотрим, как формируются числа в двоичной
системе.
В привычной для нас десятеричной системе
счисления мы располагаем десятью знаками-цифрами (от 0 до 9). Когда счет
достигает 9, то вводится новый разряд (десятки), а единицы обнуляются и счет
начинается снова. После 19 разряд десятков увеличивается на 1, а единицы снова
обнуляются. И так далее.
Двоичная система счисления аналогична
десятеричной, за исключением того, что в ней участвуют не 10 символов, а всего
2. Как только разряд достигает предела (т. е. единицы) появляется новый разряд,
а старый обнуляется.
- это ноль
- это один (и это предел разряда)
- это два
- это три (и это снова предел)
- это четыре
и т.д.
Преобразование двоичной системы в десятичную и
обратно.
Для преобразования из двоичной системы в
десятичную используют следующую таблицу степеней основания 2:
|
512
|
256
|
128
|
64
|
32
|
16
|
8
|
4
|
2
|
1
|
Точка, которая стоит после 1 называется двоичной
точкой.
Возьмем для примера число 110001 в двоичной
системе. Что бы его преобразовать в десятичную нужно выполнить следующие
действия:
Таким образом, каждое следующее число умножается
на двойку в степени на 1 выше и складывается.
Обратную операцию удобно выполнять методом «в
столбик», но можно хоть в уме.
Для примера возьмем число 77, которое мы хотим
перевести в двоичную систему.
Теперь выполним процесс его деления на 2:
/ 2 = 38 (1 остаток)
/ 2 = 19 (0 остаток)
/ 2 = 9 (1 остаток)
/ 2 = 4 (1 остаток)
/ 2 = 2 (0 остаток)
/ 2 = 1 (0 остаток)
/ 2 = 0 (1 остаток)
Остатки на каждом шаге - это и есть число 77 в
двоичной системе счисления (1001101).
Восьмеричная система счисления.
Восьмеричная система счисления - это позиционная
система счисления с основанием 8. Для представления в ней используются числа от
0 до 7.
Восьмеричная система очень удобно взаимодействует
с двоичной, поэтому получила широкое распространение в цифровых устройствах.
Ранее так же широко использовалась в программировании, но на данный момент
почти полностью вытеснена шестнадцатеричной.
Перевод восьмеричной системы в десятичную и
обратно.
Алгоритм действий аналогичен уже ранее
рассмотренному в двоичной системе счисления.
Для перевода восьмеричного числа в десятичное
необходимо это число представить в виде суммы произведений степеней основания
восьмеричной системы счисления на соответствующие цифры в разрядах
восьмеричного числа.
Например, требуется перевести восьмеричное число
2357 в десятичное. В этом числе 4 цифры и 4 разряда ( разряды считаются,
начиная с нулевого, которому соответствует младший бит). В соответствии с уже
известным нам правилом представим его в виде суммы степеней с основанием 8:
= (2·83)+(3·82)+(5·81)+(7·80) = 2·512 + 3·64 +
5·8 + 7·1 = 126310
Алгоритм обратных действий так же аналогичен
ранее рассмотренному:
. Делим десятичное число А на 8. Частное
Q запоминаем для следующего шага, а остаток a записываем как младший бит
восьмеричного числа.
. Если частное q не равно 0, принимаем
его за новое делимое и повторяем процедуру, описанную в шаге 1. Каждый новый
остаток записывается в разряды восьмеричного числа в направлении от младшего
бита к старшему.
. Алгоритм продолжается до тех пор, пока
в результате выполнения шагов 1 и 2 не получится частное Q = 0 и остаток a
меньше 8.
Переведем, для примера, число 333610 в
восьмеричную систему:
: 8 = 41710
- 333610 = 0, остаток 0 записываем в МБ
восьмеричного числа.
: 8 = 5210
- 41610 = 1, остаток 1 записываем в следующий
после МБ разряд восьмеричного числа.
: 8 = 610
- 4810 = 4, остаток 4 записываем в старший
разряд восьмеричного числа.
: 8 = 010, остаток 0, записываем 6 в самый
старший разряд восьмеричного числа.
В итоге получим - 64108.
Шестнадцатеричная система счисления.
Шестнадцатеричная система счисления - это
позиционная система счисления с основанием 16.
Для отображения цифр используются следующие
символы: 0, 1, 2, 3, 4, 5, 6, 7, 8, 9, A, B, C, D, E, F. То есть после обычных
для десятичной системы счисления 0...9 идут латинские буквы A, B, C, D, E, F.
Данная система счисления широко используется в
низкоуровневом программировании, поскольку в современных компьютерах
минимальной единицей памяти является 8-битный байт, значения которого удобно
записывать двумя шестнадцатеричными цифрами.
Так же в стандарте текста Юникод номер символа
записывается в шестнадцатеричным виде, используя не менее 4 цифр.
Есть так же шестнадцатеричный стандарт записи
цветов.
Для обозначения шестнадцатеричной системы в
ассемблерах можно не только использовать нижний регистр (пример: A416),
но и латинскую букву h
(A4h).
Перевод из шестнадцатеричной системы счисления в
десятичную и обратно.
Для примера возьмем число A4
из практической части задания.
Для перевода шестнадцатеричного числа в
десятичное необходимо это число представить в виде суммы произведений степеней
основания шестнадцатеричной системы счисления на соответствующие цифры в разрядах
шестнадцатеричного числа.
A416 = 4·160+10·161
= 4·1+10·16= 4+160=16410
Соответственно для этого нужно помнить что
А16=1010. Для этого можно пользоваться таблицей:
|
010
|
110
|
210
|
310
|
410
|
510
|
610
|
710
|
810
|
910
|
1010
|
1110
|
1210
|
1310
|
1410
|
1510
|
|
016
|
116
|
216
|
316
|
416
|
516
|
616
|
716
|
816
|
916
|
A16
|
B16
|
C16
|
D16
|
E16
|
F16
|
Процесс перевода числа из десятичной системы в
шестнадцатеричную абсолютно аналогичен алгоритмам перевода восьмеричной и
двоичной систем.
Переведем число 253 из десятичной в
шестнадцатеричную систему.
: 16 = 1510
- 24010 = 1310, остаток 13 в виде D
записываем в МБ шестнадцатеричного числа.
делить уже не надо, поскольку этому числу и так
соответствует F16.
Записав по начиная со старшего разряда получаем
число из практической части - FD16.
.2 Форматы хранения чисел с плавающей точкой
Плавающая точка (плавающая запятая) - форма
представления действительных чисел, в которой число хранится в форме мантиссы и
показателя степени. При этом число с плавающей запятой имеет фиксированную
относительную точность и изменяющуюся абсолютную. Наиболее часто используемое
представление утверждено в стандарте IEEE 754. Реализация математических
операций с числами с плавающей запятой в вычислительных системах может быть как
аппаратная, так и программная.
Экспоненциальная запись - представление
действительных чисел в виде мантиссы и порядка. Удобна при представлении очень
больших и очень малых чисел, а также для унификации их написания.
,
где N
- записываемое число, М - мантисса, n
- основание показательной степени, р(целое) - порядок.
Название «плавающая запятая» происходит от того,
что запятая в позиционном представлении числа (десятичная запятая, или, для
компьютеров, двоичная запятая - далее по тексту просто запятая) может быть
помещена где угодно относительно цифр в строке. Это положение запятой
указывается отдельно во внутреннем представлении. Таким образом, представление
числа в форме с плавающей запятой может рассматриваться как компьютерная
реализация экспоненциальной записи чисел.
Стандарт IEEE
- Институт инженеров по электротехнике и электронике (англ. Institute of
Electrical and Electronics Engineers) (I triple E - «Ай трипл и»),
международная некоммерческая ассоциация специалистов в области техники, мировой
лидер в области разработки стандартов по радиоэлектронике и электротехнике.
Итак, IEEE разработал международные стандарты,
которые описывают представление чисел с плавающей запятой:
ñ Стандарт ANSI/IEEE
754:1985 определяет требования к реализации двоичной плавающей арифметике.
ñ Стандарт ANSI/IEEE
854:1987 обобщает прежний стандарт, допуская дополнительно, кроме двоичного,
десятичное основание представлений мантиссы и экспоненты и произвольную длину
машинного слова.
Позднее требования этих стандартов были отражены
в стандарте IEC 60559:1989.
Стандарты, помимо форматов представления,
описывают также основные арифметические действия, операции вычисления остатка
от деления, квадратного корня, преобразования из двоичного представления в
десятичное и наоборот.
В большинстве современных платформ, таких как Intel
реализована плавающая арифметика, соответствующая стандарту IEC
60559.
Стандарты IEEE
определяют следующие форматы хранения вещественных чисел:
ñ С простой точностью (соответствует
типам real*4 в языке
Фортран и float в С)
ñ с двойной точностью (соответствует
типам real*4 в языке
Фортран и double в С)
ñ с расширенной точностью
(соответствует типам real*10
и более в языке Фортран и long
double в С)
Число в представлении с простой точностью
занимает 32 двоичных разряда: 23 разряда занимает мантисса и 8 разрядов
отведено для порядка. Старший разряд является знаковым.
Числа с плавающей точкой хранятся в
нормализованном виде:
ñ В нормализованной форме точка
расположена перед первой значащей, то есть, отличной от нуля цифрой мантиссы.
ñ Старший бит мантиссы всегда равен
единице, он явным образом не указывается, а свободная позиция отводится под
знак мантиссы. Таким образом при фиксированном количестве разрядов можно
записать наибольшее количество значащих цифр и обеспечить наибольшую точность
представления вещественного числа.
Мантисса нормализованного числа, если она не
равна нулю, принадлежит диапазону [0.5, 1), в общем случае:
Порядок задается в формате с избытком
(смещением) - истинное значение порядка увеличивается на 127, сумма всегда
положительна. Фактическое значение порядка находится в промежутке от -126 до
+127. Основанием является 2.
Младший бит мантиссы в формате с простой
точностью представляет значение 2-24 (примерно 10-7), что соответствует 7
значащим цифрам десятичного представления.
Значащие цифры числа допускают точное
представление. Следующие значения имеют одинаковое (равное четырем) число
значащих цифр: 3.142, 0.003142, 3.142е3.
В формате с простой точностью не имеет смысла
хранить значения, содержащие более 8 десятичных разрядов мантиссы. Минимальное
значение порядка -126 определяет минимальное по модулю, отличное от нуля,
машинное число (около 1.17х10-38). Максимальное значение порядка составляет
127, что приблизительно соответствует значению 1.70х1038.
Число в представлении с двойной точностью
занимает 64 двоичных разряда, из которых 52 разряда отводятся мантиссе и 11
разрядов порядку.
Для чисел с двойной точностью в десятичной
системе диапазон значений составляет 2.22х10-308 до 1.79х10308
Количество значащих цифр и пределы изменения в
этом случае больше, чем в формате с простой точностью (до 16 значащих цифр).
Расширенный формат используется для повышения
точности промежуточных результатов вычислений. Диапазон значений от 3.4х10-4932
до 1.2х104932.
Рассмотрим полученные знания на примере числа,
заданного в моем варианте курсового проекта:
C1 70 FD
A4
|
11000001
|
1110000
|
11111101
|
10100100
|
Где 1 в старшем разряде (стоит помнить, что
старший разряд тут A4, т. е. с
конца) - знак числа, в нашем случае, как видно, отрицательный.
Последующие 8 разрядов - это смещенный порядок
(01001001), т. е. в нашем случае это 4916 и 7310. Теперь, что бы найти знак
числа и модуль порядка, нужно отнять из этого числа порядок смещения p128.
В 16-ричной системе это 4916-8016. Очевидно, что порядок отрицательный,
поэтому, как и будет происходить в моей программе, делаем наоборот:
8016-4916=3716. Это и есть модуль порядка. Теперь необходимо вернуть мантиссе 1
в старший разряд (так называемый неявный бит). Но т. к. она была и так, то
ничего не меняется, и мантисса остается FD
70 C1 (в памяти
мантисса будет выглядеть наоборот, т. к., по условию задания, старший байт
числа записывается в старшем адресе).
. Практическая часть. Блок-схема
Подпрограмма вывода служебных слов и полученных
данных.
.1 Распределение памяти и листинг программы с
комментарием
|
Адрес
|
Данные
|
Ассемблерный
код
|
Комментарий
|
|
4000
|
11
|
LXI D, 6000h
|
Загрузка
в пару регистров D,E адреса,
по которому будет сохранен знак числа.
|
|
4001
|
00
|
|
|
|
4002
|
60
|
|
|
|
4003
|
21
|
LXI H, 5003h
|
Загрузка
в пару регистров H,L адреса,
по которому будет загружен старший байт числа.
|
|
4004
|
03
|
|
|
|
4005
|
50
|
|
|
|
4006
|
7E
|
MOV A,M
|
Загрузка
старшего байта в аккумулятор.
|
|
4007
|
17
|
RAL
|
Смещение
числа на 1 шаг влево, в CY появляется знак числа.
|
|
4008
|
DA
|
JC 4011h
|
Проверка
знака числа. Если знак 1 - переход по адресу 4011h.
|
|
4009
|
11
|
|
|
|
400A
|
40
|
|
|
|
400B
|
3E
|
MVI A,00
|
Загрузка
00 в аккумулятор. Число положительное.
|
|
400C
|
00
|
|
|
|
400D
|
12
|
STAX D
|
Запись
знака числа из аккумулятора по адресу в D,E.
|
|
400E
|
C3
|
JMP 4014h
|
Прыжок
на 4014h.
|
|
400F
|
14
|
|
|
|
4010
|
40
|
|
|
|
4011
|
3E
|
MVI A,01
|
Загрузка
01 в аккумулятор. Число отрицательное.
|
|
4012
|
01
|
|
|
|
4013
|
12
|
STAX D
|
Запись
по адресу в D,E.
|
|
4014
|
13
|
INX D
|
Увеличить
адрес в D,E на 1.
Теперь 6001h.
|
|
4015
|
21
|
LXI H, 5002h
|
Запись
в пару регистров H,L адреса,
по которому будет загружено число.
|
|
4016
|
02
|
|
|
|
4017
|
50
|
|
|
|
4018
|
7E
|
MOV A,M
|
Записать
число из 5002h в аккумулятор.
|
|
4019
|
17
|
RAL
|
Сдвиг
числа влево. Теперь в CY находится недостающий бит
смещенного порядка.
|
|
401A
|
23
|
INX H
|
Увеличить
адрес в H,L на 1.
Теперь 5003h.
|
|
401B
|
7E
|
MOV A,M
|
Перенести
по адресу из H,L число.
|
|
401C
|
17
|
RAL
|
Сдвиг
влево на 1 бит. Теперь в аккумуляторе смещенный порядок числа.
|
|
401D
|
FE
|
CPI 80h
|
Сравнить
смещенный порядок с 80h (12810),т.е. сравнить со
смещением.
|
|
401E
|
80
|
|
|
|
401F
|
47
|
MOV B,A
|
Перенести
смещенный порядок в пару регистров B,C.
|
|
4020
|
DA
|
JC 4030h
|
Проверка
знака порядка. Если 1, то прыжок на подпрограмму для отрицательного порядка.
Если 0, то дальше, на подпрограмму для положительного порядка.
|
|
4021
|
30
|
|
|
|
4022
|
40
|
|
|
|
4023
|
3E
|
MVI A,00
|
Запись
в аккумулятор 00, порядок положительный.
|
|
4024
|
00
|
|
|
|
4025
|
12
|
STAX D
|
Запись
знака порядка 00 по адресу в D,E.
|
|
4026
|
78
|
MOV A,B
|
Начало
подпрограммы для положительного порядка. Перенос порядка из пары регистров B,C в
аккумулятор A.
|
|
4027
|
D6
|
SUI 80h
|
Вычитание
из аккумулятора числа 80h, теперь в аккумуляторе
модуль порядка.
|
|
4028
|
80
|
|
|
|
4029
|
11
|
LXI D, 6002h
|
Запись
в пару регистров D,E адреса,
по которому будет сохранен модуль порядка.
|
|
402A
|
02
|
|
|
|
402B
|
60
|
|
|
|
402C
|
12
|
STAX D
|
Запись
по адресу в D,E модуля
порядка из аккумулятора.
|
|
402D
|
C3
|
JMP 403Ah
|
Прыжок
на подпрограмму получения мантиссы. Конец подпрограммы для положительного
порядка.
|
|
402E
|
3A
|
|
|
|
402F
|
40
|
3E
|
MVI A,01
|
Запись
в аккумулятор 01, порядок отрицательный.
|
|
4031
|
01
|
|
|
|
4032
|
12
|
STAX D
|
Запись
в ячейку памяти находящуюся по адресу в D,E
содержимого аккумулятора.
|
|
4033
|
3E
|
MVI A, 80h
|
Начало
подпрограммы для отрицательного порядка. Запись в аккумулятор смещения
порядка - 80h.
|
|
4034
|
80
|
|
|
|
4035
|
90
|
SUB B
|
Вычесть
из смещения порядок числа.
|
|
4036
|
11
|
LXI D, 6002h
|
Загрузка
в D,E адреса,
по которому будет сохранен модуль порядка.
|
|
4037
|
02
|
|
|
|
4038
|
60
|
|
|
|
4039
|
12
|
STAX D
|
Запись
модуля порядка по адресу в D,E. Конец
подпрограммы для отрицательного порядка.
|
|
403A
|
21
|
LXI H, 5002h
|
Подпрограмма
для получения мантиссы, общая для обоих знаков порядка. Загрузка в H,L адреса
5002h, по
которому будет загружено число в аккумулятор. По сути, это число - старший
байт мантиссы, но еще без неявного бита.
|
|
403B
|
02
|
|
|
|
403C
|
50
|
|
|
|
403D
|
7E
|
MOV A,M
|
Перенос
из 5002h в
аккумулятор числа.
|
|
403E
|
F6
|
ORI 80h
|
Логическое
сложение 80h и числа в
аккумуляторе. Восстановление неявного бита мантиссы числа.
|
|
403F
|
80
|
|
|
|
4040
|
11
|
LXI D, 6005h
|
Загрузка
в D,E адреса,
по которому будет отправлен старший байт мантиссы из аккумулятора в ячейку
памяти.
|
|
4041
|
05
|
|
|
|
4042
|
60
|
|
|
|
4043
|
12
|
STAX D
|
Запись
старшего байта мантиссы.
|
|
4044
|
2B
|
DCX H
|
Уменьшение
адреса в H,L на 1, теперь
5001h.
|
|
4045
|
7E
|
MOV A,M
|
Перенос
следующего байта мантиссы в аккумулятор.
|
|
4046
|
1B
|
DCX D
|
Уменьшение
адреса в D,E на 1,
теперь 6004h.
|
|
4047
|
12
|
STAX D
|
Запись
в ячейку памяти 6005h следующего байта мантиссы.
|
|
4048
|
2B
|
DCX H
|
Уменьшение
адреса в H,L на один, теперь
5000h.
|
|
4049
|
7E
|
MOV A,M
|
Перенос
байта из 5000h в аккумулятор.
|
|
404A
|
1B
|
DCX D
|
Уменьшение
адреса в D,E на один,
теперь 6003h.
|
|
404B
|
12
|
STAX D
|
Запись
в ячейку памяти 6003h младшего байта мантиссы.
|
|
404C
|
01
|
LXI B, 504Fh
|
Загрузка
адреса в B,C, по
которому содержатся коды служебных слов «Знак числа».
|
|
404D
|
4F
|
|
|
|
404E
|
50
|
|
|
|
404F
|
CD
|
CALL 4Fh
|
Вызов
подпрограммы вывода на экран.
|
|
4050
|
4F
|
|
|
|
4051
|
00
|
|
|
|
4052
|
21
|
LXI H, 6000H
|
Загрузка
адреса в H,L,
содержимое которого будет выведено (знак числа).
|
|
4053
|
00
|
|
|
|
4054
|
60
|
|
|
|
4055
|
7E
|
MVI A,M
|
Перемещение
содержимого ячейки памяти в аккумулятор.
|
|
4056
|
CD
|
CALL 61h
|
Вызов
подпрограммы вывода содержимого аккумулятора на монитор.
|
|
4057
|
61
|
|
|
|
4058
|
00
|
|
|
|
4059
|
CD
|
CALL 49h
|
Вызов
подпрограммы перехода на новую строку.
|
|
405A
|
49
|
|
|
|
405B
|
00
|
|
|
|
405C
|
01
|
LXI B, 505Ah
|
Загрузка
адреса в B,C с фразой
«Знак порядка».
|
|
405D
|
5A
|
|
|
|
405E
|
50
|
|
|
|
405F
|
CD
|
CALL 4Fh
|
Вызов
подпрограммы вывода на экран служебных слов.
|
|
4060
|
4F
|
|
|
|
4061
|
00
|
|
|
|
4062
|
23
|
INX H
|
Увеличение
адреса в H,L на 1.
|
|
4063
|
7E
|
MVI A,M
|
Перенос
данных из памяти в аккумулятор.
|
|
4064
|
CD
|
CALL 61h
|
Вызов
подпрограммы вывода содержимого аккумулятора.
|
|
4065
|
61
|
|
|
|
4066
|
00
|
|
|
|
4067
|
CD
|
CALL 49h
|
Вызов
подпрограммы перехода на новую строку.
|
|
4068
|
49
|
|
|
|
4069
|
00
|
|
|
|
406A
|
01
|
LXI B, 5067h
|
Загрузка
в B,C адреса,
который содержит фразу «Модуль порядка»
|
|
406B
|
67
|
|
|
|
406C
|
50
|
|
|
|
406D
|
CD
|
CALL 4Fh
|
Вызов
подпрограммы вывода на монитор служебных фраз.
|
|
406E
|
4F
|
|
|
|
406F
|
00
|
|
|
|
4070
|
23
|
INX H
|
Увеличение
адреса в H,L на 1.
|
|
4071
|
7E
|
MVI A,M
|
Перенос
данных из памяти в аккумулятор.
|
|
4072
|
CD
|
CALL 61h
|
Вызов
подпрограммы вывода содержимого аккумулятора.
|
|
4073
|
61
|
|
|
|
4074
|
00
|
|
|
|
4075
|
CD
|
CALL 49h
|
Вызов
подпрограммы перехода на новую строку.
|
|
4076
|
49
|
|
|
|
4077
|
00
|
|
|
|
4078
|
01
|
LXI B, 5076
|
Загрузка
в B,C адреса,
содержащего фразу «Мантисса».
|
|
4079
|
76
|
|
|
|
407A
|
50
|
|
|
|
407B
|
CD
|
CALL 4Fh
|
Вызов
подпрограммы вывода служебных фраз с новой строки.
|
|
407C
|
4F
|
|
|
|
407D
|
00
|
|
|
|
407E
|
23
|
INX H
|
Увеличение
адреса в H,L на 1.
|
|
407F
|
7E
|
MVI A,M
|
Перенос
содержимого памяти в аккумулятор.
|
|
4080
|
CD
|
CALL 61h
|
Вызов
подпрограммы вывода содержимого аккумулятора на экран.
|
|
4081
|
61
|
|
|
|
4082
|
00
|
|
|
|
4083
|
23
|
INX H
|
Увеличение
адреса в H,L на 1.
|
|
4084
|
7E
|
MVI A,M
|
Перенос
содержимого памяти в аккумулятор.
|
|
4085
|
CD
|
CALL 61h
|
Вызов
подпрограммы вывода содержимого аккумулятора на экран.
|
|
4086
|
61
|
|
|
|
4087
|
00
|
|
|
|
4088
|
23
|
INX H
|
Увеличение
адреса в H,L на 1.
|
|
4089
|
7E
|
MVI A,M
|
Перенос
содержимого памяти в аккумулятор.
|
|
408A
|
CD
|
CALL 61h
|
Вызов
подпрограммы вывода содержимого аккумулятора на экран.
|
|
408B
|
61
|
|
|
|
408C
|
00
|
|
|
|
408D
|
C3
|
JMP 40h
|
Конец
программы.
|
|
408E
|
40
|
|
|
|
408F
|
00
|
|
|
До старта программы в памяти находятся:
|
Адрес
|
Данные
|
Комментарий
|
|
5000
|
C1
|
Предзагруженные
командой Монитора S 4 байта числа для обработки в
программе. В данной таблице число из задания курсового проекта. Старший байт
числа записан в старшем адресе.
|
|
5001
|
70
|
|
|
5002
|
FD
|
|
|
5003
|
A4
|
|
|
4000-404D
|
|
Программа
для определения знака числа, знака порядка, модуля порядка и мантиссы.
|
|
504F-507E
|
|
Служебные
слова (см. ниже)
|
После выполнения программы, в памяти появятся:
|
Адрес
|
Данные
|
Комментарий
|
|
6000
|
01
|
Знак
числа. В нашем случае число отрицательное.
|
|
6001
|
01
|
Знак
порядка. Порядок отрицателен.
|
|
6002
|
37
|
Модуль
порядка. В нашем случае 3716 или 5510.
|
|
6003
|
C1
|
Младший
байт мантиссы.
|
|
6004
|
70
|
Байт
мантиссы.
|
|
6005
|
FD
|
Старший
байт мантиссы. Записан, как видно, в старшем адресе.
|
Таким образом, протестировав программу, мы
получаем тоже, что и при ручном вычислении в аналитической части. Что бы
убедиться в работоспособности программы, протестируем на ней еще четыре числа.
|
Число16
(Начиная со ст. байта)
|
Знак
числа
|
Знак
порядка
|
Модуль
порядка16
|
Мантисса
(Начиная со старшего байта).
|
|
F6 C1 72 24
|
01
|
00
|
6D
|
C1 72 24
|
|
73 0C 11 77
|
00
|
00
|
66
|
8С
11 77
|
|
81 3E 2F CC
|
01
|
01
|
7E
|
BE 2F CC
|
|
22 13 42 74
|
01
|
3C
|
93 42 74
|
Проверим одно из тестируемых чисел вручную.
Возьмем:
3E 2F CC
|
10000001
|
00111110
|
00101111
|
11001100
|
Сразу видно, что знак числа 1 - т. е.
отрицательный. Порядок следующие 8 битов - 00000010, т. е. 210. Если вычесть по
модулю из 2 смещение порядка 128, то получим 126, что в 16-ричной системе есть
7E. Вернув мантиссе в
первый бит старшего байта 1, получим 10111110, что есть BE.
Таким образом мантисса будет выглядеть BE
2F CC.
Таким образом, т. к. в программе вышли те же значения, можно сделать вывод, что
она работает корректно, ч.т.д.
Служебные слова:
В программе были задействованы служебные слова
(см. скриншот выше), закодированные в КОИ-7. Они расположены в ячейках памяти
504F-507E
и разделены 00 между собой:
|
Ячейка
памяти
|
Код
КОИ-7
|
Символ
|
|
504F
|
33
|
З
|
|
5050
|
6E
|
Н
|
|
5051
|
61
|
А
|
|
5052
|
6B
|
К
|
|
5053
|
20
|
Пробел
|
|
5054
|
7E
|
Ч
|
|
5055
|
69
|
И
|
|
5056
|
73
|
С
|
|
5057
|
6C
|
Л
|
|
5058
|
61
|
А
|
|
Ячейка
памяти
|
Код
КОИ-7
|
Символ
|
|
505A
|
33
|
З
|
|
505B
|
6E
|
Н
|
|
505C
|
61
|
А
|
|
505D
|
6B
|
К
|
|
505E
|
20
|
Пробел
|
|
505F
|
70
|
П
|
|
5060
|
6F
|
О
|
|
5061
|
72
|
Р
|
|
5062
|
71
|
Я
|
|
5063
|
64
|
Д
|
|
5064
|
6B
|
К
|
|
5065
|
61
|
А
|
|
Ячейка
памяти
|
Код
КОИ-7
|
Символ
|
|
5067
|
6D
|
М
|
|
5068
|
6F
|
О
|
|
5069
|
64
|
Д
|
|
506A
|
75
|
У
|
|
506B
|
6C
|
Л
|
|
506C
|
78
|
Ь
|
|
506D
|
20
|
Пробел
|
|
506E
|
70
|
П
|
|
506F
|
6F
|
О
|
|
5070
|
72
|
Р
|
|
5071
|
71
|
Я
|
|
5072
|
64
|
Д
|
|
5073
|
6B
|
К
|
|
5074
|
61
|
А
|
|
Ячейка
памяти
|
Код
КОИ-7
|
Символ
|
|
5076
|
6D
|
М
|
|
5077
|
61
|
А
|
|
5078
|
6E
|
Н
|
|
5079
|
74
|
Т
|
|
507A
|
69
|
И
|
|
507B
|
73
|
С
|
|
507C
|
73
|
С
|
|
507D
|
61
|
А
|
4.
. Использованные при проектировании
средства
система счисление подпрограмма
данные
При проектировании был использован ноутбук Acer
Aspire 5530 с
техническими характеристиками:
Процессор:
AMD Athlon X2 Dual-Core 1900 MHz
Оперативная память: 2048 Мб
Видео-карта: ATI Radeon HD 3200 2048 Мб
Жёсткий диск: 160 Гб
Встроенная клавиатура и компьютерная мышь Genius.
Программное обеспечение на ноутбуке:
Microsoft
Windows XP
Professional 2002 SP3
OpenOffice Professional 3.3.0Visio
Professional 2003
Выводы
Программа спроектирована в соответствии с
заданием.
Альтернативные варианты решения, как и всегда в
программировании, существуют, но считаю предложенный мной наименее
русурсоёмким, а значит наиболее оптимальным. В процессе проектирования был
задействован всего 1 флажок (CY)
и минимальное количество ячеек памяти. Программа включает в себя 78 строк
(байтов) шестнадцатеричного кода и может обработать любое эспоненциальное число
в коротком формате.
В ходе проектирования программы, я ознакомился с
таким важным понятием как мантисса и экспоненциальная запись. Скорость
обработки чисел в таком формате - непосредственный показатель быстродействия
процессора, а значит один из факторов гонки технологий. Считаю это знание
необходимым для программиста и инженера.
Список использованной литературы
1. Гиляров
В.Н. МикроЭВМ СМ-1800 и её эмулятор на ПК: методические указания. - СПб.:
СПбГТИ(ТУ), 2006.
. Гиляров
В.Н. Стандартное программное обеспечение. Монитор: методические указания. -
СПб.: СПбГТИ(ТУ), 2006.
. Гиляров
В.Н. Программирование в кодах для микроЭВМ СМ-1800: методические указания. -
СПб.: СПбГТИ(ТУ), 2006.
. Фомин
С.В. Системы счисления: лекции по математике. - М.: Наука, 1987.
. Юров
В.И. Assembler: Учебник для вузов. - СПб.: Питер, 2003.