Работа с рядами на языке С

  • Вид работы:
    Практическое задание
  • Предмет:
    Информационное обеспечение, программирование
  • Язык:
    Русский
    ,
    Формат файла:
    MS Word
    275,96 Кб
  • Опубликовано:
    2015-05-03
Вы можете узнать стоимость помощи в написании студенческой работы.
Помощь в написании работы, которую точно примут!

Работа с рядами на языке С

МІНІСТЕРСТВО ОСВІТИ І НАУКИ, молоді та спорту УКРАЇНИ

Національний аерокосмічний університет ім.М. Є. Жуковського









Лабораторная работа

по дисциплине "Вычислительная техника и программирование”

Работа с рядами в языке С

Выполнил студент гр.516Б

Момот О.О.

Проверил ст. преподаватель каф.503

Дужа В.В.








1. Задание №1


Дана последовательность прописных (больших) латинских букв.

После каждой буквы вставить последнюю букву.

 

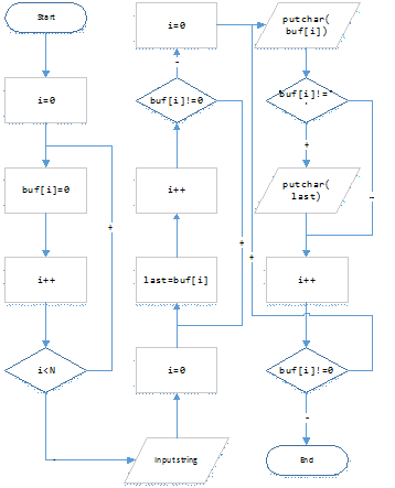
2. Алгоритм программы


 

3. Тестовые наборы


№ теста

Ввод строки

Ожидаемый результат

1

ARMY

AYRYMYYY

2

THE CAPRAL IN THE ARMY

TYHYEY CYAYPYRYAYLY IYNY TYHYEY AYRYMYYY

3

THE COMPUTER IS THE LENOVO

TOHOEO COOOMOPUTUEORO IOSO TOHOEO LOEONOOOVOOO


4. Код программы


#include <stdio. h>

#include <windows. h>

#include <locale. h>

#define N 255main (void)

{(LC_CTYPE, "rus");buf [N];(int i=0; i<N; i++)[i] =0;last;("Введите строку: \n");(buf);("Измененная строка: \n");(int i=0; buf [i]! =0; i++)=buf [i];(int i=0; buf [i]! =0; i++)

{(buf [i]);(buf [i]! =' ')(last);

}("\n");("pause");0;

}

5. Результат работы программы


№ теста

Ввод строки

Результат

Вывод

1

ARMY

AYRYMYYY

Тест пройден

2

THE CAPRAL IN THE ARMY

TYHYEY CYAYPYRYAYLY IYNY TYHYEY AYRYMYYY

Тест пройден

3

THE COMPUTER IS THE LENOVO

TOHOEO COOOMOPUTUEORO IOSO TOHOEO LOEONOOOVOOO

Тест пройден

6. Вывод о работоспособности программы


Программа прошла тестирование: в результате выполнения тестов программа выдала ожидаемые результаты. Программа - работоспособна.

 


7. Задание №2


Даны строки S и S0. Найти количество вхождений строки S0 в строку S.

8. Алгоритм программы


9. Тестовые наборы

№ теста

Ввод строки S

Ввод строки S0

Ожидаемый результат

1

мама мила раму мама мила раму мила мама мама мама мила

мама мила

3

2

1114 5556 1114 7777

1114

2

3

история физика отц программирование отц отц физика отц

отц

4

#include <string. h>

#include <Windows. h>

#include <locale. h>

#define MAX 255main ()

{(LC_CTYPE,"rus");k, cnt = 0;S [MAX];("Введите строку S: ");(S);S0 [MAX];("Введите строку S0: ");(S0);const la = strlen (S);(int i = 0; i < la; i++)

{tmp [MAX] = "";(S [i] == S0 [0])

{j = i;= 0;(S [j] == S0 [k])

{[k] = S [j];++;++;

}(! (strcmp (S0,tmp)))++;(S0 [0] == S0 [1])+= strlen (S0) - 1;

}

}("S0 входит в S %i раз (а). \n", cnt);("pause");0;

}

 

. Результат работы программы


№ теста

Ввод строки S

Ввод строки S0

Результат

Вывод

1

мама мила раму мама мила раму мила мама мама мама мила

мама мила

3

Тест пройден

2

1114 5556 1114 7777

1114

2

Тест пройден

3

история физика отц программирование отц отц физика отц

отц

4

Тест пройден

ряд язык программа алгоритм

 

12. Вывод о работоспособности программы


Программа прошла тестирование: в результате выполнения тестов программа выдала ожидаемые результаты. Программа - работоспособна.

Похожие работы на - Работа с рядами на языке С

 

Не нашли материал для своей работы?
Поможем написать уникальную работу
Без плагиата!
Без нейросетей!