Проведение риск-анализ для определенного компонента распределенной информационной системы на базе распределения Хи-квадрат
Содержание
1. Провести анализ разновидностей, моделей и обосновать
тип, класс и вид КИИ и её элемента, ставшего объектом исследования с плотностью
вероятности успешной (во времени) компьютерной атаки, распределённой по закону
Хи-квадрат
. Найти и исследовать аналитическую зависимость (от
времени) ущерба (как упущенной выгоды и др.) для заданного выражения полезности
элемента КИИ
. Найти аналитическое выражение и провести его
математический анализ временной зависимости риска «отказа» атакуемого элемента
КИИ, включая параметры риска: пик, мода, крутизна, диапазон по уровню риска,
шаг дискретизации
. Найти аналитическое выражение оценки жизнестойкости
на основе шанса успешной работы и риска отказа элемента КИИ для заданных
функций распределения и полезности
. Найти и упростить аналитическое выражение для общей
риск-оценки жизнестойкости атакуемой КИИ, состоящей из множества исследуемых
элементов
. Найти аналитическую зависимость живучести без учета
ущерба и с учетом ущерба. Сравнить полученные зависимости и сделать
соответствующие вывод о преимуществах и недостатках того или иного расчета.
Выявить какой из полученных результатов является более детальным, и какой лучше
использовать
. Предложить методику противодействия угрозам для
рассматриваемых элементов и разработать алгоритм управления жизнестойкостью
многокомпонентной КИИ, а также - осуществить вычислительный эксперимент по
риск-оценке и регулированию жизнестойкости КИИ, состоящей из нескольких
элементов исследуемой разновидности
Заключение
Список используемой литературы
.
Провести анализ разновидностей, моделей и обосновать тип, класс и вид КИИ, и её
элемента, ставшего объектом исследования с плотностью вероятности успешной (во
времени) компьютерной атаки, распределённой по закону Хи-квадрат
Актуальность данной задачи велика, потому что в нынешних условиях
динамического развития общества и усложнения технической и социальной
инфраструктуры информация становится стратегическим ресурсом, подобно
традиционным материальным и энергетическим ресурсам. Современные информационные
технологии, позволяющие создавать, хранить, перерабатывать и обеспечивать
эффективные способы представления информационных ресурсов потребителю, стали
важным фактором жизни общества и средством повышения эффективности управления
всеми сферами общественной деятельности.
Осознание мировым сообществом роли информации как стратегического ресурса
стимулировало разработки новых информационных технологий.
В настоящее время наиболее развитые страны мира находятся на завершающей
стадии индустриального этапа развития общества и перехода к следующему,
информационному, этапу развития и построения "Информационного
общества" (ИО). Широкое использование информационных технологий и
современных средств доступа к информации открыло принципиально иные возможности
построения более сбалансированного общества, с существенно большей реализацией
индивидуальных возможностей его членов. "Информационное общество"
несет в себе огромный потенциал для улучшения жизни граждан и повышения
эффективности социального и экономического устройства государства.
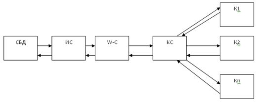
Распределенная информационная система - информационная система, объекты
данных и/или процессы которой физически распределяются на две или более
компьютерные системы, а ее главным предназначением является распределение процессов,
ресурсов и задач в информационном пространстве.
К функциям таких ИС следует отнести, прежде всего, работу с
распределенными данными, расположенными на разных физических серверах,
различных аппаратно-программных платформах и хранящихся в различных внутренних
форматах. В этом случае система должна предоставлять полную информацию о себе и
всех своих ресурсах, легко расширяться, быть основана на открытых стандартах и
протоколах, обеспечивать возможность интегрировать свои ресурсы с ресурсами
других ИС. Для пользователей система должна обеспечивать различные уровни
привилегий и предоставлять простые интерфейсы доступа к информации.
Классификация РИС по размерам систем и способам администрирования:
§ Кластер-группа компьютеров, объединённых высокоскоростными каналами связи
и представляющая, с точки зрения пользователя, единый аппаратный ресурс;
Один из первых архитекторов кластерной технологии Грегори Пфистер дал
кластеру следующее определение: «Кластер - это разновидность параллельной или
распределённой системы, которая:
1. Состоит из нескольких связанных между собой компьютеров;
2. Используется как единый, унифицированный компьютерный ресурс».
Обычно различают следующие основные виды кластеров:
1. Отказоустойчивые кластеры (High-availability clusters, HA, кластеры
высокой доступности)
2. Кластеры с балансировкой нагрузки (Load balancing clusters)
. Вычислительные кластеры (High perfomance
computing clusters)
4. Грид-вычисления
Создаются для обеспечения высокой доступности сервиса, предоставляемого
кластером. Избыточное число узлов, входящих в кластер, гарантирует
предоставление сервиса в случае отказа одного или нескольких серверов. Типичное
число узлов - два, это минимальное количество, приводящее к повышению
доступности. Создано множество программных решений для построения такого рода
кластеров.
o Кластеры распределения нагрузки
(Network Load Balancing, NLB)
Принцип их действия строится на распределении запросов через один или
несколько входных узлов, которые перенаправляют их на обработку в остальные,
вычислительные узлы. Первоначальная цель такого кластера - производительность,
однако, в них часто используются также и методы, повышающие надёжность.
o Вычислительные кластеры
Кластеры используются в вычислительных целях, в частности в научных
исследованиях. Для вычислительных кластеров существенными показателями являются
высокая производительность процессора в операциях над числами с плавающей
точкой (flops) и низкая латентность объединяющей
сети, и менее существенными - скорость операций ввода-вывода, которая в большей
степени важна для баз данных и web-сервисов.
Вычислительные кластеры позволяют уменьшить время расчетов, по сравнению с
одиночным компьютером, разбивая задание на параллельно выполняющиеся ветки,
которые обмениваются данными по связывающей сети.
o Кластер серверов
Кластер серверов - группа серверов, объединённых логически, способных
обрабатывать идентичные запросы и использующихся как единый ресурс. Чаще всего
серверы группируются посредством локальной сети. Группа серверов обладает
большей надежностью и большей производительностью, чем один сервер. Объединение
серверов в один ресурс происходит на уровне программных протоколов.
§ Распределенная система корпоративного уровня - десятки и даже сотни
компьютеров, при работе которых необходимо устанавливать правила совместного
использования ресурсов. Масштаб таких систем, как правило, небольшой, и можно
обходиться прямыми административными мерами для организации работы ресурсов и
пользователей;
§ Глобальная система (грид-система) - огромное количество компьютеров,
число которых может достигать нескольких миллионов, распределенных по миру и
объединенных глобальной сетью. Административное программное обеспечение,
встроено в промежуточное программное обеспечение.
По архитектуре РИС можно разделить на файл - серверные
ИС (ИС с архитектурой «файл-сервер») и клиент-серверные ИС (ИС с архитектурой
«клиент-сервер»).
В файл-серверных ИС база данных находится на файловом сервере, а СУБД и
клиентские приложения находятся на рабочих станциях. Извлекают данные из файлов.
Дополнительные пользователи и приложения такой ИС добавляют дополнительной
вычислительной мощности.
В клиент-серверных ИС база данных и СУБД находятся на сервере, а на
рабочих станциях находятся клиентские приложения. В них сервер расположен
наиболее эффективно, как правило, используется сервер БД, который выполняет
запросы.
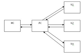
«Файл - серверное» построение ИС.
ЛС - локальная сеть.
ФС - файловый сервер.
Особенность построения ИС является то, что она позволяет получить доступ
к данным многих пользователей. С другой стороны, взаимообмен ПО с данными
осуществляется с одного или несколькими сетевыми уровнями. Вся обработка
осуществляется на сетевых уровнях. Это значит, что любая элементарная операция
над данными приводит к повышению трафика локальной сети.
Т.е. с увеличением компьютеров, устойчивых в
обработке, а так же с ростом объема хранимых данных, нагрузка на локальную сеть
может вырасти настолько, что это приведет к замедлению работы всей системы, а
чтобы как-то увеличить производимость системы придется наращивать
производительность системы, ФС, ЛС и сетевых компьютеров.
Рисунок 1 - «Файл - серверное» построение ИС
Схема «клиент - сервер».
Вместо файловой системы для хранения данных используется сервер БД.
Особенностью СБД является то, что он способен выполнять запрос на
обработку данных. Один такой запрос может содержать в себе множество
элементарных операций над данными.
Кроме этого, на сервере БД могут храниться программы - модули, состоящие
из произвольного количества операторов, определен язык программирования,
которые могут быть выставлены на команде с сетевого компьютера.
Вся обработка данных переместилась на 1 компьютер, что привело к
уменьшению нагрузки на СК и сетевые компьютеры.
Теперь для увеличения производительности ИС достаточно понять
производительность одного компьютера, где располагается сервер БД.
Рисунок 2 - Схема «клиент - сервер»
Рассмотрим виды технологий РИС.
) CALS-технологиитехнологии (англ. Continuous Acquisition and
Lifecycle Support - непрерывная информационная поддержка поставок и жизненного
цикла) - современный подход к проектированию и производству высокотехнологичной
и наукоёмкой продукции, заключающийся в использовании компьютерной техники и
современных информационных технологий на всех стадиях жизненного цикла изделия.
За счет непрерывной информационной поддержки обеспечиваются единообразные
способы управления процессами и взаимодействия всех участников этого цикла:
заказчиков продукции, поставщиков/производителей продукции, эксплуатационного и
ремонтного персонала. Информационная поддержка реализуется в соответствии с
требованиями системы международных стандартов, регламентирующих правила
указанного взаимодействия преимущественно посредством электронного обмена
данными.
Применение CALS-технологий позволяет существенно сократить объёмы
проектных работ, так как описания многих составных частей оборудования, машин и
систем, проектировавшихся ранее, хранятся в унифицированных форматах данных
сетевых серверов, доступных любому пользователю технологий CALS. Существенно
облегчается решение проблем ремонтопригодности, интеграции продукции в
различного рода системы и среды, адаптации к меняющимся условиям эксплуатации,
специализации проектных организаций и т. п. Предполагается, что успех на рынке
сложной технической продукции будет немыслим вне технологий CALS.
Развитие CALS-технологий должно привести к появлению так называемых
виртуальных производств, в которых процесс создания спецификаций с информацией
для программно-управляемого технологического оборудования, достаточной для
изготовления изделия, может быть распределён во времени и пространстве между
многими организационно-автономными проектными студиями. Среди несомненных
достижений CALS-технологий следует отметить лёгкость распространения передовых
проектных решений, возможность многократного воспроизведения частей проекта в
новых разработках и др.
Построение открытых распределённых автоматизированных систем для
проектирования и управления в промышленности составляет основу современных
CALS-технологий. Главная проблема их построения - обеспечение единообразного
описания и интерпретации данных, независимо от места и времени их получения в
общей системе, имеющей масштабы вплоть до глобальных. Структура проектной,
технологической и эксплуатационной документации, языки её представления должны
быть стандартизированными. Тогда становится реальной успешная работа над общим
проектом разных коллективов, разделённых во времени и пространстве и
использующих разные CAD/CAM/CAE-системы. Одна и та же конструкторская
документация может быть использована многократно в разных проектах, а одна и та
же технологическая документация - адаптирована к разным производственным
условиям, что позволяет существенно сократить и удешевить общий цикл
проектирования и производства. Кроме того, упрощается эксплуатация систем.
Для обеспечения информационной интеграции CALS использует стандарты IGES
и STEP в качестве форматов данных. В CALS входят также стандарты электронного
обмена данными, электронной технической документации и руководства для
усовершенствования процессов. В последние годы работа по созданию национальных
CALS-стандартов проводится в России под эгидой ФСТЭК РФ. С этой целью создан
Технический Комитет ТК431 «CALS-технологии», силами которого разработан ряд
стандартов серии ГОСТ Р ИСО 10303, являющихся аутентичными переводами
соответствующих международных стандартов (STEP).
) GRID-технологии
Грид-технологии (англ. Grid - решётка, сеть) - это форма распределённых
вычислений, в которой «виртуальный суперкомпьютер» представлен в виде кластеров
соединённых с помощью сети, слабосвязанных, гетерогенных компьютеров,
работающих вместе для выполнения огромного количества заданий (операций,
работ). Эта технология применяется для решения научных, математических задач,
требующих значительных вычислительных ресурсов. Грид-технологии используются
также в коммерческой инфраструктуре для решения таких трудоёмких задач, как
экономическое прогнозирование, сейсмоанализ, разработка и изучение свойств новых
лекарств.
Грид с точки зрения сетевой организации представляет собой согласованную,
открытую и стандартизованную среду, которая обеспечивает гибкое, безопасное,
скоординированное разделение вычислительных ресурсов и ресурсов хранения информации,
которые являются частью этой среды, в рамках одной виртуальной организации.
Типы грид-технологий:
1. Добровольные гриды - гриды на основе использования добровольно
предоставляемого свободного ресурса персональных компьютеров;
2. Научные гриды - хорошо распараллеливаемые приложения
программируются специальным образом (например, с использованием Globus
Toolkit);
. Гриды на основе выделения вычислительных ресурсов по требованию
(коммерческий грид, англ. enterprise grid) - обычные коммерческие приложения
работают на виртуальном компьютере, который, в свою очередь, состоит из
нескольких физических компьютеров, объединённых с помощью грид-технологий.
3) Scada-технологии.(аббр. от англ.
supervisory control and data acquisition, диспетчерское управление и сбор
данных) - программный пакет, предназначенный для разработки или обеспечения
работы в реальном времени систем сбора, обработки, отображения и архивирования
информации об объекте мониторинга или управления. SCADA может являться частью
АСУ ТП, АСКУЭ, системы экологического мониторинга, научного эксперимента,
автоматизации здания и т. д. SCADA-системы используются во всех отраслях
хозяйства, где требуется обеспечивать операторский контроль за технологическими
процессами в реальном времени. Данное программное обеспечение устанавливается
на компьютеры и, для связи с объектом, использует драйверы ввода-вывода или
OPC/DDE серверы. Программный код может быть, как написан на языке
программирования (например, на C++), так и сгенерирован в среде проектирования.
SCADA-системы решают следующие задачи:
· Обмен данными с «устройствами связи с объектом» (то есть с
промышленными контроллерами и платами ввода/вывода) в реальном времени через
драйверы.
· Обработка информации в реальном времени.
· Логическое управление.
· Ведение базы данных реального времени с технологической
информацией.
· Аварийная сигнализация и управление тревожными сообщениями.
· Подготовка и генерирование отчетов о ходе технологического
процесса.
· Осуществление сетевого взаимодействия между SCADA ПК.
· Обеспечение связи с внешними приложениями (СУБД, электронные
таблицы, текстовые процессоры и т. д.). В системе управления предприятием
такими приложениями чаще всего являются приложения, относимые к уровню
MES.системы позволяют разрабатывать АСУ ТП в клиент-серверной или в
распределённой архитектуре.
4) Облачные технологии:
.1) SaaS (Программное обеспечение как услуга)
Программное обеспечение как услуга (SaaS, англ.
Software-as-a-Service) - модель, в которой потребителю предоставляется
возможность использования прикладного программного обеспечения провайдера,
работающего в облачной инфраструктуре и доступного из различных клиентских
устройств или посредством тонкого клиента, например, из браузера (например,
веб-почта) или интерфейс программы. Контроль и управление основной физической и
виртуальной инфраструктурой облака, в том числе сети, серверов, операционных
систем, хранения, или даже индивидуальных возможностей приложения (за исключением
ограниченного набора пользовательских настроек конфигурации приложения)
осуществляется облачным провайдером.
.2) PaaS
(Платформа как услуга)
Платформа как услуга (PaaS, англ.
Platform-as-a-Service) - модель, когда потребителю предоставляется возможность
использования облачной инфраструктуры для размещения базового программного
обеспечения для последующего размещения на нём новых или существующих
приложений (собственных, разработанных на заказ или приобретённых тиражируемых
приложений). В состав таких платформ входят инструментальные средства создания,
тестирования и выполнения прикладного программного обеспечения - системы
управления базами данных, связующее программное обеспечение, среды исполнения
языков программирования - предоставляемые облачным провайдером.
Контроль и управление основной физической и
виртуальной инфраструктурой облака, в том числе сети, серверов, операционных
систем, хранения осуществляется облачным провайдером, за исключением
разработанных или установленных приложений, а также, по возможности, параметров
конфигурации среды (платформы).
.3) IaaS
(Инфраструктура как услуга)
Инфраструктура как услуга (IaaS, англ. IaaS or
Infrastructure-as-a-Service) предоставляется как возможность использования
облачной инфраструктуры для самостоятельного управления ресурсами обработки,
хранения, сетей и другими фундаментальными вычислительными ресурсами, например,
потребитель может устанавливать и запускать произвольное программное
обеспечение, которое может включать в себя операционные системы, платформенное
и прикладное программное обеспечение. Потребитель может контролировать
операционные системы, виртуальные системы хранения данных и установленные
приложения, а также ограниченный контроль набора доступных сервисов
(например,межсетевой экран, DNS). Контроль и управление основной физической и
виртуальной инфраструктурой облака, в том числе сети, серверов, типов
используемых операционных систем, систем хранения осуществляется облачным
провайдером.
На каждой из этих технологий могут базироваться определенные системы.
Рассмотрим некоторые из них:
) Сервер рабочей группы
Представляет собой систему начального уровня, как правило,
однопроцессорный. Небольшие компании и удаленные офисы не имеют выделенного
специального помещения и располагают сервер непосредственно в своем офисе.
Такая система должна как можно меньше привносить шум в офисное помещение. По
функциям, такая машина служит для разграничения прав доступа сотрудников к
файловым ресурсам либо служит как емкость для хранения общих данных.
2) Сервер контроллер домена, Domain Controller server
Необходим в организации с количеством сотрудников более 20 рабочих мест,
позволяет централизованно управлять сетевыми и файловыми ресурсами компании,
также обычно выполняет роль сервера печати. DC server должен быть уже на
порядок качественнее и надежнее в отличии от сервера рабочей группы, иметь
возможность масштабирования при росте количества пользователей локальной сети.
Производительность его зависит от масштаба компании, обычно это одно- и
двухпроцессорный узел, под управлением MS Windows Server 2003-2008 с
настроенной службой каталогов Active Directory.
) Прокси Сервер
Прокси Сервер - шлюз в Интернет. В этой роли серверная машина
обеспечиваюет общий доступ в интернет всем (или определенным компьютерам офиса)
безопасную работу сотрудников в Интернете. В случае, если бизнес компании
жестко связан с работой сотрудников во внешней сети, такой шлюз должен быть не
только отказоустойчивым, но и достаточно производительным: работа специального
программного обеспечения (антивирусных программ, анализ и учет трафика,
анализаторы атак и т.п.) может требовать большого количества системных ресурсов
и высокоскоростных интерфейсов связи.
) Сервер электронной почты. (Mail Server).
Выделенный узел для обработки почтовых приложений может иметь потребность
у организации с численностью сотрудников 30-40 человек и позволяет
централизованно управлять внешней корреспонденцией, внутренней перепиской и
документооборотом. Серверные версии антивирусных программ и грамотно
настроенные фильтры снизят риск потери или утечки конфиденциальной информации и
уменьшат объемы нежелательной почты.
) Веб сервер, сервер web-приложений
Многие современные компании и организации имеют свой виртуальный офис или
магазин в сети Интернет WEB-сайт. Сайт может быть простым и служить лишь
визитной карточкой компании, либо более сложным - порталом, онлайн каталогом с
возможностью оформления заказов от клиентов. Бизнес-процесс многих компаний в
современном мире полностью зависим от работы WEB служб, а в нашем случае от веб-сервера,
его доступность и отказоустойчивость, возможность противостоять внешним
негативным воздействиям, атакам и попыткам взлома, достаточной
производительностью для сотни или тысячи одновременно принимаемых запросов из
сети. Выделенный узел для веб-приложений позволит обеспечить доступ большому
количеству посетителей, гарантировать работу сложных, критически важных
веб-приложений компании.
) Терминальный сервер
Работу удаленных офисов, мобильных пользователей и сотрудников, часто
работающих из дома или в командировке, с обеспечением привычного доступа к
рабочим ресурсам посредством сети Интернет или выделенных каналов связи
способен обеспечить терминальный сервер. Шифрование передаваемых данных
обеспечивает безопасность такого вида связи. Пользователь соединяется через
канал связи с сервером, вводит свои учетные данные и попадает на свой
виртуальный рабочий стол, или документам. Эта служба удобна тем что важные
данные хранятся непосредственно на сервере, и доступ к ним можно получить из
любой точки мира, был бы там лишь доступ в интернет! Также позволяет
использовать программу 1С удаленно из любой точки планеты, при наличии интернет
канала.
) Сервер баз данных (Database server)
Следующая роль следует из названия - обработка данных, организованных и
структурированных согласно определенным правилам и хранимых совместно. Наиболее
часто используемые средства управления данными это MS SQL Server, Oracle,
Apache, MySql. В случае потребности бизнес процессов компании в подготовке и
обработке данных необходим выделенный вычислительный ресурс. Как правило,
параметры такого узла напрямую зависят от масштаба базы данных, количества
пользователей, динамики и характера обращений к данным. Важность бизнес
приложения связанного с обработкой данных в жизни компании определяет
необходимый уровень доступности данных, т.е. отказоустойчивости и надежности
такой системы.
8) Файловый сервер.
Предназначен для организации и структурированного хранения данных
пользователей с учетом политик безопасности и доступа. Количество пользователей
и объем хранимых данных являются определяющими моментами при определении
состава такой системы
) Серверы приложений
Для сервера приложений характерны расширенные возможности обработки
информации, а взаимодействие с клиентом становится подобным работе приложения.
В маркетинге термином «сервер приложений» обычно обозначают предлагаемое
продавцами комплексное решение, которое содержит все требуемые компоненты
технологий. Для некоторых организаций такой комплексный подход к построению
сервера приложений облегчает разработку благодаря унификации разрабатываемых
моделей и централизации поддержки.
) «Беспроводной» сервер
В своей простейшей интерпретации такой компьютер может представлять собой
типичный Web-сервер или сервер приложений, который просто знает, как передавать
документы, составленные на стандартном для беспроводных устройств языке. Часто
в качестве такого языка выступает Wireless Markup Language (WML). Адаптация
Web-сервера для работы в качестве беспроводного сервера, способного
обрабатывать документы WML-типа, обычно сводится просто к тому, чтобы обучить
сервер распознаванию этих документов. Web-серверу требуется только сообщить
клиенту, что документ составлен в формате для беспроводных устройств, и на этом
его работа заканчивается.
) Брандмауэры (межсетевые экраны), файрволлы.
Это защитный экран от вредоносных воздействий из интернета, стена в одну
строну пропускает исходящие данные, а в обратную (на прием) уже анализирует что
именно поступает в сеть, определяя вредоносные данные, отсеивает их из общего
потока входящей информации, что в настоящем времени является очень актуальной
защитой от вирусов и атак из интернета. Прокси-серверы можно сконфигурировать
так, что они будут принимать или отвергать определенные типы сетевых запросов,
поступающие как из локальной сети, так и из Интернета. В такой конфигурации
прокси-сервер становится межсетевым экраном - брандмауэром. Брандмауэр, как и
подразумевает его «боевое» имя, представляет собой средство обеспечения
безопасности, задачи которого во многом схожи с работой пограничников:
осматривать каждый фрагмент данных, который пытается пересечь границу сети.
) Серверы DHCP
В настоящее время во многих локальных сетях (интрасетях) также
используется протокол TCP/IP, но иногда применяются и оригинальные протоколы
обмена, такие, как NetBEUI или AppleTalk. IP-адрес компьютерам можно
присваивать вручную, или же на одной из машин запускается так называемый сервер
DHCP (Dynamic Host Configuration Protocol), который автоматически присваивает
IP-адрес каждой локальной машине. Основное преимущество сервера DHCP - свобода
изменения конфигурации локальной сети при ее расширении, добавлении или
удалении машин (например, портативных ПК).
) Серверы FTP
Подобные серверы, работающие на основе протокола File Transfer Protocol, уже
много десятилетий назад стали стандартом де-факто при перемещении файлов в
Интернете. FTP-серверы поддерживают работу простых файловых менеджеров -
клиентов. Сложные FTP-серверы обеспечивают администратору большие возможности
управления в том, что касается прав на подключение и совместного использования
файлов, типов разделяемых файлов и их размещения. Конфигурируемые ресурсы,
выделяемые ряду соединений с сервером, ограничения на количество передаваемых
данных и минимальную скорость передачи и т.п., становятся все более популярными
средствами, помогающими повысить безопасность FTP-серверов.
) Принт-серверы
Такие серверы позволяют всем подключенным к сети компьютерам
распечатывать документы на одном или нескольких общих принтерах. В этом случае
отпадает необходимость комплектовать каждый компьютер собственным печатающим
устройством. Кроме того, принимая на себя все заботы о выводе документов на
печать, принт-сервер освобождает компьютеры для другой работы. Например,
принт-сервер хранит посланные на печать документы на своем жестком диске,
выстраивает их в очередь и выводит на принтер в порядке очередности.
) Маршрутизатор
Маршрутизатор - специализированный сетевой компьютер, имеющий минимум два
сетевых интерфейса и пересылающий пакеты данных между различными сегментами
сети, принимающий решения о пересылке на основании информации о топологии сети
и определённых правил, заданных администратором.
) Домашний сервер
В связи с тем, что компьютерная техника имеет очень доступную цену, и
проникает повсюду, а также современные операционные системы имеют серверные
возможности. С их помощью можно предоставлять пользователям других (соседних)
компьютеров доступ к данным на жестком диске или к принтеру, а также «делиться»
каналом интернета. Кроме того, домашний сервер можно использовать для
резервного хранения данных или, сделав его доступным через Интернет, работать с
документами на нем с любого ПК, подключенного к глобальной Сети. «Поднять»
домашний сервер для хранения файлов и разделения доступа к Интернету не так сложно,
как может показаться неискушенному пользователю. Для этой цели можно
использовать обычный компьютер, даже без монитора. Для файлового или простого
веб-сервера достаточно компьютера с процессором не слабее Intell Pentium 4 или
AMD Sempron, оперативной памятью объемом 512 Мб и приводом CD-ROM. Если же на
компьютере планируется запуск игрового сервера (весьма популярная инициатива в
небольших локальных сетях), потребуется машина помощнее.
Каждая из этих систем состоит из устройств:
) Сетевые карты;
Сетевая плата, также известная как сетевая карта, сетевой адаптер,
Ethernet-адаптер, NIC (англ. network interface controller) - периферийное
устройство, позволяющее компьютеру взаимодействовать с другими устройствами
сети. В настоящее время, особенно в персональных компьютерах, сетевые платы
довольно часто интегрированы в материнские платы для удобства и удешевления
всего компьютера в целом.
) Повторители.
Повторитель (репитер, от англ. repeater) - сетевое оборудование,
предназначенное для увеличения расстояния сетевого соединения путём повторения
электрического сигнала «один в один».
) Концентраторы;
Сетевой концентратор или хаб (от англ. hub - центр) - устройство для
объединения компьютеров в сеть Ethernet c применением кабельной инфраструктуры
типа витая пара. В настоящее время вытеснены сетевыми коммутаторами.
) Коммутаторы;
Сетевой коммутатор (жарг. свитч от англ. switch - переключатель) -
устройство, предназначенное для соединения нескольких узлов компьютерной сети в
пределах одного или нескольких сегментов сети. Коммутатор работает на канальном
(втором) уровне модели OSI. Коммутаторы были разработаны с использованием
мостовых технологий и часто рассматриваются как многопортовые мосты. Для
соединения нескольких сетей на основе сетевого уровня служат маршрутизаторы.
) Модемы;
Модем (акроним, составленный из слов модулятор и демодулятор) -
устройство, применяющееся в системах связи для физического сопряжения
информационного сигнала со средой его распространения, где он не может
существовать без адаптации.
Обоснование типа, класса и вида КИИ
В качестве исследуемого компонента выберем тип системы управления
«файловый сервер», используя статистические данные об отказе отдельной части
данной системы.
По данным сайта Arbor Networks после 11 дней наблюдения (с
2008-01-03 по 2008-01-14) система стала неспособной выполнять свои функции. Но
после реализации угрозы система была восстановлена. Ниже представлены
статистические данные (таблица 1) и полученная на их основе гистограмма (рис.
4).
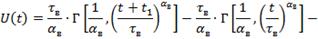
Функция полезности:
, (1)
где αв и αз - коэффициенты нелинейности (восхода и заката
соответственно);
τв и τз - постоянные времени «восхода» и «заката» жизненного
цикла компонента; t - текущее время;
Проверка соответствия эмпирического распределения атак на файловый сервер
теоретическому.
В следующей таблице представлены результаты подсчёта количества атак в
день на компонент системы в течение 11 дней.
Таблица 1 - Статистические данные атаки
|
День
|
1
|
2
|
4
|
5
|
6
|
7
|
8
|
9
|
10
|
11
|
|
Число атак
|
91
|
74
|
68
|
56
|
43
|
39
|
32
|
26
|
21
|
16
|
12
|
Требуется проверить гипотезу о согласии данной выборки со стандартным
распределением Хи-квадрат.
Плотность вероятностей распределения Хи-квадрат имеет вид:
Для проверки гипотезы воспользуемся критерием согласия Пирсона.
Используем формулу статистики:
где
предполагаемая вероятность попадания в
-й интервал;
- соответствующее эмпирическое значение;
- число элементов выборки из каждого интервала;
N -
объем выборки.
При заданном распределении атак, и объеме выборки N=558 атак, получаем следующие
вероятности (таблица 2).
Таблица 2 - Частотные вероятности
|
|
0,30706
|
|
0,00013455
|
|
|
0,33602
|
|
0,0000132
|
|
|
0,14303
|
|
0,0000031
|
|
|
0,02143
|
|
0,00000268
|
|
|
0,00815
|
|
0,000000612
|
|
|
0,001223
|
|
0
|
Подставляя в формулу для оценки статистики, получаем:
= 13,621.
Для заданного уровня значимости α=0.1 и заданными 9 степенями свободы,
имеем:
=15,135.
Следовательно, гипотеза о том что, статистика имеет распределение
Хи-квадрат, не отвергается на уровне значимости α=0.1 так как:
<
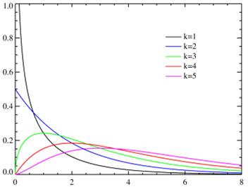
Для наглядности построим график плотности вероятности при заданных
коэффициентах
= 1,
= 2,
= 3,
= 4,
= 5 (рис. 3).
Рисунок 3 - Плотность распределения вероятности
Рисунок 4 - Гистограмма распределения статистики атак
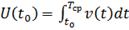
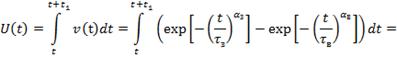
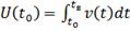
2. Найти и исследовать аналитическую зависимость (от времени) ущерба
(как упущенной выгоды и др.) выражения полезности элемента КИИ
Для того чтобы найти и исследовать аналитическую зависимость ущерба нужно
взять интеграл от функции полезности с пределами от t1 до t2.
Данная функция полезности
где tв,tз - постоянные времени «восхода» и
«заката» жизненного цикла компонента; aв, aз - коэффициенты нелинейности > 1.
При этом производительность (полезность) функционирования
элемента КИИ выражается следующими зависимостями от времени:
где
-
среднее время жизни системы.
Построим
график функции полезности.
1)
)
)
Рисунок 5 - График функции полезности
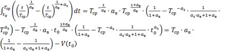
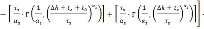
Для расчета аналитического выражения ущерба:
Интегрирование производится от начала атаки
до конца атаки
так как система только временно
теряет работоспособность объекта. Проще говоря
это длительность ликвидации
последней успешной атаки. Для начала упростим выражение полезности компоненты
системы:
, (7)
Проинтегрируем данное выражение и получим аналитическое выражение ущерба:
где tв,tз - постоянные времени «восхода» и
«заката» жизненного цикла компонента; aв, aз - коэффициенты нелинейности > 1.
Рисунок 6 - График ущерба
. Найти аналитическое выражение и провести его математический
анализ временной зависимости риска «отказа» атакуемого элемента КИИ, включая
параметры риска: пик, мода, крутизна, диапазон по уровню риска, шаг
дискретизации
Риск является одним из важнейших показателей при выборе и построении
системы защиты от вероятностных угроз. По его параметрам можно определить тип
защиты, разработать алгоритм управления эффективностью системы и т.д. Однако
чтобы риск как можно более точно отображал ситуацию, нужно иметь большое
количество данных (статистики), что не всегда возможно.
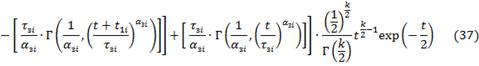
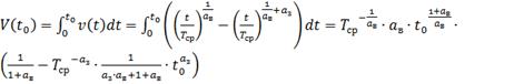
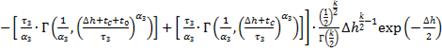
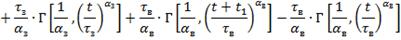
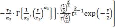
Для того, чтобы получить аналитическое выражение риска, нужно полученное
выражение для ущерба умножить на плотность вероятности заданного распределения.
где
зависимость ущерба от времени;
плотность вероятности отказов компонентов.
Рисунок 7 - График функции риска
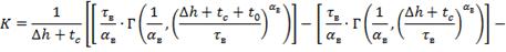
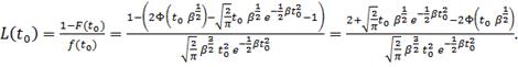
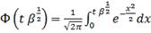
Найдем параметры риска в аналитическом виде:
Найдем моду риска. Пусть
- искомая мода. Тогда используя вид функций плотности
вероятности отказов (f) и
функции ущерба (u) мы можем
записать два первых слагаемых для функции f в виде ряда Тейлора. Остальные слагаемые можно отбросить,
так как они очень малы, и ими можно пренебречь.
где
- мода распределения. Для распределения Хи-квадрат она равна
. В моей работе я заменял её на
, поэтому так же сделаю данную замену
для вычисления моды, пика и шага дискретизации риска.
Тогда для функции ущерба мы можем аналогично записать:
Так как
, то
Сделаем замену:
, тогда
Сделаем ещё одну замену
В явном виде получим:
где
плотность вероятности,
В ходе решения получится два
. Из них будет верным тот, который
будет возрастать с ростом
. Второй
просто отбрасывается.
Тогда мода риска
.
Найдем пик риска. Используя выше написанные выкладки, получим:
, (18)
где
риска.
Зная пик и моду можно найти крутизну: Крутизна
Шаг дискретизации
, где fmax - максимальная точка плотности вероятности (удобно находить
из графика); n
количество интервалов, на которое
разделим распределение.
Тогда, график риска появления негативного события в определенный момент
имеет следующий вид (рис. 8):
Рисунок 8 - Вероятность момента определенного во времени
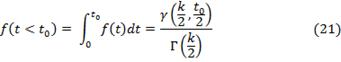
Если существует вероятность появления негативного события с начала жизни
системы и до определенного момента
формула плотности вероятности примет
следующий вид:
где
параметр распределения.
Ущерб нужно усреднить

Рисунок 9
Вероятность появления негативного события с начала жизни
системы и до определенного момента
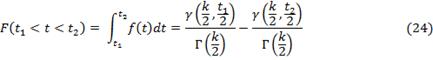
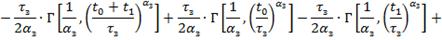
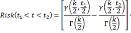
В случае, когда негативное событие может проявиться в известный отрезок
времени от
и до
, формула плотности вероятности будет иметь следующий вид:
и
границы интервала времени;
параметр распределения.
Риск того, что событие произойдет в период времени
, будет равен:
(26)
График риска появления негативного события в интервале времени
имеет следующий вид (рис. 10):
Рисунок 10
Вероятность появления негативного события в интервале
времени
.
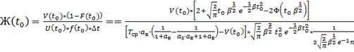
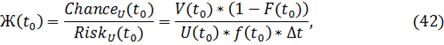
Найти аналитическое выражение оценки жизнестойкости на основе шанса успешной
работы и риска отказа элемента КИИ для обоснованных функций распределения и
полезности
Одним из важнейших показателей при разработке и построении системы защиты
является выражение оценки жизнестойкости системы, как выражение эффективности
компоненты. Данный показатель имеет экономический характер и позволяет оценить
защиту со стороны цена/остаточный риск, а также, найти ту ценовую категорию,
которая наибольше всего подходит для РИС.
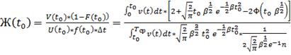
Выражение оценки жизнестойкости, как и эффективности, вычисляется на
основе шанса успешной работы и риска отказа компонента системы. Под шансом
успешной работы понимают вероятность того, что компонент будет функционировать
до определенного момента t.
Найдем шанс успешной работы компонента:
где
функция безуспешности (вероятности жизнестойкости) атак на
элемент;
польза, которую приносит компонента
от начала работы системы и до момента
;
шаг дискретизации.
(28)
где
момент времени;
коэффициент распределения;
и
постоянные времени «восхода» и «заката» жизненного цикла
компонента;
и
коэффициенты нелинейности > 1.
Рисунок 11 - График шанса
Оценка жизнестойкости компоненты, как и эффективность, вычисляется по
следующей формуле:
В абсолютном виде:
(30)
В относительном виде:
Однако учитывая дискретизацию и дискрет времени
, тогда по всем моментам времени
получаем.
причем дискрет времени можно найти:
где
шаг дискретизации,
максимальное значение плотности
вероятности отказа компоненты,
максимальное значение ущерба.
и
удобно определять по графику.
5.
Найти и упростить аналитическое выражение для общей риск-оценки жизнестойкости
атакуемой КИИ, состоящей из множества исследуемых элементов
После всех расчётов, которые были проведены в предыдущих пунктах,
перейдём к нахождению общей риск - оценки эффективности атакуемой системы,
состоящей их множества исследуемых компонентов. Причем при оценке всей системы
в целом, будем исходить из того, что отказ одного компонента не ведет за собой
отказ другого компонента. Это дает нам то, что ущербы, возникающие при отказах
компонентов слабо коррелированы между собой. Отсюда следует, что общий ущерб
РИС можно найти, как сумму ущербов каждой компоненты системы, но свойство
независимости компонент требует, рассматривать плотность вероятностей отказа
компоненты, как произведение плотностей вероятностей отказа отдельных
компонент.
На распределенную систему в целом происходят два воздействия: синхронное
и асинхронное.
Синхронное воздействие - это совместное воздействие дестабилизирующих
факторов.
Асинхронное воздействие - это несовместное воздействие дестабилизирующих
факторов.
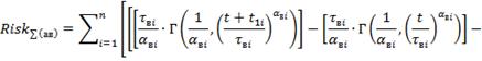
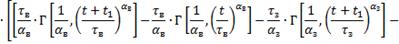
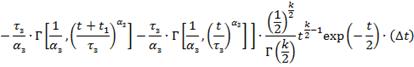
При реализации синхронного воздействия получим следующую формулу:
где
зависимость ущерба от времени
ой компоненты;
- плотность вероятности отказа
- ой компоненты,
- количество компонент
распределенной системы.
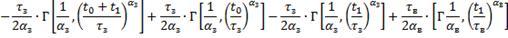
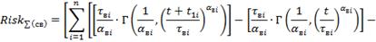
При асинхронном воздействии формула для риска будет иметь вид:
Тогда для распределения Хи-квадрат получим:
где
и
- постоянные времени «восхода» и «заката» жизненного цикла
ой компоненты системы;
- коэффициенты нелинейности
ой компоненты системы,
- текущее время.
Используя метод усредненных оценок, выше полученные уравнения можно
упростить, используя математическое ожидание функции ущерба (
ой компоненты.
.
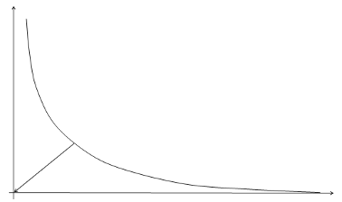
Найти аналитическую зависимость живучести без учета ущерба и с учетом ущерба.
Сравнить полученные зависимости и сделать соответствующие вывод о преимуществах
и недостатках того или иного расчета. Выявить какой из полученных результатов
является более детальным, и какой лучше использовать
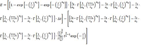
где
,
,
a
- момент времени в котором считается
живучесть компонента КИИ. Подставим эти выражения в формулу живучести и получим
следующее:
(41)
Построим три графика функции живучести, при этом положим
, которые отвечают функциям
соответственно. В результате получим
следующий график:
Рис. 12. Графики функции живучести.
Таким образом, видно, что чем больше коэффициент
тем сильнее график приближается к
началу координат. Если схематично изобразить это на рисунке то получим
следующее:
Рис. 13. График функции живучести.
Теперь перейдем к отысканию аналитической зависимости живучести
компонента системы с учетом ущерба. Формула живучести в данном случае будет
выглядеть следующим образом:
где
a
, при этом
- количество дискрет,
- момент времени отказа компонента
КИИ, а
- момент времени в котором компонент
КИИ полностью восстановился, при это
.
Рассмотрим случай, когда компонент КИИ безвозвратно вышел из строя и,
следовательно, не подлежит восстановлению, тогда
Формула живучести в этом случае будет задаваться следующим образом:
. (43)
Перейдём к расчету аналитической зависимости функции живучести. Для этого
сначала посчитаем
и
а затем подставим их в формулу живучести:
, (44)
=
. (45)
Следовательно, формула живучести будет выглядеть следующим образом:
. (46)
Построим три графика функции живучести, при этом положим
, которые отвечают функциям
соответственно. В результате получим
следующую таблицу:
Построим по данной таблице графики функции живучести. Они будут выглядеть
следующим образом (рис. 14.):
Рис. 14. Графики функции живучести.
Сопоставим график живучести без учета ущерба, с графиком живучести с
учетом ущерба (рис. 15.)
Рис. 15. Сравнение графиков живучести.
Из данного рисунка видно, что графики живучести компоненты КИИ с учетом
ущерба и без учета ущерба практически полностью совпадают. Не трудно заметить,
что на все области определения данные графики монотонно убывают, и ведут себя
практически одинаково.
Однако в риск-анализе целесообразно использовать вторую зависимость, так
как в ней использует числовая характеристика как ущерб, которая является
неотъемлемой составляющей риск-анализа и дает более полную и точную оценку.
7. Предложить методику противодействия угрозам для рассматриваемых
элементов и разработать алгоритм управления жизнестойкостью многокомпонентной
КИИ, а также - осуществить вычислительный эксперимент по риск-оценке и регулированию
жизнестойкости КИИ, состоящей из нескольких элементов исследуемой разновидности
Выбор мероприятий по управлению информационной безопасностью
После того, как определены требования к информационной безопасности,
следует выбрать и внедрить такие мероприятия по управлению информационной
безопасностью, которые обеспечат снижение рисков до приемлемого уровня. Эти
мероприятия могут быть выбраны из настоящего стандарта, других источников, а
также могут быть разработаны собственные мероприятия по управлению
информационной безопасностью, удовлетворяющие специфическим потребностям
организации.
Выбор мероприятий по управлению информационной безопасностью должен
основываться на соотношении стоимости их реализации к эффекту от снижения
рисков и возможным убыткам в случае нарушения безопасности.
Имеется множество различных подходов к управлению рисками; Данная
методика будет основываться на стандарте ГОСТ ИСО/МЭК 17799-2005.
В данной методике будут изложены основные методы по противодействию
угрозам для рассматриваемых элементов.
Для наилучшего противодействиям угрозам, прежде всего, следует обратить
внимание на защиту от вредоносного программного обеспечения, разграничение
доступа к системе и планированию нагрузки на систему.
Целью планирования нагрузки является сведение к минимуму риска сбоев в
работе системы.
Для снижения риска перегрузки систем необходимо проводить анализ
предполагаемой ее нагрузки. Требования к эксплуатации новых систем должны быть
определены перед их приемкой и использованием.
Целью защиты от вредоносного программного обеспечения является
обеспечение защиты целостности программного обеспечения и массивов информации.
Для этого необходимо принимать меры предотвращения и обнаружения
внедрения вредоносного программного обеспечения.
Программное обеспечение и средства обработки информации уязвимы к
внедрению вредоносного программного обеспечения, такого как компьютерные
вирусы, сетевые «черви», «троянские кони» и логические бомбы. Пользователи
должны быть осведомлены об опасности использования неавторизованного или
вредоносного программного обеспечения, а соответствующие руководители должны
обеспечить внедрение специальных средств контроля с целью обнаружения и/или
предотвращения проникновения подобных программ, В частности, важно принятие мер
предосторожности с целью обнаружения и предотвращения заражения компьютерными
вирусами персональных компьютеров.
Мероприятия по управлению информационной безопасностью для борьбы с
вредоносным программным обеспечением
С целью обнаружения и предотвращения проникновения вредоносного
программного обеспечения необходимо планирование и реализация мероприятий по
управлению информационной безопасностью, а также формирование процедур,
обеспечивающих соответствующую осведомленность пользователей. Защита от вредоносного
программного обеспечения должна основываться на понимании требований
безопасности, соответствующих мерах контроля доступа к системам и надлежащем
управлении изменениями. Необходимо рассматривать следующие мероприятия по
управлению информационной безопасностью:
- документированную политику, требующую соблюдения лицензионных соглашений
и устанавливающую запрет на использование неавторизованного программного
обеспечения;
- документированную политику защиты от рисков, связанных с получением
файлов и программного обеспечения из внешних сетей, через внешние сети или из
любой другой среды. В этой политике должно содержаться указание о необходимости
принятия защитных мер;
- установку и регулярное обновление антивирусного программного обеспечения
для обнаружения и сканирования компьютеров и носителей информации, запускаемого
в случае необходимости в качестве превентивной меры или рутинной процедуры:
- проведение регулярных инвентаризаций программного обеспечения и данных
систем, поддерживающих критические процессы, Необходима также формализованная
процедура по расследованию причин появления любых неавторизованных или
измененных файлов в системе;
- проверку всех файлов на носителях информации сомнительного или
неавторизованного происхождения или файлов, полученных из общедоступных сетей,
на наличие вирусов перед работой с этими файлами;
- проверку любых вложений электронной почты и скачиваемой информации на
наличие вредоносного программного обеспечения до их использования.
Эта проверка может быть выполнена в разных точках, например, на
электронной почте, персональных компьютерах или при входе в сеть организации;
- управленческие процедуры и обязанности, связанные с защитой от вирусов,
обучение применению этих процедур, а также вопросы оповещения и восстановления
после вирусных атак.
- антивирусного программного обеспечения.
Средства контроля сетевых ресурсов
Для обеспечения требуемого уровня безопасности компьютерных сетей и его
поддержки требуется комплекс средств контроля. Руководители, отвечающие за
поддержку сетевых ресурсов, должны обеспечивать внедрение средств контроля
безопасности данных в сетях и защиту подключенных сервисов от неавторизованного
доступа, В частности, необходимо рассматривать следующие меры и средства
управления информационной безопасностью:
- следует распределять ответственность за поддержание сетевых ресурсов и
компьютерных операций;
- следует устанавливать процедуры и обязанности по управлению удаленным
оборудованием, включая оборудование, установленное у конечных пользователей;
- если необходимо, специальные средства контроля следует внедрять для
обеспечения конфиденциальности и целостности данных, проходящих по
общедоступным сетям, а также для защиты подключенных систе. Могут также
потребоваться специальные средства контроля для поддержания доступности сетевых
серверов и рабочих станций;
- действия по управлению необходимо тщательно соизмерять с общими
требованиями к обеспечению безопасности инфраструктуры обработки информации.
Не маловажной частью данной методики является контроль доступа к системе.
Контроль сетевого доступа
Целью данного контроля является защита сетевых сервисов.
Доступ, как к внутренним, так и к внешним сетевым сервисам должен быть
контролируемым. Это необходимо для уверенности в том, что пользователи, которые
имеют доступ к сетям и сетевым сервисам, не компрометируют их безопасность,
обеспечивая:
- соответствующие интерфейсы между сетью организации и сетями,
принадлежащими другим организациям, или общедоступными сетями;
- соответствующие механизмы аутентификации в отношении пользователей и
оборудования;
- контроль доступа пользователей к информационным сервисам.
Политика в отношении использования сетевых служб
Несанкционированные подключения к сетевым службам могут нарушать
информационную безопасность целой организации. Пользователям следует
обеспечивать непосредственный доступ только к тем сервисам, в которых они были
авторизованы. Контроль доступа, в частности, является необходимым для сетевых
подключений для пользователей, находящихся в зонах высокого риска, например, в
общественных местах или за пределами организации - вне сферы непосредственного
управления и контроля безопасности со стороны организации.
Следует предусматривать меры безопасности в отношении использования сетей
и сетевых сервисов. При этом должны быть определены:
- процедуры авторизации для определения кому, к каким сетям и сетевым
сервисам разрешен доступ;
- мероприятия и процедуры по защите от несанкционированного подключения к
сетевым сервисам.
Необходимо, чтобы эти меры согласовывались с требованиями системы в
отношении контроля доступа.
Контроль сетевых соединений
Требования политики контроля доступа для совместно используемых сетей,
особенно тех, которые простираются за границы организации, могут потребовать
внедрения дополнительных мероприятий по управлению информационной
безопасностью, чтобы ограничивать возможности пользователей по подсоединению.
Такие мероприятия могут быть реализованы посредством сетевых шлюзов, которые
фильтруют трафик с помощью определенных таблиц или правил.
Необходимо, чтобы применяемые ограничения основывались на политике и
требованиях доступа к приложениям, а также соответствующим образом
поддерживались и обновлялись.
Управление маршрутизацией сети.
Сети совместного использования, особенно те, которые простираются за
границы организации, могут требовать реализации мероприятий по обеспечению
информационной безопасности, чтобы подсоединения компьютеров к информационным
потокам не нарушали политику контроля доступа к приложениям. Это является
особенно важным для сетей, совместно используемых с пользователями третьей
стороны (не сотрудниками организации).
Обеспечение информационной безопасности при осуществлении маршрутизации
основывается на надежном механизме контроля адресов источника и назначения
сообщения. Преобразование сетевых адресов также очень полезно для изоляции
сетей и предотвращения распространения маршрутов от сети одной организации в
сеть другой. Этот подход может быть реализован как программным способом, так и
аппаратно. Необходимо, чтобы специалисты, занимающиеся внедрением, были
осведомлены о характеристиках используемых механизмов.
Контроль доступа к операционной
системе
Целью контроль доступа к операционной
системе является предотвращение неавторизованного доступа к компьютерам.
На уровне операционной системы следует использовать средства
информационной безопасности для ограничения доступа к компьютерным ресурсам.
Эти средства должны обеспечивать:
а) идентификацию и верификацию компьютера пользователя и, если необходимо,
терминала и местоположение каждого авторизованного пользователя;
б) регистрацию успешных и неудавшихся доступов к системе;
в) аутентификацию соответствующего уровня. Если используется система
парольной защиты, то она должна обеспечивать качественные пароли:
г) ограничение времени подсоединения пользователей, в случае
необходимости.
В общем алгоритме управления многокомпонентной системой можно выделить
пять взаимосвязанных этапов: анализ эмпирических данных, определение ущерба,
определение вероятности атаки, определение риска и шанса, оценка эффекта и
выбор методологии защиты.
Заключение
Данная работа была посвящена проведению риск-анализ для определенного
компонента распределённой информационной системы на базе распределения
Хи-квадрат. Риск-анализ отталкивался от полезности функционирования компоненты,
заданной по определенному закону. В ходе работы было найдено аналитическое
выражение эффективности на основе шанса успешной работы и риска «отказа»
компоненты. Также была выведена своя методика противодействия угрозам для
рассматриваемого компонента РИС и разработан алгоритм управления
многокомпонентной системой. Все выкладки и формулы построены как зависимость от
времен, а не от ущерба.
В ходе работы были выполнены все поставленные цели и задачи.
компьютерный закон квадрат вычислительный
Список используемой литературы
1. Остапенко А.Г. Концепция вероятностного риск-анализа
распределенных систем. // Информация и безопасность: Регион. науч. журнал. -
Воронеж. 2012. Вып. 4.-511-518 с.
2. Остапенко А.Г. Жизнестойкость атакуемых
распределенных систем: оценка рисков фатальных отказов компонентов / А.Г.
Остапенко, Д.Г. Плотников, О.Ю. Макаров, Н.М. Тихомиров, В.Г. Юрасов; под ред.
чл.-корр. РАН Д.А. Новикова. - Воронеж: Научная книга, 2013. - 160 с.
3. Гмурман В.Е. Теория вероятностей и математическая
статистика. 9-е изд., стер.- М.: Высшая школа, 2003.- 479 с.
4. Остапенко А.Г. К вопросу об оценке рисков атакуемых
распределенных информационных систем: развитие понятийного аппарата. //
Информация и безопасность: Регион. науч. журнал.- Воронеж. 2012. Вып.
4.-583-584 с.
5. Остапенко А.Г. Оценки общего риска для распределенных
информационно-телекоммуникационных систем на основе параметров риска их
компонентов. // Информация и безопасность: Регион. науч. журнал.- Воронеж.
2012. Вып. 2. - 269-272 с.
. Остапенко А.Г. Функция возможности в оценке рисков,
шансов и эффективности систем. // Информация и безопасность: Регион. науч.
журнал. - Воронеж. 2010. Вып. 1.-17-20 с.
. Г.А. Остапенко. Основы оценки рисков и защищенности
компьютерно-атакуемых информационных систем и технологий // Учебное пособие.
Воронеж 2013
8. Феллер В. Введение в теорию вероятностей и ее
приложения. В 2-х томах. Т.1. Пер. с англ. В. Феллер - М.: Мир. 1984. - с. 137
- 139.
. Э. Таненбаум, М. ван Стеен. Распределенные системы.
Принципы и парадигмы. Санкт- Петербург 2003 г.