Применение системы Mathcad для исследования линейных электрических цепей синусоидального тока
Введение
Данная курсовая работа позволяет
усовершенствовать навыки в системе Mathcad. При помощи этой компьютерной
программы решение математических задач упрощается, т.к. при правильной
постановки задачи системе Mathcad с легкостью можно выполнить математические
преобразования, которые заняли бы у среднестатистического человека немалое
время.
Универсальная система компьютерной математики
Mathcad является одной из лучших систем для научно-технических вычислений. В
среде Mathcad доступны более сотни операторов и функций, предназначенных для
численного и символьного решения различных математических задач. С помощью этой
системы можно легко производить как численные, так и аналитические (символьные)
вычисления.
Целью данной курсовой работы является применение
системы MathCad для исследования линейной электрической цепи синусоидального
тока. В работе исследуется влияние частоты питающего напряжения на амплитуду
входного тока электрической цепи. Задачи курсовой работы: - объединение всех
ранее полученных знаний в системе MathCad и применение их на практике -
закрепление теоретических знаний пакета MathCad по анализу и расчёту
электрических цепей переменного тока - получение навыков по самостоятельному
решению прикладной инженерной задачи с применением компьютерных систем
1.Теоретические сведения
.1 Понятие математической модели, их
классификация
Моделирование можно рассматривать, как замещение
исследуемого объекта (оригинала) его условным образом, описанием или другим
объектом, именуемым моделью и обеспечивающим адекватное с оригиналом поведение
в рамках некоторых допущений и приемлемых погрешностей (согласно [1]).
Моделирование обычно выполняется с целью познания свойств оригинала путем
исследования его модели, а не самого объекта. Разумеется, моделирование оправдано
в том случае, когда оно проще создания самого оригинала или когда последний по
каким-то причинам создать не возможно.
Чем сложнее проектируемый объект, тем, как
правило, важнее роль моделирования в его изучении и создании.
Трудно переоценить роль моделирования в
образовании, где нередко реальные лабораторные работы заменяются их
компьютерным моделированием.
Математическое моделирование - это средство
изучения реального объекта, процесса или системы путем их замены математической
моделью, более удобной для экспериментального исследования с помощью ЭВМ.
Математическая модель является приближенным
представлением реальных объектов, процессов или систем, выраженным в
математических терминах и сохраняющим существенные черты оригинала.
Математические модели в количественной форме, с помощью логико-математических
конструкций, описывают основные свойства объекта, процесса или системы, его
параметры, внутренние и внешние связи.
Математические модели представляют собой
формализованные описания объекта или системы с помощью некоторого абстрактного
языка, например в виде совокупности математических соотношений или схемы
алгоритма. Нередко математические модели оказываются пригодными для описания
множества систем и явлений в самых различных областях науки, техники и экономики.
Иногда математическая модель описывается
уравнениями, которые явно вытекают из рассмотрения физической сущности
моделируемого явления или системы. Примером может служить экспоненциальное
выражение для вольт- амперной характеристики полупроводникового диода (теория
предсказывает именно такой ее вид). Однако чаше описание моделируемых объектов
и систем носит чисто формальный характер и базируется на том, что многие
явления порой самой различной природы описываются уравнениями (алгебраическими,
дифференциальными и иными) одного и того же вида. В этом случае говорят о
формальных моделях. Например, формальной моделью диода служит модель в виде
отрезков двух прямых - один задает сопротивление диода в открытом, а другой в
закрытом состоянии.
Различают следующие виды математического
моделирования: вербальные (словесные), графические, табличные, аналитические и
алгоритмические.
Форма и принципы представления математической
модели зависит от многих факторов.
По принципам построения математические модели
разделяют на:
а) аналитические;
б) имитационные.
В аналитических моделях процессы
функционирования реальных объектов, процессов или систем записываются в виде
явных функциональных зависимостей.
Аналитическая модель разделяется на типы в
зависимости от математической проблемы:
а) уравнения (алгебраические,
трансцендентные, дифференциальные, интегральные),
б) аппроксимационные задачи (интерполяция,
экстраполяция, численное интегрирование и дифференцирование),
в) задачи оптимизации,
г) стохастические проблемы.
Однако по мере усложнения объекта моделирования
построение аналитической модели превращается в трудноразрешимую проблему. Тогда
исследователь вынужден использовать имитационное моделирование.
В имитационном моделировании функционирование
объектов, процессов или систем описывается набором алгоритмов. Алгоритмы
имитируют реальные элементарные явления, составляющие процесс или систему с
сохранением их логической структуры и последовательности протекания во времени.
Имитационное моделирование позволяет по исходным данным получить сведения
осостояниях процесса или системы в определенные моменты времени, однако
прогнозирование поведения объектов, процессов или систем здесь затруднительно.
Можно сказать, что имитационные модели - это проводимые на ЭВМ вычислительные эксперименты
сматематическими моделями, имитирующими поведение реальных объектов, процессов
или систем.
В зависимости от характера исследуемых реальных
процессов и систем математические модели могут быть:
а) детерминированные,
б) стохастические.
В детерминированных моделях предполагается
отсутствие всяких случайных воздействий, элементы модели (переменные,
математические связи) достаточно точно установленные, поведение системы можно
точно определить. При построении детерминированных моделей чаще всего используются
алгебраические уравнения, интегральные уравнения, матричная алгебра.
Стохастическая модель учитывает случайный
характер процессов в исследуемых объектах и системах, который описывается
методами теории вероятности и математической статистики.
По виду входной информации модели разделяются
на:
а) непрерывные,
б) дискретные.
Если информация и параметры являются
непрерывными, а математические связи устойчивы, то модель - непрерывная. И
наоборот, если информация и параметры - дискретны, а связи неустойчивы, то и
математическая модель - дискретная.
По поведению моделей во времени они разделяются
на:
а) статические,
б) динамические.
Статические модели описывают поведение объекта,
процесса или системы в какой-либо момент времени. Динамические модели отражают
поведение объекта, процесса или системы во времени.
По степени соответствия между математической
моделью и реальным объектом, процессом или системой математические модели
разделяют на:
а) изоморфные (одинаковые по форме),
б) гомоморфные (разные по форме).
Модель называется изоморфной, если между нею и
реальным объектом, процессом или системой существует полное поэлементное
соответствие. Гомоморфной − если существует соответствие лишь между
наиболее значительными составными частями объекта и модели.
По форме представления:
а) инвариантные (представляют собой систему
уравнений вне связи с методом решения);
б) алгоритмические (модели связаны с
выбранным численным методом решения и его реализацией в виде алгоритма);
в) аналитические (отображаются явными
зависимостями переменных), графические (схемные).
По характеру отображаемых свойств:
а) функциональные (описывают процессы
функционирования объектов);
б) структурные (отображают только структуру
и используются при решении задач структурного синтеза).
По способу получения:
а) теоретические;
б) экспериментальные;
1.2 Численные методы в
математическом моделировании, их реализация в Mathcad
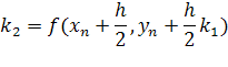
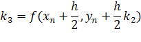
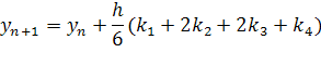
.2.1 Метод Рунге-Кутта
Для решения дифференциальных уравнений и систем
уравнений из-за его высокой точности часто применяется метод Рунге-Кутта.
Отличительная особенность метода - уточнение наклона интегральной кривой за
счет вычисления производной не только в начале текущего отрезка интегрирования,
но и, например, в середине отрезка (для двучленных схем Рунге-Кутта) или
четырехкратное вычисление производных в методе четвертого порядка.
Рассмотрим задачу Коши
<https://ru.wikipedia.org/wiki/%D0%97%D0%B0%D0%B4%D0%B0%D1%87%D0%B0_%D0%9A%D0%BE%D1%88%D0%B8>:
Тогда приближенное значение в
последующих точках вычисляется по итерационной формуле 1.3:
Вычисление нового значения проходит в четыре
стадии:
где h - величина шага сетки по x.
Метод Рунге-Кутта легко переносится и на случай
системы дифференциальных уравнений.
В Mathcad
включена функция rkfixed,
реализующая метод Рунге-Кутта четвертого порядка с постоянным шага
интегрирования. Обращение к этой функции исходя из [4]:
)
Рисунок 1.1 - Решение дифференциального уравнения
первого порядка
1.2.2 Аппроксимация данных в Mathcad
При проведении различных
экспериментов обычно требуется массив экспериментальных данных представить виде
функции, на которую могли бы с высокой точностью попадать другие получаемые
значения. Такая задача называется аппроксимацией
<https://ru.wikipedia.org/wiki/%D0%90%D0%BF%D0%BF%D1%80%D0%BE%D0%BA%D1%81%D0%B8%D0%BC%D0%B0%D1%86%D0%B8%D1%8F>.
Интерполяцией называют такую разновидность аппроксимации, при которой кривая
построенной функции проходит точно через имеющиеся точки данных. Результат
интерполяции очень чувствителен к ошибкам данных, если данные зашумлены,
следует рассматривать использование регрессии.
Полиномиальная регрессия
используется в том случае, когда между у и х, полученными экспериментально,
ожидается полиномиальная зависимость [4]. При этом используются функции regress(vх, vу, x) или loess(vх, vy, span). Здесь n - порядок
полинома, который должен приближать данные из vх, vу. Аргумент span (span> 0)
определяет, насколько большие окрестности функция loess будет
использовать при выполнении локального приближения. Функции regress и loess возвращают
векторы (обозначимvs), которые используются функцией interp(vs, vx, vy, х),
которая для заданного значения х возвращает интерполируемое значение у.
Кубическая сплайн-интерполяция
функцией interp(vs, vx, vy, х)
позволяет провести кривую через набор точек таким образом, что первые и вторые
производные кривой непрерывны в каждой точке. Эта кривая образуется путем
создания ряда кубических полиномов, проходящих через наборы из трех смежных
точек. Кубические полиномы состыковываются друг с другом, чтобы образовать одну
кривую.
Чтобы провести кубический сплайн
через набор точек (рисунок 1.2 ) [3]:
создать векторы vx и vy, содержащие
координаты х и у, через которые нужно провести кубичный сплайн.
вычислите вектор уs:=сsрline(vх, vу). Вектор vs содержит
вторые производные интерполяционной кривой в рассматриваемых точках.
Чтобы найти интерполируемое значение
в произвольной точке, скажем x0, вычисляется interp(уs, vx, vу, х0) где vs,vx и vy векторы,
описанные ранее.[4]
Рисунок1.2 - Пример кубической
сплайн-интерполяции
1.2.3 Блочный метод решения
уравнений в Mathcad
MathCAD дает возможность решать системы
уравнений и неравенств. Наиболее распространенным методом решения уравнений в
Mathcad является блочный метод. Для решения системы этим методом необходимо
выполнить следующее:
a) задать начальное
приближение для всех неизвестных, входящих в систему уравнений;
б) задать ключевое слово Given, которое
указывает, что далее следует система уравнений;
в) ввести уравнения и неравенства в любом
порядке (использовать кнопку логического равенства на панели знаков логических
операций для набора знака «=« в уравнении);
г) ввести любое выражение, которое включает
функцию Find.
Решающим блоком называется часть документа,
расположенная между ключевыми словами Given и Find.
После набора решающего блока Mathcad возвращает
точное решение уравнения или системы уравнений.
x := Find(x1,
x2,…)
- формируется переменная или вектор, содержащий вычисленные значения корней.
Рисунок 1.3 - Блочный метод решения уравнеия в MathCad
1.3Web-технологии
технологии - комплекс технических,
коммуникационных, программных методов решения задач организации совместной
деятельности пользователей с применением сети Интернет [6].
Значение Web-технологии, как для разработчиков
программного обеспечения, так и для обычных пользователей во многом
определяется тем, что это, прежде всего - интеграционная технология. И трудно
найти более удачный пример того, как можно интегрировать различные источники
информации и различные ее типы. Веб-технологии позволяют создавать простые для
освоения, легкодоступные, крайне дешевые, быстро обновляемые информационные,
диалоговые, справочные системы. Одна из таких систем это -
web-страница.страница - документ, описанный на языке HTML. Основное отличие их
от текстовых документов состоит в том, что они могут включать ссылки на другие
аналогичные документы. Совокупность таких страниц, созданных с применением
программного обеспечения и образующаяединое целое в техническом, информационном
и навигационном аспектах называется сайтом.
На сегодняшний день существуют
несколько этапов разработки веб-сайта <https://ru.wikipedia.org/wiki/%D0%92%D0%B5%D0%B1-%D1%81%D0%B0%D0%B9%D1%82>:
Проектирование
<https://ru.wikipedia.org/wiki/%D0%9F%D1%80%D0%BE%D0%B5%D0%BA%D1%82%D0%B8%D1%80%D0%BE%D0%B2%D0%B0%D0%BD%D0%B8%D0%B5>
сайта;
Создание дизайн-концепции
<https://ru.wikipedia.org/wiki/%D0%92%D0%B5%D0%B1-%D0%B4%D0%B8%D0%B7%D0%B0%D0%B9%D0%BD>
сайта;
Создание макетов
<https://ru.wikipedia.org/wiki/%D0%9C%D0%B0%D0%BA%D0%B5%D1%82> страниц;
Создание мультимедиа
<https://ru.wikipedia.org/wiki/%D0%9C%D1%83%D0%BB%D1%8C%D1%82%D0%B8%D0%BC%D0%B5%D0%B4%D0%B8%D0%B0>
и FLASH <https://ru.wikipedia.org/wiki/Adobe_Flash>-элементов;
Вёрстка
<https://ru.wikipedia.org/wiki/%D0%92%D1%91%D1%80%D1%81%D1%82%D0%BA%D0%B0>
страниц и шаблонов
<https://ru.wikipedia.org/wiki/%D0%92%D0%B5%D0%B1-%D1%88%D0%B0%D0%B1%D0%BB%D0%BE%D0%BD>;
Программирование
<https://ru.wikipedia.org/wiki/%D0%9F%D1%80%D0%BE%D0%B3%D1%80%D0%B0%D0%BC%D0%BC%D0%B8%D1%80%D0%BE%D0%B2%D0%B0%D0%BD%D0%B8%D0%B5>
(разработка функциональных инструментов) или интеграция в систему управления
содержимым (CMS
<https://ru.wikipedia.org/wiki/%D0%A1%D0%B8%D1%81%D1%82%D0%B5%D0%BC%D0%B0_%D1%83%D0%BF%D1%80%D0%B0%D0%B2%D0%BB%D0%B5%D0%BD%D0%B8%D1%8F_%D1%81%D0%BE%D0%B4%D0%B5%D1%80%D0%B6%D0%B8%D0%BC%D1%8B%D0%BC>);
Оптимизация
<https://ru.wikipedia.org/wiki/%D0%9E%D0%BF%D1%82%D0%B8%D0%BC%D0%B8%D0%B7%D0%B0%D1%86%D0%B8%D1%8F_%D1%81%D0%B0%D0%B9%D1%82%D0%B0>
и размещение материалов сайта;
Тестирование
<https://ru.wikipedia.org/wiki/%D0%A2%D0%B5%D1%81%D1%82%D0%B8%D1%80%D0%BE%D0%B2%D0%B0%D0%BD%D0%B8%D0%B5_%D0%BF%D1%80%D0%BE%D0%B3%D1%80%D0%B0%D0%BC%D0%BC%D0%BD%D0%BE%D0%B3%D0%BE_%D0%BE%D0%B1%D0%B5%D1%81%D0%BF%D0%B5%D1%87%D0%B5%D0%BD%D0%B8%D1%8F>
и внесение корректировок;
Публикация сайта;
Обслуживание работающего сайта.
В зависимости от текущей задачи
какие-то из этапов могут отсутствовать, либо быть тесно связаны один с другим.
Страницы создаются с помощью HTML -
тегового языка разметки документов
<https://ru.wikipedia.org/wiki/HTML-%D0%B4%D0%BE%D0%BA%D1%83%D0%BC%D0%B5%D0%BD%D1%82>.
Примеры основных тегов[5]:
Текстовые блоки
а) <H1> … </H1>, <H2> …
</H2>, … ,<H6> … </H6> - заголовки 1, 2, … 6 уровня.
Используются для выделения частей текста (заголовок 1 - самый крупный, 6 -
самый мелкий).
б) <P> - новый абзац.
в) <BR> - новая строка.
г) <HR> - горизонтальная
линия
д) <PRE> … </PRE> -режим
preview (preformatted text). В этом режиме текст заключается
в рамку и никак не форматируется.
Форматирование текста
а) <EM> … </EM> - логическое
ударение (обычно отображается курсивным шрифтом)
б) <I> … </I> - выделение
текста курсивом
в) <B> … </B> - выделение
текста жирным шрифтом
г) <U> … </U> - подчёркивание
текста
д) <FONT параметры> … </FONT> -
задание параметров шрифта. У этого тега есть следующие параметры:
) COLOR=color - задание цвета. Цвет может
быть задан в шестнадцатеричной форме как #rrggbb (первые 2 шестнадцатеричные
цифры задают красную компоненту, следующие 2 - зелёную, последние 2 - синюю)
или названием.
) FACE=шрифт задание гарнитуры шрифта
) SIZE=размер задание размера шрифта.
Размер от 1 до 7: стандартный по умолчанию 3. Есть много способов изменить
стандартный размер.
) SIZE=+изменение или SIZE=-изменение -
изменение размера шрифта от стандартного. Например, +2 означает размер на 2
больше стандартного.
Гиперссылки
<A HREF="filename"
target="_self">название ссылки</A>
а) Атрибут HREF задает значение адреса
документа, на который указывает ссылка.
б) filename - имя файла или адрес Internet,
на который необходимо сослаться.
в) название ссылки - название
гипертекстовой ссылки, которое будет отображаться в браузере, то есть показываться
тем, кто зашел на страницу.
г) TARGET - задает значение окна или
фрейма, в котором будет открыт документ, на который указывает ссылка.
.4 Краткие теоретические сведения из
электротехники
.4.1 Правила Кирхгофа
Все электрические цепи подчиняются первому и
второму правилам Кирхгофа. Первое правило Кирхгофа формулируется двояко:
а) алгебраическая сумма токов, подтекающих
к любому узлу схемы, равна нулю;
б) сумма подтекающих к любому узлу токов
равна сумме утекающих из узла токов.
Физически первое правило Кирхгофа означает, что
движение зарядов в цепи происходит так, что ни в одном из узлов они не
скапливаются.
Второе правило Кирхгофа также можно
сформулировать двояко:
а) алгебраическая сумма падений напряжения
в любом замкнутом контуре равна алгебраической сумме ЭДС вдоль того же контура:

б) алгебраическая сумма напряжений вдоль любого
замкнутого контура равна нулю:
Правила Кирхгофа справедливы для линейных и
нелинейных цепей при любом характере изменения во времени токов и
напряжений.[6]
1.4.2 Закон Ома для цепейсинусоидального
тока
В случае, когда ток является
синусоидальным с циклической частотой
<https://ru.wikipedia.org/wiki/%D0%A6%D0%B8%D0%BA%D0%BB%D0%B8%D1%87%D0%B5%D1%81%D0%BA%D0%B0%D1%8F_%D1%87%D0%B0%D1%81%D1%82%D0%BE%D1%82%D0%B0>
, а цепь содержит не только активные, но и
реактивные компоненты (ёмкости
<https://ru.wikipedia.org/wiki/%D0%AD%D0%BB%D0%B5%D0%BA%D1%82%D1%80%D0%B8%D1%87%D0%B5%D1%81%D0%BA%D0%B0%D1%8F_%D1%91%D0%BC%D0%BA%D0%BE%D1%81%D1%82%D1%8C>, индуктивности <https://ru.wikipedia.org/wiki/%D0%98%D0%BD%D0%B4%D1%83%D0%BA%D1%82%D0%B8%D0%B2%D0%BD%D0%BE%D1%81%D1%82%D1%8C>),
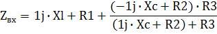
закон Ома обобщается и величины, входящие в него, становятся комплексными.
Уравнение1.11из[2] представляет
собой закон Ома для цепи синусоидального тока:
,
где:
Z - это
комплексное сопротивление:
2. Алгоритмический анализ задачи
.1 Полная постановка задачи
Применение системы Mathcad
для исследования линейных электрических цепей синусоидального тока.
Полная постановка задачи:
)С использованием системы MathCAD
рассчитать значения входного тока цепи, используя уравнения Кирхгофа для
мгновенных значений.
) С использованием системы MathCAD
рассчитать значения входного тока цепи, используя символический метод расчета.
) Построить сводный график полученных функций
тока на одном поле.
) Исследовать влияние значений изменяемого
параметра на амплитуду входного тока. Результаты исследований занести во
внешний файл.
) Считать данные исследований из внешнего файла
и подобрать аналитическую аппроксимирующую зависимость.
) Построить сводный график исходной и
аппроксимирующей зависимостей.
) Определить значение изменяемого параметра, при
котором в цепи возникает резонанс напряжений.
2.2 Описание математической модели
Электрическая цепь, приведенная на рисунке 2.1,
описывается системой дифференциальных уравнений вида (Приложение А):
компьютерный
математика mathcad
Решая систему дифференциальных уравнений 2.1
относительно
и
, получаем первые
производные неизвестных функций
и
и
выражение для нахождения тока
.
Выражения для первых производных
и
из
формулы 2.2. позволяют найти неизвестных функции
и
с
помощью функции rkfixed
и составлении системы дифференциальных уравнений 2.3 (Приложение А и Б).
Найденные значения используются для расчета
значения входного тока по формулам 2.4 и 2.5.
По закону Ома (символический метод расчета)
составляются следующие уравнения 2.6 - (Приложение А):
Рисунок 2.1 - Электрическая цепь
2.3 Анализ исходных и результирующих
данных
Исходными данными для работы являются:
Um-
максимальное значение напряжения
R- исходное
сопротивление
C- исходная емкость
ω- исходная
циклическая частота
L=0,0728 - начальное
значение индуктивности, варьируемого параметра.
Таблица 1 - Исходные данные
|
№варианта
|
Um B
|
C Ф
|
R Ом
|
L Гн
|
ω рад/с
|
Варьируемый параметр
|
|
10
|
70
|
4.1∙10-6
|
50
|
72.8∙10-3
|
1250
|
L
|
Таблица 2 - Значение варьируемого параметраL
|
Варьируемый параметр
|
Диапазон значений
|
Шаг изменения L
|
|
L
|
50∙10-3140∙10-3
|
0.01
|
2.4 Графическая схема алгоритма и ее
описание
Схема
Схема
Описание графической схемы алгоритма:
Приложение А:
а) Вводим исходные данные.
б) Создаем систему уравнений по правилам
Кирхгофа для мгновенных значений и решаем ее блочным методом.
в) Условно принимаем значения токов равными
0 и записываем значения в вектор V.
Создаем вектор D, состоящий
из первой производной от тока, протекающего через емкость, и тока, протекающего
через катушку индуктивности.
г) Решаем полученную систему с помощью
функции rkfixed
в 10000 точек, задавая интервал времени от 0 до 0.01 секунды.
д) Получаем матрицу, в которой:
) Первый столбец - вектор значений
времени.
) Второй столбец - вектор значений токов
протекающих через емкость.
) Третий столбец -вектор значений
напряжений на конденсаторе.
е) Находим значение напряжения на катушке
индуктивности и ток протекающих через резистор. Используя эти выражения,
находим входной ток.
ж) Строим график полученной зависимостей
тока от времени (рисунок A.1)
з) Записываем выражения определяющие
значения сопротивления реактивных элементов, на их основе записываем выражение
и находим общее сопротивление цепи.
и) По закону Ома находим максимальное
значение тока. Записываем функцию зависимость тока от времени.
к) Для начального значения изменяемого
параметра строим график полученной функции.
л) Строим сводный график зависимостей
входного тока от времени
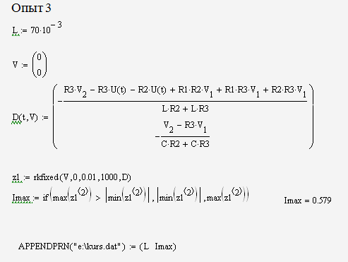
Приложение Б:
Исследуем
влияние значений варьируемого параметра на максимальное значение тока.
а) В качестве варьируемого параметра выступает
индуктивность L (Гн). В ходе
опытов параметр L принимал
значения:
L =0,05
L =0,06
L =0,07
L =0,08
L =0,09
L =0,1
L =0,11
L =0,12
L =0,13
L =0,14
б) Повторяем пункты варьируемые из описания
Приложения А
в) Находим максимальное значение тока для
заданного значения параметра и записываем в файл, полученные данные.
г) Строим сводный график зависимости токов от
времени на основании все опытов.
Приложение В:
а) Считываем из файла значения изменяемого
параметра и максимальных токов. По этим данным строим зависимость максимального
тока от индуктивности.
б) Составляем матрицу k,содержащую
векторы максимального тока и циклической частоты и степень полинома. С помощью
функции interpопределяем
аппроксимирующую функцию.
в) Для нахождения резонанса решаем уравнение
блочным методом, приравнивая первую производную аппроксимирующей функции к 0.
Что позволяет найти максимум функции.
г) Для найденного максимума функции составляем и
решаем уравнение нахождения изменяемого параметра.
д) строим графики исходной и аппроксимирующей
зависимости и отмечаем на графике максимальное значение тока и индуктивности,
позволяющей достичь резонанса напряжений.
3. Описание реализации задачи в
MathCAD
.1 Описание реализации базовой
модели
Приложение А. Вводим исходные данные. С
использованием системы MathCADрешаем
дифференциальное уравнение, составленное согласно правилам Кирхгофа для
мгновенных значений, с помощью функции rkfixed,
решающей уравнения методом Рунге-Кутта 4-го порядка. Находим входной ток цепи.
Строим график зависимости входного тока от времени.
Используя символический метод расчета, вычисляем
значения входного тока цепи. Строим график зависимости входного тока от
времени.
3.2 Описание исследований
Приложение Б. Исследуем влияние значений
изменяемого параметра L
на максимальное значение входного тока i(t).
Присваиваем значение новое значение для индуктивности L.
Далее решаем дифференциальное уравнение с помощью функции rkfixed
и находим функцию тока для нового значения параметра ω.
Записываем полученное максимальное значение тока и значение изменяемого
параметра в файл. После проведения 10 опытов строим сводный график зависимости
токов от параметра L.
Приложение В. Считываем из файла векторы
максимального значение тока и значение изменяемого параметра. Строим сводный
график зависимости максимального значения тока от заданной индуктивности. С
помощью функции interp
проводим аппроксимацию. Строим график зависимости исходной и аппроксимирующей
функций. Находим значение тока для аппроксимирующей функции. Определяем значение
изменяемого параметраL,
при котором в цепи возникает резонанс напряжений.
3.3 Выводы по результатам
исследований
В данной курсовой работе проводились
исследование линейной электрической цепи синусоидального тока.
В процессе решения поставленной задачи был
несколькими способами, исключающими возникновение ошибки, был найден входной
ток электрической цепи (рисунок 2.3).
Рисунок 2.3 - Значения входного тока
Построены графики электрического тока,
рассчитанного с помощью правил Кирхгофа для мгновенных значений, и
электрического тока, рассчитанного символьным методом (рисунки А.1 и А.2 ).
Исследовано влияние изменяемого параметра на
максимальное значение входного тока в электрической цепи (Приложение Б). По
результатам этого исследования был построен график зависимости максимального
значения тока от изменяемого параметра (рисунок В.1). Так же, основываясь на
результате исследования, была вычислена аппроксимирующая функция. И построен
сводный график исходной и аппроксимирующей зависимости (рисунок В.2).
Согласно этой зависимости был найден резонанс
напряжений, при котором достигается максимальное значение тока:
А.
Для этого значения входного тока было рассчитано значение изменяемого параметра
-индуктивность:
(Приложение В).
4. Разработка Web-сайта
Перед началом разработки была составлена
логическая структура сайта. Она представлена на рисунке 4.1.
Рисунок 4.1 - Логическая структура сайта
Разработка сайта проводилась с помощью программы
WebProject - конструктора сайтов, позволяющей использовать шаблоны для
заполнения. В ходе разработки использовались такие теги html, как:
<a href="NAME"></a> Создает
гиперссылку на другую страницу;
<p></p> Создает новый параграф;
<p align="?"></p> Выравнивает
параграф относительно одной из сторон документа, значения: left, right, justify
или center;
<ol></ol> Создает нумерованный список
Изображение главной страницы сайта находится в
приложении Г на рисунке Г.1.
Заключение
В курсовой работе проводились исследования
линейной электрической цепи. Была определена зависимость амплитуды входного
тока от времени. Исследовано влияние значений изменяемого параметра L
на амплитуду входного тока цепи. Построен график зависимости исследованной
зависимости. Определена аналитическая аппроксимирующая функция по результатам
исследований. Был найден резонанс напряжений. Построен график зависимости напряжения.
Список использованных источников
.
Тарасик В. П. Математическое моделирование технических систем: Учебник для
вузов.-Мн.: ДизайнПРО , 1997. -640с.: ил.
.
Бессонов Л. А. Теоретические основы электротехники. Изд. 6-е, перераб. И доп.
Учебник для студентов энергетических и электротехнических вузов.
М.,<<Высш. школа>>, 1973. 752 с. с илл.
.
Макаров Е. Инженерные расчеты в Mathcad
15: Учебный курс − СПб.: Питер, 2011. - 400 с.
.
Дьяконов В.П. Справочник по MathCAD PLUS 7.0 PRO: Универсальная система
математических расчетов. - М.: СК Пресс, 1998-320с
.
Трохова Т. А. Практическое руководство к курсовому проектированию по
одноименному курсу для студентов технических специальностей дневной и заочной
форм обучения/ Т. А. Трохова, Н.В. Самовендюк, Т.Л. Романькова - Гомель: ГГТУ
им. П.О. Сухого, 2005-34с.
.
Асенчик О.Д. Подготовка Web-страниц- Гомель: ГГТУ им. П.О. Сухого, 2004-32с.
Приложение А
Базовая модель
Расчет значение тока в цепи на основании правил
Кирхгофа.
Система уравнений составляется с допущениям:
UR=iR3L=L
diL/dt
UC=C
dUC/dt
Таблица
Рисунок А.1 - График зависимости тока от времени
Рисунок А.2 - График зависимости тока от времени
Сводный график на основании расчетов по правилам
Кирхгофа и закону Ома, позволяющий провести оценку достоверности вычислений.
Рисунок А.3 - Сводный график зависимости тока от
времени
Приложение Б
Исследование
Исследования поведения функции тока от времени i(t)
при изменении индуктивности.
Приложение В
Построение аппроксимирующей функции
и нахождение резонанса
Рисунок В.1 - График зависимости максимального
тока от индуктивности
Рисунок В.2 - Сводный график зависимости
максимального тока от индуктивности
Рисунок В.3 - Сводный график аппроксимирующей и
исходной функции
Приложение Г
Главная страница сайта
Рисунок Г.1 - Главная страница сайта
1.