Категории зданий, сооружений и помещений по пожарной и взрывопожарной опасности

  • Вид работы:
    Курсовая работа (т)
  • Предмет:
    Безопасность жизнедеятельности
  • Язык:
    Русский
    ,
    Формат файла:
    MS Word
    41,98 Кб
  • Опубликовано:
    2014-08-16
Вы можете узнать стоимость помощи в написании студенческой работы.
Помощь в написании работы, которую точно примут!

Категории зданий, сооружений и помещений по пожарной и взрывопожарной опасности

Министерство образования и науки Российской Федерации

Федеральное государственное бюджетное образовательное учреждение

Высшего профессионального образования

«Уфимский государственный нефтяной технический университет»

Кафедра «Промышленная безопасность и охрана труда»








КУРСОВАЯ РАБОТА

по дисциплине: «Теоретические основы взрывобезопасности»

на тему: «Категории зданий, сооружений и помещений по пожарной и взрывопожарной опасности»


Выполнил: ст.гр. ББП-11-01 А.Т. Фаррахова






Уфа 2015

Содержание

Введение

. Классификация зданий, сооружений и помещений по пожарной и взрывопожарной опасности

.1 Цель классификации зданий, сооружений и помещений по пожарной и взрывопожарной опасности

.2 Категории зданий по взрывопожарной и пожарной опасности

1.3 Категории помещений по взрывопожарной и пожарной опасности

.4 Категории наружных установок по пожарной опасности

2. Методы расчета критериев взрывопожарной опасности помещений

.1 Выбор и обоснование расчетного варианта

.2 Расчет избыточного давления взрыва для горючих пылей

2.3 Определение категорий В1 - В4 помещений

2.4 Определение избыточного давления взрыва для веществ и материалов, способных взрываться и гореть при взаимодействии с водой, кислородом воздуха или друг с другом

.5 Определение избыточного давления взрыва для взрывоопасных смесей, содержащих горючие газы (пары) и пыли

3. Огнестойкость зданий и сооружений

Заключение

Список использованной литературы

Введение

В мировой практике представители страховых компаний определяют степень пожарной опасности объектов по величине пожарной нагрузки и интенсивности тепловыделения при пожаре. В конце XIX века в США существовало около 584 классов зданий. В 1932 г. они были сокращены до 26 классов. К 1936 г. Национальный совет страховщиков увеличил количество классов зданий до 100, но разделил их на шесть категорий по типам конструкций зданий.

В советской системе нормирования исходили из того, что пожарная нагрузка (исчисляемая в килограммах древесины на квадратный метр) при учете свойств веществ может использоваться для определения продолжительности, температуры и других опасных факторов пожара.

В 1976 году во ВНИИПО были проведены натурные испытания на модели реального помещения. На основании этих экспериментов была рекомендована система классификации объектов по степени пожарной опасности:

-    Класс пожара - I, удельная тепловая нагрузка - до 185 МДж/м²;

-             Класс пожара - II, удельная тепловая нагрузка - до 740 МДж/м²;

-             Класс пожара - III, удельная тепловая нагрузка - до 1850 МДж/м²;

-             Класс пожара - IV, удельная тепловая нагрузка - до 3700 МДж/м²;

-             Класс пожара - V, удельная тепловая нагрузка - более 3700 МДж/м².

По взрывопожарной и пожарной опасности помещения и здания подразделяются на категории А, Б, В1-В4, Г и Д. Категории взрывопожарной и пожарной опасности помещений и зданий определяются для наиболее неблагоприятного в отношении пожара или взрыва периода, исходя из вида находящихся в аппаратах, помещениях горючих веществ, материалов, их числа, пожароопасных свойств, особенностей технологического процессов.

Пожароопасными объектами (ПОО) называются объекты, на которых производятся, используются, хранятся, транспортируются пожароопасные (и взрывоопасные) продукты или продукты, приобретающие при определенных условиях способность к возгоранию. К ним относят производства, где используются взрывчатые и имеющие высокую степень возгораемости вещества, а также трубопроводы, железнодорожный или другой вид транспорта. Пожары от возгорания таких грузов при перевозках довольно нередки. Во время пожаров на железнодорожном транспорте, как правило, обрываются провода, из-за чего парализуется все движение.

1. Классификация зданий, сооружений и помещений по пожарной и взрывопожарной опасности

1.1 Цель классификации зданий, сооружений и помещений по пожарной и взрывопожарной опасности

Классификация зданий, сооружений и помещений по пожарной и взрывопожарной опасности применяется для установления требований пожарной безопасности, направленных на предотвращение возможности возникновения пожара и обеспечение противопожарной защиты людей и имущества в случае возникновения пожара в зданиях, сооружениях и помещениях.

.2 Категории зданий по взрывопожарной и пожарной опасности

По пожарной и взрывопожарной опасности здания производственного и складского назначения независимо от их функционального назначения подразделяются на следующие категории:

Категория А - это склады нефтепродуктов, объекты нефтегазодобывающей промышленности, нефтеперерабатывающие заводы, химпредприятия, трубопроводы. Такие пожары всегда приносят большие бедствия - вырвавшийся нефтяной или газовый фонтан при воспламенении перебрасывает огонь на резервуары с нефтью, на компрессорные установки и нефтепроводы, мастерские, гаражи, жилые и лесные массивы. Пламя горящего фонтана поднимается огромным смерчем к небу, тяжелый дым застилает окрестности. Температура внутри такого смерча настолько велика, что плавятся стальные буровые вышки и другие конструкции.

Категория Б - это цехи приготовления и транспортировки угольной пыли, древесной муки, сахарной пудры, мукомольные мельницы. Любой из этих видов пыли взрывается и горит.

Категория В - это лесопильные, деревообрабатывающие, столярные и мебельные производства. Так же как и другие виды пыли, древесная пыль взрывается и горит.

Категория Г - это склады и предприятия, связанные с переработкой и хранением несгораемых веществ в горячем состоянии, а также со сжиганием твердого, жидкого или газообразного топлива.

Категория Д - это склады и предприятия по хранению несгораемых веществ и материалов в холодном состоянии (например, мясных, рыбных и других продуктов).

Категории зданий и сооружений по пожарной и взрывопожарной опасности определяются исходя из доли и суммированной площади помещений той или иной категории опасности в этом здании, сооружении.

Здание относится к категории А, если в нем суммированная площадь помещений категории А превышает 5 процентов площади всех помещений или 200 квадратных метров.

Здание не относится к категории А, если суммированная площадь помещений категории А в здании не превышает 25 процентов суммированной площади всех размещенных в нем помещений (но не более 1000 квадратных метров) и эти помещения оснащаются установками автоматического пожаротушения.

Здание относится к категории Б, если одновременно выполнены следующие условия: здание не относится к категории А и суммированная площадь помещений категорий А и Б превышает 5 процентов суммированной площади всех помещений или 200 квадратных метров.

Здание не относится к категории Б, если суммированная площадь помещений категорий А и Б в здании не превышает 25 процентов суммированной площади всех размещенных в нем помещений (но не более 1000 квадратных метров) и эти помещения оснащаются установками автоматического пожаротушения.

Здание относится к категории В, если одновременно выполнены следующие условия: здание не относится к категории А или Б и суммированная площадь помещений категорий А, Б, B1, B2 и В3 превышает 5 процентов (10 процентов, если в здании отсутствуют помещения категорий А и Б) суммированной площади всех помещений.

Здание не относится к категории В, если суммированная площадь помещений категорий А, Б, В1, В2 и В3 в здании не превышает 25 процентов суммированной площади всех размещенных в нем помещений (но не более 3500 квадратных метров) и эти помещения оснащаются установками автоматического пожаротушения.

Здание относится к категории Г, если одновременно выполнены следующие условия: здание не относится к категории А, Б или В и суммированная площадь помещений категорий А, Б, B1, B2, В3 и Г превышает 5 процентов суммированной площади всех помещений.

Здание не относится к категории Г, если суммированная площадь помещений категорий А, Б, B1, B2, В3 и Г в здании не превышает 25 процентов суммированной площади всех размещенных в нем помещений (но не более 5000 квадратных метров) и помещения категорий А, Б, B1, B2 и В3 оснащаются установками автоматического пожаротушения.

Здание относится к категории Д, если оно не относится к категории А, Б, В или Г.

.3 Категории помещений по взрывопожарной и пожарной опасности

По пожарной и взрывопожарной опасности помещения производственного и складского назначения независимо от их функционального назначения подразделяются на следующие категории (табл. 1):

) повышенная взрывопожароопасность (А);

) взрывопожароопасность (Б);

) пожароопасность (В1 - В4);

) умеренная пожароопасность (Г);

) пониженная пожароопасность (Д).

Таблица 1 Категория помещений по взрывопожарной и пожарной опасности

Категория помещения

Характеристика веществ и материалов, находящихся в помещении

А взрывопожароопасная

Горючие газы, ЛВЖ с температурой вспышки до 28 °С включительно, а также вещества и материалы, способные взрываться и гореть при взаимодействии с водой, кислородом воздуха или друг с другом в таком количестве, что расчетное избыточное давление взрыва в помещении превышает 5 кПа (цех окраски изделий нитрокрасками, склад карбида кальция, водородная и ацетиленовая станции)

Б взрывопожароопасная

В1-В4 пожароопасная

Горючие и трудногорючие жидкости, твердые горючие и трудногорючие вещества и материалы (в том числе пыли и волокна), а также вещества и материалы, способные только гореть при взаимодействии с водой, кислородом воздуха или друг с другом. При этом исключается возможность отнесения помещений с указанными жидкостями, веществами и материалами к помещениям категории А или Б (трикотажные и столярные цехи, трансформаторные, мастерские, помещения для хранения автомобилей)

Г

Негорючие вещества и материалы в горячем, раскаленном или расплавленном состоянии, процесс обработки которых сопровождается выделением искр, пламени, лучистого тепла, а также горючие газы, жидкости и твердые вещества, сжигаемые или утилизируемые в качестве топлива (литейные цехи, кузницы, котельные)

Д

Негорючие вещества и материалы в холодном состоянии (водонасосные станции, цехи изготовления железобетонных изделий, склады инертных газов)


Категории помещений по пожарной и взрывопожарной опасности определяются исходя из вида находящихся в помещениях горючих веществ и материалов, их количества и пожароопасных свойств, а также исходя из объемно-планировочных решений помещений и характеристик проводимых в них технологических процессов.

Определение категорий помещений следует осуществлять путем последовательной проверки принадлежности помещения к категориям от наиболее опасной (А) к наименее опасной (Д).

К категории А относятся помещения, в которых находятся (обращаются) горючие газы, легковоспламеняющиеся жидкости с температурой вспышки не более 28 градусов Цельсия в таком количестве, что могут образовывать взрывоопасные парогазовоздушные смеси, при воспламенении которых развивается расчетное избыточное давление взрыва в помещении, превышающее 5 килопаскалей, и (или) вещества и материалы, способные взрываться и гореть при взаимодействии с водой, кислородом воздуха или друг с другом, в таком количестве, что расчетное избыточное давление взрыва в помещении превышает 5 килопаскалей.

К категории Б относятся помещения, в которых находятся (обращаются) горючие пыли или волокна, легковоспламеняющиеся жидкости с температурой вспышки более 28 градусов Цельсия, горючие жидкости в таком количестве, что могут образовывать взрывоопасные пылевоздушные или паровоздушные смеси, при воспламенении которых развивается расчетное избыточное давление взрыва в помещении, превышающее 5 килопаскалей.

К категориям В1 - В4 относятся помещения, в которых находятся (обращаются) горючие и трудногорючие жидкости, твердые горючие и трудногорючие вещества и материалы (в том числе пыли и волокна), вещества и материалы, способные при взаимодействии с водой, кислородом воздуха или друг с другом только гореть, при условии, что помещения, в которых они находятся (обращаются), не относятся к категории А или Б.

Отнесение помещения к категории В1, В2, В3 или В4 осуществляется в зависимости от количества и способа размещения пожарной нагрузки в указанном помещении и его объемно-планировочных характеристик, а также от пожароопасных свойств веществ и материалов, составляющих пожарную нагрузку.

К категории Г относятся помещения, в которых находятся (обращаются) негорючие вещества и материалы в горячем, раскаленном или расплавленном состоянии, процесс обработки которых сопровождается выделением лучистого тепла, искр и пламени, и (или) горючие газы, жидкости и твердые вещества, которые сжигаются или утилизируются в качестве топлива.

К категории Д относятся помещения, в которых находятся (обращаются) негорючие вещества и материалы в холодном состоянии.

В различных производственных помещениях могут употребляться одни и те же вещества, но помещения могут при этом относиться к различным категориям по взрывопожарной опасности. Например, на мебельном комбинате древесина может применяться в шлифовальном отделении (категория Б), в сборочном цехе (категория В), в отделении окраски (категория А), в котельной (категория Г).

Как следует из определений, наиболее опасными в пожарном отношении являются помещения категории А и наименее опасными - помещения категории Д.

Помещения складов в зависимости от находящихся в них веществ подразделяются на те же категории, что и производственные помещения.

.4 Категории наружных установок по пожарной опасности

Определение категорий наружных установок следует осуществлять путем последовательной проверки их принадлежности к категориям, приведенным в табл. 2, от высшей (АН) к низшей (ДН).

В случае, если из-за отсутствия данных представляется невозможным оценить величину индивидуального риска, допускается использование вместо нее следующих критериев.

Таблица 2 Категории наружных установок по пожарной опасности

Категория наружной установки

Категории отнесения наружной установки к той или иной категории по пожарной опасности

Ан

Установка относится к категории АН, если в ней присутствуют (хранятся, перерабатываются, транспортируются) горючие газы; легковоспламеняющиеся жидкости с температурой вспышки не более 28oС; вещества и/или материалы, способные гореть при взаимодействии с водой, кислородом воздуха и /или друг с другом; при условии, что величина индивидуального риска при возможном сгорании указанных веществ с образованием волн давления превышает 10-6 в год на расстоянии 30 м от наружной установки

Бн

Установка относится к категории Бн, если в ней присутствуют (хранятся, перерабатываются, транспортируются) горючие пыли и/или волокна; легковоспламеняющиеся жидкости с температурой вспышки более 28oС; горючие жидкости; при условии, что величина индивидуального риска при возможном сгорании пыле- и/или паровоздушных смесей с образованием волн давления превышает 10-6 в год на расстоянии 30 м от наружной установки

Вн

Установка относится к категории Вн, если в ней присутствуют (хранятся, перерабатываются, транспортируются) горючие и/или трудногорючие жидкости; твердые горючие и/или трудногорючие вещества и/или материалы (в том числе пыли и/или волокна); вещества и/или материалы, способные при взаимодействии с водой, кислородом воздуха и/или друг с другом гореть; не реализуются критерии, позволяющие отнести установку к категориям Ан илиБн; при условии, что величина индивидуального риска при возможном сгорании указанных веществ и/или материалов превышает 10-6 в год на расстоянии 30 м от наружной установки

Гн

Установка относится к категории Гн, если в ней присутствуют (хранятся, перерабатываются, транспортируются) негорючие вещества и/или материалы в горячем, раскаленном и/или расплавленном состоянии, процесс обработки которых сопровождается выделением лучистого тепла, искр и/или пламени, а также горючие газы, жидкости и/или твердые вещества, которые сжигаются или утилизируются в качестве топлива

Дн

Установка относится к категории Дн, если в ней присутствуют (хранятся, перерабатываются, транспортируются) в основном негорючие вещества и/или материалы в холодном состоянии и по перечисленным выше критериям она не относится к категориям Ан, Бн, Вн, Гн


Для категорий Ан и Бн:

горизонтальный размер зоны, ограничивающей газопаровоздушные смеси с концентрацией горючего выше нижнего концентрационного предела распространения пламени (НКПР), превышает 30 м (данный критерий применяется только для горючих газов и паров) и/или

расчетное избыточное давление при сгорании газо-, паро- или пылевоздушной смеси на расстоянии 30 м от наружной установки превышает 5 кПа.

Для категории Вн:

интенсивность теплового излучения от очага пожара веществ и/или материалов, указанных для категории Вн, на расстоянии 30 м от наружной установки превышает 4 кВт/м2.

пожарный взрыв огнестойкость

2. Методы расчета критериев взрывопожарной опасности помещений

2.1 Выбор и обоснование расчетного варианта

При расчете значений критериев взрывопожарной опасности в качестве расчетного следует выбирать наиболее неблагоприятный вариант аварии или период нормальной работы аппаратов, при котором во взрыве участвует наибольшее количество веществ или материалов, наиболее опасных в отношении последствий взрыва.

В случае если использование расчетных методов не представляется возможным, допускается определение значений критериев взрывопожарной опасности на основании результатов соответствующих научно-исследовательских работ, согласованных и утвержденных в установленном порядке.

Количество поступивших в помещение веществ, которые могут образовать взрывоопасные газовоздушные или паровоздушные смеси, определяется исходя из следующих предпосылок:

а) происходит расчетная авария одного из аппаратов;

б) все содержимое аппарата поступает в помещение;

в) происходит одновременно утечка веществ из трубопроводов, питающих аппарат, по прямому и обратному потокам в течение времени, необходимого для отключения трубопроводов.

Расчетное время отключения трубопроводов определяется в каждом конкретном случае исходя из реальной обстановки и должно быть минимальным с учетом паспортных данных на запорные устройства, характера технологического процесса и вида расчетной аварии.

Расчетное время отключения трубопроводов следует принимать равным:

-    времени срабатывания системы автоматики отключения трубопроводов согласно паспортным данным установки, если вероятность отказа системы автоматики не превышает 0,000001 в год или обеспечено резервирование ее элементов;

-             120 с, если вероятность отказа системы автоматики превышает 0,000001 в год и не обеспечено резервирование ее элементов;

-             300 с при ручном отключении.

Не допускается использование технических средств для отключения трубопроводов, для которых время отключения превышает приведенные выше значения.

Под "временем срабатывания" и "временем отключения" следует понимать промежуток времени от начала возможного поступления горючего вещества из трубопровода (перфорация, разрыв, изменение номинального давления и т.п.) до полного прекращения поступления газа или жидкости в помещение. Быстродействующие клапаны-отсекатели должны автоматически перекрывать подачу газа или жидкости при нарушении электроснабжения.

В исключительных случаях в установленном порядке допускается превышение приведенных выше значений времени отключения трубопроводов специальным решением соответствующих федеральных министерств и других федеральных органов исполнительной власти по согласованию с Госгортехнадзором России на подконтрольных ему производствах и предприятиях и МЧС России;

г) происходит испарение с поверхности разлившейся жидкости; площадь испарения при разливе на пол определяется (при отсутствии справочных данных) исходя из расчета, что 1 л смесей и растворов, содержащих 70% и менее (по массе) растворителей, разливается на площади 0,5 м2, а остальных жидкостей - на 1 м2 пола помещения;

д) происходит также испарение жидкости из емкостей, эксплуатируемых с открытым зеркалом жидкости, и со свежеокрашенных поверхностей;

е) длительность испарения жидкости принимается равной времени ее полного испарения, но не более 3600 с.

Количество пыли, которое может образовать взрывоопасную смесь, определяется из следующих предпосылок:

а) расчетной аварии предшествовало пыленакопление в производственном помещении, происходящее в условиях нормального режима работы (например, вследствие пылевыделения из негерметичного производственного оборудования);

б) в момент расчетной аварии произошла плановая (ремонтные работы) или внезапная разгерметизация одного из технологических аппаратов, за которой последовал аварийный выброс в помещение всей находившейся в аппарате пыли.

Свободный объем помещения определяется как разность между объемом помещения и объемом, занимаемым технологическим оборудованием. Если свободный объем помещения определить невозможно, то его допускается принимать условно равным 80% геометрического объема помещения.

Расчет избыточного давления для горючих газов, паров легковоспламеняющихся и горючих жидкостей

Избыточное давление взрыва Р для индивидуальных горючих ве-ществ, состоящих из атомов С, Н, О, N, С1, Вr, I, F, определяется по формуле

 (1)

где Рmax - максимальное давление взрыва стехиометрической газовоздушной или паровоздушной смеси в замкнутом объеме, оп-ределяемое экспериментально или по справочным данным. При отсутствии данных допускается принимать Рmax равным 900 кПа;

РO - начальное давление, кПа (допускается принимать равным 101 кПа);

т - масса горючего газа (ГГ) или паров легковоспламеняющихся (ЛВЖ) и горючих жидкостей (ГЖ), вышедших в результате расчетной аварии в помещение, кг;- коэффициент участия горючего во взрыве, который может быть рассчитан на основе характера распределения газов и паров в объеме помещения согласно приложению;св - свободный объем помещения, м3;г,п- плотность газа или пара при расчетной температуре tр, кг*м-3

Сст - стехиометрическая концентрация ГГ или паров ЛВЖ и ГЖ, % (об.)

Расчет Р для индивидуальных веществ, а также для смесей может быть выполнен по формуле:


где НТ - теплота сгорания, Дж*кг-1;в - плотность воздуха до взрыва при начальной температу-ре ТО, кг*м-3;

Ср - теплоемкость воздуха, Дж*кг-1-1 (допускается принимать равной 1,01*103 Дж*кг-1-1);

ТО - начальная температура воздуха, К.

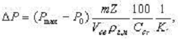
.2 Расчет избыточного давления взрыва для горючих пылей

Расчет избыточного давления взрыва Р кПа, производится по формуле (2), где коэффициент Z участия взвешенной пыли во взрыве рассчитывается по формуле

Z = 0,5 F, (3)

где F - массовая доля частиц пыли размером менее критического, с превышением которого аэровзвесь становится взрывобезопасной, т.е. неспособной распространять пламя. В отсутствие возможности получения сведений для оценки величины Z допускается принимать Z = 0,5.

.3 Определение категорий В1 - В4 помещений

Определение пожароопасной категории помещения по категориям В1-В4 осуществляется путем сравнения максимального значения удельной временной пожарной нагрузки на любом из участков с величиной удельной пожарной нагрузки, приведенной в таблице 3.

Таблица 3 Определение пожароопасной категории помещения по категориям В1-В4

Категория помещения

Удельная пожарная нагрузка g на участке, МДж x м-2

Способ размещения

В1

Более 2200

Не нормируется

В2

От 1401 до 2200

По п. 25 НПБ

В3

От 181 до 1400

То же

В4

От 1 до 180

На любом участке пола помещения площадью 10 м2. Способ размещения участков пожарной нагрузки определяется согласно п. 25 НПБ


При пожарной нагрузке, включающей в себя различные сочетания (смесь) горючих, трудногорючих жидкостей, твердых горючих и трудногорючих веществ и материалов в пределах пожароопасного участка, пожарная нагрузка Q, МДж, определяется по формуле:

 (4)

где Gi - количество i-го материала пожарной нагрузки, кг;p нi - низшая теплота сгорания i-го материала пожарной нагрузки, МДж*кг-1.

Удельная пожарная нагрузка g, МДж*м-2, определяется из соотношения:

 (5)

где S - площадь размещения пожарной нагрузки, м2 (но не менее 10 м2).

В помещениях категорий В1 - В4 допускается наличие нескольких участков с пожарной нагрузкой, не превышающей значений, приведенных в табл. 3. В помещениях категории В4 расстояния между этими участками должны быть более предельных. В табл. 4 приведены рекомендуемые значения предельных расстояний lпр в зависимости от величины критической плотности падающих лучистых потоков qкр, кВт/м-2, для пожарной нагрузки, состоящей из твердых горючих и трудногорючих материалов. Значения lпр, приведенные в табл. 4, рекомендуются при условии, если Н > 11 м; если Н < 11 м, то предельное расстояние определяется как l = lпр + (11 - Н), где lпр - определяется из табл. 4, Н - минимальное расстояние от поверхности пожарной нагрузки до нижнего пояса ферм перекрытия (покрытия), м.

Таблица 4

qкр, кВт*м-2

 5

10

15

20

25

30

40

50

 lпр, м

12

8

6

5

4

3,8

3,2

2,8

Значения qкр для некоторых материалов пожарной нагрузки приведены в табл. 5.

Таблица 5

Материал

qкр, кВт*м-2

Древесина (сосна влажностью 12 %)

 13,9

Древесно-стружечные плиты (плотностью 417 кг*м-3)

 8,3

Торф брикетный

 13,2

Торф кусковой

 9,8

Хлопок-волокно

 7,5

Слоистый пластик

 15,4

Стеклопластик

 15,3

Пергамин

Резина

 14,8

Уголь

 35,0

Рулонная кровля

 17,4

Сено, солома (при минимальной влажности до 8 %)

 7,0


Если пожарная нагрузка состоит из различных материалов, то значение qкр определяется по материалу с минимальным значением qкр.

Для материалов пожарной нагрузки с неизвестными значениями qкр значения предельных расстояний принимаются lпр > 12 м.

Для пожарной нагрузки, состоящей из ЛВЖ или ГЖ, рекомендуемое расстояние lпр между соседними участками размещения (разлива) пожарной нагрузки рассчитывается по формулам:

lпр > 15 м при Н > 11, (6)пр > 26 - H при Н < 11. (7)

Если при определении категорий В2 или В3 количество пожарной нагрузки Q отвечает неравенству> 0,64 gТН2,

то помещение будет относиться к категориям В1 или В2 соответственно. Здесь gТ=2200 МДж/м2 при 1401 МДж/м2< g> 2200 МДж/м2 и gТ=1400 МДж/м2 при 181 МДж/м2< g >1400 МДж/м2.

.4 Определение избыточного давления взрыва для веществ и материалов, способных взрываться и гореть при взаимодействии с водой, кислородом воздуха или друг с другом

Расчетное избыточное давление взрыва Р для веществ и материалов, способных взрываться и гореть при взаимодействии с водой, кислородом воздуха или друг с другом, определяется по приведенной выше методике, полагая Z = 1 и принимая в качестве величины Нт энергию, выделяющуюся при взаимодействии (с учетом сгорания продуктов взаимодействия до конечных соединений), или экспериментально в натурных испытаниях. В случае когда определить величину Р не представляется возможным, следует принимать ее превышающей 5 кПа.

.5 Определение избыточного давления взрыва для взрывоопасных смесей, содержащих горючие газы (пары) и пыли

Расчетное избыточное давление взрыва Р для гибридных взрывоопасных смесей, содержащих горючие газы (пары) и пыли, определяется по формуле

Р = Р1+ Р2, (8)

где Р1 - давление взрыва, вычисленное для горючего газа (пара);

Р2 - давление взрыва, вычисленное для горючей пыли.

3. Огнестойкость зданий и сооружений

Возникновение пожаров прежде всего зависит от степени огнестойкости зданий и сооружений, которую подразделяют по мере уменьшения качеств на 5 основных категорий. Она определяется минимальными пределами огнестойкости строительных конструкций, возгораемостью материалов, из которых они состоят, и временем невозгораемости.

Повысить огнестойкость зданий и сооружений, в том числе образовательных учреждений, можно:

-    облицовкой или оштукатуриванием металлических конструкций, например, гипсовыми плитами;

-             оштукатуриванием деревянных конструкций известково-цементной, асбестово-цементной или гипсовой штукатуркой;

-             огнезащитной пропиткой древесины антипиренами - химическими веществами (фосфорнокислый аммоний, сернокислый аммоний), придающими негорючесть;

-             покрытием конструкций огнезащитными красками;

-             заменой деревянных конструкций (полов, лестниц, стен) кирпично-бетонными, керамическими и т. п.

Все строительные материалы, а следовательно, и конструкции из них делят на 4 группы:

) несгораемые - это такие материалы, которые под воздействием огня или высокой температуры не воспламеняются, не тлеют и не обугливаются (битум, глина, кирпич и т. д.);

) трудносгораемые - такие материалы, которые под воздействием огня или высокой температуры с трудом воспламеняются, тлеют или обугливаются и продолжают гореть при наличии источника огня (асфальтобетон; войлок, вымоченный в глиняном растворе; цементный фибролит; древесина, пропитанная антипиренами, и т. д.);

) сгораемые - это такие материалы, которые под воздействием огня или высокой температуры воспламеняются или тлеют и продолжают гореть и тлеть после удаления источника огня (органические материалы, не пропитанные антипиренами, битуминозные и пр.;

) легковоспламеняющиеся (вата, синтетический клей, монтажная пена и др.).

Заключение

Категория пожарной (взрывопожарной) опасности объекта - классификационная характеристика пожарной (взрывопожарной) опасности здания (или частей здания между противопожарными стенами - пожарных отсеков), сооружения, строения, помещения, наружной установки.

Пожаро- и взрывопожароопасность здания и помещения характеризуются совокупностью условий, способствующих возникновению и развитию пожара или взрыва и определяющих возможные их масштабы и последствия. Продолжительность пожара и его температурный режим обусловливаются количеством горючих материалов в помещении, их пожаровзрывоопасными свойствами и особенностями технологических процессов размещаемых в них производств.

Список использованной литературы

1. Федеральный закон от 22 июля 2008 г. № 123-ФЗ "Технический регламент о требованиях пожарной безопасности";

2.      Нормы пожарной безопасности НПБ 105-03 "Определение категорий помещений, зданий и наружных установок по взрывопожарной и пожарной опасности" (утв. приказом МЧС РФ от 18 июня 2003 г. № 314);

.        СП 12.13130.2009 "Определение категорий помещений, зданий и наружных установок по взрывопожарной и пожарной опасности".

Похожие работы на - Категории зданий, сооружений и помещений по пожарной и взрывопожарной опасности

 

Не нашли материал для своей работы?
Поможем написать уникальную работу
Без плагиата!
Без нейросетей!