Организация циклических программ на языке С

  • Вид работы:
    Практическое задание
  • Предмет:
    Информационное обеспечение, программирование
  • Язык:
    Русский
    ,
    Формат файла:
    MS Word
    267,89 Кб
  • Опубликовано:
    2015-03-31
Вы можете узнать стоимость помощи в написании студенческой работы.
Помощь в написании работы, которую точно примут!

Организация циклических программ на языке С

Оглавление

Цель работы

Задание №1

Вариант задания

Карты Карно

Минимизированные функции

Текст программы

Задание №2

Вариант задания

Алгоритм работы программы

Текст программы

Тестирование программы

Вывод

Цель работы

Изучение циклических операторов: оператора цикла, управляемого счетчиком for(), оператора цикла с предусловием while(), оператора цикла с постусловием do..while().

Изучение операторов break и continue.

Задание №1

Вариант задания

Вариант

Функция F1

Функция F2

Функция F3

11

2 3 4 5 6 7 8

1 2 3 4 5 6

9 10 11 12 13


Карты Карно

Функция F1



1

1

1

1

1

1





1





Функция F1


1

1

1

1

1


1










Функция F3









1

1




1

1

1


Минимизированные функции=((!x1&&!x3)||(x2&&!x3)||(x3&&!x0&&!x2&&!x1));=((x2&&!x0&&!x3)||(x2&&!x1&&!x3)||(!x3&&x0&&!x1)||(x0&&!x2&&!x3)||(x1&&!x2&&!x3)||(x1&&!x0&&!x3));=((x2&&x3&&!x1)||(x0&&x3&&!x1)||(x3&&x0&&!x2)||(x3&&x1&&!x2));

Текст программы

#include <stdio.h>main()

{("+-----------------------------------------------+\n");("| N| x3| x2| x1| x0| F1| F2| F3|\n");

int cnt=0;char x3,x2,x1,x0;(x0=0;x0<=1;x0++)(x1=0;x1<=1;x1++)(x2=0;x2<=1;x2++)(x3=0;x3<=1;x3++)

{F1,F2,F3;=((x2&&x3&&!x1)||(x0&&x3&&!x1)||(x3&&x0&&!x2)||(x3&&x1&&!x2));=((x2&&!x0&&!x3)||(x2&&!x1&&!x3)||(!x3&&x0&&!x1)||(x0&&!x2&&!x3)||(x1&&!x2&&!x3)||(x1&&!x0&&!x3));=((!x1&&!x3)||(x2&&!x3)||(x3&&!x0&&!x2&&!x1));("+-----------------------------------------------+\n");("|%4d |%4d |%4d |%4d |%4d |%4d |%4d |%4d |\n",cnt ,x3 ,x2 ,x1 ,x0 ,F1, F2, F3);++;

}("+-----------------------------------------------+\n");();

}

Задание №2

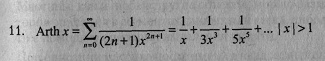
Вариант задания

Номер варианта

Функция

11


Алгоритм работы программы

Текст программы

#include <stdio.h>

#define _USE_MATH_DEFINES

#include <math.h>

#include <windows.h>main()

{n=0;sum=0,Eps,d,x,el;("Enter a number x : ");("%f", &x);("Enter a number Eps : ");("%f", &Eps);= x * M_PI/180;= 1/tanh(x);= 1 /((2 * n + 1)*pow((float)x, float (2 * n + 1)));(el>Eps)

}("Arth = %f\n", d);("Teilor result = %f\n",sum);

system("pause");0;

}

Тестирование программы

Номер теста

Ввод x, Eps

Ожидаемый результат

Результат

Вывод

1

1, 1

57, 57

57.301594, 57.295780

Тест пройден

2

2, 2

28, 28

28.659525, 28.647890

Тест пройден

3

3, 3

19, 19

19.116043, 19.098593

Тест пройден

4

5, 1

11, 11

11.488230, 11.459156

Тест пройден

5

4, 2

14, 14

14.347208, 14.323945

Тест пройден

циклический оператор программа

Вывод

Я изучил циклические операторы: оператор цикла, управляемого счетчиком for(), оператора цикла с предусловием while(), оператор цикла с постусловием do..while().

Изучил операторы break и continue.

Похожие работы на - Организация циклических программ на языке С

 

Не нашли материал для своей работы?
Поможем написать уникальную работу
Без плагиата!
Без нейросетей!