Организация ветвлений

  • Вид работы:
    Практическое задание
  • Предмет:
    Информационное обеспечение, программирование
  • Язык:
    Русский
    ,
    Формат файла:
    MS Word
    606,45 Кб
  • Опубликовано:
    2015-04-22
Вы можете узнать стоимость помощи в написании студенческой работы.
Помощь в написании работы, которую точно примут!

Организация ветвлений

Задание 1

Номер варианта

М.Э. Абрамян. Электронный задачник по программированию

11

If10, стр. 15


Алгоритм выполнения задания

Рис. 1

Таблица тестовых наборов

Входные данные

Ожидаемый результат

Комментарии

1

1, 1

0, 0

Потому как a == b, а и b присваиваются значения 0, 0

2

2, 1

3, 3

Потому как a != b, а и b присваиваются значения их суммы 3, 3


Код программы

#include <stdio.h>

#include <locale.h>

#include <windows.h>main()

{a, b, a1, b1;

setlocale(LC_CTYPE, "rus");("Введите значение переменных А и В: ");

scanf("%d", &a);("%d", &b);(a == b)

{= 0;= 0;("A = %d, B = %d", a1, b1);

}

{= a + b;= a + b;("A = %d, B = %d", a1, b1);

}("pause");0;

}

Таблица тестирования программы

Входные данные

Полученный результат

Результат тестирования

1

1, 1

0, 0

Тест пройден

2

2, 1

3, 3

Тест пройден


Скриншоты

Рис. 2

Рис. 3

Программа прошла тестирование - работоспособна.

Задание 2

Разработать алгоритм и написать программу вычисления заданного целочисленного выражения для данных в формате 16 битов со знаком, используя оператор IF. Промежуточные вычисления могут проводиться с использованием любых типов данных (с обоснованием выбора типа данных), а тип результата Х - тоже должен быть 16 битов со знаком. Входные данные и результат вычислений должны быть проверены на область допустимых значений.

Номер варианта

Арифметическое выражение

11


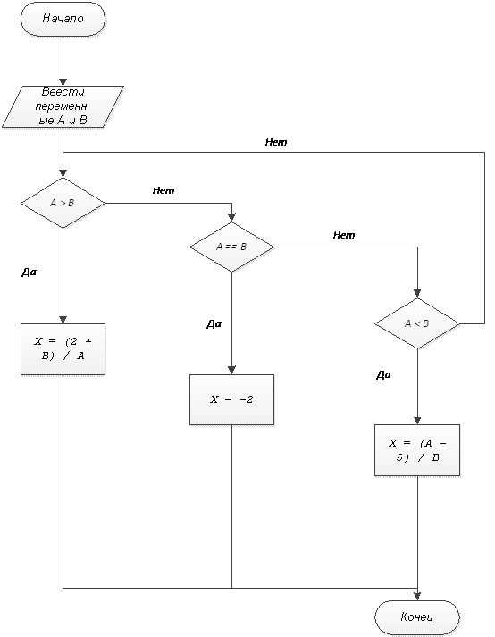
Алгоритм выполнения задания

Рис. 4

Таблица тестовых наборов

Входные данные

Ожидаемый результат

Комментарии

1

3, 1

1

Потому как a > b, выполняется условие x = (2 + b) / a, которое равно 1

1, 1

-2

Потому как a == b, выполняется условие x = -2

3

2, 3

-1

Потому как a < b, выполняется условие x = (a - 5) / b, которое равно -1


Код программы

#include <stdio.h>

#include <locale.h>

#include <windows.h>main()

{a, b, x;

setlocale(LC_CTYPE, "rus");("Введите значение переменных А и В: ");

scanf("%lg", &a);("%lg", &b);(a > b)

{= (2 + b) / a;("X = %lg", x);

}(a == b)

{= -2;("X = %lg", x);

}(a < b)

{= (a - 5) / b;("X = %lg", x);

}("pause");

return 0;

}

Таблица тестирования программы

Входные данные

Полученный результат

Результат тестирования

1

3, 1

1

Тест пройден

2

1, 1

-2

Тест пройден

3

2, 3

-1

Тест пройден


Скриншоты

Рис. 5

Рис. 6

Рис. 7

Программа прошла тестирование - работоспособна.

Задание №3

Разработать алгоритм и написать программу вычисления принадлежности точки с заданными координатами (x, y) заштрихованной области. Программа должна выдавать текстовое сообщение о принадлежности точки заданной области.

Рис. 8

Алгоритм выполнения задания

Рис. 9

Таблица тестовых наборов

Входные данные

Ожидаемый результат

Комментарии

1

3, 7

Точка не входит в фигуру

Точка не должна входить в фигуру потому как она превышает интервал координат фигуры

2

0, 7

Точка входит в фигуру

Точка должна входить в фигуру потому как она не превышает интервал координат фигуры

3

4, 7

Точка не входит в фигуру


Код программы

#include <stdio.h>

#include <locale.h>

#include <windows.h>main()

{x, y;(LC_CTYPE, "rus");("Введите координаты точки: ");("%lg", &x);("%lg", &y);

if ((-6 <= x) & (x <= 6) & (-6 <= y) & (y <= 4))("Точка входит в фигуру");

{((0 == x) & (y <= 7))("Точка входит в фигуру");

{((-2 <= x) & (x <= 2) & (y <= 6))("Точка входит в фигуру");

{((-3 <= x) & (x <= 3) & (y <= 5))("Точка входит в фигуру");

{("Точка не входит в фигуру\n");

}

}

}

}("pause");0;

}

Таблица тестирования программы

Входные данные

Полученный результат

Результат тестирования

1

3, 7

Точка не входит в фигуру

Тест пройден

2

0, 7

Точка входит в фигуру

Тест пройден

3

4, 7

Точка не входит в фигуру

Тест пройден


Скриншоты

Рис. 10

Рис. 11

Рис. 12

Программа прошла тестирование - работоспособна.

Вывод

Разветвления в С можно организовать путем набором логических операций - операциями сравнения: >, <, =>, <=, ==, !=. В языке С реализованы функции логического базиса и-или-не. Исходя из определения базиса логических функций с помощью этих трех логических операций можно записать любые логические функции. При написании программ перед программистом стоит задача преобразовать часть сложных формулировок условий, набор выражений с операциями сравнения и определить их с использованием логических операций.

Похожие работы на - Организация ветвлений

 

Не нашли материал для своей работы?
Поможем написать уникальную работу
Без плагиата!
Без нейросетей!