Аудит денежных средств и их использования в ЗАО 'Кубанская Лоза' Темрюкского района

  • Вид работы:
    Курсовая работа (т)
  • Предмет:
    Бухучет, управленч.учет
  • Язык:
    Русский
    ,
    Формат файла:
    MS Word
    54,11 Кб
  • Опубликовано:
    2014-10-15
Вы можете узнать стоимость помощи в написании студенческой работы.
Помощь в написании работы, которую точно примут!

Аудит денежных средств и их использования в ЗАО 'Кубанская Лоза' Темрюкского района

МИНИСТЕРСТВО СЕЛЬСКОГО ХОЗЯЙСТВА

ФЕДЕРАЛЬНОЕ ГОСУДАРСТВЕННОЕ БЮДЖЕТНОЕ

ОБРАЗОВАТЕЛЬНОЕ УЧРЕЖДЕНИЕ

КУБАНСКИЙ ГОСУДАРСТВЕННЫЙ АГРАРНЫЙ УНИВЕРСИТЕТ

КАФЕДРА АУДИТА






КУРСОВОЙ ПРОЕКТ

Аудит денежных средств и их использования в ЗАО "Кубанская Лоза" Темрюкского района


Выполнила:

студентка УФФ - 1106

Вольская А.Ю.






Краснодар 2015 г.

Оглавление

Введение

1. Актуальные проблемы аудита денежных средств и их использования в организациях

. Организационно-экономическая характеристика ЗАО "Кубанская Лоза" Темрюкского района

3. Аудит учета денежных средств и их использования в ЗАО "Кубанская Лоза" Темрюкского района

.1 Планирование аудита

.2 Проверка соблюдения порядка ведения кассовых операций

.3 Проверка операций с денежными средствами на расчётных счетах организации

.4 Проверка раскрытия информации о наличии и движении денежных средств в бухгалтерской финансовой отчетности

.5 Обобщение результатов аудиторской проверки

Заключение

Список использованных источников

аудит денежный касcовый проверка

Введение

Все организации, осуществляя производственную и хозяйственную деятельность, вступают во взаимоотношения с другими организациями, учреждениями, работниками и отдельными лицами. Эти взаимоотношения основаны на различных денежных расчетах в процессе заготовления, производства и реализации продукции, работ или услуг.

Все расчеты по выполнению обязательств и предъявлению требований осуществляются через учреждения банков. Расчеты наличными деньгами между предприятиями носят ограниченный характер и строго регламентированный.

В условиях рыночной экономики следует исходить из принципа, что умелое использование денежных средств может приносить организации дополнительный доход, и, следовательно, необходимо постоянно думать о рациональном вложении временно свободных денежных средств для получения дополнительной прибыли.

Постоянно совершающийся кругооборот хозяйственных средств вызывает непрерывное возобновление многообразных расчётов. Правильная организация расчетных операций обеспечивает устойчивость оборачиваемости средств организации, укрепление в ней договорной и расчетной дисциплины и улучшение ее финансового состояния.

Денежные средства - это финансовые ресурсы организации, самые высоко ликвидные активы, возможные обеспечить выполнение обязательств любого уровня и вида. От их наличия зависит своевременность погашения кредиторской задолженности организации.

В данном курсовом проекте рассмотрены вопросы аудита денежных средств в кассе и на расчетных счетах.

Объектом исследования данного курсового проекта является ЗАО "Кубанская Лоза" Темрюкского района Краснодарского края.

При кажущейся простоте учета денежных расчетов и, в частности, кассовых операций, тем не менее, многие практические работники допускают грубые нарушения действующих правил учета и расчетов наличными деньгами. Это порой оборачивается для хозяйствующего субъекта значительными финансовыми потерями в виде штрафных санкций. При проведении расчетных операций банки контролируют соблюдение платежной и договорной дисциплины, а также содействуют применению наиболее целесообразных форм расчетов.

Целью данного курсового проекта является составление программы проведения аудиторской проверки кассовых операций и операций по счетам в банках, определение процедур проведения проверки операций с денежными средствами и последовательность их составления.

При изучении указанной темы были поставлены следующие задачи:

·   Раскрыть понятия и цели аудита в целом;

·   Обозначить наиболее важные вопросы, подлежащие изучению на стадии проведения предварительной проверки аудита денежных средств;

·   Оценить качество организации внутреннего контроля за движением и сохранностью денежных средств;

·   Проверить порядок ведения операций с денежными средствами на предмет соответствия действующему законодательству;

·   Описать порядок и цель формирования отчета о движении денежных средств;

·   Дать краткую характеристику отчета по результатам проведенной проверки.    

Источниками информации при составлении данного курсового проекта является использование нормативных документов, статей разных авторов, опубликованных в периодических изданиях, и практического опыта проведения аудиторских проверок.

1. Актуальные проблемы аудита денежных средств и их использования в организациях

Денежные средства являются наиболее подвижными активами организации. Операции с денежными средствами, носят глубокий характер, охватывая все сферы финансовой деятельности и считаются наиболее уязвимыми с точки зрения нарушений.

Актуальность аудита денежных средств и кассовых операций заключается в том, что во-первых проверка и ведение аудита денежных средств предприятия, является обязательным условием, для формирования мнения о достоверности бухгалтерской отчетности во всех существующих аспектах. Во-вторых, из-за того, что кассовые операции достигают больших размеров, являются одним из важнейших объектов финансового контроля. Обращение денежных средств представляет собой процесс, который непрерывен во времени. В связи с этим, важно, чтобы был установлен постоянный и систематический контроль за денежными средствами.

Аудитом денежных средств называют проверку факта наличия денежных средств в управлении предприятия и верности отображения их движения в документах. Именно проверка правильности учета денег и эквивалентов, считаться важной для предприятия [4, с. 5].

Операции, которые связанны с движением денежных средств (проверка кассовых, банковских и валютных операции) должны проверяться сплошным методом. Все это связанно с подвижностью данных активов и подверженностью их злоупотреблением, со стороны работников, а также третьих лиц. Именно сплошным методом проверяются все документы и записи в регистрах бухгалтерского учета. Необходимо осуществлять проверку денежных средств, их движению и остатку в Главной книге с балансовыми данными, а затем и учетных регистров в участках финансово-хозяйственной деятельности предприятия, для того чтобы не допустить вероятных ошибок [3, с.24].

Существует два вида сплошного наблюдения: проверка части документов за все месяцы проверяемого периода; проверка всех документов данного вида за несколько месяцев.

Для того, чтобы контролировать соблюдение порядка осуществления кассовых операций и отражение их в учете, используется метод взаимного контроля, где сравнивается отражение одной кассовой операции в различных учетных регистрах [5, с.159].

Аудитор, изучая состояние внутреннего контроля на предприятии, дает предварительную оценку соблюдения на предприятии кассовой дисциплины. Благодаря этому, аудитор выявляет более уязвимые места, планирует состав основных проверочных процедур, определяет специфические черты ведения учета на предприятии, описании которых отсутствует в имеющихся у него наборе стандартных процедур.

Предварительное знакомство с системой внутреннего контроля на предприятии позволяет аудитору оценить, как обеспечивается сохранность и целевое использование наличных денежных средств. В целях выявления возможного хищения или же недостачи денежных средств из кассы и других злоупотреблениях, необходимо использовать процедуру инвентаризации кассовой наличности при обязательном участии Главного (старшего) бухгалтера и кассира проверяемого объекта [5, с.157].

Аудит кассовых операции, направлен на возможные случаи не оприходования и присвоения поступивших денежных средств из банка. Для этого аудиторам используется процедура проверки чековых книжек предприятия из банка в кассу. В целях выявления излишнего списания денежных средств по кассе путем повторного использования одних и тех же документов, используется процедуры проверки полноты документов, приложенных к отчету кассира. Возможны и другие случаи неправильного списания денег, по которым аудитор должен иметь необходимые подтверждения.

Аудитор должен прибегнуть к основным источникам информации по учету кассовых операций, к ним относятся: кассовая книга, отчеты кассира, приходные и расходные кассовые ордера, журнал(книга) регистрации приходных и расходных кассовых ордеров, журнал(книга) регистрации выданных доверенностей, журнал(книга) регистраций депонентов, журнал (книга)регистрации платежных (расчетно- платежных) ведомостей, оправдательные документы к кассовым документам, авансовые отчеты.

Кроме того, проверка правильности отражения кассовых операций на синтетических счетах, имеет существенное значение. О незаконном списание денежных средств по кассе (выплаты по заработной плате, превышающих начисленные суммы), может подтвердить расхождение между данными аналитического и синтетического учета по счету "Расчеты с персоналом по оплату труда". Все выполненные операции движения денежных средств в кассе предприятия необходимо фиксировать в регистрах синтетического учета и отчетности, в Главной книге; журнале- ордере № 1 и ведомости № 1 (при журнально-ордерный форме учета) и отражаются в балансе предприятия.

В условиях автоматизированного ведения Кассовой книги производиться проверка правильности работы программных средств, обработка кассовых документов.

В публичных акционерных обществах, корпоративных, общественных предприятиях, где это предусмотрено их уставом ревизии кассовых операций, производиться ревизионными комиссиями или привлеченными аудиторами. При выявлении нарушений кассовой дисциплины, лица, виновные в этом привлекаются к ответственности в установленном действующим законодательством порядке. В общем ответственность за соблюдении кассовой дисциплины, возлагается на руководителей организаций, главных бухгалтеров, руководителей финансовых служб и кассиров.

Аудитор начинает проверку состояния учета денежных средств на расчетном счете с того, где определяет круг счетов: расчетных, валютных, ссудных, текущих и других, которые могут быть открыты предприятием в коммерческих банках. Аудитор должен быть убежден в том, что при наличии в действительности таких счетов, по каждому из них имеется договор и официальное уведомление органов налоговой службы.

В ходе аудиторской проверки правильности и полноты отражения в учете и отчетности оборотов и сальдо по счетам предприятия в банках аудитором применяются ряд процедур в том числе: наличие полноты выписок банка по расчетному счету (счетам) и приложенных документов;

В случаях, отсутствия банковской выписки или они заменены копиям (за какие-то дни, периоды), аудитор должен получить в банке заверенные дубликаты и сверить их с первичными документами и бухгалтерскими записями в учетных регистрах. При этом, также необходимо проверить правильность оформления выписок и удостоверяться, что в них нет каких-либо исправлений. Основным моментом проверки операций по расчетному счету, является проверка остатков на счетах клиента, путем подсчета оборотов по каждому счету на основе выписок банка за каждый месяц и сверки их с данными бухгалтерского учета. По выявленным отклонениям, устанавливают причины [2, с.32].

Серьезное внимание, следует уделять, по расчетному счету на содержание операций, выявляют: перечисление авансов поставщикам по товарным операциям; операциям по оплате за выполнение работ по капитальному ремонту или капитальным вложениям, за счет оборотных средств. Проверяя перечисления средств с расчетного счета за материалы, работы и услуги аудитор устанавливает, фактическое оприходование предприятием, оплаченные ценности и принятие их по актам выполненных работ и оказанных услуг.

Аудитор обязан хорошо владеть требованиям о порядке совершения и оформления операций по расчетному счету. Также он должен знать, что в каждой организации периодически в сроки, установленные руководителем предприятия, но не реже одного раза в квартал производиться ревизия кассы с полным пересчетом всех денежных средств и других ценностей [2, с.35].

Совершенствование аудита кассовых операций происходит из года в год, именно этот вид аудиторской проверки является очень важным и трудоемким процессом, так как кассовые операции имеют большое значение для проведения финансово - хозяйственной деятельности предприятия. Индивидуальным предпринимателям уделить особое внимание на внутренний контроль над деятельностью предприятия и кассы в том числе.

Таким образом, организация бухгалтерского учета наличных денежных средств, требует от руководства значительных усилий. И очень важно правильно организовать не только документальное оформление операций, но и правильное соответственно действующего законодательства хранение наличных средств.

Аудит кассы и кассовых операций должен учитываться все факторы. Также, не стоит забывать о договоре материальной ответственности с кассиром, ведь благодаря этому способу, есть гарантия того, что наличные денежные средства будут в целостности и сохранности, и в случае возникновения проблемных ситуаций, будет человек, который отвечает именно за этот участок деятельности предприятия.

2. Организационно-экономическая характеристика ЗАО "Кубанская лоза"

Группа компаний ЗАО "Кубанская Лоза" - Это команда профессионалов, имеющих огромный опыт в производстве и дистрибьюции вин.

ЗАО "Кубанская Лоза" - молодое предприятие, расположенное в Темрюкском районе, ст. Ахтанизовской, ул. 8 марта 9.

Имеются лицензии на следующие виды деятельности производство, -хранение и поставки произведенных вин (виноградных, плодовых) №Б 068359. Срок действия до 07.06.2016

производство, хранение и поставки произведенной спиртосодержащей пищевой продукции (виноградных виноматериалов) №Б 095209. Срок действия до 07.06.2016

Предприятие оснащено оборудованием для розлива и хранения вин соответствующее мировым стандартам

Установленное оборудование и емкостное хозяйство:

первичное виноделие - 943,0 тыс.дал

вторичное виноделие - 15,2 тыс.дал

резервуаров - металлические с пищевым покрытием "Польша"

резервуаров - металлические с эмалированным покрытием производства "Полтава"

резервуаров - из нержавеющей стали

резервуара - металлические, с пищевым покрытием отечественного производства

фильтр-пресс марки ВПФ производство "Россия" - 2 шт.

фильтр-пресс "КАРРА" производство "Италия" - 1 шт.

фильтр кизельгуровый "DELLA TOFFOLA" производство "Италия" - 1шт.

фильтр вакуумный "PADOVAN" производство "Италия" - 1 шт.

Розлив столового вина в "Bad & Box" (мешок в коробке) производительность 179,1 дал/час

Розлив столового вина в бут. 0,7 производительность - 1000 бут/час

Розлив столового вина в сувенирную бут. 0,75 производительность - 1000 бут/час

Розлив столового вина в упаковку "Тетра Пак" (линия является автоматической) производительность - 3,6 тыс.пакетов в час

Предприятие имеет 2 склада готовой продукции, оснащенных современным оборудованием для обеспечения необходимых температурно-влажностных режимов хранения продукции. Общая площадь складов составляет 1709,8 м2

Количество имеющихся подъездных путей - 3

Для разгрузочно-погрузочных работ используются кары, штабелёры, рохли.

Предприятие сотрудничает се следующими производителями упаковки:

бутылка - ООО "Русджам - Кубань"

корковая коробка - ООО "Олимпика"

этикетка - ООО "Адас"

упаковка для т/п - ЗАО "Тетра Пак"

Полимер Юг

Готэк

Предприятие имеет собственную лабораторию, оснащенную новейшей техникой, что позволяет не только отслеживать качество продукции, но и создавать новые утонченные вина

ЗАО "Кубанская Лоза" одно из немногих российских предприятий , использующих в производстве собственный виноматериал, что позволяет обеспечивать стабильно высокое качество производимой продукций. Более 900 га собственных виноградников. Средняя урожайность в 2011 г. составила 60 ц/га. Сортовой состав и количество собранного собственного винограда в тоннах за 2011 г:

Сорт

Кол-во (тн.)

Мускат

65,9

Бианка

653

Августин

134.1

Уни-блан

286,8

Первенец Магарача

471,7

Дунавский лозур

599,7

Рисус

157,8

Совиньон

35,4

Кристалл

37,8

Каберне

181

Мерло

145,2

Молдова

826

Красностоп

53,1

Страшенский

53,4

Данко

158,3

Пин-фран

35,7

ИТОГО:

3894,9


Группа объединяет в себе производственную базу и сбытовое направление, что позволяет

осуществлять полный контроль производства;

вести эффективную ассортиментную политику;

выстраивать долгосрочные и взаимовыгодные отношения с партнерами.

Все это, а также высокий уровень подготовки специалистов всех уровней компании, позволяет предлагать партнерам продукцию высокого качества и наиболее выгодные условия сотрудничества. Рассмотрим показатели обеспеченности основными ресурсами ЗАО "Кубанская Лоза" и проанализируем уровень их использования. Финансово хозяйственная деятельность организации, представлена на примере таблицы 1.

Таблица 1 - Ресурсы ЗАО "Кубанская Лоза"

Показатель

2011 г.

2012 г.

2013 г.

2013 г. в %(разах) к





2011 г.

2012 г.

Среднегодовая численность работников - всего, чел. в т. ч. работники, занятые в производстве сельхоз продукции.

112

112

106

0,9

0,9

Среднегодовая стоимость основных средств, тыс. руб.

127031

130325

156389

123,1

120


Из таблицы 1 мы видим, что за прошедшие года 2011-2013 произошли следующие изменения. В 2013 году сократилась среднегодовая численность работников с 112 до 106 человек, так же произошло увеличение в среднегодовой стоимости основных средств на 26064 тыс. руб. за 2012-2013 год и на 3294 тыс. руб. за 2011-2012 года

Важнейшие показатели хозяйственной деятельности предприятия - прибыль и объем реализованной продукции, находятся в прямой зависимости от скорости оборачиваемости оборотных средств.

Показатели оборачиваемости чрезвычайно важны для предприятия:

Во-первых, от скорости оборота средств зависит размер годового оборота.

Во-вторых, с размерами оборота, и, следовательно, с оборачиваемостью, связана относительная величина расходов условно-постоянного характера.

В-третьих, ускорение оборота на той или иной стадии кругооборота средств заставляет ускорить оборот и на других стадиях.

Ускорение оборачиваемости сопровождается дополнительным вовлечением средств в оборот, а замедление - отвлечением средств из оборота, их относительным омертвлением в запасах, незавершенном производстве, готовой продукции.

Положительное влияние на ускорение оборачиваемости оборотных средств оказывает разумное сочетание основных отраслей производства с дополнительными, а также развитие подсобных и перерабатывающих предприятий.

Основные показатели деятельности ЗАО "Кубанская Лоза" представлены в таблице 2

Таблица 2-Результаты деятельности ЗАО "Кубанская Лоза"

Показатель

2011 г.

2012 г.

2013 г.

 2013 г.





 в %(разах) к





2011 г.

2012 г.

Выручка от продаж продукции, работ и услуг, тыс. руб.

186680

143946

236746

126,8

164,5

Себестоимость проданных товаров, продукции ,работ и услуг, тыс. руб.

-140203

-112566

-205807

-146,8

-182,8

Валовая прибыль, тыс. руб.

46477

31380

30939

66,6

98,6

Прибыль от продаж, тыс. руб.

25855

18086

14211

55

78,6

Прочие доходы, тыс. руб.

3679

4126

12432

337,9

301,3

Прочие расходы, тыс. руб.

-24633

88

-14004

-32,3

-15913,6

Чистая прибыль отчетного периода, тыс. руб.

3353

22992

13603

405,7

59,2


Анализируя таблицу 2, можно сделать вывод, что организация ухудшает свои экономические показатели. Так, в 2013 г по сравнению с 2012 г. выручка от реализации товаров, работ и услуг уменьшилась на 92800 тыс. руб. , наибольшая выручка за исследуемый период была получена в 2013 году, она на 50066 тыс. руб больше, чем в 2011году. Себестоимость снизилась в 2012 году, в 2013 г по сравнению с 2012 г она выросла на 93241 тыс. руб, но по прежнему осталась убыточной. Прибыль от продаж в 2013 г по сравнению с 2012 г уменьшилась на 3875 тыс. руб., а по сравнению с 2011 г уменьшилась на 11644 тыс. руб. Чистая прибыль заметно снизилась в 2013 г по сравнению с 2012 г на 9389 тыс. руб., а по сравнению с 2011 г увеличилась на 10250 тыс. руб. Прочие доходы в 2013 существенно увеличились по отношению к 2011году, разница составила 8753 тыс. руб.

Таблица 3 - Эффективность использования ресурсов в ЗАО "Кубанская Лоза"


По данным полученным из таблицы 3 можно сказать, что производительность труда в 2013 г. по сравнению с 2012 увеличилась на 156,81 тыс. руб, но это ниже чем в 2011 году на 270,53 тыс. руб. Фондоотдача увеличилась в 2013 г по сравнению с 2012г. на 101,03 тыс. руб., а с 2011 г. на 21,66 тыс. руб.

Оборачиваемость оборотных средств в 2013 г по сравнению с 2011 г. уменьшилась на 0,17 а с 2012 г. возросла на 0,23. Затраты на 1руб проданной продукции в 2013 г. составили 0,78 тыс. руб.

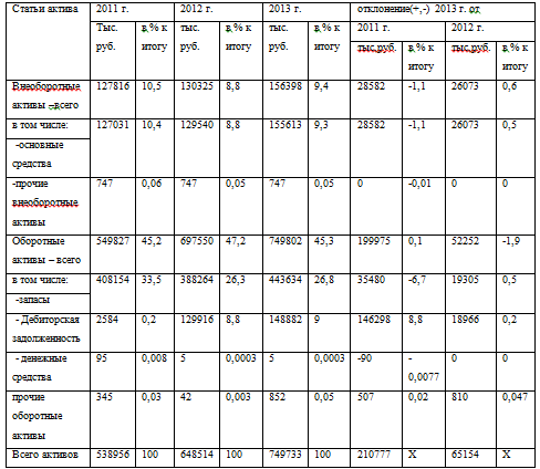
Таблица 4 - Состав и структура активов ЗАО "Кубанская Лоза" на конец года


Из таблицы 4 мы видим, что внеоборотные активы ЗАО "Кубанская Лоза" увеличились по сравнению с 2012 г. на 26073 тыс. руб., а с 2011 г. на 28582 тыс. руб. Оборотные активы увеличились в 2012 году на 147723 тыс. руб и в 2013 г. увеличились на 522252 тыс. руб. Дебиторская задолженность в 2013 г. по сравнению с 2012 г. увеличилась на 18966 тыс. руб., а с 2011г. на 146298 тыс. руб..

Методика оценки имущественного состояния предприятия включает в себя:

* горизонтальный анализ активных статей баланса, основанный на изучении динамики показателей и определении их абсолютных и относительных изменений;

* вертикальный анализ активных статей баланса, изучающий структуру имущества и причины ее изменения. В ходе вертикального анализа устанавливается удельный вес отдельных статей по отношению к валюте баланса и по отношению к стоимости внеоборотных и оборотных активов.

Частью имущества организации являются оборотные средства - это денежные средства, авансированные в оборотные производственные фонды и фонды обращения. Материальные оборотные средства с каждым годом увеличиваются, хотя их доля в структуре национального богатства практически не изменяется.

3. Аудит учета денежных средств и их использования в ЗАО "Кубанская лоза"

3.1 Планирование аудита

Планирование - один из важнейших этапов аудита, так как без разработки общей стратегии и детального подхода невозможен качественный аудит.

Рассмотрим основные этапы проведения аудиторской проверки, операций с денежными средствами в ЗАО "Кубанская Лоза":

1)   Определение цели и основных задач аудита, подборка нормативных актов.

2) Составление аудиторской программы проверки денежных средств. 3)Определение возможности использования результатов работы внутреннего аудита, посредством тестирования средств контроля и процедур по существу.

Программа тестов средств внутреннего контроля представляет собой перечень совокупности действий, предназначенных для сбора информации о функционировании системы внутреннего контроля и учета. Программы помогают выявить существенные недостатки, являясь составной частью рабочей документации аудита, способствуют документальному оформлению процесса аудита и его результатов .

Таблица 5 - Тест - вопросник по учету денежных средств и их использования в ЗАО "Кубанская Лоза"

Вопросы контроля

Да

Нет

1

Иметься ли сигнализация в помещении кассы?

+


2

Заключен ли договор с вневедомственной охраной?


+

3

Имеются ли у руководителя вторые ключи от сейфа предприятия? (где и у кого хранятся дубликаты ключей)


В сейфе у директора

4

Инкассируется ли данная организация?


+

5

Проводятся ли внезапные проверки в кассе?

+


6

Присутствует ли главный бухгалтер при снятии остатков в кассе?

+


7

Проверяет ли отчеты кассира главный бухгалтер?

+


8

Регистрируются ли приходные документы в журналах?

+


9

Присваивает ли кассир номера приходным и расходным документам денежных средств?

+


10

Составляет ли кассир приходные и расходные документы денежных средств?

+


11

Производится ли записи в отчете кассира: ежедневно или по мере накопления документов?


По мере накопления документов

12

Кроме денежных средств в кассе хранятся ли: бланки облигаций, акций, путевок в д/о, санаторий?


+

13

Вся ли сдается в банк выручка поступившая в кассу?

+


14

Практикуется ли получение денег от клиента, работников за товары, услуги другими лицами (минуя кассира?


+

15

Нужны ли две подписи на документах отражающих выдачу денег из кассы?

+


16

Практикуется ли выдача денег из кассы за одной подписью (руководителя, главного бухгалтера)?


+

17

Разработана ли (по дебету, кредиту счета 50) наиболее характерная корреспонденция счетов хозяйственных операций, типичных для данного предприятия?

+


18

Датируется ли приходные, расходные, кассовые документы в журнале регистрации по дате, указанных в них?

+


19

Сдает ли кассир в бухгалтерию ежедневно кассовые отчеты?


+


4)   Установление соответствия данных бухгалтерской отчетности данным счетов бухгалтерского учета денежных средств.

5) Проверка организации материальной ответственности.

6) Документальное оформление движения денежных средств.

7)   Выявление существенных нарушений ведения учета денежных средств, подготовки отчетности и соблюдения законодательства. Выявив существенные вопросы, требующие профессионального суждения аудитора, вместе с выводами, сделанными по этим вопросам, аудитор отражает их в рабочей документации в соответствии с федеральным стандартом аудиторской деятельности "Документирование аудита".

8)   Выражение мнения о достоверности отчетности в части учета денежных средств.

Вся предоставленная для проверки информация (баланс, отчет о прибылях и убытках) подразделяется на отдельные участки, которые классифицируются по степени риска и размерам границ существенности.

По перечисленным выше вопросам, можно сказать, что в ЗАО "Кубанская Лоза" находится одна касса, организация имеет структурное подразделение.

Аудиторский риск - это риск выражения аудитором ошибочного мнения в случае, когда финансовая отчетность содержит существенные искажения. При оценке рисков необходимо использовать не менее 3 градаций: высокий, средний и низкий.

Аудиторский риск получается из равенства:

Ар = Нр ∙ Рк ∙ Рн,

где Ар - аудиторский риск,

Нр - неотъемлемый риск (25 %),

Рк - риск средств контроля (60 %),

Рн - риск необнаружения.

Риск необнаружения, определяем исходя из того, что допустимый при проверке аудиторский риск составляет 5 %.

Рн = Ар/(Нр∙ Рк) = 0,05/(0,25∙ 0,60) = 0,33 или 33%.

Так как аудиторский риск находится на средне уровне , таким образом аудитор может считать план приемлемым.

После знакомства с порядком организации и ведения бухгалтерского учета в ЗАО "Кубанская Лоза" в процессе подготовки общего плана и программы аудиторский риск оценен как "средний", и теперь необходимо определить уровень существенности для участка операций с денежными средствами. Приступая к проведению проверки аудитор должен рассчитать уровень существенности - предельное значение ошибки бухгалтерской отчетности, начиная с которой квалифицированный пользователь этой отчетности с большей степенью вероятности не сможет делать на ее основе правильные выводы и принимать правильные управленческие и экономические решения. Определим уровень существенности за 2013 год на основании бухгалтерского баланса за этот период. Для этого необходимо выделить значимые статьи (то есть те статьи, доля которых составляет более 1% в общем удельном весе баланса). Показатели берутся на конец отчетного периода. Показатели в столбце 3 должны быть определены внутренней инструкцией аудиторской фирмы и применяться на постоянной основе. Столбец 4 получают умножением данных столбца 2 на показатель столбца 3, разделенный на 100%. Таким образом, уровень существенности по активу баланса составляет 33167 тыс.руб , а пассива баланса 47757 тыс. руб., в целом по балансу 80924 тыс.руб. Уровень существенности конкретного объекта аудита определяется как произведение общего уровня существенности на долю выбранного объекта аудита в структуре баланса. В случае ЗАО "Кубанская Лоза" доля денежных средств в структуре баланса составляет 0,008%.

Таблица 6 - Расчет уровня существенности за 2013 г.  

Базовый показатель

Значение базового показателя, тыс. руб.

Доля, %

Значение, применяемое для нахождения уровня существенности, тыс. руб.

Основные средства

155613

5

7781

Запасы

443634

7

31054

Дебиторская задолженность

148882

5

7444

Финансовые вложения

153083

7

10716

Валюта баланса

906200

3,66

33167

Нераспределенная прибыль (непокрытый убыток)

101175

5

5059

Заёмные средства

5372

6

322

906200

5,27

47757

Разработка и составление программы аудита является завершающей стадией планирования. Программа аудита представляет собой детальный перечень аудиторских процедур с указанием периода проверки, исполнителя и рабочих документов.

Общий план и программа аудита должны быть оформлены и завизированы в порядке, установленном внутрифирменными стандартами.

Во время проверки денежных средств и их использования, члены аудиторской группы проводят указанные в плане и программе аудита проверочные процедуры. Эти процедуры выполняются в соответствии с требованиями правил (стандартов) аудиторской деятельности:

а) сбор и оценка аудиторских доказательств

б) оценка результатов выборки и распространение ее результатов на проверяемую совокупность ("Аудиторская выборка");

в) исследование необычных отклонений показателей бухгалтерской отчетности ("Аналитические процедуры");

г) проверка достоверности начальных и сравнительных показателей бухгалтерской отчетности ("Первичный аудит начальных и сравнительных показателей бухгалтерской отчетности");

д) получение и рассмотрение заключения эксперта ;

е) отражение выполнения аудиторских процедур и их результатов ("Документирование аудита");

ж)  оценка уровня существенности и аудиторского риска в ходе выполнения конкретных аудиторских процедур ("Существенность и аудиторский риск");

з)  установление соответствия финансовых и хозяйственных операций применяемому законодательству ("Проверка соблюдения нормативных актов при проведении аудита");

и) получение доказательств ("Разъяснения, представляемые руководством проверяемого экономического субъекта");

к) проверка и оценка полноты и правильности раскрытия в отчетности операций со связанными сторонами ("Учет операций со связанными сторонами");

л) проведение аудита в среде компьютерной обработки данных ("Аудит в условиях компьютерной обработки данных");

м) оценка риска искажения бухгалтерской отчетности и корректировка проводимых процедур ("Действия аудитора при выявлении искажений бухгалтерской отчетности");

н) контроль качества работы в ходе проведения аудита ("Внутрифирменный контроль качества аудита").

К концу проверки руководитель аудиторской группы (проекта) обобщает результаты проверки годовой бухгалтерской отчетности клиента на основе рабочих документов всех членов аудиторской группы .

Таблица 8 - Аудиторская программа проверки денежных средств и их использования в ЗАО "Кубанская Лоза"

Проверяемая организация Период аудита Количество человеко-часов Руководитель аудиторской группы Состав аудиторской группы Планируемый аудиторский риск Планируемый уровень существенности

ЗАО "Кубанская Лоза"


с 01.01 по 31.01.2015


280


Х


Х


4%


1%


Перечень процедур

Источники информации

А. Кассовые операции

1

Проведение внезапной проверки кассы (при необходимости)

Кассовые документы, наличные денежные средства, кассовая книга, регистры по счету 50

2

Проверка оборотов и остатков по счету 50 "Касса" и их соответствия данным Главной книги

Кассовая книга, ведомости, журналы-ордера, карточки по счету 50, Главная книга

3

Выборочная проверка целевого использования денежных средств, полученных из банка, соблюдения лимита кассы и установленного лимита расчетов между юридическими лицами наличными деньгами

Выписки банка, кассовые документы, ведомости, журналы-ордера, карточки по счетам 50,51 и др.

4

Выборочная проверка правильности оформления кассовых документов и соответствия их данных записям в Кассовой книге и учетных регистрах по счету 50. Проверка правильности корреспонденции счетов

Кассовые документы, кассовая книга, ведомости, журналы-ордера, карточки по счетам 50, 51, 76 и др.

Б. Банковские операции

5

Установление количества банковских счетов у предприятия и законности их открытия

Договоры с банками на расчетно-кассовое обслуживание

6

Проверка оборотов и остатков по счетам учета средств на расчетном и других счетах предприятия и их соответствия данным Главной книги

Ведомости, журналы-ордера, карточки по счетам 51, 55, 57, выписки банка. Главная книга

7

Выборочная проверка соответствия первичных платежно-расчетных документов выпискам банка по расчетному и другим счетам предприятия

Выписка банка, расчетно-платежные документы, договоры

8

Выборочная проверка точности отражения в учетных регистрах операций по поступлению и списанию средств с расчетного и других счетов предприятия

Выписки банка, расчетно-платежные документы, карточки по счетам , Главная книга


3.2 Проверка соблюдения порядка ведения кассовых опе раций в ЗАО "Кубанская Лоза"

В ЗАО "Кубанская Лоза" , при осуществлении операций с денежной наличностью руководствуются Указанием ЦБРФ от 11.03.2014 г №3210- У "О порядке ведения кассовых операций юридическими лицами и упрощённом порядке ведения кассовых операций индивидуальными предпринимателями и субъектами малого предпринимательства"

Денежные средства в кассу предприятия получают с расчетного счета строго на определенные цели. Денежные средства не могут быть использованы не по назначению. Предприятия могут хранить в кассе денежные средства только в пределах установленного лимита. Лимит определяется самой организацией. В ЗАО "Кубанская Лоза" лимит остатка денег в кассе установлен в размере 11300руб. Сверх установленного лимита денежные средства могут храниться только для выдачи заработной платы, пособий, но не более 3-х рабочих дней.

Выполнение кассовых операций ЗАО "Кубанская Лоза" производится кассиром. Он является материально-ответственным лицом. При поступлении на работу с кассиром в обязательном порядке должен быть заключен договор о полной материальной ответственности. В ЗАО "Кубанская Лоза" договор о полной материальной ответственности заключен с кассиром. Прием и выдачу наличных денег кассир осуществляет на основании первичных документов .

Прием наличных денег осуществляется по приходным кассовым ордерам, которые обязательно должны быть подписаны главным бухгалтером. Выдача наличных денежных средств из кассы производится по расходным кассовым ордерам, которые подписываются главным бухгалтером и руководителем предприятия. Приходные и расходные кассовые ордера после осуществления операций по ним подписываются кассиром.

По итогам аудиторской проверки ЗАО "Кубанская Лоза" можно отметить, что не все ПКО и РКО соответствуют требованиям -на части из них нет подписи либо руководителя , либо главного бухгалтера.

Расходные и приходные кассовые ордера являются первичными документами. Они выписываются в бухгалтерии предприятия. До передачи в кассу предприятия приходные и расходные кассовые ордера регистрируются в бухгалтерии в специальных журналах регистрации кассовых ордеров, отдельно по приходу и отдельно по расходу. Кассир после принятия к исполнению кассовых ордеров производит записи в кассовую книгу. Кассовая книга - это регистр аналитического учета операций с наличными денежными средствами. Записи в кассовую книгу производятся под копирку. Второй экземпляр является отчетом кассира, отрывается и сдается в бухгалтерию. В конце дня кассир должен подсчитать итог операций по приходу и расходу и вывести остаток. Отчет кассира с приложенными приходными и расходными кассовыми ордерами передается в бухгалтерию.

Синтетический учет операций по кассе ведется на счете 50 "Касса" - счет активный, основной, денежный.

Основные типовые проводки по движению денежных средств в кассе ЗАО "Кубанская Лоза":

. Получено в кассу с расчетного счета: Дт 50 "Касса" Кт 51 "Расчетный счет".

. Получена наличными выручка от реализации: работ, услуг, продукции, товаров: Дт 50 "Касса" Кт 90/1 "Выручка".

. Сдан в кассу остаток подотчетной суммы: Дт 50 "Касса" Кт 71 "Расчеты с подотчетными лицами".

. Получено в кассу в возмещение задолженности по недостаче: Дт 50 "Касса" Кт 73 "Расчеты с персоналом по прочим операциям".

. Получено наличными от дебиторов: Дт 50 "Касса" Кт 76 "Расчеты с разными дебиторами и кредиторами".

. По объявлению на взнос наличными внесено на расчетный счет: Дт 51 "Расчетный счет" Кт 50 "Касса".

. Выдано под отчет: Дт 71 "Расчеты с подотчетными лицами" Кт 50 "Касса".

. Выдана из кассы заработная плата персоналу предприятия: Дт 70 "Расчеты с персоналом по оплате труда" Кт 50 "Касса".

. Выдано наличными в погашение кредиторской задолженности: Дт 76 "Расчеты с разными дебиторами и кредиторами" Кт 50 "Касса".

Не реже одного раза в месяц в ЗАО "Кубанская Лоза" должна проводиться инвентаризация кассы, однако она проводится один раз в полгода .

Результаты оформляются актом. Излишки, выявленные в кассе, зачисляются в доход предприятия: Дт 50 "Касса" Кт 91/1 "Прочие доходы".

Недостача относится на материально-ответственное лицо (кассира).

В учете составляются следующие проводки:

. При обнаружении недостачи: Дт 94 "Недостачи, потери от порчи ценностей" Кт 50 "Касса".

. Выявленная недостача относится на материально-ответственное лицо: Дт73/3 "Расчеты по возмещению материального ущерба" Кт 94 "Недостачи, потери от порчи ценностей".

. Внесено наличными в кассу в погашение задолженности по недостаче: Дт 50 "Касса" Кт 73/3 "Расчеты по возмещению материального ущерба".

. Удержано из заработной платы в погашение недостачи: Дт 70 "Расчеты с персоналом по оплате труда" Кт 73/3 "Расчеты по возмещению материального ущерба".

Целью аудиторской проверки кассовых операций в ЗАО "Кубанская Лоза" является установление соответствия применяемой в организации методики учета и налогообложения операций по движению наличных денежных средств действующим в Российской Федерации в проверяемом периоде нормативным документам для формирования мнения о достоверности бухгалтерской отчетности во всех существенных аспектах.

Кассовые операции целесообразно проверять сплошным методом.

Аудиторская проверка кассовых операций в ЗАО "Кубанская Лоза" организуется в такой последовательности:

) инвентаризация кассы и обследование условий хранения денежных средств;

) проверка правильности документального оформления операций;

) проверка полноты и своевременности оприходования денежных средств;

) аудиторская проверка правильности списания денег в расход;

) проверка соблюдения кассовой и финансовой дисциплины;

) проверка правильности отражения операций на счетах бухгалтерского учета;

) оформление результатов проверки.

Источниками информация аудита кассовых операций являются:

Кассовая книга;

Отчеты кассира;

Приходные и расходные кассовые ордера (ПКО, РКО);

Авансовые отчеты. Список подотчетных лиц;

Выписки банка;

Справка банка об установленном лимите остатка денег в кассе;

Чековые книжки;

Хозяйственные договоры (в том числе с банками);

Договоры о материальной ответственности;

Документы по ККМ;

Книги кассира-операциониста ;

Журнал регистрации ПКО и РКО;

Журнал регистрации выданных доверенностей;

Журнал регистрации депонированных сумм;

Журнал регистрации платежных (расчетно-платежных) ведомостей;

Приказы руководящего органа;

Акты ревизии кассы, акты инвентаризации;

Учетная политика в части документооборота;

Журнал-ордер № 1 и ведомость № 1 по учету кассовых операций;

Главная книга;

Баланс предприятия , 2-й раздел актива;

Отчет о движении денежных средств .

Прибыв на место проверки, аудитор может сразу провести инвентаризацию денежных средств, хранящихся в кассе. Ее проводят в присутствии кассира и главного бухгалтера организации. Результаты инвентаризации оформляют актом, который подписывают кассир и главный бухгалтер организации. Акт является письменным аудиторским доказательством, и его данные необходимы аудитору для дальнейшей проверки. По результатам внезапной инвентаризации кассы ЗАО "Кубанская Лоза" соблюдает лимит остатка кассы , определенный в размере 11300руб.

Одновременно с инвентаризацией проводится проверка условий хранения денежных средств, в ходе которой, аудитору необходимо выяснить:

а) обеспечена ли сохранность денег при доставке из банка;

б) имеется ли для хранения денег и других ценностей в кассе сейф или несгораемый шкаф;

г) соблюдаются ли правила хранения ключей от сейфа;

д) соблюдается ли установленный лимит хранения денежной наличности по отдельным датам.

Аудитор проверяет полноту и своевременность оприходования денег, полученных по каждому чеку из банка, путем сверки идентичных сумм, записанных в корешках чеков, и выписок банка. Чековые книжки, корешки использованных чеков, а также неиспользованные чеки должны храниться у главного бухгалтера. Направления использования денежных средств и их целевое назначение организация определяет по своему усмотрению.

Аудитор должен тщательно проверить полноту оприходования выручки от реализации продукции основного производства, услуг вспомогательных и обслуживающих производств, жилищно-коммунального хозяйства.

По данным аудиторской проверки ЗАО "Кубанская Лоза" можно отметить ,что оприходование денежных средств в кассу организации производится не ежедневно , а по мере накопления денежных средств ,что является нарушением в соответствии с Указанием ЦБРФ от 11.03.2014 г №3210- У "О порядке ведения кассовых операций юридическими лицами и упрощённом порядке ведения кассовых операций индивидуальными предпринимателями и субъектами малого предпринимательства" .

При этом следует сверить записи в кассовой книге, приходных кассовых ордерах с отчетами, накладными и счетами по реализации продукции (работ, услуг).

Все случаи неполного набора документов по кассовым операциям должны быть зафиксированы аудитором. По ним подсчитывают итог, который соизмеряют с кредитовым оборотом по счету 50 "Касса".

Проверив правильность отражения фактов хозяйственной жизни по кассовым операциям ЗАО "Кубанская Лоза" можно сделать вывод о том ,что в бухгалтерской проводке ,имеющей место 20.02.2015г можно вывить нарушение .В организации отразили выдачу наличных денежных средств в подотчет по основанию "На ремонт оборудования" на сумму 35000руб. следующей бухгалтерской записью: Д26К50 ,что является нарушением Бухгалтерского Плана Счетов и Инструкции по его применению. Следовательно аудитор должен зафиксировать этот факт в аудиторском заключении .

3.3 Проверка операций с денежными средствами на расчетных счетах организации

В соответствии с Законом Российской Федерации "О предприятиях и предпринимательской деятельности" каждое предприятие вправе открывать в любом учреждении банка расчетный счет и другие счета для хранения денежных средств и осуществления всех видов расчетных, кредитных и кассовых операций. Расчетные счета открываются предприятиям, имеющим статус юридического лица и находящимся на самостоятельном балансе.

Порядок открытия расчетного счета регламентирован инструкцией Центрального банка Российской Федерации, в соответствии с которой, каждой организацией может быть открыт расчетный счет в одном или нескольких банках по его выбору. Клиенты вправе открывать необходимое им количество расчетных счетов. Для их открытия в банк предоставляются следующие документы:

1)заявление на открытие счета;

2)копии устава и учредительного договора, заверенные нотариально;

3)нотариально заверенная копия свидетельства о регистрации предприятия;

4)карточка с образцами подписей распорядителей кредитов (руководитель предприятия и главный бухгалтер), оттиском печати предприятия, заверенной нотариусом в двух экземплярах;

5)справки о постановке на учет (налоговой инспекции, пенсионного фонда, органов социального страхования и обеспечения).

После открытия расчетного счета банк присваивает ему определенный номер, который указывается во всех расчетно-платежных документах, передаваемых в банк. На расчетном счете сосредотачиваются денежные средства, зачисленные в форме выручки от реализации продукции, банковских кредитов и прочих поступлений. С расчетного счета производятся перечисления поставщикам за продукцию, финансовым органам, различным кредиторам, погашаются банковские кредиты, а также выдаются наличные для выдачи заработной платы и других расходов. Выдачу денег или безналичные перечисления с расчетного счета банк осуществляет с согласия владельца расчетного счета. Однако, в определенных случаях, законодательством предусмотрено списание денежных средств с расчетного счета в бесспорном порядке (взыскание просроченных платежей в бюджет, по исполнительным листам, приказом государственного арбитража), банк может списать проценты за пользование кредитом, проценты по просроченным ссудам, плату за расчетно-кассовое обслуживание.

Периодически банк выдает владельцу счета выписки с расчетного счета. Выписка с расчетного счета - второй экземпляр лицевого счета организации, открытого ему банком. В ней показывается остаток на начало периода, движение за отчетный период с разбивкой по каждой операции и конечный остаток. Выписка с расчетного счета является регистром аналитического учета операций по расчетному счету. К ней прилагаются все документы, по которым производится зачисление и списание сумм. Полученные выписки с приложенными документами в бухгалтерии подвергаются тщательной проверке. На полях проверенной выписки проставляются коды счетов, которые корреспондируют со счетом 51. Выписки из расчетного счета служат основанием для учетных записей по синтетическому счету 51 "Расчетный счет". Это счет активный, основной, денежный.

В бухгалтерском учете составляются следующие типовые проводки:

. Получены на расчетный счет деньги из кассы предприятия: Дт 51 "Расчетный счет" Кт 50 "Касса".

. Зачислена на расчетный счет выручка от реализации продукции: Дт 51 "Расчетный счет" Кт 90/1 "Выручка".

. Зачислена на расчетный счет выручка от реализации прочих активов Дт 51 "Расчетный счет" Кт 91/1 "Прочие доходы".

4. Зачислены на расчетный счет кредиты банка: Дт 51 "Расчетный счет" Кт 66 "Расчеты по краткосрочным кредитам и займам" Дт 51 "Расчетный счет" Кт 67 "Расчеты по долгосрочным кредитам и займам".

. Получены на расчетный счет штрафы, пени, неустойки: Дт51 "Расчетный счет" Кт 91/1 "Прочие доходы".

. Зачислено от дебиторов в погашение долгов: Дт 51 "Расчетный счет" Кт 76 "Расчеты с разными дебиторами и кредиторами".

. Выдано по чеку наличными в кассу предприятия: Дт 50 "Касса" Кт 51 "Расчетный счет".

. Перечислено в погашение задолженности поставщикам: Дт 60 "Расчеты с поставщиками и подрядчиками" Кт 51 "Расчетный счет".

. Перечислено в погашение задолженности бюджету по налогам: Дт 68 "Расчеты по налогам и сборам" Кт 51 "Расчетный счет".

. Перечислено в погашение задолженности органам социального страхования и обеспечения: Дт69 "Расчеты по социальному страхованию и обеспечению" Кт 51 "Расчетный счет".

. Перечисление в погашение задолженности по кредиту: Дт 66, 67 "Расчеты по кратко- долгосрочным кредитам и займам" Кт 51 "Расчетный счет".

Источники информации:

а) платежное поручение (кому перечислено);

б) платежное требование (был акцепт - оплата с согласия предприятия или нет, целесообразность требования);

в) сводное платежное поручение и требование-поручение;

г) корешки чековой книжки на получение наличных денег;

д) журнал-ордер №2 (заполняется на основании выписки и платежных поручений - выписка выдается банком, если есть движение на расчетном счете);

е) главная книга.

Целью аудиторской проверки операций на расчетном, валютном и других счетах в банке является формирование мнения о достоверности бухгалтерской отчетности по разделу "Денежные средства" и соответствии применяемой методики учета денежных средств на счетах в банке действующим в Российской Федерации нормативным документам. Ведется проверка полноты и правильности синтетического учета операций по расчетному счету. Такая проверка проводится по каждому счету, открытому в банке.

Если по договору банковского счета предусмотрена выплата банком процентов за пользование денежными средствами, аудитор должен проверить, начисляет ли организация доходы ежемесячно или отражает их по факту зачисления процентов на расчетный счет.

При аудите операций по расчетному счете ЗАО "Кубанская Лоза" аудитор рассматривал следующие вопросы :

порядок ведения учетных регистров;

ведутся ли регистры синтетического учета по каждому расчетному счету, открытому в банке, составляется ли сводный регистр;

своевременность отражения в регистрах синтетического учета операций по движению денежных средств на расчетном счете; производятся ли записи в учетные регистры по каждой выписке банка;

тождественность записей в учетных регистрах и в выписке банка.

Все вышеуказанные требования ЗАО "Кубанская Лоза" соблюдает .

Проверяя полноту зачисления денежных средств, перечисленных покупателями и заказчиками в оплату поставленных материально-производственных запасов, выполненных работ и оказанных услуг, необходимо сверить записи по дебету счета 51 "Расчетный счет" с кредитовыми записями учетных регистров по счетам 90 "Продажи" или 62 "Расчеты с покупателями и заказчиками", 76 "Расчеты с разными дебиторами и кредиторами".

Поступление денежных средств от финансово-кредитных организаций в виде кредитов проверяют путем встречной сверки записей по регистрам бухгалтерского учета по счетам 66 "Расчеты по краткосрочным кредитам и займам", 67 "Расчеты по долгосрочным кредитам и займам", 51 "Расчетный счет", 55 "Специальные счета в банках", а также сверки выписок и приложенных к ним документов. Особое внимание аудитор должен уделить проверке полноты оприходования наличных денежных средств, сдаваемых в кассу банка (кредитной организации). Для этого проводят встречную проверку записей с данными учетного регистра по кредиту счета 50 "Касса". Перечисление денежных средств с расчетного счета в погашение задолженности поставщикам следует анализировать в разделе аудита расчетных операций по счету 60 "Расчеты с поставщиками и подрядчиками", чтобы установить, насколько реально и обоснованно они использованы. В ЗАО "Кубанская Лоза" при проведении данных аудиторских процедур нарушений не было выявлено.

Детальной проверке должны быть подвергнуты операции по счету 51 "Расчетный счет" в сопоставлении со счетами учета затрат (20 "Основное производство", 26 "Общехозяйственные расходы" , 25 "Общепроизводственные расходы" и др.), так как в данном случае может быть сокрыто перечисление средств за невыполненные работы, не оказанные услуги.

Пересекающейся процедурой проверки операций по расчетному счету является проверка списания денежных средств со счета и полноты оприходования наличных денег в кассу. Аудитор должен проверить:

приложена ли к выписке банка по операции снятия наличных денег квитанция к приходному кассовому ордеру;

тождественность записей в регистрах синтетического учета по кредиту счета 51 "Расчетные счета" и дебету счета 50 "Касса". Выявленные в ходе проверки операций по расчетному счету нарушения аудитор фиксирует в рабочей документации и отражает в справке (отчете) по результатам данного раздела аудиторской проверки.

3.4 Проверка раскрытия информации о наличии и движении денежных средств в бухгалтерской (финансовой) отчетности

Отчет о движении денежных средств - это динамический отчет, который методами балансовых обобщений определенных хозяйственных операций отчетного периода объясняет в существенных аспектах поступление и выбытие реальных финансовых средств. В сравнении с балансом и отчетом о финансовых результатах он ориентирован на раскрытие для внешних пользователей бухгалтерской отчетности дополнительных сведений о финансовом положении организации, которые не могут быть прямо или косвенно получены из каких-либо других составных частей отчетности.

Информация о движении денежных средств должна иметь статус самостоятельной отчетной формы, а не приложения к бухгалтерскому балансу по соответствующей статье.

Аудитор проверяет увязку показателей остатков денежных средств на начало и конец отчетного года по отчету о движении денежных средств с показателями бухгалтерского баланса.

Проверка формирования показателей проводится с использованием данных регистров синтетического и аналитического учета по счетам учета денежных средств, а также приложенных первичных документов, отражающих содержание операции. Аудитор также использует процедуру арифметических подсчетов для подтверждения данных отчетных форм.

Цель составления отчета

Пользователи финансовой отчетности предполагают получить ограниченные по объему, но полезные, информационно насыщенные данные о состоянии и движении денежного капитала организации, которые в сочетании с показателями других форм отчетности:

·   отражают масштабы денежного оборота организации (откуда поступили денежные средства; каков характер их происхождения; на что они были направлены при их расходовании);

·   раскрывают обстоятельства того, как исполнены обязательства организации перед собственниками, деловыми партнерами, государством и персоналом. Погашение обязательств позволяет оценить текущую ликвидность и долгосрочную платежеспособность организации;

·   показывают способность организации к генерированию денежных средств в результате совершения хозяйственных операций и тем самым представляют уровень кредитоспособности организации, возможности реализации проектов по расширению масштабов деятельности организации (путем инвестиционного проектирования, бюджетирования капитала, контроля кассовых смет). Сведения о денежном обороте помогают оценить способность организации и в будущем обеспечить превышение притока денежных средств над их оттоком;

·   позволяют установить причины и размеры расхождений между приростом денежных средств и чистой прибылью организации; обеспечить ясную связь между доходами, расходами, запасами, задолженностью, поступлением и расходованием денежных средств. Это поможет оценить условия привлечения денежного капитала, размеры иммобилизации денежных средств, а также рассмотреть последствия недоходообразующих внутренних денежных оборотов организации;

·   позволяют контролировать процесс обслуживания долговых обязательств и создания необходимых резервов по погашению основной суммы долга (образование погасительных фондов, фондов для выкупа и т.п.).

В условиях рынка контролю за своевременностью и полнотой исполнения платежных обязательств организации по обязательным платежам и денежным обязательствам придается особое значение. Несоблюдение последних неизбежно приводит организацию к банкротству.

.5 Обобщение результатов аудиторской проверки

По результатам проверки аудитор оформляет отчет, который содержит данные об объеме проверки, все выявленные нарушения и рекомендации для их исправления.

Отчет может быть в виде тестов или текста с приложением рабочих листов в виде таблиц, приведенных выше.

Отчет должен выражать мнение аудитора о достоверности данных по строке баланса "Денежные средства в кассе", строке баланса "Денежные средства на расчетных счетах", строке баланса "Денежные средства на валютных счетах", строке баланса "Прочие денежные средства" бухгалтерского баланса.

Таблица 9 - Обобщение результатов аудиторской проверки ЗАО "Кубанская Лоза", 2013г.

Содержание нарушений

Существенность нарушений, руб.

Какие нормативные акты нарушены

Исправительные записи

Д26К50 -некорректная бухгалтерская запись .Выдача в подотчет. Основание : "На ремонт оборудования"

35000

Указание ЦБРФ от 11.03.2014 г №3210- У "О порядке ведения кассовых операций юридическими лицами и упрощённом порядке ведения кассовых операций индивидуальными предпринимателями и субъектами малого предпринимательства" ;ПБУ 10/99;

Д26К50 -запись методом Красное сторно. Д71К50 -исправительная запись

В некоторых РКО и ПКО нет подписей главного бухгалтера

Х

Указание ЦБРФ от 11.03.2014 г №3210- У "О порядке ведения кассовых операций …" ;ФЗ №402 "О бухгалтерском учете"

Исправление приходных и расходных кассовых документов

Несвоевременное оприходование наличности .Фактическое поступление наличных денежных средств 30.11.2014 , оприходование данной суммы 02.12.2014г.

5000

Указание ЦБРФ от 11.03.2014 г №3210- У "О порядке ведения кассовых операций …"

Своевременное оприходование денежных средств.

Редко проводится инвентаризация кассы

Х

Указание ЦБРФ от 11.03.2014 г №3210- У "О порядке ведения кассовых операций …"

Проводить инвентаризацию кассы рекомендуется не реже чем 1 раз в месяц.

Руководитель организации позволяет пользоваться своей электронной подписью главному бухгалтеру

Х

Договор с банком , подтверждающий право удалённого доступа , право на электронную цифровую подпись .

Х


Для совершенствования контроля за сохранностью и использованием денежных средств ЗАО "Кубанская Лоза" можно ввести в организации программу внутрихозяйственного контроля. Данная программа позволит усилить контрольные функции всех должностных и материально-ответственных лиц, которые обязаны отвечать за сохранность и целевое использование денежных средств.

Цели внутреннего контроля денежных поступлений состоят в обеспечении:

·   приема в полном объеме всех поступлений независимо от их источника;

·   правильной классификации всех поступлений и отражения их в учетных регистрах;

·   своевременной сдачи в банк всех денежных поступлений для занесения их на расчетный счет;

·   недопущения убытков, которые могут возникнуть как в результате злоупотребления, так и непреднамеренно.

Так же для ЗАО "Кубанская Лоза" целесообразным будет предложение своевременного и правильного документирования операций по движению денежных средств и расчетов, контроль за сохранностью денежных средств и ценных бумаг в кассе организации; использование денежных средств по их целевому назначению; своевременность расчетов с поставщиками, покупателями (заказчиками), бюджетом, банками, органами социального страхования, рабочими и служащими и др.;

Заключение

Аудит не подменяет государственного контроля достоверности финансовой (бухгалтерской) отчетности, осуществляемого в соответствии с законодательством Российской Федерации уполномоченными органами государственной власти.

Систематизация результатов проверки состоит в приведении в определенную последовательность всех полученных результатов. По возможности выделяют наиболее существенные замечания: неверные записи на счетах, нарушение налогового законодательства, отсутствие записей на счетах и др.

Для проверки правильности документального оформления кассовых операций используется определенный перечень вопросов, который может быть рабочим документом аудитора.

На этапе предварительного планирования аудитор должен оценить возможность проведения аудита. Оценкой такой возможности следует считать проверку адекватности учетных записей. Аудитор должен проверить степень соответствия бухгалтерских записей действующим нормативам. Необходимо оценить, насколько учетные записи соответствуют виду деятельности клиента, совершенным клиентом операциям.

При проверке кассовых операций особое внимание уделяется выяснению полноты, своевременности и правильности оприходования денежной наличности в результате поступлений из банка, возврата подотчетных сумм, выручки, взносов арендной платы и других операционных и внереализационных доходов. А также особое внимание уделяется проверке правильности применения ККМ.

Документирование кассовых операций является неотъемлемой составной частью общей системы документооборота любого юридического лица независимо от его организационно-правовой формы.

Выявленные замечания, вопросы, которые с точки зрения аудитора, проверяющего операции учета денежных средств в кассе, подлежат дальнейшему анализу и обработке другими аудиторами, формируются в виде служебных записок по установленной форме.

В отчетных документах приводятся выводы и рекомендации по выявленным нарушениям и замечаниям, с обязательным указанием ссылки на нормативный документ, согласно действующему законодательству.

На заключительном этапе аудитор делает своё заключение о финансовом состоянии организации, в котором детально рассмотрены все ошибки в ведении бухгалтерской (финансовой отчётности), а также соответствие бухгалтерских документов правилам и стандартам, установленным в законодательных и нормативных актах.

Список использованной литературы

1.  Алборов Р.А., Аудит в организациях промышленности, торговли и АПК. Учебное пособие - М: "Дело и Сервис", 2012;

2.      Бабаев Ю.А. Бухгалтерский учет денежных средств. М. - Проспект, 2011

.        Беликова Т.А. Бухгалтерский учет и отчетность от нуля до баланса. С.-П. -Питер, 2011

.        Барсукова И.В., Аудит кассовых операций // Аудиторские ведомости, №7, июль, 2013г.;

.        Гражданский кодекс Российской Федерации (части первая, вторая и третья)2013 г;

.        Иванова Н.Г., Аудиторская проверка кассовых операций // Бухгалтерский учет, №2, январь, 2013г.;

.        Инструкция по применению Плана счетов бухгалтерского учета финансово-хозяйственной деятельности организаций (утв. приказом Минфина РФ от 31 октября 2000 г. № 94н);

.        Кодекс Российской Федерации об административных правонарушениях от 30 декабря 2013 г.;

.        Кондраков Н.П., Бухгалтерский учет. Учебное пособие. - М: ИНФРА-М, 2012;

.        Костюк Г.И., Аудиторская проверка счетов организации в банках // Бухгалтерский учет, №19, октябрь, 2012г.;

.        Костюк Г.И., Учет денежных средств // Бухгалтерский учет, №6, март, 2012 г.;

.        Климова М.А. Теория бухгалтерского учета: Учебное пособие. М. - РИОР,2012

.        Коновалова Н.Г., Сухарева Е.М. Автоматизированное место бухгалтера. - М.:Феникс, 2012

.        Кочинев Ю.Ю. Аудит: теория и практика. - С.-П.: Питер, 2011

.        Ларионов А.Д. Практикум по аудиту. Учебное пособие. С.-П.- Питер,2012;

.        Налоговый кодекс Российской Федерации

.        "О бухгалтерском учете": Федеральный закон от 01 января 2013г. № 402-ФЗ;

.        "Об аудиторской деятельности": Федеральный закон от 30 декабря 2008 г. № 307-ФЗ;

.        Правило (стандарт) № 1 Цель и основные принципы аудита финансовой (бухгалтерской) отчетности;

.        Правило (стандарт) № 2 "Документирование аудита";

.        Правило (стандарт) № 3 "Планирование аудита";

.        Правило (стандарт) № 4 "Существенность в аудите";

.        Правило (стандарт) № 5 "Аудиторские доказательства";

.        Правило (стандарт) № 6 "Аудиторское заключение по финансовой бухгалтерской) отчетности";

.        Правило (стандарт) № 7 "Внутренний контроль качества аудита";

.        Правило (стандарт) № 8 "Оценка аудиторских рисков и внутренний контроль, осуществляемый аудируемым лицом";

.        Правило (стандарт) № 10 "События после отчетной даты";

.        Правило (стандарт) № 12 "Согласование условий проведения аудита";

.        Правило (стандарт) № 15 "Понимание деятельности аудируемого лица";

.        Правило (стандарт) № 22 "Сообщение информации, полученной по результатам аудита, руководству аудируемого лица и представителям его собственника";

.        Положение по бухгалтерскому учету "Учетная политика организации" ПБУ 1/2008 (утв. приказом Минфина РФ от 6 октября 2008 г. № 106н);

.        Положение по бухгалтерскому учету "Бухгалтерская отчетность организации" ПБУ 4/99

.        Приказ Минфина РФ от 31 октября 2000 г. № 94н "Об утверждении Плана счетов бухгалтерского учета финансово-хозяйственной деятельности организаций и инструкции по его применению" (с изменениями от 7 мая 2003 г.)

.        Сотникова Л.В. Аудиторская проверка кассовых операций: Практическое пособие. М.- ЮНИТИ, 2013;

.        Указание ЦБРФ от 11.03.2014 г №3210- У "О порядке ведения кассовых операций юридическими лицами и упрощённом порядке ведения кассовых операций индивидуальными предпринимателями и субъектами малого предпринимательства"

Похожие работы на - Аудит денежных средств и их использования в ЗАО 'Кубанская Лоза' Темрюкского района

 

Не нашли материал для своей работы?
Поможем написать уникальную работу
Без плагиата!
Без нейросетей!