Брассиностероиды, их структура, способы получение и биологическая активность

  • Вид работы:
    Курсовая работа (т)
  • Предмет:
    Биология
  • Язык:
    Русский
    ,
    Формат файла:
    MS Word
    920,84 Кб
  • Опубликовано:
    2014-06-27
Вы можете узнать стоимость помощи в написании студенческой работы.
Помощь в написании работы, которую точно примут!

Брассиностероиды, их структура, способы получение и биологическая активность

Министерство образования Республики Беларусь

Учреждение образования

Международный государственный экологический университет им А.Д. Сахарова

Факультет экологической медицины







Курсовая работа

Брассиностероиды, их структура, способы получение и биологическая активность

Студентки 3-го курса

Русакович Анны Сергеевны

Научный руководитель

Доцент А.Н. Пырко





Минск 2014

Реферат

Объектом исследования являются брассиностероиды.

Цель работы - ознакомиться с брассиностероидами - классом стероидных гормонов растений, изучить их распространение в природе, выявить функции, которые они выполняют. Ознакомиться со способами их синтеза и биологическими свойствами. Узнать назначение в науке и народном хозяйстве.

Abstract

The object of investigationis brassinosteroids.of this review is to get acquainted with the class of steroid hormones, brassinosteroids, study their natural distribution, and reveal the functions they perform. To get acquainted with the methods of their synthesis and biological properties. Discover the purpose of science and the economy.

Рэферат

Аб'ектам даследавання з'яўляюцца брассiнастероиды.

Мэта працы - азнаёміцца з класам стэроідных гармонаў брассiнaстероидаў, вывучыць іх распаўсюджванне ў прыродзе, выявіць функцыі, якія яны выконваюць. Азнаёміцца са спосабамі іх сінтэзу і біялагічнымі ўласцівасцямі. Даведацца прызначэнне ў навуцы і народнай гаспадарцы.

Принятые сокращения

БС - брассиностероиды

Введение

Термин “брассинолид”, давший название всему классу фитогормонов, происходит от латинского наименования рапса - Brassica napus L. Первый представитель группы брассиностероидов - брассинолид - был выделен американскими учеными в 1979 году в виде кристаллического вещества в количестве 4 мг из 40 кг собранной пчёлами пыльцы рапса.

Брассиностероиды - стрессовые адаптогены, обладающие сильной фиторостостимулирующей активностью. Адаптогены - фармакологическая группа <#"786098.files/image001.gif">

брассион, R1=R2=H(I)

кастастерон, R1= Me, R2= Н (II)

Схема 2

норбрассинолид, R1 = R2 = Н (VII)

брассинолид, R1 = Me, R2 = Н (VIII)

эпибрассинолид, R1 = Н, R2 = Me (IX)

гомобрассинолид, R1 = Et, R2 = Н (X)

долихолид, R1R2 = СН2 (XI)

гомодолихостерон, RXR2 = СНМе (XII)

Вслед за открытием брассинолида 1 из различных растительных источников был выделен ряд других представителей брассиностероидов, отличающихся друг о друга структурой и уровнем биологической активности. Особенностью химического строения БС является наличие 2б, Зб- и 22R, 23R-диольных группировок, транс-сочленения циклов А и В, а также 6-кетогруппы (соединения (I)-(VI)) или лактонной функции в цикле В (соединения (VII)-(XII)). Ряд соединений не содержит некоторых из перечисленных выше группировок, являясь, вероятно, биосинтетическими предшественниками соответствующих БС с полным набором функций. Выделены также соединения с дополнительной метальной группой при С(25).

Структурные формулы известных к настоящему времени брассиностероидов обнаруживают, что молекулы гормонов могут различаться: а) по типу функциализации цикла В: лактоны, кетоны, В-нефункциализированные производные; б) по числу атомов углерода, относясь к 27С-, 28С - или 29С-ряду; в) по характеру замещений в цикле А-2б, 3б-диоксипроизводные, их эпимеры и 2-дезоксипроизводные.

Для большинства брассиностероидов характерен тот же набор заместителей в стероидном скелете и боковой цепи, что и у брассинолида 1. Лактоны и 6-кетопроизводные образуют две большие подгруппы, в то время как 6-дезоксобрассиностероиды представлены лишь тремя соединениями.

Как правило, структурными изменениями в наибольшей степени подвержены центры С-24, С-6-7, С-2, С-25, и несколько менее С-3. Изменения при С-24 и С-25 связаны со степенью ненасыщенности и числом углеродных атомов в молекуле брассиностероида. Подавляющему большинству брассиностероидов свойственно присутствие 2б, 3б-диольной группировки, однако в некоторых случаях оксигруппа при С-2 может отсутствовать (тифастерин 9, теастерон 10, 2-дизоксидолихостероны 24 и 25) или иметь в-конфигурацию (2-эпидолихостероны 21 и 22). В тоже время 3-ОН-группа, присутствуя во всех соединениях, может в отдельных случаях (теастерон 10, 3-эпикастероны 12 и 13, 3-эпидолихостероны 22 и 25) иметь в-конфигурацию.

Ряд брассиностероидов с R- и S-конфигурацией атомов углерода в положениях С-22 и С-23, структура которых приведена на схеме 3.

Схема 3


Соединения имеют одинаковую структуру всех четырех колец стероидного скелета, но отличались строением и конфигурацией боковой цепи. Гомобрассинолид и его аналог принадлежат к(24S)-ряду и содержат этильную группу при С-24, тогда как 24-эпибрассинолид и его аналог являются (24R)-стероидами и содержат в данном положении метильную группу.

Отличительной структурной особенностью природных брассиностероидов гомобрассинолида и 24-эпибрассинолида является RR-конфигурация С-22 и С-23 атомов углерода, несущих гидроксильные группы, тогда как соответствующие неприродные аналоги и принадлежат к (22S,23S)-ряду (Схемы 4,5).

Схема 4. Химическая структура С-28 брассиностероидов


Схема 5. Химическая структура С-27 брассиностероидов

Глава 2 Биологическая активность брассиностероидов

 

.1 Общие сведения о биологической активности брассиностероидов


Брассиностероиды - фитогормоны класса стероидов, поддерживающие нормальное функционирование иммунной системы растения, особенно в неблагоприятных условиях, например, при пониженных температурах, заморозках, затоплении, засухе, болезнях, действии пестицидов, засолении почвы и др. Также брассиностероиды это стрессовые адаптогены, обладающие сильной ростостимулирующей активностью. Они содержатся в каждой растительной клетке в очень малом количестве. Концентрация ферментов биосинтеза брассиностероидов наиболее высока в молодых тканях растения: этиолированных проростках, меристемах, флоральных примордиях, развивающейся пыльце.

Выяснение механизма действия брассиностероидов находится на начальном этапе и требует дальнейших обстоятельных исследований для его понимания. Регуляторная роль брассиностероидов проявляется в растениях в стимуляции процессов роста, интенсивности фотосинтеза, изменении белкового метаболизма, поступления ионов и многих других сторон обмена веществ. Открытие у брассиностероидов антистрессовых свойств к абиотическим факторам (высоким и низким температурам, засухе, засолению и др.) служит основанием для расширения сфер их применения. Обнаружение способности брассиностероидов повышать прочность стебля зерновых культур может быть использовано для разработки способа повышения устойчивости к полеганию.

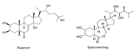
Еще в 1930 - 1940 гг. была высказана догадка о том, что у растений есть стероидные регуляторы роста (по аналогии с животными). В многочисленных биотестах растения подвергали обработке тестостероном или эстрогеном, которые оказывали физиологическое действие. Так, эстрогены вызывали деление клеток в зародышах гороха, а тестостерон изменял пол у шпината (с женского на мужской) и стимулировал дифференцировку архегониев на заростках хвоща. Однако животные гормоны приходилось использовать в слишком высоких концентрациях (до 0,1 %), и вряд ли их действие было специфичным. Обращает на себя внимание структурное сходство брассиностероидов с открытыми в середине 60-х годов стероидными гормонами насекомых - экдизонами или экдистероидами, которые весьма широко распространены в растениях. Наряду со структурной и, вероятно, биогенетической близостью указанных групп природных полиоксистероидов существует определенная взаимосвязь их биологического действия. В частности, имеется ряд данных, свидетельствующих о том, что брассиностероиды и их аналоги могут успешно конкурировать с экдистероидами за связывание с экдизоновыми рецепторами, выступая в роли антиэкдизонов. Сходное строение экдизонов и брассиностероидов представлено на схеме 6.

Схема 6


Гормоны играют ведущую роль в адаптации растений к условиям среды. Известны следующие пять групп фитогормонов: ауксины, гиббереллины, цитокинины, абсцизовая кислота, газ этилен. В последнее время к ним относят брассины (брассиностероиды). Условно можно отнести первые три группы-ауксины, гиббереллины и цитокинины и частично брассины - к веществам стимулирующего характера, тогда как абсцизовую кислоту и этилен - к ингибиторам.

Сопоставляя действие брассиностероидов и ауксинов оказалось, что при сходном ростостимулирующем действии эффективность брассинолида усиливалась в присутствии ауксина. Однако брассинолид в отличие от ауксина не подавляет пробуждения пазушных почек, а подавляет образование придаточных корней.

Ряд симптомов действия брассинолида на растения сходен с реакциями на этилен. К ним относятся набухание и искривление междоузлий.

Способность брассинолида резко стимулировать рост в длину не только отрезков, но и интактных растений наводит на мысль о его сходстве сгибереллинами. При совместном применении действии было аддитивным. При этом в присутствии брассинолида рост не подавлялся ретардантами. В то же время брассинолид не задерживал, а даже ускорял старение листьев.

Предполагают, что брассиностероиды повышают устойчивость растений к низким и высоким температурам, дефициту влаги в почве и воздухе.

 

.2 Взаимосвязь строения и активности


Первая попытка качественно охарактеризовать влияние особенностей структуры стероида на уровень его ростостимулирующей активности была предпринята американскими учеными сразу после осуществления синтеза брассинолида и достаточно широкого набора его структурных аналогов, отдельные из которых в то время рассматривались как чисто синтетические вещества, но позднее были обнаружены в природных источниках (эпибрассинолид, гомобрассинолид, норбрассинолид и др.). Были получены соединения 6-кето- и В-гомо-7-окса-6-кето-рядов, различающихся строением боковой цепи. Активность сравнивалась при помощи теста на втором междоузлии фасоли. В тесте на втором междоузлии фасоли БС, не содержащие гидроксильных групп в боковой цепи, оказались малоактивными. Также невысокую активность проявили БС без 24-алкильного заместителя. Среди соединений, содержащих этот элемент структуры, меньшую активность показали 24-этилбрассиностероиды. Брассинолид и эпибрассинолид проявили максимальную активность в этом тесте, причем наиболее ярко при дозах 0,01 и 0,1 мкг.

Сходные закономерности были найдены и при изучении соотношения структура - активность в рядах В-кетонов и В-лактонов, имеющих различные боковые цепи, с помощью теста на листовой пластинке риса.

Вместе с тем обращают на себя внимание особенности проявления ростостимулирующей активности в двух описанных тест-системах. Так, если в первой из них активности брассинолида, гомобрассинолида и эпибрассинолида в целом сопоставимы, причем на место в группе лидеров претендует еще и 22S, 23S,24R-брассинолид, то во второй лишь гомобрассинолид равен брассинолиду, а другие приближающиеся к нему по активности члены ряда уступают ему в 2-10 раз. Примечательно, что в опыте на втором междоузлии фасоли среди 6-кетонов исключительно высокой активностью характеризуется кастастерон во всем диапазоне изученных концентраций.

 

.3 Физиолого-биохимическое действие БС


Изучение физиологического действия БС на растениях было начато еще до установления структуры первого представителя этой группы фитогормонов - брассинолида. При этом первые данные были получены при изучении брассинового комплекса. Наносимы в дозе 10 нг на растение, он вызывал значительное удлинение вторых и третьих междоузлий фасоли. Позднее было показано, что подобные эффекты, связанные с ростовой реакцией клеток и накоплением биомассы, являются типичными для БС и обнаруживают при их действии на различные растения. Следует подчеркнуть, что проявление стимулирующего эффекта возможно лишь при определенных значениях концентрации, различающихся в зависимости от вида растений и структуры БС, а также при проведении обработки в соответствующей фазе развития.

Попытки объяснить механизм возникновения ростовых реакций, связанных с действием БС, до настоящего времени остался безуспешным. Вместе с тем, в ходе исследований получен большой объем данных, свидетельствующих о наличии сложных взаимодействий между БС и другими гормонами в растении, влиянии на клеточные процессы, свойства мембран и активность ферментов. Очевидно, что непременным условием растяжения и деления клеток является активный синтез белка и нуклеиновых кислот. Действительно, изучение характера белково-нуклеинового обмена в растениях фасоли, обработанных брассинолидом, показало, что у них отмечается повышенная активность ДНК- и РНК-полимераз, усиливается синтез ДНК и РНК. Данные также свидетельствуют о существенной активации синтетических процессов в клетке и снижения интенсивности катаболических процессов. Обнаружено существенное влияние БС на аминокислотный состав и биологическую ценность белка семян, улучшена питательная ценность белка. Весьма важным также является увеличение содержания глутаминовой кислоты и пролина, связанных путями биосинтеза и играющих важную роль в реакции растений на стрессовые факторы. По-видимому, существенным также является избирательность действия БС на отдельные звенья метаболической цепи (активирование определенных ферментов и синтеза специфических белков), зависящая от условий роста. Результаты исследований последнего времени позволяют предположить, что эта особенность имеет фундаментальное значение для реализации механизма адаптации растений к условиям внешней среды, повышения устойчивости к неблагоприятным факторам (Схема 7).

Схема 7


Значительный интерес в этом плане представляют данные, свидетельствующие об активизации синтеза белка в листьях пшеницы под действием БС и изменении состава синтезируемых полипептидов в условиях нормальной и повышенной температуры. Последняя была выбрана в качестве стрессового фактора, вызывающего синтез в растениях так называемых белков теплового шока, которые, по-видимому, существенны для защитных реакций клетки. Примечательно, что в условиях, как низкой, так и высокой температуры заметно усиливался общий синтез белка с изменением состава, в котором отмечено увеличение содержания как высоко -, так и низкомолекулярных белков, в том числе и фракции, молекулярная масса которой отвечала белкам теплового шока. В условиях повышенной температуры при этом происходит сдвиг на несколько градусов в высокую область пороговой температуры, при которой начинается резкое подавление процесса синтеза белка. Эти результаты свидетельствуют о повышении термоустойчивости белкового синтеза под действием БС, сопровождаемом повышенной термоустойчивости мембран и белкосинтезирующей системы клеток растения.

Брассиностероиды действуют на проростки, усиливая растяжение. Причем, если для ауксинов характерно быстрое растяжение, при котором активация Н+-помпы наблюдается через 10 мин с максимумом растяжения через 30-45 мин после воздействия, то для брассиностероидов типична более замедленная реакция, которая начинается через 30 мин после воздействия и продолжается в течение 1.5-2 часов. Если добавлять брассиностероиды совместно с ауксинами, то они вызывают гораздо больший эффект, чем при действии только ауксинов или только брассиностероидов.

На молекулярном уровне эффект растяжения по-видимому обусловлен активацией генов ксилоглюкан-эндотрансгликозилаз (КсЭТ). Активация таких генов показана в разных растительных объектах. Это ген TCH 4арабидопсис, ген BRU 1 сои и др. Белки КсЭТ после биосинтеза направляются в клеточную стенку, и при взаимодействии с ксилоглюканами размягчают матрикс клеточной стенки. Таким образом, если ауксины запускают процесс растяжения, то брассиностероиды важны для его длительного поддержания.

Связанные с этим явлением эффекты - частичная и полная мужская стерильность при недостаточности брассиностероидов. У многих растений, мутантных по генам биосинтеза брассиностероидов, тычиночные нити не достигают нужной длины, достаточной для самоопыления. Но даже в том случае, когда пыльцевые зерна попадают на поверхность рыльца, рост пыльцевой трубки существенно замедлен.

биологический углеродный скелет синтез

Глава 3 Синтез брассиностероидов

В качестве исходных соединений наиболее приемлемыми являются доступные природные стерины, содержащие в боковой цепи ∆22-связь, такие, как стигмастерин и эргостерин. Доступные, но не содержащие такой связи холестерин и в-ситстерин позволяют получить лишь аналоги БС с нефункцианализированной боковой цепью, обладающие, как правило, сравнительно низкой активностью. Весьма привлекательно использование 22-дегидрокампестерина и брассикастерина, ставших в последнее время коммерчески доступными благодаря разработке эффективных методов их выделения.

В зависимости от применяемых исходных соединений целевых продуктов все синтетические схемы могут быть разделены на две большие группы: а) синтезы с сохранением нативного углеродного скелета исходной молекулы; б) синтезы с образованием новых углерод-углеродных связей в боковой цепи. Очевидно, что синтезы, относящиеся к первой группе. Более просты и экономичны, поскольку не требуют изменения углеродного скелета. Вместе с тем возможности применения данного подхода ограничиваются доступностью стеринов, имеющих требуемый углеродный скелет и функциональность и позволяющих осуществить построение всех структурных элементов целевого соединения. Так, сравнительная доступность эргостерина и стигмастерина обуславливает исключительное использование метода непосредственной функционализации исходных молекул без разрыва и образования новых С-С связей в синтезах эпибрассинолида 3 и гомобрассинолида 16 соответственно. В то же время пока основным методом синтеза брассинолида 1, из-за ограниченной доступности обладающего соответствующим углеродным скелетом 22-дегидрокампестерина 34, является превращение стигмастерина в альдегид путем расщепления связи С23-С28 и последующего введения фрагмента С23-С28. Другие варианты построения боковой цепи брассинолида в зависимости от исходных соединений включают введение фрагментов С22-С28 или С24-С28.

Все описанные к настоящему времени синтезы БС представляют собой частичные синтезы с использованием в качестве сырья природных стеринов. Задача химиков сводится к введению тех или иных функциональных групп в уже сформированные тетрациклический углеродный скелет, в ряде случаев также необходимы стадии построения боковой цепи. Полный синтез соединений, содержащих 10-13 хиральных центров, в отличие от более простых стероидов даже в случае успешного осуществления будет иметь только научное значение. Альтернативой химическому синтезу БС в будущем может стать микробиологический синтез, с успехом используемый для получения ряда природных соединений, в том числе стероидов.

Данные о синтезе важнейших БС приведены в таблице 1.

Таблица 1. Синтезы важнейших природных БС

Брассиностероид

Год

Авторы

Страна

Брассинолид 1

1980 1980 1981 1981

S. Fung, J.B. SiddalM. Ishiguro S. Takatsuto M.J. Thompson, N.B. Mandava K. Mori, M. Sakakibara

США  Япония США Япония

Кастастерон 5

1982

M. Anastsia, P.Cuiffreda

Италия

Брассинолид 1

1982 1985

K. Mori, M. Sakakibara, M. Aburatani, T. Takeuchi

Япония

 

3.2 Формирование функций характерных для циклической части брассиностероидов


Как уже отмечалось, основными исходными соединениями, используемыми для синтеза БС, являются стерины, а также производные желчных кислот. В большинстве этих соединений имеются Зв-ОН-группы и Д5-связь или 5,7-диеновая система. Наличие указанных элементов структуры ограничивает число формально возможных методов формирования функциональности БС и определяет набор соответствующих трансформаций исходного соединения.

Обычно используемые методы создания 2б,Зб-диокси-6-кетофункцио-нальности известны из классической химии стероидов, которые были позднее развиты и усовершенствованы в ходе работ по синтезу экдизонов. Они включают, как правило, последовательное введение 6-кетогруппы, Д2-связи и ее гидроксилирование (Схема 8).

Схема 8


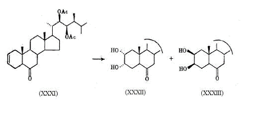
Представляют интерес методы формирования 2,3-диоксифункциональности в цикле А без использования дорогостоящей и токсичной четырехокиси осмия.

Один из них, основан нагидроксилировании по ВудвардуД2>4-6-кетонов (XXXIV).

При этом в отличие от соответствующих Д2-6-кетонов происходит образование 2б,Зб-диоксипроизводных, а не их 2в,Зв-эпимеров.

Схема 9


Стандартным методом введения лактонной функции в цикл В является окисление 6-кетонов (XLI) по Байеру-Виллигеру трифторнадуксусной кислотой (Схема 10). Поскольку соотношение образующихся изомеров (XLII) и (XLIII) существенно зависит от природы и стереохимии заместителей в цикле А и является наилучшим в случае 2а,За- дизамещенных производных, окисление проводят, как правило, на заключительном этапе синтеза, что связано также с относительной лабильностью лактонного цикла. Хотя доля необходимых лактонов (XLII) максимальна для 2б,Зб-диолов, в окислении обычно используют защищенные производные (ацетаты или ацетониды), благодаря чему достигается более высокий выход продуктов и облегчается разделение региоизомеров. Вместе с тем, согласно патентным данным, хорошие результаты могут быть достигнуты также при окислении незащищенных 2б,Зб,22R,23R-тетраолов трифторнадуксусной кислотой в присутствии трифторацетата натрия.

Описано применение мета-хлорнадбензойной кислоты как реагента для получения лактонов по Байеру-Виллигеру.

Схема 10

 

.3 Построение боковых цепей брассиностероидов


Построение боковых цепей БС представляет собой достаточно сложную задачу, для решения которой наряду с применением известных общих принципов потребовалась разработка оригинальных методических подходов. Как отмечалось, в зависимости от целевых несходных соединений построение цепи может осуществляться без изменения или с изменением углеродного скелета исходной молекулы. В последнем случае ключевая стадия введения цепи обычно представляет собой реакцию нуклеофильного присоединения подходящего карбаниона к С(22), С(23) или С(24) карбонильным производным стероидов. Немногочисленные пока примеры использования других реакций для образования С-С-связи могут также быть классифицированы по данному признаку, т. е. номеру атома, образующего новую связь.

 

.3.1 Синтезы с сохранением углеродного скелета

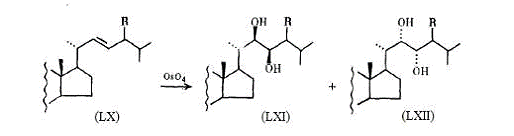
При наличии боковой цепи со сформированным углеродным скелетом задача получения БС сводится к построению 22,23-диольной группировки. Простейший метод ее введения заключается в гидроксилировании Д22-связи четырехокисью осмия (Схема 11).

Схема 11


Реакция во всех случаях приводит к образованию обоих возможных диолов (LXI) и (LXII), соотношение которых зависит от размера и конфигурации заместителя R при С-24. Хотя соотношение изомеров, как правило, оказывается неблагоприятным для синтеза природных БС, этот путь неоднократно использовался для их получения, в особенности, в ранний период исследований. Вместе с тем, метод находит широкое применение в синтезе 22S, 235-аналогов природных брассиностероидов, а также использован в предложенном недавно процессе выделения 22,23-диоксициклостигмастанонов - интермедиатов БС из смеси фитостеринов сахарного тростника.

Метод превращения боковой цепи эргостерина в 23-ен-22б-оксипроизводное (LXXXVI) - ключевой интермедиат синтеза брассинолида (VIII), включает бромирование метилового эфира (LXXX), последующее превращение дибромида (LXXXI) в диен (LXXXII), обработку раствора диена в пиридине молекулярным кислородом и расщепление эпидиоксида (LXXXIII) гидрированием над катализатором Линдлара. Удаление ОН-группы при С-28 в спирте (LXXXIV) осуществляли превращением его в мезилат с последующим восстановлением (LXXXV) литийалюмогидридом (Схема 12).

Схема 12

 

.3.2 Построение боковой цепи с образованием новых углерод-углеродных связей

Путь, основанный на использовании 2-литийфурана (Схема 13). Образующийся в этом случае аддукт (С) окислен N-бромсукцинимидом в лактон (GI) в виде неразделимой смеси аномеров, которые были превращены в соответствующие этоксиэтиловые эфиры с преобладанием (СII). Последовательное проведение стадий сопряженного присоединения ли-тийметилкупрата к енону (СII), б-метилирования кетона (GIII), натрий-боргидридного восстановления карбонильной группы в диметиллактоне (CIV) и раскрытие цикла дало триол (CV). Защита вицинальной диольной группировки и удаление 27-оксифункции гидридным восстановлением соответствующего мезилата привели к сформированной боковой цепи брассинолида с суммарным выходом более 40% в расчете на (XXIII).

Схема 13


Глава 4 Нахождение брассиностероидов в природе


С момента открытия БС, были выделены от 58 видов растений, включая 49 покрытосеменных (12 однодольных и 37 двудольных), 6 голосеменных, 1 папоротник (Equisetumarvense), 1 мохообразное (Marchantiapolymorpha) и 1хлорофит (Hydrodictyonreticulatum). Таким образом, БС широко распространены в растительном мире, в том числе высших и низших растений.

БС были обнаружены во всех органах растений, таких как пыльца, пыльники, семена, листья, стебли, корни, цветы, и зерно. Другие интересные места нахождения это насекомые и корончатый галл (корневой рак, возбудитель-гриб Dendrophagus globosus). Для примера галлы из Castanea crenata, Distylium racemosum или Catharanthus roseus, где были найдены БС. Эти растения имеют более высокий уровень содержания брассиностероидов, чем нормальные ткани. Кроме того, в молодых растущих тканях содержится более высокие концентрации БС, чем в зрелых тканях. Как правило, пыльца и незрелые семена являются особенно богатым источником БС, в то время как концентрация в вегетативных тканях очень низка по сравнению с другими растительными гормонами.

В пыльце Cupressus arizonica концентрация 6-дезохотифастерона может быть о 6400 раз больше, чем брассинолида. Пыльца и незрелые семена являются богатейшим источником с диапазонах 1-100 нг на 1 г сырого веса, в то время как побеги и листья, как правило, имеют более низкие объемы 0,01 -0,1 нг на 1 г сырого веса. БС синтезируются эндогенно, в довольно низких концентрациях. По сравнению с пыльцой и семенами, другие части растений содержат БС в нанограммовых или субнанограммовых концентрациях БС на грамм сырого веса. Самая высокая концентрация БС, 6,4 мг 6-дезохотифастерона на 1кг пыльцы, был обнаружен в Cupressus arizonica.

Среди БС, кастастерон является наиболее широко распространенным (49 видов растений), затем брассинолид (33), тифастерон (24), 6-дезоксокастастерон (19), теастерон (18), и 28-норкастастерон (11).

На сегодняшний день, 34 вида других БС и 5 БС-соединений, были найдены в одного только вида растения. Среди всех естественных БС, кастастероны и брассинолиды наиболее важные БС, из-за их широкого распространения, а также их мощной биологической активности.

Таблица 2. Пример распространенности и содержания брассиностероидов в растениях

Растение

Источник выделения

Брассиностероид

Содержание, %

Chlorophyta (зеленые водоросли)

Кл. Protoccophyceae Сем. Hydrodictuaceae Hydrodictionreticulatum

Целое растение

Гомокастастерон 18 Эпибрассинолид 3

4Ч10-7 3Ч10-8

Gymnospermae (голосеменные)

Кл. Pinopsida Pinusthunbergii Piceasitchensis

 Пыльца Побеги

Тифастерин9 Кастастерон Тифастерин

8,9Ч10-6 5Ч10-7 7Ч10-7

Angiospermae (покрытосеменные)

Кл. Dicotyleones Сем. Theaceae Theasinensis

Листья

Брассинолид 1  Кастастерон 5  Теастерон 10 Тифастерин 9 Брассинон 28 Гомокастастерон 18

4,6Ч10-10˂1,5Ч10-9 1,1Ч10-8˂1,5Ч10-9 6Ч10-9 1,5Ч10-9 2Ч10-10 4Ч10-11

Ответы на брассиностероиды были полностью подавлены у мутанта арабидопсиса bri 1 (brassinisteroidinsensitive). Анализ аминокислотной последовательности соответствующего белка показал большую гомологию с трансмембранными рецепторными киназами: в белковом продукте BRI 1 есть лигандный, трансмембранный и протеин-киназный домены. Однако до сих пор не показано, что брассиностероиды могут непосредственно связываться с этим белком, поэтому проблема рецептора брассиностеродидов пока еще не решена окончательно.

Интересно, что брассиностероиды регулируют процессы клеточной дифференцировки. У мутантов bri 1 нарушено формирование столбчатого мезофилла. Кроме того, уменьшено количество проводящих элементов ксилемы. Как и в случае растяжения, акусины запускают процесс дифференцировки ксилемных элементов. В этом процессе можно выделить три стадии: 1) первичная экспрессия генов, приводящая к накоплению фенилаланин-аммикалиазы (ФАЛ) и гидроскилазы коричной кислоты (ГКК); 2) остановка экспрессии этих генов и переориентация актиновых филаментов; 3) вторичный запуск синтеза ФАЛ и ГКК с дальнейшей сильной лигнификацией и программированной гибелью клеток. Оказалось, что переход от стадии 2 к стадии 3 невозможен без брассиностероидов. В Национальной академии наук Беларуси проводятся исследования по синтезу [5] и влиянию брассиностероидов на рост и развитие многих сельскохозяйственных растений [6,7].

Заключение

Полученные к настоящему времени экспериментальные данные свидетельствуют о больших возможностях применения брассиностероидов для повышения урожайности ряда сельскохозяйственных культур. Принимая во внимание малую токсичность и исключительно низкие нормы расхода БС, широкое распространение в растениях, а, следовательно, и привычное потребление с пищей высшими животными, они окажутся относительно безопасными в экологическом отношении. Немаловажное значение имеет также сравнительно низкая потребность в действующем веществе, обусловленная низкими нормами расхода, и связанные с ней малые объемы производства, транспортных перевозок и т.д., что дополнительно позволит снизить экологическую нагрузку на окружающую среду в случае замены брассиностероидами части традиционных средств защиты и повышения урожайности растений. В Институте биоорганической химии НАН Беларуси организовано производство фиторостостимулирующего препарата «Эпин», действующим веществом которого является 24-эпибрассинолид, синтезируемый из доступного эргостерина.

Литература

1.   Хрипач, В. А. Брассиностероиды / В. А. Хрипач, Ф. А. Лахвич,В. Н. Жабинский. - Минск : Навука і тэхніка, 1993. - 285 с

2.      ZulloM, A.T., Brassinosteroid phytohormones - structure, bioactivity and applications //Braz. J. Plant Physiol. vol.14 no.3 Londrina/. 2002. - P. 34-40

.        Bajguza, А. The chemical characteristic and distribution of brassinosteroids in plants/A. Bajguza //Biologya, University of Bialystok, Institute of Biology, Swierkowa 20 B, 15-950 Bialystok, Poland. - P. 1030-146

4.      Лахвич, Ф. А. Синтез брассиностероидов - нового класса гормонов растений / Ф. А. Лахвич, В. А. Хрипач, В. Н. Жабинский // Успехи химии. - 1991, Т. 60. - № 6. - С. 1283-1317.

5.      Khripach, V. A. Synthesis of fatty acyl derivatives of 24-epibrassinolide / V. A. Khripach, V. N. Zhabinskii, D. V. Tsavlovskii // The Journal of Steroid Biochemistry and Molecular Biology. - 2013. - Vol. 137. - P. 345 - 354.

6.      Канделинская, О. Л. Влияние эпибрассинолида на морфометрические и биохимические показатели роста корней ячменя и люпина под действием свинца / О. Л. Канделинская [и др.] // Агрохимия : Ежемес. научн. журнал. - 2011. - N 6. - С. 33-42.

.        Скатерная, Т. Д. Влияние 24-эпибрассинолида на биосинтез белка в проростках кукурузы при холодовом стрессе / Т. Д. Скатерная [и др. ] // Доклады Национальной академии наук Беларуси. - 2012. - Т. 56, N 2. - С. . 63-68.

Похожие работы на - Брассиностероиды, их структура, способы получение и биологическая активность

 

Не нашли материал для своей работы?
Поможем написать уникальную работу
Без плагиата!
Без нейросетей!