Модель многоопорной колебательной системы (транспортного механизма)
СОДЕРЖАНИЕ
Введение
. Постановка задачи
. Вывод системы формул для расчёта оптимизационной модели
автомобиля
.1 Расчётная схема многоопорной машины с указанием варьируемых
параметров
.2 Вывод обобщенных перемещений
.3 Составление выражений для удлинения и скорости удлинения
упругих элементов
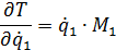
.4 Полная кинетическая энергия системы. Ее выражение и частные
производные
.5 Полная потенциальная энергия системы. Ее выражение и частные
производные
.6 Диссипативная функция. Ее выражение и частные производные
.7 Составление системы уравнений Лагранжа 2-го рода
.8 Сведение системы ОДУ 2-го порядка к системе ОДУ 1-го порядка в
канонической форме Коши
. Тестирование полученной модели
.1 Тест 1
.2 Тест 2
.3 Тест 3
.4 Тест 4
.5 Тест 5
. Оптимизация на основе параметров k3
.1 Разработка программы для решения системы ОДУ в канонической
форме Коши средствами MathCAD, на основе предложенного алгоритма
.2 Изучение встроенной процедуры оптимизации в MathCAD
.3 Подготовка модели в виде пригодном к использованию функцией
Minimize
.4 Выполнение оптимизационных вычислений
.5 Построение на одном графике ускорений верхней массы для
исходных и найденных оптимизированных параметров
. Реализация в пакете MATLAB
Заключение
Приложение (MathCAD&MATLABFile
ВВЕДЕНИЕ
Периодический характер работы
большинства машин предоставляет периодичность нагружения и деформирования, как
отдельных их звеньев, так и тех конструкций, которые служат опорами или
фундаментами; можно сказать, что упругие колебания сопутствуют работе каждой
машине.
В ряде случаев колебания возникают и
при отсутствии периодического возмущения. Таковы, например, сравнительно
простые процессы свободных колебаний, развивающихся после мгновенного нарушения
состояния равновесия механической системы, а также более сложные и, в то же время,
менее изученные процессы, например, автоколебания.
Трудно назвать такую область
техники, в которой не была бы актуальной проблема изучения упругих колебаний.
Большое внимание исследователей привлечено к вопросам колебаний конструкций
самых различных назначений: роторов турбин, валов двигателей внутреннего
сгорания, турбинных лопаток, воздушных и гребных винтов, автомобилей и
железнодорожных вагонов, кораблей, инженерных сооружений, перекрытий
промышленных зданий, деталей, обрабатываемых на металлорежущих станках,
вибротранспортеров и т.п. В ряде случаев колебания мешают нормальной
эксплуатации или даже непосредственно угрожают прочности, постепенно
подготавливая усталостное разрушение; в таких случаях теория может указать пути
для уменьшения вредных колебаний. Наряду с этим она позволяет обосновать и
оптимизировать технологические процессы, в которых колебания используются
целенаправленно (например, в вибротранспортной технике).
При большом разнообразии вопросов,
рассматриваемых в теории упругих колебаний, имеется глубокая внутренняя связь
между внешне различными задачами. Существование единых закономерностей является
принципиальной основой общей теории, которая позволяет рассматривать сразу
целые классы явлений, охватывающие множество отдельных частных задач. Можно
указать, по крайней мере, следующие четыре категории различных по своей природе
колебательных процессов:
свободные колебания, т.е. колебания,
совершаемые механической системой, лишенной притока энергии извне, если система
выведена из состояния равновесия и затем предоставлена самой себе;
вынужденные колебания, которые
возникают вследствие действия на механическую систему внешних переменных сил
(возмущающих сил);
параметрические колебания,
вызываемые периодическими изменениями параметров системы (например, ее
жесткости).
1. ПОСТАНОВКА ЗАДАЧИ
В курсовой работе необходимо:
разработать модель многоопорной
колебательной системы (транспортного механизма);
на основе полученной модели
произвести тестирование данного транспортного средства в зависимости от
различных внутренних и внешних параметров, действующих на систему;
эргономически обоснованно
реализовать выбор определенных параметров, влияющих на комфортабельность места
водителя.
В качестве инструментариев к
реализации поставленной задачи необходимо использовать следующие пакеты:;
MATLAB.
2. ВЫВОД СИСТЕМЫ ФОРМУЛ ДЛЯ РАСЧЁТА
ОПТИМИЗАЦИОННОЙ МОДЕЛИ АВТОМОБИЛЯ
.1 Расчётная схема многоопорной
машины с указанием варьируемых параметров
Кратко охарактеризуем
её. Машина представляет собой корпус М1, который получает кинематическое
воздействие от дороги
,
посредством
двух опор. Эти опоры состоят из параллельно соединённой пружины и демпфера (
)
и (
).
Сверху на корпусе М1 расположены массы М2, М3 и М4. Эти массы соединяется с
корпусом М1 при помощи трех опор: соединённых параллельно пружины и демпфера (
),
(
)
и (
).
Расстояние oт центра корпуса до опор (
) и (
)
равны l1 и l2 соответственно. Расстояние от центра корпуса до опор (
)
и (
)
равно l6+l3+l4 и l4 соответственно. Расстояние от центра корпуса до опор (
)
равно l5. Запишем исходные данные модели:
Параметры пружин,
демпферов; длины, моменты инерции, функции дороги


Для оптимизации было
выбрано линейное ускорение массы М2 при варьировании параметров
,
.
.2 Выбор обобщенных
перемещений
Целесообразно
рассматривать относительные перемещения
,
,
,
,
,
,
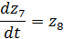
которые отсчитываются относительно земли:- вертикальное перемещение массы
корпуса относительно грунта;- угол поворота корпуса относительно горизонта;-
вертикальное перемещение массы М2 относительно грунта;- угол поворота массы М2
относительно горизонта;- вертикальное перемещение массы М3 относительно
грунта;- вертикальное перемещение массы М4 относительно грунта;
В дальнейшем будем
использовать в формулах для кинетической энергии относительные перемещение, а в
формулах для удлинения пружин - обобщённые. Этот подход усложнит формулу
кинетической энергии, однако упростит формулы для потенциальной энергии и
диссипативной функции.
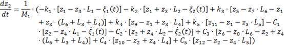
2.3 Составление
выражений для удлинения и скорости удлинения упругих элементов
Перед началом записи
выражений удлинения упругих элементов, определим следующие правило знаков: знак
“-” будет браться, если упругий элемент сжимается, знак “+“ будет браться, если
упругий элемент растягивается.
Запишем значение
удлинения для каждой из присутствующих в многоопорном механизме пружин:
,
где i соответствует номеру пружины:
Таким образом, выражения
для скоростей удлинения примут вид:
Записав абсолютные
перемещения и выражения для удлинения упругих элементов, а также выражения для
скоростей, имеем все данные для составления выражений кинетической,
потенциальной энергий и диссипативной функции.
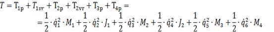
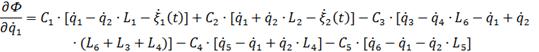
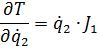
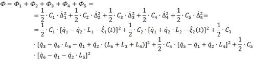
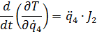
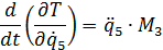
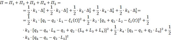
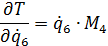
2.4 Полная кинетическая
энергия системы
Ее выражение и частные
производные
Полная кинетическая
энергия системы:

Они понадобятся нам для
составления уравнения Лагранжа 2-го рода.
.5 Полная потенциальная
энергия системы
Ее выражение и частные
производные
Выражение для
потенциальной энергии системы:
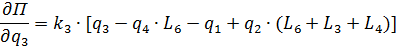
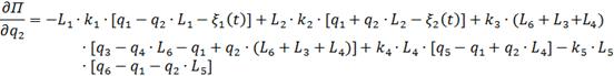
Определим частные
производные вида:
которые понадобятся при
составлении уравнений Лагранжа 2-го рода.
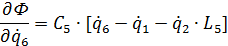
.6 Диссипативная
функция. Ее выражение и частные производные
Выражение для
диссипативной функции:
Найдем частные
производные вида:
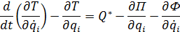
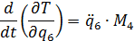
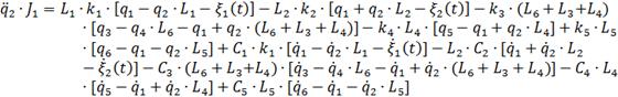
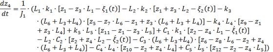
.7 Составление системы
уравнений Лагранжа 2-го рода
В систему уравнений
Лагранжа второго рода (количество уравнений равно количеству неизвестных, т.е.
количество уравнений равно шести) будут входить уравнения типа:
где
-
вектор обобщённых внешних воздействий (на модель оказывают воздействие только
функции дороги, поэтому этот вектор равен нулю),
- найденные ранее
частные производные от потенциальной энергии и диссипативной функции.
Система Лагранжа 2-го
рода:
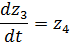
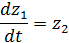
.8 Сведение системы ОДУ
2-го порядка к системе ОДУ 1-го порядка в канонической форме Коши
Для того чтобы свести
систему ОДУ Лагранжа 2-го рода к системе ОДУ 1-го рода в канонической форме
Коши, введём следующие новые переменные.
Заменив, получим:
Система значений вида 
является системой,
пригодной для решения пакетами MathCAD и MATLAB.
3. ТЕСТИРОВАНИЕ
ПОЛУЧЕННЫХ УРАВНЕНИЙ
Для того, чтобы
проверить правильность составленных уравнений, нужно воспроизвести такую
ситуацию, в которой поведение системы можно предугадать. Тогда моделируя такую
ситуацию, можно сравнить, совпадают ли наши предположения с полученными
результатами, чем и определить правильность составления системы ОДУ.
Результат - в отсутствии
кинематического воздействия дороги система не колеблется, т.е. все перемещения
(углы поворота) и скорость их изменения равны нулю.
Тест № 2: задаем очень
большую жесткость для пружин, соединяющих массы М1 с М2 и М1 с М3
)
и задаем линейное перемещение массы М1 q1=2.
Результат: массы
оказались «связанными», их колебания почти идентичны.
Тест № 3: разрываем
связь между корпусом и массой М2 (k3=c3=0).
Результат - т.к. масса
М2 получает кинематическое воздействие дороги через корпус, то разорвав связь
между корпусом и массой М2, мы получаем отсутствие колебаний (поворотов) массы
М2.
Тест № 4: добавляем
демпферы.
Результат - наблюдаем
угасание колебаний.
Тест № 5: разрываем
связь между корпусом и массой М2 и М4 (k3=c3=k5=c5=0), принимаем функции дороги
,
.
Результат - т.к. масса
М3 находится посередине рамы и получает кинематическое воздействие дороги через
корпус, то образовав связь между корпусом и массой М3, мы получаем только
наличие поворотов рамы.
4. ОПТИМИЗАЦИЯ НА ОСНОВЕ
ПАРАМЕТРОВ K3, L6
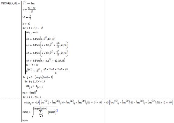
.1 Разработка программы
для решения системы ОДУ в канонической форме Коши средствами MathCAD, на основе
предложенного алгоритма
Для решения системы ОДУ
в каноническом виде Коши используем метод Рунге-Кутта 4-го порядка. Приращение
переменной можно выразить по следующей формуле:
,
где:
Тогда программная
реализация данного метода будет иметь вид:
В результате вычислений
и всех тестов, получается полное совпадение результатов с результатами,
полученными при помощи встроенной функции Rkadapt (Приложение 1).
.2 Изучение встроенной
процедуры оптимизации в MathCAD
Являясь мощным пакетом
для различных математических вычислений, MathCAD включает в себя множество
функций. Одной из таких функций является функция Minimize.
Данная функция
предназначена для поиска такого значения независимой перемененной, при котором
значение функции будет минимально. Опишем синтаксис данной функции.
Перед началом блока
оптимизации пишется ключевое слово Given, которое позволяет определить пакету
MathCAD, где начинается блок минимизации. После ключевого слова Given
перечисляются переменные с указанием граничных условий. По этим переменным
MathCAD и будет искать минимальное значение функции. Например, следующая запись
(
)
означает, что MathCAD будет искать минимальное значение функции, изменяя
параметр
.
После перечисления переменных следует вызов функции Minimize. Синтаксис у
функции следующий:
(<имя_функции>,<параметр1>,<…>,<параметрn>),
где -
<имя_функции> - имя той функции, минимальное значение которой необходимо
найти, <параметр1>…<параметрn> - список параметров, по которым
функция Minimize будет искать минимум.
Необходимо заметить, что
количество параметров и их порядок следования должен быть таким же, как и в
функции, минимальное значение которой мы ищем.
Так же необходимо
отметить, что чем больше входных параметров у функции Minimize, тем большее
количество времени занимает поиск минимального значения. Отсюда следует вывод -
количество входных параметров у функции Minimize (как было замечено выше, и у
минимизированной функции тоже) должно быть минимально.
Функция Minimize
возвращает матрицу-столбец с перечислением оптимальных параметров.
.3 Подготовка модели в
виде пригодном к использованию функцией Minimize
Однако, мы не можем
использовать для минимизации непосредственно функцию вычисления ускорения, т.к.
значение ускорения многократно уходит в отрицательную область, а значения
функции должны быть неотрицательными. Поэтому для минимизации будем
использовать функцию нахождения среднего квадрата ускорения. Эта функция имеет
два входных параметра k3 и l6. Возвращает эта функция одно число - средний
квадрат ускорений. (Приложение 2).
Имея функцию для
вычисления среднего квадрата ускорения можно приступать к оптимизационным
вычислениям.
.4 Выполнение
оптимизационных вычислений
Опишем блок минимизации:
где, Given - ключевое
слово, указывающее пакету MathCAD начало блока минимизации, 0<=k3<=5,
0<=l6<=3 - ограничение на изменение входных параметров,
Opt:=Minimize(USKOR,k3,l6) - вызов функции минимизации, USKOR - имя функции,
используемой для вычисления среднего квадрата ускорения (разброса ускорений).
Просчитав возможные
варианты и выбрав тот, при котором разброс ускорений имеет минимальное
значение, функция Minimize вернёт нам следующую матрицу-столбец:
.5 Построение на одном
графике вертикального перемещения верхней массы для исходных и найденных
оптимизированных параметров
Для сравнения ускорения
при исходных и найденных оптимизированных параметрах построим их графики:
Как видно из рисунка,
хотя оптимизированное перемещение меньше исходного,- оптимизация была
произведена успешно.
5. РЕАЛИЗАЦИЯ В ПАКЕТЕ
MATLAB
Все приведенные в данной
работе тесты были также реализованы в среде MATLAB и имели успех. Итоговое
значение (графики) реализации в двух различных средах оказалось полностью
идентичным. Некоторые результаты тестов приведены ниже (в сравнении с пакетом
MathCAD). Саму реализацию можно увидеть в Приложении 3 данной работы.
Тест № 1: Тест
№ 2:
Тест № 3: Тест
№ 4:
Тест № 5:
ЗАКЛЮЧЕНИЕ
Таким образом, при
выполнении работы получены следующие результаты:
Получены уравнения,
описывающие колебания многоопорной машины при кинематических воздействиях со
стороны дороги;
Выполнено тестирование
полученных уравнений на многочисленных примерах;
Построена
оптимизационная модель, ориентированная на среду MATHCAD;
Получили структурную
схему для решения системы ОДУ в среде MATLAB.
ПРИЛОЖЕНИЕ 1
ПРИЛОЖЕНИЕ 2
ПРИЛОЖЕНИЕ 3
модель колебательный
мобильный транспортный