Противопожарная экспертиза архитектурно-строительной части проектных материалов здания лекционного корпуса №7 ОмГТУ

  • Вид работы:
    Курсовая работа (т)
  • Предмет:
    Безопасность жизнедеятельности
  • Язык:
    Русский
    ,
    Формат файла:
    MS Word
    476,42 Кб
  • Опубликовано:
    2014-09-08
Вы можете узнать стоимость помощи в написании студенческой работы.
Помощь в написании работы, которую точно примут!

Противопожарная экспертиза архитектурно-строительной части проектных материалов здания лекционного корпуса №7 ОмГТУ

Содержание

Введение

.        Краткая характеристика объекта исследования

.        Экспертиза проектных материалов на соответствие требованиям пожарной безопасности

.1      Экспертиза строительных конструкций

.2      Экспертиза основных решений по эвакуации людей

.3      Экспертиза противопожарного водоснабжения

.4      Экспертиза системы вентиляции

.5      Экспертиза противопожарных разрывов

.6      Экспертиза противопожарных проемов

.7      Экспертиза установки пожаротушения

.        Категорирование здания помещений

.        Расчет времени эвакуации людей из здания

4.1    Методика расчета времени эвакуации людей при пожаре

.2  Расчет времени эвакуации людей при пожаре из здания УЛК №5

5       Пожарный риск

.1      Методика расчета потенциального риска

.2      Методика расчета индивидуального пожарного риска

.3      Расчет потенциального риска

.4      Расчет индивидуального риска

Заключение

Список используемой литературы

Приложение

противопожарная экспертиза эвакуация здание

Введение

Пожары чаще всего происходят от беспечного отношения к огню самих людей. Пожары наносят громадный материальный ущерб и в ряде случаев сопровождаются гибелью людей. Проблема гибели людей при пожарах - это предмет особого беспокойства.

В соответствии со ст. 4 федерального закона от 21 декабря 1994 г. № 69-ФЗ "О пожарной безопасности" основными задачами пожарной охраны в области пожарной безопасности являются: организация предупреждения пожаров и тушение пожаров.

Пожарная безопасность - это состояние объекта, при котором исключается возможность пожара, а в случае его возникновения используются необходимые меры по устранению негативного влияния опасных факторов пожара на людей, сооружения и материальных ценностей.

Пожарная безопасность предприятия должна предусматривать:

политику предприятия в области пожарной безопасности;

организацию работ по пожарной безопасности;

обязанности должностных лиц в области пожарной безопасности;

обязанности ответственного лица за пожаробезопасность предприятия;

обязанности служащих и рабочих;

организация противопожарной подготовки специалистов, служащих и рабочих;

организация противопожарной подготовки специалистов, служащих и рабочих;

основные требования пожарной безопасности.

В Омской области за 2012 год количество пожаров составило 112713 ед., прямой материальный ущерб от пожаров составил 10457112 тыс.руб., погибло при пожаре 7709 человек, травмировано при пожаре 9038 человек, уничтожено строений 31148 ед., повреждено 69664 ед. Конкретное

количество пожаров в административных зданиях составляет 2274 ед., прямой материальный ущерб от пожаров составляет 1144830 тыс.руб.

Целями курсового проекта являются:

.        закрепление теоретического материала курса;

.        получение навыков работы с нормативной и проектной документацией;

.        проведение развернутого анализа пожарного состояния исследуемого объекта и сравнение его с требованиями;

.        развитие практических навыков в экспертизе проектных материалов и разработке технических решений по противопожарной защите зданий в стадии проектирования, строительства и реконструкции;

.        расчет времени эвакуации и пожарного риска.

Задачей курсового проекта является проведение экспертизы объекта на соответствие требованиям пожарной безопасности. Необходимо провести следующие экспертизы:

.        объемно-планировочных решений и средств, обеспечивающих ограничение распространения пожара за пределы очага;

.        эвакуационных путей;

.        систем обнаружения пожара, оповещения и управления эвакуацией людей при пожаре;

.        систем пожаротушения;

.        систем коллективной защиты;

.        основных строительных конструкций;

.        специализированных противоаварийных устройств;

.        первичных средств пожаротушения;

.        противопожарных преград;

.        противопожарных разрывов между зданиями;

.        противопожарного водоснабжения;

.        вентиляционных устройств;

.        категорийности зданий по пожаро-взрывоопасности.

1. Краткая характеристика объекта исследования

Объектом исследования в курсовом проекте является учебно-лекционный корпус №5 ОмГТУ, находящийся по адресу г.Омск, Советский округ, Проспект Мира д.32а. Здание пятиэтажное.

Здание введено в эксплуатацию в 1968 году.

Общая площадь здания 3930 м2.

В здании в дневное время находится более 100 человек, в ночное - 2 человека (охрана).

По функциональной пожарной опасности здание относится к типу Ф4. Учитывая пределы огнестойкости конструкций, здание на основании таблицы 21 Технического регламента о требованиях пожарной безопасности относится к III степени огнестойкости.

Крыльцо площадью 50 м2 выполнено из кирпича и железобетона. Стены наружные и внутренние кирпичные в 2,5 кирпича.

Вентиляция в здании приточно-вытяжная с механическим побуждением.

Вид внутренней отделки простая. Фундамент - железобетонные сваи. Несущие стены здания выполнены из железобетонных панелей, перегородки кирпичные гипсолитовые, перекрытия - междуэтажные и чердачное железобетонные плиты. Крыша чердачного типа. Кровля шифер по тесовой обрешетке. Полы дощатые, бетонные, в санузле керамическая плитка. Лестницы из сборных железобетонных плит. Оконные проемы деревянные окрашенные, двойные, остекленные, стекло толщиной 3мм, количество окон в здании 169 штук , окна ПВХ со стеклопакетами 28 штук, окна с металлическими решетками 36 штук. Дверные проемы деревянные, филенчатые. Отделка наружная - без отделки, внутренняя - оштукатурено, обои, окрашено. Отопление центральное водяное от ТЭЦ, водопровод центральный, электроосвещение - скрытая проводка, канализация в городскую сеть.

Территория корпуса не ограждена металлическим забором. Въезд на территорию свободный.

Помещения защищены автоматическими средствами противопожарной защиты (автоматической пожарной сигнализацией) и системой автоматического пожаротушения. Защищаемая площадь 3720 м2. Для обнаружения первичных признаков пожара применены пожарный дымовой извещатель типа ИП212-3СУ - 276 штук и извещатель пожарный ручной ИПР-3СУ - 14 штук, в качестве объектового прибора пожарной сигнализации используется прибор приемно-контрольный пожарно-охранный ППКОП 01121-20-1 «СИГНАЛ-20П», который установлен на стене на высоте 1,5 м от ур.ч.п. в пультовой. Для контроля состояния и сбора информации с прибора типа «СИГНАЛ-20П» используется пульт контроля и управления «С-2000», который установлен на посту охраны с персоналом, ведущим круглосуточное дежурство. В каждом защищаемом помещении предусмотрено не менее двух автоматических пожарных извещателей. Формирование команды на управление системой оповещения о пожаре предусмотрено при срабатывании одного автоматического пожарного извещателя.

Помещения оборудованы системой оповещения и управления эвакуации людей при пожаре с учетом требований НПБ 104-03 и соответствует третьему типу со звуковым и голосовым способами оповещения. Для оповещения о пожаре используется система речевого оповещения. Речевые оповещатели, применяемые в системе не имеют регуляторов громкости и подключаются к линии оповещения без разъемных устройств через ответвительную коробку. Световые оповещатели указывают пути эвакуации при возникновении пожара или чрезвычайной ситуации. В системе используются световые указатели «ВЫХОД» и световые указатели направления эвакуации.

На первом этаже здания находятся:

столярная мастерская;

теплоузел;

электрощитовая;

На втором этаже здания находятся:

компьютерные классы (3 шт.);

На третьем этаже здания находятся:

компьютерные классы (1 шт.);

На четвертом этаже здания находятся:

компьютерные классы (1шт.);

На пятом этаже здания находятся:

компьютерные классы (1шт.);

Эвакуационные пути и выходы

На первом этаже предусмотрено 3 эвакуационных выхода, на остальных этажах по 2 эвакуационных выхода.

В соответствии с п.6.16 СНиП 21-01-97* высота в свету всех эвакуационных выходов составляет не менее 1,9 м, ширина дверей помещений составляет 0,8 м, ширина коридоров не менее 1 м.

Эвакуационные выходы из здания расположены рассредоточено. В соответствии с п.6.15* СНиП 21-01-97*.

Взаимное расположение эвакуационных выходов соответствует требованиям пожарной безопасности.

В соответствии с п.6.17 СНиП 21-01-97* двери эвакуационных выходов из помещения открываются по направлению выхода наружу.

Выходы на путях эвакуации не имеют запоров на втором, третьем, четвертом и пятом этажах препятствующих свободному открыванию изнутри без ключа в соответствии с п.6.18* СНиП 21-01-97*. Выходы на путях эвакуации имеют запоры на первом этаже препятствующих свободному открыванию изнутри без ключа в соответствии с п.6.18* СНиП 21-01-97*, ключи от этих выходов хранятся на вахте и у коменданта УЛК№5.

Согласно п.6.2.3 СНиП 31-05-2003 расстояние от любой точки помещения до ближайшего эвакуационного выхода из этого помещения не превышает 20 м.

Высота и ширина горизонтальных участков путей эвакуации соответствует требованиям п.6.27 СНиП 21-01-97*, п.5.6 СНиП 31-05-03.

В соответствии с п.6.26* и п.6.28* СНиП 21-01-97* на путях эвакуации отсутствуют перепады высот менее 0,45 м, а также оборудование выступающие из плоскости стен на высоте менее 2 м, за исключением шкафов для коммуникаций и пожарных кранов.

Ширина лестничных маршей соответствует п.6.29, п.6.30* и п.6.31* СНиП 21-01-97*, п.7.2 СНиП 31-05-03.

Открывание дверей эвакуационных выходов по направлению выхода людей из здания.

Наружное и внутренне противопожарное водоснабжение

В здании имеется водопровод, горячая и холодная вода, канализация.

Противопожарные мероприятия разработаны и выполнены в соответствии c требованиями следующих нормативных документов: ГОСТ 10704-91, СНиП 2.04.02-84*, СНиП 2.04.03-85, СНиП 2.04.01-85*.

От здания на расстоянии не более 100 м расположены 2 пожарных гидранта. Здание не обеспечено внутренним противопожарным водопроводом, обеспечивающим орошение каждой точки здания одной струей с расходом не менее чем 2,5 л/с каждая (фактически 1,86 л/с, протокол № 28 испытаний систем внутреннего противопожарного водопровода на водоотдачу), п. 4.1.1 табл. 1 позиция 4 СП 10.13130.2009 «Для жилых и общественных зданий, а также административно бытовых зданий промышленных предприятий необходимость устройства внутреннего противопожарного водопровода, а также минимальный расход воды на пожаротушение следует определять в соответствии с таблицей 1, а для производственных и складских зданий - в соответствии с таблицей 2».

Электроснабжение и освещение

В соответствии с нормами по степени обеспечения надежности электроснабжения электроприемники здания относятся к III категории.

Электроприемники пожарной и охранной сигнализации, относятся к 1-й категории и имеют дополнительные резервные источники бесперебойного питания.

Таблица №1- Основные электротехнические показатели

Наименование

Ед. измерения

Величина

Напряжение сети

В

380/220

Установленная мощность

кВт

97,76

Расчетная мощность

кВт

77,27

Годовой расход электроэнергии

тыс. кВт.час

172,12


Электроосвещение внутреннее

Освещенность помещений и рабочих поверхностей принята по действующим нор­мативным материалам.

Светотехническое оборудование, электропроводки выбраны в зависимости от ус­ловий окружающей среды и с учетом монтажа.

Напряжение сети рабочего освещения - 220 В.

Первичные средства пожаротушения

Здание оборудовано первичными средствами пожаротушения огнетушителями ОП-5 общим количеством 20 штук.

Место расположения огнетушителей указано на плане эвакуации людей из здания в случае пожара.

2.      Экспертиза проектных материалов на соответствие требованиям пожарной безопасности

Экспертиза проектных материалов осуществляется с целью выявления несоответствия здания основным противопожарным нормам и предложения мероприятий по их устранению и повышению уровня безопасности людей.

Экспертиза основных строительных конструкций здания. Определить степень огнестойкости всего здания в целом по информации, приведенной в разделе I настоящего курсового проекта.

Степень огнестойкости здания в соответствии с приложением 2 СНиП 2.01.02-85 «Противопожарные нормы» - первая (СО I). Следовательно, по таблицам 21 и 22 Федерального закона от 22 июля 2008 г. №123 ФЗ «Технический регламент о требованиях пожарной безопасности» произведем экспертизу строительных конструкций здания для определения их предела огнестойкости.

В соответствии с таблицей 1 пособия к СНиП 21.01-97 «Предотвращение распространения пожара» МДС 21-1.98 - класс конструктивной пожарной опасности здания С0. Следовательно, по аналогичным таблицам 21, 22 Федерального закона от 22 июля 2008 года №123 ФЗ определяем класс пожарной опасности строительных конструкций, входящих в состав здания. Результаты систематизируем в таблицу № 2.1

2.1 2.1        Экспертиза строительных конструкций

Таблица №2.1

Наименование конструкций и их характеристика

Принято проектом

Ссылка на пункты «Пособия» и дополнения к ним

В зданиях этой степени огнестойкости разрешается применять

Требуется по нормам

Ссылка на пункты и нормы

Вывод


Пф

Кф



Пф

Кф



Стены наружные из сплошного керамического кирпича по ГОСТ 379-75

Е30

К0

№123 ФЗ таблицы 21,22

I тип

E30

K0

№123 ФЗ таблицы 21,22; СНиП 21-01-97

Соответствует

Перекрытия - сборные железобетонные плиты

RE160

K0

№123 ФЗ таблицы 21,22

IIтип

RE160

K0

№123 ФЗ таблицы 21,22; СНиП 21-01-97

Соответствует

Полы бетонные

-

-

-

-

н.н.

н.н

№123 ФЗ таблицы 21,22; СНиП 21-01-97

Соответствует

Оконные проемы- пластиковые стеклопакеты

-

-

-

I тип

н.н.

н.н.

№123 ФЗ таблицы 21,22; СНиП 21-01-97

Соответствует

Двери филенчатые

-

-

-

I тип

н.н.

н.н.

№123 ФЗ таблицы 21,22; СНиП 21-01-97

Соответствует

Оконные проемы- заполнение двойными деревянными переплетами с армированным

-

-

-

III тип

н.н

н.н

№123 ФЗ таблицы 21,22; СНиП 21-01-97

Соответствует

Стены внутренние несущие из кирпича по ГОСТ 379-75

R30

К0

№123 ФЗ таблицы 21,22

I тип

R30

К0

№123 ФЗ таблицы 21,22

Соответствует

Кровля выполнена из шифера по тесовой обрешетке

RE30

К0

№123 ФЗ таблицы 21,22

I тип

RE15

К0

№123 ФЗ таблицы 21,22

Соответствует

Полы дощатые, линолеум

-

-

-


н.н.

н.н

N123-ФЗ таблицы 21, 22, СНиП 31-06-2009

Соответствует

 

2.2    Экспертиза основных решений по эвакуации людей

Таблица № 2.2

Что проверяется

Предусмотрено в проекте

Требуется по нормам

Ссылка на нормы

Вывод

1. Объемно-планировочные и конструктивные решения здания

Высота помещений от пола до потолка

Высота помещений от потолка до пола 2,8 м

Высота помещений от потолка до пола должна быть не менее 2,5 м

СНиП 2.09.04-87* п 1.4

Соответствует

Направление открывания дверей

Все двери открываются по направлению выхода из здания

Двери эвакуационных выходов и другие двери на путях эвакуации должны открываются по направлению выхода из здания

СП 1.13130.2009

Соответствует

Количество эвакуационных выходов из здания

Предусмотрено 11 эвакуационных выходов через обособленные лестничные клетки, имеющие выходы непосредственно наружу.

Допускается предусматривать два эвакуационных выхода из расположенного на любом этаже помещения с одновременным пребыванием в нем более 50 чел., если расстояние от наиболее удаленной точки пола помещения до указанного выхода не превышает 20 м.

СНиП 2.09.04-87*

Соответствует

Минимальные и максимальные размеры дверей

Ширина и высота дверей всех выходов соответственно 1,9×0,8м.

Высота эвакуационных выходов в свету должна быть не менее 1,9 м, ширина не менее 0,8 м.

СНиП 21-01-97,  п. 6.16.

Соответствует

Двери лестничных клеток

Двери лестничных клеток не оборудованы приспособлениями для самозакрывания и уплотнения в притворах

Лестничные клетки, как правило, должны иметь двери с приспособлением для самозакрывания и с уплотнением в притворах.

п. 4.2.7 СП 1.13130.2009.

Не соответствует

Ширина лестничных маршей, высота ступеней

Не менее 25см, не более 22см

Не менее 25 см, не более 22см

СНиП  21-01-97 п. 6.30, СНиП 31-06-2009, ППБ 101-89

Соответствует

.3 Экспертиза противопожарного водоснабжения

Таблица № 2.3

Что проверяется

Предусмотрено по проекту

Требуется по нормам

Ссылка на нормы

Вывод

Расход гидрантов

2 гидранта по 15 л/с

От 2-х гидрантов по 15 л/с

СНиП 2.01.02-84*, п. 8.16

Соответствует

Здание не обеспечено внутренним противопожарным водопроводом, обеспечивающим орошение каждой точки здания одной струей с расходом не менее чем 2,5 л/с каждая (фактически 1,86 л/с, протокол № 28 испытаний систем внутреннего противопожарного водопровода на водоотдачу)

Внутренний пожарный водопровод, на высоте 1,35 м над полом, пожарный кран расположен в специальном шкафчике на лестничных маршах каждого этажа

Для жилых и общественных зданий, а также административно бытовых зданий промышленных предприятий необходимость устройства внутреннего противопожарного водопровода, а также минимальный расход воды на пожаротушение следует определять в соответствии с таблицей 1, а для производственных и складских зданий - в соответствии с таблицей 2.

п. 4.1.1 табл. 1 позиция 4 СП 10.13130.2009.

Не соответствует

Расположение гидрантов от стен здания

На расстоянии 7 м от стен здания

Не ближе 5 м от стен здания

СНиП 2.01.02-84*, п. 8.16

Соответствует

Расположение гидрантов от края до дороги

На расстоянии 1,5 м от края проезжей части

Не более 2,5 м от края проезжей части

СНиП 2.01.02-84*, п. 8.16

Соответствует

.4 Экспертиза системы вентиляции

Таблица № 2.4

Что проверяется

Предусмотрено в проекте

Требуется по нормам

Ссылка на нормы

Вывод

Приточно-вытяжная вентиляция

В здании предусмотрена приточно-вытяжная с механическим побуждением

Системы общеобменной вентиляции для административно-бытовых и общественных помещений с постоянным пребыванием людей без естественного проветривания следует предусматривать не менее чем с двумя приточными и двумя вытяжными вентиляторами каждый с расходом не менее 50 % требуемого воздухообмена. Допускается предусматривать одну вытяжную и одну приточную системы с резервными вентиляторами или с резервными электродвигателями для административно-бытовых и общественных помещениях.

СНиП 41-01-2003; СНиП 21-01-97

Соответствует

Система отопления

Осуществляется от ТЭЦ

Теплоснабжение зданий может осуществляться: - от централизованного источника тепла (от тепловых сетей систем теплоснабжения населенного пункта); - от автономного источника тепла (в том числе крышной котельной); - от индивидуальных теплогенераторов систем поквартирного теплоснабжения.

СНиП 41-01-2003 п.6.1.1., ППБ 101-89

Соответствует

.5 Экспертиза противопожарных разрывов

Таблица № 2.5

Что проверяется

Предусмотрено по проекту

Требуется по нормам

Ссылка на нормы

Вывод

1

2

3

4

5

Противопожарные разрывы между зданиями

Предусмотрены противопожарные разрывы 40 м.

Не нормируется для зданий и сооружений с производствами категорий Г и Д

СНиП II-89-80*  п.3.3.2 табл.1

Соответствует

.6 Экспертиза проемов в строительных конструкциях

Таблица № 2.6

Что проверяется

Предусмотрено по проекту

Требуется по нормам

Ссылка на нормы

Вывод

1

2

3

4

5

Противопожарные стены

Предел огнестойкости REI 45, тип заполнения проемов 2ой.

Для II типа противопожарных преград, предел огнестойкости должен быть не менее REI 45, тип заполнения проемов не ниже 2го.

СНБ 2.02.01-98

Соответствует

Противопожарные перегородки

Предел огнестойкости EI 45, тип заполнения поемов 3ий.

Для I типа противопожарных преград, предел огнестойкости должен быть не менее EI 45, тип заполнения проемов не ниже 3го.

СНБ 2.02.01-98

Соответствует

Противопожарные перекрытия

Предел огнестойкости REI 150, тип заполнения проемов 2ой.

Для II типа противопожарных преград, предел огнестойкости должен быть не мене REI 60, тип заполнения проемов не ниже 2го.

СНБ 2.02.01-98

Соответствует

Таблица № 2.7

Что проверяется

Предусмотрено  по проекту

Требуется по нормам

Ссылка на нормы

Вывод

Дымовой оптический пожарный извещатель

ИП 212-3СУ

ИП 212-3СР (под розетку извещателя  РИД-6М)ИП 212-3СУ  ИП 212-3СМ  ИП212-83СМ

НПБ 65-97

Соответствует

Ручной пожарный извещатель

ИПР-3СУ

ИПР-3СУ

НПБ 70-98

Соответствует



3.  Категорирование здания

Согласно п. 1.2 СП 12.13130.2009 «Классификация зданий и помещений по взрывопожароопасной и пожарной опасности применяется для установления возможности возникновения пожара и обеспечения противопожарной защиты людей и имущества в случае возникновения пожара», путем категорирования помещения по взрывопожароопасной и пожарной опасности, в соответствии с таблицей 1 п.5.2 СП 12.13130.2009. По взрывопожароопасной и пожарной опасности, помещения подразделяются на категории А, Б, В1-В4, Г и Д.

Общественное здание

Согласно п.5.2 СП 12.13130.2009 «Определение категорий помещений» следует осуществлять путем последовательной проверки принадлежности помещения к категориям, от наиболее опасной (А) к наименее опасной (Д).

В помещении площадью 3930 м2 и высотой от пола до низа выступающих конструкций перекрытия равной 2,8 м, пятиэтажное здание, деревянными и металлическими шкафами для хранения документов. Деревянные столы и скамейки, компьютеры.

Вывод: в соответствии с таблицей 1 СП12.13130.2009 данное помещение может быть отнесено к категории Д .

4. Расчет времени эвакуации людей из здания

.1 Методика расчета времени эвакуации людей при пожаре

Расчетное время эвакуации людей из помещений и зданий устанавливается по расчету времени движения одного или нескольких людских потоков через эвакуационные выходы от наиболее удаленных мест размещения людей.

При расчете весь путь движения людского потока подразделяется на участки (проход, коридор, дверной проем, лестничный марш, тамбур) длиной (li) и шириной (i). Начальными участками являются проходы между рабочими местами, оборудованием, рядами кресел и т. п.

При определении расчетного времени длина и ширина каждого участка пути эвакуации принимаются по проекту. Длина пути по лестничным маршам, а также по пандусам измеряется по длине марша. Длина пути в дверном проеме принимается равной нулю. Проем, расположенный в стене толщиной более 0,7 м, а также тамбур следует считать самостоятельным участком горизонтального пути, имеющим конечную длину (li).

Расчетное время эвакуации людей (tр) следует определять как сумму времени движения людского потока по отдельным участкам пути (ti) по формуле

 (4.1)

где t1 - время движения людского потока на первом (начальном) участке, мин;2, t3,..., ti - время движения людского потока на каждом из следующих после первого участка пути мин.

Время движения людского потока по первому участку пути (t1), мин, вычисляют по формуле

 (4.2)

где l1 - длина первого участка пути, м;1, - значение скорости движения людского потока по горизонтальному пути на первом участке, определяется по табл. 4.2 в зависимости от плотности D, м/мин.

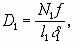
Плотность людского потока (D1) на первом участке пути, м22, вычисляют по формуле

 (4.3)

где N1 - число людей на первом участке, чел.;- средняя площадь горизонтальной проекции человека, принимаемая равной, м2,

·        взрослого в домашней одежде 0,1

·        взрослого в зимней одежде 0,125

·        подростка 0,07

1, - ширина первого участка пути, м.

Скорость v1 движения людского потока на участках пути, следующих после первого, принимается по табл. 4.1 в зависимости от значения интенсивности движения людского потока по каждому из этих участков пути, которое вычисляют для всех участков пути, в том числе и для дверных проемов, по формуле

 (4.4)

где i, i-1 - ширина рассматриваемого i-гo и предшествующего ему участка пути, м;i,qi-1 - значения интенсивности движения людского потока по рассматриваемому i-му и предшествующему участкам пути, м/мин, значение интенсивности движения людского потока на первом участке пути (q=qi-1), определяемое по табл. 4.2 по значению D1 установленному по формуле (4.3).

Таблица 4.1

Плотность потока D, м22

Горизонтальный путь

Дверной проем интенсив-ность q, м/мин

Лестница вниз

Лестница вверх


Скорость v, м/мин

Интенсив-ность q, м/мин


Скорость v, м/мин

Интенсив-ность q, м/мин

Скорость v, м/мин

Интенсив-ность q, м/мин

0,01

100

1

1

100

1

60

0,6

0,05

100

5

5

100

5

60

3

0,1

80

8

8,7

95

9,5

53

5,3

0,2

60

12

13,4

68

13,6

40

8

0,3

47

14,1

16,5

52

16,6

32

9,6

0,4

40

16

18,4

40

16

26

10,4

0,5

33

16,5

19,6

31

15,6

22

11

0,7

23

16,l

18,5

18

12,6

15

10,5

0,8

19

15,2

17,3

13

10,4

13

10,4

0,9и более

15

13,5

8,5

8

7,2

11

9,9

Примечание. Табличное значение интенсивности движения в дверном проеме при плотности потока 0,9 и более, равное 8,5 м/мин, установлено для дверного проема шириной 1,6 м и более, а при дверном проеме меньшей ширины () интенсивность движения следует определять по формуле

.

Если значение qi, определяемое по формуле (4.4), меньше или равно значению qmax, то время движения по участку пути (ti) в минуту

; (4.5)

при этом значения qmax следует принимать равными, м/мин:

·        для горизонтальных путей 16,5

·        для дверных проемов 19,6

·        для лестницы вниз 16

·        для лестницы вверх 11

Если значение qi, определенное по формуле (4.4), больше qmax, то ширину  i данного участка пути следует увеличивать на такое значение, при котором соблюдается условие

. (4.6)

При невозможности выполнения условия (4.6) интенсивность и скорость движения людского потока по участку пути определяют по табл. 4.1 при значении D=0,9 и более. При этом должно учитываться время задержки движения людей из-за образовавшегося скопления.

При слиянии вначале участка двух и более людских потоков (рисунок 19) интенсивность движения (qi,), м/мин, вычисляют по формуле

, (4.7)

где qi-1- интенсивность движения людских потоков, сливающихся в начале участка, м/мин;

i-1 - ширина участков пути слияния, м;

i - ширина рассматриваемого участка пути, м.

Если значение qi, определенное по формуле (4.7), больше qmax, то ширину i) данного участка пути следует увеличивать на такую величину, чтобы соблюдалось условие (6). В этом случае время движения по участку определяется по формуле (4.5).

Рисунок 1 - Слияние людских потоков

4.2    Расчет времени эвакуации людей при пожаре из здания УЛК№5

Расчет производим исходя из следующих данных: пожар произошел на 2-ом этаже в аудитории 211. На пятом этаже находится 30 человек, на четвертом этаже - 35 человек, третьем этаже - 50 человек, на втором - 45 человек, на первом - 20 человек.

По конструктивным особенностям здания; при расположении лестничных клеток на одинаковых расстояниях от крайних точек эвакуации, люди будут эвакуироваться с 5-го этажа примерно в одинаковом количестве по каждой лестничной клетке (по 15 человек).

Расчет времени эвакуации производится согласно ГОСТ 12.1.004-91.

Расчет времени эвакуации 15 человек с 5 этажа до площадки лестничной клетки.

t1 - время эвакуации через дверной проем из кабинета в коридор (первый участок), мин.;

t2 - время эвакуации по коридору до лестничной клетки (второй участок), мин.;

t3 - время эвакуации через дверной проем в лестничную клетку (третий участок), мин;

t4 - время эвакуации по лестничной клетке до 4-го этажа (четвертый участок), мин.;

t5 - время эвакуации по лестничной клетке до 3-го этажа (пятый участок), мин.;

t6 - время эвакуации по лестничной клетке до 2-го этажа (шестой участок), мин.;

t7 - время эвакуации по лестничной клетке до 1-го этажа (седьмой участок), мин.;

t8 - время эвакуации из лестничной клетки через дверной проем - наружу(восьмой участок), мин.

l1 = 12 м - длина 1-го участка;

l2 = 12 м - длина 2-го участка;

l3 = 0,1 м - длина 3-го участка;

l4 = 7 м - длина 4-го участка;

l5 = 7 м - длина 5-го участка;

l6 = 7 м - длина 6-го участка;

l7 = 7 м - длина 7-го участка;

l8 = 0,1 м - длина 8-го участка.

δ1 = 0,8 м - ширина 1-го участка;

δ2 = 1,5 м - ширина 2-го участка;

δ3 = 1,2 м - ширина 3-го участка;

δ4 = 2,2 м - ширина 4-го участка;

δ5 = 2,2 м - ширина 5-го участка;

δ6 = 2,2 м - ширина 6-го участка;

δ7 = 2,2 м - ширина 7-го участка;

δ8 = 1,2 м - ширина 8-го участка;

D1 = 30∙0,07/12∙0,8 = 0,22 - плотность людского потока на первом участке;

D2 = 30∙0,07/12∙1,5 = 0,12 - плотность людского потока на втором участке;

D3 = 30∙0,07/0,1∙1,2 = 17,5 - плотность людского потока на третьем участке;

D4 = 30∙0,07/7∙2,2 = 0,14 - плотность людского потока на четвертом участке;

D5 = 55∙0,07/7∙2,2 = 0,25 - плотность людского потока на пятом участке;

D6 = 80∙0,07/7∙2,2 = 0,4 - плотность людского потока на шестом участке;

D7 = 95∙0,07/7∙2,2 = 0,43 - плотность людского потока на седьмом участке;

D8 = 105∙0,07/0,1∙1,2 = 61,3 - плотность людского потока на восьмом участке;

По таблице определяем скорость движения по первому участку пути:

V1=60 м/мин.

t1 = 12/60 = 0,2 мин.1 = 2,5+3,75∙0,8 = 2,5 м/мин - интенсивность движения людского потока на первом участке;2 = 2,5+3,75∙1,5 = 8 м/мин - интенсивность движения людского потока на втором участке;3 = 2,5+3,75∙1,2 = 7 м/мин - интенсивность движения людского потока на третьем участке;4 = 9,5 м/мин - интенсивность движения людского потока на четвертом участке;5 = 13,6 м/мин - интенсивность движения людского потока на пятом участке;6 = 13,6 м/мин - интенсивность движения людского потока на шестом участке;7 = 13,6 м/мин - интенсивность движения людского потока на седьмом участке;8 = 2,5+3,75∙1,2 = 7 м/мин - интенсивность движения людского потока на восьмом участке;

ti = li/vi;

t2 = 12/95 = 0,13 мин;3 = 0,013 мин;

t4 = 0,074 мин;

t5 = 0,12 мин;

t6 = 0,18 мин;

t7 = 0,18 мин;

t8 = 0,013 мин;

Tобщ. = 0,2+0,13+0,013+0,074+0,12+0,18+0,18+0,013=0,91мин = 54,6сек.

Условие qi< qmax выполняется для всех участков, следовательно, люди находящиеся в здании успешно успеют эвакуироваться и не пострадать.

5. Пожарный риск

Расчеты по оценке пожарного риска проводятся путем сопротивления расчетных величин пожарного риска с соответствующими нормативными значениями пожарных рисков, установленными Федеральным законом от 22 июля 2008 года № 123-ФЗ «Технический регламент о требованиях пожарной безопасности».

Определение расчетных величин пожарного риска на объекте осуществляется на основании:

а) анализа пожарной опасности объекта;

б) определение частоты реализации пожароопасных ситуаций;

в) построения полей опасных факторов пожара для различных сценариев его развития;

г) оценки последствий воздействия опасных факторов пожара на людей для различных сценариев его развития;

д) наличия систем обеспечения пожарной безопасности зданий, сооружений и строений.

Расчетные величины пожарного риска являются количественной мерой возможности реализации пожарной опасности объекта и ее последствий для людей.

Количественной мерой возможности реализации пожарной опасности объекта является риск гибели людей в результате опасных факторов пожара, в том числе:

·        риск гибели работника объекта;

·        риск гибели людей, находящихся в селитебной зоне вблизи объекта.

Риск гибели людей в результате воздействия опасных факторов пожара на объекте характеризуется числовыми значениями индивидуального и социального пожарного рисков.

5.1 Методика расчета потенциального риска

Величина потенциального пожарного риска Р(а) [год-1] (далее - потенциальный риск) в определенной точке (а) как на территории объекта и в селитебной зоне вблизи объекта определяется по формуле:

Р(а) =  (5.1.1)

где J - число сценариев развития пожароопасных ситуаций (пожаров, ветвей логического дерева событий);dj(a) - условная вероятность поражения человека в определенной точке территории (а) в результате реализации j-го сценария развития пожароопасных ситуаций, отвечающего определенному инициирующему аварию событию;j - частота реализации в течение года j-го сценария развития пожароопасных ситуации, год-1.

Условная вероятность поражения человека Qdij определяется по формуле:

Qdij = (1-Pэij)×(1-Dij) (5.1.2)

где Pэij - вероятность эвакуации людей, находящихся в i-ом помещении здания, при реализации j-го сценария пожара;ij - вероятность эффективной работы технических средств по обеспечению безопасности людей в i-ом помещении при реализации j-го сценария пожара.

Вероятность эвакуации Pэij определяется по формуле:

Pэij = 1-(1-PЭ.Пij)×(1-PД.Вij) (5.1.3)

где PЭ.Пij - вероятность эвакуации людей, находящихся в i-ом помещении здания, по эвакуационным путям при реализации j-го сценария пожара;Д.Вij - вероятность выхода из здания людей, находящихся в i-ом помещении, через аварийные или иные выходы.

При отсутствии данных вероятность PД.Вij допускается принимать равной 0,03 при наличии аварийных или иных выходов и 0,001 при их отсутствии.

Вероятность эвакуации по эвакуационным путям PЭ.Пij определяется по формуле:

 (5.1.4)

где τблij - время от начала реализации j-го сценария пожара до блокирования эвакуационных путей в результате распространения на них опасных факторов пожара, имеющих предельно допустимые для людей значения (время блокирования эвакуационных путей), мин.;pij - расчетное время эвакуации людей из i-го помещения при j-ом сценарии пожара, мин.;н.э.ij - интервал времени от начала реализации j-го сценария пожара до начала эвакуации людей из i-го помещения, мин.

Время от начала пожара до начала эвакуации людей tн.э для зданий без систем оповещения определяется по результатам исследования поведения людей при пожарах в зданиях конкретного назначения.

При наличии в здании системы оповещения людей о пожаре и управления эвакуацией людей в зданиях τн.э принимается равным времени срабатывания системы с учетом ее инерционности. При отсутствии необходимых исходных данных для определения времени начала эвакуации в зданиях без СОУЭ τн.э допускается принимать равным 0,5 мин. - для этажа.

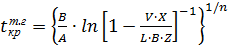
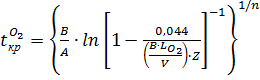
Время от начала пожара до блокирования эвакуационных путей в результате распространения на них опасных факторов пожара определяется путем выбора из полученных в результате расчетов значений критической продолжительности пожара минимального времени:

 (5.1.5)

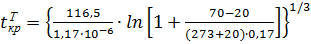
Критическая продолжительность пожара по каждому из опасных факторов определяется как время достижения этим фактором критического значения на путях эвакуации на высоте 1,7метров от пола. Критические значения по каждому из опасных факторов составляют:

по повышенной температуре - + 70оС;

по тепловому потоку - 1400 Вт/м2

- по потере видимости - 20 м;

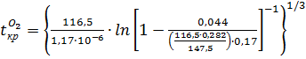
по пониженному содержанию кислорода - 0,226 кг·м-3;

по каждому из токсичных газообразных продуктов горения (СО2 - 0,11 кг·м-3; СО - 1,16·10-3 кг·м-3; HCL - 23·10-6 кг·м-3).

Для помещения очага пожара критическую продолжительность пожара tКР, с, по условию достижения каждым из опасных факторов пожара предельно допустимых значений в зоне пребывания людей (рабочей зоне) можно оценить по формулам:

·        по повышенной температуре:

  (5.1.6)

·        по потере видимости:

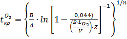
  (5.1.7)

·        по пониженному содержанию кислорода:

  (5.1.8)

·        по каждому из газообразных токсичных продуктов горения:

  (5.1.9)

B =  (5.1.10)

где t0 - начальная температура воздуха в помещении, °С;

В - размерный комплекс, зависящий от теплоты сгорания материала и свободного объема помещения, кг,

n - показатель степени, учитывающий изменение массы выгорающего материала во времени;

А - размерный параметр, учитывающий удельную массовую скорость выгорания горючего вещества и площадь пожара, кг/сn;

Z - безразмерный параметр, учитывающий неравномерность распределения опасного фактора пожара по высоте помещения;

Q - низшая теплота сгорания материала, МДж/кг;

СР - удельная изобарная теплоемкость воздуха, МДж/кг; j - коэффициент теплопотерь;

h - коэффициент полноты горения;

V - свободный объем помещения, м3;

a - коэффициент отражения предметов на путях эвакуации;

E - начальное освещение, лк;

lПР - предельная дальность видимости в дыму, м;

Dm - дымообразующая способность горящего материала, Нп·м2/кг;

L - удельный выход токсичных газов при сгорании 1 кг горючего вещества, кг/кг;

Х - предельно допустимое содержание токсичного газа в помещении, кг/м3,

 - удельный расход кислорода, кг/кг.

Свободный объем помещения соответствует разности между геометрическим объемом и объемом оборудования или предметов, находящихся внутри. При отсутствии данных допускается свободный объем принимать его равным 80 % геометрического объема помещения.

Если под знаком логарифма получается отрицательное число, то данный опасный фактор пожара не представляет опасности.

Параметр Z определяется по формуле:

Z =  (5.1.11)

при H6м,

где h - высота рабочей зоны, м;

Н - высота помещения, м.

Высота рабочей зоны определяется по формуле:

h =  (5.1.12)

где hПЛ - высота площадки, на которой находятся люди, над полом помещения, м;

d - разность высот пола, равная нулю при горизонтальном его расположении, м.

Параметры А и n определяются следующим образом:

для случая кругового распространения пламени по поверхности горючего вещества или материала:

А = 1,05, при n = 3

𝜈 - линейная скорость распространения пламени, м/c;

𝛹 - удельная массовая скорость выгорания.

5.2 Методика расчета индивидуального пожарного риска

Индивидуальный пожарный риск (далее - индивидуальный риск) для работников объекта оценивается частотой поражения определенного работника объекта опасными факторами пожара, взрыва в течение года.

Области, на которые разбита территория объекта, нумеруются:

= 1, ..., I.

Работники объекта нумеруются:

= 1, ..., М.

Номер работника m, однозначно определяет наименование должности работника, его категорию и другие особенности его профессиональной деятельности, необходимой для оценки пожарной безопасности. Допускается проводить расчет индивидуального риска для работника объекта, относя его к одной категории наиболее опасной профессии.

Величина индивидуального риска Rm (год-1) для работника m объекта при его нахождении на территории объекта определяется по формуле:

  (5.2.1)

где P(i) - величина потенциального риска в i-ой области территории объекта, год-1;im - вероятность присутствия работника m в i-ой области территории объекта.

Величина индивидуального риска Rm (год-1) для работника m при его нахождении в здании объекта, обусловленная опасностью пожаров в здании, определяется по формуле:

 (5.2.2)

где Pi - величина потенциального риска в i-ом помещении здания, год-1;im - вероятность присутствия работника m в i-ом помещении;- число помещений в здании, сооружении и строении.

Индивидуальный риск работника m объекта определяется как сумма величин индивидуального риска при нахождении работника на территории и в зданиях объекта.

Вероятность qim определяется, исходя из доли времени нахождения рассматриваемого человека в определенной области территории и/или в i-ом помещении здания в течение года на основе решений по организации эксплуатации и технического обслуживания оборудования и зданий объекта.

5.3    Расчет потенциального риска

Объект - корпус ОмГТУ УЛК№5.

Здание - Общественное.

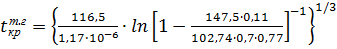
Время от начала пожара до блокирования эвакуационных путей в результате распространения на них опасных факторов пожара определяется путем выбора из полученных в результате расчетов значений критической продолжительности пожара минимального времени:


Для кругового распространения пламени по поверхности, равномерно распределенного в горизонтальной плоскости горючего материала:

А = 1,05·𝛹F·𝜈3 = 1,05·0,012·(0,02)2 = 1,17·10-6кг·с-1;

В = V·Q = 147,5·0,79 = 116,5 кг;

Vсв = Vобщ·0,8 = (9,55·5,85·3,30)·0,8 = 147,5 м3.

Затем рассчитывается безразмерный параметр по формуле:

z = ·exp(1,4·) = 0,17.

Далее определяется критическая продолжительность пожара для данной j-ой схемы развития по каждому из опасных факторов:

а) повышенной температуре:

 

to - начальная температура в помещении, °С.

= 408 с.

б) потере видимости:


α - коэффициент отражения (альбедо) предметов на путях эвакуации 0,3;

Е - начальная освещенность путей эвакуации, лк;

D - дымообразующая способность горящего материала, Нп·м2·кг-1.

= 76,6 с.

в) по пониженному содержанию кислорода:

  

 - расход кислорода на сгорание 1 кг горящего материала, кг·кг-1.

= 357 с.

г) по каждому из газообразных токсичных продуктов горения:

 

 - предельно допустимое содержание данного газа в атмосфере помещения.

СО2 = 0,11 кг·м2.

 = 197 с.

Определяется критическая продолжительность пожара для данной расчетной схемы: τ = .

Таким образом  = 76,6 с.

Вероятность эвакуации по эвакуационным путям  определяется по формуле:


Местом возникновения пожара является раздевалка, где пожар может быть обнаружен одновременно всеми находящимися в нем людьми, то τН.Э. допускается принимать равным нулю.

В этом случае вероятность  определяется по формуле:


Где - время эвакуации людей из здания.

tp= 9с - расчетное время эвакуации из раздевалки.

Тогда вероятность  будет равна:


 принимаем равным 0,999 так как tp<0,8·τбл

Вероятность эвакуации  определяется по формуле:

Pэij = 1-(1-PЭ.Пij)×(1-PД.Вij)

Вероятность PД.Вij допускается принимать равной 0,001.

Тогда

э= 1-(1-0,999)×(1-0,001) = 0,999001

Условная вероятность поражения человека Qdij определяется по формуле:

dij = (1-Pэij)×(1-Dij),

ij допускается принимать равным нулю.

dij = (1-0,999001)×1 = 0,000999


Рi =  (5.3.1)

 - частота реализации в течении года j-го сценария пожара, год-1.

 = 0,6·10-5 год-1 - для инструментально-механических помещений.

Тогда

Р = 0,6·10-5·0,000999 = 0,0005834·10-5 год-1.

5.4    Расчет индивидуального пожарного риска

Величина индивидуального риска Rm (год-1) для работника m при его нахождении в здании объекта, обусловленная опасностью пожаров в здании, определяется по формуле:

  (5.4.1)

qim - вероятность присутствия работника m в i-ом помещении qm = 4/12 = 0,33

Rmрасчетный = 0,000583·10-5·0,33 = 1,956·10-9 год-1

Rmнормативный = 10-6 год-1.

Вывод: индивидуальный риск отвечает требуемому, так как соблюдается условие:

Rmрасчетный ≤ Rmнормативный.

Заключение

В данном курсовом проекте были проведены следующие виды работ: расчет фактического времени эвакуации людей из помещения общественного здания, категорирование общественного здания, расчет потенциального и индивидуального риска в помещении общественного здания, проведена экспертиза проектных материалов на соответствие пожарной безопасности.

В целом грубых нарушений требований пожарной безопасности при проектировании и строительстве здания допущено не было, все строительные конструкции соответствуют нормам.

Расчетные значения индивидуального и потенциального рисков соответствует нормативным значениям. Расчетное фактическое время эвакуации является достаточным для полной эвакуации людей из здания в случае пожара. Строительные материалы на путях эвакуации соответствуют нормативно-правовым документам.

При выполнении данного курсового проекта были закреплены основные понятия и требования в области пожарной безопасности зданий и сооружений, проработаны множество нормативно-правовых и нормативно-технических документов в области пожарной безопасности жилых зданий, отработана методика расчета фактического времени эвакуации людей из зданий.

Список используемой литературы

1.      Пожарная безопасность в строительстве. Методические указания к выполнению курсового проекта/А.С. Абрамов - Омск:Изд. ОмГТУ, 2009г.

.        Федеральный закон Российской Федерации от 22 июля 2008 г. № 123-ФЗ «Технический регламент о требованиях пожарной безопасности».

.        Федеральный закон от 21.12.1994 года №69-ФЗ «О пожарной безопасности».

.        ГОСТ 12.1.004-91 ССБТ. Пожарная безопасность. Общие требования.

.        Правила пожарной безопасности в Российской федерации (ППБ 01-03) - М.: Искра-М, 2000.

.        ГОСТ 12.4021-75 ССБТ. Системы вентиляционные. Общие требования безопасности.

.        СНиП 21-01-97 «Пожарная безопасность зданий и сооружений».

.        СНиП 41-01-2003 «Отопление, вентиляция и кондиционирование».

. СП 12.13130.2009 «Классификация зданий и помещений по взрывопожарной и пожарной опасности».

.        СП 1.13130.2009 «Системы противопожарной защиты. Эвакуационные пути и выходы».

.        СП 7.13130.2009 «Отопление, вентиляция и кондиционирование. Противопожарные требования».

.        СП 8.13130.2009 «Системы противопожарной защиты. Источники наружного противопожарного водоснабжения. Требования пожарной безопасности».

.        СП 10.13130.2009 «Системы противопожарной защиты. Внутренний противопожарный водопровод. Требования пожарной безопасности».

.        Приказ от 30 июня 2009 г. №382 «Об утверждении методики определения расчетных величин пожарного риска в зданиях, сооружениях и строениях различных классов функциональной пожарной опасности».

.        Приказ МЧС РФ от 10 июля 2009 г. № 404 «Об утверждении методики определения расчетных величин пожарного риска на производственных объектах».

.        Грушевский Б. В. и др. Противопожарная профилактика в строительстве. - М.: ВИПТШ, 1985 г.

.        Сучков В. П. Методы оценки пожарной опасности технологических процессов - М.: Госгортехнадзор России, 1999. - 190 с.

.        Сучков В. П. Методы оценки пожарной опасности технологических процессов: Практикум по курсу «Пожарная безопасность технологических процессов» - М.: Академия ГПС МВД России, 2001. - 152с.

.        Курсовое и дипломное проектирование по вентиляции гражданских и промышленных зданий: Учеб. пособие для вузов/ В. П. Титов, Э. В. Сазонов, Ю. С. Краснов, В. И. Новожилов. - М.: Стройиздат, 1985.-208с.

Приложение 1

Схема инженерных коммуникаций УЛК №5.


Похожие работы на - Противопожарная экспертиза архитектурно-строительной части проектных материалов здания лекционного корпуса №7 ОмГТУ

 

Не нашли материал для своей работы?
Поможем написать уникальную работу
Без плагиата!
Без нейросетей!