Прогнозирование опасных факторов пожара в помещении пищевой промышленности (пшеница, рис, гречиха и мука из них)
МИНИСТЕРСТВО
РОССИЙСКОЙ ФЕДЕРАЦИИ ПО ДЕЛАМ ГРАЖДАНСКОЙ ОБОРОНЫ, ЧРЕЗВЫЧАЙНЫМ СИТУАЦИЯМ И
ЛИКВИДАЦИИ ПОСЛЕДСТВИЙ СТИХИИЙНЫХ БЕДСТВИЙ
Академия
Государственной противопожарной службы
МЧС
России
КУРСОВАЯ
РАБОТА
ПО
ПРОГНОЗИРОВАНИЮ ОФП
Тема:
Прогнозирование опасных факторов пожара в помещении пищевой промышленности
(пшеница, рис, гречиха и мука из них)
Программа
ИРКР:1.) Определить критическую продолжительность пожара по условию достижения
каждым из ОФП предельно допустимых значений в зоне пребывания людей (рабочей
зоне) по формулам, приведенным в [3].
Определить
время блокирования эвакуационных путей из помещения, используя данные динамики
ОФП
.)Определить
изменение среднеобъемной температуры и положения ПРД при включении в заданный
момент времени развития пожара механической вытяжки
Выполнил: курсант уч. гр. 2711 ряд.
вн. сл. Запорожцев Е.А.
Проверил: преподаватель кафедры
Лебедченко О.С.
Москва
2014 год
Содержание
Введение
.
Исходные данные
.
Описание математической модели развития пожара в помещении
.
Расчет динамики опасных факторов пожара в помещении
.
Определение критической продолжительности пожара и времени блокирования
эвакуационных путей
.
Прогнозирование обстановки на пожаре к моменту прибытия первых подразделений на
тушение
.Исходные
условия для ИРКР, результаты расчетов и итоги исследования
Список
литературы
опасный пожар тушение эвакуационный
Введение
Для разработки экономически оптимальных и
эффективных противопожарных мероприятий необходим научно-обоснованный прогноз
динамики опасных факторов пожара. Прогнозирование динамики опасных факторов
пожара необходимо:
при разработке рекомендаций по обеспечению
безопасной эвакуации людей при пожаре;
при создании и совершенствовании систем
сигнализации и автоматических систем пожаротушения;
при разработке оперативных планов тушения
пожаров;
при оценке фактических пределов огнестойкости;
И для многих других целей.
Современные научные методы прогнозирования
динамики опасных факторов пожара основываются на математических моделях пожара.
Математическая модель пожара описывает в самом общем виде изменения параметров
состояния среды в помещении с течением времени. А также состояние ограждающих
конструкций этого помещения и различных элементов технологического
оборудования.
Математические модели пожара в помещении состоят
из дифференциальных уравнений, отображающих фундаментальные законы природы:
закон сохранения массы и закон сохранения энергии.
Математические модели пожара в помещении делятся
на три класса: интегральные, зонные и дифференциальные. В математическом
отношении вышеназванные три вида моделей пожара характеризуются разным уровнем
сложности. Для проведения расчетов опасных факторов пожара в помещении
отделочного цеха мебельного комбината выбираем интегральную математическую
модель развития пожара в помещении.
1.Исходные данные. Краткая характеристика
объекта
Общественное здание одноэтажное. Здание
построено из сборных железобетонных конструкций и кирпича.
Размеры помещения в плане:
Ширина = 9 м;
Длина = 12 м;
Высота = 3,6 м;
План помещения на рисунке п.1.
Рисунок 1 План помещения
В наружных стенах помещения
общественного здания имеется 3 одинаковых оконных проема, один из которых
открытый. Расстояние от пола до нижнего края каждого оконного проема = 0,8
м.Высота оконных проемов=2,6 м. Ширина каждого оконного проема=2 м. Остекление
оконных проемов выполнено из обычного стекла. Остекление разрушается при
среднеобъемной температуре газовой среды в помещении, равной; для 2-го проема -
19 °С, для 3-го -300 °С, для 4-го - 250 °С.
Отдел пищевой промышленности имеет
два одинаковых дверных проема, соединяющих помещение с наружной средой. Их
ширина равна 0,8м и высота 1,9м. При пожаре дверные проемы открыты.
Горючий материал представляет собой
пшеницу, рис, гречиху и муку из них. Горючий материал расположен на полу.
Размер площадки, занятой горючим материалом: длина=10 м, ширина=5 м. Количество
горючего материала составляет 1300кг.
Сбор исходных данных
Геометрические характеристики
объекта.
Выбирается положение центра
ортогональной системы координат в левом нижнем углу помещения на плане (рис.
п.1). Координатная ось х направлена вдоль длины помещения, ось у - вдоль его
ширины, ось z - вертикально вдоль высоты помещения.
Геометрические характеристики:
помещение: длина L=12 м; ширина B=9
м; высота H=3,6 м.
двери (количество дверей Nдо =2):
высота hд1,2=1,9м; ширина bд1,2=0,8м; координаты левого нижнего угла двери:yд1
=0 м;xд1 = 2 м;yд2 = 9м; xд2=9,2м(10м);
открытые окна (количество открытых
окон Nоо=1): высота hoo1,2=1,8 м; ширина boo1,2= 2 м; координаты одного нижнего
угла окна: xoo1= 0 м; yoo1= 3 м; zoo1=0,8м;
закрытые окна (количество закрытых
окон Nзо=2): высота hзо1=1,8 м; ширина bзо1=2,0м; координаты одного нижнего
угла окна: xзо1= 12 м; yзо1=1,5 м; zзо1=0,8м; температура разрушения остекления
Ткр=300С; xзо2= 12 м; yзо2=6м; zзо2=0,8м; температура разрушения остекления
Ткр=250С
Свойства горючей нагрузки выбираем
по типовой базе горючей нагрузки(приложение 3 цех пищевой промышленности
(пшеница, рис, гречиха и мука из них № 50.))
низшая рабочая теплота сгорания Qрн
= 17 МДж/кг ;
скорость распространения пламени Vл
= 0,005 м/с;(5 мм/с).
удельная скорость выгорания Ψ0 = 0,08 кг/(м2
с); (28, 8 кг/(м2 ч));
удельное дымовыделение D = 1096
Нп*м2/кг;
удельное потребление кислорода при
горении Lо2 = 0,968 кг/кг;
выделение окиси углерода Lсо = 0,163
кг/кг;
выделение двуокиси углерода Lсо2 =
0,812 кг/кг;
Остальные характеристики горячей
нагрузки:
суммарная масса горячей нагрузки Мₒ=1200
кг;
длина открытой поверхности lпн = 9
м;
ширина открытой поверхности bпн = 7
м;
высота открытой поверхности от
уровня пола hпн = 0 м;
Начальные граничные условия.
Задаемся начальными и граничными
условиями:
Температура газовой среды помещения
равна Tm0=20̊ С;(293К);
Температура наружного воздуха составляет
Та=-230 С;(250К);
Давления в газовой среде помещения и
наружном воздухе на уровне пола равны Ра = 105 Па.(101300Па).
Выбор сценария развития пожара.
Место возникновения горения
расположено в центре площадки, занятой ГМ
. Описание математической модели
развития пожара в помещении
Для расчета динамики опасных
факторов пожара используем интегральную математическую модель свободного
развития пожара в помещении.
Согласно исходным данным в базовой
системе дифференциальных уравнений следует положить, что
пр=0; Gвыт=0; Gов=0; Q0=0;
где Gпр и Gвыт - расходы приточного и вытяжного
вентиляторов;ов - расход газообразного огнетушащего вещества; Q0 - тепловой
поток, выделяемой системой отопления.
Для пожара при заданных условиях можно принять в
уравнении энергии что
т.е. внутренняя энергия среды в помещении при
пожаре практически остается неизменной
С учетом сказанного система основных уравнений
ИММП имеет вид
;
;
где V - объем помещения, м3; ρm,Tm,pm
- соответственно
среднеобъемные плотности, температуры и давления; μm
- среднеобъемная
концентрация продукта горения; XO2 - среднеобъемная концентрация кислорода.
. Расчет динамики опасных факторов пожара в
помещении
Для прогнозирования ОФП использована
интегральная модель математическая модель пожара, которую реализует программа
INTMODEL,
разработанная
на кафедре ИТиГ Академии ГПС МЧС России. В этой программе для численного
решения системы дифференциальных уравнений использован метод
Рунге-Кутта-Фельберга 4-5 порядка точности с переменным шагом.
Таблица п.3.1
Исходные данные для расчета динамики опасных
факторов пожара в помещение
|
Атмосфера:
Давление, мм.рт.ст. Температура, °С
|
|
|
760
|
|
20
|
|
Помещение:
Длина, м Ширина, м Высота, м
|
|
|
12
|
|
9
|
|
3,6
|
|
Температура,
°С
|
20
|
|
Количество
проемов
|
4
|
|
Координаты
первого проема:
|
|
|
нижний
срез, м.
|
0
|
|
верхний
срез, м.
|
1,9
|
|
ширина,
м.
|
1,6
|
|
вскрытие,
°С
|
19
|
|
Координаты
второго проема:
|
|
|
нижний
срез, м.
|
0,8
|
|
верхний
срез, м.
|
2,6
|
|
ширина,
м.
|
2
|
|
вскрытие,
°С
|
19
|
|
Координаты
третьего проема:
|
|
|
нижний
срез, м.
|
0,8
|
|
верхний
срез, м.
|
2,6
|
|
ширина,
м. вскрытие, °С
|
2
300
|
|
Координаты
четвертого проема: нижний срез, м. верхний срез, м. ширина, м. вскрытие, °С
Горючая нагрузка>>
|
0,8
2,6 2,0 250
|
|
Горючая
нагрузка:
|
|
|
Вид
горючей нагрузки: пшеница, рис, гречиха и мука из них.
|
Твердая
|
|
Длина,
м.
|
10
|
|
Ширина,
м.
|
5
|
|
Количество,
кг.
|
1300
|
|
Выделение
тепла, МДж/кг
|
17
|
|
Потребление
О2, кг/кг
|
1,968
|
|
Дымовыделение,
Нп*м2/кг
|
1096
|
|
Выделение
CO, кг/кг
|
0,1630
|
|
Выделение
CO2, кг/кг
|
0,8120
|
|
Скорость
выгорания, кг/(м2 час)
|
28,8
|
|
Линейная
скорость пламени, мм/с
|
5,00
|
Таблица п.3.2
Результаты расчетов динамики опасных факторов
пожара в помещении
|
Вpемя
мин
|
Т-pа,°С
|
Конц.О2
масс.%
|
Задымл.,
Нп/м
|
Дальн.
вид., м.
|
Конц.СО,
масс.%
|
Конц.СО2,
масс.%
|
Конц.ОВ,
масс.%
|
|
0.0
|
20
|
23.000
|
0.000
|
15.00
|
0.000
|
0.000
|
77.000
|
|
1.0
|
21
|
22.992
|
0.011
|
15.00
|
0.001
|
0.006
|
76.994
|
|
2.0
|
29
|
22.924
|
0.094
|
15.00
|
0.011
|
0.056
|
76.947
|
|
3.0
|
48
|
22.746
|
0.287
|
8.30
|
0.038
|
0.188
|
76.822
|
|
4.0
|
74
|
22.430
|
0.584
|
4.07
|
0.085
|
0.421
|
76.601
|
|
5.0
|
111
|
21.958
|
0.984
|
2.42
|
0.155
|
0.771
|
76.269
|
|
6.0
|
159
|
21.300
|
1.544
|
1.54
|
0.253
|
1.262
|
75.803
|
|
7.0
|
222
|
20.389
|
2.508
|
0.95
|
0.392
|
1.955
|
75.146
|
|
7.4
|
251
|
19.956
|
3.111
|
0.76
|
0.460
|
2.293
|
74.826
|
|
8.0
|
281
|
19.716
|
3.871
|
0.61
|
0.502
|
2.499
|
74.630
|
|
8.3
|
300
|
19.504
|
4.326
|
0.55
|
0.537
|
2.673
|
74.465
|
|
9.0
|
315
|
19.578
|
4.536
|
0.52
|
0.528
|
2.631
|
74.505
|
|
10.0
|
367
|
19.007
|
5.782
|
0.41
|
0.623
|
3.104
|
74.056
|
|
11.0
|
433
|
18.099
|
9.116
|
0.26
|
0.786
|
3.915
|
73.288
|
|
12.0
|
503
|
17.019
|
15.854
|
0.15
|
1.002
|
4.994
|
72.265
|
|
13.0
|
561
|
15.990
|
26.873
|
0.09
|
1.244
|
6.196
|
71.125
|
|
13.8
|
581
|
15.516
|
35.525
|
0.07
|
1.379
|
6.871
|
70.484
|
|
14.0
|
583
|
15.476
|
36.571
|
0.07
|
1.393
|
6.938
|
70.421
|
|
15.0
|
585
|
15.393
|
39.115
|
0.06
|
1.423
|
7.090
|
70.277
|
|
16.0
|
585
|
15.383
|
39.463
|
0.06
|
1.427
|
7.110
|
70.256
|
|
17.0
|
585
|
15.382
|
39.499
|
0.06
|
1.428
|
7.112
|
70.256
|
|
18.0
|
585
|
15.382
|
39.502
|
0.06
|
1.428
|
7.112
|
70.256
|
|
19.0
|
585
|
15.382
|
39.502
|
0.06
|
1.428
|
7.112
|
70.256
|
|
20.0
|
585
|
39.502
|
0.06
|
1.428
|
7.112
|
70.256
|
|
21.0
|
585
|
15.382
|
39.502
|
0.06
|
1.428
|
7.112
|
70.256
|
|
22.0
|
585
|
15.382
|
39.502
|
0.06
|
1.428
|
7.112
|
70.256
|
|
23.0
|
585
|
15.382
|
39.502
|
0.06
|
1.428
|
7.112
|
70.256
|
|
24.0
|
585
|
15.382
|
39.502
|
0.06
|
1.428
|
7.112
|
70.256
|
|
25.0
|
585
|
15.382
|
39.502
|
0.06
|
1.428
|
7.112
|
70.256
|
|
26.0
|
585
|
15.382
|
39.502
|
0.06
|
1.428
|
7.112
|
70.256
|
|
27.0
|
585
|
15.382
|
39.502
|
0.06
|
1.428
|
7.112
|
70.256
|
|
28.0
|
585
|
15.382
|
39.502
|
0.06
|
1.428
|
7.112
|
70.256
|
|
29.0
|
585
|
15.382
|
39.502
|
0.06
|
1.428
|
7.112
|
70.256
|
|
30.0
|
585
|
15.382
|
39.502
|
0.06
|
1.428
|
7.112
|
70.256
|
|
31.0
|
585
|
15.382
|
39.502
|
0.06
|
1.428
|
7.112
|
70.256
|
|
32.0
|
585
|
15.382
|
39.502
|
0.06
|
1.428
|
7.112
|
70.256
|
|
33.0
|
482
|
16.809
|
28.326
|
0.08
|
1.114
|
5.548
|
71.739
|
|
34.0
|
329
|
19.156
|
8.996
|
0.26
|
0.621
|
3.096
|
74.065
|
|
35.0
|
256
|
20.197
|
4.138
|
0.58
|
0.433
|
2.158
|
74.954
|
|
36.0
|
213
|
20.759
|
2.690
|
0.88
|
0.340
|
1.695
|
75.393
|
|
37.0
|
181
|
21.139
|
2.042
|
1.17
|
0.280
|
1.397
|
75.676
|
|
38.0
|
156
|
21.423
|
1.658
|
1.44
|
0.236
|
1.178
|
75.883
|
|
39.0
|
136
|
21.648
|
1.392
|
1.71
|
0.202
|
1.007
|
76.045
|
|
40.0
|
120
|
21.831
|
1.192
|
2.00
|
0.174
|
0.869
|
76.176
|
|
41.0
|
106
|
21.982
|
1.033
|
2.30
|
0.152
|
0.755
|
76.284
|
|
42.0
|
94
|
22.110
|
0.902
|
2.64
|
0.132
|
0.660
|
76.374
|
|
43.0
|
84
|
22.219
|
0.791
|
3.01
|
0.116
|
0.579
|
76.451
|
|
44.0
|
76
|
22.311
|
0.697
|
3.42
|
0.102
|
0.510
|
76.517
|
|
45.0
|
68
|
22.391
|
0.615
|
3.87
|
0.090
|
0.450
|
76.573
|
|
46.0
|
62
|
22.461
|
0.544
|
4.38
|
0.080
|
0.399
|
76.622
|
|
47.0
|
57
|
22.521
|
0.480
|
4.96
|
0.071
|
0.354
|
76.664
|
|
48.0
|
52
|
22.575
|
0.423
|
5.63
|
0.063
|
0.314
|
76.702
|
|
49.0
|
48
|
22.623
|
0.373
|
6.39
|
0.056
|
0.279
|
76.736
|
|
50.0
|
45
|
22.665
|
0.328
|
7.25
|
0.050
|
0.248
|
76.765
|
|
51.0
|
42
|
22.701
|
0.289
|
8.23
|
0.044
|
0.221
|
76.791
|
|
52.0
|
39
|
22.734
|
0.255
|
9.34
|
0.039
|
0.197
|
76.813
|
|
53.0
|
37
|
22.762
|
0.224
|
10.60
|
0.03
|
0.176
|
76.833
|
|
54.0
|
35
|
22.787
|
0.198
|
12.04
|
0.032
|
0.157
|
76.851
|
|
55.0
|
33
|
22.810
|
0.174
|
13.69
|
0.028
|
0.141
|
76.867
|
|
55.3
|
33
|
22.816
|
0.167
|
14.28
|
0.027
|
0.136
|
76.871
|
Таблица п.3.3
Результаты расчетов динамики опасных факторов
пожара в помещении
|
Вpемя
мин
|
Плотн.
газ кг/м3
|
Избыт.
давл., Па
|
Высота
ПРД, м
|
Пpиток
воздуха
|
Истечение
газа
|
Скорость
выгор., г/с
|
|
|
|
|
м3/с
|
кг/с
|
м3/с
|
кг/с
|
|
|
0.0
|
1.2053
|
0.00
|
1.36
|
0.003
|
0.004
|
0.003
|
0.004
|
0.0
|
|
1.0
|
1.2007
|
0.02
|
1.28
|
0.350
|
0.421
|
0.443
|
0.532
|
2.3
|
|
2.0
|
1.1682
|
0.19
|
1.27
|
0.974
|
1.174
|
1.304
|
1.523
|
9.1
|
|
3.0
|
1.1015
|
0.54
|
1.27
|
1.620
|
1.952
|
2.253
|
2.482
|
20.5
|
|
4.0
|
1.10170
|
0.99
|
1.26
|
2.163
|
2.607
|
3.182
|
3.236
|
|
5.0
|
0.9202
|
1.54
|
1.25
|
2.606
|
3.141
|
4.189
|
3.854
|
60.9
|
|
6.0
|
0.8176
|
2.16
|
1.23
|
2.957
|
3.564
|
5.297
|
4.331
|
94.6
|
|
7.0
|
0.7136
|
2.84
|
1.21
|
3.212
|
3.872
|
6.568
|
4.687
|
144.0
|
|
7.4
|
0.6747
|
3.11
|
1.20
|
3.284
|
3.959
|
7.102
|
4.792
|
168.8
|
|
8.0
|
0.6377
|
2.53
|
1.35
|
5.338
|
6.434
|
11.186
|
7.133
|
232.2
|
|
8.3
|
0.6165
|
2.66
|
1.34
|
5.378
|
6.482
|
11.685
|
7.203
|
254.1
|
|
9.0
|
0.6004
|
2.31
|
1.41
|
7.412
|
8.934
|
15.818
|
9.498
|
311.2
|
|
10.0
|
0.5523
|
2.62
|
1.39
|
7.449
|
8.978
|
17.575
|
9.707
|
387.3
|
|
11.0
|
0.5003
|
2.95
|
1.37
|
7.483
|
9.020
|
19.668
|
9.840
|
496.9
|
|
12.0
|
0.4551
|
3.27
|
1.36
|
7.476
|
9.012
|
21.758
|
9.902
|
636.3
|
|
13.0
|
0.4234
|
3.50
|
1.34
|
7.453
|
8.984
|
23.405
|
9.911
|
783.4
|
|
13.8
|
0.4134
|
3.56
|
1.34
|
7.471
|
9.005
|
23.900
|
9.883
|
847.6
|
|
14.0
|
0.4128
|
3.56
|
1.34
|
7.474
|
9.008
|
23.932
|
9.879
|
853.6
|
|
15.0
|
0.4117
|
3.57
|
1.34
|
7.475
|
9.010
|
23.985
|
9.876
|
863.6
|
|
16.0
|
0.4116
|
3.57
|
1.34
|
7.475
|
9.010
|
23.991
|
9.875
|
864.8
|
|
17.0
|
0.4116
|
3.57
|
1.34
|
7.475
|
9.010
|
23.992
|
9.875
|
865.0
|
|
18.0
|
0.4116
|
3.57
|
1.34
|
7.475
|
9.010
|
23.992
|
9.875
|
865.0
|
|
19.0
|
0.4116
|
3.57
|
1.34
|
7.475
|
9.010
|
23.992
|
9.875
|
865.0
|
|
20.0
|
0.4116
|
3.57
|
1.34
|
7.475
|
9.010
|
23.992
|
9.875
|
865.0
|
|
21.0
|
0.4116
|
3.57
|
1.34
|
7.475
|
9.010
|
23.992
|
9.875
|
865.0
|
|
22.0
|
0.4116
|
3.57
|
1.34
|
7.475
|
9.010
|
23.992
|
9.875
|
865.0
|
|
23.0
|
0.4116
|
3.57
|
1.34
|
7.475
|
9.010
|
23.992
|
9.875
|
865.0
|
|
24.0
|
0.4116
|
3.57
|
1.34
|
7.475
|
9.010
|
23.992
|
9.875
|
865.0
|
|
25.0
|
0.4116
|
3.57
|
1.34
|
7.475
|
9.010
|
23.992
|
9.875
|
865.0
|
|
26.0
|
0.4116
|
3.57
|
1.34
|
7.475
|
9.010
|
23.992
|
9.875
|
865.0
|
|
27.0
|
0.4116
|
3.57
|
1.34
|
7.475
|
9.010
|
23.992
|
9.875
|
865.0
|
|
28.0
|
0.4116
|
3.57
|
1.34
|
7.475
|
9.010
|
23.992
|
9.875
|
865.0
|
|
29.0
|
0.4116
|
3.57
|
1.34
|
7.475
|
9.010
|
23.992
|
9.875
|
865.0
|
|
30.0
|
0.4116
|
3.57
|
1.34
|
7.475
|
9.010
|
23.992
|
9.875
|
865.0
|
|
31.0
|
0.4116
|
3.57
|
1.34
|
7.475
|
9.010
|
23.992
|
9.875
|
865.0
|
|
32.0
|
0.4116
|
3.57
|
1.34
|
7.475
|
9.010
|
23.992
|
9.875
|
865.0
|
|
33.0
|
0.4680
|
2.91
|
1.40
|
8.008
|
9.652
|
20.110
|
9.412
|
568.5
|
|
34.0
|
0.5867
|
2.20
|
1.44
|
7.862
|
9.476
|
15.584
|
9.142
|
305.7
|
|
35.0
|
0.6674
|
1.83
|
1.45
|
7.546
|
9.096
|
13.302
|
8.877
|
215.2
|
|
36.0
|
0.7273
|
1.56
|
1.47
|
7.269
|
8.761
|
11.792
|
8.576
|
165.7
|
|
37.0
|
0.7779
|
1.35
|
1.48
|
6.996
|
8.433
|
10.618
|
8.259
|
131.8
|
|
38.0
|
0.8225
|
1.18
|
1.49
|
6.719
|
8.099
|
9.644
|
7.932
|
106.5
|
|
39.0
|
0.8626
|
1.03
|
1.49
|
6.437
|
7.759
|
8.810
|
7.599
|
86.8
|
|
40.0
|
0.8990
|
0.90
|
1.50
|
6.152
|
7.415
|
8.080
|
7.263
|
|
41.0
|
0.9319
|
0.79
|
1.51
|
5.866
|
7.070
|
7.432
|
6.927
|
58.6
|
|
42.0
|
0.9618
|
0.69
|
1.51
|
5.580
|
6.726
|
6.853
|
6.591
|
48.4
|
|
43.0
|
0.9889
|
0.60
|
1.52
|
5.298
|
6.385
|
6.330
|
6.260
|
40.0
|
|
44.0
|
1.0134
|
0.53
|
1.52
|
5.019
|
6.050
|
5.855
|
5.933
|
33.1
|
|
45.0
|
1.0354
|
0.46
|
1.52
|
4.747
|
5.721
|
5.422
|
5.614
|
27.4
|
|
46.0
|
1.0553
|
0.40
|
1.53
|
4.481
|
5.401
|
5.025
|
5.303
|
22.7
|
|
47.0
|
1.0715
|
0.36
|
1.53
|
4.242
|
5.113
|
4.698
|
5.034
|
18.8
|
|
48.0
|
1.0862
|
0.32
|
1.53
|
4.016
|
4.841
|
4.388
|
4.766
|
15.5
|
|
49.0
|
1.0995
|
0.28
|
1.53
|
3.796
|
4.575
|
4.099
|
4.507
|
12.9
|
|
50.0
|
1.1114
|
0.25
|
1.53
|
3.585
|
4.321
|
3.833
|
4.260
|
10.7
|
|
51.0
|
1.1220
|
0.22
|
1.53
|
3.384
|
4.079
|
3.586
|
4.023
|
8.9
|
|
52.0
|
1.1314
|
0.19
|
1.53
|
3.193
|
3.848
|
3.357
|
3.798
|
7.3
|
|
53.0
|
1.1398
|
0.17
|
1.54
|
3.011
|
3.629
|
3.145
|
3.585
|
6.1
|
|
54.0
|
1.1472
|
0.15
|
1.54
|
2.839
|
3.422
|
2.948
|
3.382
|
5.0
|
|
55.0
|
1.1538
|
0.13
|
1.545
|
2.676
|
3.225
|
2.764
|
3.189
|
4.2
|
|
55.3
|
1.1559
|
0.13
|
1.54
|
2.623
|
3.162
|
2.706
|
3.127
|
3.9
|
Таблица п.3.4
Результаты расчетов динамики опасных факторов
пожара в помещении
|
Вpемя
гор., мин
|
Конц.
ОВ масс.%
|
Т-pа
°С
|
Конц.О2
масс.%
|
Полн.сгор.,
масс,%
|
Удельная
ск. выг., кг/(м2ч)
|
Выг.
масса, кг
|
Скор.
выг., г/с
|
Площадь
м2
|
|
0.0
|
77.000
|
20
|
23.000
|
89.805
|
28.800
|
0.000
|
0.0
|
0.00
|
|
1.0
|
76.994
|
21
|
22.992
|
89.805
|
28.800
|
0.036
|
2.3
|
0.28
|
|
2.0
|
76.947
|
29
|
22.924
|
89.803
|
28.820
|
0.333
|
9.1
|
1.13
|
|
3.0
|
76.822
|
48
|
22.746
|
89.782
|
28.967
|
1.185
|
20.5
|
2.55
|
|
4.0
|
76.601
|
74
|
22.430
|
89.684
|
29.427
|
2.880
|
37.3
|
4.56
|
|
5.0
|
76.269
|
111
|
21.958
|
89.395
|
30.384
|
5.774
|
60.9
|
7.22
|
|
6.0
|
75.803
|
159
|
21.300
|
88.697
|
32.016
|
10.365
|
94.6
|
10.63
|
|
7.0
|
75.146
|
222
|
20.389
|
87.138
|
34.558
|
17.407
|
144.0
|
15.01
|
|
7.4
|
74.826
|
251
|
19.956
|
86.149
|
35.830
|
20.927
|
168.8
|
16.96
|
|
8.0
|
74.630
|
281
|
19.716
|
85.532
|
40.116
|
28.814
|
232.2
|
20.84
|
|
8.3
|
74.465
|
300
|
19.504
|
84.946
|
40.728
|
33.074
|
254.1
|
22.46
|
|
9.0
|
74.505
|
315
|
19.578
|
85.154
|
42.467
|
45.607
|
311.2
|
26.38
|
|
10.0
|
74.056
|
367
|
19.007
|
83.415
|
44.271
|
66.338
|
387.3
|
31.50
|
|
11.0
|
73.288
|
433
|
18.099
|
80.074
|
48.624
|
92.653
|
496.9
|
36.79
|
|
12.0
|
72.265
|
503
|
17.019
|
75.195
|
53.902
|
126.469
|
636.3
|
42.50
|
|
13.0
|
71.125
|
561
|
15.990
|
69.688
|
58.191
|
169.063
|
783.4
|
48.47
|
|
13.8
|
70.484
|
581
|
15.516
|
66.955
|
61.030
|
209.980
|
847.6
|
50.00
|
|
14.0
|
70.421
|
583
|
15.476
|
66.659
|
61.460
|
218.648
|
853.6
|
50.00
|
|
15.0
|
70.277
|
585
|
15.393
|
66.154
|
62.182
|
270.254
|
863.6
|
50.00
|
|
16.0
|
70.258
|
585
|
15.383
|
66.093
|
62.268
|
322.117
|
864.8
|
50.00
|
|
17.0
|
70.256
|
585
|
15.382
|
66.087
|
62.277
|
374.012
|
865.0
|
50.00
|
|
18.0
|
70.256
|
585
|
15.382
|
66.087
|
62.278
|
865.0
|
50.00
|
|
19.0
|
70.256
|
585
|
15.382
|
66.087
|
62.278
|
477.808
|
865.0
|
50.00
|
|
20.0
|
70.256
|
585
|
15.382
|
66.087
|
62.278
|
529.706
|
865.0
|
50.00
|
|
21.0
|
70.256
|
585
|
15.382
|
66.087
|
62.278
|
581.604
|
865.0
|
50.00
|
|
22.0
|
70.256
|
585
|
15.382
|
66.087
|
62.278
|
633.502
|
865.0
|
50.00
|
|
23.0
|
70.256
|
585
|
15.382
|
66.087
|
62.278
|
685.400
|
865.0
|
50.00
|
|
24.0
|
70.256
|
585
|
15.382
|
66.087
|
62.278
|
737.298
|
865.0
|
50.00
|
|
25.0
|
70.256
|
585
|
15.382
|
66.087
|
62.278
|
789.196
|
865.0
|
50.00
|
|
26.0
|
70.256
|
585
|
15.382
|
66.087
|
62.278
|
841.094
|
865.0
|
50.00
|
|
27.0
|
70.256
|
585
|
15.382
|
66.087
|
62.278
|
892.992
|
865.0
|
50.00
|
|
28.0
|
70.256
|
585
|
15.382
|
66.087
|
62.278
|
944.891
|
865.0
|
50.00
|
|
29.0
|
70.256
|
585
|
15.382
|
66.087
|
62.278
|
996.789
|
865.6
|
50.00
|
|
30.0
|
70.256
|
585
|
15.382
|
66.087
|
62.278
|
1048.687
|
865.0
|
50.00
|
|
31.0
|
70.256
|
585
|
15.382
|
66.087
|
62.278
|
1100.585
|
865.0
|
50.00
|
|
32.0
|
70.256
|
585
|
15.382
|
66.087
|
62.278
|
1152.483
|
865.0
|
50.00
|
|
33.0
|
71.739
|
482
|
16.809
|
74.134
|
40.929
|
1199.327
|
568.5
|
50.00
|
|
34.0
|
74.065
|
329
|
19.156
|
83.898
|
22.012
|
1224.041
|
305.7
|
50.00
|
|
35.0
|
74.954
|
256
|
20.197
|
86.719
|
15.494
|
1239.350
|
215.2
|
50.00
|
|
36.0
|
75.393
|
213
|
20.759
|
87.856
|
11.931
|
1250.700
|
165.7
|
50.00
|
|
37.0
|
75.676
|
181
|
21.139
|
88.471
|
9.489
|
1259.602
|
131.8
|
50.00
|
|
38.0
|
75.883
|
156
|
21.423
|
88.854
|
7.668
|
1266.747
|
106.5
|
50.00
|
|
39.0
|
76.045
|
136
|
21.648
|
89.110
|
6.253
|
1272.553
|
86.8
|
50.00
|
|
40.0
|
76.176
|
120
|
21.831
|
89.288
|
5.128
|
1277.305
|
71.2
|
50.00
|
|
41.0
|
76.284
|
106
|
21.982
|
89.415
|
4.221
|
1281.214
|
58.6
|
50.00
|
|
42.0
|
76.374
|
94
|
22.110
|
89.508
|
3.482
|
1284.438
|
48.4
|
50.00
|
|
43.0
|
76.451
|
84
|
22.219
|
89.576
|
2.878
|
1287.104
|
40.0
|
50.00
|
|
44.0
|
76.517
|
76
|
22.311
|
89.628
|
2.380
|
1289.311
|
33.1
|
50.00
|
|
45.0
|
76.573
|
68
|
22.391
|
89.667
|
1.970
|
1291.140
|
27.4
|
50.00
|
|
46.0
|
76.622
|
62
|
22.461
|
89.697
|
1.631
|
1292.656
|
22.7
|
50.00
|
|
47.0
|
76.664
|
57
|
22.521
|
89.720
|
1.351
|
1293.913
|
18.8
|
50.00
|
|
48.0
|
76.702
|
52
|
22.575
|
89.738
|
1.119
|
1294.954
|
15.5
|
50.00
|
|
49.0
|
76.736
|
48
|
22.623
|
89.753
|
0.928
|
1295.817
|
12.9
|
50.00
|
|
50.0
|
76.765
|
45
|
22.665
|
89.764
|
0.769
|
1296.532
|
10.7
|
50.00
|
|
51.0
|
76.791
|
42
|
22.701
|
89.772
|
0.637
|
1297.125
|
8.9
|
50.00
|
|
52.0
|
76.813
|
39
|
22.734
|
89.779
|
0.528
|
1297.616
|
7.3
|
50.00
|
|
53.0
|
76.833
|
37
|
22.762
|
89.785
|
0.438
|
1298.023
|
6.1
|
50.00
|
|
54.0
|
76.851
|
35
|
22.787
|
89.789
|
0.363
|
1298.361
|
5.0
|
50.00
|
|
55.0
|
76.867
|
33
|
22.810
|
89.792
|
0.301
|
1298.641
|
4.2
|
50.00
|
|
55.3
|
76.871
|
33
|
22.816
|
89.793
|
0.283
|
1298.723
|
3.9
|
50.00
|
|
|
|
|
|
|
|
|
|
|
Таблица п3.5
Результаты расчетов динамики опасных факторов
пожара в помещении
|
Вpемя
мин
|
Т-pа
°С
|
Т-ра
поверхности, °С
|
Коэф.
теплообмена, Вт/(м2К)
|
Тепл.
поток, кВт
|
|
0.0
|
20
|
20
|
0.000
|
0.0
|
0.00
|
|
1.0
|
21
|
20
|
3.922
|
3.5
|
1.27
|
|
2.0
|
29
|
22
|
7.933
|
58.7
|
21.18
|
|
3.0
|
48
|
26
|
11.336
|
245.0
|
88.32
|
|
4.0
|
74
|
33
|
13.797
|
572.9
|
206.57
|
|
5.0
|
111
|
44
|
15.008
|
1010.3
|
364.27
|
|
6.0
|
159
|
60
|
16.766
|
1654.0
|
596.37
|
|
7.0
|
222
|
87
|
19.379
|
2617.8
|
943.88
|
|
7.4
|
251
|
101
|
20.694
|
3133.2
|
1118.41
|
|
8.0
|
281
|
116
|
22.195
|
3651.3
|
1303.38
|
|
8.3
|
300
|
127
|
23.190
|
4054.2
|
1432.59
|
|
9.0
|
315
|
136
|
24.020
|
4313.5
|
1524.21
|
|
10.0
|
367
|
167
|
27.027
|
5383.8
|
1902.42
|
|
11.0
|
433
|
214
|
31.496
|
6915.8
|
2443.77
|
|
12.0
|
503
|
268
|
37.010
|
8690.5
|
3070.89
|
|
13.0
|
561
|
319
|
42.294
|
10260.2
|
3625.54
|
|
13.8
|
581
|
337
|
44.292
|
10818.7
|
3822.91
|
|
14.0
|
583
|
339
|
44.444
|
10860.6
|
3837.69
|
|
15.0
|
585
|
341
|
44.666
|
10921.1
|
3859.09
|
|
16.0
|
585
|
341
|
44.691
|
10927.9
|
3861.50
|
|
17.0
|
585
|
341
|
44.693
|
10928.6
|
3861.74
|
|
18.0
|
585
|
341
|
44.694
|
10928.7
|
3861.76
|
|
19.0
|
585
|
341
|
44.694
|
10928.7
|
3861.76
|
|
20.0
|
585
|
341
|
44.694
|
10928.7
|
3861.76
|
|
21.0
|
585
|
341
|
44.694
|
10928.7
|
3861.76
|
|
22.0
|
585
|
341
|
44.694
|
10928.7
|
3861.76
|
|
23.0
|
585
|
341
|
44.694
|
10928.7
|
3861.76
|
|
24.0
|
585
|
341
|
44.694
|
10928.7
|
3861.76
|
|
25.0
|
585
|
341
|
44.694
|
10928.7
|
3861.76
|
|
26.0
|
585
|
341
|
44.694
|
10928.7
|
3861.76
|
|
27.0
|
585
|
341
|
44.694
|
10928.7
|
3861.76
|
|
28.0
|
585
|
341
|
44.694
|
10928.7
|
3861.76
|
|
29.0
|
585
|
341
|
44.694
|
10928.7
|
3861.76
|
|
30.0
|
585
|
341
|
44.694
|
10928.7
|
3861.76
|
|
31.0
|
585
|
341
|
44.694
|
10928.7
|
3861.76
|
|
32.0
|
585
|
341
|
44.694
|
10928.7
|
3861.76
|
|
33.0
|
482
|
251
|
35.225
|
8130.9
|
2873.13
|
|
34.0
|
329
|
144
|
24.796
|
4592.3
|
1622.74
|
|
35.0
|
256
|
104
|
20.970
|
3203.1
|
1131.85
|
|
36.0
|
213
|
83
|
18.968
|
2466.0
|
871.37
|
|
37.0
|
181
|
69
|
17.639
|
1975.9
|
698.19
|
|
38.0
|
156
|
59
|
16.667
|
1617.6
|
571.60
|
|
39.0
|
136
|
52
|
15.918
|
1342.7
|
474.47
|
|
40.0
|
120
|
46
|
15.323
|
1125.3
|
397.65
|
|
41.0
|
106
|
42
|
14.841
|
949.8
|
335.63
|
|
42.0
|
94
|
38
|
14.444
|
806.0
|
284.79
|
|
43.0
|
84
|
36
|
14.114
|
686.7
|
242.66
|
|
44.0
|
76
|
33
|
13.837
|
587.0
|
207.41
|
|
45.0
|
68
|
31
|
13.602
|
503.0
|
177.72
|
|
46.0.
|
62
|
29
|
13.403
|
431.8
|
152.57
|
|
47.0
|
57
|
28
|
12.419
|
352.9
|
124.69
|
|
48.0
|
52
|
27
|
11.908
|
298.2
|
105.38
|
|
49.0
|
48
|
26
|
11.413
|
251.7
|
88.94
|
|
50.0
|
45
|
25
|
10.940
|
212.5
|
75.08
|
|
51.0
|
42
|
25
|
10.488
|
179.5
|
63.42
|
|
52.0
|
39
|
24
|
10.056
|
151.7
|
53.61
|
|
53.0
|
37
|
24
|
9.644
|
128.3
|
45.33
|
|
54.0
|
35
|
23
|
9.249
|
108.6
|
38.36
|
|
55.0
|
23
|
8.872
|
91.9
|
32.47
|
|
55.3
|
33
|
23
|
8.750
|
86.9
|
30.72
|
|
|
|
|
|
|
|
Примечание:
При τ=4.5 мин.
разрушается оконное остекление;
При τ=5.8 мин.
площадь ГМ охвачена огнем полностью;
При τ=30.0 мин.
полное выгорание горючей нагрузки.
Графики зависимости Tm(τ),
µm(τ), XO2(τ), XCO2(τ), XCO(τ), Sпож(τ),
Y*(τ), lвид(τ) представлены
на рисунке п.3.1-п3.8
.Определение критической продолжительности
пожара и времени блокирования эвакуационных путей
Обеспечению безопасности людей при возможном
пожаре необходимо уделять первостепенное значение.
Основополагающий документ, регламентирующий
пожарную безопасность в России - ФЗ № 123 "Технический регламент"
определяет эвакуацию как один из основных способов обеспечения безопасности
людей при пожарах в зданиях и сооружениях.
Основным критерием обеспечения безопасности
людей при пожаре • является время блокирования эвакуационных путей τбл.
Время блокирования эвакуационных путей вычисляется путем расчета минимального
значения критической продолжительности пожара. Критическая продолжительность
пожара есть время достижения предельно допустимых для человека опасных факторов
пожара.
Таким образом, для расчета времени блокирования
эвакуационных путей τбл
необходимо располагать методом расчета критической продолжительности пожара.
Вопрос о точности метода расчета критической продолжительности пожара является
ключевым в решении задачи обеспечения безопасной эвакуации людей на пожаре.
Недооценка пожарной опасности, равно как и ее переоценка, может привести к
большим экономическим и социальным потерям
Определим с помощью полученных на ПЭВМ данных по
динамике ОФП время блокирования эвакуационных путей т§„ из помещения цеха. Для
этого предварительно найдем время достижения каждым опасным фактором его
критического значения.
К опасным факторам пожара, воздействующим на
людей и имущество, относятся:
)пламя и искры;
)тепловой поток;
)повышенная температура окружающей среды;
)повышенная концентрация токсичных продуктов
горения и термического разложения;
)пониженная концентрация кислорода;
)снижение видимости в дыму.
Критические значения ОФП принимаем по [2,3]
(таблица п.4.1).
Таблица п.4.1
Предельно допустимые значения ОФП
|
ОФП,
обозначение, размерность
|
ПЗД
|
|
Температура
t, °С
|
70
|
|
Парциальная
плотность, кг/м3
|
|
|
-кислорода
ρ1
|
0,226
|
|
-оксида
углерода ρ2
|
0,00116
|
|
-диоксида
углерода ρ2
|
0,11
|
|
-хлористого
водорода ρ2
|
23·10-6
|
|
Оптическая
плотность дыма μ, Непер/м
|
2,38/l
|
|
Тепловой
поток, Вт/м2
|
1400
|
Таким образом, критическое значение температуры
на уровне рабочей зоны равно 70°С. Для определения времени достижения
температурой этого значения рассчитаем, какова же будет среднеобъемная
температура, если на уровне рабочей зоны температура будет критической. Связь
между локальными и среднеобъемными значениями ОФП по высоте помещения имеет
следующий вид [11]:
(ОФП - ОФПо) = (ОФПm - ОФПо)Z,(п.4.1)
где ОФП - локальное (предельно допустимое)
значение ОФП;ОФП0 - начальное значение ОФП; ОФПm - среднеобъемное значение
опасного фактора; Z - параметр, вычисляемый по формуле:
(п.4.2)
где H - высота помещения, м; h - уровень рабочей
зоны, м. Высоту рабочей зоны h определяем по формуле
= hпл+1,7, (п.4.3)
где hпл - высота площадки, на которой находятся
люди, над полом помещения, м.
Наибольшей опасности при пожаре подвергаются
люди, находящиеся на более высокой отметке [2]. В нашем случае принимаем hпл =
0. Тогда
=0+1,7=1,7 м
Значение параметра Z на уровне рабочей зоны
будет равно:
Тогда при достижении на уровне рабочей зоны
температуры 70°С среднеобъемная температура будет равна:
Этого значения среднеобъемная температура
достигает, примерно, через 4,0 минуты после начала пожара (таблица п.3.2).
Для успешной эвакуации людей дальность видимости
при задымлении помещения при пожаре должна быть не меньше расстояния от
наиболее удаленного рабочего места до эвакуационного выхода. Дальность
видимости на путях эвакуации должна быть не менее 20 м [ 2 ]. Дальность
видимости связана с оптической плотностью дыма следующим соотношением [11]:
пр=2,38/μ(4.4)
Отсюда, предельная дальность видимости на уровне
рабочей зоны будет соответствовать следующему значению оптической плотности
дыма:
пр=2,38/20 пр=0,119 Нп/м
При этом среднеобъемный уровень задымленности
будет равен:
По таблице п.3.2 получаем τμ=
2,6
минут.
Предельная парциальная плотность кислорода на
путях эвакуации составляет 0,226 кг/м3.
При достижении на уровне рабочей зоны
парциальной плотностью О2 этого значения, среднеобъемная плотность кислорода
составит:
Для определения времени достижения концентрацией
кислорода этого значения строим график зависимости среднеобъемной плотности
кислорода от времени пожара (рисунок п.4.1).
(п.4.5)
В соответствии с рисунком п.3.9 время достижения
критического значения парциальной плотности кислорода составляет 5 минут.
Предельная парциальная плотность оксида углерода
на путях эвакуации составляет 1,16·10-3 кг/м3. При достижении на уровне рабочей
зоны парциальной плотностью СО этого значения, среднеобъемная плотность оксида
углерода составит:
Такого значения среднеобъемная парциальная
плотность СО за время расчета достигает за 6 минут (рисунок п.4.2.).
Предельное значение парциальной плотности СO2 на
уровне рабочей зоны равно 0,11 кг/м3. При этом среднеобъемное значение
плотности диоксида углерода будет равно:
Такого значения парциальная плотность СO2 за
время расчета не достигает (рисунок п.4.3).
Предельно допустимое значение теплового потока
на путях эвакуации составляет 1400 Вт/м2. В первом приближении оценить значение
плотности теплового потока на путях эвакуации можно по данным таблицы п.3.5.
Средняя плотность теплового потока на путях
эвакуации достигает своего критического значения через 5,7 минуты от начала
пожара (таблица п. 3.5).
Как видим, быстрее всего критического значения
достигает температура газовой среды в помещении, следовательно, τt=
4 мин.
. Прогнозирование обстановки на пожаре к моменту
прибытия первых подразделений на тушение
Определяем обстановку на пожаре к моменту
прибытия на пожар первых подразделений. Она определяется расчетом, при этом
используются данные, полученные при расчете динамики опасных факторов пожара.
На основании анализа полученных данных производится расчет сил и средств,
оценка обстановки на пожаре, намечаются действия первых подразделений.
Первые подразделения прибывают на пожар через 4
мин после его начала. В это время площадь пожара составляет 4,56 м2,
среднеобъемная температура в помещении составляет 74°С, тогда температура на
уровне рабочей зоны (принимаем 1,7 м) для личного состава будет составлять
(формула п.4.1):
При такой температуре личный состав должен
работать в средствах защиты от повышенной температуры.
Высота плоскости равных давлений на 4 минуте
пожара составляет 1,26 м, это ухудшает видимость на пожаре. Все имеющиеся
открытые проемы будут работать в смешанном режиме газообмена, т. е. через
верхние части проемов, расположенных выше плоскости равных давлений, будут
истекать дымовые газы из помещения, а в нижней части проемов будет подсос
наружного воздуха. С учетом направления ветра, независимо от высоты
расположения нейтральной плоскости, возможно задымление помещений и прилегающей
территории с подветренной стороны. План помещения и схемы газообмена помещения
с окружающей средой через открытые проемы показана на рисунке п.5.1.
Рис.п. 5.1 а План помещения
Среднеобъемная оптическая плотность дыма в
помещении на 4 минуте пожара составляет 0,584 Нп/м.
На уровне рабочей зоны значение оптической
плотности дыма будет составлять:
Тогда дальность видимости на уровне рабочей зоны
составит:вид=2,38/0,531вид =4,5 м
Среднеобъемное значение парциальной плотности
кислорода в помещении на 4 минуте пожара составляет 0,267 кг/м3 (рисунок
п.3.9).
Содержание кислорода на рабочем уровне составит:
Полученное значение парциальной плотности
кислорода ниже критического значения, поэтому необходимо предусмотреть работу
личного состава в средствах индивидуальной защиты органов дыхания.
Среднеобъемное значение парциальной плотности
оксида углерода в помещении на 4 минуте пожара определим по формуле:
(п.5.1)
Тогда
Содержание оксида углерода на рабочем уровне
составит:
Полученное значение парциальной плотности оксида
углерода ниже критического значения, поэтому для личного состава этот опасный
фактор пожара не опасен.
Среднеобъемное значение парциальной плотности
диоксида углерода в помещении на 4 минуте пожара определим по формуле:
(п.5.2)
Тогда
Содержание диоксида углерода на рабочем уровне
составит
Полученное значение парциальной плотности
диоксида углерода ниже критического значения, поэтому для личного состава этот
опасный фактор пожара не опасен.
. Исходные условия для ИРКР, результаты расчетов
и итоги исследования
. Проведем расчет критической продолжительности
пожара и времени блокирования эвакуационных путей по формулам, приведенным в
[3].
Расчет τбл
производится для наиболее опасного варианта развития пожара, характеризующегося
наибольшим темпом нарастания ОФП в рассматриваемом помещении. Сначала
рассчитывают значения критической продолжительности пожара (τкр)
по условию достижения каждым из ОФП предельно допустимых значений в зоне
пребывания людей (рабочей зоне): по повышенной температуре τТ:
(п.6.1)
по потери видимости τпв:
(п.6.2)
по пониженному содержанию кислорода:
(п.6.3)
по каждому из газообразных продуктов горения:
(п.6.4)
(6.5)
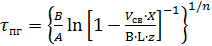
Для горения твердых горючих веществ применяется
формула:
(п.6.5)
и n=3
(п.6.6)
где В - размерный комплекс, зависящий от теплоты
сгорания материала и свободного объема помещения, кг;- начальная температура
воздуха в помещении, °С; - показатель степени, учитывающий изменение массы
выгорающего материала во времени;
А - размерный параметр, учитывающий удельную
массовую скорость выгорания горючего материала и площадь пожара, кг/cn;-
безразмерный параметр, учитывающий неравномерность распределения ОФП по высоте
помещения; н - низшая теплота сгорания материала, МДж/кг;
Ср - удельная изобарная теплоемкость газа
МДж/(кг·К);
φ - коэффициент
теплопотерь;
η- коэффициент
полноты горения;
λ-коэффициент
отражения предметов на путях эвакуации;
Е- начальная освещенность, лк;
lпр - предельная дальность видимости в дыму, м;
Dm - дымообразующая способность горящего
материала, Нп·м2/кг;
L - удельный выход токсичных газов при сгорании
1 кг материала, кг/кг;- предельно допустимое содержание токсичного газа в
помещении, кг/м3 (ХСO2 =0,11 кг/м3;Хсо = 1,16·10-3 кг/м3; ХHCL=23·10-6 кг/м3);
Lo2 - удельный расход кислорода, кг/кг;
ψF - удельная массовая
скорость выгорания, кг/(м2·с);л - линейная скорость распространения пламени,
м/с;
При отсутствии специальных требований значения α
и
Е принимаются равными 0,3 и 50 лк соответственно, а значение lпр=20 м.
Свободный объем помещения соответствует разности
между геометрическим объемом и объемом оборудования или предметов, находящихся
внутри. Если рассчитывать свободный объем невозможно, допускается принимать его
равным 80% геометрического объема.
Коэффициент телопотерь φ
представляет
собой долю поглощенного ограждающими конструкциям помещения Qw от выделившегося
на пожаре Qнр·ψF·η:
(п.6.7)
Значение коэффициента теплопотерь φ
зависит
от большого числа параметров (размеров помещения, количества горючего
материала, свойств ограждений и др. ), и, кроме того, изменяется во времени по
мере развития пожара.
При расчетах параметров пожара в его начальной
стадии коэффициент теплопотерь можно принять постоянным, равный 0,55
Тогда,
св=0,8·12·9·3,6св=311,04 м3
Рассчитываем критическую продолжительность
пожара по каждому опасному фактору:
по температуре:
по потери видимости:
по пониженному содержанию кислорода:
по содержанию оксида углерода:
по содержанию двуокиси углерода:
под знаком логарифма отрицательное число, что
означает - критического значения концентрация СО2 не достигается.
Минимальное значение критической
продолжительности пожара (по потери видимости) составляет 27 секунд. Тогда
время блокирования эвакуационных путей составит:
τбл=0,8·27/60
τбл=0,36 мин
Расхождения в значениях времени блокирования
эвакуационных путей, рассчитанного по программе INTMODEL и по методике [3],
составляет почти 61%. Это может быть из-за того, что, во-первых, неверно задано
значение коэффициента теплопотерь φ; во-вторых,
как показали проведенные расчеты на ЭВМ (таблица п.3.3), в начальный период
пожара не выполняется условие Gв=0.
.Определим изменение среднеобъемной температуры
и положение ПРД при включении вытяжки на 2 минуте пожара V=12096 м3/ч.
Таблица п.6.1
|
Вpемя
мин
|
Т-pа,°С
|
Высота
ПРД, м
|
|
0.0
|
20
|
1,46
|
|
1.0
|
21
|
1,44
|
|
2.0
|
23
|
1,30
|
|
3.0
|
40
|
1,30
|
|
4.0
|
60
|
1,32
|
|
5.0
|
108
|
1,33
|
|
6.0
|
147
|
1,30
|
|
7.0
|
200
|
1,30
|
|
7.4
|
220
|
1,28
|
|
8.0
|
246
|
1,33
|
|
8.3
|
289
|
1,36
|
|
9.0
|
300
|
1,38
|
|
10.0
|
355
|
1,39
|
|
11.0
|
400
|
1,40
|
|
12.0
|
467
|
1,44
|
|
13.0
|
501
|
1,42
|
|
13.8
|
546
|
1,42
|
|
14.0
|
570
|
1,42
|
|
15.0
|
580
|
1,42
|
|
16.0
|
580
|
1,42
|
|
17.0
|
580
|
1,42
|
|
18.0
|
580
|
1,42
|
|
19.0
|
580
|
1,42
|
|
20.0
|
580
|
1,42
|
|
21.0
|
580
|
1,42
|
|
22.0
|
580
|
1,42
|
|
23.0
|
580
|
1,42
|
|
24.0
|
580
|
1,42
|
|
25.0
|
580
|
1,42
|
|
26.0
|
580
|
1,42
|
|
27.0
|
580
|
1,42
|
|
28.0
|
570
|
1,42
|
|
29.0
|
567
|
1,42
|
|
30.0
|
540
|
1,42
|
|
31.0
|
526
|
1,42
|
|
32.0
|
513
|
1,42
|
|
33.0
|
510
|
1,50
|
|
34.0
|
501
|
1,51
|
|
35.0
|
470
|
1,53
|
|
36.0
|
330
|
1,53
|
|
37.0
|
201
|
1,54
|
|
38.0
|
150
|
1,55
|
|
39.0
|
144
|
1,60
|
|
40.0
|
135
|
1,65
|
|
41.0
|
112
|
1,65
|
|
42.0
|
93
|
1,65
|
|
43.0
|
82
|
1,65
|
74
|
1,67
|
|
45.0
|
63
|
1,68
|
|
46.0
|
60
|
1,70
|
|
47.0
|
53
|
1,75
|
|
48.0
|
50
|
1,75
|
|
49.0
|
45
|
1,75
|
|
50.0
|
43
|
1,80
|
|
51.0
|
39
|
1,83
|
|
52.0
|
37
|
1,87
|
|
53.0
|
35
|
1,88
|
|
54.0
|
33
|
1,90
|
|
55.0
|
28
|
1,90
|
|
55.3
|
28
|
1,90
|
В результате проделанного опыта можно сказать,
что при включении дымососа на 2 минуте пожара скорость повышения температуры
понизилась по сравнению с опытом без включения дымососа и время держания
максимальной температуры на пожаре снизилось
Высота ПРД с дымососом повысилась по сравнению с
опытом без дымососа. В среднем по времени большая часть проема двери работает
на приток воздуха , а большая часть проема окна на оборот на истечении
газообразных продуктов горения, но в конце пожара большая часть окна работает
на приток воздуха.
Литература
1.
Федеральный закон «Технический регламент о требованиях пожарной безопасности».
2008.
.
Методика определения расчетных величин пожарного риска в зданиях, сооружениях и
строениях различных классов функциональной пожарной опасности. Приложение к
приказу МЧС России от 30.06.2009 № 382.
.
Методика определения расчетных величин пожарного риска на производственных
объектах. Приложение к приказу МЧС России от 10.07.2009 № 404.
.
Пособие по определению пределов огнестойкости конструкций, пределов
распространения огня по конструкциям и групп возгораемости материалов (к СНиП
П-2-80). - М., 1985.
.
Пожарная безопасность зданий и сооружений. СНиП 21-01-97*.
.
Пузач С.В. Методы расчета тепломассообмена при пожаре в помещении и их
применение при решении практических задач пожаровзрыво- безопасности. - М|
Академия ГПС МЧС России, 2003.
.
Рыжов A.M., Хасанов И.Р., Карпов А.В. и др. Применение полевого метода
математического моделирования пожаров в помещениях. Методические рекомендации.
- М.: ВНИИПО, 2003.
.
Определение времени эвакуации людей и огнестойкости строительных конструкций с
учетом параметров реального пожара: Учебное пособие/ Пузач С.В., Казенное В.М.,
Горностаев Р.П. - М.: Академия ГПС МЧС России, 2005. 147 л.
.
Астапенко В.М., Кошмаров Ю.А., Молчадский И.С., Шевляков А.Н. Термогазодинамика
пожаров в помещениях.- М.: Стройиздат, 1986.
.
Мосалков И.Л., Плюсина Г.Ф., Фролов А.Ю. Огнестойкость строительных
конструкций. - М.: Спецтехника, 2001.
.
Кошмаров Ю.А. Прогнозирование опасных факторов пожара в помещении: Учебное
пособие. - М.: Академия ГПС МВД России, 2000.
.
Драйздейл Д. Введение в динамику пожаров. - М., Стройиздат, 1988.
.
Яковлев А.И. Расчет огнестойкости строительных конструкций. - М.: Стройиздат,
1988.
.
Кошмаров Ю.А. Теплотехника: учебник для вузов. - М.: ИКЦ «Академкнига», 2006. -
501 е.: ил.
.
Задачник по термодинамике и теплопередаче./ Под ред. Кошмарова Ю.А. Часть 3 -
М.: Академия ГПС МВД РФ, 2001.