Исследование устойчивости объекта экономики на примере сборочного цеха машиностроительного завода
Курсовая работа
Исследование
устойчивости объекта экономики на примере сборочного цеха машиностроительного
завода
Введение
Обеспечение устойчивой работы
объектов экономики в условиях ЧС мирного и военного времени является одной из
основных задач РСЧС.
Под устойчивостью функционирования
объектов экономики или другой структуры понимают способность их в чрезвычайных
ситуациях противостоять воздействиям поражающих факторов с целью поддержания
выпуска продукции в запланированном объеме и номенклатуре; предотвращения или
ограничения угрозы жизни и здоровья персонала, населения и материального
ущерба, а также обеспечения восстановления нарушенного производства в
минимально короткие сроки.
Сходство и однотипность основных
элементов объектов экономики позволяют выделить общие факторы, влияющие на
устойчивость объекта и подготовку его к работе в условиях чрезвычайных
ситуаций.
В данной курсовой работе в качестве
объекта экономики будет рассмотрен сборочный цех машиностроительного завода.
Цель работы: Исследовать устойчивость объекта экономики на примере сборочного
цеха машиностроительного завода.
Для достижения цели необходимо
выполнить следующие задачи:
¾ определить
устойчивость сборочного цеха к воздействиям внешних поражающих факторов:
. Волна прорыва;
. Выброс АХОВ с территории
химкомбината;
. Взрыв газовых баллонов на
складе строительно-монтажной организации;
. Паводок;
. горение емкости с мазутом
на территории котельной;
. Пожар на складе фанерного
комбината;
. Ударная волна ядерного
взрыва.
1. Теоретические данные
.1 Описание объекта
экономики
устойчивость цех ядерный горение
В данной курсовой работе в качестве
объекта экономики будет рассмотрен сборочный цех машиностроительного завода.
Машиностроительный завод расположен в загородной черте города Белозерск, в 32
километрах от плотины, находящейся на реке Белая. Рядом находятся Фанерный
комбинат - в 1250 метрах от объекта экономики, и химкомбинат - в 1220 метрах от
объекта экономики. На территории города Белозерск расположена котельная с хранилищем
мазута. Расстояние от котельной до машиностроительного завода - 3100 метров. На
противоположном берегу реки Белая находится строительно-монтажная организация и
склад с баллонами - в 185 метрах от объекта экономики.
Рис. 1 Схема расположения объекта
экономики
Сборочный цех машиностроительного
завода можно описать как промышленное здание с тяжелым металлическим каркасом и
бетонным заполнением. Площадь остекления здания - 28%.
Рис. 2 Схема сборочного цеха
машиностроительного завода
В сборочном цехе представлено
следующее оборудование: мостовой кран, станки средние, контрольно-измерительная
аппаратура.
В здании имеются следующие
коммунально-энергетические сети: кабель электрический наземный, воздухопроводы
для пневмоинструмента на металлических эстакадах.
1.2 Внешние поражающие
факторы
В результате стихийных бедствий,
производственных аварий и катастроф, применения оружия массового поражения в
случаях конфликтных ситуаций возникают поражающие факторы, вызывающие поражения
людей, с/х животных, растительности, разрушения зданий, сооружений, загрязнение
и заражение окружающей среды.
В данной курсовой работе мы
рассмотрим воздействие следующих внешних поражающих факторов:
¾ Волна
прорыва;
¾ Выброс
АХОВ с территории химкомбината;
¾ Взрыв
газовых баллонов на складе строительно-монтажной организации;
¾ Паводок;
¾ горение
емкости с мазутом на территории котельной;
¾ Пожар
на складе фанерного комбината;
¾ Ударная
волна ядерного взрыва.
Волна прорыва - это тип мощного
паводка, который образуется при авариях, сопровождающихся разрушением на
плотинах, при этом запасенная потенциальная энергия водохранилища
высвобождается в виде волны, образующейся при изливе воды через проран (брешь)
в теле плотины. Волна прорыва распространяется по речной долине на сотни
километров и более.
Рис. 3 Схема водохранилища
- плотина, 2 - водохранилище.
Основными параметрами волны прорыва
являются: высота гребня Ƞг, наибольшая скорость
течения Vm, время прихода фронта tф, гребня tг, хвоста tх. На рис. 4 показано
продольное сечение волны прорыва.
устойчивость цех ядерный горение
Рис. 4 Волна прорыва
- фронт волны, 2 - гребень, 3 -
хвост,
Н0 - глубина
водохранилища, h0 - уровень воды в реке.
В таблице 1 приведены данные по
величинам Ƞг, Vm, tф, tг при распространении волны прорыва по схематизированному
прямоугольному руслу для трех характерных гидроузлов равнинного и предгорного
типов.
Таблица 1. Параметры волны прорыва
Критическими параметрами,
определяющими поражающее действие волны прорыва, являются глубина потока и
скорость течения. Допускается некоторое отклонение их значений от данных,
приведенных в таблице 2, при сохранении условия
Таблица 2. Степень поражения
сооружений
В приближенных расчетах при
отсутствии указанных данных за значение параметра определяющего нижнюю границу
безусловного поражения сооружения допустимо принять верхнее значение
, при котором имеют место сильные разрушения. Одновременно за
значение параметра, определяющего границу безопасности, допустимо принять
нижнее значение
, при
котором имеют место слабые разрушения.
Выброс АХОВ с территории химкомбината.
Зона действия АХОВ при скорости приземного ветра более 2,2 м/с имеет
характерную форму (рис. 5)
Рис. 5 Зона токсического действия
АХОВ
- источник выброса АХОВ, 2 - зона
токсического действия АХОВ,
Глубина зоны Г, м, определяется по
формуле:
где
- эквивалентное количество токсичных компонентов, кг;
;

Коэффициент К1 принимают
равным: К1=1 в случае открытой местности; К1=0,5 -
сельхозугодий, степной растительности; К1=0,4 - при наличии
кустарника, отдельных деревьев, холмов; К1 = 0,3 - при наличии
городской и промышленной застройки, лесного массива.
Коэффициент К2 принимают
равным: К2=1 в случае инверсии; К2=1,5 - при изотермии; К2=2
- при конвекции.
Ширина зоны:
В = 0,03Г - при инверсии;
В = 0,15Г - при изотермии;
В = 0,80Г - при конвекции.
Таблица 3. Токсические
характеристики некоторых АХОВ
Для оценки токсичности АХОВ при
ингаляционном поступлении используется величина дозы
где С - концентрация АХОВ в воздухе,
АХОВ.
Различают пороговую дозу, которая
вызывает начальные признаки поражения, и смертельную токсодозу, которая
приводит к смертельным поражениям.
Если в момент токсического действия
АХОВ персонал находится в здании необходимо учитывать коэффициент фильтрации:
где
- нормативная воздухопроницаемость ограждающих конструкций (0,5);
-
площадь ограждающих конструкций;
-
нормативная воздухопроницаемость световых проемов (1);
-
площадь световых проемов;
-
время эвакуации;
- плотность
воздуха (1,29 кг/м3);
-
объем помещения.
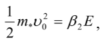
Взрыв газовых баллонов на складе
строительно-монтажной организации. Взрыв емкости, находящейся под внутренним
давлением газа, относится к группе физических взрывов, обусловленных различными
физическими процессами.
Процессы, сопровождающие такие
взрывы, относятся к адиабатическим процессам. Как известно, адиабатическим
изменением состояния системы называется такое изменение, которое протекает без
обмена теплом с окружающей средой. Для оценки параметров рассматриваемого
взрыва используется энергетический подход.
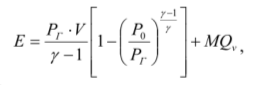
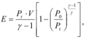
При взрыве металлической емкости,
содержащей газ под давлением, образуются осколки, поражающее действие которых
зачастую бывает определяющим, а также формируется ударная волна и имеет место
тепловое излучение.
Е = Еув + Еоск.
+ Етеп.из.
Е = β1Е + β2Е + β3Е
β1+β2+β3=1
Для инертного газа β1=0,3; β2=0,7; β3=0 - т.е. 70% приходится
на разлет осколков.
При взрыве емкости под внутренним
давлением Р инертного газа энергия взрыва представляется через работу
адиабатического расширения газа в виде
Таблица 4. Величина показателей
адиабаты газов
Для определения скорости разлета
осколков используется соотношение:
m* - суммарная масса
осколков, равная массе оболочки, кг
В приближенных расчетах для оценки
дальности полета осколков допускается использовать соотношение:
Данное соотношение получено для
случая полета осколков в безвоздушном пространстве. При больших величинах
оно дает завышенное значение
. Дальность
,
полученную таким образом, следует ограничивать сверху величиной L*
v.тр.
Значения L* получены при
взрыве тротиловых зарядов в металлической оболочке (бомб, снарядов).
При взрыве емкости со сжатым горючим
газом энергия Е, Дж, находится по соотношению:
М=αωМ0 -
масса газа, участвующего во взрыве, кг;
α и
ω - коэффициенты.
Показатель адиабаты продуктов взрыва
ГВС γ
1,25.
Паводок - это относительно
непродолжительный подъем воды в реке, вызванный обильными ливневыми дождями или
бурным таянием снежного покрова. Паводки могут повторятся по несколько раз в
году. Иногда они приходят один за другим, волнами, в зависимости от количества
обильных ливневых дождей.
Опасность паводкового наводнения
состоит в том, что оно может наступить неожиданно, например, при прохождении
ливня в ночное время.
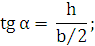
Рис. 6 Треугольное русло реки
Найдем L (максимальный уровень
подъема воды в реке), используя рис. 6:
-
изменение уровня реки во время паводка;
отсюда следует:
Найдем угол
отсюда следует:
Учитывая рис. 6, можно сделать
вывод, что условием устойчивости объекта экономики при возникновении паводка
является соотношение:< X,
Горение емкости с мазутом на
территории котельной. При пожарах в атмосферу выделяется большое количество
продуктов полного и неполного сгорания, которые образуют дымовое облако. Дым
представляет собой мелкодисперсную систему, состоящую из мельчайших твердых
частиц, взвешенных с продуктами сгорания в водухе. Ветром дымовое облако
сносится по направлению ветра, при этом формируется зона задымления.
Нахождение человека в зоне
задымления далеко не безопасно. К опасным факторам зоны задымления относят:
содержание оксида углерода СО < 0,1%, углекислого газа СО2 <
6,0% и кислорода О2 < 17%.
Отдельно следует отметить, что
многие продукты сгорания обладают повышенной токсичностью. При сгорании 1 тонны
мазута в атмосферу выделяется: 84 кг угарного газа(СО), 1 кг формальдегида, 1
кг синильной кислоты и 7 кг оксидов азота. По своему токсическому действию эти
вещества относят к группе АХОВ, синильная кислота - отравляющее вещество.
Чтобы определить глубину и ширину
зоны токсического действия продуктов сгорания, пороговую токсодозу АХОВ, а
также коэффициент фильтрации см. «Выброс АХОВ с территории химкомбината».
Пожар на складе фанерного комбината.
При горении 1 тонны фанеры в атмосферу выделяется: синильная кислота - 0,1 кг,
окислов азота - 10 кг.
Для определения глубины и ширины
зоны токсического действия продуктов сгорания, пороговой токсодозы АХОВ, а
также коэффициента фильтрации см. «Выброс АХОВ с территории химкомбината».
Ударная волна ядерного взрыва - это
один из основных поражающих факторов ядерного оружия, представляющий собой
область резкого сжатия среды, распространяющуюся во все стороны от места взрыва
со сверхзвуковой скоростью. Имеет резкую переднюю границу (фронт ударной
волны), отделяющую невозмущенную среду от среды с повышенным давлением,
плотностью, скоростью и температурой.
Задача оценки устойчивости объекта
экономики может быть решена графоаналитическим методом. Для этого необходимо
иметь следующие исходные данные: координаты точки прицеливания; местоположение
объекта; мощность ядерного боеприпаса q; вероятное максимальное отклонение
боеприпаса от точки прицеливания rотк.
Задача решается в такой
последовательности:
1. На карте местности или плане
города, в границах которого располагается объект народного хозяйства,
отмечается положение точки прицеливания, и она соединяется прямой линией с
центром объекта;
2. Из точки прицеливания в
масштабе карты описывается окружность радиусом, равным вероятному максимальному
отклонению ядерного боеприпаса rотк. Точка пересечения окружности с
прямой, соединяющей точку прицеливания и центр объекта, принимается за
вероятный, самый неблагоприятный центр взрыва ядерного боеприпаса для
рассматриваемого объекта.
3. Измеряется с у четом масштаба
карты расттояние от объекта до ближайшего вероятного центра взрыва Rx.
Если известно удаление бъекта от точки прицеливания Rг, то Rx можно
вычислить по формуле
x = Rг - rотк;
. По приложениям 1, 4, 9, 12
(Демиденко) в зависимости от Rx, q и вида взрыва находятся значения
соответствующих параметров ударной волны ядерного взрыва.
Если объект экономики состоит из
нескольких цехов, то сначала разбиваем ОЭ на цеха, сооружения, элементы и
оборудование. Затем в каждом цехе находим предел устойчивости отдельных
элементов. Устойчивость всего ОЭ находим как минимальное значение изменения
давления фронта волны по всем цехам, сооружениям и элементам.
2. Меры по повышению
устойчивости объекта экономики
Проблемы повышения устойчивости
функционирования экономики в экстремальных условиях, главным образом, в военное
время, привлекают внимание исследователей уже не один десяток лет. И в
предвоенные годы, и впоследствии, когда всесторонне осмысливается опыт работы
промышленности и сельского хозяйства в ВОВ, было приложено много усилий для
определения наиболее рациональных направлений и методов подготовки различных
звеньев экономики в работе в условиях войны.
Способы повышения устойчивости
многообразны, но решение задачи может быть достигнуто только при их комплексном
применении. Поэтому работу по повышению устойчивости проводят, используя все
доступные в данных конкретных условиях пути и способы.
При разработке мероприятий
руководствуются требованиями НП ИТМ ГО и результатами реальной оценки
устойчивости, полученными в ходе проведения ее исследования (см. Глава 2). При
этом учитывается, что достижение абсолютной устойчивости и исключение ущерба
практически невозможно. Поэтому планируются и осуществляются лишь те
мероприятия, которые позволяют уменьшить ущерб, обеспечить защиту
производственного персонала и выпуск запланированной продукции при условии
экономической целесообразности мероприятий.
В результате исследования
устойчивости сборочного цеха машиностроительного завода, проведенного во 2
главе, можно сделать обобщенный вывод.
Волна прорыва. В ходе расчетов были
выяснены следующие данные: высота гребня волны - 7,2 метра; скорость движения
волны - 1,43 м/с; время достижения фронта волны объекта экономики - 7 часов;
время достижения гребня волны объекта экономики - 15 часов. Из полученных
данных следует, что ОЭ получит слабые разрушения, поэтому необходимо усилить
устойчивость исследуемого объекта к данному виду поражения.
Выброс АХОВ с территории
химкомбината. ОЭ оказался неустойчив к данному виду поражения, так как глубина
зоны поражения (1671 м) оказалась больше расстояния от химкомбината до объекта
(1220 м). В связи с этим, предлагаю усовершенствовать цех с учетом предложенных
ниже предписаний.
Взрыв газовых баллонов на складе
СМО. В результате исследования было выяснено, что дальность разлета осколков L* = 948, 01 метра оказалась больше, чем расстояние до объекта
экономики(185). Поэтому сборочный цех машиностроительного завода считаем
неустойчивым к поражающему фактору. Следовательно, необходимо усовершенствовать
ОЭ, с учетом предложенных требований.
Паводок. Сборочный цех
машиностроительного завода, находящийся на берегу реки Белая, оказался устойчив
к поражающему фактору, так как расстояние до объекта экономики (155 м)
превышает максимальный уровень подъема реки (L = 26,9 м).
Горение емкости с мазутом на
территории котельной. Глубина зоны поражения объекта экономики продуктами
горения (5032,23 м) превышает расстояние от котельной до объекта экономики
(3100 м). Вследствие этого целесообразно провести мероприятия по усилению
устойчивости сборочного цеха машиностроительного завода.
Пожар на складе фанерного комбината.
В результате того, что полученная в расчетах глубина зоны поражения
исследуемого объекта (2194,8 м) превышает расстояние от объекта до фанерного
комбината, следует считать объект неустойчивым к поражающему фактору. Поэтому
необходимо усилить устойчивость объекта к данному поражению.
Ударная волна ядерного взрыва.
Сборочный цех оказался неустойчив к поражающему фактору, так как полученный ∆рф.max =30 кПа оказался выше предела устойчивости здания (20 кПа), а
также выше предела устойчивости цеха в целом (10 кПа). Поэтому целесообразно
провести модернизацию цеха с учетом предложенных ниже требований. А именно
усовершенствовать конструкцию здания, станки и контрольно-измерительную
аппаратуру, так как они имеют предел устойчивости ниже 30 кПа.
Обеспечение защиты
производственного персонала
¾ создание
и поддержание в готовности систем оповещения об опасности;
¾ накопление
фонда защитных сооружений, СИЗ и средств медицинской защиты и поддержание их в
готовности;
¾ планирование
эвакомероприятий;
¾ разработка
режимов радиационной защиты;
¾ обучение
персонала способам защиты и действиям в условиях ЧС;
¾ оборудование
зданий системами вентиляции с установкой противопыльных фильтров;
¾ максимальное
сокращение АХОВ и размещение их в подземных складах;
¾ применение
устройств, исключающих разлив АХОВ на территории ОЭ;
¾ проектирование
очистных сооружений с учетом обеззараживания воды для хозяйственно-бытовых и
производственных нужд;
¾ приспособление
душевых в качестве санитарно-обмывочных пунктов;
¾ проектирование
технологического оборудования с учетом возможности его использования при
проведении специальной обработки ОЭ;
¾ создание
запасов дезактивирующих, дегазирующих и дезинфицирующих веществ;
¾ создание
запаса материалов для укрытия продуктов питания, воды и технологического
оборудования от заражения.
Повышение устойчивости
ОПФ
a) к действию механических
поражающих факторов
Здания и сооружения:
¾ применение
жестких каркасных конструкций с легким заполнением стен;
¾ применение
мер по увеличению сейсмостойкости (демпферы);
¾ уменьшение
высоты и площади стен;
¾ вынос
взрывоопасных технологических установок за пределы зданий;
¾ установка
во взрывоопасных помещениях устройств локализующих взрыв;
¾ установка
дополнительных опор в больших пролетах.
Технологическое оборудование:
¾ рациональное
размещение оборудования в цехах: тяжелого - на нижних, наиболее ценного на
углубленных этажах;
¾ установка
тяжелого оборудования на самостоятельных фундаментах, не связанных со зданием;
¾ изготовление
приспособлений для защиты особо ценного и ударонепрочного оборудования;
¾ обеспечение
возможности маневрирования оборудованием на однотипных технологических линиях;
¾ создание
запаса комплектующих изделий из наиболее слабых узлов и деталей оборудования;
¾ разработка
мероприятий по упрощению технологического процесса при выходе из строя
отдельного оборудования;
¾ дублирование
автоматических систем и обеспечение возможности выполнения отдельных операций
врусную;
¾ внедрение
систем безаварийной остановки ьехнологических установок с непрерывным
процессом.
Технологические и инженерные сети:
¾ заглубление
сетей в грунт и прокладка их в подземных коллекторах;
¾ размещение
сетей на низких эстакадах;
¾ увеличение
прочности открытых трубопроводов путем установки хомутов, соединяющих их в один
пучок;
¾ применение
закольцованных схем прокладки коммуникаций с установкой запорной арматуры в
заглубленных сооружениях;
¾ устройство
аварийных сбросов канализации в случае аварии в специальные приемники.) пожарам
¾ уменьшение
плотности застройки территории ОЭ;
¾ повышение
огнестойкости зданий;
¾ хранение
пожароопасных продуктов в подземных складах и транспортирование их по подземным
коммуникациям;
¾ размещение
легковоспламеняющихся веществ с учетом направления господствующих ветров;
¾ внедрение
автоматических систем обнаружения, сигнализации и тушения пожара;
¾ установка
на газопроводах автоматических запорных и переключающихся устройств с
дистанционным управлением;
¾ создание
сети противопожарных ведомств и гидрантов;
¾ соблюдение
требований пожарной безопасности.
Подготовка к
безаварийной остановке производства
¾ заблаговременно
продумать и разработать способы и мероприятия безаварийной остановки объекта;
¾ автоматические
отключающие системы должны дублироваться устройствами, позволяющими производить
эти операции вручную;
¾ оснащение
объектов системами и устройствами, срабатывающими от предвестников основного
поражающего фактора (световое излучение и др.);
¾ оснащение
систем подачи различного рода клапанами-отсекателями, отключающими, например,
системы подачи воды, топлива, газа при изменение давления в трубопроводах;
Непосредственный перечень
мероприятий:
¾ снятие
напряжения со щитов питания в цехах;
¾ выключение
электроприборов, машин, станков и другого оборудования;
¾ прекращение
подачи газа, пара, сжатого воздуха, сжатых и сжиженных газов;
¾ отключение
систем отопления и горячего водоснабжения;
¾ отключение
электропитания на объектовой подстанции.
Для осуществления мероприятий по
безаварийной остановке производства в каждой смене создаются бригады (группы)
людей, ответственных за отключение агрегатов и остановку производственных
процессов в отработанной последовательности.
Повышение устойчивости
энергоснабжения
¾ использование
нескольких источников энергоснабжения, в том числе автономных;
¾ дублирование
вводов при подаче энергии;
¾ кольцевание
систем энергоснабжения;
¾ устройство
обводных линий и перемычек, позволяющих отключить поврежденные участки;
¾ подземная
прокладка сетей или на низких эстакадах;
¾ создание
запаса энергоносителей и хранение их в подземных складах;
¾ подготовка
резервных источников энергии к работе на различных видах энергоносителей.
Повышение устойчивости
водоснабжения
¾ использование
нескольких источников водоснабжения: забор воды от реки, городской водопровод и
артезианский источник;
¾ подземная
прокладка трубопроводов;
¾ кольцевание
систем водоснабжения;
¾ обеспечить
устойчивость канализации, разделить ее на 2 типа: ливневая и отходная,
установить переходы между двумя типами канализации;
¾ установить
задвижки в трубопроводе, для необходимого ремонта; в местах задвижек
оборудовать кессон.
Повышение устойчивости
материально-технического снабжения
¾ снабжение
ОЭ несколькими поставщиками, расположенными в разных регионах;
¾ подготовка
запасных вариантов производственных связей;
¾ обеспечение
возможности замены привозных материалов местными;
¾ дублирование
путей доставки сырья, материалов и комплектующих изделий;
¾ создание
запасов сырья, материалов, комплектующих изделий и оборудования;
¾ обеспечение
рассредоточенного и надежного хранения запасов на складах, расположенных в
разных районах.
Мероприятия по
подготовке к быстрому восстановлению производства
¾ разработка
технической, технологической и другой необходимой документации, её надежное
хранение;
¾ создание
запасов материальных средств;
¾ составление
расчета сил и средств, необходимых для проведения восстановительных работ и
восполнения потерь в рабочей силе и оборудовании;
¾ определение
очередности работ по восстановлению производства с учетом имеющихся ресурсов и
местных условий;
¾ осуществление
страхования на случай ЧС.
Повышение устойчивости
системы управления объектом
¾ подготовка
защищенного пункта управления на территории ОЭ и резервного пункта за его пределами;
¾ подготовка
оперативной группы для управления ОЭ с резервного пункта управления;
¾ оснащение
пункта управления средствами связи и автономными источниками электропитания;
¾ использование
автоматизированных систем управления;
¾ дублирование
средств связи и создание их подвижного резерва;
¾ разработка
и внедрение надежной системы оповещения руководящего состава ОЭ;
¾ изготовление
и надежное хранение дубликатов технической документации.
Заключение
Таким образом, обеспечение
устойчивости объекта экономики в чрезвычайных ситуациях гарантирует снижение
ущерба и потерь и одновременно решает задачи защиты производственного персонала
объекта, предупреждает или в значительной степени способствует эффективному
ведению аварийно-спасательных и других неотложных работ в возникающих на
объекте очагах поражения.
В курсовой работе была исследована
устойчивость сборочного цеха машиностроительного завода к работе в чрезвычайных
ситуациях. В итоге были предложены меры по необходимому повышению устойчивости
здания, сооружений, оборудования, материально-технического обеспечения. Также
были предложены мероприятия по подготовке к восстановлению работы цеха и
мероприятия, обеспечивающие защиту персонала.
Проблема обеспечения устойчивости
объектов экономики в ЧС является одной из основных проблем национальной
безопасности страны. Без решения этой проблемы невозможно обеспечить ни
военную, ни экономическую, ни любую другую безопасность.
Список литературы
1. Защита объектов народного хозяйства от оружия массового
поражения: Справочник / Г.П. Демиденко, Е.П. Кузьменко, П.П. Орлов и др.; под
ред. Г.П. Демиденко. - 2-е изд., перераб. и доп. - К.:Выща шк. Головное изд-во,
1989. - 287 с.: ил.;
. Г.Н. Храмов. Горение и взрыв. Монографя. - СПб.:СПбГПУ -
2007-278 с.
. Г.Н. Храмов. Опасные природные процессы. Учебное пособие. -
СПб - 2004;
. Устойчивость объектов экономики в ЧС: учеб. пособие / В.Ю.
Радоуцкий, В.Н. Шульженко; под ред. В.Ю. Радоуцкого. - Белгород: Изд-во БГТУ,
2008. - 180 с.