Решение задач с помощью спирографа
Введение
Мы все являемся свидетелями того, как компьютеры
на глазах изменяют нашу жизнь. Облегчение, которое компьютер и созданные для
него программы принесли всем людям, работающим за письменным столом, настолько
значительны, что прежние методы работы воспринимаются нынче как кошмарный сон.
Вот, наконец, и ещё по одному направлению произошёл прорыв. Речь идёт о
собственно инженерных расчётах.
Само по себе появление компьютеров не упрощало
инженерные расчеты, а лишь позволяло резко повысить скорость их выполнения и
сложность решаемых задач. Пользователям ПК, прежде чем начинать такие расчеты,
нужно было изучать сами компьютеры, языки программирования и довольно сложные
методы вычислений, применять и подстраивать под свои цели программы для решения
расчетных задач на языках Бейсик или Паскаль. Поневоле ученому и инженеру,
физику, химику и математику приходилось становиться программистом.
Необходимость в этом отпала лишь после появления
интегрированных математических программных систем для научно-технических расчетов:
Eureka, PC MatLAB, MathCAD, Maple, Mathematica и др. Большое число подобных
разработок свидетельствует о значительном интересе к ним во всем мире и бурном
развитии компьютерных математических систем.
Широкую известность и заслуженную популярность еще
в середине 80-х годов приобрели интегрированные системы для автоматизации
математических расчетов класса MathCAD, разработанные фирмой MathSoft (США). По
сей день они остаются единственными математическими системами, в которых
описание решения математических задач дается с помощью привычных математических
формул и знаков. Такой же вид имеют и результаты вычислений. Так что системы
MathCAD вполне оправдывают аббревиатуру CAD (Computer Aided Design), говорящую
о принадлежности к наиболее сложным и продвинутым системам автоматического
проектирования - САПР. Можно сказать, что MathCAD - своего рода САПР в
математике.
С момента своего появления системы класса
MathCAD имели удобный пользовательский интерфейс - совокупность средств общения
с пользователем в виде масштабируемых и перемещаемых окон, клавиш и иных
элементов. У этой системы есть и эффективные средства типовой научной графики,
они просты в применении и интуитивно понятны. Словом, системы MathCAD
ориентированы на массового пользователя - от ученика начальных классов до
академика. - математически ориентированные универсальные системы. Помимо
собственно вычислений они позволяют с блеском решать задачи, которые с трудом
поддаются популярным текстовым редакторам или электронным таблицам. С их
помощью можно не только качественно подготовить тексты статей, книг,
диссертаций, научных отчетов, дипломных и курсовых проектов, они, кроме того,
облегчают набор самых сложных математических формул и дают возможность
представления результатов, в изысканном графическом виде.
Последние версии системы MathCAD дают новые
средства для подготовки сложных документов. В них предусмотрено красочное
выделение отдельных формул, многовариантный вызов одних документов из других,
возможность закрытия "на замок" отдельных частей документов,
гипертекстовые и гипермедиа-переходы и т. д. Это позволяет создавать
превосходные обучающие программы и целые книги по любым курсам, базирующимся на
математическом аппарате. Здесь же реализуется удобное и наглядное
объектно-ориентированное программирование сложнейших задач, при котором
программа составляется автоматически по заданию пользователя, а само задание
формулируется на естественном математическом языке общения с системой.
Цель данной курсовой работы: знакомство с
основными возможностями MathCad на примере своего варианта выполнения работы.
В данной курсовой работе рассмотрим программу
MathCAD.
В MathCAD имеется ряд встроенных функций,
задающих используемые в математической статистике законы распределения. Они
вычисляют как значение плотности вероятности различных распределений по
значению случайной величины х, так и некоторые сопутствующие функции. Все они,
по сути, являются либо встроенными аналитическими зависимостями, либо
специальными функциями. Большой интерес представляет наличие генераторов
случайных чисел, создающих выборку псевдослучайных данных с соответствующим
законом распределения.
Delphi (Де́лфи
произносится /?d?l?fi:/
<#"785095.files/image001.jpg">
Стандартный спирограф представляет собой
прямоугольную линейку (основной трафарет) с двумя рабочими зубчатыми
отверстиями внутри. Отверстия имеют круглую форму и различный диаметр. В
меньшем отверстии нарезано 96 зубчиков, в большем отверстии - 105 зубчиков.
К линейке прилагается несколько зубчатых
колесиков, с дырочками внутри, и набор фигурных трафаретов, которые имеют
правильную геометрическую форму (ромб, треугольник, квадрат, звезда,
восьмигранник).
В полной комплектации есть также трафареты в
виде фигурок рыб (дельфин, акула), бабочек, бантика, ёжика, котика, крестиков и
трафарет-транспортир в виде круга.
Спирограф одна из самых высокоинтеллектуальных
игр 20 века. Количество вычерчиваемых узоров исчисляется цифрой с четырьмя
нулями. И ограничивается только фантазией и способностями самого человека.
У детей спирограф развивает воображение,
фантазию, творческое и логическое мышление, способность к рисованию, моторику
руки и координацию движения кисти. Улучшает характер почерка и увеличивает
скорость письма. Учит моделированию цветов и пространственному мышлению.
Совершенствует эстетические способности и повышает интеллект.
У взрослых спирограф поднимает жизненный тонус и
успокаивает нервную систему. Как следствие - уменьшается количество стрессов и
мелких заболеваний. Может использоваться для различных видов оформительских и
чертёжных работ.
Спирограф - это игра нового типа, моделирующая
сам творческий процесс и создающая свой микроклимат. Физиолог X. Хогленд,
обращая внимание на глубину и сложность интеллектуальных творческих игр,
сказал: "Понимание атома - это детская игра по сравнению с пониманием
детской игры".
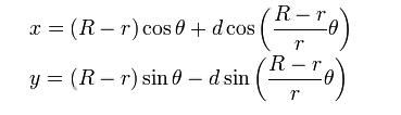
Немного математики
Гипотрохоид с параметрами R= 1,0, r= 0,6, d=
1,2.
Фигура, получаемая с помощью простейшего
спирографа из двух кругов, когда маленький (радиуса r) с отверстием на
расстоянии d от центра, вращается в большом (радиуса R), называется
гипотрохоидой. Её формула в декартовых координатах:
Узоры, получаемые при помощи спирографа,
напрямую зависят от количества зубчиков рабочих окружностей и подвижных
колесиков.
Узоры, рисуемые квадратиками, звёздочками,
бабочками и т.д., зависят от расстояния между зубчиками этих фигурок. Здесь
вступает в силу такое понятие, как "квадратура круга".
Всю длину (по периметру) между зубчиками фигурки
можно выразить через длину окружности. Например, в результате рисования
квадратом и кругом, у которых периметр равен длине круга, получатся узоры с
равным количеством заострений. Только узор, вычерченный кругом, будет с
закруглёнными заострениями (лучами), а вычерченный квадратом - с ломанными,
острыми.
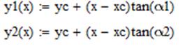
Решение задачи в Mathcad
Первый вариант рисунка:
Второй вариант рисунка:
Меняя значения получаем второй рисунок.
Третий вариант рисунка:
Аналогично 3 рисунок.
Задача
2
Составить модель игры в рулетку, которая бы
позволяла реализовать максимально возможное количество методов управления
ставками, основанных на принципе Мартингейла, анти-Мартингейла и других
методов.
В модели придерживаться принципа что казино
играет “Честно”, т.е. выпадение сектора рулетки определяется исключительно
генератором случайных чисел.
Многие казино имеют ограничение по величине
ставки. Модель должна реализовывать решение и подобной задачи. Используя
составленную модель смоделировать игру используя инструкции из табл.1 Затем
смоделировать игру используя различные данные.
Определить, зависит ли результат от выбора
начального сектора, размера ставки, лимита казино денег ставки у казино и к-во
денег у игрока, и если зависит то как.
Вычисления по модели провести не менее 20 раз .
Результаты занести в таблицу и построить по её данным график динамики игры.
|
Система ставок
|
Наличие лимита ставок в казино
|
Меняется ли сектор после выйгрыша
|
|
|
Aм
|
Нет
|
Да
|
|
|
меняется ли сектор после проигрыша
|
Возврат к начальной ставке после серии проигрышей
|
|
Да
|
Нет
|
|
|
|
|
|
Табл.1
Вид программы:
Выполнение заданных условий для
моего варианта:
Как мы видим у нас было 2 пика когда нужно было
забрать деньги на 56 ходу и на 113 после чего мы уверенно проигрывали деньги.
Ставили на черный.
Проверим зависимость от выбора
начального сектора:
Как мы видим результа и график практически не
изменился немного сместился но это скорее вызвано случайность чисел,
закономерность осталась та же.
Попробуем увеличить ставку:
Что же мы наблюдаем теперь мы смогли добиться
большего выигрыша, но зато и проиграли в 2 раза быстрее чем в предыдущий
раз(ставка была увеличена в 3 раза),при уменьшении ставки будет увеличена
длительность игры но и суммы выигрыша будут уменьшены.
Поставим лимит
казино:
При наличии лимита казино не дает нам
проиграться так быстро и даже помогли нам на 350 ходов практически постоянно
оставаться в плюсе.
Наличие лимита денег у игрока подразумевает то
что он не может ставить ставки когда в проиграл в 0 и то что он не может
ставить ставки выше тех денег которые у него есть.
Задание
3
Расчет
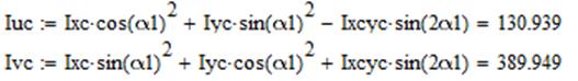
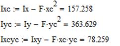
моментов инерции сечения, заданного аналитически
Моменты инерции, координаты центра тяжести и
уравнения главных осей инерции являются важными характеристиками, определяющими
параметры сечения. В данной работе сечение, параметры которого необходимо
определить, будет задано при помощи уравнений четырех произвольных кривых,
ограничивающих его.
ЗАДАНИЕ
Найти главные центральные моменты инерции фигуры
(осевые и центробежный), и положение главных осей инерции. Отобразить на экране
фигуру, ее центр тяжести и главные координатные оси.
Фигура задана четырьмя кривыми (см. табл.1).
Пример кривых и задаваемой ими фигуры:
Для определения главных центральных моментов
инерции фигуры следует предварительно определить статические моменты
относительно имеющихся координатных осей и площадь фигуры. Это позволит
определить координаты центра тяжести фигуры.
Далее, задавшись новыми осями координат,
параллельными исходным и проходящими через центр тяжести фигуры, можно
определить центральные моменты инерции фигуры. Определяются углы наклона главных
осей инерции сечения (оси проходят через центр тяжести, относительно их
центробежный момент инерции обращается в 0) и выводятся уравнения самих осей.
Наконец, определяются главные моменты инерции сечения.
Табл.1
Расчетные формулы:
Площадь сечения:
;
Статические моменты:
,
;
Координаты центра тяжести:
;
;
Моменты инерции относительно осей
координат:
,
;
Центробежный момент инерции относительно осей
координат:
;
Моменты инерции относительно осей, проходящих
через центр тяжести параллельно исходным осям:
,
,
;
Углы наклона главных осей:
,
;
Расчет моментов инерции относительно
повернутых центральных осей:
,
,
;
Уравнения главных центральных осей
инерции сечения:
,
.
Выполнение задания:
По графику определим примерные координаты точек
пересечения:
Построим фигуру:
Найдем площадь F:
Найдем статические
моменты Sx и Sy:
Для вычисления статических моментов введем
вспомогательные переменные F1
и F2, каждая из которых
будем представлять собой объединение 1и 2, 3 и 4 функций образующих наше
сечение.
Вычислим координаты центра тяжести сечения xc
и yc:
Вычислим моменты инерции относительно осей
координат, а также момент инерции относительно осей координат:
Вычислим моменты инерции относительно осей,
проходящих через центр тяжести параллельно исходным осям:
Вычисли углы наклона главных осей:
Найдем моменты инерции относительно повернутых
центральных осей:
В случае верного решения задачи центробежный
момент инерции сечения относительно главных осей U
и V должен быть равен
нулю:
Запишем уравнения главных центральных осей
инерции сечения:
спирограф
игра инерция уравнение
Главные центральные
оси:
Выполним дополнительную проверку. Согласно
сведениям полученным из курса лекций по предмету “Механика материалов” сумма
моментов инерции относительно любой пары взаимно перпендикулярных центральных
осей должна быть постоянной:
Задание
4
“Д - 27 Интегрирование дифференциального
уравнения свободных колебаний механической системы с помощью ЭВМ”
. Составить дифференциальное уравнение,
описывающее движение системы (свободные колебания системы)
. По результатам численного интегрирования
определить циклическую частоту K
и период T колебаний.
Решение
Дано
m1=14 кг - масса
первого тела
m2=5 кг - масса
второго тела
c1= 14 Н/см -
коэффициент жёсткости для линейной пружины
f=0.15 - деформация
пружины в состоянии покоя
R=0.3 - радиус 2-го
элемента
q0=0.2 - начальное
значение обобщённой координаты
Схема механической системы:
Для поучения дифференциального уравнения
движения системы воспользуемся уравнением Лагранжа II
рода для консервативных систем:
(1)
где Т и П - кинетическая и
потенциальная энергии системы. В качестве обобщённой координаты q примем угол
поворота
диска 2 (q=
).
Кинетическая энергия системы
Учитывая уравнения
связей

(2)
и выражения для момента инерции
однородного
диска 2 относительно центральной оси, получаем выражение для кинетической
энергии:
(3)
где
Потенциальная энергия системы
определяется как работа сил упругости на перемещении из отклоненного положения
в нулевое (положение покоя):
(4)
Зависимость P(x)
определяется выражением
(5)
где
. Это выражение можно представить
более компактной записью, если использовать формулу
, которая
принимает значения +1 при x>0 и -1 при x<0.
Условимся, что значения
при х=0
равно нулю.
Зависимость P(x) принимает
вид
(6)
Подставляя (6) в (4), получаем для
П(х):
(7)
Выразим потенциальную энергию, как
функцию от q, учитывая,
что 
(8)
В уравнении Лагранжа II рода
следует подставить производную от П по q.
Функция (8) имеет производную
всюду,
кроме точки q=0,
(9)
При q=0 функция F(q) должна
быть принята равной нулю, ибо в этом положении силы, действующие на тела
системы, взаимно уравновешены. Подставляя (3) и (9) в уравнение (1), получим
нелинейное дифференциальное уравнение движения системы:
(10)
Вычислим коэффициенты выражения (9):
Функция F(q) имеет вид:
(11)
Дифференциальное уравнение движения
рассматриваемой системы
(12)
Для определения движения системы
следует численно проинтегрировать на ЭВМ уравнение (12) при начальных условиях:
при
(13)
Результаты вычислений приведены в таблице. На
рисунке по результатам вычислений представлена зависимость φ=
φ(t). Достаточно
построить лишь ту часть графика, где φ изменяется
от максимального значения
до нуля.
Продолжение можно построить из соображений симметрии.
По графику легко определить четверть колебаний 3T:
в момент
значение
φ
обращается
в ноль. Так как
c,
то период колебаний составляет
c,
а циклическая частота
.
Заключение
В ходе работы были сделаны следующие выводы:
автор узнал, что такое MathCAD
научился решать задачи в MathCAD
научился работать в среде Delphi
Самооценка: автор считает, что он достиг
поставленной цели и понятно изложил всю тему.
Значимость моей работы заключается в том что, я
решил эту проблему, и теперь могу без проблем работать в MathCAD, Delphi.
Так же я узнал новое из этой работы, и те учащиеся, которые заинтересованы в
этой теме тоже узнали нового. Конечно, возникла трудность с поиском литературы,
материала для данной работы существует не так много.
Задачи этой работы были решены, автор узнал, что
такое MathCAD, Delphi.
Список
использованных источников
Методические
пособия по MathCAD.
Конспект
лекций по информатике.
Конспект
лекций по механике материалов
Сборник
заданий для курсовых работ по теоретической механике: Учебное пособие для
технических вузов. - 5-е изд.
Приложение
1.
unit Unit1;, Messages, SysUtils,
Variants, Classes, Graphics, Controls, Forms,, ExtCtrls, StdCtrls, Grids,
Buttons, jpeg, TeEngine, Series,, Chart;= class(TForm): TStringGrid;:
TRadioGroup;: TRadioGroup;: TRadioGroup;: TRadioGroup;: TRadioGroup;: TImage;:
TImage;: TImage;: TLabel;: TLabel;: TEdit;: TLabel;: TLabel;: TEdit;: TButton;:
TLabel;: TEdit;: TLabel;: TLabel;: TButton;: TEdit;: TLabel;: TChart;:
TLineSeries;: TButton;FormCreate(Sender: TObject);Button1Click(Sender:
TObject);Image2Click(Sender: TObject);Image3Click(Sender:
TObject);Button2Click(Sender: TObject);Edit3Change(Sender:
TObject);Button3Click(Sender: TObject);
{ Private declarations }
{ Public declarations };:
TForm1;,i:integer;
{$R *.dfm}TForm1.FormCreate(Sender:
TObject);:=0;.ItemIndex:=1;.ItemIndex:=1;.ItemIndex:=0;.ItemIndex:=0;.ItemIndex:=1;.Cells[0,0]:=’Номер
хода’;.Cells[1,0]:=
'К-во
денег
у
игрока’;;TForm1.Button1Click(Sender:
TObject);a,b,c,n,z,k,d,v,m,chet,chet1:integer;
chet1:=3;//к-во
проигрышей подряд после которого возвращаются к начальному значению
i:=i+1;chet=chet1 then
k:=strtoint(edit3.Text); //возврат к начальной ставке:=0;:=strtoint(edit1.Text);:=strtoint(edit2.Text);:=strtoint(edit4.Text);k>b
then k:=strtoint(edit3.Text);b<=0 then ShowMessage(‘Пора идти домой))')else
//при проигрышеradiogroup1.ItemIndex=0
then //при мартингейлеradiogroup2.ItemIndex=0
then //проверка выбран ли лимит казиноk>=a
then k:=strtoint(edit3.Text); //действия при ответе да;:=1+random(36);
//генерация игры.Caption:=inttostr(c);:=c
mod 2 ;d=0 then d:=1 d:=-1; //определение выпавшего
сектора
if d=f then //действия
в случае выигрыша
b:=b+k;
if radiogroup3.ItemIndex=0 then f:=-1*f; // смена
сектора в случае выигрыша
k:=strtoint(edit3.Text);chet>0
then chet:=chet-1;//:=b-k;:=k*2;:=chet+1;radiogroup4.ItemIndex=0 then
f:=-1*f;;.Cells[0,i]:=inttostr(i); //запись результатов в таблицу.Cells[1,i]:=inttostr(b);.RowCount:=i;.Text:=inttostr(b);3.Text:=inttostr(k);
end
else //действия при
антимартингейле логика построения аналогично же как и в мартингейле
beginradiogroup2.ItemIndex=0
thenk>=a then
k:=strtoint(edit3.Text);;:=1+random(36);.Caption:=inttostr(c);:=c mod 2 ;d=0
then d:=1d:=-1;d=f then:=b+k;:=k*2;chet>0 then
chet:=chet-1;radiogroup3.ItemIndex=0 then
f:=-1*f;:=b-k;:=strtoint(edit3.text);radiogroup4.ItemIndex=0 then
f:=-1*f;:=chet+1;;.Cells[0,i]:=inttostr(i);.Cells[1,i]:=inttostr(b);.Text:=inttostr(b);.Text:=inttostr(k);.RowCount:=i;;;;TForm1.Image2Click(Sender:
TObject);
f:=-1; //функции выбора цвета
начального сектора
image2.Transparent:=true;;TForm1.Image3Click(Sender:
TObject);:=1;.Transparent:=True;;TForm1.Button2Click(Sender: TObject); //функция сброса данных для последующей игрыz:integer;.Transparent:=false;.Transparent:=false;StringGrid1
doz:=0 to ColCount-1 do[z].Clear;:=0;.Cells[0,0]:=’Номер хода’;1.Cells[1,0]:=’К-во
денег у игрока’;
edit4.Text:=edit3.Text;.Caption:='';.Clear;;TForm1.Edit3Change(Sender:
TObject);.Text:=edit3.Text;;TForm1.Button3Click(Sender: TObject); //функция прорисовки графикаhod,ksh,i:integer;.Clear;i:=1
to stringgrid1.RowCount
do:=strtoint(stringgrid1.Cells[0,i]);:=strtoint(stringgrid1.Cells[1,i]);.AddXY(hod,ksh);;
end;.