Анализ и прогнозирование масштабов лесных пожаров и разработка мероприятий по их снижению на примере Удмуртской Республики

  • Вид работы:
    Дипломная (ВКР)
  • Предмет:
    Безопасность жизнедеятельности
  • Язык:
    Русский
    ,
    Формат файла:
    MS Word
    1 Мб
  • Опубликовано:
    2014-08-04
Вы можете узнать стоимость помощи в написании студенческой работы.
Помощь в написании работы, которую точно примут!

Анализ и прогнозирование масштабов лесных пожаров и разработка мероприятий по их снижению на примере Удмуртской Республики

Введение

Деревья являются одним из самых главных источников образования кислорода на Земле. Поэтому задача сохранения лесов в настоящее время является одним из приоритетных направлений деятельности государства.

Причинами уменьшения лесных массивов являются: нерациональная вырубка лесов, засухи, бактериальные инфекции деревьев, насекомые- вредители. Но наиболее сильный ущерб лесным массивам приносят природные пожары.

Лесные пожары - это стихийные бедствия, охватывающие, как правило, обширные территории в несколько сотен, тысяч и даже миллионов гектаров.

На долю России приходится около 1/4 мирового лесного покрова и запасов древесины. Ежегодно на территории России в пожароопасный период возникает более тысячи очагов возгораний, из-за чего уничтожаются миллионы гектаров леса.

Основными причинами возникновения лесных пожаров являются:

Безответственное поведение людей, которые не проявляют в лесу должной осторожности при пользовании огнем, нарушают правила пожарной безопасности, оставляют непотушенные костры или окурки в местах отдыха;

детская шалость с огнем;

сжигание мусора вблизи жилых домов и на территории, прилегающей к лесным массивам;

искры из выхлопных труб автотранспорта;

самовозгорание промасленного обтирочного материала. В редких случаях виноваты естественные причины;

удар молнии;

непотушенный костер на месте отдыха;

брошенная горящая сигарета;

В период с 2009 по 2013 года в пожароопасный период (апрель-ноябрь) зарегистрировано 580 лесных пожаров, с общей площадью 316 га.

Для оптимизации борьбы с лесными пожарами, повышения качества управленческих решений требуется прогноз динамики развития лесных пожаров. Такой прогноз можно получить при проведении математического моделирования лесных пожаров. Моделирование, прогнозирование развития и оценка последствий лесных пожаров являются важными и актуальными задачами, решение которых востребовано государством, владеющим, сохраняющим и использующим природные ресурсы страны.

Целью данной выпускной квалификационной работы является анализ и прогнозирование масштабов лесных пожаров и разработка мероприятий по их снижению на примере Удмуртской Республики.

Для решения этой цели поставлены следующие задачи

)        Анализ нормативно-правовых актов;

) сбор и анализ статистических данных лесных пожаров в Удмуртской Республике;

) разработка математической модели прогноза показателя лесных пожаров в Удмуртской Республике;

) разработка комплекса мероприятий по снижению масштабов лесных пожаров Удмуртской Республике.

1. Анализ нормативно-правовых актов

Федеральный закон от 21.12.1994 № 69- ФЗ (с изменениями и дополнениями 12.03.2014) «О пожарной безопасности».

Этот Федеральный закон определяет общие правовые, экономические и социальные основы обеспечения пожарной безопасности в Российской Федерации, регулирует в этой области отношения между органами государственной власти, органами местного самоуправления, учреждениями, организациями, крестьянскими (фермерскими) хозяйствами, иными юридическими лицами независимо от их организационно-правовых форм и форм собственности (далее - организации), а также между общественными объединениями, индивидуальными предпринимателями, должностными лицами, гражданами Российской Федерации, иностранными гражданами, лицами без гражданства (далее - граждане).

Статья 1. Основные понятия

Пожар - неконтролируемое горение, причиняющее материальный ущерб, вред жизни и здоровью граждан, интересам общества и государства.

Противопожарный режим - требования пожарной безопасности, устанавливающие правила поведения людей, порядок организации производства и (или) содержания территорий, зданий, сооружений, помещений организаций и других объектов в целях обеспечения пожарной безопасности.

Меры пожарной безопасности - действия по обеспечению пожарной безопасности, в том числе по выполнению требований пожарной безопасности.

Статья 27. Учет пожаров и их последствий

В Российской Федерации действует единая государственная система статистического учета пожаров и их последствий. Официальный статистический учет и государственную статистическую отчетность по пожарам и их последствиям ведет Государственная противопожарная служба.

Порядок учета пожаров и их последствий определяется федеральным органом исполнительной власти, уполномоченным на решение задач в области пожарной безопасности, по согласованию с федеральным органом исполнительной власти, осуществляющим межотраслевую координацию и функциональное регулирование в сфере государственной статистики, и другими заинтересованными федеральными органами исполнительной власти.

Установленный порядок учета пожаров и их последствий обязателен для исполнения органами государственной власти, органами местного самоуправления, организациями и гражданами, осуществляющими предпринимательскую деятельность без образования юридического лица.

Статья 30. Особый противопожарный режим

В случае повышения пожарной опасности решением органов государственной власти или органов местного самоуправления на соответствующих территориях может устанавливаться особый противопожарный режим.

На период действия особого противопожарного режима на соответствующих территориях нормативными правовыми актами Российской Федерации, нормативными правовыми актами субъектов Российской Федерации и муниципальными правовыми актами по пожарной безопасности устанавливаются дополнительные требования пожарной безопасности, в том числе предусматривающие привлечение населения для локализации пожаров вне границ населенных пунктов, запрет на посещение гражданами лесов, принятие дополнительных мер, препятствующих распространению лесных и иных пожаров вне границ населенных пунктов на земли населенных пунктов.

. Федеральный закон от 04.12.2006 № 200- ФЗ (с изменениями и дополнениями 12.03.2014) «Лесной кодекс Российской Федерации».

Статья 11. Пребывание граждан в лесах

. Граждане имеют право свободно и бесплатно пребывать в лесах и для собственных нужд осуществлять заготовку и сбор дикорастущих плодов, ягод, орехов, грибов, других пригодных для употребления в пищу лесных ресурсов (пищевых лесных ресурсов), а также недревесных лесных ресурсов.

. Граждане обязаны соблюдать правила пожарной безопасности в лесах, правила санитарной безопасности в лесах, правила лесовосстановления и правила ухода за лесами.

. Пребывание граждан может быть запрещено или ограничено в лесах, которые расположены на землях обороны и безопасности, землях особо охраняемых природных территорий, иных землях, доступ граждан на которые запрещен или ограничен в соответствии с федеральными законами.

. Пребывание граждан в лесах может быть ограничено в целях обеспечения:

) пожарной безопасности и санитарной безопасности в лесах;

) безопасности граждан при выполнении работ.

. Запрещение или ограничение пребывания граждан в лесах по основаниям, не предусмотренным настоящей статьей, не допускается.

Статья 53. Пожарная безопасность в лесах

Меры пожарной безопасности в лесах включают в себя:

) предупреждение лесных пожаров;

) мониторинг пожарной опасности в лесах и лесных пожаров;

) разработку и утверждение планов тушения лесных пожаров;

) иные меры пожарной безопасности в лесах.

Меры пожарной безопасности в лесах осуществляются в соответствии с лесным планом субъекта Российской Федерации, лесохозяйственным регламентом лесничества, лесопарка и проектом освоения лесов.

Правила пожарной безопасности в лесах и требования к мерам пожарной безопасности в лесах в зависимости от целевого назначения земель и целевого назначения лесов устанавливаются Правительством Российской Федерации.

Классификация природной пожарной опасности лесов и классификация пожарной опасности в лесах в зависимости от условий погоды устанавливаются уполномоченным федеральным органом исполнительной власти.

Статья 53.1. Предупреждение лесных пожаров

Предупреждение лесных пожаров включает в себя противопожарное обустройство лесов и обеспечение средствами предупреждения и тушения лесных пожаров.

Меры противопожарного обустройства лесов включают в себя:

) строительство, реконструкцию и эксплуатацию лесных дорог, предназначенных для охраны лесов от пожаров;

) строительство, реконструкцию и эксплуатацию посадочных площадок для самолетов, вертолетов, используемых в целях проведения авиационных работ по охране и защите лесов;

) прокладку просек, противопожарных разрывов, устройство противопожарных минерализованных полос;

) строительство, реконструкцию и эксплуатацию пожарных наблюдательных пунктов (вышек, мачт, павильонов и других наблюдательных пунктов), пунктов сосредоточения противопожарного инвентаря;

) устройство пожарных водоемов и подъездов к источникам противопожарного водоснабжения;

) проведение работ по гидромелиорации;

) снижение природной пожарной опасности лесов путем регулирования породного состава лесных насаждений и проведения санитарно-оздоровительных мероприятий;

) проведение профилактического контролируемого противопожарного выжигания хвороста, лесной подстилки, сухой травы и др. 

Статья 53.2. Мониторинг пожарной опасности в лесах и лесных пожаров

Мониторинг пожарной опасности в лесах и лесных пожаров включает в себя:

) наблюдение и контроль за пожарной опасностью в лесах и лесными пожарами;

) организацию системы обнаружения и учета лесных пожаров, системы наблюдения за их развитием с использованием наземных, авиационных или космических средств;

) организацию патрулирования лесов;

) прием и учет сообщений о лесных пожарах, а также оповещение населения и противопожарных служб о пожарной опасности в лесах и лесных пожарах специализированными диспетчерскими службами.

. Государственный стандарт Российской Федерации ГОСТ Р 22.1.09-99 «Мониторинг и прогнозирование лесных пожаров ».

Этот стандарт устанавливает общие требования по мониторингу и прогнозированию лесных пожаров и чрезвычайных лесопожарных ситуаций.

Статья 3. Определения

Мониторинг лесных пожаров или лесопожарный мониторинг - система наблюдений и контроля за пожарной опасностью в лесу по условиям погоды, состоянием лесных горючих материалов, источниками огня и лесными пожарами с целью своевременной разработки и проведения мероприятий по предупреждению лесных пожаров и (или) снижению ущерба от них.

Прогнозирование лесных пожаров - определение вероятности возникновения разрастания лесных пожаров во времени и пространстве на основе анализа данных мониторинга лесных пожаров.

Лесной фонд - все леса, за исключением лесов, расположенных на землях закрытых территорий и населенных пунктов (поселений), а также земли лесного фонда, не покрытые лесной растительностью (лесные земли и нелесные земли).

Лесной пожар - пожар, распространяющийся по лесной площади.

Верховой пожар - лесной пожар, охватывающий полог леса.

Низовой пожар - лесной пожар, распространяющийся по нижним ярусам лесной растительности, лесной подстилке, опаду. Низовой пожар, при котором основным горючим материалом является древесина, расположенная на поверхности почвы

Торфяной лесной пожар - лесной пожар, при котором горит торфяной слой заболоченных и болотных почв.

Статья 4. Организационная структура мониторинга

Мониторинг и прогнозирование лесных пожаров и осуществляется на четырех уровнях:

. На федеральном уровне организацию работ по мониторингу и прогнозированию лесных пожаров осуществляет федеральный орган управления лесным хозяйством России.

. На региональном уровне организацию работ по мониторингу и прогнозированию лесных пожаров осуществляют государственные органы управления лесным хозяйством субъектов Российской Федерации.

. На местном уровне организацию работ по прогнозированию лесных пожаров осуществляют лесхозы и другие организации, предприятия и учреждения, осуществляющие ведение лесного хозяйства.

. На локальном уровне (места лесных пожаров и площади, пройденные лесными пожарами) организацию работ по контролю за лесопожарной ситуацией, радиационному контролю и учету последствий лесных пожаров осуществляют лесхозы и другие организации, предприятия и учреждения, осуществляющие ведение лесного хозяйства, а также подразделения «Авиалесоохраны», осуществляющие обнаружение и тушение лесных пожаров.

2. Распределение земельного фонда по категориям земель

В соответствии с данными государственной статистической отчетности площадь земельного фонда Удмуртской Республики по состоянию на 1 января 2014 года составляет 2065,9 тыс. га. Сведения о наличии и распределении земельного фонда Удмуртской Республики содержат характеристики земель в разрезе 25 административных районов и 5 городов.

Распределение земельного фонда республики по категориям и его изменение за 2012 год приведено в таблице 1:

Таблица 1 - Распределение земельного фонда по категориям земель

Категории земель

Общая площадь на 1 января (тыс. га)

Изменение (га)







2012 г.

2013 г.


1

Земли сельскохозяйственного назначения

1867,2

1866,2

-940

2

Земли населенных пунктов

202,0

202,7

+702

3

Земли промышленности, энергетики, транспорта, связи, радиовещания, телевидения, информатики, земли для обеспечения космической деятельности, земли обороны, безопасности и земли иного специального назначения

38,3

38,5

+234

4

Земли особо охраняемых территорий и объектов

1,9

2,0

+44

5

Земли лесного фонда

2046,8

2046,8

-

6

Земли водного фонда

29,2

29,2

-

7

Земли запаса

20,7

20,7

-40

8

Итого земель в административных границах

4206,1

4206,1

-


В течение 2012 года переводы земель из одной категории в другую затронули земли сельскохозяйственного назначения, земли населенных пунктов, земли промышленности и земли иного специального назначения, земли особо охраняемых территорий и объектов, земли запаса. Основанием перевода земель являлись постановления Правительства Удмуртской Республики и акты органов местного самоуправления, принятые в пределах их компетенции.

По землям лесного и водного фондов изменений за отчетный период не произошло.

Структура земельного фонда Удмуртской Республики по категориям земель отображена на рисунке 1

 

Рисунок 1 - Структура земельного фонда Удмуртской Республики по категориям земель (тыс. га)

2.1 Общая характеристика лесного фонда на территории Удмуртской Республики

Удмуртия находится в Камско-Печёрско-Западноуральской подпровинции Урало-Западносибирской таёжной провинции, относящейся к Евроазиатской таёжной области. Северная часть УР входит в подзону южной тайги, южная - в подзону широколиственно-хвойных лесов таёжной зоны. Границу между подзонами условно можно провести по линии, обозначающей северную границу распространения лещины обыкновенной (орешника) и дуба: село Селты - д. Гуляево (Вавожский р-н) - с. Бабино (Завьяловский р-н) - г. Воткинск. Основным типом растительности являются леса. Их площадь 44,4% от всей территории . Луга (сенокосы и пастбища), посевы с-х растений занимают находившиеся раньше под лесами площади и составляют соответственно 7,7% и 27% от общей площади [4].

Общая площадь лесов на территории Удмуртской Республики (далее - территория УР) на 1 января 2014 года составляет 2065,9 тыс. га, в том числе леса на территории земель лесного фонда, расположенные в границах Удмуртской Республики, - 2029,94 тыс. га (98,2 % всех лесов). Общая площадь лесов на землях иных категорий - 35,9 тыс. га, из них 17,3 тыс. га - леса на землях особо охраняемых природных территорий (Национальный парк «Нечкинский»), 14,7 тыс.га - земли населённых пунктов, на которых расположены городские леса, и 3,9 тыс. га - леса на землях обороны и безопасности.

Городские леса располагаются на землях населённых пунктов городов Ижевска (8,3 тыс. га), Воткинска (2,3 тыс. га), Можги (0,3 тыс. га), Глазова (1,8 тыс. га), Сарапула (2,0 тыс. га).

Лесные земли составляют 97 % общей площади земель лесного фонда. Земли лесного фонда Удмуртской Республики разделены на 25 лесничеств и 61 участковое лесничество. [5]

Территориальной единицей управления городских лесов, расположенных на землях населённого пункта город Ижевск, является Ижевское лесничество муниципального образования «Город Ижевск».

На всей покрытой лесом площади на долю хвойных насаждений приходится 58,0 %, на долю мягколиственных - 41,8 %, твердолиственные породы (дуб высокоствольный, дуб низкоствольный, вяз, клен) занимают 0,2% покрытой лесом территории УР.

Сосновый древостой занимает второе место по площади (17%) среди хвойных пород.

Насаждения пихты, лиственницы и кедра занимают 0,9 % покрытой лесом территории УР.

На долю насаждений с преобладанием березы приходится 31% лесопокрытой территории УР. Осиновые насаждения занимают 5% покрытой лесом территории УР. Древостой липы мелколистной распространены на всей территории УР, но при продвижении на север она редеет и произрастает преимущественно в подлеске. Липовые насаждения занимают 4 % покрытой лесом территории УР.

Из других мягколиственных пород в лесах республики распространены ольха серая, ольха черная, тополь, ива. В совокупности эти породы занимают 1,6 % лесопокрытой площади Удмуртской Республики.

Возрастная структура лесов характеризуется следующими показателями: на долю молодняков приходится 31,8 %, средневозрастных древостоев - 38,1 %, приспевающих - 15,8 %, спелых и перестойных - 14,3 % лесопокрытой территории УР. Основные лесообразующие породы имеют следующий средний возраст: ель - 48 лет, сосна - 44 года, береза - 42 года, осина - 39 лет, липа - 47 лет.

По площади на долю сосны приходится 16 %, ели - 40%, березы - 32%, осины - 5%, липы - 4%, остальные породы - 3% .

Средняя дата начала пожароопасного сезона с 23 апреля по 5 октября. [6].

Таблица 2 - Сведения о пожарной опасности лесов

№ п/п

Наименование лесничества

Площадь, га

Средний класс пожарной опасности



Общая площадь

по классам пожарной опасности





I (очень высокая)

II (высокая)

III (средняя)

IV (слабая)

V (отсутствует)


1

Алнашское

16690

1241

2349

6912

6025

163

3,1

2

Балезинское

141176

30071

3595

35311

67334

4865

3,1

3

Вавожское

92819

26296,2

6196,1

9274,8

47656,5

3395,4

2,9

4

Воткинское

68829

22101,5

2847

15417,9

26260,2

2202,4

2,8

5

Глазовское

97248

27095

327

9434

53092

7300

3,1

6

Граховское

35439

1227,1

3449,3

16570,4

14097,4

94,8

3,2

7

Дебесское

39573

1922

4742

15290

16329

1290

3,3

8

Завьяловское

88989

15143

107

17890

49718

6131

3,2

9

Игринское

153789

38258

7202

40533

55633

12163

3

10

Камбарское

39137

1257

6238

13478

17596

568

3

11

Каракулинское

9886

0

1805

3865

4216

0

3

12

Кезское

138528

10254

18406

59421

44512

5935

3,1

13

Кизнерское

126439

5495

16546

45378

57461

1559

3,3

14

Киясовское

20012

0

904

9164

9944

0

3

15

Красногорское

122293

49563

8381

7536

49591

7222

2,6

16

Можгинское

85171

1555

10736

28768

43770

342

4

17

Сарапульское

42396

3573

8929

13315

15730,4

848,6

3

18

Селтинское

125805

46685,4

5932,6

10656,2

57055,7

5475,1

2,8

19

Сюмсинское

137783

34267

6789

12844

69271

14612

3

20

Увинское

148484

22552,9

3786,9

9205,4

99299,8

13639

3,5

21

49260

10926

5300

21234

11262

538

2,7

22

Юкаменское

27552

5417

4559

14468

2710

398

2,6

23

Яганское

42529

8336

3745

16861

13587

0

2,8

24

Ярское

55041

12457

1718

8218

29678

2970

3,2

25

Якшур-Бодьинское

125076

15143

25330

40630

43413

560

3,4


3. Понятие лесного пожара и пожароопасного периода

Лесные пожары - это стихийные бедствия, охватывающие, как правило, обширные лесные территории в несколько сотен, тысяч и даже миллионов гектаров. [7]

Гибель людей, уничтожение бесценного «зеленого богатства», непоправимый ущерб богатейшей лесной фауне - печальный, трагичный итог лесного пожара.

Лесные пожары повреждают или уничтожают ценную древесину и пагубно влияют на возобновление ее ресурсов. Лишая почву растительного покрова, они приводят к серьезному и долговременному ухудшению состояния водосборных бассейнов, снижают рекреационную и научную ценность ландшафтов. При этом страдают или гибнут дикие животные, сгорают жилые дома и другие постройки, погибают люди.

Опасность лесных пожаров для людей связана не только с прямым действием огня, но и большой вероятностью отравления из-за сильного обескислороживания атмосферного воздуха, резкого повышения концентрации угарного газа, окиси углерода и других вредных примесей.

Пожароопасный сезон в лесу длится с момента схода снегового покрова до наступления устойчивой дождливой осенней погоды (апрель-ноябрь). Пожароопасный сезон разделяют на пожароопасные периоды и периоды отсутствия пожарной опасности, которые возникают после выпадения осадков (более 3 мм).

Возникновение пожаров наиболее вероятно, когда начинают подсыхать прошлогодняя трава, горючий мусор на территории объектов и около жилых домов, остатки грубых кормов около надворных построек и сельскохозяйственных объектов. В это время причиной пожара могут послужить даже непотушенная сигарета или спичка, попавшая на сухую траву или мусор, а также оставленный без присмотра костёр. Ежегодно в это время года можно наблюдать выжженные откосы дорог, склоны оврагов, а иногда даже выжженные территории, прилегающие к жилым домам и другим постройкам.

К наиболее пожароопасным лесным насаждениям относятся: сосновые и лиственные леса, кедровые леса, лишайники, брусничники, вейники, багульники. В период, когда на деревьях зеленая листва, она является преградой для распространения верховых пожаров хвойных пород древостоя.

В насаждениях на сухих песчаных почвах пожары возникают наиболее часто и быстро распространяются, но они не носят устойчивого характера и тушить их относительно легко.

В хвойных лесах с толстым слоем из опавших листьев, сучьев, травы в засушливый год пожары принимают опасные формы (верховые и подземные) и наносят большой ущерб.

В летний период (июль-август) количество пожаров в лесу становится максимальным, поэтому в это время года необходимо сосредоточить силы и средства для ликвидации возникающих в лесу пожаров.

Наибольшее влияние на пожарную опасность в лесу оказывают: осадки, температура воздуха и его влажность, ветер и облачность.

.1 Причины распространения и возникновения лесных пожаров

В процессе горения выделяется большое количество тепла, которое передается окружающей среде путем конвекции, излучения, проводимости.

Конвекция - это распространение высоких температур путем подъема массы горячего воздуха над местом горения в виде конвекционной колонки.

Излучение - распространение высоких температур в виде лучистой энергии по радиусу во всех направлениях от источника горения.

Проводимость - распространение высоких температур по горючим материалам от очага горения.

Выделение большого количества тепла и его распространение создают условия для развития действующих пожаров и возникновения новых очагов. Излучение тепловой энергии вызывает нагревание окружающего древостоя, что способствует усилению горения. Способность лесных материалов к тепловой проводимости обеспечивает распространение горения по валежнику, корням и другим частям древесных растений и образование подземных (торфяных) пожаров.

Погодные условия имеют решающее значение для распространения пожара. Дожди и высокая влажность ограничивают и прекращают горение. Сильные ветры способствуют распространению огня. Тихая погода и понижение температуры воздуха, особенно в ночное время стабилизируют горение и снижают его интенсивность. Сухая жаркая погода создает самые благоприятные условия для возникновения и распространения огня.

Кроме выделяемого тепла, имеется множество факторов, определяющих дальнейшее поведение пожара, однако, основными из них, оказывающими решающее влияние на распространение пожара, являются горючий материал, погодные условия и рельеф местности.

Чем сильнее ветер, тем быстрее распространяется пожар. Это обуславливается тем, что ветер способствует дополнительному притоку кислорода, переносу пламени на расположенные впереди горючие материалы и вызывает возникновение новых очагов.

В воздухе всегда присутствует влага в виде водяных паров. Влажность горючего материала - важный фактор, влияющий на ход тушения пожаров, поскольку сырой материал не горит. Днем воздух суше, чем ночью. Поэтому ночью пожары горят медленно, так как горючие материалы поглощают влагу из более сырого ночного воздуха.

Температура воздуха при тушении пожаров должна учитываться как один из основных факторов. Известно, что нагретый на солнце горючий материал теряет влагу и горит быстрее, чем при отсутствии прогрева. Температура непосредственно воздействует на пожарных, затрудняя их работу. [9]

В России люди вызывают примерно 90% природных пожаров. От огня чаще страдают наиболее привлекательные, а потому более посещаемые людьми места.

Основными причинами возникновения лесных пожаров являются: неосторожное обращение с огнем в лесу и несоблюдение работающими в лесу лесозаготовительными организациями, в особенности при огневой очистке лесосек, правил пожарной безопасности; искры, вылетающие из незащищенных дымовых труб паровозов, или шлак, выброшенный из паровозной топки на полотно железной дороги, проходящей через лес, очень часто приводят также к возникновению лесных пожаров; Отдельной проблемой стали выжигания сухой растительности на сельскохозяйственных землях (палы сухой травы), зачастую самими земледельцами. В последние годы именно от палов начинается большинство лесных и торфяных пожаров.

Пожарная опасность лесных насаждений определяется такими факторами: 1) способностью насаждений гореть (служить местом и материалом для возникновения лесных пожаров); 2) наличием источников огня (огнеопасных производств в лесу); большой посещаемостью леса охотниками, пастухами, отдыхающими, сборщиками грибов и ягод и лекарственных растений; наличием железных дорог в лесу; 3) условиями тушения лесных пожаров (отдаленностью участков от населенных пунктов и других источников рабочей силы и средств пожаротушения).

Наибольшей горимости подвержены хвойные насаждения - сосновые, еловые, пихтовые, кедровые и лиственничные с хвойным подростом и подлеском, с почвенным покровом из лишайников, мхов, вереска, подсохших травянистых растений и при наличии лесного хлама.

Меньшей горимостью отмечаются лиственные леса - дубравы на свежих и влажных почвах, березняки, ольшанники.

Горимость лесов зависит также от температуры и сухости воздуха (дефицита влажности): чем выше температура и сухость воздуха, тем больше горимость и наоборот.

Наибольшая горимость леса наблюдается в середине и начале второй половины дня (12-15 часов); к вечеру горимость снижается.

.2 Классификация лесных пожаров

Наибольшее значение имеет разделение пожаров, основанное на воздействии огня на составные части фитоценоза. С использованием этого принципа построена основная классификация лесных пожаров.

Таблица 3 - Классификация лесных пожаров по интенсивности горения

Вид лесного пожара

Параметры пожара

Подвид лесного пожара



Слабый

средний

сильный

Низовой

Скорость распространения, м/мин

До 1

1-3

Свыше 3

Верховой

Скорость распространения, м/мин

До 3

3-100

Свыше 100

Торфяной

Скорость распространения, м/мин

До 25

25-50

Cвыше 50


Низовой пожар - лесной пожар, распространяющийся по нижним ярусам лесной растительности, лесной подстилке, опаду. [7] Низовые пожары характеризуются горением нижних ярусов растительности лесного биогеоценоза: подстилки, опада, мохового и травяного покрова. В огне низового пожара сгорают кустарнички, подлесок и подрост. Низовые лесные пожары - самые распространенные. Их количество в среднем составляет 97-98 %, а площадь - около 87-89 % всех зарегистрированных. Выделяют 2 формы низовых пожаров: беглую и устойчивую.

Беглые пожары характерны для весеннего периода, когда высыхает верхний слой мелких горючих материалов, а лесная подстилка еще влажная. В этом случае огонь распространяется со средней скоростью 3-5 м/мин, но сравнительно мало повреждает древостой, поскольку не задерживается долго на одном месте. Поэтому термин "беглый" было бы правильнее понимать как поверхностный. При беглом пожаре уничтожается самосев леса, обгорает кора нижней части деревьев и выходящих на поверхность почвы корней, повреждаются подрост и подлесок. Такие пожары причиняют наименьший вред лесу, т. к. количество сгорающих горючих материалов невелико. Наблюдается мозаичность в распространении огня по площади, участки с повышенной влажностью напочвенного покрова не горят.

Устойчивые низовые пожары происходят в условиях длительной засухи, когда высыхает не только опад, но также лесная подстилка и моховой покров. В условиях Сибири, где распространены зеленомошные группы типов леса, такие пожары возникают в засушливый летний период. Средняя скорость продвижения фронта пожара 1-3 м/мин, огонь дольше задерживается на одном месте и оказывает сильное локальное воздействие. Длительность горения объясняется не уменьшением скорости продвижения кромки пожара, а увеличением ее ширины, которая составляет около 1 м. При устойчивых пожарах лесная подстилка толщиной до 15 см и влажностью 7-20 % выгорает до минерального слоя и вместе с нею сгорает или в значительной степени повреждается поверхностная корневая система деревьев. Особенно сильно страдают ельники, а в сосняках и лиственничниках наблюдается отпад до 30 % по запасу, в зависимости от возраста и типа леса. На таких участках создаются условия для последующих высокоинтенсивных пожаров. Деление низовых пожаров на беглые и устойчивые имеет большое практическое значение. Отличаются не только последствия этих форм пожаров, но различны и тактические приемы их тушения.

Верховой пожар - лесной пожар, охватывающий полог леса. [7]

Верховые пожары отличаются от низовых тем, что наряду с горением напочвенного покрова и лесной подстилки горят и кроны деревьев. Они возникают чаще всего в засушливую погоду и при ветрах средней и большой скорости, за исключением хвойных молодняков, в которых низовой пожар легко переходит в верховой из-за низкоопущенных крон даже при слабом ветре. Переход огня в кроны во многом облегчается наличием на почве больших запасов лесных горючих материалов (ЛГМ), а также многоярусностью насаждений.

Различают устойчивые и беглые верховые пожары. При устойчивом пожаре горение крон деревьев, напочвенного покрова и подстилки происходит одновременно и при этом выделяется большое количество тепла. Средняя скорость продвижения огня на фронте от 5 до 15 м/мин, ширина горящей кромки 6-8 м. Такие пожары называют также повальными. Они обладают наибольшей разрушительной силой, так как приводят к полной гибели насаждений.

При беглом или вершинном верховом пожаре огонь распространяется по кронам скачкообразно со скоростью 250-330 м/мин. Такие пожары наблюдаются при скорости ветра более 15 м/с. Во время скачка горят только кроны деревьев, горение длится 15-20 сек, и за это время пламя уходит вперед на расстояние около 100 м. После каждого скачка распространение огня по кронам прекращается до подхода кромки низового пожара. Как только низовой пожар пройдет участок, на котором сгорели кроны, начинается подогрев крон на следующем участке и процесс повторяется.

С физической точки зрения такое распространение верхового огня объясняется тем, что тепло от горящих крон, поднимаясь наклонно по ветру, лишь частично попадает на соседние кроны и его оказывается недостаточно для подогрева хвои и подготовки ее к воспламенению. Полог древостоя подогревается в основном за счет тепла от низового пожара, под действием ветра тепло подогревает кроны впереди на довольно значительном расстоянии. Затем происходит вспышка и огонь быстро охватывает подогретые кроны. Средняя скорость продвижения фронта беглого верхового пожара до 40 м/мин.

Торфяной лесной пожар - лесной пожар, при котором горит торфяной слой заболоченных и болотных почв [7].

Торф представляет собой продукт неполного разложения растительной массы в условиях избыточной влажности и недостаточной аэрации. Он является обводненным конгломератом битумов, гуминовых кислот, их солей, других продуктов разложения растительного материала и не успевших еще разложиться элементов растений. Торф обладает самой высокой из всех твердых топлив влагоемкостью.

При нагревании торф высушивается, затем происходит его пиролиз с образованием горючих газообразных компонентов. При торфяных пожарах на больших массивах фронт горения очень неоднороден, оно происходит в основном очагами различного размера. Цвет очагов белый, поверхность горения во времени заглубляется под негорящую поверхность, то есть происходит образование внутренних полостей в торфе. Торфяная залежь обычно имеет относительную влажность 92-95 %, что делает ее сравнительно безопасной в пожарном отношении. Однако в отдельные особо засушливые годы при неблагоприятном стечении климатических условий и непринятии своевременных мер к тушению пожары могут распространиться на большие территории.

Торфяные пожары характерны для второй половины лета, когда в результате длительной засухи верхний слой торфа просыхает до относительной влажности 25-100 %. При таком содержании влаги он может загораться и поддерживать горение в нижних, менее сухих слоях. Глубина прогорания торфяной залежи определяется уровнем залегания грунтовых вод. Горение обычно происходит в режиме "тления", то есть в беспламенной фазе как за счет кислорода, поступающего вместе с воздухом, так и за счет его выделения при термическом разложении сгораемого материала. Хотя скорость продвижения кромки торфяного пожара составляет не более нескольких метров в сутки, они отличаются устойчивостью горения, которое при заглублении на 1,0-1,5 м не могут ликвидировать даже большие дожди.

Процесс горения в нижней части происходит значительно интенсивней, чем вверху. Это можно объяснить тем, что свежий холодный воздух, как более тяжелый, поступает в нижнюю часть зоны горения, где реагирует с горящим торфом. Углекислый и угарный газы, а также продукты пиролиза торфа в нагретом виде омывают верхнюю часть зоны горения, препятствуя доступу к ней кислорода. Также распространению горения на верхние слои почвы препятствует повышенная влажность в задернелом корнеобитаемом слое почвы, хорошо удерживающем влагу от выпадения осадков и капиллярного подъема грунтовых вод.

Развитие торфяных пожаров можно разделить на три периода.

Первый - начальный - загорание торфа. Характеризуется малой площадью очага, небольшой скоростью горения, сравнительно низкой температурой и слабой задымленностью в зоне горения. Продолжительность периода загорания колеблется от нескольких минут до нескольких часов и зависит от влажности торфа, скорости ветра, температуры и относительной влажности воздуха.

Второй - характеризуется интенсивным горением с нарастанием его скорости и температуры. Быстро увеличивается площадь пожара, достигая нередко нескольких тысяч кв.м. Повышается температура окружающей среды, на большое расстояние распространяется дым.

Третий - пожар распространяется наиболее интенсивно и на весьма большой площади, исчисляемой несколькими гектарами. Пожар характеризуется высокой температурой в зоне горения и сильной задымленностью.

В очагах торфяных пожаров возникают завалы из подгоревших, упавших деревьев и полости выгоревшего торфа, в которые могут проваливаться люди и техника.

Подземные торфяные пожары сами по себе распространяются очень медленно и возникают обычно из низовых, при которых огонь заглубляется по всему пожарищу отдельными очагами.

По площади, охваченной огнем, лесные пожары подразделяются на шесть классов:

)        загорание - 0,2-0,1 га;

)        малый пожар - 0,2-2,0 га;

)        небольшой пожар - 2,1-20 га;

)        средний пожар - 21-200 га;

)        катастрофический пожар - более 2000 га.[9]

Таблица 4 - Шкала оценки лесных участков по степени опасности возникновения пожаров

Класс пожарной опасности

Объект загорания (характерные типы леса)

Наиболее вероятные виды пожаров, условия и продолжительность периода

I

Хвойные молодняки , сплошные вырубки, лишайниковые, вересковые, вырубки; расстроенные, отмирающие и сильно поврежденные древостои.

В течении всего пожароопасного сезона возможны низовые пожары, а на участках с наличием древостоя - верховые. На вейниковых и других травяных типах вырубок по суходолу особенно значительна пожарная опасность весной, а в некоторых районах и осенью

II

Сосняки-брусничники, особенно с наличием соснового подроста или подлеска из можжевельник выше средней густоты, Листвяги кедрово-стланиковые.

Низовые пожары возможны в течение всего пожароопасного сезона; верховые - в периоды пожарных максимумов.

III

Сосняки-кисличники и черничники, листвяги-брусничники, кедровники всех типов, кроме прирученных и сфагновых, ельники- брусничники и кисличники

Низовые и верховые пожары возможны в период летнего пожарного максимума, а в кедровниках, кроме того в периоды весеннего и, особенно , осеннего максимумрв

IV

Сплошные вырубки таволговых и долгомошников, сосняки, листвяги и насаждения лиственных пород травяных типов, сосняки и ельники сложные, липняковые, лещиновые, дубняковые, сосняки сфагновые.

Возникновение пожаров возможно в травяных типах леса и на таволговых вырубках в периоды весеннего и осеннего пожарных максимумов, в остальных типах леса и на долгомошниковых вырубках - в периоды летнего максимума.

V

Ельники, березняки и осинники-долгомощники, ельники сфагновые и приручейные , ольшаники всех типов .

Возникновение пожара возможно только при особо неблагоприятных условиях (длительная засуха).

3.3 Тушение лесных пожаров

Тактика - это выбор метода тушения пожара в зависимости от характеристики участков, охваченных пожаром, и условий, существующих в момент тушения. Различают два метода тушения - прямой и упреждающий (косвенный).

Прямой метод тушения применяется в том случае, когда можно непосредственно тушить кромку пожара или создать у кромки заградительную полосу. [10]

Метод упреждения (косвенный) используется, когда линию остановки огня выбирают на некотором расстоянии от кромки пожара. Применение этого метода вызвано следующими причинами: необходимостью отвести пожарных от кромки пожара из-за чего его интенсивности; выбором лучшего места для создания заградительной или опорной полосы; возможностью уменьшить длину полосы и время на ее создание; использованием естественных и искусственных преград и т.д.

Лесные пожары зачастую переходят из одного вида в другой. Ликвидация лесных пожаров в начале их возникновения является основным и главным требованием при организации тушения пожаров. Тушение лесных пожаров, как правило, должно осуществляться силами и средствами самих лесхозов, а при необходимости лесхоз привлекает средства и силы со стороны в соответствии с оперативным планом противопожарных мероприятий.

Для остановки и окончательного тушения пожаров применяются следующие способы:

Захлестывание огня - сбивание пламени на кромке горения в сторону пожара ветками или другими подручными средствами (мешком, куском материала, прикрепленным к палке, специальными «хлопушками» из прорезиненной ткани и др.). При этом удар ветки или другого орудия тушения должен быть скользящим от кромки в сторону пожара, движения тушащего напоминают работу косаря.

Забрасывание огня грунтом применяется на легких песчаных и супесчаных почвах. Для этого грунт набирают на лопату и бросают на горящую кромку так, чтобы сбить пламя на возможно большем ее протяжении. Отдельные очаги горения (валежник, пни) засыпают грунтом полностью. [13]

Полив огня водой или растворами огнетушащих веществ помогает снизить температуру горения и увеличить влажность горючих материалов. Для этого могут быть использованы любые подручные средства, а также специальные лесные огнетушители, мотопомпы, автоцистерны и др.

Изоляция горючих материалов перед движущейся кромкой осуществляется прокладкой заградительных полос и канав вручную лопатами, механизмами, химическими растворами и порошками, взрывчатыми веществами.

При выборе способа и средств тушения пожара в каждом отдельном случае необходимо исходить из наличия сил и средств и с учетом вида пожара, его интенсивности и условий, в которых он действует, с тем, чтобы по возможности быстрее локализовать (остановить) пожар, а затем окончательно ликвидировать.

4. Статистические данные по лесным пожарам и погодным условиям

Таблица 5 - Статистические данные лесных пожаров

месяц, год

количество лесных пожаров

площадь лесных пожаров, в га; (у2)

средняя температура по месяцам, в t0С ; (х1)

среднее давление по месяцам, мм.рт.ст.; (х2)

средняя влажность по месяцам, в %; (х3)

средняя скорость ветра, в м/c; (х4)

количество осадков по месяцам, в мм; (х5)

04.2009

1

0,3

+2,0

743,7

64

3,8

31

05.2009

59

15,21

+12,4

745,8

33

3,3

54

06.2009

6

0,7

+17,7

748,8

66

3,1

42

07.2009

8

0,81

+17,2

744,2

71

2,5

49

08.2009

6

0,48

+16,0

745,3

74

2,4

56

09.2009

18

1,93

+16,0

759,1

74

2,4

56

10.2009

3

0,81

+4,5

749,8

77

3,8

43

04.2010

16

5,8

+5,3

751,3

65

2,4

31

05.2010

71

29,56

+15,4

749,0

54

2,5

18

06.2010

19

17,7

+18,9

746,3

59

3,0

25

07.2010

131

50,51

+22,5

748,8

51

2,1

4,1

08.2010

52

26,86

+19,8

745,5

60

2,8

61

09.2010

43

32,03

+11,3

749,8

66

2,9

58

10.2010

0

0

+2,7

749,7

77

3,1

41

04.2011

0

0

+3,1

744,7

70

3,7

41

05.2011

18

1,64

+13,0

749,0

52

2,9

17

06.2011

1

0,2

+16,6

742,4

69

2,9

63

07.2011

2

0,02

+21,2

747,1

71

2,3

85

08.2011

2

0,4

+15,8

747,1

66

2,6

19

09.2011

0

0

+11,2

742,8

85

2,4

115

10.2011

0

0

+5,7

747,4

83

3,5

53

04.2012

2

0,34

+8,2

745,6

70

3,3

36

05.2012

5

0,82

+14,0

748,5

63

3,0

42

06.2012

3

0,16

+18,8

70

2,7

103

07.2012

3

0,22

+20,1

746,6

69

2,6

78

08.2012

3

0,58

+17,3

745,3

77

2,3

83

09.2012

3

0,62

+10,9

745,3

81

2,9

41

10.2012

0

0

+5,5

748,5

79

4,0

61

04.2013

0

0

+4,2

747,8

67

3,3

49

05.2013

7

3,2

+12,8

748,5

55

3,5

26

06.2013

26

8,44

+18,0

747,2

53

2,9

37

07.2013

36

6,97

+19,9

743,1

66

2,1

44

08.2013

5

0,21

+17,7

747,2

75

2,5

27

09.2013

0

0

+11,0

745,5

86

2,5

74

10.2013

0

0

+2,7

746,4

84

3,8

47


.1 Исключение ложных данных

Количество лесных пожаров.

Находим минимальное и максимальное значения:

у1min =0; у1max=131.

. Вычислим опытные значения  и :

Для этого найдем =15,69; =27,20

 === 0,577;

===4,239.

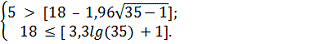
. Проверим выполнение неравенств:

< τкр (0,05;35) ,

τкр (0,05;35) << τкр (0,01;35),

τкр (0,01;35) <,

τкр (0,05;35)===1,649;

τкр (0,01;35) ===2,287.

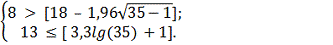
Так как =0,577<τкр (0,05;35)= 1,649, то для величины  выполнено неравенство (1). Таким образом, можно утверждать, что значение у1min не нужно исключать из исходной совокупности.

Так как τкр (0,05;35) =1,649< =4,239< τкр (0,01;35)= 2,287, то для величины  неравенство не выполнено. Таким образом, можно утверждать, что значение у1max не нужно исключать из исходной совокупности.

Неравенствовыполнено .Поэтому значение , у1 max можно было бы исключить из первоначальной совокупности данных, если бы в пользу этого были какие-либо другие аргументы. Так как в условиях задачи нет таких аргументов, то значение у1 max остается в выборочной совокупности.

На основании полученных результатов делаем окончательный вывод, что в таблице ложных значений величины у1 не обнаружено.

Площадь лесных пожаров:

Находим минимальное и максимальное значения:

у2min =0; у2max=50,51.

. Вычислим опытные значения  и :

Для этого найдем =5,90; =11,72

 === 0,503;

===3,806.

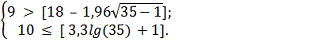
. Проверим выполнение неравенств:

τкр (0,05;35)===1,649;

τкр (0,01;35) ===2,287.

Так как =0,503<τкр (0,05;35)= 1,649, то для величины  выполнено неравенство (1). Таким образом, можно утверждать, что значение у2min не нужно исключать из исходной совокупности.

Так как τкр (0,05;35) =1,649 < =3,806< τкр (0,01;35)= 2,287, то для величины  неравенство не выполнено. Таким образом, можно утверждать, что значение у2max не нужно исключать из исходной совокупности.

Неравенство выполнено. Поэтому значение, у2 max можно было бы исключить из первоначальной совокупности данных, если бы в пользу этого были какие-либо другие аргументы. Так как в условиях задачи нет таких аргументов, то значение у2 max остается в выборочной совокупности.

На основании полученных результатов делаем окончательный вывод, что в таблице ложных значений величины у2 не обнаружено.

Средняя температура по месяцам (х1):

Находим минимальное и максимальное значения:

х1min =2; х1max=22,5.

. Вычислим опытные значения  и :

Для этого найдем =12,84; =6,20;

 === 1,748;

===1,558.

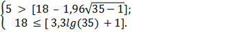
. Проверим выполнение неравенств:

τкр (0,05;35)===1,649;

τкр (0,01;35) ===2,287.

Так как =1,748 больше, чем τкр (0,05;35)= 1,649, то для величины  неравенство (1) не выполнено. Поэтому значение х1min можно было бы исключить из первоначальной совокупности данных, если бы в пользу этого были какие-либо другие аргументы. Так как в условиях задачи нет таких аргументов, то значение х1min остается в выборочной совокупности.

Так как τкр (0,05;35)=1,649< =1,558< τкр (0,01;35)= 2,287, то для величины  неравенство не выполнено. Таким образом, можно утверждать, что значение х1max не нужно исключать из исходной совокупности.

Неравенство выполнено. Поэтому значение, х1 min и х1max можно было бы исключить из первоначальной совокупности данных, если бы в пользу этого были какие-либо другие аргументы. Так как в условиях задачи нет таких аргументов, то значение х1 min и х1max остается в выборочной совокупности.

На основании полученных результатов делаем окончательный вывод, что в таблице ложных значений величины х1 не обнаружено.

Среднее давление по месяцам (х2):

Находим минимальное и максимальное значения:

х2 min =742,4; х2 max=759,1.

. Вычислим опытные значения  и :

Для этого найдем =747,06; =3,04

 === 1,533;

===3,961.

. Проверим выполнение неравенств:

τкр (0,05;35)===1,649;

τкр (0,01;35) ===2,287.

Так как =1,533<τкр (0,05;35)= 1,649, то для величины  выполнено неравенство. Таким образом, можно утверждать, что значение х2min не нужно исключать из исходной совокупности.

Так как τкр (0,05;35)=1,649< =3,961< τкр (0,01;35)= 2,287, то для величины  неравенство не выполнено. Таким образом, можно утверждать, что значение х2max не нужно исключать из исходной совокупности.

Неравенство выполнено. Поэтому значение, х2max можно было бы исключить из первоначальной совокупности данных, если бы в пользу этого были какие-либо другие аргументы. Так как в условиях задачи нет таких аргументов, то значение х2max остается в выборочной совокупности.

На основании полученных результатов делаем окончательный вывод, что в таблице ложных значений величины х2 не обнаружено.

Находим минимальное и максимальное значения:

х3 min =33; х3max=86.

. Вычислим опытные значения  и  :

Для этого найдем = 68,06; = 11,31;

 === 3,099;

===1,582.

. Проверим выполнение неравенств:

τкр (0,05;35)===1,649;

τкр (0,01;35) ===2,287.

Так как =3,099 больше, чемτкр (0,05;35)= 1,649, то для величины  неравенство не выполнено. Поэтому значение, х3max можно было бы исключить из первоначальной совокупности данных, если бы в пользу этого были какие-либо другие аргументы. Так как в условиях задачи нет таких аргументов, то значение х3max остается в выборочной совокупности.

Так как τкр (0,05;35)=1,649< =1,582< τкр (0,01;35)= 2,28670, то для величины  неравенство не выполнено Таким образом, можно утверждать, что значение х3max не нужно исключать из исходной совокупности.

Неравенство не выполнено. Поэтому значение, х3min можно было бы исключить из первоначальной совокупности данных, если бы в пользу этого были какие-либо другие аргументы. Так как в условиях задачи нет таких аргументов, то значение х3min остается в выборочной совокупности.

На основании полученных результатов делаем окончательный вывод, что в таблице ложных значений величины х3 не обнаружено.

Находим минимальное и максимальное значения:

Х4min =2,1; х4max=4.

. Вычислим опытные значения  и  :

Для этого найдем = 2,91; = 0,52;

 === 1,558;

===2,096.

. Проверим выполнение неравенств:

τкр (0,05;35)===1,64926;

τкр (0,01;35) ===2,28670.

Так как =1,558<τкр (0,05;35)= 1,649, то для величины  выполнено неравенство. Таким образом, можно утверждать, что значение х4min не нужно исключать из исходной совокупности.

Так как τкр (0,05;35)=1,649< =2,096< τкр (0,01;35)= 2,287, то для величины  неравенство выполнено. Поэтому значение х4max можно было бы исключить из первоначальной совокупности данных, если бы в пользу этого были какие-либо другие аргументы. Так как в условиях задачи нет таких аргументов, то значение х4max остается в выборочной совокупности.

На основании полученных результатов делаем окончательный вывод, что в таблице ложных значений величины х4 не обнаружено.

Находим минимальное и максимальное значения:

х5min =4,1; х5 max=115.

. Вычислим опытные значения  и :

Для этого найдем = 48,86; = 24,07;

 === 1,860;

===2,748.

. Проверим выполнение неравенств:

τкр (0,05;35)===1,649;

τкр (0,01;35) ===2,287.

Так как =1,860 больше, чем τкр (0,05;35)= 1,649, то для величины  неравенство (1) не выполнено . Поэтому значение х5min можно было бы исключить из первоначальной совокупности данных, если бы в пользу этого были какие-либо другие аргументы. Так как в условиях задачи нет таких аргументов, то значение х5min остается в выборочной совокупности.

Так как τкр (0,05;35)=1,649< =2,748< τкр (0,01;35)= 2,287, то для величины  неравенство не выполнено. Таким образом, можно утверждать, что значение х5max не нужно исключать из исходной совокупности.

Неравенство не выполнено. Поэтому значение, х5minможно было бы исключить из первоначальной совокупности данных, если бы в пользу этого были какие-либо другие аргументы. Так как в условиях задачи нет таких аргументов, то значение х5min остается в выборочной совокупности.

На основании полученных результатов делаем окончательный вывод, что в таблице ложных значений величины х5 не обнаружено.

.2 Проверка опытных данных на их случайность и независимость

В процессе исключения ложных таковых обнаружено не было, то n=m, как для случайных величин у1 и у2, так и для случайных величин х1, х2, х3, х4 и х5.

Количество лесных пожаров (у1):

) Так как число n=35 случайной величины у1 является нечетным, то согласно формуле получаем:

xmed==18,518=2.

) Рассмотрим гипотезу о случайности и независимости данных в рассматриваемой выборочной совокупности (при уровне значимости ).

В этих предположениях для случайных величин νрасч(n) и τрасч(n) проверяем выполнение следующей системы неравенств:

 

Предположение о независимости результатов наблюдений отвергается с вероятностью  совершить ошибку первого рода.

 

Так как неравенство системы не выполнено, то предположение о независимости наблюдения отвергается с вероятностью α= 0,05 совершить ошибку первого рода.

Площадь лесных пожаров (у2):

) Так как число n=35 случайной величины у2 является нечетным, то согласно формуле получаем:

xmed==18,518= 0,02.

) Проверим выполнение системы неравенств:

 

 

Так как неравенство системы не выполнено, то предположение о независимости наблюдения отвергается с вероятностью α= 0,05 совершить ошибку первого рода.

Средняя температура по месяцам (х1):

) Так как число n=35 случайной величины х1 является нечетным, то согласно формуле получаем:

xmed==18,518= 21,2.

2)  Проверим выполнение системы неравенств:

 

 

Предположение о независимости наблюдения отвергается с вероятностью α= 0,05 совершить ошибку первого рода.

Среднее давление по месяцам (х2):

) Так как число n=35 случайной величины х2 является нечетным, то согласно формуле получаем:

xmed==18,518= 747,1.

2) Проверим выполнение системы неравенств:

 

 

Так как неравенство системы не выполнено, то предположение о независимости наблюдения отвергается с вероятностью α= 0,05 совершить ошибку первого рода.

Средняя влажность по месяцам (х3):

) Так как число n=35 случайной величины х3 является нечетным, то согласно формуле получаем:

xmed==18,518= 71.

) Проверим выполнение системы неравенств:

 

 

Так как оба неравенства системы выполнены, делаем вывод, что с вероятностью 1- α= 1- 0,05= 0,95 гипотеза о случайности и независимости совокупности исследуемых выборочных значений случайной величины х3, не должна быть отвергнута.

Средняя скорость ветра (х4):

) Так как число n=35 случайной величины х4 является нечетным, то согласно формуле получаем:

xmed==18,518= 2,3.

) Проверим выполнение системы неравенств:

 

 

Предположение о независимости наблюдения отвергается с вероятностью α= 0,05 совершить ошибку первого рода.

Количество осадков по месяцам (х5):

) Так как число n=35 случайной величины х5 является нечетным, то согласно формуле получаем:

xmed==18,518= 85.

) Проверим выполнение системы неравенств:

 

 

Предположение о независимости наблюдения отвергается с вероятностью α= 0,05 совершить ошибку первого рода.

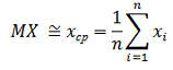
5. Математическое ожидание


По формуле находим математические ожидания:

;

;

;

;

;

.

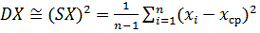
.1 Выборочная дисперсия


По формуле находим выборочную дисперсию:

;

;

;

;

;

;

.

.2 Исправленная выборочная дисперсия


По формуле находим исправленную выборочную дисперсию:

;

;

;

;

;

;

.

.3 Коэффициент корреляции

Коэффициент корреляции находим по формуле:


Линейный коэффициент корреляции rxy принимает значения от -1 до +1. [11]

Связи между признаками могут быть слабыми и сильными (тесными). Их критерии оцениваются по шкале Чеддока:

.1 <  < 0.3: слабая;

.3 < < 0.5: умеренная;

.5 <  < 0.7: заметная;

.7 <  < 0.9: высокая;

.9 <  < 1: весьма высокая;

;

;

;

;

;

;

;

;

;

.

Исходя из условий 9.1- 9.5 дальнейший расчет математической модели производим только с  и ;  и .

5.4 Проверка гипотезы о нормальном распределении генеральной совокупности

Использование регрессивного анализа с целью прогноза также опирается на гипотезу о нормальном распределении исследуемой совокупности опытных данных.

Подбор вида из предполагаемых законов распределения рекомендуется начинать с построения гистограммы опытных значений [12].

Для построения гистограммы сначала находят наименьшее  и наибольшее  из выборочных значений, а исходные данные  разбивают на ряд частичных интервалов. При разбиении исходного промежутка  на ряд частичных интервалов применяется следующая формула для вычисления искомой длины частичных интервалов:


;

Рисунок 2 - Гистограмма опытных значений y1

;

Рисунок 3 - Гистограмма опытных значений y2

;

Рисунок 4 - Гистограмма опытных значений

;

Рисунок 5 - Гистограмма опытных значений

;

Рисунок 6 - Гистограмма опытных значений

;

Рисунок 7 - Гистограмма опытных значений

;

Рисунок 8 - Гистограмма опытных значений

В общем случае предполагается, что генеральная совокупность имеет нормальное распределение с неизвестными параметрами a = MX и σ=. Но при этом, хотя генеральная дисперсия DX=  неизвестна, имеются основания предполагать, что она равна некоторому гипотетическому значению . Это предположение необходимо проверять методами математической статистики. Проверка выполняется в несколько шагов.

. Задаем уровень значимости  и выдвигаем нулевую гипотезу Н0, состоящую в том, что генеральная дисперсия  DX= равна ее предполагаемому значению  , т.е. нулевая гипотеза имеет вид:

 

. Найдем исправленную выборочную дисперсию (SX)2 с k=n-1 степенями свободы. k=35-1=34.Это исправленное выборочное значение дисперсии (SX)2 является несмещенной оценкой генеральной дисперсии, т.е. M(S2Y)=DX.

. С учетом второго пункта перепишем нулевую гипотезу в следующем виде:

 

В качестве критерия проверки нулевой гипотезы принимается случайная величина:

 

;

;

;

;

;

;

.

Критическая область принятия гипотезы имеет различный вид в зависимости от вида конкурирующей гипотезы Н1. Возможны два случая:

)       

)       

Так как у всех опытных величин выполняется неравенство, то сравнение исправленной выборочной дисперсии с предполагаемым значением дисперсии генеральной совокупности выполним на основе той же нулевой гипотезы Н0, но при конкурирующей гипотезе.

В этом случае критическая область является правосторонней и при заданном уровне значимости  область принятия нулевой гипотезы Н0 (13)определяется неравенством:

,

Где .

Так как для всех опытных величин выполнено неравенство (16), можно утверждать, что нет оснований отвергнуть нулевую гипотезу Н0 (12) и различие исправленной дисперсии  и генеральной дисперсии  является статистически незначимым.

5.5 Проверка гипотезы о значимости выборочного коэффициента корреляции

Для проверки статистической значимости утверждения об отличии выборочного коэффициента корреляции от нуля необходимо сформулировать гипотезу  о равенстве нулю коэффициента  корреляции генеральной совокупности и задать уровень значимости . [11]


Гипотезапри заданном уровне значимости  при конкурирующей гипотезе :


В качестве критерия проверки нулевой гипотезы рассмотрим случайную величину Т, имеющая распределение Стьюдента с  степенями свободы. Ее критические точки  при заданном уровне значимости  и заданном числе степеней свободы можно найти в таблице распределения Стьюдента.

Опытное значение Стьюдента вычисляется по следующей формуле:


Тогда, если , то нет оснований отвергать нулевую гипотезу (17) о равенстве нулю коэффициента  корреляции генеральной совокупности, а случайные величины Х и У с вероятностью  следует считать независимым.

Если же , то нулевую гипотезу (15) отвергаем, т.е. считают, что коэффициент корреляции генеральной совокупности  отличен от нуля: , и, следовательно, случайные величины Х и У связаны линейной корреляционной зависимостью.

=;

=;

=;

=;

=;

=;

=;

=;

=;

=.

.

Так как условие  выполняется для величин Х2 и У1 ; Х4 и У1; Х5 и У1 ; Х1 и У2; Х2 и У2; Х4 и У2 ,то нет оснований отвергать нулевую гипотезу (15), т.е. ; ; ;

; ;. C вероятностью  величины Х2 и У1 ; Х4 и У1; Х5 и У1 ; Х1 и У2; Х2 и У2; Х4 и У2 следует считать независимыми.

Так как условие  выполняется для величин Х1 и У1 ; Х3 и У1; Х3 и У2; Х5 и У2, нулевую гипотезу (15) отвергаем. Т.е. ;;;;; , и, следовательно, эти случайные величины связаны линейной корреляционной зависимостью.

.6 Множественная регрессия

В общем случае зависимость ищется в виде функции с  переменных:  . Функцию   требуется определить так, чтобы при каждом из значений ее аргумента   значение функции  было максимально приближенно к соответствующему значению случайной величины . Обычно для описания такой близости также пользуются методом наименьших квадратов. [11]

Функцию  предполагаем линейно зависящей от своих аргументов и уравнение регрессии ищем в следующем виде:


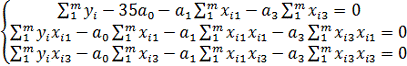
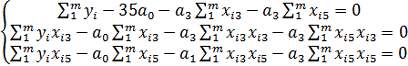
Для нахождения неизвестных параметров ,,, …,  функции (20) необходимо решить следующую систему уравнений:

;

;

.

В нашем случае:

;


Так как в нашем случае  и , то система уравнений (21) для примет следующий вид:

;

.

Решив систему (21), получаем искомые значения коэффициентов:

; ;  подставляем их в уравнение регрессии (17):

.

Так как в нашем случае  и , то система уравнений (21) для примет следующий вид:

;

.

Решив систему (21), получаем искомые значения коэффициентов:

; ;  подставляем их в уравнение регрессии (20):

.

.7 Проверка значимости линейного уравнения множественной регрессии в целом

Для проверки значимости уравнения регрессии в целом используют опытную F- статистику Фишера:


- объем выборки;  - число переменных в уравнении множественной регрессии;  - i-ое расчетное значение переменной; - среднее опытных значений случайной величины Y.

Полученные опытные данные значение  критерия Фишера сравнивается с критическим значением . Уровень значимости ; ; .

Если выполняется неравенство  (23), то следует сделать вывод о том, что с вероятностью  уравнение в целом незначимо, и, следовательно, им нельзя пользоваться как основанием для принятия решений.

В противном случае, если выполняется неравенство , то с вероятностью  мы поступим неверно, если отвергнем гипотезу о значимости регрессии в целом. Так как гипотеза о значимости уравнения не отвергается, мы получаем определенные основания доверять построенному уравнению регрессии. [11]

Для у1:

В нашем случае уравнение примет следующий вид:

.

 = .

Так как неравенство выполнено, то можно утверждать, что определенные основания доверять построенному уравнению регрессии есть.

Для у2:

В нашем случае уравнение примет следующий вид:

.

 = .

Так как неравенство выполнено, то можно утверждать, что определенные основания доверять построенному уравнению регрессии есть.

.8 Оценка точности линейного уравнения множественной регрессии

Заключительная статистическая процедура - оценка точности построенного уравнения регрессии.

Оценка близости опытных значений уi случайной величины У и ее расчетных значений , получаемых с помощью уравнения (20) линейной регрессии, выполняется с помощью среднеквадратической погрешности  по следующей формуле [11]:


По формуле (25) находим среднеквадратическую ошибку:

;

.

Построим графики расчетных и опытных значений.

Таблица 6 - Опытные и расчетные значения у1:

n

1

2

3

4

5

6

7

8

9

10

11

Опытное y1

1

59

6

8

6

18

3

16

71

19

131

Расчетное y1

11

62

23

16

11

11

4

13

37

34

48

x1

2

12,4

17,7

17,2

16

16

4,5

5,3

15,4

18,9

22,5

x3

64

33

66

71

74

74

77

65

54

59

51


Таблица 7 - Опытные и расчетные значения у2:

n

1

2

3

4

5

6

7

8

9

10

11

Опытное y2

0,3

15,21

0,7

0,81

0,48

1,93

0,81

5,8

29,56

17,7

50,51

Расчетное y2

8,92

23,48

7,31

4,39

2,49

2,49

1,66

8,42

14,71

11,79

16,98

х3

64

33

66

71

74

74

77

65

54

59

51

х5

31

54

42

49

56

56

43

31

18

25

4,1


Таблица 8 - Прогнозные погодные условия на апрель-май 2014 года

Месяц

апрель

май

июнь

июль

август

сентябрь

октябрь

Средняя температура (t0 C)

4,6

13,5

18

20,2

17,3

12,1

5,9

Средняя влажность ()

67

53

63

66

70

78

80

Среднее количество осадков (мм)

38

31

54

52

49

69

49

Расчетное

9

37

27

25

17

2

7

Расчетное

7,02

14,53

8,2

6,78

4,9

0,24

0,19


Разработка комплекса мероприятий по снижению количества лесных пожаров

Таблица 9 - Статистика пожаров по лесничествам с 2009 по 2013 год

Лесничество

Количество пожаров

Площадь пожаров, в га

Алнашское

6

1,33

Балезинское

26

4,92

Вавожское

29

4,63

Воткинское

98

19,09

Глазовское

17

1,38

Граховское

6

0,73

Дебесское

7

1,42

Завьяловское

47

23,39

Игринское

29

8,76

Камбарское

10

6,65

Каракулинское

1

0,3

Кезское

20

2,2

Кизнерское

12

17,21

Киясовское

5

1,13

Красногорское

17

10,06

Можгинское

37

11,62

Сарапульское

14

30,11

Селтинское

22

3,89

Сюмсинское

36

110,6

Увинское

58

17,17

Шарканское

3

1,01

Юкаменское

4

0,21

Яганское

19

8,67

Ярское

5

0,8

Якшур-Бодьинское

49

26,57


Исходя из статистики наибольшему риску лесных пожаров подвержены следующие лесничества: Воткинское, Завьяловское, Сюмсинское и Якшур- Бодьинское. С учетом этих наблюдений следует разрабатывать и проводить комплекс мероприятий по снижению количества лесных пожаров в Удмуртской Республике.

6. Создание систем противопожарных барьеров

Создание системы противопожарных барьеров преследует одну цель -разделение пожароопасных хвойных лесных массивов на изолированные друг от друга блоки разной величины.

Крупные пожароопасные массивы хвойных древостоев (кроме лиственничных) в лесах первой и второй групп (исключая особо защитные и притундровые леса), а также освоенные участки лесного фонда, переданные в аренду или концессию лесопользователям, в лесах третьей группы должны разделяться на блоки площадью от 2 до 12 тыс.га, в зависимости от степени пожарной опасности и интенсивности ведения лесного хозяйства.

Если для ограничения блока естественных барьеров и искусственных разрывов недостаточно, то должны быть устроены дополнительные разрывы с дорогами на них, а вдоль этих разрывов созданы полосы из древостоев с преобладанием лиственных пород с таким расчетом, чтобы дополнительные барьеры вместе с имеющимися составляли замкнутое кольцо вокруг ограниченного блока.

В качестве противопожарных барьеров, ограничивающих указанные блоки, в первую очередь, должны быть использованы имеющиеся на территории лесного фонда естественные барьеры (большие озера и реки с широкими затопляемыми долинами, участки леса с преобладанием лиственных пород), а также искусственные разрывы в виде трасс железных и автомобильных дорог, линий электропередач, трубопроводов и т.п.

Противопожарные барьеры (заслоны) необходимо систематически очищать от сухостоя, хвойного подроста, пожароопасного подлеска и валежника, а минерализованные полосы в пределах барьеров ежегодно подновлять.

Хвойные массивы внутри крупных блоков, в зависимости от их ценности, интенсивности хозяйства и степени опасности появления источников огня, в свою очередь, должны быть разделены аналогичными барьерами (заслонами) на блоки площадью от 400 до 1600 га, для чего, в первую очередь, следует использовать имеющиеся естественные и искусственные барьеры (реки, озера, лиственные древостои, дороги, просеки и т.д.). При этом полосы из древостоев с преобладанием лиственных пород по обеим сторонам железных, шоссейных и других автомобильных дорог широкого пользования следует создавать шириной 30 - 50 м, а вдоль других разрывов, в том числе и квартальных просек, шириной 10 - 15 м с каждой стороны.

Крупные участки хвойных молодняков естественного и искусственного происхождения в лесах зеленых зон и других, отнесенных к первой группе (кроме притундровых защитных полос), при наличии экономических возможностей рекомендуется разделять на блоки площадью 25 га. При этом, в качестве разграничивающих блоки барьеров (заслонов), следует прокладывать минерализованные полосы или дороги противопожарного назначения, по обеим сторонам которых, закладывая культуры или в порядке регулирования естественного возобновления создавать полосы шириной 10 м из лиственного молодняка и кустарников.

.1 Устройство пожарных водоемов

Для эффективного использования при борьбе с лесными пожарами средств водного пожаротушения следует проводить соответствующую подготовку естественных водоисточников и строительство специальных искусственных водоемов.

Подготовка естественных водоистчоников для целей пожаротушения заключается в устройстве к ним подъездов, оборудовании специальных площадок для забора воды пожарными автоцистернами и мотопомпами, а в необходимых случаях также в углублении водоемов или создание запруд.

Искусственные противопожарные водоемы строят по типовым проектам, как правило, вблизи улучшенных автомобильных дорог, от которых к водоемам должны быть устроены подъезды.

Эффективный запас воды в лесных противопожарных водоемах в самый жаркий период лета должен быть не менее 100 м3.

.2 Лесная рекреация

Из года в год значительно возрастает использование лесов для отдыха, проведения спортивных мероприятий, туризма, экскурсий и т.п.

В связи с этим важной задачей по предупреждению лесных пожаров является проведение мероприятий, направленных на подготовку лесного фонда для организационного отдыха населения.

С этой целью рекомендуется:

. Проводить в установленном порядке передачу лесных участков в аренду, участков лесного фонда для пользования в культурно- оздоровительных, туристических и спортивных целях с условием их благоустройства, обеспечения пожарной безопасности и сохранности на этих участках и прилегающих к ним площадях лесной растительности и других объектах; осуществлять работы по благоустройству выделяемых участков для организованного отдыха, проводить на них строительство кемпингов, мотелей, места для курения.

. Контролировать и требовать от туристических, спортивных и других организаций проведения мероприятий по благоустройству площадок, маршрутов и стоянок.

. На прилегающей территории оборудовать пруды и подъездные дороги к прудам, а также место для забора воды из пруда.

6.3 Регулирование состава древостоя

Примесь лиственных пород во всех классах возраста и по всем ярусам хвойных древостоев способствует снижению опасности появления и распространения наиболее разрушительных верховых пожаров, которые, как правило, охватывают большие площади.

. Регулировать состав хвойных пород в порядке рубок ухода за лесом, сохраняя, где это целесообразно равномерную примесь лиственных пород по всем ярусам в количестве 2-3 единиц.

. Вводить в культуры хвойных пород примесь деревьев хозяйственно ценных лиственных пород: дуб, клен, ясень, липу, рябину и др.

. Необходимо регулировать интенсивность рубок ухода за лесом, так как изреживания хвойных древостоев под их пологом может развиться опасная в пожарном отношении растительность (вереск, злаки и др.).

Эти мероприятия целесообразно проводить в тех районах, в которых пожарная опасность лесного покрова велика.


Заключение

В ходе данной квалификационной работы была поставлена цель определение комплекса мероприятий по снижению лесных пожаров на примере Удмуртской республики.

. Рассмотрели следующие нормативно-правовые акты:

- Федеральный закон от 21.12.1994 № 69- ФЗ (с изменениями и дополнениями 12.03.2014) «О пожарной безопасности». Он определяет общие правовые, экономические и социальные основы обеспечения пожарной безопасности в Российской Федерации;

Федеральный закон от 04.12.2006 № 200- ФЗ (с изменениями и дополнениями 12.03.2014) «Лесной кодекс Российской Федерации». Он определяет общие правовые, экономические и социальные основы обеспечения пожарной безопасности в лесах Российской Федерации;

Государственный стандарт Российской Федерации ГОСТ Р 22.1.09-99 «Мониторинг и прогнозирование лесных пожаров». Этот стандарт устанавливает общие требования по мониторингу и прогнозированию лесных пожаров и чрезвычайных лесопожарных ситуаций.

. Произвели сбор и анализ статистических данных лесных пожаров в Удмуртской Республике. Исходя из статистики наибольшему риску лесных пожаров подвержены следующие лесничества: Воткинское, Завьяловское, Сюмсинское и Якшур- Бодьинское.

. Разработали математическую модель прогноза показателя лесных пожаров в Удмуртской Республике. В ходе проведения корреляционно- регрессивного анализа было выявлено, что связь между количеством пожаров и давлением, скоростью ветра и количество осадков незначительна. Исходя из этого получили следующую математическую модель лесных пожаров в Удмуртской Республике:

.

Связь между площадью пожаров и температурой, давлением и скоростью ветра также оказалась незначительной. Окончательно математическая модель площади лесных пожаров в Удмуртской республике приняла следующий вид:

.

лесной земля пожар удмуртский

4. Разработали комплекс мероприятий по снижению количества лесных пожаров.

Создание систем противопожарных барьеров

Создание системы противопожарных барьеров преследует одну цель - разделение пожароопасных хвойных лесных массивов на изолированные друг от друга блоки разной величины.

Устройство пожарных водоемов

Для эффективного использования при борьбе с лесными пожарами средств водного пожаротушения следует проводить соответствующую подготовку естественных водоисточников и строительство специальных искусственных водоемов.

Лесная рекреация

В связи с этим важной задачей по предупреждению лесных пожаров является проведение мероприятий, направленных на подготовку лесного фонда для организационного отдыха населения.

Регулирование состава древостоя

Примесь лиственных пород во всех классах возраста и по всем ярусам хвойных древостоев способствует снижению опасности появления и распространения наиболее разрушительных верховых пожаров, которые, как правило, охватывают большие площади.

Литература

1. Конституция Российской Федерации.

. Трудовой кодекс РФ: Федеральный закон от 30.12.2001 г. №197-ФЗ: принят Госдумой 21 декабря 2001 г.: одобр. Советом Федерации 26.12.2001 г.]

. Лесной кодекс РФ: Федеральный закон от 04.12.2006 г. №200-ФЗ (действующая редакция от 12.03.2014): [принят Госдумой от 08.11.2006].

. Энциклопедия УР: учебное пособие / В.В. Туганаев. - Ижевск: Издательство «Удмуртия», 2008 год.

. приказ Министерства лесного хозяйства Удмуртской Республики от 22 октября 2007 года № 260 «О формировании территориальных единиц управления - лесничеств».

. Официальный сайт министерства лесного хозяйства: электронный путеводитель URL: http://www.minlesudm.ru (дата обращения 29.05.14 )

. Государственный стандарт Российской Федерации ГОСТ Р 22.1.09-99 «Мониторинг и прогнозирование лесных пожаров ».

. Тушение лесных пожаров: пособие для лесных пожарных / Е.А. Щетинский. - Москва: Издательство ВНИИЛМ, 2002 год.

. Классификация лесных пожаров: учебное пособие / А.С. Залесов.- Екатеринбург: Издательство УГЛТУ, 2011 год.

. Лесные пожары на территории России: состояние и проблемы: учебное пособие / Ю.Л. Воробьев. - Москва: Издательство «Дэкс-пресс», 2004 год.

. Математическая обработка результатов эксперимента: учебное пособие / Г.Б. Лялькина, О.В. Бердышев. - Пермь: Издательство Перм. нац. исслед. политехн.ун-та. 2013.

. Теория вероятностей и математическая статистика: учебное пособие / В.Е. Гмурман.- Москва: Издательство Высшая школа, 2007.

. Справочник по тушению природных пожаров: учебное пособие / В.А. Иванов.- Красноярск: Издательство Проект ПРООН/МКИ, 2011.

. Тушение лесных пожаров: учебно-методическое пособие Служба спасения.- Архангельск, 2013.

. Федеральный закон от 21.12.1994 № 69- ФЗ (с изменениями и дополнениями 12.03.2014) «О пожарной безопасности».

. Постановление правительства №390 «О противопожарном режиме»

. Указ Главы Удмуртской Республики от 19.03.2014 №105 «Сводный план тушения лесных пожаров на территории Удмуртской Республики на 2014 год».

. Вентцель, В.Н. Теория вероятностей: Учеб. Для вузов/Е.С. Вентцель. - 8-е изд., стер.- М.: Высш. Шк., 2002.

. Андерсон, Т. Статистический анализ временных рядов. - М.: Мир, 1976.

. Кобзарь, А.П. Прикладная математическая статистика. - М.: Физматлит, 2006.

. Колодкин, В.М., Княжин, В.С. Компьютерная система прогнозирования последствий аварий и рисков. / Материалы конференции и симпозиума «Техногенные катастрофы и проблемы безопасности» - М., 2007.

Похожие работы на - Анализ и прогнозирование масштабов лесных пожаров и разработка мероприятий по их снижению на примере Удмуртской Республики

 

Не нашли материал для своей работы?
Поможем написать уникальную работу
Без плагиата!
Без нейросетей!